диапазона технологий, задач и оборудования;en | arbitrary symbol | |
fr | symbole arbitraire | |
Примечание - См. таблицу 1 для примера и его объяснения. | ||
Обозначение | Объяснение обозначения | Пример | Объяснение примера |
A | Физическая величина | L | Яркость |
осв. (ill) | Состояние освещения | Темнота | Условие темной комнаты |
объект (object) | Измеренный объект | HS | Измерение состояния с высоким уровнем |
точ. изм. (mloc) | Точка измерения | CL | Центральная точка |
нап. изм. (mdir) | Направление измерения | UL | Верхний левый |
B | Спектральная длина волны | 410 | Длина волны ![]() |
Примечание - Если обозначение B не указано, то оно или не применяется, или следует применить исправленное значение | |||
3.1.2 габаритная яркость: Средняя яркость участка экрана или виртуального изображения диаметром, который образует стягивающий угол от 2° до 10°. Примечания 1 Единица - кд/м2. 2 Габаритная яркость также определяется как яркость кругового участка экрана, диаметр которого не менее 10 пикселей, причем яркость отдельного пикселя составляет менее 2% средней яркости измеренного участка. | en | area luminance |
fr | luminance de surface | |
3.1.3 яркость фона: Яркость участка экрана или виртуального изображения при отсутствии графических изображений. Примечание - Единица - кд/м2. | en | background luminance |
fr | luminance ![]() | |
3.1.4 контраст (с точки зрения чувственного восприятия): Определение различия двух (или более) частей поля зрения, видимых одновременно или последовательно (отсюда: "контраст светлоты", "контраст светлоты площадки", "цветовой контраст" и др.). (МКО 17.4:1987, определение 845-02-47) | en | contrast (perceptual sense) |
fr | contraste (sens perceptif) | |
3.1.5 закон Ламберта; закон косинуса: Для элемента поверхности, яркостью или энергетической яркостью, одинаковой для всех направлений в полусфере над этой поверхностью, справедлива формула (1)где (МКО 17.4:1987, определение 845-04-56) | en | Lambert's cosine law |
fr | loi du cosinus de Lambert | |
3.1.6 поверхность Ламберта: Идеальная поверхность, у которой испускаемое излучение имеет угловое распределение, соответствующее косинусному закону Ламберта. Примечания 1 Для идеального коэффициента диффузного отражения (2)где qSTD - коэффициент яркости. 2 См. МКО 17.4:1987, определение 845-04-57. | en | Lambertian surface |
fr | surface lambertienne | |
3.1.7 яркостный контраст: Соотношение между высшей LH и низшей LL яркостями, которое определяет характеристику обнаружения. Примечания 1 Если измерения проведены с помощью контрастной модуляции (или контраста Михельсона), то яркостный контраст определяется следующим образом: (3)или, если измерения проведены с помощью контрастного отношения CR, то оно определяется: (4)2 Контрастное отношение CR часто используется для высоких яркостей. При близости порога обнаружения яркости иногда используют следующую формулу (также известную как формулу контраста Вебера) (5)3 Для части дисплеев поверхностно-яркостные значения могут быть использованы для аппроксимации яркостей, которая определяет характеристику обнаружения, поскольку пиксели дискретны и околоповерхностная яркость достаточно однородна, см. [1], подраздел 2.22. | en | luminance contrast |
fr | contraste de luminance | |
3.1.8 показатель яркости (элемента поверхности среды в определенном направлении, при определенных условиях облучения); qv, q: Частное от деления яркости элемента поверхности в некотором определенном направлении на среднее значение освещенности среды. Примечания 1 Единица - ср-1. 2 Если L - яркость элемента поверхности и E - освещенность над элементом поверхности, то показатель яркости q определяют по формуле 3 См. МКО 17.4:1987, определение 845-04-71. | en | luminance coefficient (at a surface element, in a given direction, under specified conditions of illumination) |
fr | coefficient de luminance (en un | |
3.1.9 коэффициент яркости (элемента поверхности несамосветящейся среды в некотором направлении для заданных условий освещения); Примечания 1 Единица - в долях единицы. 2 Учитывая яркость Lобразца элемента поверхности и яркость Lсовершенного рассеивателя от совершенного рассеивателя при одинаковых условиях освещения, коэффициент яркости определяют по формуле (7)3 См. МКО 17.4:1987, определение 845-04-69. | en | luminance factor (at a surface element of a non-self-radiating medium, in a given direction, under specified conditions of illumination) |
fr | facteur de luminance (en un non rayonnant par , dans une direction | |
3.1.10 световой поток; Примечание - См. МКО 17.4:1987, определение 845-01-25. | en | luminous flux |
fr | flux lumineux | |
en | optically anisotropic surface | |
fr | surface optique anisotrope |
3.2.1 стандартная колориметрическая система МКО 1931: Цветовое пространство МКО определено в 1931 году. См. рисунок 1. Примечание - МКО в настоящее время определяет несколько цветовых пространств, которые основаны на Конвенции 1931 года и могут быть определены из координат цвета (X, Y, Z) (8)Эти цветовые пространства предназначены для 2°-наблюдателя. Индекс "10" используют у всех переменных (x10, y10, z10 и т.д.) при ссылке на 10°-наблюдателя 1964 г. Координата цвета Y может быть каким-либо фотопическим параметром, яркостью, световым потоком, освещенностью, силой света и т.п. В настоящем стандарте Y будет относиться к яркости (так же как и L). На рисунке 1 показан график цветностей. Все видимые цвета, заключенные между подковообразной кривой (линией спектральных цветностей) и прямой, соединяющей конечные точки кривой, называют линией пурпурных цветов. Кривая Планка (линия цветностей черного тела) показана во внутренней части с цветовыми температурами по шкале Кельвина (например, 5k значит 5 000 К или 5 кК). Номера на графике относятся к длинам волн монохроматического освещения, характеризующего линию спектральных цветностей. Граница кривой (линии спектральных цветностей) поясняется длинами волн в нанометрах. | en | CIE 1931 standard colorimetric system |
fr | CIE 1931 |

3.2.2 равноконтрастный цветовой график 1960; РЦГ: Равноконтрастный цветовой график в прямоугольной системе координат зависимости v от u, численно определенных МКО в 1960 году. Примечание - Это было одной из первых попыток сделать цветовое пространство более равномерным (однородным). Тем не менее, это пространство больше не используется, за исключением применения в определении цветовой температуры. Координаты приведены только для полноты изложения. В терминах МКО 1931 г. координаты определяются по формулам: (9) | en | CIE 1960 uniform chromaticity scale UCS |
fr | diagramme de uniforme UCS CIE 1960 | |
3.2.3 равноконтрастный цветовой график МКО 1976: Равноконтрастный цветовой график в прямоугольной системе координат v', u', численно определенных МКО в 1976 году. См. рисунок 2. Примечание - В единицах координат цвета или цветопространственных величин (x, y), u' и v' определяют по следующим формулам: (10)(См. рисунок 2 и МКО 17.4:1987, определение 845-03-53) | en | CIE 1976 uniform-chromaticity scale diagram |
fr | diagramme de uniforme CIE 1976 |

3.2.4 цветовое пространство МКО 1976 L*u*v*: Трехмерное, приблизительно равноконтрастное цветовое пространство, заключенное в прямоугольной системе координат L*, u*, v*, которые определяют по следующим формулам: (11)где Y, u', v' - рассматриваемый цветовой стимул, Yn, u'n, v'n - установленный белый ахроматический стимул. Примечания 1 Приблизительно коррелированные значения коэффициента яркости, чистоты цвета, насыщенности и цветового тона могут быть вычислены следующим образом: - чистота цвета МКО 1976 u, v: (12)- насыщенность МКО 1976 u, v: (13)- цветовой тон МКО 1976 u, v: (14)2 См. MKO 17.4:1987, определение 845-03-54. | en | CIE 1976 L*u*v* colour space |
fr | espace chromatique L*u*v* CIE 1976 | |
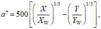
3.2.5 равноконтрастное цветовое пространство МКО 1976 L*a*b*: Трехмерное, приблизительно равноконтрастное цветовое пространство, определенное МКО в 1976 году. Примечание - Пространство является результатом построения в прямоугольной системе координат L*, a*, b*, которые определяются по формулам: ![]() ![]() ![]() ![]() ![]() где (15)Изменения для низких световых уровней: для любой координаты цвета Q = X, Y, Z в приведенном выше выражении для a*, b*, заменять на с каждый раз, когда ![]() Насыщенность цвета определяется как: ![]() Цветовой тон определяется как: hab = arctg(b*/a*). (16) Разность цветовых тонов определяется как: ![]() Чистота цвета не определена для равноконтрастного цветового пространства МКО 1976 L*a*b*. | en | CIELAB 1976 L*, a*, b* uniform colour space |
fr | espace chromatique uniforme L*, a*, b* CIELAB 1976 | |
3.2.6 разность цветов МКО 1976 L*a*b*: Разность двух цветовых стимулов, которая определяется как Евклидово расстояние между координатами L*a*b* пространства. Примечания 1 Разность цветов МКО 1976 L*a*b* рассчитывают по формуле (17)2 Для небольших разностей цветов у МКО есть более подходящая формула: см. [2]. | en | CIE 1976 L*a*b* colour difference |
fr | de couleur L*a*b* CIE 1976 | |
3.2.7 разность цветов МКО 1976 L*u*v*: Разность двух цветовых стимулов, которая определяется как Евклидово расстояние между координатами L*u*v* пространства. Примечание - Разность цветов МКО 1976 L*u*v* рассчитывают по формуле (18) | en | CIE 1976 L*u*v* colour difference |
fr | de couleur L*u*v* CIE 1976 | |
3.2.8 насыщенность: Ощущение цветности от стимула, которое позволяет оценить долю светлоты объекта, также освещенного и который воспринимается белым или хорошо пропускающим свет. Примечание - См. МКО 17.4:1987, определение 845-02-42. | en | chroma |
fr | chroma (saturation de la couleur) | |
3.2.9 цветность: Характеристика цветового стимула, определяемая его координатами цветности или его доминирующей, или дополнительной длиной волны и чистотой цвета. Примечание - См. МКО 17.4:1987, определение 845-03-34. | en | chromaticity |
fr | ![]() | |
Примечания 1 Если сумма трех координат цветности равняется единице, то двух из них хватает для определения цветности. 2 В стандартных колориметрических системах МКО координаты цветности обозначаются символами x, y, z для наблюдения под углом в 2° и x10, y10, z10 для наблюдения под углом 10°. 3 См. МКО 17.4:1987, определение 845-03-33, а также в определениях 3.2.4, 3.2.5 цветовых пространств МКО. | en | chromaticity coordinates |
fr | trichromatiques | |
3.2.11 график цветностей: Двумерный график, на котором точки, определяемые координатами цветности, однозначно соответствуют цветностям цветовых стимулов. Примечание - См. МКО 17.4:1987, определение 845-03-35. В стандартных колориметрических системах МКО y, как правило, нанесена на график как ось ординат, а x - как ось абсцисс, получая x, y график цветностей (см. цветовые пространства МКО). | en | chromaticity diagram |
fr | diagramme de ![]() | |
3.2.12 разность цветности в равноконтрастном пространстве: Расстояние на равноконтрастном цветовом графике МКО 1976. Примечания 1 Разность цветности рассчитывается по формуле ![]() где u'1, v'1 и u'2, v'2 - координаты некоторого цвета, находящегося в положениях 1 и 2. 2 Разность цветности соответствует мере цветовой однородности при равенстве яркостей. См. определение 3.2.27. 3 Величина разности цветности не была определена МКО и не соответствует мере цветовой однородности при неоднородной яркости. | en | chromaticity uniformity difference |
fr | de ![]() | |
3.2.13 цветовая температура: Температура излучателя Планка (черного тела), излучение которого имеет ту же цветность, что и рассматриваемый стимул. Примечание - Она выражается в кельвинах (не в градусах кельвина). См. МКО 17.4:1987, определение 845-03-49. Коррелированная цветовая температура (КЦТ) определена ниже (3.2.15), потому что стимул крайне редко имеет такую же цветность, как излучение излучателя Планка. | en | colour temperature |
fr | de couleur | |
3.2.14 дополнительная длина волны (цветового стимула); Примечание - См. МКО 17.4:1987, определение 845-03-45. | en | complementary wavelength (colour stimulus) |
fr | longueur d'onde ![]() | |
3.2.15 коррелированная цветовая температура; КЦТ: Температура идеального излучателя (излучателя Планка), цветность которого (точка на кривой Планка) находится ближе всего к цветности определенного света (например, для экрана, отображающего белый на весь экран), как измеренная на графике, используя координаты u' и 2v'/3, так и их оси координат. Примечания 1 Единица - Кельвин (К). 2 Раньше температура была определена на равноконтрастном графике МКО 1960, который в настоящее время не используют. | en | correlated colour temperature; CCT |
fr | de couleur proximale; CCT | |
3.2.16 доминирующая длина волны (цветового стимула); Примечания 1 Для пурпурных цветов доминирующая длина волны заменяется на дополнительную длину волны. 2 См. МКО 17.4:1987, определение 845-03-44. | en | dominant wavelength (colour stimulus) |
fr | longueur d'onde dominante (d'un stimulus de couleur) | |
Пример - В пространстве цветности u'v' два цвета с цветовыми тонами меньше 1° могут быть рассмотрены как имеющие одинаковую доминирующую длину волны. | en | same dominant wavelength (color) |
fr | ||
3.2.18 цветовой тон: Характеристика зрительного чувственного восприятия такая же, как и при восприятии одного или сочетания двух следующих воспринимаемых цветов: красный, желтый, зеленый или синий. Примечание - См. МКО 17.4:1987, определение 845-02-35. | en | hue |
fr | teinte | |
3.2.19 светлота площадки неизолированного цвета: Светлота цветового стимула, которая определяется в соответствии со светлотой таким же образом освещенной площадки, которая кажется белой или хорошо пропускающей свет. Примечание - См. МКО 17.4:1987, определение 845-02-31. | en | lightness |
fr | ||
3.2.20 колориметрическая чистота цвета; pc: Величина, определяемая отношением pc = Ld/(Ln + Ld), где Ln и Ld - соответствующие яркости монохроматического стимула и стандартного ахроматического стимула, которые при аддитивном смешивании уравнивают по цвету рассматриваемый цветовой стимул. Примечание - См. МКО 17.4:1987, определение 845-02-47. | en | colorimetric purity |
fr | ![]() | |
en | reference white | |
fr | blanc de ![]() | |
en | saturated colour | |
fr | couleur | |
3.2.23 чистота цвета: Характеристика ощущения цветности цветового стимула, которая позволяет оценить долю светлоты в общем цветовом ощущении. Примечание - См. МКО 17.4:1987, определение 845-02-41. | en | saturation |
fr | saturation | |
Примечание - Граница синего - это любой цвет с v' < 0,2. Граница красного - это любой цвет с u' > 0,4. Ограниченные области проиллюстрированы на рисунке 3. | en | spectrally extreme colours |
fr | couleurs du spectre |

3.3.1 ахроматическое цветовое ощущение (с точки зрения чувственного восприятия): Восприятие цвета, исключающее цветовой тон. Примечания 1 Как правило, используются такие наименования цветов, как "белый", "серый" и "черный" или, в случае объектов, пропускающих свет, "бесцветный" и "нейтральный". 2 Для ахроматического цветового ощущения в физическом смысле см. МКО 17.4:1987, определение 845-03-06 (ахроматический стимул). | en | achromatic [perceived] colour (perceptual sense) |
fr | couleur | |
3.3.2 активная область: Часть поверхности дисплея (или экрана) или виртуальное изображение, которое может быть изменено в электронном виде для представления визуальной информации, разделенной элементами изображения (пикселями). Примечание - В дискретно-пиксельных дисплеях это область, покрытая пикселями, включая область между соседними пикселями. Такие области чаще всего прямоугольные. См. подкомитет 47 МЭК "Плоскопанельные устройства отображения". | en | active area |
fr | surface active | |
3.3.3 адаптация: Процесс изменения органа зрения под воздействием цветовых стимулов, экспозиция которых осуществляется в данное время или несколько раньше и которые имеют различную яркость, спектральный состав и угловые размеры. Примечание - См. МКО 17.4:1987, определение 845-02-07. | en | adaptation |
fr | adaptation | |
3.3.4 аддитивное смешение: Метод смешения цветовых стимулов на сетчатке глаза, когда воздействие различных цветовых стимулов не может восприниматься глазом раздельно. Примечание - См. МКО 17.4:1987, определение 845-03-15. | en | additive mixing |
fr | ||
en | angle of view | |
fr | angle de vue | |
Примечание - Расчет на проектном расстоянии наблюдения (20) (21)Размерностью для стягиваемого угла являются градусы (°), которые делятся на угловые минуты (') и угловые секунды ("): 1° = 60' = 3600". Учитывая размерность объекта h и расстояние наблюдения z, стягиваемый угол ![]() | en | angular subtense |
fr | angle d'ouverture | |
3.3.7 анизотропный дисплей: Дисплей с испускаемой яркостью и (или) коэффициентом яркости, который соответствует определенному в 3.1.9. | en | anisotropic display |
fr | affichage anisotrope | |
en | blink coding | |
fr | codage des signaux intermittents | |
3.3.9 светлота: Характерный признак зрительного ощущения, в соответствии с которым какая-либо поверхность воспринимается как излучающая больше или меньше света. Примечание - См. МКО 17.4:1987, определение 845-02-28. | en | brightness |
fr | ![]() | |
3.3.10 значение стягиваемого угла; Примечания 1 Единица - угловые минуты ('). 2 Учитывая расстояние наблюдения z, вертикальный шаг между пикселями Vшаг, и высоту NH,Высота в пикселях прописной буквы "H", значение стягиваемого угла рассчитывают как: (22) (23)3 Угловые минуты преобразуют в угловые градусы с помощью коэффициента 1°/60'; угловые градусы преобразуют в радианы с помощью коэффициента . | en | character subtense |
fr | hauteur de jambage de ![]() | |
en | character size uniformity | |
fr | de taille de ![]() | |
3.3.12 стереохроматизм: Визуальное явление, в котором два визуальных объекта, отличающихся доминирующей длиной волны и (или) светлотой, кажутся находящимися на разных расстояниях от наблюдателя. Примечание - Это цветоиндуцированное позиционное несоответствие на сетчатке глаза. Короткие длины волн преломляются чуть больше длинных длин волн в оптике глаза, создавая позиционное несоответствие на сетчатке. Если смотреть двумя глазами, то получается стереоскопическое несоответствие. | en | chromostereopsis |
fr | ![]() | |
en | colour detection | |
fr | de la couleur | |
en | colour discrimination | |
fr | discrimination des couleurs | |
en | colour identification | |
fr | identification des couleurs | |
en | colour interpretation | |
fr | des couleurs | |
Примечание - В случае многокомпонентного цветового дисплея, такого как RGB-дисплей ("красный, зеленый, синий" - модель цветопередачи), сходимость характеризует, насколько хорошо отображается пиксель (или эквивалент), как и его размещение цветовых компонентов (например, RGB-субпикселей). Для дисплеев с непосредственным отображением данных с фиксированными пикселями и субпикселями сходимость обычно идеальна. Однако, для проекционных дисплеев, ЭЛТ-дисплеев и любого отображаемого изображения, рассматриваемого с помощью системы линз, размещение субпикселей может быть менее идеальным. В случаях, когда сходимость не является идеальной, следует рассматривать как белую линию (или пятно), которая проявляется, как разноцветная линия (или пятно), имеющая один цвет, например синий, с одной стороны и другой цвет, например красный, с другой. При использовании линз, расхождение, как правило, является причиной ахроматических аберраций линз и часто заметно на краях отображаемого изображения (расхождение - это отклонение от сходимости). Расхождение не относится к спроектированному разделению субпикселей, как в случае с компьютерным RGB-монитором, имеющим дефекты пикселей, и к любому искажению визуального воспроизведения идеальной или спроектированной цветовой RGB-структуры в просматриваемом изображении, что может дать неточные цвета в этом изображении. | en | convergence |
fr | convergence | |
3.3.18 неоднородность контраста: Непреднамеренное изменение контрастности (отношение яркостей) в активной области экрана. Примечание - Определены три проявления неоднородности контраста: 1 - изменение яркостного контраста: отличие изменения в области средней яркости центра дисплея от изменения на краю какой-либо его части; 2 - характеристика изменения контраста: изменение пика контраста характерных элементов (точек или штрихов) в различных местах на экране; 3 - внутренняя характеристика изменения контраста: изменения пика контраста характерных элементов (точек или штрихов) в характеристике. | en | contrast nonuniformity |
fr | du contraste | |
Примечания 1 Используются сферическая (r, 2 Для более детального определения системы координат, см. рисунок 5. Обозначают точку (пиксель или центр визуального объекта) O. Проводят прямую от точки O до входного зрачка измерительного прибора OE и прямую ON, перпендикулярную к плоскости изображения на дисплее или оптической оси (главному лучу) в системе формирования изображений. Угол между ON и OE в плоскости ON-OE - угол отклонения, | en | coordinate system |
fr | ![]() |

совпадает с направлением
.
1 - находятся только источники света, испытуемый дисплей и установленные источники яркости или освещенности; 2 - окружающая освещенность менее одного люкса (E < 1 лк); 3 - яркость любого непреднамеренно и неустановленно отражающего объекта составляет менее 1% измеренной номинальной черной яркости дисплея. | en | darkroom |
fr | chambre noire | |
en | default colour set | |
fr | jeu de couleurs par | |
3.3.22 аномальное цветовое зрение: Зрение, при котором понижена способность отличать друг от друга некоторые или все цвета. Примечание - См. МКО 17.4:1987, определение 845-02-13. | en | defective colour vision |
fr | anomalie de la vision des couleurs (ou | |
en | depth-of-field | |
fr | profondeur de champ | |
3.3.24 проектное расстояние наблюдения: Расстояние или диапазон расстояний между экраном дисплея, предназначенного для наблюдения, и глазами оператора. Примечание - Расстояние или диапазон расстояний (нормируемый поставщиком) между экраном и глазами оператора, при котором изображение на дисплее соответствует требованиям настоящего стандарта, таким как размер знака, модуляция растра, коэффициент заполнения, пространственная нестабильность (дрожание) и временная нестабильность (мелькание). | en | design viewing distance |
fr | distance de vision ![]() | |
3.3.25 диффузное освещение: Освещение рабочей поверхности или объекта, не имеющее преимущественного направления. Примечания 1 См. МКО 17.4:1987, определение 845-09-20. 2 Свет, исходящий от нескольких изолированных источников, не может относиться к диффузному освещению. Для обеспечения диффузного освещения, как правило, используется интегрирующая сфера или полусфера. | en | diffused lighting |
fr | ||
3.3.26 диффузное отражение: Отражение, при котором зеркальное отражение заметно не проявляется и отраженный свет рассеивается. Примечание - См. МКО 17.4:1987, определение 845-04-47. | en | diffuse reflection |
fr | diffuse | |
3.3.27 рассеивание: Пространственное распределение пучка света, который изменяется в разных направлениях от своего первоначального направления. Примечание - См. МКО 17.4:1987, определение 845-04-44. | en | diffusion; scattering |
fr | diffusion; dispersion | |
en | extended source of luminance | |
fr | source de luminance | |
3.3.29 франкфуртская плоскость: Мнимая плоскость, образованная горизонтальным сечением головы пользователя, между козелком и самой нижней точкой глазной впадины. См. рисунок 6. Примечание - Кроме того, это горизонтальная плоскость на уровне верхнего края слухового отверстия уха и нижней границы нижнего края глазницы в случае, когда центральная плоскость головы находится в вертикальном положении. | en | Frankfort plane |
fr | plan de Frankfort |

en | field of view; FOV | |
fr | champ de vision; CDV | |
3.3.31 угол наблюдения: Угол между франкфуртской плоскостью и плоскостью, образованной зрачками и визуальным объектом (см. рисунок 7). | en | gaze angle |
fr | angle d'observation |

3.3.32 угол наклона головы: Угол между франкфуртской плоскостью и горизонтальной плоскостью, образованной наклоном головы. См. рисунок 8. Примечание - Когда голова расположена прямо, угол наклона головы составляет около 4°. | en | head tilt angle |
fr | angle d'inclinaison de la |

3.3.33 полусферическое освещение: Освещенность плоской поверхности, в соответствии с которой освещенность одна и та же в любом направлении от поверхности, и окружающая яркость постоянна во всех направлениях в передней части плоской поверхности. Примечание - Если окружающая яркость постоянна, то соответственно постоянна освещенность. | en | hemispheric lighting |
fr | ![]() | |
en | just-noticeable difference | |
fr | liminaire | |
en | legibility | |
fr | ||
Примечание - Линия наблюдения при использовании двух глаз - линия, соединяющая точку фиксации зрения и середину отрезка между двумя глазами. | en | line-of-sight |
fr | ligne de | |
en | orthogonality | |
fr | ![]() | |
en | readability | |
fr | de lecture | |
en | small source of luminance | |
fr | petite source de luminance | |
en | stereopsis | |
fr | ![]() | |
en | tritanopia, small-field | |
fr | tritanopie, petit champ | |
3.3.42 диапазон направлений наблюдения: Телесный угол, образующийся из пикселя, который включает в себя все направления наблюдения, удовлетворяющие всем заявленным нормам. Примечание - См. подкомитет 47 МЭК. | en | viewing directions range |
fr | gamme des directions de vision | |
3.3.43 диапазон угла наблюдения: Коническая область, начинающаяся в пикселе, включающая в себя все направления наблюдения, удовлетворяющие всем заявленным нормам. Примечание - См. подкомитет 47 МЭК. | en | viewing angle range |
fr | gamme des angles de vision | |
3.3.44 направление наблюдения: Направление, при котором дисплей рассматривается, как измеренный при стандартном использовании сферически-полярных координат. Примечание - Для определения координат см. 3.3.19. | en | viewing direction |
fr | direction de vision |
en | absolute luminance coding | |
fr | codification par luminance absolue | |
en | attribute | |
fr | attribut | |
3.4.3 разность цветности в равноконтрастном пространстве (применительно к технологии дисплеев): Евклидово расстояние между любыми двумя точками на поверхности экрана на равноконтрастном цветовом графике МКО 1976 г. Примечание - Учитывая, что дисплей имеет одни и те же цвета по всей поверхности, разность цветности в равноконтрастном пространстве - разность цветностей (выражена, как евклидово расстояние между любыми двумя точками 1 и 2 на поверхности экрана на равноконтрастном цветовом графике МКО 1976). | en | chromaticity uniformity difference |
fr | de ![]() | |
en | coding | |
fr | codification | |
3.4.5 диакритические знаки: Модифицирующий значок внутри или рядом со знаком, указывающий на его фонетическое отличие от непомеченного знака. Пример - | en | diacritics |
fr | diacritique | |
en | display | |
fr | affichage | |
en | display luminance | |
fr | luminance de l'affichage | |
Примечание - Эту поверхность глаз видит в первую очередь при взгляде на дисплей. См. определение 3.4.40. | en | display surface |
fr | surface d'affichage | |
Примечание - Этот свет может быть получен от самого приемника или (при наличии) одного или нескольких внутренних источников света, модулируемых приемником. См. подкомитет 47 МЭК. | en | emissive display |
fr | affichage | |
3.4.10 коэффициент заполнения: Доля общей геометрически доступной площади пикселя, которая может изменить информацию на дисплее. Примечание - Для дискретно-пиксельных дисплеев внешняя граница всех пикселей определяет активную область (3.3.2). Между пикселями и субпикселями есть пробелы, которые структурно поддерживают или определяют пиксель. Коэффициент заполнения - отношение разности активной области и области пробелов к активной области. | en | fill factor |
fr | facteur de remplissage | |
3.4.11 время спада: Время, необходимое яркости для достижения уровня равновесия после того, как сигнал начал спадать. Примечание - Как правило, время спада характеризуется временем перехода от 90% до 10% - от светлого к темному уровню равновесия яркости. См. верность передачи информации (3.4.47). | en | fall time |
fr | temps de descente | |
3.4.12 шкала яркости (Нрк. серая шкала): Считают, что дисплей имеет шкалу яркости, если возможно выводить изображения, требующие более двух уровней яркости. Примечание - См. подкомитет 47 МЭК. | en | grey scale |
fr | ||
Примечание - В настоящее время не определено. | en | hold time |
fr | temps de maintien | |
См. рисунок 9. Пример - Для дисплеев с очень быстрыми электрооптическими процессами - период регенерации. Примечание - Относительная яркость (L - Lmax)/(Lmax - Lmin), где L - мгновенная яркость, Lmax и Lmin - усредненные по времени самые высокие и самые низкие состояния яркости соответственно. Время нарастания (спада) представляет собой переходы от 10% до 90% и обратно (см. определения 3.4.28 и 3.4.11). Относительная яркость отфильтрована для устранения изменений, которые визуально не обнаруживаются. Время формирования изображения допускается в диапазонах, приведенных в таблице 2. | en | image formation time |
fr | temps de formation de l'image |

диапазон, мс | Характеристика диапазона |
t <= 10 | Искажения движущегося изображения не обнаруживают при времени формирования изображения менее 3 мс |
10 < t <= 55 | Контраст устойчив для большинства приложений. Искажения движущегося изображения могут отвлекать |
55 < t <= 200 | Заметное снижение контраста у приложений, использующих прокрутку, анимацию и устройства управления. Кодирование миганием осуществляется с частотой от 1/3 до 5 Гц |
t > 200 | Заметное снижение контраста, наблюдаемое при клавишном вводе, прокрутке, анимации и кодировании миганием. Устройства управления с быстрым позиционированием курсора могут использоваться только с использованием специальных технических приемов |
Примечание - Представление светлых изображений на темном фоне обозначают как отрицательную полярность и темных изображений на светлом фоне - как положительную полярность. | en | image polarity |
fr | ||
3.4.16 тип изображения: Неподвижное изображение (3.4.44), обеспечивающее визуальную информацию без изменений во времени; квазистатическое изображение (3.4.37), обеспечивающее переменную визуальную информацию по расположению и (или) времени; движущееся изображение (3.4.22), обеспечивающее визуальную информацию посредством изменений во времени цветности, яркости и расположения, которые воспринимаются непрерывно. | en | image type |
fr | type d'image | |
en | linearity | |
fr | ||
en | luminance balance | |
fr | de luminance | |
en | luminance coding | |
fr | codification par luminance | |
Примечания 1 Для дисплеев в условиях окружающей среды, каждая яркость в соотношении - это сумма излучаемых и отраженных составляющих яркости при одной или более составляющих, свойственных для числителя и знаменателя. 2 Для исключения возможной путаницы избегают применения синонимов "контраст" и "яркостный контраст". | en | luminance ratio |
fr | rapport de luminance | |
en | luminance uniformity | |
fr | de la luminance | |
3.4.22 движущееся изображение: Визуальная информация, представленная посредством изменений во времени цветности, яркости и расположения, которые воспринимаются непрерывно. См. статью 3.4.16. | en | moving image |
fr | image en mouvement | |
en | negative polarity | |
fr | ![]() | |
en | positive polarity | |
fr | ||
en | raster modulation (raster-scan display) | |
fr | modulation de frame ( ) | |
3.4.26 отражающий дисплей: Устройство отображения, модулирующее свет от внешнего источника посредством отражения. Примечание - См. подкомитет 47 МЭК. | en | reflective display |
fr | affichage ![]() | |
en | relative luminance coding | |
fr | codification par luminance relative | |
3.4.28 время нарастания: Время, необходимое яркости для достижения уровня равновесия после того, как сигнал начал расти. Примечание - Чаще всего время нарастания характеризуется временем перехода от 90% до 10% от темного к светлому уровню равновесия яркости. См. статью 3.4.47. | en | rise time |
fr | temps de | |
3.4.29 пиксель: Наименьший элемент экрана, способный обеспечить полные функциональные возможности дисплея (т.е. цвет и шкалу яркости). Примечание - Для многоцветного дисплея это наименьший элемент изображения, к которому возможна адресация, способный воспроизводить полный цветовой диапазон или наименьший элемент экрана способный обеспечивать полные функциональные возможности дисплея. | en | pixel |
fr | pixel | |
en | pixel defect | |
fr | erreur de pixel | |
3.4.31 дефект пикселя: Дефектный пиксель или субпиксель, который виден при предполагаемом контексте использования. Примечания 2 Дефекты пикселей, которые находятся ниже порога видимости, не рассматривают. 3 Для эргономической эффективности это требование о том, что число, размер и контраст пятен и дефектов пикселей не превышают порог падения эффективности. 4 Определение класса дефектов (см. таблицу 4), который относится к первичным приемочным уровням пользователей и их задачам, связанным, например, с тем, где классы могут отражать следующие условия: a) ClassPixel 0 - для специальных единичных задач видеодисплеев с очень высокой чувствительностью и необходимостью минимизировать опасности при восприятии информации, такие как контроль критически важной информации в процессах или критические показатели процесса с высоким риском ошибочных решений и погрешностей, присущих процессам. b) ClassPixel I - для конкретных задач видеодисплеев с высокой чувствительностью и особым значением дефектов пикселей, таких как наблюдение, надзор, задач проверки качества изображения с меньшим риском дефектов, присущих в случае чтения, и ошибок наблюдения. c) ClassPixel II - для общих пользовательских задач дисплеев с чувствительностью к дефектам пикселей, таких как чтение и обработка текстовой информации, восприятие объекта и символьной информации с достаточной производительностью чтения для выполнения задачи. d) ClassPixel III и ClassPixel IV - для задач дисплеев с малой чувствительностью к дефектам пикселей, таких как обработка общественной информации и рекламы, чтение книг, и чтение быстродвижущихся изображений с достаточной производительностью, чтобы воспринимать информацию без неудобств для пользователя. 5 Дефект пикселя типа 3 (3.4.35) включает в себя темные пиксели в диапазонах 25% < Lx < 50% (темный участок), 50% <= Lx < 75% (светлый участок), где Lx - средняя реакция на команду "максимальная яркость" (например белый). Неустойчивые или мигающие пиксели оценены в 2PSU. Массовый коэффициент в PSU определен перед множителем nClassPixel дефекта пикселя типа 3 (3.4.35). | en | pixel fault |
fr | ||
en | pixel fault cluster | |
fr | groupe de | |
3.4.33 дефект пикселя типа 1: Дефект пикселя, при котором он постоянно находится в состоянии высокого уровня, когда системная команда - минимум яркости. L > 0,75LX + 0,25LN, где L - измененная яркость пикселя; LX - средняя реакция на команду "максимальная яркость" (например белый); LN - средняя реакция на команду "минимальная яркость" (например черный). | en | pixel fault type 1 |
fr | ||
3.4.34 дефект пикселя типа 2: Дефект пикселя, при котором он постоянно находится в состоянии низкого уровня, когда системная команда - минимум яркости. L < 0,75LN + 0,25LX, где L - измененная яркость пикселя; LX - средняя реакция на команду "максимальная яркость" (например белый); LN - средняя реакция на команду "минимальная яркость" (например черный). | en | pixel fault type 2 |
fr | ||
Пример - Субпиксель в необратимом состоянии или с неустойчивым дефектом. | en | pixel fault type 3 |
fr |
Тип дефекта | Описание дефекта |
Пиксель постоянно находится в состоянии высокого уровня (когда системная команда - минимум яркости) (L > 0,75LX + 0,25LN) | |
Пиксель постоянно находится в состоянии низкого уровня (когда системная команда - минимум яркости) L < 0,75LN + 0,25LX) | |
Например субпиксель в необратимом состоянии или с неустойчивым дефектом | |
Дефектный кластер | Два и более дефектных пикселя или субпикселя в пределах блока из пикселей 5 x 5 |
L - измененная яркость пикселя; LX - средняя реакция на команду "максимальная яркость" (например белый); LN - средняя реакция на команду "минимальная яркость" (например черный). | |
Класс пикселя | Тип | Кластер с дефектами типа 3 | ||||
высокого уровня | низкого уровня | |||||
0 | 0 | 0 | 0 | 0 | 0 | 0 |
I (для типа 3 = 5PSU) | 1 | 1 | 2 | 1 | 0 | 0 |
1 | 1 | 1 | 3 | 0 | 0 | |
1 | 1 | 0 | 5 | 0 | 0 | |
II (для типа 3 = 10PSU) | 2 | 2 | 5 | 0 | 0 | 1 |
2 | 2 | 5 - 1nII | 2nII | 0 | 1 | |
2 | 2 | 0 | 10 | 0 | 1 | |
III (для типа 3 = 100PSU) | 5 | 15 | 50 | 0 | 0 | 5 |
5 | 15 | 50 - 1nIII | 2nIII | 0 | 5 | |
5 | 15 | 0 | 100 | 0 | 5 | |
IV (для типа 3 = 1000PSU) | 50 | 150 | 500 | 0 | 5 | 50 |
50 | 150 | 500 - 1nIV | 2nIV | 5 | 50 | |
50 | 150 | 0 | 1000 | 5 | 50 | |
Примечания 1 Дефекты, которые находятся ниже порога видимости при проектном расстоянии наблюдения и проектном уровне яркости, не рассматривают. 2 Для эргономической эффективности, число, размер и контраст ошибок и дефектов пикселей не должно превышать порог снижения эффективности. 3 Представленные в таблице классы дефектов рассматривают далее: a) Дефекты светлых субпикселей воспринимаются чувствительнее, чем дефекты темных субпикселей. Таким образом, дефект типа 3 постоянно высокого уровня равен 2PSU, а дефект типа 3 постоянно низкого уровня равен 1PSU при том, что дефекты пикселей оценены в Воспринимаемых Единицах Чувствительности (PSU). Следовательно, возможны различные сочетания дефектов типа 3 в ClassPixel I, II, III и IV. b) В основном у небольших дисплеев с диагональю экрана < 9,1 дюйма (23,1 см) плотность пикселей выше и воспринимаются они (пиксели) менее чувствительно, чем у больших дисплеев с диагональю экрана > 9,1 (23,1 см) с меньшей плотностью пикселей. c) Определение класса дефектов (см. таблицу 4), который относится к первичным приемочным уровням пользователей и их задачам, связанным, например, с тем, где классы могут отражать следующие условия: 1) ClassPixel 0 - для специальных единичных задач видеодисплеев с очень высокой чувствительностью и необходимостью минимизировать опасности при восприятии информации, такие как контроль критически важной информации в процессах или критические показатели процесса с высоким риском ошибочных решений и погрешностей, присущих процессам. 2) ClassPixel I - для конкретных задач видеодисплеев с высокой чувствительностью и особым значением дефектов пикселей, таких как наблюдение, надзор, задач проверки качества изображения с меньшим риском дефектов, присущих в случае чтения, и ошибок наблюдения. 3) ClassPixel II - для общих пользовательских задач дисплеев с чувствительностью к дефектам пикселей, таких как чтение и обработка текстовой информации, воспринимая объект и символьную информацию с достаточной производительностью чтения для выполнения задачи. 4) ClassPixel III и ClassPixel IV - для задач дисплеев с малой чувствительностью к дефектам пикселей, таких как обработка общественной информации и рекламы, чтение книг и чтение быстро движущихся изображений с достаточной производительностью, чтобы воспринимать информацию без неудобств для пользователя. 4 Критерии, связанные с эргономической эффективностью, с пороговыми значениями дефектов для обычных и особых задач находятся на рассмотрении. 5 Дефекты пикселя типа 3 включают в себя пиксели в диапазонах 25% < LX < 50% (темный участок) и 50% <= LX < 75% (светлый участок), где LX - средняя реакция на команду "максимальная яркость" (например белый). Неустойчивые или мигающие пиксели оценены в 2PSU. Массовый коэффициент в PSU определен перед множителем nClassPixel дефектов пикселей типа 3. 6 Множитель nClassPixel может изменяться в единицах PSU и находиться в диапазонах nII = от 1 до 4, nIII = от 1 до 49, nIV = от 1 до 499. Если класс дефекта ClassPixel не 0 или I, поставщик должен указать класс дефекта ClassPixel, а также nClassPixel, в зависимости от заданного распределения PSU. 7 Расчет максимального числа дефектов пикселей зависит от размера экрана дисплея и числа пикселей на нем: для дисплеев с диагональю экрана > 9,1 дюйма (23,1 см): каждый тип дефекта на миллион пикселей; для дисплеев с числом пикселей > 250 000 и диагональю экрана <= 9,1 дюйма (23,1 см): каждый тип дефекта на 250 000 пикселей; для дисплеев с числом пикселей <= 250 000 и диагональю экрана <= 9,1 дюйма (23,1 см): каждый тип дефекта для всего экрана дисплея. | ||||||
3.4.36 шаг пикселя: Расстояние между соответствующими точками на соседних пикселях как по горизонтали Hшаг, так и по вертикали Vшаг. Примечание - Единица - миллиметры или угловые минуты. | en | pixel pitch |
fr | pas de pixel | |
3.4.37 квазистатическое изображение: Визуальная информация, переменная по расположению и (или) времени. Примечание - См. статью 3.4.16. | en | quasi-static image |
fr | image quasi-statique | |
3.4.38 частота дискретизации; частота регенерации: Максимальная частота, с которой может меняться информация на экране. Примечание - См. статью 3.4.47. | en | sampling frequency (refresh rate) |
fr | ( de ) | |
Примечание - Часто это делается путем последовательного отображения пикселей в горизонтальной линии или линиях одновременно. | en | scanning display |
fr | affichage | |
3.4.40 экран: Часть дисплея (устройства отображения), предназначенная для отображения видимой информации. Примечание - Этот термин относится к ранней стадии развития электронных устройств отображения информации. Термин часто используется при включении любой окружающей области, выглядящей так же, как и сделанная из того же материала поверхность - следовательно, появляется потребность в определении активной области (3.3.2) для указания только конкретной части экрана вывода информации. | en | screen |
fr | ||
en | simple graphics | |
fr | graphisme simple | |
3.4.42 панель малых размеров: Плоская панель с наименьшим угловым размером области наблюдения в диапазоне от 1,6° до 4,8° при проектном расстоянии наблюдения и с наибольшим угловым размером не менее 4,8° при проектном расстоянии наблюдения. Примечания 1 Меньшие панели не вмещают более 40 совместимых с латинскими символов и не рассматриваются в настоящем стандарте. 2 Для расстояния наблюдения 500 мм, 1,6° => размер в 14 мм; 4,8° => размер в 42 мм. | en | small-size panel |
fr | ||
en | spatial instability | |
fr | spatiale | |
Примечание - См. статью 3.4.16. | en | still image |
fr | image fixe | |
3.4.45 субпиксель: Внутренняя структура в пикселе с отдельной адресацией, расширяющая функции пикселя. Пример - Субпиксели основного цвета, используемые в некоторых многоцветных плоских панелях, субпиксели кратных размеров, используемые для создания полутонов шкалы яркости. Примечания 1 Микроструктуру пикселей иногда используют для уменьшения анизотропии или улучшения видимости введением избыточности в плоских панелях. Такие микроструктуры в настоящем стандарте называются субпикселями. 2 В технической литературе по данной тематике, как правило, применяют термин "точка", который не применяют в настоящем стандарте. | en | subpixel |
fr | sous-pixel | |
3.4.46 угол наклона экрана; Примечания 1 Единица - градусы (°). | en | screen tilt angle |
fr | angle d'inclinaison de |

en | temporal fidelity | |
fr | ||
en | temporal instability | |
fr | temporelle | |
3.4.49 прозрачно-отражающий дисплей: Устройство отображения, модулирующее свет от внешнего источника посредством отражения или от другого источника - передачей сквозь полупрозрачный отражатель. Примечание - См. подкомитет 47 МЭК. | en | transflective display |
fr | affichage transflectif | |
3.4.50 дисплей, работающий на пропускание: Дисплей, модулирующий свет от внешнего источника посредством пропускания. Примечание - Если дисплей имеет встроенный источник света, то для целей настоящего стандарта, дисплей определен как эмиссионный, а не как прозрачно-отражающий или работающий на пропускание. См. подкомитет 47 МЭК. | en | transmissive display |
fr | affichage transmissif | |
3.4.51 область наблюдения: Активная область, а также любые непрерывные области, которые постоянно отображают визуальную информацию или состояние дисплея в фоновом режиме. Примечание - См. подкомитет 47 МЭК. | en | viewing area |
fr | surface de vision | |
3.4.52 дисплей виртуального изображения: Устройство, которое оптически или голографически формирует виртуальное изображение. См. рисунок 11. | en | virtual-image display |
fr | affichage |

; 3 - оптика, формирующая
3.5.1 аккомодация: Изменение оптической силы глаза, позволяющее четко фокусировать изображение объекта на сетчатку глаза при условии, что расстояние от глаза до объекта меняется. Примечание - Аккомодация - это процесс настройки фокусного расстояния объектива. | en | accommodation |
fr | accommodation | |
en | apparent frontoparallel plane horopter; AFPP | |
fr | apparent; AFPP | |
en | asthenopia | |
fr | ![]() | |
en | biocular display device | |
fr | dispositif d'affichage bioculaire | |
en | binocular display device | |
fr | dispositif d'affichage binoculaire | |
en | binocular fusion | |
fr | fusion binoculaire | |
en | binocular overlap | |
fr | chevauchement binoculaire | |
en | binocular rivalry | |
fr | ||
3.5.9 хроматическая аберрация: Неспособность линзы фокусировать все цвета света от точечного источника, находящегося на оси объекта, до идеального изображения того же цвета в их пространстве, т.е. изменение в фокальной точке разных цветов света от такого же многоцветового источника, что приводит к нежелательной цветовой кайме в изображениях. | en | chromatic aberration |
fr | aberration chromatique | |
en | convergence | |
fr | convergence | |
en | convergent disparity | |
fr | convergente | |
См. рисунок 12. | en | convergence point |
fr | point de convergence |

en | crossed disparity | |
fr | | |
en | cycles per degree; CPD | |
fr | cycles par | |
en | dichoptic (half-image) | |
fr | dichoptique (demi-image) | |
3.5.16 диплопия (Нрк. двоение в глазах): Неспособность бинокулярно совмещать два изображения в один объект восприятия. Примечание - Образы, полученные левым и правым глазом, могут быть частично или полностью конкурентными. | en | diplopia |
fr | diplopie | |
en | divergence | |
fr | divergence | |
en | divergent disparity | |
fr | divergente | |
en | eccentricity | |
fr | ![]() | |
3.5.20 выходной зрачок: Вертикальное/горизонтальное измерение подготовленного пространства наблюдения. См. рисунки 13 и 14. Примечание - Измерение может зависеть от направления наблюдения. | en | exit pupil |
fr | pupille de sortie |

ИС МЕГАНОРМ: примечание. Текст дан в соответствии с официальным текстом документа. |
; 3 - оптика, формирующая
; 3 - координаты x, yen | eye relief | |
fr | de point d'oeil | |
en | fixation | |
fr | fixation | |
en | fixation point | |
fr | point de fixation | |
3.5.24 фокусное расстояние: Точка, в которой геометрические линии или их продолжения, соответствующие лучам, расходясь или сходясь в другой точке пересечения, порождают изображение после отражения от зеркала или преломления линзой или оптической системой. См. рисунок 15. | en | focus distance |
fr | distance focale |

; 2 - предполагаемые фокальные точкиen | fovea | |
fr | fovea | |
3.5.26 горизонтальная диспарантность: Различие в относительном положении визуальных изображений объекта на двух сетчатках. См. рисунок 16. | en | horizontal disparity |
fr | horizontale |

. Точка P имеет сходящуюся или перекрестную3.5.27 разница горизонтального увеличения: Разница в горизонтальном увеличении между двумя биокулярными или бинокулярными дисплеями виртуального изображения. См. рисунок 17. | en | horizontal magnification difference |
fr | de grossissement horizontale |

3.5.28 горизонтальное смещение: Разница горизонтального положения между двумя биокулярными или бинокулярными дисплеями виртуального изображения. См. рисунок 18. | en | horizontal misalignment |
fr |

en | horopter | |
fr | ![]() | |
Примеры 1 Межглазное суммирование светлоты. 2 Межглазная подвижность дисплея. | en | interocular |
fr | interoculaire | |
en | interocular contrast difference | |
fr | de contraste interoculaire | |
3.5.32 межглазная разница в геометрических искажениях: Разница в геометрическом искажении, бочкообразном или подушкообразном, между двумя биокулярными или бинокулярными дисплеями виртуального изображения. См. рисунок 19. | en | interocular difference in geometrical distortions |
fr | interoculaire dans les distorsions ![]() |


en | interocular difference in trapezoidial distortion | |
fr | interoculaire dans la distorsion ![]() | |
en | interocular focus difference | |
fr | de foyer interoculaire | |
3.5.35 межглазная разница увеличения: Разница в увеличении между двумя биокулярными или бинокулярными дисплеями виртуального изображения. См. рисунок 20. | en | interocular magnification difference |
fr | de grossissement interoculaire |

en | interocular luminance difference | |
fr | de luminance interoculaire | |
См. рисунок 12. | en | interpupillary distance |
fr | distance interpupillaire | |
en | monocular display device | |
fr | dispositif d'affichage monoculaire | |
en | motor fusion | |
fr | fusion motrice | |
3.5.40 диагональное смещение: Разница положения по диагонали между двумя биокулярными или бинокулярными дисплеями виртуального изображения. См. рисунок 21. | en | oblique misalignment |
fr |

3.5.41 разница наклонного увеличения: Разница в наклонном трапециевидном искажении между двумя биокулярными или бинокулярными дисплеями виртуального изображения. См. рисунок 22. | en | oblique magnification difference |
fr | de grossissement oblique |

en | qualified viewing space; QVS | |
fr | espace de vision ; QVS | |
3.5.43 вращательное смещение: Разница вращения между двумя биокулярными или бинокулярными дисплеями виртуального изображения. См. рисунок 23. | en | rotational misalignment |
fr |

3.5.44 сагиттальный фокус: Фокальная точка точечного объекта, не лежащего на оси, в которой сфокусированные лучи проходят линзу через центр по всей длине линии, перпендикулярной к направлению смещения точечного объекта. См. рисунок 24. | en | sagittal focus |
fr | foyer sagittal |

en | see-through | |
fr | transparence | |
en | sensory fusion | |
fr | fusion sensorielle | |
en | simulator sickness | |
fr | mal du virtuel | |
Примечание - Преобразование Фурье раскладывает или разделяет сигнал или функцию на синусоиды различных частот, сумма которых равна первоначальному сигналу. Оно определяет или отличает синусоиды различной частоты и их амплитуды. Зрительная система человека содержит пространственно-частотно-чувствительные каналы, и различные свойства зрительной системы меняются в зависимости от пространственной частоты компонентов изображения. | en | spatial frequency |
fr | spatiale | |
3.5.49 сферическая аберрация: Неспособность линзы формировать точечное изображение монохроматического точечного источника на оси линзы (объектива), то есть различные радиальные зоны поверхности линзы (объектива) отображают различные фокальные точки. См. рисунок 25. | en | spherical aberration |
fr | aberration ![]() |

en | stereopair | |
fr | couple ![]() | |
en | stereopsis | |
fr | ![]() | |
en | stereoscopic | |
fr | ![]() | |
en | stereoscopic field curvature | |
fr | courbure de champ ![]() | |
3.5.54 тангенциальный фокус: Фокальная (фокусная) точка точечного объекта, не лежащего на оси, в которой сфокусированные лучи проходят линзу через центр по всей длине линии, параллельной направлению смещения точечного объекта. См. рисунок 26. | en | tangential focus |
fr | foyer tangentiel |

![]() См. рисунок 27. | en | vergence angle |
fr | angle de vergence |

en | vertical disparity | |
fr | verticale | |
3.5.57 разница вертикального увеличения: Разница в вертикальном увеличении между двумя биокулярными или бинокулярными дисплеями виртуального изображения. См. рисунок 28. | en | vertical magnification difference |
fr | de grossissement vertical |

3.5.58 вертикальное смещение: Разница вертикального положения между двумя биокулярными или бинокулярными дисплеями виртуального изображения (см. рисунок 29). | en | vertical misalignment |
fr |

en | visual axis | |
fr | axe visuel | |
en | uncrossed disparity | |
fr | non |
3.6.1 интервал со сглаженной ступенчатостью: Алфавитно-цифровые знаки, в начертании которых применена техника сглаживания контуров знаков. Примечание - [1], пункт 2.2. | en | anti-aliased font |
fr | police ![]() | |
3.6.2 интервал между знаками: Расстояние между ближайшими точками соседних по горизонтали знаков в интервалах, кратных целому пикселю (в целых пикселях). Примечание - Единица - пиксель. | en | between-character space |
fr | espace entre ![]() | |
3.6.3 интервал между строками: Расстояние по вертикали между ближайшими точками соседних знаков в интервалах, кратных целому пикселю. Примечание - Единица - пиксель. | en | between-line spacing |
fr | espacement entre lignes | |
3.6.4 интервал между словами: Расстояние по горизонтали между ближайшими точками соседних слов в интервалах, кратных целому пикселю. Примечание - Единица - пиксель. | en | between-word spacing |
fr | espacement entre mots | |
Примечания 1 Единица - пиксель. 2 Формат знака - размер матрицы, используемой для формирования отдельного знака в пикселях. | en | character format |
fr | format de ![]() | |
3.6.6 показатель высоты знака; NH,высота: Число пикселей по высоте прописной буквы "H" без акцентирующего знака. Примечание - Единица - пиксель. | en | character height number |
fr | nombre de hauteur de ![]() | |
en | character height | |
fr | hauteur de ![]() | |
en | character width | |
fr | largeurde ![]() | |
en | character width-to-height ratio | |
fr | rapport largeur-hauteur de ![]() | |
3.6.10 ширина штриха: Среднеизмеренное расстояние между краями штриха знака по горизонтали и вертикали, выраженное числом целых интервалов в пикселях, усредненных для каждого штриха знака. Примечания 1 Единицы - пиксели. 2 В случае многократного штриха, выраженного в пикселях, расстоянием между краями штриха знака является внешняя от края до края ширина штриха знака. | en | stroke width |
fr | de trait |
аберрация хроматическая | |
аберрация сферическая | |
адаптация | |
аккомодация | |
астенопия | |
баланс яркостей | |
белый опорный | |
"болезнь тренажерная" | |
верность передачи информации ![]() | |
время спада | |
время удержания | |
время формирования изображения | |
время нарастания | |
высота знака | |
глубина резкости | |
гороптер | |
график цветностей | |
график цветовой равноконтрастный | |
график 1960 цветовой равноконтрастный | |
график МКО 1976 цветовой равноконтрастный | |
графика простая | |
двоение в глазах | |
дефект пикселя | |
дефект пикселя типа 1 | |
дефект пикселя типа 2 | |
дефект пикселя типа 3 | |
диапазон направлений наблюдения | |
диапазон угла наблюдения | |
дивергенция | |
диплопия | |
диспарантность вертикальная | |
диспарантность горизонтальная | |
диспарантность неперекрестная | |
диспарантность перекрестная | |
диспарантность расходящаяся | |
диспарантность сходящаяся | |
дисплей | |
дисплей анизотропный | |
дисплей виртуального изображения | |
дисплей отражающий | |
дисплей прозрачно-отражающий | |
дисплей растровый | |
дисплей, работающий на пропускание | |
дисплей с растровой разверткой | |
дисплей эмиссионный | |
длина волны доминирующая | |
длина волны дополнительная | |
длина волны цветового стимула доминирующая | |
длина волны цветового стимула дополнительная | |
длина волны доминирующая одинаковая | |
закон Ламберта | |
закон косинуса | |
знаки диакритические | |
значение стягиваемого угла | |
зрачок выходной | |
зрение цветовое аномальное | |
идентификация цвета | |
изображение движущееся | |
изображение дихоптическое | |
изображение квазистатическое | |
изображение неподвижное | |
интервал между знаками | |
интервал между строками | |
интервал между словами | |
интервал со сглаженной ступенчатостью | |
интерпретация цвета | |
истинность | |
источник освещения протяженный | |
источник яркости малых размеров | |
кластер дефектов пикселя | |
кодирование | |
кодирование миганием | |
кодирование яркостью | |
кодирование яркостью абсолютное | |
кодирование яркостью относительное | |
комната темная | |
компонент пары стереоскопической | |
конвергенция | |
контраст | |
контраст яркостный | |
конкуренция бинокулярная | |
координаты цвета | |
координаты цветности | |
коэффициент заполнения | |
коэффициент яркости | |
кривизна поля стереоскопическая | |
КЦТ | |
линейность | |
линия наблюдения | |
линия спектральных цветностей | |
межглазной | |
модуляция растра | |
МФПГ | |
наложение бинокулярное | |
направление наблюдения | |
насыщенность | |
неоднородность контраста | |
нестабильность ![]() | |
нестабильность пространственная | |
область активная | |
область наблюдения | |
обнаружение цвета | |
ограничение цветов спектральное | |
однородность яркости | |
освещение диффузное | |
освещение полусферическое | |
ось зрительная | |
ортогональность | |
отношение ширины знака к высоте | |
отношение яркостей | |
отражение диффузное | |
ощущение цветовое ахроматическое | |
панель размеров малых | |
пиксель | |
пиксель дефектный | |
ПЗ | |
плоскость гороптера фронтопараллельная мнимая | |
плоскость франкфуртская | |
поверхность дисплея | |
поверхность Ламберта | |
поверхность оптически анизотропная | |
показатель высоты знака | |
показатель яркости | |
поле зрения | |
полярность изображения | |
полярность отрицательная | |
полярность положительная | |
постоянство размера знака | |
поток световой | |
ППН | |
признак характерный | |
пространство МКО 1976 L*a*b* цветовое равноконтрастное | |
пространство МКО 1976 L*u*v* цветовое | |
пространство наблюдения подготовленное | |
пространство цветовое равноконтрастное | |
разборчивость | |
различение цветов | |
разница горизонтального увеличения | |
разница в геометрических искажениях межглазная | |
разница вертикального увеличения | |
разница в трапециевидном искажении межглазная | |
разница едва заметная | |
разница контрастная межглазная | |
разница наклонного увеличения | |
разница увеличения межглазная | |
разница фокусная межглазная | |
разница яркости межглазная | |
разность цветности в равноконтрастном пространстве | |
разность цветов МКО 1976 L*a*b* | |
разность цветов МКО 1976 L*u*v* | |
рассеивание | |
расстояние межзрачковое | |
расстояние между глазом и оптическим устройством | |
расстояние наблюдения проектное | |
расстояние фокусное | |
расходимость | |
РЦГ | |
светлота | |
светлота площадки неизолированного цвета | |
сила совмещения движущая | |
символ условный | |
система координат | |
система МКО 1931 колориметрическая стандартная | |
смешение аддитивное | |
смещение вертикальное | |
смещение вращательное | |
смещение горизонтальное | |
смещение диагональное | |
совмещение бинокулярное | |
совмещение сенсорное | |
стереопара | |
стереопсис | |
стереоскопия | |
стереохроматизм | |
субпиксель | |
сходимость | |
температура цветовая | |
температура цветовая коррелированная | |
тип изображения | |
тон цветовой | |
точка сходимости | |
точка фиксации | |
тританопия малопольная | |
угол наблюдения | |
угол наклона головы | |
угол наклона экрана | |
угол обзора | |
угол стягиваемый | |
угол сходимости/расходимости | |
удобочитаемость | |
установка цветов по умолчанию | |
устройство отображения биокулярное | |
устройство отображения бинокулярное | |
устройство отображения монокулярное | |
фиксация | |
фовеа | |
фокус сагиттальный | |
фокус тангенциальный | |
формат знака | |
цвет насыщенный | |
цветность | |
циклы в расчете на градус | |
ЦРГ | |
частота дискретизации | |
частота пространственная | |
частота регенерации | |
чистота цвета | |
чистота цвета колориметрическая | |
шаг пикселя | |
ширина знака | |
ширина штриха | |
шкала серая | |
шкала яркости | |
экран | |
эксцентричность | |
яркость габаритная | |
яркость изображения дисплея | |
яркость фона |
A | |
absolute luminance coding | |
accommodation | |
achromatic [perceived] colour | |
active area | |
adaptation | |
additive mixing | |
angle of view | |
AFPP | |
angular subtense | |
anisotropic display | |
anti-aliased font | |
apparent frontoparallel plane horopter | |
arbitrary symbol | |
area luminance | |
asthenopia | |
attribute | |
B | |
background luminance | |
between-character space | |
between-line spacing | |
between-word spacing | |
binocular display device | |
binocular fusion | |
binocular overlap | |
binocular rivalry | |
biocular display device | |
blink coding | |
brightness | |
C | |
CCT | |
character format | |
character height | |
character height number | |
character size uniformity | |
character subtense | |
character width | |
character width-to-height ratio | |
chroma | |
chromatic aberration | |
chromaticity | |
chromaticity coordinates | |
chromaticity diagram | |
chromaticity uniformity difference | |
chromostereopsis | |
CIE 1931 standard colorimetric system | |
CIE 1960 uniform chromaticity scale UCS | |
CIE 1976 L*a*b* colour difference | |
CIE 1976 L*u*v* colour difference | |
CIE 1976 L*u*v* colour space | |
CIE 1976 uniform-chromaticity scale diagram | |
CIELAB 1976 L*, a*, b* uniform colour space | |
coding | |
colorimetric purity | |
colour detection | |
colour discrimination | |
colour identification | |
colour interpretation | |
colour temperature | |
complementary wavelength | |
contrast | |
contrast nonuniformity | |
convergence | |
convergence point | |
convergent disparity | |
coordinate system | |
correlated colour temperature | |
CPD | |
crossed disparity | |
cycles per degree | |
D | |
darkroom | |
default colour set | |
defective colour vision | |
depth-of-field | |
design viewing distance | |
diacritics | |
dichoptic | |
diffuse reflection | |
diffused lighting | |
diffusion | |
diplopia | |
display | |
display luminance | |
display surface | |
divergence | |
divergent disparity | |
dominant wavelength | |
E | |
eccentricity | |
emissive display | |
exit pupil | |
extended source of luminance | |
eye relief | |
F | |
fall time | |
field of view | |
fill factor | |
fixation | |
fixation point | |
focus distance | |
FOV | |
fovea | |
Frankfort plane | |
G | |
gaze angle | |
grey scale | |
H | |
half-image | |
head tilt angle | |
hemispheric lighting | |
hold time | |
horizontal disparity | |
horizontal magnification difference | |
horizontal misalignment | |
horopter | |
hue | |
I | |
image formation time | |
image polarity | |
image type | |
interocular | |
interocular contrast difference | |
interocular difference in geometrical distortions | |
interocular difference in trapezoidial distortion | |
interocular focus difference | |
interocular luminance difference | |
interocular magnification difference | |
interpupillary distance | |
J | |
just-noticeable difference | |
L | |
Lambertian surface | |
Lambert's cosine law | |
legibility | |
lightness | |
linearity | |
line-of-sight | |
luminance balance | |
luminance coding | |
luminance coefficient | |
luminance contrast | |
luminance factor | |
luminance ratio | |
luminance uniformity | |
luminous flux | |
M | |
monocular display device | |
motor fusion | |
moving image | |
N | |
negative polarity | |
O | |
oblique magnification difference | |
oblique misalignment | |
optically anisotropic surface | |
orthogonality | |
P | |
pixel | |
pixel defect | |
pixel fault | |
pixel fault cluster | |
pixel fault type 1 | |
pixel fault type 2 | |
pixel fault type 3 | |
pixel pitch | |
positive polarity | |
Q | |
qualified viewing space | |
quasi-static image | |
QVS | |
R | |
raster modulation | |
readability | |
reference white | |
reflective display | |
refresh rate | |
relative luminance coding | |
rise time | |
rotational misalignment | |
S | |
sagittal focus | |
same dominant wavelength | |
sampling frequency | |
saturated colour | |
saturation | |
scanning display | |
scattering | |
screen | |
screen tilt angle | |
see-through | |
sensory fusion | |
simple graphics | |
simulator sickness | |
small source of luminance | |
small-size panel | |
spatial frequency | |
spatial instability | |
spectrally extreme colours | |
spectrum locus | |
spherical aberration | |
stereopair | |
stereopsis | |
stereoscopic | |
stereoscopic field curvature | |
still image | |
stroke width | |
subpixel | |
T | |
tangential focus | |
temporal fidelity | |
temporal instability | |
transflective display | |
transmissive display | |
tristimulus values | |
tritanopia, small-field | |
U | |
uncrossed disparity | |
uniform colour space | |
uniform-chromaticity-scale diagram | |
V | |
vergence angle | |
vertical disparity | |
vertical magnification difference | |
vertical misalignment | |
viewing angle range | |
viewing area | |
viewing direction | |
viewing directions range | |
virtual-image display | |
visual axis | |
A | |
aberration ![]() | |
aberration chromatique | |
accommodation | |
adaptation | |
affichage | |
affichage | |
affichage | |
affichage anisotrope | |
affichage | |
affichage ![]() | |
affichage transflectif | |
affichage transmissif | |
AFPP | |
angle de vergence | |
angle de vue | |
angle d'inclinaison de la | |
angle d'inclinaison de | |
angle d'observation | |
angle d'ouverture | |
anomalie de la vision des couleurs (ou | |
![]() | |
attribut | |
axe visuel | |
B | |
blanc de ![]() | |
C | |
CCT | |
CDV | |
chambre noire | |
champ de vision | |
chevauchement binoculaire | |
chroma (saturation de la couleur) | |
![]() | |
![]() | |
codage des signaux intermittents | |
codification | |
codification par luminance | |
codification par luminance absolue | |
codification par luminance relative | |
coefficient de luminance (lumineuse) | |
composantes trichromatiques | |
contraste | |
contraste de luminance | |
convergence | |
trichromatiques | |
couleur | |
couleur | |
couleurs du spectre | |
couple ![]() | |
courbure de champ ![]() | |
CPD | |
cycles par | |
D | |
du contraste | |
de point d'oeil | |
demi-image | |
de la couleur | |
diacritique | |
diagramme de ![]() | |
diagramme de uniforme | |
diagramme de uniforme CIE 1976 | |
diagramme de uniforme UCS CIE 1960 | |
dichoptique | |
de contraste interoculaire | |
de couleur L*a*b* CIE 1976 | |
de couleur L*u*v* CIE 1976 | |
de foyer interoculaire | |
de grossissement horizontale | |
de grossissement interoculaire | |
de grossissement oblique | |
de grossissement vertical | |
de luminance interoculaire | |
de ![]() | |
interoculaire dans la distorsion ![]() | |
interoculaire dans les distorsions ![]() | |
liminaire | |
diffusion | |
diplopie | |
direction de vision | |
discrimination des couleurs | |
convergente | |
| |
divergente | |
horizontale | |
non | |
verticale | |
dispersion | |
dispositif d'affichage binoculaire | |
dispositif d'affichage bioculaire | |
dispositif d'affichage monoculaire | |
distance de vision ![]() | |
distance focale | |
distance interpupillaire | |
divergence | |
dyschromatopsie | |
E | |
![]() | |
de trait | |
de luminance | |
erreur de pixel | |
espace chromatique L*u*v* CIE 1976 | |
espace chromatique uniforme | |
espace chromatique uniforme L*, a*, b* CIELAB 1976 | |
espace de vision ![]() | |
espace entre ![]() | |
espacement entre lignes | |
espacement entre mots | |
![]() | |
F | |
facteur de luminance | |
facteur de remplissage | |
fixation | |
flux lumineux | |
format de ![]() | |
fovea | |
foyer sagittal | |
foyer tangentiel | |
( de ) | |
spatiale | |
fusion binoculaire | |
fusion motrice | |
fusion sensorielle | |
G | |
gamme des angles de vision | |
gamme des directions de vision | |
graphisme simple | |
groupe de | |
H | |
hauteur de ![]() | |
hauteur de jambage de ![]() | |
![]() | |
apparent | |
I | |
identification des couleurs | |
image en mouvement | |
image fixe | |
image quasi-statique | |
spatiale | |
temporelle | |
interoculaire | |
des couleurs | |
J | |
jeu de couleurs par | |
L | |
largeur de ![]() | |
lieu spectral | |
ligne de | |
loi du cosinus de Lambert | |
longueur d'onde ![]() | |
longueur d'onde dominante | |
luminance ![]() | |
luminance de l'affichage | |
luminance de surface | |
![]() | |
M | |
mal du virtuel | |
modulation de trame | |
N | |
nombre de hauteur de ![]() | |
O | |
![]() | |
P | |
pas de pixel | |
petite source de luminance | |
pixel | |
plan de Frankfort | |
point de convergence | |
point de fixation | |
![]() | |
police ![]() | |
de lecture | |
profondeur de champ | |
pupille de sortie | |
![]() | |
Q | |
QVS | |
R | |
rapport de luminance | |
rapport largeur-hauteur de ![]() | |
diffuse | |
S | |
saturation | |
source de luminance | |
sous-pixel | |
![]() | |
![]() | |
surface active | |
surface d'affichage | |
surface de vision | |
surface lambertienne | |
surface optique anisotrope | |
symbole arbitraire | |
![]() | |
CIE 1931 | |
T | |
teinte | |
de couleur | |
de couleur proximale | |
temps de descente | |
temps de formation de l'image | |
temps de maintien | |
temps de | |
transparence | |
tritanopie, petit champ | |
type d'image | |
U | |
de la luminance | |
de taille de ![]() | |
Номер части | Наименование | Текущее состояние |
1 | Общее введение | Действующий международный стандарт (планируется замена на ИСО/ТР 9241-1 и ИСО 9241-130) |
2 | Требования к производственному заданию | Действующий международный стандарт |
3 | Требования к визуальному отображению информации | Заменен на ИСО 9241 подсерии "300" |
4 | Требования к клавиатуре | Действующий международный стандарт (планируется замена на ИСО 9241 подсерии "400") |
5 | Требования к расположению рабочей станции и позе оператора | Действующий международный стандарт (планируется замена на ИСО 9241-500) |
6 | Руководство по рабочей среде | Действующий международный стандарт (планируется замена на ИСО 9241-600) |
7 | Требования к дисплею при наличии отражений | Заменен на ИСО 9241 подсерии "300" |
8 | Требования к отображаемым цветам | Заменен на ИСО 9241 подсерии "300" |
9 | Требования к не клавиатурным устройствам ввода | Действующий международный стандарт (планируется замена на ИСО 9241 подсерии "400") |
11 | Руководство по обеспечению пригодности использования | Действующий международный стандарт |
12 | Представление информации | Действующий международный стандарт (планируется замена на ИСО 9241-111 и ИСО 9241-141) |
13 | Руководство пользователя | Действующий международный стандарт (планируется замена на ИСО 9241-124) |
14 | Диалоги на основе меню | Действующий международный стандарт (планируется замена на ИСО 9241-131) |
15 | Командные диалоги | Действующий международный стандарт (планируется замена на ИСО 9241-132) |
16 | Диалоги непосредственного управления | Действующий международный стандарт (планируется замена на ИСО 9241-133) |
17 | Диалоги заполнения форм | Действующий международный стандарт (планируется замена на ИСО 9241-134) |
20 | Руководство по доступности оборудования и услуг в области информационных/коммуникационных технологий (ICT) | Действующий международный стандарт |
Введение | ||
100 | Введение в стандарты по эргономике программного обеспечения | Планируется разработка |
Общие принципы и основы | ||
110 | Принципы организации диалога | Действующий международный стандарт |
111 | Принципы представления информации | Планируется частичный пересмотр и замена ИСО 9241-12 |
112 | Принципы мультимедиа | Планируется частичный пересмотр и замена ИСО 14915-1 |
113 | Графический интерфейс пользователя и принципы управления | Планируется разработка |
Представление информации пользователям и их поддержка | ||
121 | Представление информации | Планируется разработка |
122 | Выбор и сочетание форм представления информации | Планируется частичный пересмотр и замена ИСО 14915-3 |
123 | Навигация | Планируется частичный пересмотр и замена ИСО 14915-2 |
124 | Руководство пользователя | Планируется пересмотр и замена ИСО 9241-13 |
129 | Руководство по индивидуализации программного обеспечения | Планируется разработка |
Диалоговые устройства | ||
130 | Выбор и сочетание способов диалога | Планируется объединение и замена ИСО 9241-1:1997/Дополнение 1:2001 |
131 | Диалоги на основе меню | Планируется замена ИСО 9241-14 |
132 | Командные диалоги | Планируется замена ИСО 9241-15 |
133 | Диалоги непосредственного управления | Планируется замена ИСО 9241-16 |
134 | Диалоги заполнения форм | Планируется замена ИСО 9241-17 |
135 | Естественные языки диалога | Планируется разработка |
Компоненты управления интерфейсом | ||
141 | Управление группами информации (включая окна) | Планируется частичная замена ИСО 9241-12 |
142 | Списки (перечни) | Планируется разработка |
143 | Управление формами представления информации | Планируется частичный пересмотр и замена ИСО 14915-2 |
Доменно-ориентированное руководство | ||
151 | Руководство по пользовательским интерфейсам сети Интернет | Действующий международный стандарт |
152 | Межличностное общение | Планируется разработка |
153 | Виртуальная реальность | Планируется разработка |
Доступность | ||
171 | Руководство по доступности программного обеспечения | Действующий международный стандарт |
Человеко-ориентированное проектирование | ||
200 | Введение в стандарты по человеко-ориентированному проектированию | Планируется разработка |
210 | Человеко-ориентированное проектирование для интерактивных систем | Планируется пересмотр и замена ИСО 13407 |
Эталонные модели процессов | ||
220 | Человеко-ориентированные процессы жизненного цикла | Планируется пересмотр и замена ИСО/ОДС 18152 (общедоступная спецификация) |
Методы | ||
230 | Человеко-ориентированные методы проектирования | Планируется пересмотр и замена ИСО/ТО 16982 |
Эргономические требования и методы измерений для электронных видеодисплеев | ||
300 | Введение в требования к электронным видеодисплеям | Действующий международный стандарт |
302 | Терминология для электронных видеодисплеев | Действующий международный стандарт |
303 | Требования к электронным видеодисплеям | Действующий международный стандарт |
304 | Методы испытаний пользовательских характеристик для электронных видеодисплеев | Действующий международный стандарт |
305 | Оптические лабораторные методы испытания электронных видеодисплеев | Действующий международный стандарт |
306 | Методы оценки электронных видеодисплеев в условиях эксплуатации | Действующий международный стандарт |
307 | Методы анализа и проверки соответствия электронных видеодисплеев | Действующий международный стандарт |
308 | Дисплеи с электронной эмиссией за счет поверхностной проводимости (SED) | Действующий технический отчет |
309 | Дисплеи на органических светодиодах (OLED) | Действующий технический отчет |
Физические устройства ввода | ||
400 | Принципы и требования к физическим устройствам ввода | Действующий международный стандарт |
410 | Критерии проектирования физических устройств ввода | Действующий международный стандарт |
411 | Лабораторные испытания и методы оценки конструкции физических устройств ввода | Планируется разработка |
420 | Процедуры выбора физических устройств ввода | Стадия подготовки к изданию |
421 | Методы испытаний и оценки физических устройств ввода, расположенных на рабочем места | Планируется разработка |
Рабочее место | ||
500 | Требования к расположению рабочей станции и позе оператора | Планируется пересмотр и замена ИСО 9241-5 |
Окружающая рабочая среда | ||
600 | Руководство по окружающей рабочей среде | Планируется пересмотреть и заменить стандарт ИСО 9241-6 |
Области применения | ||
710 | Введение в эргономическое проектирование центров управления | Планируется разработка |
711 | Принципы проектирования центров управления | Планируется пересмотр и замена ИСО 11064-1 |
712 | Принципы размещения комплексов управления | Планируется пересмотр и замена ИСО 11064-2 |
713 | Размещение диспетчерского помещения | Планируется пересмотр и замена ИСО 11064-3 |
714 | Расположение и размеры рабочих станций центра управления | Планируется пересмотр и замена ИСО 11064-4 |
715 | Дисплеи и средства управления центра управления | Планируется пересмотреть и заменить стандарт ИСО 11064-5 |
716 | Требования к окружающей среде диспетчерского помещения | Планируется пересмотр и замена ИСО 11064-6 |
717 | Принципы оценки центров управления | Планируется пересмотр и замена ИСО 11064-7 |
Тактильные и осязательные взаимодействия | ||
900 | Введение по тактильным и осязательным взаимодействиям | Планируется разработка |
910 | Основы тактильных и осязательных взаимодействий | Стадия подготовки к изданию |
920 | Руководство по тактильным и осязательным взаимодействиям | Стадия подготовки к изданию |
930 | Тактильные и осязательные взаимодействия в смешанных средах | Планируется разработка |
940 | Оценка тактильных и осязательных взаимодействий | Планируется разработка |
971 | Тактильные и осязательные интерфейсы общедоступных устройств | Планируется разработка |
Обозначение ссылочного международного стандарта | Степень соответствия | Обозначение и наименование соответствующего национального стандарта |
МКО 17.4:1987 (МЭК 60050-845) | - | <*> |
<*> Соответствующий национальный стандарт отсутствует. До его утверждения рекомендуется использовать перевод на русский язык данного международного стандарта. Перевод данного международного стандарта находится в Федеральном информационном фонде технических регламентов и стандартов. | ||
ISO 9241-3:1992 | Ergonomic requirements for office work with visual display terminals (VDTs). Part 3. Visual display requirements (Эргономические требования при выполнении офисных работ с использованием видеодисплейных терминалов (ВДТ). Часть 3. Требования к визуальному отображению информации) | |
CIE-Publication 15-2004 | Colorimetry (Колориметрия) | |
VESA FPDM Standard 2.0:2001 | Flat Panel Display Measurements (Измерение плоскопанельных дисплеев) | |
ISO 9241-9 | Ergonomic requirements for office work with visual display terminals (VDTs) - Part 9: Requirements for non-keyboard input devices (Эргономические требования при выполнении офисных работ с использованием видеодисплейных терминалов (ВДТ). Часть 9. Требования к не клавиатурным устройствам ввода) |
УДК 658/382:006.354 | ОКСТУ 4032 | |
Ключевые слова: контраст, дефект пикселя, разность цветов, цветовое пространство, яркость | ||