Главная // Актуальные документы // ГОСТ Р (Государственный стандарт)СПРАВКА
Источник публикации
М.: Стандартинформ, 2012
Примечание к документу
Документ
введен в действие с 1 марта 2012 года.
Название документа
"ГОСТ Р ИСО 3039-2011. Национальный стандарт Российской Федерации. Картон гофрированный. Метод определения массы составляющих слоев площадью 1 м2 после разделения"
(утв. и введен в действие Приказом Росстандарта от 28.11.2011 N 624-ст)
"ГОСТ Р ИСО 3039-2011. Национальный стандарт Российской Федерации. Картон гофрированный. Метод определения массы составляющих слоев площадью 1 м2 после разделения"
(утв. и введен в действие Приказом Росстандарта от 28.11.2011 N 624-ст)
Утвержден и введен в действие
агентства по техническому
регулированию и метрологии
от 28 ноября 2011 г. N 624-ст
НАЦИОНАЛЬНЫЙ СТАНДАРТ РОССИЙСКОЙ ФЕДЕРАЦИИ
КАРТОН ГОФРИРОВАННЫЙ
МЕТОД ОПРЕДЕЛЕНИЯ МАССЫ СОСТАВЛЯЮЩИХ СЛОЕВ
ПЛОЩАДЬЮ 1 м2 ПОСЛЕ РАЗДЕЛЕНИЯ
Corrugated fibreboard. Determination of grammage
of the component papers after separation
ISO 3039:2010
Corrugated fibreboard - Determination of grammage
of the component papers after separation
(IDT)
ГОСТ Р ИСО 3039-2011
Дата введения
1 марта 2012 года
Цели и принципы стандартизации в Российской Федерации установлены Федеральным
законом от 27 декабря 2002 г. N 184-ФЗ "О техническом регулировании", а правила применения национальных стандартов Российской Федерации -
ГОСТ Р 1.0-2004 "Стандартизация в Российской Федерации. Основные положения".
1. Подготовлен Открытым акционерным обществом "Всероссийский научно-исследовательский институт целлюлозно-бумажной промышленности" (ОАО "ВНИИБ") на основе собственного аутентичного перевода на русский язык стандарта, указанного в
пункте 4.
2. Внесен Техническим комитетом по стандартизации ТК 77 "Целлюлоза, бумага, картон и материалы промышленно-технические разного назначения".
3. Утвержден и введен в действие
Приказом Федерального агентства по техническому регулированию и метрологии от 28 ноября 2011 г. N 624-ст.
4. Настоящий стандарт идентичен международному стандарту ИСО 3039:2010 "Картон гофрированный. Определение массы 1 м2 составляющих слоев после разделения" (ISO 3039:2010 "Corrugated fibreboard - Determination of grammage of the component papers after separation").
Наименование настоящего стандарта изменено относительно наименования указанного международного стандарта для приведения в соответствие с ГОСТ Р 1.5
(пункт 3.5).
При применении настоящего стандарта рекомендуется использовать вместо ссылочных международных стандартов соответствующие им национальные стандарты Российской Федерации и международные стандарты, сведения о которых приведены в дополнительном
Приложении ДА.
5. Введен впервые.
Информация об изменениях к настоящему стандарту публикуется в ежегодно издаваемом информационном указателе "Национальные стандарты", а текст изменений и поправок - в ежемесячно издаваемых информационных указателях "Национальные стандарты". В случае пересмотра (замены) или отмены настоящего стандарта соответствующее уведомление будет опубликовано в ежемесячно издаваемом информационном указателе "Национальные стандарты". Соответствующая информация, уведомление и тексты размещаются также в информационной системе общего пользования - на официальном сайте Федерального агентства по техническому регулированию и метрологии в сети Интернет.
Настоящий стандарт распространяется на картон гофрированный и устанавливает метод определения массы составляющих его слоев площадью 1 м2 после их разделения.
В настоящем стандарте использованы нормативные ссылки на следующие международные стандарты:
ИСО 186 Бумага и картон. Отбор проб для определения среднего качества (ISO 186, Paper and board - Sampling to determine average quality)
ИСО 187 Бумага, картон и целлюлоза. Стандартная атмосфера для кондиционирования и испытания и методика контроля за атмосферой и условиями кондиционирования образцов (ISO 187, Paper, board and pulps. Standard atmosphere for conditioning and testing and procedure for monitoring the atmosphere and conditioning of samples)
В настоящем стандарте применены следующие термины с соответствующими определениями:
3.1. Масса бумаги или картона (mass per unit area), граммаж <*> (grammage): масса бумаги или картона площадью 1 м2, измеренная методом, установленным в стандарте.
--------------------------------
<*> Термин "граммаж" ("grammage") применяется в международной практике.
[ИСО 536:1995 [
1, статья 3.1]
Примечание. Массу бумаги или картона площадью 1 м2 выражают в граммах на квадратный метр.
3.2. Картон гофрированный (corrugated fibreboard): картон, состоящий из одного или нескольких склеенных между собой слоев гофрированной бумаги и плоских слоев картона.
3.3. Слой гофрированного картона (layer): компонент (составная часть) гофрированного картона, состоящий из гофрированной бумаги и плоского слоя картона.
3.4. Плоский слой картона (facing): вид картона, используемого в качестве плоского слоя гофрированного картона.
[ИСО 4046-4:2002 [
2, статья 4.66]
3.5. Гофрированный слой (fluting medium, corrugating medium): гофрированные бумага или картон, используемые при изготовлении гофрированного картона.
3.6. Наружный слой гофрированного картона (linerboard): картон, используемый в качестве наружного слоя гофрированного картона при его изготовлении.
[ИСО 4046-4:2002 [
2, статья 4.105]
Сущность метода заключается в разделении слоя гофрированного картона на составляющие слои и измерении массы каждого составляющего слоя площадью 1 м2 (далее - масса 1 м2) после выдерживания в воде, последующей сушки и кондиционирования.
5.1. Вода температурой 20 °C - 30 °C или горячая вода температурой не более 60 °C.
Используют обычное лабораторное оборудование.
6.1. Емкость достаточного размера с водой температурой 20 °C - 30 °C или с горячей водой (не более 60 °C) для погружения в нее образцов гофрированного картона для его разделения на составляющие слои.
6.2. Приспособление для нарезания образцов круглой формы диаметром (112,8 +/- 0,5) мм или квадратной формы со стороной квадрата (100 +/- 0,5) мм.
6.3. Шкаф сушильный, поддерживающий температуру воздуха (105 +/- 2) °C и имеющий вентиляцию.
6.4. Весы с погрешностью взвешивания не более +/- 0,001 г для измерения массы 1 м2 составляющих слоев гофрированного картона с точностью до трех значащих цифр <*>. Во время взвешивания образцов для испытаний весы должны быть защищены от воздушных потоков.
--------------------------------
<*> В том числе для измерения массы составляющих слоев картона с микрогофрой при значении массы 1 м2 отдельного слоя менее 100 г.
7.1. Отбор проб - по ИСО 186. Поверхность образца должна быть без повреждений. Образец картона должен быть представительным для всей партии картона. Образец должен быть отобран от партии картона без печати или покрытия.
8. Подготовка образцов гофрированного картона к испытанию
С помощью приспособления (см.
6.2) из любой пробы нарезают образцы картона площадью не менее 10000 мм2 (100 см2) круглой формы диаметром (112,8 +/- 0,5) мм или квадратной формы со стороной квадрата не менее (100 +/- 0,5) мм в количестве, необходимом для определения массы 1 м2 составляющих слоев в образце картона.
9.1. Разделение составляющих слоев гофрированного картона
Образец погружают в емкость с водой (см.
6.1) на время, достаточное, чтобы составляющие слои гофрированного картона разделились самопроизвольно или с легким усилием.
Гофрированный картон должен оставаться полностью погруженным в воду. Для этого на поверхность картона можно положить легкий груз. При необходимости в целях лучшего разделения слоев вода (см.
5.1) может быть нагрета до температуры не более 60 °C.
При разделении слоев необходимо следить, чтобы на прилегающих слоях оставалось минимальное количество волокон с другого прилегающего слоя.
Время погружения в воду определяют в зависимости от видов гофрированного картона, имеющих разную водостойкость клеевого соединения. Время погружения может составлять от нескольких минут до нескольких часов. Время погружения рекомендуется определять после предварительного испытания образцов.
Для удаления избытка воды может быть использована фильтровальная бумага.
9.2. Удаление клеевых частиц с поверхности слоев
Удаляют с влажной поверхности составляющего слоя клеевые частицы, которые не адсорбировались на поверхности листа. Полное удаление адсорбированных клеевых частиц невозможно. Необходимо избегать удаления волокон бумаги или картона с поверхности листа.
9.3. Сушка разделенных слоев
Сушат разделенные слои (картон для плоских слоев и бумагу для гофрирования) в сушильном шкафу при температуре (105 +/- 2) °C (см.
6.3) до постоянной массы.
9.4. Кондиционирование разделенных слоев
После сушки разделенные слои кондиционируют в соответствии с ИСО 187. Время кондиционирования и режимы указывают в стандартах на конкретный вид продукции.
9.5. Подготовка составляющих слоев к испытанию
После разделения составляющих слоев, очистки от клеевых частиц, высушивания и кондиционирования из них нарезают испытуемые образцы площадью 10000 мм2 (100 см2) с помощью приспособления (см.
6.2) с размерами, указанными в
разделе 8. Перед нарезанием гофрированные образцы разглаживают.
9.6. Измерение массы 1 м2 слоя
Измеряют массу каждого испытуемого образца, взвешивая образец с точностью до 0,001 г (см.
6.4). Взвешивание испытуемых образцов проводят в тех же атмосферных условиях, при которых проводилось кондиционирование (см.
9.4).
Примечание. Для определения массы клеевого слоя необходимо из массы гофрированного картона вычесть массу составляющих слоев перед разделением. Образцы кондиционируют и испытывают в атмосферных условиях в соответствии с ИСО 187.
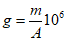
10. Обработка результатов испытания
Массу составляющего слоя площадью 1 м2, г/м2, вычисляют по формуле

,
где m - масса испытуемого образца составляющего слоя после нарезания (см.
9.5), г;
A - площадь испытуемого образца составляющего слоя после нарезания (см.
9.5), мм2.
За результат испытания составляющего слоя принимают среднеарифметическое значение из пяти определений массы каждого слоя площадью 1 м2, округленное до третьей значащей цифры.
Определяют стандартное отклонение с точностью до второй значащей цифры.
Протокол испытания должен включать в себя следующую информацию:
a) ссылку на настоящий стандарт;
b) дату и место проведения испытания;
c) описание и идентификацию испытуемого картона;
d) описание и идентификацию составляющих слоев;
e) температуру воды при погружении образца, продолжительность погружения;
f) условия кондиционирования;
g) среднеарифметическое значение массы каждого составляющего слоя площадью 1 м2, г;
h) стандартное отклонение массы каждого составляющего слоя площадью 1 м2, г;
i) любое отклонение от настоящего стандарта, которое может повлиять на результат испытания.
(справочное)
ТОЧНОСТЬ МЕТОДА
В январе 2009 года ТК 6 были проведены межлабораторные испытания по данному методу, в которых принимали участие 18 лабораторий из 10 различных стран. Три лаборатории не сообщили результатов испытаний для трехслойного гофрированного картона, и две лаборатории проводили испытания не в соответствии с настоящим стандартом. Это означает, что расчеты по точности метода проводились по данным из 13 лабораторий.
Четыре лаборатории не сообщили результатов испытаний для семислойного гофрированного картона и три лаборатории проводили испытания не в соответствии с настоящим стандартом. Это означает, что расчеты по точности метода проводились по данным из 11 лабораторий, а для бумаги для гофрирования - только из 10.
Были проанализированы восемь проб трехслойного гофрированного картона и одна проба семислойного картона. Для каждой пробы масса 1 м2, г, была определена по пяти испытуемым образцам от каждого слоя.
Процесс разделения гофрированного картона на слои может вызвать изменения в измеряемых массах, что связано с используемыми клеевыми составами, свойствами слоев или другими факторами. Эти изменения, связанные с использованными материалами для производства картона, возникали, вероятно, в большинстве лабораторий и не были включены в результаты испытаний.
Таким образом, по сути эти испытания способны дать очень ограниченную точность для истинного значения первоначальной массы испытуемых слоев. Однако они могут дать полезную информацию по оценке этой массы. Расчеты точности проводились в соответствии с
[4] и
[5].
Стандартное отклонение сходимости, представленное в
таблицах A.1 и
A.2, - это объединенное стандартное отклонение. Оно вычислено как среднеквадратичный корень стандартного отклонения результатов испытаний во всех лабораториях. Это отличается от общепринятого определения сходимости. В
[3] представлена максимальная разница между пределами сходимости и воспроизводимости, которую можно ожидать в 19 из 20 случаев, когда сравнивают два результата испытания для материалов, подобных описанным в сравнимых условиях испытаний. Эти оценки могут быть недействительными для различных материалов или различных условий испытаний.
Пределы сходимости и воспроизводимости рассчитаны умножением стандартного отклонения сходимости и воспроизводимости на 2,77.
Примечание.

при условии, что результаты испытаний имели нормальное распределение и стандартное отклонение S, что базировалось на большом числе испытаний.
Таблица A.1
Оценка сходимости метода испытаний
для трехслойного гофрированного картона
Проба | Число лабораторий | Среднее значение, г/м2 | Стандартное отклонение  , г/м2 | Коэффициент вариации  , % | Предел сходимости r, г/м2 |
A | верхний слой | 13 | 209 | 2,6 | 1,2 | 7,2 |
бумага для гофрирования | 13 | 131 | 3,0 | 2,3 | 8,3 |
нижний слой | 13 | 275 | 3,3 | 1,2 | 9,0 |
B | верхний слой | 13 | 151 | 1,4 | 0,9 | 3,9 |
бумага для гофрирования | 13 | 133 | 2,0 | 1,5 | 5,5 |
нижний слой | 13 | 154 | 1,6 | 1,1 | 4,5 |
C | верхний слой | 13 | 125 | 1,7 | 1,3 | 4,6 |
бумага для гофрирования | 13 | 121 | 2,6 | 2,1 | 7,2 |
нижний слой | 13 | 125 | 1,8 | 1,4 | 5,0 |
D | верхний слой | 13 | 71,1 | 0,9 | 1,3 | 2,5 |
бумага для гофрирования | 13 | 112 | 1,9 | 1,7 | 5,3 |
нижний слой | 13 | 72,2 | 0,6 | 0,8 | 1,6 |
E | верхний слой | 13 | 87,9 | 1,3 | 1,5 | 3,5 |
бумага для гофрирования | 13 | 97,4 | 1,3 | 1,4 | 3,7 |
нижний слой | 13 | 87,2 | 0,9 | 1,1 | 2,5 |
G | верхний слой | 13 | 231 | 1,4 | 0,6 | 3,9 |
бумага для гофрирования | 13 | 97,4 | 0,9 | 0,9 | 2,5 |
нижний слой | 13 | 138 | 0,8 | 0,6 | 2,3 |
H | верхний слой | 13 | 148 | 1,8 | 1,2 | 5,0 |
бумага для гофрирования | 13 | 130 | 2,5 | 1,9 | 7,0 |
нижний слой | 13 | 149 | 2,2 | 1,5 | 6,1 |
I | верхний слой | 13 | 199 | 2,6 | 1,3 | 7,3 |
бумага для гофрирования | 13 | 130 | 3,1 | 2,4 | 8,7 |
нижний слой | 13 | 198 | 3,0 | 1,5 | 8,4 |
Таблица A.2
Оценка сходимости метода испытаний
для семислойного гофрированного картона
Проба | Число лабораторий | Среднее значение, г/м2 | Стандартное отклонение  , г/м2 | Коэффициент вариации  , % | Предел сходимости r, г/м2 |
F | верхний слой | 11 | 430 | 5,1 | 1,2 | 14,2 |
бумага для гофрирования-1 | 10 | 145 | 3,2 | 2,2 | 8,9 |
2-й слой | 11 | 186 | 2,6 | 1,4 | 7,1 |
бумага для гофрирования-2 | 11 | 163 | 3,9 | 2,4 | 10,9 |
3-й слой | 11 | 187 | 2,9 | 1,5 | 7,9 |
бумага для гофрирования-3 | 11 | 147 | 3,3 | 2,2 | 9,2 |
нижний слой | 11 | 433 | 5,0 | 1,2 | 13,9 |
Таблица A.3
Оценка воспроизводимости метода испытаний
для трехслойного гофрированного картона
Проба | Число лабораторий | Среднее значение, г/м2 | Стандартное отклонение  , г/м2 | Коэффициент вариации  , % | Предел сходимости r, г/м2 |
A | верхний слой | 13 | 209 | 3,9 | 1,9 | 10,8 |
бумага для гофрирования | 13 | 131 | 4,1 | 3,1 | 11,4 |
нижний слой | 13 | 275 | 3,3 | 2,1 | 16,0 |
B | верхний слой | 13 | 151 | 5,8 | 1,9 | 7,8 |
бумага для гофрирования | 13 | 133 | 2,8 | 2,4 | 8,9 |
нижний слой | 13 | 154 | 3,2 | 2,4 | 10,3 |
C | верхний слой | 13 | 125 | 3,7 | 2,8 | 9,7 |
бумага для гофрирования | 13 | 121 | 3,5 | 3,5 | 11,7 |
нижний слой | 13 | 125 | 4,2 | 1,9 | 6,7 |
D | верхний слой | 13 | 71,9 | 2,4 | 2,0 | 4,0 |
бумага для гофрирования | 13 | 112 | 1,4 | 3,4 | 10,5 |
нижний слой | 13 | 72,2 | 3,8 | 1,3 | 2,7 |
E | верхний слой | 13 | 87,9 | 1,0 | 2,8 | 6,8 |
бумага для гофрирования | 13 | 97,4 | 2,4 | 3,1 | 8,3 |
нижний слой | 13 | 87,2 | 3,0 | 1,7 | 4,1 |
G | верхний слой | 13 | 231 | 1,5 | 1,6 | 10,1 |
бумага для гофрирования | 13 | 97,4 | 3,7 | 2,3 | 6,1 |
нижний слой | 13 | 138 | 2,2 | 1,4 | 5,4 |
H | верхний слой | 13 | 148 | 1,9 | 1,8 | 7,4 |
бумага для гофрирования | 13 | 130 | 2,7 | 2,5 | 8,8 |
нижний слой | 13 | 149 | 3,2 | 4,0 | 16,5 |
I | верхний слой | 13 | 199 | 5,9 | 1,7 | 9,4 |
бумага для гофрирования | 13 | 130 | 3,4 | 4,1 | 14,8 |
нижний слой | 13 | 198 | 5,3 | 1,9 | 10,3 |
Таблица A.4
Оценка воспроизводимости метода испытаний
для семислойного гофрированного картона
Проба | Число лабораторий | Среднее значение, г/м2 | Стандартное отклонение  , г/м2 | Коэффициент вариации  , % | Предел сходимости r, г/м2 |
F | верхний слой | 11 | 430 | 16,9 | 3,9 | 46,9 |
бумага для гофрирования-1 | 10 | 145 | 17,5 | 12,1 | 48,6 |
2-й слой | 11 | 186 | 6,9 | 3,7 | 19,1 |
бумага для гофрирования-2 | 11 | 163 | 7,7 | 4,7 | 21,3 |
3-й слой | 11 | 187 | 5,0 | 2,7 | 13,8 |
бумага для гофрирования-3 | 11 | 147 | 17,0 | 11,6 | 47,3 |
нижний слой | 11 | 433 | 10,5 | 2,4 | 29,0 |
(справочное)
СВЕДЕНИЯ О СООТВЕТСТВИИ ССЫЛОЧНЫХ МЕЖДУНАРОДНЫХ
СТАНДАРТОВ ССЫЛОЧНЫМ НАЦИОНАЛЬНЫМ СТАНДАРТАМ
РОССИЙСКОЙ ФЕДЕРАЦИИ (И ДЕЙСТВУЮЩИМ В ЭТОМ КАЧЕСТВЕ
МЕЖГОСУДАРСТВЕННЫМ СТАНДАРТАМ)
Таблица ДА.1
Обозначение ссылочного международного стандарта | Степень соответствия | Обозначение и наименование соответствующего национального стандарта |
ИСО 186 | - | |
ИСО 187 | - | |
<*> Соответствующий национальный стандарт отсутствует. До его утверждения рекомендуется использовать перевод на русский язык данного международного стандарта. Перевод данного международного стандарта находится в Федеральном информационном фонде технических регламентов и стандартов. |
[1] ISO 536:1995 Paper and board - Determination of grammage (ИСО 536:1995 Бумага и картон. Определение массы) <*> |
[2] ISO 4046-4:2002 Paper, board, pulps and related terms - Vocabulary - Part 4: Paper and board grades and converted products (ИСО 4046-4:2002 Бумага, картон, целлюлоза и соответствующие термины. Словарь. Часть 4. Виды бумаги и картона и продукции переработки) <*> |
[3] ISO 5725-1:1994 Accuracy (trueness and precision) of measurement methods and results - Part 1: General principles and definitions (ИСО 5725-1:1994 Достоверность (точность и погрешность) методов измерений и результатов. Часть 1. Основные принципы и определения) <*> |
[4] ISO/TR 24498:2006 Paper, board and pulps - Estimation of uncertainty for test Methods (ИСО/ТР 24498:2006 Бумага, картон и целлюлоза. Оценка погрешностей методов испытания) <*> |
[5] FEFCO recommendation N 102, July 2006, Determination of the take-up factor of the fluting paper (ФЕФКО рекомендации N 102, июль 2006. Определение коэффициента усадки гофрированной бумаги) |
[6] TAPPI Test Methods T 1200 sp-07, Interlaboratory Evaluation of Test Methods to Determine TAPPI Repeatability and Reproducibility (ТАППИ Методы испытаний Е 1200 sp-07 Межлабораторная оценка методов испытания при определении сходимости и воспроизводимости) |
--------------------------------
<*> Официальный перевод этого стандарта находится в Федеральном информационном фонде технических регламентов и стандартов.