Главная // Актуальные документы // ГОСТ Р (Государственный стандарт)СПРАВКА
Источник публикации
М.: Стандартинформ, 2014
Примечание к документу
Документ
введен в действие с 01.01.2014.
Название документа
"ГОСТ Р ИСО 10139-2-2012. Национальный стандарт Российской Федерации. Стоматология. Материалы для эластичных подкладок к съемным зубным протезам. Часть 2. Материалы для постоянных подкладок"
(утв. и введен в действие Приказом Росстандарта от 30.08.2012 N 263-ст)
"ГОСТ Р ИСО 10139-2-2012. Национальный стандарт Российской Федерации. Стоматология. Материалы для эластичных подкладок к съемным зубным протезам. Часть 2. Материалы для постоянных подкладок"
(утв. и введен в действие Приказом Росстандарта от 30.08.2012 N 263-ст)
Утвержден и введен в действие
агентства по техническому
регулированию и метрологии
от 30 августа 2012 г. N 263-ст
НАЦИОНАЛЬНЫЙ СТАНДАРТ РОССИЙСКОЙ ФЕДЕРАЦИИ
СТОМАТОЛОГИЯ
МАТЕРИАЛЫ ДЛЯ ЭЛАСТИЧНЫХ ПОДКЛАДОК К СЪЕМНЫМ ЗУБНЫМ ПРОТЕЗАМ
ЧАСТЬ 2
МАТЕРИАЛЫ ДЛЯ ПОСТОЯННЫХ ПОДКЛАДОК
Dentistry. Soft lining materials for removable dentures.
Part 2. Materials for long-term use
ISO 10139-2:2009
Dentistry - Soft lining materials for removable
dentures - Part 2: Materials for long-term use
(IDT)
ГОСТ Р ИСО 10139-2-2012
Дата введения
1 января 2014 года
1 ПОДГОТОВЛЕН Федеральным государственным учреждением "Центральный научно-исследовательский институт стоматологии и челюстно-лицевой хирургии" Министерства здравоохранения и социального развития России на основе собственного аутентичного перевода на русский язык международного стандарта, указанного в
пункте 4
2 ВНЕСЕН Техническим комитетом по стандартизации ТК 279 "Зубоврачебное дело"
3 УТВЕРЖДЕН И ВВЕДЕН В ДЕЙСТВИЕ
Приказом Федерального агентства по техническому регулированию и метрологии от 30 августа 2012 г. N 263-ст
4 Настоящий стандарт идентичен по отношению к международному стандарту ИСО 10139-2:2009 "Стоматология. Материалы для эластичных подкладок к съемным зубным протезам. Часть 2. Материалы для постоянных подкладок" (ISO 10139-2:2009 "Dentistry - Soft lining materials for removable dentures - Part 2: Materials for long-term use").
При применении настоящего стандарта рекомендуется использовать вместо ссылочных международных стандартов соответствующие им национальные стандарты Российской Федерации, сведения о которых приведены в дополнительном
приложении ДА
5 ВВЕДЕН ВПЕРВЫЕ
Правила применения настоящего стандарта установлены в ГОСТ Р 1.0-2012 (раздел 8). Информация об изменениях к настоящему стандарту публикуется в ежегодном (по состоянию на 1 января текущего года) информационном указателе "Национальные стандарты", а официальный текст изменений и поправок - в ежемесячном информационном указателе "Национальные стандарты". В случае пересмотра (замены) или отмены настоящего стандарта соответствующее уведомление будет опубликовано в ближайшем выпуске ежемесячного информационного указателя "Национальные стандарты". Соответствующая информация, уведомление и тексты размещаются также в информационной системе общего пользования - на официальном сайте Федерального агентства по техническому регулированию и метрологии в сети Интернет (gost.ru)
Настоящий стандарт определяет требования к мягкости, адгезии, водопоглощению и водорастворимости, а также к упаковке, маркировке и инструкции изготовителя материалов для мягких постоянных подкладок к съемным зубным протезам. Эти материалы также могут быть использованы для изготовления челюстно-лицевых протезов.
В настоящем стандарте использованы нормативные ссылки на следующие международные стандарты. Для датированных ссылок применяют только указанное издание. Для недатированных ссылок применяют самое последнее издание (включая все изменения и поправки).
ИСО 1942 Стоматология. Словарь (ISO 1942, Dentistry - Vocabulary)
ИСО 3696 Вода для аналитических лабораторных работ. Спецификация и методы испытаний (ISO 3696, Water for analytical laboratory use - Specification and test methods)
ИСО 6344-1 Шкурка шлифовальная. Анализ зернового состава. Часть 1. Метод определения зернового состава (ISO 6344-1, Coated abrasives - Grain size analysis - Part 1: Grain size distribution test)
ИСО 7619-1 Резина, вулканизованная или термопластичная. Метод определения твердости. Часть 1. Твердость по Шору (ISO 7619-1, Rubber vulcanized or thermoplastic - Determination of indentation hardness - Part 1: Durometer method Shore hardness)
ИСО 8601 Данные элементов и взаимозаменяемые форматы. Представление дат и периодов (ISO 8601, Data elements and interchange formats - Information exchange - Representation of dates and times)
ИСО 20795-1 Стоматология. Базисные полимеры. Часть 1. Полимеры для базисов зубных протезов (ISO 20795-1, Dentistry - Base polymers - Part 1: Denture base polymers)
В настоящем стандарте применены термины по ИСО 1942, а также следующие термины с соответствующими определениями:
3.1 материал для мягких подкладок к съемным зубным протезам (soft denture lining material): Мягкий эластичный материал, соединенный с фиксируемой поверхностью зубного протеза для уменьшения травмы опорных тканей.
3.2 постоянное использование (long-term use): Использование в течение периода времени более 28 суток.
3.3 первичный контейнер (immediate container): Контейнер, непосредственно контактирующий с материалом.
Материалы для мягких постоянных подкладок классифицируют на следующие типы согласно твердости по Шору A у образцов, испытанных через 24 ч (см.
5.1), определяемой по
7.2:
тип A - мягкие;
тип B - очень мягкие.
5.1 Твердость по Шору A через 24 ч
При испытании по Шору A образцов через 24 ч в течение 5 с в соответствии с
7.2.3.2 материал должен отвечать требованиям соответствующего типа, как приведено в таблице 1. Для того чтобы отнести материал к определенному типу, значение твердости по Шору A по крайней мере у двух из трех образцов должно отвечать требованиям этого типа, как указано в таблице 1. Если результаты испытания двух или более образцов больше 50, материал не соответствует требованиям настоящего стандарта.
Таблица 1
Твердость по Шору A через 24 ч при испытании в течение 5 с
Тип | Шор A (24 ч - 5 с) |
A (мягкие) | 25 < ед. Шора A <= 50 |
B (очень мягкие) | ед. Шора A <= 25 |
5.2 Твердость по Шору A через 28 сут
При испытании по Шору A образцов через 28 сут в течение 5 с в соответствии с
7.2.3.3 материал должен отвечать требованиям соответствующего типа, как приведено в таблице 2, по крайней мере для двух из трех образцов. Если результаты испытания двух или более образцов больше чем 55 для материалов типа
A или более чем 35 для материалов типа
B, материал не соответствует требованиям настоящего стандарта.
Таблица 2
Твердость по Шору A через 28 сут при испытании в течение 5 с
Тип | Шор A (28 сут - 5 с) |
A (мягкие) | <= 55 |
B (очень мягкие) | <= 35 |
5.3 Прочность соединения
Прочность соединения подкладочного материала с базисом зубного протеза должна быть не менее 1,0 МПа для восьми из 10 испытуемых образцов для материалов типа
A и не менее 0,5 МПа - для восьми из 10 испытуемых образцов для материалов типа B при испытании в соответствии с
7.3.
5.4 Водопоглощение
Водопоглощение материалов для постоянных подкладок не должно превышать 20 мкг/мм
3 по крайней мере для четырех из пяти испытуемых образцов при испытании по
7.4.
Водорастворимость (потеря массы на единицу объема) не должна превышать 3 мкг/мм
3 по крайней мере для четырех из пяти испытуемых образцов при испытании материала по
7.4.
Если водорастворимость превышает 3 мкг/мм
3 хотя бы у двух из пяти испытуемых образцов при испытании в соответствии с
7.4, изготовитель материала должен указать количество и природу растворимых веществ в материале.
Образец для испытаний отбирают из одной производственной партии в упаковке для розничной продажи.
Если изготовителем не оговорено иное, приготовление и испытание всех образцов проводят при температуре (23 +/- 1) °C и относительной влажности (50 +/- 10)%. Испытательное оборудование должно быть откалибровано.
7.2.1 Аппаратура
7.2.1.1 Прибор Шор A, соответствующий ИСО 7619-1, с точностью измерения +/- 1 ед. Шора.
7.2.1.2 Водяная баня, поддерживающая температуру (37 +/- 1) °C, с водой по ИСО 3696.
7.2.1.3 Форма, обеспечивающая получение испытуемого образца диаметром не менее 35 мм и толщиной не менее 6 мм, изготовленная с использованием гладкого металлического или пластмассового диска в качестве шаблона. Для предотвращения прилипания материала можно использовать разделительный лак, например, тефлоновый спрей.
7.2.1.4 Секундомер с погрешностью измерения +/- 1 с.
7.2.2 Приготовление образцов
Приготавливают каждый образец в форме в соответствии с инструкцией изготовителя. Извлекают образец из формы
(7.2.1.3) и выдерживают его в водяной бане
(7.2.1.2) при температуре (37 +/- 1) °C в течение (24 +/- 1) ч до испытания. Приготавливают три образца.
7.2.3 Проведение испытаний
7.2.3.1 Общие положения
Проводят испытание каждого из трех образцов в соответствии с 7.2.3.2,
7.2.3.3 и ИСО 7619-1. Для измерений помещают образец на гладкое и твердое основание и постепенно опускают Шор A тестер
(7.2.1.1) на поверхность образца так, чтобы ножка индентора едва коснулась поверхности образца. Поверхность образца и контактная поверхность Шор A тестера должны быть расположены в одной плоскости. Индентор должен быть перпендикулярен к поверхности образца. Проводят пять измерений на каждом образце для каждого времени испытания. Точки нагружения должны быть равномерно распределены по поверхности и быть расположены не менее чем в 5 мм от края образца.
7.2.3.2 Твердость по Шору A образцов, выдержанных 24 ч
Извлекают образец из водяной бани
(7.2.1.2) через 24 ч после приготовления и немедленно измеряют твердость по Шору A. Записывают результат после 5 с нагружения, используя секундомер
(7.2.1.4). Все измерения проводят в течение (2 +/- 1) мин после извлечения образца из водяной бани.
Подсчитывают среднее значение пяти измерений твердости для каждого из трех образцов (результаты a, b и c). Возвращают образцы в водяную баню и выдерживают их в течение 27 сут. Каждые 7 сут меняют воду.
7.2.3.3 Твердость по Шору A образцов, выдержанных 28 сут
Извлекают образец из водяной бани
(7.2.1.2) через 27 сут после первого испытания и немедленно измеряют твердость по Шору A. Записывают результаты после 5 с нагружения, используя секундомер
(7.2.1.4). Все измерения проводят в течение (2 +/- 1) мин после извлечения образца из бани. Используют новые точки для приложения нагрузки. Измерения проводят в точках не ближе 2 мм к предыдущей. Подсчитывают среднее значение пяти измерений для каждого из трех образцов (результаты
x,
y и
z).
7.2.4 Запись результатов
Записывают результаты испытания каждого из трех образцов, как показано в таблице 3.
Таблица 3
Твердость по Шору A
Время выдержки образца | Значение твердости каждого образца |
1 | 2 | 3 |
24 ч | a | b | c |
28 сут | x | y | z |
7.3.1 Материалы
7.3.1.1 Акриловый базисный материал в соответствии с инструкцией, приведенной в
8.3, перечисление g), и отвечающий требованиям ИСО 20795-1.
7.3.1.2 Шкурка шлифовальная бумажная водостойкая со средним размером зерна 30 мкм по ИСО 6344-1.
7.3.1.3 Водяная баня, поддерживающая температуру (37 +/- 1) °C, с водой по ИСО 3696.
7.3.1.4 Кольца, изготовленные из полиэтилена или других неадгезивных материалов, нарезанных из подходящих трубочек внутренним диаметром (10 +/- 0,5) мм и толщиной (3 +/- 0,25) мм.
7.3.1.5 Микрометр или штангенциркуль с точностью 0,01 мм и параллельными губками.
7.3.1.6 С-образный винтовой зажим, открывающийся на ширину не менее 40 мм, глубиной не менее 30 мм.
7.3.1.7 Разрывная машина с вертикальным ходом, скорость движения траверсы 10 мм/мин.
7.3.2 Приготовление акриловых базисных пластин
Приготавливают достаточное число пластин в виде квадратов со стороной (25 +/- 3) мм и толщиной (3 +/- 0,5) мм из акрилового базисного материала
(7.3.1.1) способом, рекомендуемым изготовителем. Изготавливают пластины в гипсовой форме по рекомендуемому режиму. Пластины можно изготавливать отдельными или нарезать из пластины большего размера (до 80 x 80 мм).
Поверхности пластин должны быть плоско-параллельными и отшлифованы влажной шкуркой
(7.3.1.2). Следует избегать прикосновения к рабочей поверхности пластины после шлифования.
Перед использованием пластины выдерживают в водяной бане
(7.3.1.3) при температуре (37 +/- 1) °C в течение (28 +/- 2) сут.
Измеряют внутренний диаметр полиэтиленового кольца
(7.3.1.4) штангенциркулем
(7.3.1.5) с точностью 0,05 мм для подсчета площади адгезионного соединения
A в мм
2.
7.3.3 Приготовление образцов для испытаний
Используют подкладочный материал и адгезив, предложенный изготовителем, согласно инструкциям по смешиванию, нанесению и отверждению.
Сразу после извлечения акриловых пластин из воды высушивают их, как рекомендовано изготовителем, или используют метод, описанный в
7.4.4.2, и наносят адгезив на обе поверхности акриловых пластин, которые участвуют в соединении, по инструкции изготовителя. Не следует касаться обработанных адгезивом поверхностей.
На адгезивную поверхность одной из акриловых пластин устанавливают кольцо
(7.3.1.4) и закладывают приготовленный (смешанный) подкладочный материал с небольшим избытком (см.
рисунок 1), накрывают второй акриловой пластиной и зажимают в зажим
(7.3.1.6). Выдерживают зажатый образец при комнатной температуре (23 +/- 2) °C, если не рекомендуется отверждение при повышенной температуре. Через 1 ч после наложения подкладочного материала вынимают образец из зажима и помещают его в водяную баню
(7.3.1.3) при температуре (37 +/- 1) °C на (23 +/- 1) ч.
Приготавливают не менее 10 образцов.
7.3.4 Проведение испытаний
Извлекают образец из водяной бани и сразу переносят его на испытательную машину
(7.3.1.7). Зажимают образец в зажимах испытательной машины в вертикальном положении, избегая перекосов и крутящего момента. Для того чтобы провести испытание образца в условиях нормального отрыва, к акриловым пластинам приклеивают стержни из ПММА цианакрилатным клеем (см. рисунок 1). Стержни из ПММА можно приклеивать как непосредственно перед испытанием, так и после изготовления образца.
1 - испытуемый материал; 2 - акриловые базисные пластины;
3 - кольцо; 4 - стержни из ПММА; a - сила растяжения
Рисунок 1 - Схема испытания на разрыв
для измерения прочности соединения
Проводят испытание на разрыв со скоростью 10 мм/мин. Записывают максимальную нагрузку при разрыве F.
Проводят испытание 10 образцов и подсчитывают значение прочности соединения B, МПа, по формуле

,
где F - максимальная нагрузка при разрыве, Н;
A - площадь адгезионного соединения, мм2.
7.4 Водопоглощение и водорастворимость
7.4.1 Материалы
7.4.1.1 Лист полиэфирной пленки толщиной (50 +/- 25) мкм для изоляции стальной формы
(7.4.2.1).
7.4.1.2 Силикагель свежевысушенный в течение (300 +/- 10) мин при температуре (130 +/- 5) °C.
7.4.1.3 Вода, отвечающая требованиям ИСО 3696, или аналогичная.
7.4.2 Аппаратура
7.4.2.1 Форма и крышка из нержавеющей стали размерами, показанными на рисунке 2, которую гипсуют в разъемной стоматологической кювете.
1 - форма; 2 - крышка; a - глубина формы (0,5 +/- 0,05) мм
Не указанные на рисунке допуски размеров составляют +/- 0,2 мм
Рисунок 2 - Форма и крышка из нержавеющей стали
для приготовления образца для испытания
на водопоглощение и водорастворимость
7.4.2.2 Пресс гидравлический или ручной и струбцина для фиксации кюветы.
7.4.2.3 Микрометр или штангенциркуль с точностью измерения 0,01 мм и параллельными губками.
7.4.2.4 Штатив для фиксации образцов параллельно и раздельно.
7.4.2.6 Термостат, поддерживающий температуру (37 +/- 1) °C.
7.4.2.7 Пинцеты с полимерным покрытием.
7.4.2.8 Чистое и сухое полотенце.
7.4.2.9 Весы аналитические с точностью взвешивания 0,1 мг.
7.4.3 Приготовление образцов для испытаний
Приготавливают пять образцов из отдельных смесей. Смешивают подкладочный материал и закладывают смесь в нижнюю часть формы
(7.4.2.1), накрывают полиэфирной пленкой
(7.4.1.1) и закрывают второй половиной стоматологической кюветы с вмонтированной стальной крышкой. Готовят образцы в соответствии с инструкциями изготовителя, но полиэфирную пленку оставляют в течение всего цикла переработки.
Проверяют микрометром или штангенциркулем
(7.4.2.3) размеры образцов. Каждый образец должен иметь диаметр (50 +/- 1) мм и толщину (0,5 +/- 0,1) мм, верхняя и боковая поверхности должны быть ровными.
7.4.4 Проведение испытаний
7.4.4.1 Кондиционированные образцы
Укрепляют образцы на штативе
(7.4.2.4) и помещают в эксикатор
(7.4.2.5) со свежевысушенным силикагелем
(7.4.1.2). Помещают эксикатор в термостат при температуре (37 +/- 1) °C на (23 +/- 2) ч, затем эксикатор удаляют из термостата.
Переносят образцы, укрепленные на штативе, во второй эксикатор со свежевысушенным силикагелем. Второй эксикатор выдерживают при температуре (23 +/- 2) °C. Через (60 +/- 10) мин образцы во втором эксикаторе готовы для взвешивания.
Образцы взвешивают на аналитических весах
(7.4.2.9) с точностью 0,1 мг. Эксикатор открывают на возможно короткое время для извлечения образца и возврата его в эксикатор после взвешивания. После того как все образцы взвешены, заменяют силикагель в первом эксикаторе на свежевысушенный, переносят в него образцы и помещают в термостат.
Повторяют цикл, описанный выше, до тех пор, пока не будет достигнута так называемая "постоянная масса" m1, т.е. потеря массы каждого образца не будет превышать 0,2 мг между соседними взвешиваниями. После этого измеряют диаметр и толщину каждого образца с точностью 0,01 мм.
Подсчитывают объем V каждого образца исходя из среднего значения трех измерений диаметра и среднего значения пяти измерений толщины. Толщину измеряют в центре образца и в четырех равноудаленных от окружности точках.
Погружают кондиционированные образцы в воду
(7.4.1.3) и выдерживают их при температуре (37 +/- 1) °C в течение 7 сут +/- 2 ч. После этого извлекают образцы из воды пинцетом с полимерным покрытием
(7.4.2.7), вытирают чистым сухим полотенцем
(7.4.2.8) от видимых следов влаги, высушивают на воздухе в течение (15 +/- 1) с и взвешивают в течение (60 +/- 10) с после удаления из воды (с точностью 0,1 мкг). Записывают массу каждого образца
m2.
7.4.4.3 Вторичное доведение образцов до постоянной массы
После взвешивания проводят вторичное высушивание образцов до постоянной массы согласно
7.4.4.1. Записывают постоянную массу высушенных образцов
m3. Необходимо, чтобы были созданы те же условия, что и при первом процессе сушки; для этого в эксикатор помещают то же число образцов и свежевысушенный силикагель.
7.4.5 Подсчет и запись результатов
7.4.5.1 Водопоглощение
Для каждого образца значение водопоглощения Wsp, мкг/мм3, определяют по формуле

,
где m2 - масса образца после выдержки в воде, мкг;
m3 - постоянная масса образца после вторичного высушивания, мкг;
V - объем образца, мм3.
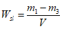
7.4.5.2 Водорастворимость
Для каждого образца определяют массу растворимого вещества на единицу объема Wsl, мкг/мм3, по формуле

,
где m1 - начальная постоянная масса образца, мкг.
Округляют значения водорастворимости до 0,1 мкг/мм3.
8 Требования к упаковке, маркировке и инструкции изготовителя
8.1 Упаковка
Компоненты поставляют в герметичных контейнерах, изготовленных из материалов, не загрязняющих содержимое и предохраняющих их от загрязнения извне. Упаковка контейнера должна обеспечивать его защиту от повреждения или протекания при транспортировании и хранении.
Внешняя упаковка может быть использована в качестве индивидуальной упаковки контейнеров.
На каждую внешнюю упаковку и контейнеры с содержимым должна быть нанесена четкая маркировка, содержащая следующую информацию:
a) наименование материала;
b) наименование изготовителя;
c) описание содержимого, включая следующее:
1) тип материала согласно твердости по Шору A в соответствии с
7.2;
2) обозначение настоящего стандарта;
3) химическую природу материала, например, акриловый полимер, силикон горячего или холодного отверждения;
4) назначение материала;
5) количество и тип растворимых веществ (если растворимость материала превышает 3 мкг/мм
3) (см.
5.5);
d) массу нетто компонентов, выраженную в граммах для порошка, и в миллилитрах - для жидкости;
e) номер партии материала;
f) срок годности (год, месяц);
g) рекомендуемые условия хранения;
h) предупреждение об опасности при наличии токсичных, опасных, пожароопасных или раздражающих свойств материала и температуру воспламенения жидкости;
i) ссылки на присутствующие в материале фармацевтически активные ингредиенты.
В тех случаях, когда размеры контейнера или упаковки слишком малы, на внешней упаковке следует дать ссылку о том, что внутри упаковки вложен листок с дополнительной информацией.
8.3 Инструкции изготовителя
Инструкция по применению должна быть приложена к каждой упаковке, и, как минимум, содержать следующую информацию:
b) область применения;
c) противопоказания, побочные эффекты и взаимодействие с другими веществами, если имеются;
d) подробное описание рабочего процесса, включая следующую информацию, где это необходимо:
1) указания по подготовке поверхности базиса зубного протеза для нанесения подкладки;
2) процедуру смешивания или приготовления материала, соотношение компонентов при смешивании, время смешивания и рабочее время;
3) способ нанесения на базис зубного протеза, приготовление гипсовой формы и паковку;
4) подробное описание способа нанесения, режима отверждения, времени, температуры, охлаждения, извлечения из гипсовой формы и сведения о специальном оборудовании, если оно применяется;
5) инструкции по шлифовке и полировке;
6) сообщение о любом способе или методе, позволяющем оценить качество соединения подкладки и базиса протеза, если имеется;
e) информацию для пациента по уходу за протезом с мягкой подкладкой и рекомендации по очистке с указанием метода или материала, не подходящего для очистки подкладки;
f) информацию об условиях окружающей среды, которые могут оказать вредное воздействие на материал, таких как температура, влажность или свет, и утилизации отходов, если это необходимо;
g) указание о химической природе стоматологических базисных материалов, с которыми можно применять подкладочный материал.
(справочное)
СВЕДЕНИЯ О СООТВЕТСТВИИ ССЫЛОЧНЫХ МЕЖДУНАРОДНЫХ СТАНДАРТОВ
НАЦИОНАЛЬНЫМ СТАНДАРТАМ РОССИЙСКОЙ ФЕДЕРАЦИИ
Таблица ДА.1
Обозначение ссылочного международного стандарта | Степень соответствия | Обозначение и наименование соответствующего национального стандарта |
| - | |
ИСО 3696 | MOD | |
| | ИС МЕГАНОРМ: примечание. В официальном тексте документа, видимо, допущена опечатка: ГОСТ 10054-82 имеет название "Шкурка шлифовальная бумажная водостойкая. Технические условия". | |
|
ИСО 6344-1 | MOD | ГОСТ 10054-82 "Шкурка шлифовальная бумажная водостойкая с зерном 30 и 15 мкм" |
| | ИС МЕГАНОРМ: примечание. В официальном тексте документа, видимо, допущена опечатка: ГОСТ 263-75 имеет название "Резина. Метод определения твердости по Шору A". | |
|
ИСО 7619-1 | MOD | |
ИСО 8601 | - | |
| | ИС МЕГАНОРМ: примечание. ГОСТ Р 51889-2002 утратил силу с 01.01.2015 в связи с введением в действие ГОСТ 31572-2012 (Приказ Росстандарта от 01.11.2012 N 635-ст). | |
|
ИСО 20795-1 | MOD | ГОСТ Р 51889-2002 (ИСО 1567-99) "Материалы полимерные для базисов зубных протезов. Технические требования. Методы испытаний" |
<1> Будет опубликован (пересмотр ИСО 1942, все части, 1989). <*> Соответствующий национальный стандарт отсутствует. До его утверждения рекомендуется использовать перевод на русский язык данного международного стандарта. Перевод данного международного стандарта находится в Федеральном информационном фонде технических регламентов и стандартов. Примечание - В настоящей таблице использовано следующее условное обозначение степени соответствия стандартов: - MOD - модифицированные стандарты. |
УДК 615.463:665.14:006.354 | | | |
Ключевые слова: материалы для эластичных подкладок к съемным зубным протезам, технические требования, методы испытаний |