Главная // Актуальные документы // ГОСТ Р (Государственный стандарт)СПРАВКА
Источник публикации
М.: Стандартинформ, 2012
Примечание к документу
Документ
введен в действие с 1 января 2013 года.
Название документа
"ГОСТ Р 8.775-2011. Национальный стандарт Российской Федерации. Государственная система обеспечения единства измерений. Дисперсный состав газовых сред. Определение размеров наночастиц по методу дифференциальной электрической подвижности аэрозольных частиц"
(утв. и введен в действие Приказом Росстандарта от 13.12.2011 N 1120-ст)
"ГОСТ Р 8.775-2011. Национальный стандарт Российской Федерации. Государственная система обеспечения единства измерений. Дисперсный состав газовых сред. Определение размеров наночастиц по методу дифференциальной электрической подвижности аэрозольных частиц"
(утв. и введен в действие Приказом Росстандарта от 13.12.2011 N 1120-ст)
Утвержден и введен в действие
агентства по техническому
регулированию и метрологии
от 13 декабря 2011 г. N 1120-ст
НАЦИОНАЛЬНЫЙ СТАНДАРТ РОССИЙСКОЙ ФЕДЕРАЦИИ
ГОСУДАРСТВЕННАЯ СИСТЕМА ОБЕСПЕЧЕНИЯ ЕДИНСТВА ИЗМЕРЕНИЙ
ДИСПЕРСНЫЙ СОСТАВ ГАЗОВЫХ СРЕД
ОПРЕДЕЛЕНИЕ РАЗМЕРОВ НАНОЧАСТИЦ ПО МЕТОДУ ДИФФЕРЕНЦИАЛЬНОЙ
ЭЛЕКТРИЧЕСКОЙ ПОДВИЖНОСТИ АЭРОЗОЛЬНЫХ ЧАСТИЦ
State system for ensuring the uniformity of measurements.
Disperse composition of gas atmospheres. Determination
of nano particle size by differential electrical
mobility analysis for aerosol particles
ИСО 15900:2009
(NEQ)
ГОСТ Р 8.775-2011
Группа Т86.5
Дата введения
1 января 2013 года
Цели и принципы стандартизации в Российской Федерации установлены Федеральным
законом от 27 декабря 2002 г. N 184-ФЗ "О техническом регулировании", а правила применения национальных стандартов Российской Федерации -
ГОСТ Р 1.0-2004 "Стандартизация в Российской Федерации. Основные положения".
1. Разработан Федеральным государственным унитарным предприятием "Всероссийский научно-исследовательский институт физико-технических и радиотехнических измерений" (ФГУП "ВНИИФТРИ").
2. Внесен Управлением метрологии Федерального агентства по техническому регулированию и метрологии.
3. Утвержден и введен в действие
Приказом Федерального агентства по техническому регулированию и метрологии от 13 декабря 2011 г. N 1120-ст.
4. Настоящий стандарт разработан с учетом основных нормативных положений международного стандарта ИСО 15900:2009 "Определение гранулометрического состава. Определение дифференциальной электрической подвижности аэрозольных частиц" (ISO 15900:2009 "Determination of particle size distribution - Differential electrical mobility analysis for aerosol particles").
5. Введен впервые.
Информация об изменениях к настоящему стандарту публикуется в ежегодно издаваемом информационном указателе "Национальные стандарты", а текст изменений и поправок - в ежемесячно издаваемых информационных указателях "Национальные стандарты". В случае пересмотра (замены) или отмены настоящего стандарта соответствующее уведомление будет опубликовано в ежемесячно издаваемом информационном указателе "Национальные стандарты". Соответствующая информация, уведомление и тексты размещаются также в информационной системе общего пользования - на официальном сайте Федерального агентства по техническому регулированию и метрологии в сети Интернет.
Настоящий стандарт распространяется на метод измерений размеров наночастиц в диапазоне от 1 до 1000 нм в газовых средах по их дифференциальной подвижности в электрическом поле (далее - метод измерений).
Метод измерений реализуют в системах анализа аэрозолей, в качестве основного элемента которых используют классификатор, способный разделять аэрозольные частицы по их электрической подвижности. Классификаторы могут быть различной конструкции: цилиндрические, радиальные, с параллельными пластинами и т.д.
В настоящем стандарте рассмотрен метод измерений, реализуемый в системах анализа с цилиндрическим классификатором.
Стандарт не устанавливает конкретных методик измерений размеров частиц конкретных продуктов.
В настоящем стандарте использованы нормативные ссылки на следующие стандарты:
ГОСТ Р ИСО 5725-2-2002. Точность (правильность и прецизионность) методов и результатов измерений. Часть 2. Основной метод определения повторяемости и воспроизводимости стандартного метода измерений
ГОСТ Р ИСО 14644-1-2000. Чистые помещения и связанные с ними контролируемые среды. Часть 1. Классификация чистоты воздуха
Примечание. При пользовании настоящим стандартом целесообразно проверить действие ссылочных стандартов в информационной системе общего пользования - на официальном сайте Федерального агентства по техническому регулированию и метрологии в сети Интернет или по ежегодно издаваемому информационному указателю "Национальные стандарты", который опубликован по состоянию на 1 января текущего года, и по соответствующим ежемесячно издаваемым информационным указателям, опубликованным в текущем году. Если ссылочный стандарт заменен (изменен), то при пользовании настоящим стандартом следует руководствоваться заменяющим (измененным) стандартом. Если ссылочный стандарт отменен без замены, то положение, в котором дана ссылка на него, применяется в части, не затрагивающей эту ссылку.
В настоящем стандарте применены следующие термины с соответствующими определениями:
3.1.
┌─────────────────────────────────────────────────────────────────────────┐
│ Аэрозоль: дисперсные системы, состоящие из мелких частиц, взвешенных│
│в воздухе или другом газе (пыль, дым, туман, смог). │
└─────────────────────────────────────────────────────────────────────────┘
3.2.
┌─────────────────────────────────────────────────────────────────────────┐
│ Дисперсная система: система, состоящая из двух или более фаз (тел)│
│с сильно развитой поверхностью раздела между ними. │
└─────────────────────────────────────────────────────────────────────────┘
3.3.
┌─────────────────────────────────────────────────────────────────────────┐
│ Дисперсная фаза: прерывная фаза в дисперсной системе в виде отдельных│
│мелких твердых частиц, капелек жидкости или пузырьков газа. │
│ [ГОСТ 16887-71, статья 1] │
└─────────────────────────────────────────────────────────────────────────┘
3.4. Монодисперсный аэрозоль: аэрозоль, содержащий частицы только одного размера.
3.5. Наночастица: твердый, жидкий или многофазный объект, в том числе микроорганизм, размером менее или равным 100 нм.
3.6. Размер наночастицы: диаметр сферы, отклик которой в контролирующем приборе равен отклику от оцениваемой наночастицы.
3.7. Счетная концентрация дисперсной фазы: количество отдельных частиц в единице объема дисперсной системы.
3.8. Распределение частиц по размерам: зависимость счетной концентрации частиц от их размера.
3.9. Дифференциальная электрическая подвижность: подвижность заряженной частицы в электрическом поле.
3.10. Ламинарное течение: течение газа без временной или пространственной неоднородной активности или турбулентных вихревых потоков.
3.11. Счетчик ядер конденсации: устройство, которое позволяет измерять счетную концентрацию ультрамелких частиц на основе эффекта конденсации, позволяющего увеличивать их размеры.
3.12. Электрометр: устройство, предназначенное для измерения электрического тока в диапазоне от 1 фА до 10 пА.
3.13. Биполярное зарядное устройство: устройство, предназначенное для достижения устойчивого равновесного состояния заряжения путем воздействия на аэрозольные частицы положительными и отрицательными ионами в пределах этого устройства.
3.14. Нейтрализация заряда: процесс, при котором посредством воздействия на аэрозольные частицы электрически нейтральным облаком положительных и отрицательных зарядов газа распределение аэрозольных частиц по заряду приводит к установлению равновесия и приближению результирующего заряда к нулевому.
4. Сущность метода измерений
Метод измерений основан на сепарации аэрозольных частиц по размерам при прохождении их через электрическое поле, где заряженные аэрозольные частицы меняют свою траекторию движения в зависимости от их размера, скорости потока аэрозоля, напряженности электрического поля и геометрии классификатора.
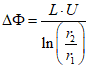
Зависимость Z между дифференциальной электрической подвижностью и размером частицы для сферических частиц описывают уравнением

, (1)
где N - количество элементарных зарядов на частице;
e - элементарный заряд

;

- динамическая вязкость газа;
d - диаметр частицы;

- поправочный коэффициент (Каннингема) на скольжение (газа).
Поправка на скольжение

распространяет расчет на основе закона Стокса тормозящей силы, действующей на сферическую частицу, движущуюся с низким числом Рейнольдса в газовой среде, на частицы размером порядка нанометра. Поправку аппроксимируют уравнением:

, (2)
где A, B, C - эмпирические константы;

- число Кнудсена, равное 2l/d;
где l - средняя длина свободного пробега аэрозольной частицы;
d - размер частицы.
Зависимость Z между дифференциальной электрической подвижностью частицы и параметрами цилиндрического классификатора описывают уравнением в соответствии с международным стандартом
[1]:

, (3)
где

- скорость потока аэрозоля в классификаторе;

- наружный радиус внутреннего цилиндра классификатора;

- внутренний радиус наружного цилиндра классификатора;
U - напряжение постоянного тока, создающего электрическое поле;
L - эффективная длина между входом и выходом потока аэрозоля в классификаторе.

, (4)
позволяющая определить размер частицы, выходящей из электростатического поля классификатора, если известно количество элементарных зарядов на частице.
Зависимость распределения заряда от размера частиц приведена в
Приложении А.
5. Описание средства измерений
5.1. Средство измерений, реализующее данный метод измерений (далее - система анализа дифференциальной электрической подвижности; САДЭП), включает в себя следующие основные компоненты:
- классификатор с контролем параметров потоков и напряжения;
- устройство пробоподготовки;
- нейтрализатор;
- средство измерений счетной концентрации;
- блок управления и обработки данных.
На рисунке 1 приведена типичная блок-схема системы анализа дифференциальной электрической подвижности наночастиц.
Рисунок 1. Типичная блок-схема САДЭП
Допускается использование других конфигураций САДЭП, например системы с двумя параллельными классификаторами и средством измерений счетной концентрации, системы с несколькими средствами измерений счетной концентрации или системы с несколькими параллельными классификаторами и средствами измерений счетной концентрации.
5.2. Описание компонентов
5.2.1. Классификатор
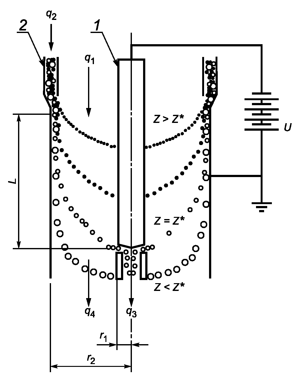
5.2.1.1. Классификатор предназначен для выделения мономобильных фракций из аэрозольного потока. Типичная схема цилиндрического классификатора представлена на рисунке 2.
1 и 2 - внутренний и внешний цилиндрические электроды;

и

- радиусы внутреннего и внешнего цилиндрических
электродов соответственно;

- ограждающий поток;

- поток аэрозольной пробы;

- доля монодисперсного
аэрозоля, выделяемая из аэрозольной пробы;

- избыточный
поток; L - эффективная длина между входом потока

и выходом потока

; U - напряжение, создающее
электрическое поле; пунктирные линии указывают траектории
заряженных аэрозольных частиц; Z - дифференциальная
электрическая подвижность частицы;

- дифференциальная
электрическая подвижность монодисперсных частиц, выходящих
из классификатора, при напряжении U
Рисунок 2. Схема цилиндрического классификатора
5.2.1.2. Система потокораспределения
В цилиндрическом классификаторе должно быть два входящих потока (ограждающий поток

и поток пробы

), два выходящих потока (доля монодисперсного аэрозоля, выделяемая из пробы,

и избыточный поток

). В качестве ограждающего потока должен быть использован чистый воздух, не содержащий загрязняющих частиц.
Система потокораспределения должна быть герметичной. Систему считают негерметичной, если утечка вызывает изменение давления в классификаторе при испытании на герметичность более чем на 5%.
Течение от точки поступления пробы в классификатор до точки вывода монодисперсной доли аэрозоля должно быть ламинарным.
Объемные скорости (расход) потоков, температура и давление в классификаторе должны быть определены и сохранены неизменными в процессе измерения.
В САДЭП должна быть предусмотрена система контроля параметров потоков (объемных скоростей, температуры, давления, влажности). Допускается контролировать три из четырех потоков: ограждающий, избыточный и монодисперсный потоки. Систему контроля потоков допускается упрощать и стабилизировать путем очистки и рециркуляции избыточного потока в качестве ограждающего в замкнутом цикле. Такая рециркуляция гарантирует равенство ограждающего потока избыточному, что уменьшает ограничения на прецизионность измерений скорости ограждающего и избыточного потоков. При этом входящий поток аэрозольной пробы будет равен выходящему монодисперсному потоку при условии отсутствия утечек в системе рециркуляции и равенства температур рециркулирующего свободного от частиц газа и потока пробы. Исключением может быть схема, когда аэрозоль поступает под давлением (режим пробоотбора при повышенном давлении). В таком случае допускается применять дозированное стравливание для балансировки потоков.
5.2.1.3. Напряжение
Для создания электростатического поля должен быть использован регулируемый источник постоянного высокого напряжения до 20 кВ.
Поскольку каждый размер частиц полидисперсного аэрозоля измеряют при определенном напряжении, в САДЭП должна быть предусмотрена функция автоматического изменения напряжения. Напряжение должно изменяться пошагово (по терминологии международного стандарта
[1]) или непрерывно в зависимости от соответствующего режима измерений размеров аэрозольных частиц.
Максимальное напряжение должно быть ограничено в целях предотвращения образования дуги, вызывающей ложное срабатывание средства измерений счетной концентрации, и возможного повреждения поверхности классификатора.
Напряжение от источника следует подавать на внутренний электрод, поверхность наружного электрода должна быть заземлена (см.
рисунок 2).
5.2.1.4. Передаточная функция классификатора
Передаточную функцию классификатора, зависящую от дифференциальной электрической подвижности частицы, объемных скоростей потоков, геометрии классификатора и электрического поля, определяют как вероятность того, что аэрозольная частица, попадающая в классификатор через вход анализируемой пробы, покинет его через выход к измерителю частиц. Графический вид передаточной функции классификатора показан на рисунке 3.

- передаточная функция классификатора;

,

,

,

- объемные скорости входящих и выходящих потоков;

- функция геометрии классификатора и питающего
напряжения; Z - дифференциальная электрическая подвижность
частиц:

- дифференциальная электрическая подвижность
центральных частиц при определенном значении питающего
напряжения

Рисунок 3. Передаточная функция классификатора
Подробное описание передаточной функции цилиндрического классификатора приведено в
Приложении Б.
5.2.2. Устройство пробоподготовки
5.2.2.1. Устройство пробоподготовки предназначено для подготовки аэрозольной пробы к измерениям: удаления крупных частиц, осушения пробы.
5.2.2.2. Для осушения анализируемой пробы рекомендуется использовать диффузионный осушитель. Если на анализ поступает аэрозоль с высокой концентрацией, то для подсушивания достаточно разбавления его сухим воздухом с влажностью менее 30%.
5.2.2.3. Для удаления крупных частиц используют сепараторы, такие как импактор или циклонный сепаратор. Выбор сепаратора зависит от контролируемого диапазона размеров частиц.
Импакторы рекомендуется использовать для скоростей потока менее 1,5 дм3/мин; циклонные сепараторы - для скоростей потока 1 дм3/мин и более.
5.2.3.1. Конструкция нейтрализатора должна обеспечивать равновесное распределение заряда на аэрозольных частицах в зависимости от их размера при определенном напряжении.
5.2.3.2. Нейтрализатор может быть биполярным или униполярным. Рекомендуется использовать диффузионное биполярное заряжающее устройство с источником ионизации на основе радиоизотопов или коронного разряда. Рекомендуют для применения радиоизотопы америций 241

, криптон 85

или полоний 210

, а также рентгеновское излучение. Радиоактивный источник должен быть достаточно мощным, чтобы нейтрализовать поступающий аэрозоль.
5.2.4. Средство измерений счетной концентрации
5.2.4.1. Конструкция средства измерений счетной концентрации должна обеспечивать измерения размеров частиц и счетной концентрации на выходе монодисперсного аэрозоля из классификатора с заданной погрешностью по всему рассматриваемому диапазону размеров.
5.2.4.2. Средство измерений счетной концентрации выбирают в зависимости от нижней границы диапазона размеров анализируемых частиц. Рекомендуется использовать в качестве таких средств счетчики ядер конденсации, электрометры.
5.2.5. Блок управления и обработки данных
5.2.5.1. Блок управления и обработки данных предназначен для осуществления управления и контроля за процессом измерения и состоянием САДЭП, а также сбора и преобразования данных.
5.2.5.2. Управление, контроль и обработка данных должны осуществляться программно. Допускается интегрировать блок управления и обработки данных в автономный прибор для измерений счетной концентрации частиц.
6.1. При выполнении измерений соблюдают следующие условия окружающей среды, если в руководствах по эксплуатации применяемых средств не указаны более жесткие условия:
- температура окружающей среды плюс (20 +/- 10) °C;
- влажность от 30% до 80%;
- давление от 84 до 106 кПа;
- напряжение питающей сети 230 В

;
- в зоне размещения САДЭП должны отсутствовать механические вибрации частотами до 30 Гц и амплитудой виброперемещений более 0,75 мм.
| | ИС МЕГАНОРМ: примечание. Текст дан в соответствии с официальным текстом документа. | |
6.2. САДЭП размещают в помещении с классом чистоты не хуже 8 ИСО в соответствии с
ГОСТ Р ИСО 14644-1.
6.3. Не допускается прямое попадание на САДЭП солнечных лучей.
7. Требования безопасности
7.1. Измерения с помощью САДЭП должны выполнять лица, прошедшие инструктаж по технике безопасности и допущенные к работе с электротехническими изделиями напряжением свыше 1000 В, имеющие квалификационную группу по электробезопасности не ниже III, а также прошедшие инструктаж по технике безопасности при работе с лазерными излучателями.
7.2. При выполнении измерений соблюдают требования безопасности, указанные в эксплуатационной документации на систему анализа дифференциальной электрической подвижности частиц.
7.3. Порядок эксплуатации САДЭП в части радиационной безопасности должен быть регламентирован нормативными документами
[2],
[3].
8. Порядок подготовки и проведения измерений
8.1. Подготовка и проведение измерений САДЭП включают в себя следующие этапы:
а) проверку работы всех частей САДЭП;
б) проверку фона измерительного канала;
в) подготовку пробы (осушение, удаление крупных частиц);
г) обеспечение равновесного распределения заряда на аэрозольных частицах;
д) измерение и обработку данных.
8.2. При проверке работы САДЭП необходимо убедиться в правильности регистрации параметров контролирующих систем (напряжения, скорости потоков, температуры и т.п.) и возможности подсчета частиц.
8.3. Проверку фона измерительного канала рекомендуется проводить при установке на входе классификатора воздушного фильтра высокой эффективности от Н13 до Н14 класса по
ГОСТ Р 51251. Фон в пробоотборной системе САДЭП должен быть не более

. При превышении фона следует проводить очистку пробоотборной системы с помощью чистого воздуха (не содержащего взвешенных частиц).
8.4. Подготовку пробы проводят в устройстве пробоподготовки (см.
5.2.2).
8.5. Распределение заряда на аэрозольных частицах осуществляется в нейтрализаторе (см.
5.2.3).
8.6. Измерение и обработка данных
Размеры аэрозольных частиц определяют на основе измерений их дифференциальных электрических подвижностей при соответствующих электрических напряжениях с учетом известной зависимости распределения заряда на этих частицах.
Счетную концентрацию измеряют с помощью средства измерений счетной концентрации, отклик R(U) которого на аэрозольные частицы для данного приложенного электрического напряжения U задают уравнением

, (5)
где d - размер аэрозольной частицы;
N - количество аэрозольных частиц;
W(d, N) - коэффициент, связывающий отклик измерителя частиц со скоростью частиц;

- счетная концентрация аэрозольных частиц в интервале размеров частиц

;

- функция распределения заряда частиц в зависимости от их размера (см.
Приложение А);
Z(d, N) - дифференциальная электрическая подвижность;

- функция питающего напряжения и геометрии классификатора (см.
5.2.1.4).
Примечание. В счетчиках ядер конденсации откликом является счетная концентрация. Коэффициент

, где

- зависимая от размера частиц эффективность детектирования счетчика;

- скорость потока в счетчике. В электрометрах с цилиндром Фарадея для измерений аэрозольных частиц откликом является электрический ток. Коэффициент

, где N - количество элементарных зарядов на частице; e - элементарный заряд

;

- зависимая от размера частиц эффективность детектирования электрометра.
Частицы разных размеров могут иметь одинаковую дифференциальную электрическую подвижность, так как несут один или несколько зарядов. Необходимо проводить повторные измерения концентрации частиц при различных напряжениях, что обеспечит построение кривой зависимости концентрации от электрической подвижности частиц, которая служит основой для определения распределения частиц по размерам.
Примечания
1. При шаговой системе изменения напряжения САДЭП должна обеспечивать достаточное время для достижения установившейся концентрации в измерителе частиц.
2. Для системы сканирования постоянные времени (время удерживания частицы в классификаторе, время нахождения в трубе между классификатором и измерителем частиц, время отклика измерителя частиц и постоянная времени для изменения напряжения) и направление сканирования могут вызвать смещение и деформацию передаточной функции по сравнению с шаговой системой.
9. Правила оформления результатов измерений
9.1. В отчете об измерениях следует приводить результаты измерений размеров частиц и счетных концентраций по международному стандарту
[4], а также рекомендуется указывать следующую информацию:
- идентификационные элементы САДЭП, включая наименование изготовителя, модель и серийный номер;
- дату и время анализа;
- тип испытуемого образца;
- скорости входящих и выходящих потоков в классификаторе;
- давление внутри классификатора в процессе измерений;
- температуру внутри классификатора в процессе измерений;
- влажность образца;
- дату проведения последнего испытания на герметичность и скорость утечки САДЭП.
10. Оценка неопределенности результатов измерений
10.1. Оценку стандартной неопределенности (пределы допускаемой относительной погрешности) результатов измерений размеров частиц и счетных концентраций следует проводить в соответствии с
рекомендациями [5] с использованием эталонных мер размера наночастиц в водных средах. В качестве указанных мер рекомендуется использовать дисперсные системы на основе полистирольного латекса. Характеристики мер и условия их применения должны быть определены в технической документации на них.
10.2. Оценку повторяемости (сходимости) и воспроизводимости измерений, если требуется, проводят в соответствии с
ГОСТ Р ИСО 5725-2.
(справочное)
РАСПРЕДЕЛЕНИЕ ЗАРЯДА НА ЧАСТИЦАХ
В ЗАВИСИМОСТИ ОТ ИХ РАЗМЕРА
Распределение заряда на частицах в зависимости от их размера основано на теоретической модели, вытекающей из теории диффузии для частиц субмикронного диапазона, основанной на приближении Фукса.
На рисунке А.1 показаны кривые, рассчитанные по теории Фукса, где

- заряд частицы: d - размер частицы.
Рисунок А.1. Распределение заряда частиц
в диапазоне размеров от 1 до 1000 нм
Распределение по размерам частиц, несущих ноль, один или два элементарных заряда, при равновесном заряде, выражают уравнением, выведенным на модели Фукса:

, (А.1)
где размер частицы d выражен в нанометрах, значения коэффициента

определены с помощью регрессионного анализа методом наименьших квадратов и указаны в таблице А.1.
Таблица А.1
Коэффициенты

для уравнения (А.1)
i | |
N = -2 | N = -1 | N = 0 | N = +1 | N = +2 |
0 | -26,332 8 | -2,319 7 | -0,000 3 | -2,348 4 | -44,475 6 |
1 | 35,904 4 | 0,617 5 | -0,101 4 | 0,604 4 | 79,377 2 |
2 | -21,460 8 | 0,620 1 | 0,307 3 | 0,480 0 | -62,890 0 |
3 | 7,086 7 | -0,110 5 | -0,337 2 | 0,001 3 | 26,449 2 |
4 | -1,308 8 | -0,126 0 | 0,102 3 | -0,155 3 | -5,748 0 |
5 | 0,105 1 | 0,029 7 | -0,010 5 | 0,032 0 | 0,504 9 |
1 нм <= d <= 1000 нм для N = (-1; 0; 1);
20 нм <= d <= 1000 нм для N = (-2; 2).
Распределение размеров частиц, несущих три элементарных заряда и более, рассчитывают по формуле

, (А.2)
где

- диэлектрическая проницаемость газа (для воздуха

);
k - постоянная Больцмана;
T - температура газа;

- отношение подвижностей ионов, равное 0,875.
(справочное)
ПЕРЕДАТОЧНАЯ ФУНКЦИЯ ЦИЛИНДРИЧЕСКОГО КЛАССИФИКАТОРА
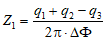
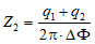
Один из основных параметров классификатора - это критическая электрическая подвижность аэрозольных частиц, следуемых с определенной траекторией в классификаторе и выделяемых в монодисперсную долю. Частицы с большей или меньшей подвижностью, чем критическая, перемещаются к электроду или выходу с избыточным потоком. Критическую дифференциальную электрическую подвижность, которая представляет собой расчетную величину, определяют по геометрии классификатора, скорости потока аэрозоля и ограждающего потока ("поток ножн" по международному стандарту
[1]) и интенсивности электрического поля.
Для цилиндрического классификатора рассчитывают критические дифференциальные электрические подвижности

,

и

частиц с траекториями движения, показанными на рисунке Б.1. Эти подвижности задают уравнениями:
где

- функция геометрии классификатора и питающего напряжения.
Рисунок Б.1. Траектории движения заряженных частиц
в классификаторе с соответствующими критическими
дифференциальными электрическими подвижностями
Для цилиндрического классификатора

определяют по формуле

, (Б.2)
где

и

- радиусы внутреннего и внешнего электродов соответственно;
L - эффективная длина электрода между входом и выходом потока аэрозоля;
U - напряжение между электродами.
В случае анализа частиц с одинаковой дифференциальной электрической подвижностью Z передаточную функцию

определяют как

, (Б.3)
где

и

- счетные концентрации частиц с подвижностью Z, входящих в классификатор с потоком

и покидающих классификатор с потоком

соответственно.
Если в классификаторе установлено напряжение между электродами

, передаточная функция

имеет вид:

, если

; (Б.5)

, если

; (Б.6)

, если

. (Б.7)
Передаточные функции цилиндрического классификатора

показаны на рисунке Б.2.
Рисунок Б.2. Передаточные функции
цилиндрического классификатора
Как правило, передаточная функция имеет форму усеченного равнобедренного треугольника, центрированного вокруг значения

, определяемого по формуле

, (Б.8)
где

- электрическая подвижность центральных частиц при установленном между электродами напряжении

.

(Б.9)
В случае циркуляции избыточного потока в ограждающий поток

разрешение классификатора относительно дифференциальной электрической подвижности упрощается до

при

.
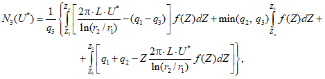
В случае анализа аэрозольных частиц с различной дифференциальной электрической подвижностью функция распределения f(Z) имеет вид:

, (Б.10)
где

- счетная концентрация всех заряженных аэрозольных частиц с полярностью, противоположной полярности внутреннего электрода классификатора в диапазоне дифференциальной электрической подвижности от Z до Z + dZ. Исходя из формулы (Б.10) определяют счетную концентрацию аэрозольных частиц

, покидающих классификатор с потоком

:

(Б.11)
При использовании
формул (Б.4) и
(Б.7) уравнение (Б.11) может быть представлено в виде:

(Б.12)
где

и

.
При стабильности потоков любую из критических дифференциальных электрических подвижностей

,

,

,

в уравнении (Б.12) допускается принять как независимую переменную и изменять ее значение в зависимости от напряжения

.
Если предположить f(Z) постоянной в интервалах электрической подвижности от

до

и от

до

, то
уравнение (Б.12) может быть сокращено до приближения:

, (Б.13)
где

и

.
Если

,

, дифференциальная электрическая подвижность

равна

, то передаточная функция имеет симметрично треугольную форму, а уравнение (Б.13) принимает вид:

(Б.14)
Описанный выше анализ основан на следующих допущениях:
а) инерцией частицы и броуновским движением пренебрегают,
б) воздушный поток - ламинарный, осесимметричный и несжимаемый,
в) пространственный заряд и силы, создаваемые его зеркальным отображением, пренебрежимо малы.
[1] Международный стандарт Определение гранулометрического состава.
ИСО 15900:2009 Анализ дифференциальной подвижности частиц
аэрозолей в электрическом поле
(ISO 15900:2009) (Determination of particle size distribution
- Differential electrical mobility analysis
for aerosol particles)
[2] Санитарные правила и нормы Нормы радиационной безопасности
[3] Санитарные правила Основные санитарные правила обеспечения
[4] Международный стандарт Гранулометрический анализ. Представление
ИСО 9276-1:1998 результатов. Часть 1. Графическое
представление
(ISO 9276-1:1998) (Representation of results of particle size
analysis - Part 1: Graphical representation)
[5] Рекомендации Государственная система обеспечения единства
по межгосударственной измерений. Применение "Руководства
стандартизации по выражению неопределенности измерений".