Главная // Актуальные документы // ГОСТ Р (Государственный стандарт)СПРАВКА
Источник публикации
М.: Стандартинформ, 2013
Примечание к документу
Документ
введен в действие с 01.01.2014.
Название документа
"ГОСТ Р 55046-2012. Национальный стандарт Российской Федерации. Техническая диагностика. Оценка остаточного ресурса длительно эксплуатируемых стальных трубопроводов на основе результатов механических испытаний образцов. Общие требования"
(утв. и введен в действие Приказом Росстандарта от 08.11.2012 N 700-ст)
"ГОСТ Р 55046-2012. Национальный стандарт Российской Федерации. Техническая диагностика. Оценка остаточного ресурса длительно эксплуатируемых стальных трубопроводов на основе результатов механических испытаний образцов. Общие требования"
(утв. и введен в действие Приказом Росстандарта от 08.11.2012 N 700-ст)
Утвержден и введен в действие
агентства по техническому
регулированию и метрологии
от 8 ноября 2012 г. N 700-ст
НАЦИОНАЛЬНЫЙ СТАНДАРТ РОССИЙСКОЙ ФЕДЕРАЦИИ
ТЕХНИЧЕСКАЯ ДИАГНОСТИКА
ОЦЕНКА ОСТАТОЧНОГО РЕСУРСА ДЛИТЕЛЬНО ЭКСПЛУАТИРУЕМЫХ
СТАЛЬНЫХ ТРУБОПРОВОДОВ НА ОСНОВЕ РЕЗУЛЬТАТОВ
МЕХАНИЧЕСКИХ ИСПЫТАНИЙ ОБРАЗЦОВ
ОБЩИЕ ТРЕБОВАНИЯ
Technical diagnostics.
Evaluation of residual resource of long used steel
pipelines on the basis of samples mechanical
tests results. General requirements
ГОСТ Р 55046-2012
Группа Т59
Дата введения
1 января 2014 года
1. Разработан Автономной некоммерческой организацией "Научно-исследовательский центр контроля и диагностики технических систем" (АНО "НИЦ КД"), Академией наук Республики Башкортостан (АН РБ), Государственным унитарным предприятием "Институт проблем транспорта энергоресурсов" (ГУП "ИПТЭР"), Негосударственным профессиональным образовательным учреждением "Инженерный центр "Техника" (НПОУ ИЦ "Техника"), Обществом с ограниченной ответственностью "Газпром Трансгаз Уфа" (ООО "Газпром Трансгаз Уфа").
2. Внесен Техническим комитетом по стандартизации ТК 132 "Техническая диагностика".
3. Утвержден и введен в действие
Приказом Федерального агентства по техническому регулированию и метрологии от 8 ноября 2012 г. N 700-ст.
4. Введен впервые.
Правила применения настоящего стандарта установлены в ГОСТ Р 1.0-2012
(раздел 8). Информация об изменениях к настоящему стандарту публикуется в ежегодном (по состоянию на 1 января текущего года) информационном указателе "Национальные стандарты", а официальный текст изменений и поправок - в ежемесячном информационном указателе "Национальные стандарты". В случае пересмотра (замены) или отмены настоящего стандарта соответствующее уведомление будет опубликовано в ближайшем выпуске ежемесячного информационного указателя "Национальные стандарты". Соответствующая информация, уведомление и тексты размещаются также в информационной системе общего пользования - на официальном сайте Федерального агентства по техническому регулированию и метрологии в сети Интернет (gost.ru).
Трубопроводы в зонах сейсмической активности, в местности с периодическими оползневыми явлениями, карстовыми процессами, в черте городов и населенных пунктов, в местах пересечения с железнодорожными и автомобильными дорогами подвергаются действию статических и циклических нагрузок.
Исследованиями установлено, что такие условия нагружения при длительной эксплуатации трубопроводов порождают изменения микроструктуры металла вследствие процессов деформационного старения и замедленного разрушения (постепенного снижения прочности при нормальных температурах).
В результате этих процессов происходят структурные изменения:
1) деградация механических свойств металла, определяющих работоспособность трубопроводов.
Причинами деградации являются охрупчивание металла и уменьшение сил связей между кристаллическими зернами.
Основными механизмами охрупчивания металла длительно эксплуатируемых трубопроводов являются:
- скопление дислокации у барьеров;
- эволюция дислокационных структур;
- образование и рост зародышей новых карбидных фаз;
- заход атомов в тетраэдрические пустоты ОКЦ-решетки феррита;
- распад цементита и фрагментация перлитных зерен и т.д.;
2) снижение коррозионной стойкости металла трубопроводов, причиной которого в первую очередь является распад цементита, сопровождающийся измельчением его пластинок и увеличением протяженности границ зерен. Границы зерен являются препятствием движению дислокаций, порождают упрочнение кристаллов, вследствие чего появляются дополнительные внутренние напряжения и создаются условия для протекания коррозии под напряжением. В результате снижается сопротивляемость металла коррозии.
Существующие методы оценки остаточного ресурса трубопроводов основаны на учете влияния локальных технологических, конструктивных и эксплуатационных дефектов, проявляющихся в наличии: зон концентраторов напряжений; геометрических и механических неоднородностей; коррозионных повреждений; трещин и несплошностей различных видов.
В процессе длительной эксплуатации, в силу указанных структурных изменений, наступление предельного состояния может произойти и на бездефектных участках трубопроводов.
Поэтому определение остаточного ресурса трубопровода должно основываться на установлении реального физического состояния металла в зависимости от времени эксплуатации и характера нагружения.
Настоящий стандарт распространяется на трубопроводы, эксплуатируемые в трассовых условиях, как в пределах первоначально установленных (проектных) сроков эксплуатации, так и после их превышения.
Стандарт устанавливает общие требования к расчетно-экспериментальной методике оценки остаточного ресурса и к принятию решения по ремонту трубопроводов; к замене отдельных узлов и выводу из эксплуатации трубопроводов на основании результатов механических испытаний вырезанных из них образцов.
Настоящий стандарт разработан на основании требований к порядку определения остаточного ресурса потенциально опасных объектов, изложенных в
[1], требований безопасности
[2] -
[8], обобщения результатов научно-исследовательских работ
[9] -
[13], а также отечественного и зарубежного опыта проектирования, монтажа, эксплуатации и технического диагностирования трубопроводов.
Стандарт может быть использован предприятиями и организациями, осуществляющими эксплуатацию и диагностирование трубопроводов, выработавших проектный ресурс.
Расчетно-экспериментальная методика, регламентируемая настоящим стандартом, допускает применение дополнительных методов разрушающего и неразрушающего контроля используемых образцов с целью уточнения оценки остаточного ресурса трубопровода.
В настоящем стандарте использованы нормативные ссылки на следующие стандарты:
ГОСТ Р 53006-2008. Оценка ресурса потенциально опасных объектов на основе экспресс-методов. Общие требования
ГОСТ 12.1.019-79. Система стандартов безопасности труда. Электробезопасность. Общие требования и номенклатура видов защиты
ГОСТ 12.1.038-82. Система стандартов безопасности труда. Электробезопасность. Предельно допустимые значения напряжений прикосновения и токов
ГОСТ 25.502-79. Расчеты и испытания на прочность в машиностроении. Методы механических испытаний металлов. Методы испытаний на усталость
ГОСТ 166-89 (ИСО 3599-76). Штангенциркули. Технические условия
ГОСТ 427-75. Линейки измерительные металлические. Технические условия
ГОСТ 28840-90. Машины для испытания материалов на растяжение, сжатие и изгиб. Общие технические требования
ГОСТ 28841-90. Машины для испытания материалов на усталость. Общие технические требования.
Примечание. При пользовании настоящим стандартом целесообразно проверить действие ссылочных стандартов в информационной системе общего пользования - на официальном сайте Федерального агентства по техническому регулированию и метрологии в сети Интернет или по ежегодно издаваемому информационному указателю "Национальные стандарты", который опубликован по состоянию на 1 января текущего года, и по соответствующим выпускам ежемесячно издаваемого информационного указателя "Национальные стандарты", опубликованным в текущем году. Если ссылочный стандарт заменен (изменен), то при пользовании настоящим стандартом следует руководствоваться заменяющим (измененным) стандартом. Если ссылочный стандарт отменен без замены, то положение, в котором дана ссылка на него, применяется в части, не затрагивающей эту ссылку.
В настоящем стандарте применены термины по
ГОСТ Р 27.002,
[13], а также следующие термины с соответствующими определениями:
3.1. Трубопровод: система последовательно соединенных элементов (труб и деталей), разрушение одного из которых выводит из строя трубопровод.
3.2. Ресурс трубопровода: наработка трубопровода от пуска до перехода в предельное состояние.
3.3. Наработка: период применения трубопровода без учета простоев.
3.4. Предельное состояние трубопровода: техническое состояние трубопровода, при котором исключена его дальнейшая эксплуатация.
3.5. Остаточный ресурс трубопровода: наработка трубопровода с момента текущего диагностирования до перехода в предельное состояние.
3.6. Деградация механических свойств металла: изменение механических свойств металла во времени в результате его тонкоструктурных изменений под действием долговременных нагрузок.
3.7. Техническое диагностирование трубопровода: определение технического состояния трубопровода.
3.8. Средний остаточный ресурс: математическое ожидание остаточного ресурса трубопровода с учетом деформационного старения.
В настоящем стандарте применены следующие обозначения:

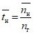
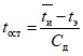
- средний остаточный ресурс, лет;

- наработка трубопровода до проведения текущего диагностирования, лет;

- наработка до разрушения i-го отожженного образца из металла трубопровода, лет;

- средняя наработка до разрушения отожженных образцов из металла трубопровода, лет;

- число циклов нагружения к моменту разрушения i-го отожженного образца из металла трубопровода;

- среднее число циклов нагружения до разрушения отожженных образцов;

- число циклов нагружения к моменту разрушения i-го образца из металла эксплуатируемого трубопровода;

- среднее число циклов нагружения до разрушения образца из металла эксплуатируемого трубопровода;

- среднее число циклов нагружения трубопровода за один год;

- коэффициент деформационного старения металла газопровода;

- степень деформационного старения металла трубопровода;

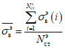
- предел прочности i-го отожженного образца из металла трубопровода, МПа;

- средний предел прочности отожженных образцов из металла трубопровода, МПа;

- предел прочности i-го образца из металла эксплуатируемого трубопровода, МПа;

- средний предел прочности образцов из металла эксплуатируемого трубопровода, МПа;

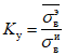
- коэффициент упрочнения металла трубопровода;

- число отожженных образцов из металла трубопровода, испытанных на статическое растяжение;

- число образцов из металла эксплуатируемого трубопровода, испытанных на статическое растяжение;

- число отожженных образцов из металла трубопровода, испытанных на усталость;

- число образцов из металла эксплуатируемого трубопровода, испытанных на усталость.
5.1. Оценка остаточного ресурса длительно эксплуатируемых трубопроводов поэтапно предполагает:
- накопление экспериментальных данных по изменению параметров, определяющих механические свойства металла;
- проведение расчетов по определению остаточного ресурса безопасной эксплуатации трубопровода.
5.2. Расчет остаточного ресурса трубопровода должен предусматривать количественную оценку механических свойств его металла, получаемых на основании испытаний образцов стандартными методами; проведение специальных испытаний на усталость и металлографических исследований на всех структурных уровнях (макросъемка, оптическая металлография, электронная микроскопия).
5.3. Регламентируемый стандартом способ позволяет определить остаточный ресурс трубопровода с назначенным сроком безопасной эксплуатации с учетом старения и усталости металла стенки труб.
Способ не заменяет других способов диагностирования наиболее поврежденных участков трубопровода, а является дополнением для оценки работоспособности трубопровода в целом.
6. Требования безопасности
6.1. К выполнению измерений допускают операторов, обладающих навыками эксплуатации оборудования для механических испытаний металлических образцов, умеющих пользоваться соответствующими национальными и отраслевыми нормативными и техническими документами, прошедших обучение работе с применяемыми средствами измерений и аттестованных на знание правил безопасности в соответствующей отрасли промышленности.
6.2. При проведении работ по определению механических характеристик, необходимых для определения остаточного ресурса трубопровода, оператор должен руководствоваться правилами технической безопасности при эксплуатации электроустановок потребителей по
ГОСТ 12.1.019 и
ГОСТ 12.1.038.
6.3. Работы проводят в соответствии с требованиями безопасности, указанными в инструкции по эксплуатации аппаратуры, входящей в состав используемых средств измерений.
7. Требования к средствам измерений
7.1. При определении пределов прочности в качестве средств измерений используют испытательные машины по
ГОСТ 28840.
7.2. При проведении усталостных испытаний используют испытательные машины по
ГОСТ 28841 или специально сконструированные испытательные устройства.
7.3. Линейки металлические должны соответствовать требованиям
ГОСТ 427.
7.4. Штангенциркули должны соответствовать требованиям
ГОСТ 166.
7.5. Микрометры должны соответствовать требованиям
ГОСТ 6507.
8.1. Вырезку заготовок для изготовления образцов осуществляют из эксплуатируемых трубопроводов как из стенки трубы (основной металл), так и из опасных участков (сварные швы; места, имеющие концентрации напряжений и другие дефекты).
8.2. В соответствии с
ГОСТ Р 53006 образцы, вырезанные из опасных участков, при отсутствии равнопрочности с основным металлом используют для принятия решения о ремонте и замене элементов трубопровода. Образцы, вырезанные из стенки трубы, используют для принятия решения о продлении ресурса с назначенным сроком безопасной эксплуатации или о выводе трубопровода из эксплуатации для предотвращения катастрофических аварий.
8.3. Изготавливают две партии образцов.
Каждая партия должна содержать образцы:
- для усталостных испытаний, изготавливаемые в соответствии с требованиями к образцам типа IV по
ГОСТ 25.502;
- для испытаний на статическое растяжение, изготавливаемые в соответствии с требованиями к образцам типа I по
ГОСТ 1497.
8.4. Число образцов должно обеспечить представительную выборку для оценки после их испытаний среднего остаточного ресурса трубопровода с заданной доверительной вероятностью.
8.5. Одну партию образцов в количестве

подвергают рекристаллизационному отжигу при температуре 650 °C в течение 1 часа с целью устранения влияния старения (этим достигается имитация исходного состояния металла), вторую партию в количестве

оставляют в состоянии, соответствующем состоянию металла эксплуатировавшегося трубопровода.
9. Порядок проведения испытаний образцов
9.1. Образцы, предназначенные для усталостных испытаний, доводят до разрушения методом консольного или чистого изгиба.
9.2. Частота нагружения должна быть не более 40 - 50 циклов в минуту. Амплитуду нагрузки подбирают с учетом максимального напряжения, которое может возникнуть в условиях эксплуатации трубопровода.
9.3. По результатам усталостных испытаний определяют число циклов до разрушения каждого образца.
9.4. Образцы, предназначенные для статических испытаний, испытывают по
ГОСТ 1497.
9.5. По результатам статических испытаний определяют предел прочности каждого образца.
10. Обработка результатов измерений
10.1. Рассчитывают среднее число циклов нагружения до разрушения отожженных образцов по формуле

. (1)
10.2. Рассчитывают среднюю наработку до разрушения отожженных образцов по формуле

. (2)
Примечание. С удовлетворительной погрешностью можно считать

.
10.3. Рассчитывают среднее число циклов нагружения до разрушения образцов из металла эксплуатируемого трубопровода по формуле

. (3)
10.4. Рассчитывают степень деформационного старения металла трубопровода по формуле

. (4)
10.5. Рассчитывают средний предел прочности металла трубопровода по результатам испытаний отожженных образцов по формуле

. (5)
10.6. Рассчитывают средний предел прочности металла эксплуатируемого трубопровода по формуле

. (6)
10.7. Рассчитывают коэффициент упрочнения металла трубопровода по формуле

. (7)
10.8. Рассчитывают коэффициент деформационного старения металла трубопровода по формуле

. (8)
10.9. Рассчитывают средний остаточный ресурс трубопровода по формуле

. (9)
11. Принятие решения о возможности дальнейшей
эксплуатации трубопровода
11.1. На основании данных по оценке технического состояния трубопровода и его остаточного ресурса принимают решение о возможности его дальнейшего применения в соответствии с остаточным или назначенным ресурсом безопасной эксплуатации или о его ремонте, снижении рабочих параметров или прекращении эксплуатации.
11.2. Решение принимается предприятием (организацией), проводившей техническое диагностирование и оценку остаточного ресурса.
(рекомендуемое)
ПРИМЕР РАСЧЕТА СРЕДНЕГО ОСТАТОЧНОГО РЕСУРСА ГАЗОПРОВОДА
А.1. Ниже приводится типичный пример определения остаточного ресурса газопровода из стали марки 17ГС, эксплуатируемого в течение 40 лет, проложенного в черте города.
А.2. На образцах, вырезанных из газопровода в соответствии с
разделом 8 и испытанных в соответствии с
разделом 9 настоящего стандарта, получены следующие исходные данные для расчета среднего остаточного ресурса:
- среднее число циклов нагружения до разрушения отожженных образцов

;
- средняя наработка до разрушения отожженных образцов из металла газопровода, рассчитанная по
формуле (2) 
;
- среднее число циклов нагружения до разрушения образцов из металла эксплуатируемого газопровода

;
- коэффициент упрочнения металла газопровода

.
А.3. Среднее число циклов нагружения газопровода за один год

принято равным 500.
А.4. По
формуле (4) рассчитывают степень деформационного старения металла газопровода

.
А.5. По
формуле (8) рассчитывают коэффициент деформационного старения металла газопровода

.
А.6. Средний остаточный ресурс трубопровода рассчитывают по
формуле (9)

.
А.7. Таким образом, в тяжелых условиях эксплуатации (при наличии циклических нагрузок) газопровод сохраняет работоспособность, как минимум, в течение 60 лет.
(рекомендуемое)
ИСПОЛЬЗОВАНИЕ РЕЗУЛЬТАТОВ МЕТАЛЛОГРАФИЧЕСКИХ ИССЛЕДОВАНИЙ
ДЛЯ ОЦЕНКИ ОСТАТОЧНОГО РЕСУРСА ТРУБОПРОВОДА
Б.1. Металлографические исследования, как правило, выполняют для определения изменений структурно-механических свойств металла трубопровода. Их результаты могут быть использованы для установления причин аварий, обусловленных развитием медленно протекающих деструктивных процессов металла трубопровода.
Б.2. Результаты электронной микроскопии могут быть использованы для определения средней высоты деформационного рельефа поверхности трубопровода, характеризующей величину накопленной деформации, связанной со степенью изменения значения коэффициента деформационного старения металла трубопровода.
Б.3. В ряде случаев после построения соответствующих тарировочных зависимостей по результатам металлографических исследований оказывается возможным рассчитать средний остаточный ресурс трубопровода.
остаточного ресурса потенциально опасных
объектов, поднадзорных Госгортехнадзору России
[2]
Правила безопасности в нефтяной и газовой промышленности. Утверждены
Постановлением Госгортехнадзора России от 09.04.1998 N 24
[3] Положение о порядке диагностирования технологического оборудования
взрывоопасных производст топливно-энергетического комплекса
[4]
ПБ 12-529-03 Правила безопасности систем газораспределения
и газопотребления. - М.: ГУП НТЦ "Промышленная
безопасность", 2003. 200 с.
[6] ФЗ-116 Федеральный
закон "О промышленной безопасности опасных
производственных объектов". Принят Государственной Думой
20 июня 1997 года
[7] Технический
регламент о безопасности машин и оборудования. Принят
Правительством РФ. Постановление от 15 сентября 2009 года N 753
[8] Технический
регламент о безопасности сетей газораспределения и
газопотребления. Принят Правительством РФ. Постановление
от 29 октября 2010 г. N 870
[9] Ямалеев К.М. Старение металла труб в процессе эксплуатации
нефтепроводов//Серия "Транспорт и хранение нефти и нефтепродуктов".
М.: ВНИИОЭНГ, 1990. 64 с.
[10] Старение труб нефтепроводов/Гумеров А.Г. [и др.]. М.: Недра,
1995. 220 с.
[11] Способ определения остаточного ресурса трубопроводов: пат. 2413195
Рос. Федерация. N 2009127940; заявл. 20.07.2009; опубл.
27.02.2011. Бюл. N 6. 6 с.
[12] Болотин В.В. Прогнозирование ресурса машин и конструкций.
М.: Машиностроение, 1984. 312 с.
[13] ОСТ 153-39.4-010-2002 Методика определения остаточного ресурса
нефтегазопромысловых трубопроводов
и трубопроводов головных сооружений.