Главная // Актуальные документы // ГОСТ Р (Государственный стандарт)СПРАВКА
Источник публикации
М.: Стандартинформ, 2014
Примечание к документу
Документ
введен в действие с 01.01.2014.
Название документа
"ГОСТ Р 55011-2012. Национальный стандарт Российской Федерации. Энергетическая эффективность. Машины посудомоечные бытовые и аналогичные. Показатели энергетической эффективности и методы определения"
(утв. и введен в действие Приказом Росстандарта от 20.09.2012 N 391-ст)
"ГОСТ Р 55011-2012. Национальный стандарт Российской Федерации. Энергетическая эффективность. Машины посудомоечные бытовые и аналогичные. Показатели энергетической эффективности и методы определения"
(утв. и введен в действие Приказом Росстандарта от 20.09.2012 N 391-ст)
Утвержден и введен в действие
по техническому регулированию
и метрологии
от 20 сентября 2012 г. N 391-ст
НАЦИОНАЛЬНЫЙ СТАНДАРТ РОССИЙСКОЙ ФЕДЕРАЦИИ
ЭНЕРГЕТИЧЕСКАЯ ЭФФЕКТИВНОСТЬ
МАШИНЫ ПОСУДОМОЕЧНЫЕ БЫТОВЫЕ И АНАЛОГИЧНЫЕ.
ПОКАЗАТЕЛИ ЭНЕРГЕТИЧЕСКОЙ ЭФФЕКТИВНОСТИ И МЕТОДЫ ОПРЕДЕЛЕНИЯ
Energy efficiency. Household dishwashing machines
and similar. Indicators of energy efficiency
and determination methods
ГОСТ Р 55011-2012
Дата введения
1 января 2014 года
1 РАЗРАБОТАН Федеральным государственным унитарным предприятием "Всероссийский научно-исследовательский институт стандартизации и сертификации в машиностроении" (ВНИИНМАШ) на основе Директивы 1059/2010
2 ВНЕСЕН Техническим комитетом по стандартизации ТК 039 "Энергосбережение, энергетическая эффективность, энергоменеджмент"
3 УТВЕРЖДЕН И ВВЕДЕН В ДЕЙСТВИЕ
Приказом Федерального агентства по техническому регулированию и метрологии от 20 сентября 2012 г. N 391-ст
4 Настоящий стандарт соответствует Регламенту комиссии N 1059/2010 от 28 сентября 2010 г.
5 ВВЕДЕН ВПЕРВЫЕ
Правила применения настоящего стандарта установлены в ГОСТ Р 1.0-2012 (раздел 8). Информация об изменениях к настоящему стандарту публикуется в ежегодном (по состоянию на 1 января текущего года) информационном указателе "Национальные стандарты", а официальный текст изменений и поправок - в ежемесячном информационном указателе "Национальные стандарты". В случае пересмотра (замены) или отмены настоящего стандарта соответствующее уведомление будет опубликовано в ближайшем выпуске ежемесячного информационного указателя "Национальные стандарты". Соответствующая информация, уведомление и тексты размещаются также в информационной системе общего пользования - на официальном сайте Федерального агентства по техническому регулированию и метрологии в сети Интернет (gost.ru)
Настоящий стандарт распространяется на бытовые посудомоечные машины, предназначенные для подключения к системе холодного водоснабжения. Настоящий стандарт устанавливает методы определения показателей энергетической эффективности.
Настоящий стандарт не применяют для посудомоечных машин, предназначенных для подключения к системе горячего водоснабжения.
В настоящем стандарте использованы нормативные ссылки на следующие стандарты:
ГОСТ Р МЭК 60436-2011 Машины электрические посудомоечные для бытового использования. Методы измерения функциональных характеристик
ГОСТ Р 51401-99 (ИСО 3744-94) Шум машин. Определение уровней звуковой мощности источников шума по звуковому давлению. Технический метод в существенно свободном звуковом поле над звукоотражающей плоскостью
Примечание - При пользовании настоящим стандартом целесообразно проверить действие ссылочных стандартов в информационной системе общего пользования - на официальном сайте Федерального агентства по техническому регулированию и метрологии в сети Интернет или по ежегодному информационному указателю "Национальные стандарты", который опубликован по состоянию на 1 января текущего года, и по выпускам ежемесячного информационного указателя "Национальные стандарты" за текущий год. Если заменен ссылочный стандарт, на который дана недатированная ссылка, то рекомендуется использовать действующую версию этого стандарта с учетом всех внесенных в данную версию изменений. Если заменен ссылочный стандарт, на который дана датированная ссылка, то рекомендуется использовать версию этого стандарта с указанным выше годом утверждения (принятия). Если после утверждения настоящего стандарта в ссылочный стандарт, на который дана датированная ссылка, внесено изменение, затрагивающее положение, на которое дана ссылка, то это положение рекомендуется применять без учета данного изменения. Если ссылочный стандарт отменен без замены, то положение, в котором дана ссылка на него, рекомендуется применять в части, не затрагивающей эту ссылку.
В настоящем стандарте применены следующие термины с соответствующими определениями:
3.1 посудомоечная машина: Машина, которая обеспечивает выполнение операций мойки, ополаскивания и сушки фарфоро-фаянсовой и стеклянной посуды, столовых приборов и в некоторых случаях бытовых кухонных приборов с помощью химических и механических средств.
3.2 номинальное значение емкости посудомоечной машины: Указанное изготовителем количество столовых комплектов посуды (рассчитанных на одну персону) вместе со столовыми сервировочными приборами, размещаемое в машине при ее загрузке в соответствии с инструкцией изготовителя.
3.3 цикл: Последовательность операций, производимых машиной во время мытья, ополаскивания и сушки посуды.
Примечание - Цикл считают завершенным:
а) если имеется индикатор окончания программы, показывающий, что программа закончена;
б) при отсутствии индикатора окончания программы, когда все функциональные компоненты завершили работу.
3.4 столовый комплект посуды: Определенный набор посуды, состоящий из столовых приборов, фарфоро-фаянсовой и стеклянной посуды, рассчитанный для использования одним человеком.
3.5 столовые сервировочные приборы: Определенный набор посуды, состоящий из столовых приборов и посуды, используемый в качестве дополнения к столовому комплекту посуды.
4 Классы энергетической эффективности бытовых посудомоечных машин и эффективности сушки
4.1 Для обозначения энергетической эффективности бытовых посудомоечных машин и эффективности их сушки в зависимости от ее индекса установлены классы (по возрастанию) от A+++ до D согласно
таблицам 1 и
2 соответственно.
Таблица 1
Классы энергетической эффективности
Класс энергетической эффективности | Индекс энергетической эффективности |
A+++ (самый энергетически эффективный) | EEI < 50 |
A++ | 50 <= EEI < 56 |
A+ | 56 <= EEI < 63 |
A | 63 <= EEI < 71 |
B | 71 <= EEI < 80 |
C | 80 <= EEI < 90 |
D (наименее энергетически эффективный) | EEI >= 90 |
Таблица 2
Классы энергетической эффективности сушки
Класс энергетической эффективности | Индекс энергетической эффективности |
A+++ (самый энергетически эффективный) | ID > 1,08 |
A++ | 1,08 >= ID > 0,86 |
A+ | 0,86 >= ID > 0,69 |
A | 0,69 >= ID > 0,55 |
B | 0,55 >= ID > 0,44 |
C | 0,44 >= ID > 0,33 |
D (наименее энергетически эффективный) | 0,33 >= ID |
4.2 Индекс энергетической эффективности EEI вычисляют по формуле и полученное значение округляют до целого числа

, (1)
где AEc - фактическое годовое потребление электроэнергии бытовой посудомоечной машиной;
SAEc - стандартное годовое потребление электроэнергии бытовой посудомоечной машиной.
4.3 Фактическое годовое потребление электроэнергии AEc, кВт/ч, вычисляют по формуле и полученное значение округляют до сотых:

(2)
где Et - количество потребляемой электроэнергии за стандартный цикл, округленное до тысячных, кВт/ч;
P1 - мощность в режиме остановки для стандартного цикла, округленная до сотых, Вт;
P0 - мощность в выключенном состоянии для стандартного цикла, округленная до сотых, Вт;
Tt - запрограммированное время для стандартного цикла, округленное до минут, мин;
280 - общее количество стандартных моечных циклов в год.
Если имеется система управления уровнем потребления энергии и если посудомоечная машина самостоятельно переходит в режим "выключено" после завершения программы, определение фактического годового потребления электроэнергии AEc, кВт/ч, осуществляется с учетом эффективного нахождения в режиме "включено" по формуле

, (3)
где T1 - измеренное время нахождения во включенном состоянии для стандартного моечного цикла, мин, округленное до целого числа;
280 - общее количество стандартных моечных циклов в год.
4.4 Стандартное годовое потребление электроэнергии бытовой посудомоечной машиной SAEc, кВт/ч, вычисляют по формуле и полученное значение округляют до сотых:
- для бытовых посудомоечных машин с расчетной вместимостью ps не менее 10 и шириной более 50 см:
SAEc = 7,0ps + 378, (4)
- для бытовых посудомоечных машин с расчетной вместимостью ps не менее 9 и бытовых посудомоечных машин с расчетной вместимостью 9 < ps <= 11 и шириной более 50 см:
SAEc = 25,2ps + 126, (5)
где ps - количество столовых комплектов посуды.
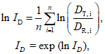
4.5 Индекс эффективности сушки ID вычисляют по формуле и полученное значение округляют до сотых:

(6)
где DT,,i - энергетическая эффективность сушки испытуемой бытовой посудомоечной машины за один испытательный цикл;
DR, i - энергетическая эффективность сушки эталонной бытовой посудомоечной машины за один испытательный цикл;
n - количество испытательных циклов, n - не менее 5.
Индекс эффективности сушки
D - это средняя величина объема влажности каждой загрузки после завершения стандартного моечного цикла. Объем влажности определяют по
таблице 3.
Количество водных следов WT или влажных полос WS | Общая влажная зона AW, мм2 | Объем влажности |
WT = 0 и WS = 0 | Не применяют | 2 (самый энергетически эффективный) |
1 < WT <= 2 или WS = 1 | AW < 50 | 1 |
2 < WT или WS = 2 или WS = 1 и WT = 1 | AW > 50 | 0 (наименее энергетически эффективный) |
4.6 Количество потребляемой воды в год AWc бытовой посудомоечной машиной вычисляют по формуле и полученное значение округляют до ближайшего целого числа:
AWc = Wt 280, (7)
где Wt - количество потребляемой воды за стандартный моечный цикл, округленное до десятых, л.
5 Этикетка энергетической эффективности посудомоечной машины
5.1 Этикетка энергетической эффективности должна содержать следующие сведения о посудомоечной машине:
- наименование или торговую марку предприятия-изготовителя (I);
- обозначение модели (II);
- класс энергетической эффективности (III);
- количество энергии, потребляемой в год (AEc) в киловаттах на час, округленное до ближайшего числа (IV);
- количество воды, потребляемой в год (AWc) в литрах, округленное до ближайшего числа (V);
- класс энергетической эффективности сушки (VI);
- расчетная вместимость (VII);
- распространяемые по воздуху акустические шумы, выраженные в дБ (A) относительно 1 пВт и округляемые до целого числа (VIII).
5.2 Этикетка энергетической эффективности должна прилагаться к руководству по эксплуатации, а при демонстрации машины, выставленной торговым предприятием для продажи, размещаться так, чтобы быть хорошо видной при ее осмотре потенциальным покупателем.
5.3 Форма этикетки энергетической эффективности приведена в
приложении А.
5.4 Заполнение позиций I - VIII в этикетке энергетической эффективности в соответствии с
5.1.
(обязательное)
Примечание - Заполнение позиций I - VIII в этикетке энергетической эффективности в соответствии с
5.1.
Рисунок А.1 - Вид этикетки энергетической эффективности
посудомоечных машин
Рисунок А.2 - Дизайн маркировки энергетической эффективности
стиральных машин
А.3 Дизайн и требования к оформлению этикетки энергетической эффективности бытовой посудомоечной машины
Этикетка энергетической эффективности посудомоечной машины, классифицированной от A+++ до D (дизайн приведен на
рисунке А.2), должна быть оформлена в соответствии со следующими требованиями.
А.3.1 Фон этикетки энергетической эффективности - белый.
А.3.2 При оформлении этикетки энергетической эффективности используют следующие цвета: голубой, пурпурный, желтый, черный.
Пример условного обозначения цвета элемента этикетки энергетической эффективности: 00-70-X-00: 0% голубого, 70% пурпурного, 100% желтого, 0% черного.
А.3.3 Этикетка должна содержать следующие элементы:
1) отступы от контурных линий этикетки - 5 пт, цвет - 100% голубой, углы, закругленные радиусом 3,5 мм;
2) наименование этикетки - цвет - голубой X-80-00-00 и 00-00-X-00;
3) отступ от границы логотипа 1 пт, цвет - 100% голубой, длина - 92,5 мм;
4) указатели (стрелки) этикетки. Размеры указателей (стрелок) этикетки - 7 мм с интервалами 0,75 мм, цвета:
высший класс X-00-X-00: 100% голубой, 0% пурпурный, 100% желтый, 0% черный,
второй класс 70-00-X-00: 70% голубой, 0% пурпурный, 100% желтый, 0% черный,
третий класс 30-00-X-00: 30% голубой, 0% пурпурный, 100% желтый, 0% черный,
четвертый класс 00-00-X-00: 0% голубой, 0% пурпурный, 100% желтый, 0% черный,
пятый класс 00-30-X-00: 0% голубой, 30% пурпурный, 100% желтый, 0% черный,
шестой класс 00-70-X-00: 0% голубой, 70% пурпурный, 100% желтый, 0% черный,
последний класс 00-X-X-00: 0% голубой, 100% пурпурный, 100% желтый, 0% черный;
5) класс энергетической эффективности:
- размер: широта (расстояние) - 26 мм, высота - 14 мм, цвет - 100% черный,
- текст: шрифт Calibri 29 пт, заглавные буквы, цвет - белый, символы "+", шрифт Calibri 18 пт, заглавные буквы, выровненные в один ряд;
6) расход электроэнергии - текст: шрифт Calibri 11 пт, заглавные буквы, цвет - 100% черный;
7) годовое потребление электроэнергии:
- контурная линия: 3 пт, цвет - 100% голубой, углы, закругленные радиусом 3,5 мм,
- количественное значение: шрифт Calibri 45 пт, цвет - 100% черный,
- вторая линия (размерность): шрифт Calibri 17 пт, цвет - 100% черный;
8) годовое потребление воды:
- пиктограмма - согласно иллюстрации,
- контурная линия: 2 пт, цвет - 100% голубой, углы, закругленные радиусом 3,5 мм,
- количественное значение: шрифт Calibri 24 пт, цвет - 100% черный,
- вторая линия (размерность): шрифт Calibri 17 пт, цвет - 100% черный;
9) класс эффективности сушки:
- пиктограмма - согласно иллюстрации,
- контурная линия: 2 пт, цвет - голубой, углы, закругленные радиусом 3,5 мм,
- количественное значение: шрифт Calibri 16 пт, горизонтальный масштаб 75%, цвет - 100% черный,
- вторая линия (размерность): шрифт Calibri 22 пт, горизонтальный масштаб 75%, цвет - 100% черный;
10) расчетная вместимость:
- пиктограмма - согласно иллюстрации,
- контурная линия: 2 пт, цвет - 100% голубой, углы, закругленные радиусом 3,5 мм,
- количественное значение: шрифт: Calibri 24 пт, цвет - 100% черный, Calibri 17 пт, цвет - 100% черный;
11) корректированный уровень звуковой мощности:
- контурная линия: 2 пт, цвет - 100% голубой, углы, закругленные радиусом 3,5 мм,
- количественное значение: шрифт Calibri 24 пт, цвет - 100% черный;
- вторая линия (размерность): шрифт Calibri 16 пт, цвет - 100% черный;
12) наименование и торговая марка предприятия-изготовителя;
13) обозначение модели.
Примечание - Наименование и торговая марка предприятия-изготовителя, наименование модели должны быть расположены на площади 92 x 15 мм.
УДК 648.545:006.354 | |
Ключевые слова: посудомоечная машина, энергетическая эффективность |