Главная // Актуальные документы // ГОСТ Р (Государственный стандарт)СПРАВКА
Источник публикации
М.: Стандартинформ, 2020
Примечание к документу
Документ
введен в действие с 01.07.2012.
Название документа
"ГОСТ Р 54717-2011. Национальный стандарт Российской Федерации. Система цифрового радиовещания DRM в диапазонах частот ниже 30 МГц. Технические основы"
(утв. и введен в действие Приказом Росстандарта от 13.12.2011 N 878-ст)
"ГОСТ Р 54717-2011. Национальный стандарт Российской Федерации. Система цифрового радиовещания DRM в диапазонах частот ниже 30 МГц. Технические основы"
(утв. и введен в действие Приказом Росстандарта от 13.12.2011 N 878-ст)
Утвержден и введен в действие
по техническому регулированию
и метрологии
от 13 декабря 2011 г. N 878-ст
НАЦИОНАЛЬНЫЙ СТАНДАРТ РОССИЙСКОЙ ФЕДЕРАЦИИ
СИСТЕМА ЦИФРОВОГО РАДИОВЕЩАНИЯ DRM
В ДИАПАЗОНАХ ЧАСТОТ НИЖЕ 30 МГц
ТЕХНИЧЕСКИЕ ОСНОВЫ
System for digital broadcasting DRM in the broadcasting
bands below 30 MHz. Technical bases
ГОСТ Р 54717-2011
Дата введения
1 июля 2012 года
1 РАЗРАБОТАН Федеральным государственным унитарным предприятием "Ордена Трудового Красного Знамени Научно-исследовательский институт радио"
2 ВНЕСЕН Министерством связи и массовых коммуникаций
3 УТВЕРЖДЕН И ВВЕДЕН В ДЕЙСТВИЕ
Приказом Федерального агентства по техническому регулированию и метрологии от 13 декабря 2011 г. N 878-ст
4 Настоящий стандарт разработан с учетом нормативных положений Рекомендаций Международного союза электросвязи (МСЭ-Р) и Европейского института по стандартизации в области телекоммуникаций (ETSI):
Recommendation ITU-R BS.1514-1 System for digital sound broadcasting in the broadcasting bands below 30 MHz
Recommendation ITU-R BS.1615-1 Planning parameters for digital sound broadcasting at frequencies below 30 MHz
Recommendation ITU-R BS. 1348-1 Service requirements for digital below 30 MHz
ISO/IEC 23003-1: Information technology - MPEG audio technologies - Part 1: MPEG Surround
Standard ETSI ES 201980 v3.1.1 (2009-08) - Digital Radio Mondiale (DRM); System Specification
5 ВВЕДЕН ВПЕРВЫЕ
6 ПЕРЕИЗДАНИЕ. Август 2020 г.
Правила применения настоящего стандарта установлены в статье 26 Федерального закона от 29 июня 2015 г. N 162-ФЗ "О стандартизации в Российской Федерации". Информация об изменениях к настоящему стандарту публикуется в ежегодном (по состоянию на 1 января текущего года) информационном указателе "Национальные стандарты", а официальный текст изменений и поправок - в ежемесячном информационном указателе "Национальные стандарты". В случае пересмотра (замены) или отмены настоящего стандарта соответствующее уведомление будет опубликовано в ближайшем выпуске ежемесячного информационного указателя "Национальные стандарты". Соответствующая информация, уведомление и тексты размещаются также в информационной системе общего пользования - на официальном сайте Федерального агентства по техническому регулированию и метрологии в сети Интернет (www.gost.ru)
Настоящий стандарт распространяется на систему цифрового звукового радиовещания DRM в диапазоне частот ниже 30 МГц. Стандарт является основополагающим в серии стандартов по цифровому звуковому радиовещанию [
1,
2] и устанавливает:
- основные технические характеристики системы цифрового звукового радиовещания DRM;
- структуру системы DRM;
- основные параметры OFDM сигнала для различных моделей устойчивости, отражающих условия распространения радиоволн в диапазонах частот ниже 30 МГц.
2 Термины, определения, обозначения и сокращения
2.1 Термины и определения
В настоящем стандарте применены следующие термины с соответствующими определениями:
2.1.1 ячейка (cell): Часть синусоидального колебания длительностью Ts, передаваемая с заданной амплитудой и фазой и с соответствующей позиции несущей.
Примечание - Каждый символ OFDM является суммой K таких частичек синусоидального колебания, равномерно смещенных по частоте.
2.1.2 энергетическое рассредоточение (скремблирование) (energy dispersal): Обработка, включающая детерминированное селективное дополнение битов в логическом фрейме с целью избежать систематического повторения комбинаций, приводящего к нежелательной регулярности передаваемого сигнала.
2.1.3 канал быстрого доступа (Fast Access Channel) (FAC): Канал мультиплексного потока данных, который содержит информацию, необходимую для поиска служб и начала декодирования мультиплекса.
2.1.4 кбит/с (kbit/s): Килобит в секунду (1000 битов в секунду).
2.1.5 логический фрейм (logical frame): Данные, содержащиеся в одном потоке длительностью 400 мс.
2.1.6 канал основного сервиса (Main Service Channel) (MSC): Канал мультиплексного потока данных, который занимает большую часть фрейма передачи и несет данные всех цифровых аудиослужб вместе с данными вспомогательных и дополнительных служб.
2.1.7 мультиплексный фрейм (multiplex frame): Фрейм, образованный логическими фреймами всех потоков.
Примечание - Мультиплексный фрейм является существенной основой для кодирования и перемежения.
2.1.8 символ OFDM (OFDM symbol): Передаваемый сигнал, соответствующий промежутку времени, когда амплитуда модуляции и состояние фазы сохраняются постоянными для каждой из разнесенных несущих сигнала.
2.1.9 зарезервировано для будущих добавлений (reserved for future addition) (rfa): Биты с таким обозначением устанавливаются в ноль.
Примечание - Приемники не декодируют эти биты.
2.1.10 зарезервировано для будущего использования (reserved for future use) (rfu): Биты с таким обозначением устанавливаются в ноль.
Примечание - Приемникам необходимо проверить эти биты с целью определения действительного состояния других полей в том же самом просмотре.
2.1.11 канал описания услуг (Service Description Channel) (SDC): Канал мультиплексного потока данных, который дает информацию для декодирования служб, включенных в мультиплекс.
Примечание - SDC также содержит дополнительную информацию, которая позволяет приемнику определить альтернативные источники тех же самых данных.
2.1.12 одночастотная сеть (Single Frequency Network) (SFN): Сеть передатчиков, совместно использующих одну и ту же частоту для достижения большей зоны покрытия.
2.1.13 фрейм передачи (transmission frame): Некоторое количество последовательных символов OFDM, причем первый символ OFDM содержит ячейки временной синхронизации.
2.1.14 суперфрейм передачи (transmission super frame): Ряд последовательных фреймов передачи, причем первые символы OFDM содержат блок SDC.
В настоящем стандарте применены следующие обозначения:
fR - опорная частота излучаемого сигнала;
K - число активных несущих в символе OFDM;
Kmax - индекс верхней активной несущей в OFDM сигнале;
Kmin - индекс нижней активной несущей в OFDM сигнале;
T - элементарный период времени, равный

(1/12 кГц);
Tf - длительность фрейма передачи;
Tg - длительность защитного интервала;
Ts - длительность символа OFDM;
Tsf - длительность суперфрейма передачи, образованного рядом фреймов передачи;
Tu - длительность полезной (ортогональной) части символа OFDM, за исключением защитного интервала.
В настоящем стандарте применены следующие сокращения:
AAC (Advanced Audio Coding) - усовершенствованное аудиокодирование;
AF (Audio Frequency) - звуковая частота;
AFS (Alternative Frequency Switching) - переключение альтернативных частот;
AM (Amplitude Modulation) - амплитудная модуляция;
BER (Bit Error Rate) - частота битовых ошибок;
CELP (Code Excited Linear Prediction) - кодирование с линейным возбуждаемым предсказанием;
CRC (Cyclic Redundancy Check) - циклический контроль с избыточностью;
DAB (Digital Audio Broadcasting) - цифровое звуковое радиовещание;
DRM (Digital Radio Mondiale) - Всемирное цифровое радио;
DSB (Double Side Band) - двойная боковая полоса;
EEP (Equal Error Protection) - равная защита от ошибок;
ER (Error Robust) - устойчивость к ошибкам;
FAC (Fast Access Channel) - канал быстрого доступа;
FEC (Forward Error Correction) - прямое исправление ошибок путем введения избыточности;
HF (High Frequency) - высокая частота;
FM (Frequency Modulation) - частотная модуляция;
HVXC (Harmonic Vector Excitation Coding) - гармоническое кодирование с векторным возбуждением;
ISO (International Organization for Standardization) - Международная организация по стандартизации;
LF (Low Frequency) - низкая частота;
LPC (Linear Predictive Coding) - кодирование с линейным предсказанием;
MF (Medium Frequency) - средняя частота;
MPEG (Moving Picture Experts Group) - группа экспертов по сжатию цифрового видео;
MPS (MPEG Surround) - стандарт сжатия многоканального аудио для объемного звучания;
MSC (Main Service Channel) - канал основного сервиса;
OFDM (Orthogonal Frequency Division Multiplexing) - ортогональное частотное разделение каналов с мультиплексированием;
Pan (Panorama) - панорама, обзор;
PS (Parametric Stereo) - параметрическое стерео;
QAM (Quadrature Amplitude Modulation) - квадратурная амплитудная модуляция;
RF (Radio Frequency) - радиочастота;
rfa (reserved for future addition) - зарезервировано для будущих добавлений;
rfu (reserved for future use) - зарезервировано для будущего использования;
SA (Stereo Ambience) - стереоокружение;
SAC (Spatial Audio Coding) - пространственное аудиокодирование;
SBR (Spectral Band Replication) - копирование спектральной полосы;
SDC (Service Description Channel) - канал описания услуг;
SFN (Single Frequency Network) - одночастотная сеть;
SM (Standard Mapping) - стандартное отображение;
SPP (Standard Protected Part) - часть со стандартной защитой;
SSB (Single Side Band) - одна боковая полоса частот;
UEP (Unequal Error Protection) - неравная защита от ошибок;
VXC (Vector Excitation Coding) - кодирование с векторным возбуждением.
3 Технические основы системы цифрового радиовещания DRM в диапазонах частот ниже 30 МГц
3.1 Краткое описание системы
Система DRM (Digital Radio Mondiale) предназначена для организации цифрового звукового радиовещания на любой частоте ниже 30 МГц, то есть в пределах следующих полос частот, выделенных для длинноволнового (от 148,5 кГц до 283,5 кГц), средневолнового (от 526,5 кГц до 1606,5 кГц) и коротковолнового (от 2,3 МГц до 27 МГц) звукового радиовещания.
Для учета различных ограничений на характеристики каналов и условий распространения в этих каналах используются различные режимы передачи. Режим передачи определяется параметрами передачи двух типов:
- параметрами, связанными с полосой пропускания сигнала;
- параметрами, связанными с эффективностью передачи данных.
Первый тип параметров определяет общую ширину полосы пропускания для одной передачи. Параметры, связанные с эффективностью передачи данных, допускают компромисс между емкостью (полезной битовой скоростью передачи данных) и устойчивостью к шумам, многолучевым распространением и доплеровским эффектом.
3.2.1 Реализация системы DRM на передающей стороне функционально должна соответствовать структурной схеме, приведенной на
рисунке 1.
Рисунок 1 - Структурная схема передающей части системы DRM
3.2.2 Общий поток информации различных классов содержит:
- поток аудиоданных;
- поток данных;
- информацию FAC-канала (Fast Access Channel);
- информация SDC-канала (Service Description Channel).
3.2.2.1 Поток аудиоданных и поток данных содержат информацию канала основного сервиса MSC (Main Service Channel). В этом канале должна быть предусмотрена возможность использования зарезервированных сигналов для кодирования сигналов оповещения гражданской обороны и чрезвычайных ситуаций, принятых в Российской Федерации.
Система оповещения населения должна обеспечивать работу в следующих режимах:
- автоматизированный режим передачи информации или сигналов оповещения по командам, поступающим от автоматизированной системы оповещения (АСЦО), - данный режим работы основной;
- неавтоматизированный режим передачи информации или сигналов оповещения с подключением объекта на время передачи к каналам связи;
- режим передачи речевой информации населению из студий радиовещания с перерывом программ вещания или (по решению постоянно действующих органов управления РСЧС) с рабочих мест дежурного персонала организаций связи, операторов связи, радиовещательных и телевизионных передающих станций;
- режим передачи речевой информации населению из студий радиовещания, размещенных на запасных пунктах управления;
- в системе DRM для целей оповещения может формироваться дополнительный мультиплекс, соответствующий по параметрам основному мультиплексу (дополнительный мультиплекс должен содержать во всех аудио- и речевых каналах сообщения оповещения).
3.2.2.2 FAC канал (канал быстрого доступа) содержит информацию о параметрах радиочастотного спектра (ширина полосы, тип модуляции, тип кодирования), характер передаваемой информации (аудиоданные), указатель языка.
3.2.2.3 SDC канал (канал описания услуг) содержит информацию, относящуюся к условному доступу, программу передач, информацию об авторских правах, а также дает сведения об альтернативных частотах, на которых передается та же программа.
3.2.3 Кодер источника и предварительные кодеры преобразуют входные потоки в соответствующий цифровой формат передачи. В случае исходного аудиокодирования функциональные возможности кодера источника включают методы эффективного сжатия аудиосигнала. Цифровые потоки с выхода кодера источника и предварительного кодера данных содержат две части, требующие различных уровней защиты от ошибок в соответствующем кодере канала. Все передаваемые виды информации должны использовать те же два уровня защиты (нормальная защита и высокая защита).
3.2.4 Мультиплексор комбинирует уровни защиты данных и аудиосигналов в канале передачи.
3.2.5 Скремблер обеспечивает псевдослучайную структуру кодовой последовательности, что уменьшает нежелательную регулярность в излучаемом сигнале.
3.2.6 Канальный кодер добавляет избыточную информацию как средство для квазибезошибочной передачи и определяет преобразование цифровой кодированной информации в ячейки QAM.
3.2.7 Перемежитель ячеек распределяет последовательные QAM ячейки в последовательность ячеек квазислучайным образом, разделенных по времени и частоте, для обеспечения устойчивой передачи в каналах, параметры которых изменяются в зависимости от времени и частоты.
3.2.8 Генератор пилот-сигнала обеспечивает средство для получения в приемнике информации о состоянии канала, что позволяет выполнить когерентную демодуляцию сигнала.
3.2.9 OFDM преобразователь объединяет все приходящие цифровые потоки (MSC, FAC и SDC) и размещает их на частотно-временной сетке.
3.2.10 Генератор OFDM преобразует каждое множество OFDM ячеек в соответствующую временную область сигнала. Символ OFDM получают из этого представления во времени, последовательно вводя интервал защиты в виде циклического повторения части сигнала.
3.2.11 Модулятор преобразует цифровое представление сигнала OFDM в аналоговый сигнал в эфире. Это действие завершает цифро-аналоговое преобразование, и после полосовой фильтрации обеспечивается требуемая форма спектра излученного сигнала.
3.3 Кодирование источника информации
В соответствии с установленными правилами, ограничивающими полосу частот эфирных каналов в диапазоне частот ниже 30 МГц, и параметрами применяемых методов кодирования и модуляции скорость передачи информации в битах должна находиться в пределах от 8 (половинные каналы) до 20 кбит/с (стандартные каналы) и до 72 кбит/с (сдвоенные каналы).
Для достижения оптимального качества при заданной скорости передачи информации в битах в системе должны использоваться следующие методы кодирования источника информации:
- MPEG-4 AAC (Advanced Audio Coding) - усовершенствованное аудиокодирование, включающее устойчивость к ошибкам для общего монофонического и стереофонического звукового радиовещания;
- MPEG-4 CELP (Code Excited Linear Prediction) - кодирование с линейным предсказанием для устойчивой к ошибкам передачи речи в монофоническом звуковом радиовещании в случаях, когда возможна только низкая скорость передачи информации или когда специально требуется высокая устойчивость к ошибкам;
- MPEG-4 HVXC (Harmonic Vector Excitation Coding) - гармоническое кодирование с векторным возбуждением для очень низкой скорости передачи речи и для устойчивой к ошибкам передачи речи в монофоническом звуковом радиовещании, особенно хорошо применимом для речевых баз данных;
- SBR (Spectral Band Replication) - копирование спектральных полос, применяемое в аудио- и речевом кодировании, что позволяет достичь полной ширины полосы пропускания аудио- и речевых сигналов при низкой цифровой скорости (метод применим для AAC, CELP и HVXC);
- PS (Parametric Stereo) - параметрическое стерео, являющееся усовершенствованным средством аудиокодирования, которое позволяет обеспечить стереокодирование при низкой скорости передачи;
- MPS (MPEG Surround) - стандарт сжатия многоканального аудио для объемного звучания, являющийся инструментом улучшения кодирования аудио, который позволяет учитывать многоканальное кодирование на низких битовых скоростях;
- формат транспортного битового потока схем кодирования источника модифицирован с целью удовлетворить требования системы DRM (формирование аудиосуперфреймов и возможность использования неравной защиты от ошибок - UEP).
3.4.1 Параметры, связанные с шириной полосы пропускания сигнала
Ширина полосы эфирного канала в звуковом радиовещании в диапазоне частот ниже 30 МГц в соответствии с документом N 140 МККР, октябрь 1974 г.
[3], и ВАРК ВЧРВ-87
[4] составляет:
- в диапазонах НЧ и СЧ - 9 кГц;
- в диапазоне ВЧ - 10 кГц.
Система DRM спроектирована для использования:
- в пределах указанных номинальных значений ширины полос для удовлетворения требованиям текущего положения частотного планирования;
- в пределах половины ширины указанных полос (4,5 или 5 кГц) для обеспечения цифрового звукового радиовещания совместно с аналоговым AM вещанием;
- в пределах удвоенной ширины полос (18 или 20 кГц) для обеспечения большей емкости передачи и только в тех случаях, когда ограничения частотного планирования допускают такую возможность.
3.4.2 Параметры, связанные с эффективностью передачи
Для любого значения ширины полосы пропускания сигнала должны быть установлены параметры эффективности передачи, обеспечивающие возможность компромисса между полезной скоростью передачи информации в битах и устойчивостью к шуму, многолучевому распространению и эффекту Доплера.
Параметры эффективности подразделяются на два типа:
- параметры скорости кодирования и сигнально-кодовой конструкции, используемые для передачи данных;
- параметры символов OFDM, определяющие структуру символов OFDM, которая используется в зависимости от условий распространения в эфирных каналах.
В зависимости от требуемого уровня защиты от ошибок, связанной с каждой сервисной информацией, должен обеспечиваться ряд опций, позволяющий достичь одного или двух уровней защиты.
Уровни защиты должны обеспечиваться либо выбором скорости кодирования кодера канала, либо выбором порядка сигнально-кодовой конструкции (например, 4QAM, 16QAM, 64QAM) или иерархической модуляцией.
Для типичных условий распространения радиоволн в диапазонах частот ниже 30 МГц установлены режимы помехоустойчивости, приведенные в
таблице 1.
Таблица 1
Использование режимов помехоустойчивости
Режим помехоустойчивости | Типичные условия распространения |
A | Гауссовский канал с незначительными замираниями |
| Частотные и временные избирательные каналы с разбросом длительных задержек |
C | |
D | |
При заданной полосе пропускания различные режимы помехоустойчивости должны обеспечивать различные доступные скорости передачи данных. Передаваемый сигнал содержит последовательность символов OFDM, каждый символ состоит из защитного интервала, за которым следует так называемая полезная часть символа. Каждый символ является суммой K отрезков синусоиды, равномерно разнесенных по частоте. Каждый отрезок синусоиды, называемый "ячейкой", передается с заданной амплитудой и фазой и соответствует позиции несущей. Каждая несущая обозначается индексом k, принадлежащим интервалу [kmin, kmax] (k = 0 соответствует опорной несущей частоте передаваемого сигнала).
Временные параметры символов OFDM выражаются в виде множителей элементарного периода времени
T, который равен

.
Для разных режимов помехоустойчивости временные параметры символов OFDM должны быть равны значениям, указанным в
таблице 2.
Таблица 2
Список параметров | Режим помехоустойчивости |
A | B | C | D |
T, мкс | | | | |
Tu, мс | 24 (288 x T) | (256 x T) | (176 x T) | (112 x T) |
Tg, мс | | | | |
Tg/Tu | 1/9 | 1/4 | 4/11 | 11/14 |
Ts = Tu + Tg, мс | | | 20 | |
Tf, мс | 400 | 400 | 400 | 400 |
4 Режимы кодирования источников. Кодирование аудиосигналов
Варианты кодирования и декодирования сигналов в системе DRM показаны на
рисунке 2.
а)
б)
Рисунок 2 - Кодирование (а) и декодирование (б)
источников аудиосигналов
4.1 Кодирование аудио AAC
Для обобщенного кодирования аудиосигналов используется набор правил Advanced Audio Coding (AAC) стандарта MPEG-4 (стандарт ИСО/МЭК 14496-3)
[6] как наиболее подходящего для применения в системе DRM.
Конкретными особенностями реализации потока AAC в рамках системы DRM являются:
- AAC может использоваться на любой скорости, установленная битовая скорость AAC равна 20 бит/с для режимов устойчивости A, B, C, D (см.
таблицу 1);
- допустимые частоты дискретизации составляют 12 и 24 кГц для режимов A, B, C и D;
- длина преобразования составляет 960 отсчетов, так что один аудиофрейм соответствует по времени 80 или 40 мс (при частотах дискретизации 12 и 24 кГц соответственно), что требуется для увязки длин фреймов CELP и AAC так, чтобы аудиосуперфрейм длительностью 400 мс (режимы устойчивости A, B, C и D) состоял из целого числа аудиофреймов;
- 5 или 10 аудиофреймов объединяются в один суперфрейм длительностью 400 мс. Аудиофреймы в аудиосуперфреймах закодированы вместе таким образом, что каждый аудиосуперфрейм имеет постоянную длину, т.е. обмен битами между аудиофреймами возможен только в пределах одного аудиосуперфрейма. Один аудиосуперфрейм всегда размещается в одном логическом фрейме, поэтому не требуется никакой дополнительной синхронизации для аудиокодирования. Внутри аудиосуперфрейма устанавливаются границы фрейма и установок UEP;
- применение UEP в битовом потоке AAC обеспечивает более устойчивую работу при высокой частоте битовых ошибок. Неравная защита от ошибок обеспечивает повышенную защиту от ошибок наиболее чувствительной к ошибкам части информации и нормальную защиту для оставшейся части информации.
4.2 MPEG-4 CELP кодирование
MPEG-4 CELP (кодирование с линейным предсказанием, стандарт ИСО/МЭК 14496-3, версия 2) - речевое кодирование применяется для получения приемлемого качества передачи речи при битовых скоростях существенно ниже стандартных (например, работа на "половинной" скорости при 8 кбит/с). Использование этого речевого кодера позволяет:
- вместо одной аудиопрограммы на скорости от 20 до 24 кбит/с передавать два или три речевых сигнала со скоростью от 8 до 10 кбит/с каждый, обеспечивая параллельные речевые передачи;
- передавать речевые программы в дополнение к аудиопрограмме;
- обеспечивать более высокую защиту от ошибок в речевом канале при скорости кодирования 8 кбит/с.
Основными характеристиками MPEG-4 CELP кодирования являются:
- частоты дискретизации 8 или 16 кГц;
- битовые скорости от 4 до 20 кбит/с;
- устойчивость к ошибкам;
- объединение целого числа фреймов CELP в один аудиосуперфрейм.
4.3 MPEG-4 HVXC кодирование
MPEG-4 HVXC (гармоническое кодирование с векторным возбуждением) - речевое кодирование используется в режимах устойчивости A, B, C и D для получения удовлетворительного качества передачи речи при очень низких битовых скоростях, например до 2 кбит/с. Рабочие битовые скорости HVXC открывают новые возможности системы DRM, такие как:
- речевые программы в дополнение к аудиопрограмме;
- многоязычное вещание;
- хранение множества программ в памяти, таких как новости, база данных приемника на карте расширения (например, на флэш-памяти объемом 4 МБ может храниться до 4,5 ч радиопрограмм);
- изменение масштаба времени для быстрого воспроизведения или просмотра хранящихся программ;
- передачи с высокой защитой от ошибок с использованием или без использования методов иерархической модуляции.
Основными характеристиками HVXC кодирования являются:
- частота дискретизации 8 кГц;
- битовые скорости 2 и 4 кбит/с для кодирования с фиксированной скоростью;
-

масштаб и степень сжатия произвольных отклонений;
- поддерживается синтаксис защиты от ошибок, возможно использование механизма CRC для улучшения устойчивости битового потока HVXC в каналах, подверженных ошибкам;
- формирование постоянного целого числа фреймов HVXC (20) для аудиосуперфрейма.
SBR (копирование спектральной полосы) использует метод копирования спектральной полосы для обеспечения приемлемого субъективного качества аудио- и речевых сигналов при низких битовых скоростях.
Задачей SBR является воспроизведение высокочастотной части полосы частот аудио- и речевых сигналов, которая не может быть воспринята кодером. Чтобы достичь этого наиболее подходящим способом, в битовом потоке должна передаваться некоторая дополнительная информация, которая использует долю битовой скорости, доступной кодеру. Эта дополнительная информация извлекается из полного аудиосигнала до его кодирования и обеспечивает воспроизведение высокочастотных составляющих после декодирования аудиоречи.
Для повышения качества стереосигнала при низких битовых скоростях применяется кодер параметрического стерео (PS). Средства параметрического стерео могут использоваться в конфигурациях AAC + SBR (профиль AAC высокой эффективности MPEG). Общая идея PS кодирования состоит в передаче данных, описывающих стереокартину, параллельно с моносигналом в качестве дополнительной информации. Эта дополнительная стереоинформация очень компактная и требует лишь незначительной доли цифрового потока, обеспечивая максимальное качество моносигнала в рамках доступной общей битовой скорости.
Для каждого аудиокодера, а также для средств SBR и PS применяется маскировка ошибок, которая производится DRM декодером.
4.7 Кодирование MPEG Surround (MPS)
Кодер MPS используется для совместного моно/стерео многоканального кодирования. MPEG Surround стандартизован как MPEG-D, часть 1 (см. ИСО/МЭК 23003-1)
[5]. Этот стандарт описывает:
- кодирование многоканальных сигналов на базе преобразованных вниз сигналов оригинального многоканального сигнала и связанных пространственных параметров. Используется самая низкая скорость для кодирования многоканальных сигналов, такая же, как для преобразованного вниз моно- или стереосигнала, включенного в поток данных. Следовательно, моно- или стереосигнал может быть дополнен к многоканальному в виде очень малых дополнительных данных;
- бинауральное декодирование потока MPEG Surround, дающее возможность прослушивать через наушники стереозвучание;
- улучшенный матричный режим, который допускает многоканальное преобразование вверх стереосигналов без любых пространственных параметров.
Приемники, не поддерживающие многоканальное декодирование, могут декодировать немодифицированный моно- или основной стереосигнал.
5 Определение мультиплекса
Суперфрейм DRM передачи (мультиплекс) состоит из трех каналов: канал основного сервиса (MSC), канал быстрого доступа (FAC) и канал описания услуг (SDC). MSC содержит данные о службах. FAC предоставляет информацию о ширине канала и другие подобные параметры, а также содержит информацию о выборе услуг для быстрого поиска программ. SDC несет информацию о способах декодирования MSC, поиска альтернативных источников тех же данных и атрибутов услуг внутри мультиплекса. Он также может включать ссылки на одновременно передаваемые аналоговые службы.
5.2 Канал основного сервиса. Структура канала
MSC (канал основного сервиса) содержит от одного до четырех потоков. Каждый поток разделяется на логические фреймы длиной 400 мс каждый. Аудиопотоки содержат сжатый аудиосигнал и опционально могут нести текстовые сообщения. Потоки данных могут быть составлены из пакетов данных, содержащих информацию до четырех частичных потоков. Аудиослужба состоит из одного аудиопотока и, опционально, из одного потока данных или одного частичного потока данных. Служба данных состоит из одного потока данных или одного частичного потока данных.
Каждый логический фрейм обычно состоит из двух частей, каждая со своим уровнем защиты. Длина каждой из частей устанавливается независимо. Неравномерная защита от ошибок для потока обеспечивается установкой разного уровня защиты для этих двух частей.
5.3 Канал быстрого доступа
5.3.1 Структура канала
Каждый фрейм передачи содержит блок FAC. Блок FAC содержит параметры, которые описывают канал, и параметры, которые описывают одну или две службы, вместе с CRC (Cyclic Redundancy Check - циклический контроль с избыточностью).
Для режимов устойчивости A, B, C и D должен передаваться один набор параметров службы.
Если мультиплекс несет более одной службы, для описания всех служб требуется несколько блоков FAC.
5.3.2 Параметры канала
Канал имеет следующие параметры:
- флаг базовый/расширенный - 1 бит;
- идентификация - 2 бита;
- флаг RM - 1 бит;
- занимаемый спектр - 3 бита;
- флаг глубины перемежения - 1 бит;
- режим MSC - 2 бита;
- режим SDC - 1 бит;
- число служб - 4 бита;
- индекс реконфигурации - 3 бита;
- флаг переключения - 1 бит;
- rfu - 1 бит.
5.3.3 Параметры службы
Службы имеют следующие параметры:
- идентификатор службы - 24 бита;
- краткий идентификатор - 2 бита;
- индикатор аудио CA - 1 бит;
- язык - 4 бита;
- флаг аудиоданных - 1 бит;
- описание службы - 5 битов;
- индикатор CA данных - 1 бит;
- rfa - 6 битов.
Параметр "язык" должен содержать коды языков целевой аудитории, как показано в
таблице 3.
Таблица 3
Десятичный номер | Язык |
0 | Язык не указан |
1 | Арабский |
2 | Бенгали |
3 | Китайский (Мандарин) |
4 | Голландский |
5 | Английский |
6 | Французский |
7 | Немецкий |
8 | Хинди |
9 | Японский |
10 | Яванский |
11 | Корейский |
12 | Португальский |
13 | Русский |
14 | Испанский |
15 | Другой язык |
Параметр "описание службы" должен содержать коды типов передаваемых программ согласно
таблице 4.
Таблица 4
Десятичное число | Тип программы |
0 | Нет типа программы |
1 | Новости |
2 | Текущие события |
3 | Информация |
4 | Спорт |
5 | Образование |
6 | Драма |
7 | Культура |
8 | Наука |
9 | Разное |
10 | Поп-музыка |
11 | Рок-музыка |
12 | Легкая музыка |
13 | Легкая классическая |
14 | Серьезная классическая |
15 | Другая музыка |
16 | Погода/метеорология |
17 | Финансы/бизнес |
18 | Детские программы |
19 | Социальные вопросы |
20 | Религия |
21 | Позвони |
22 | Путешествия |
23 | Отдых |
24 | Джаз |
25 | Кантри |
26 | Национальная музыка |
27 | Ретро-музыка |
28 | Народная музыка |
29 | Документальное |
30 | Не используется |
31 | Не используется - пропустить индикатор |
5.3.4 Циклический контроль с избыточностью
8-битовый циклический контроль с избыточностью (CRC) должен вычисляться с использованием параметров канала и службы. При этом должен использоваться полиномиальный генератор G8(x) = x8 + x4 + x3 + x2 + 1.
5.3.5 Повторение FAC
Параметры канала FAC должны передаваться в каждом блоке FAC. Параметры службы FAC для одной или двух служб должны посылаться в каждом блоке FAC. Если необходимо более одного блока FAC для сообщения обо всех службах в мультиплексе, то для времени сканирования приемника существенную роль играет шаблон повторения. Если все службы одного типа (например, все аудио или все данные), параметры всех служб должны передаваться последовательно. Если присутствует комбинация служб аудио и данных, должны передаваться шаблоны, показанные в
таблице 5. Если присутствует только одна служба и если блок FAC сообщает о двух наборах параметров служб, то оба набора должны иметь идентичное наполнение.
Таблица 5
Шаблоны повторения параметров служб для комбинации
служб аудио и данных
Число аудиослужб | Число служб данных | Шаблон повторения |
Блок FAC содержит один набор параметров службы |
1 | 1 | A1A1A1A1D1 |
1 | 2 | A1A1A1A1D1A1A1A1 A1D2 |
1 | 3 | A1A1A1A1D1A1A1A1 A1D2A1A1A1 A1D3 |
2 | 1 | A1A2A1A2D1 |
2 | 2 | A1A2A1A2D1 A1A2A1A2D2 |
3 | 1 | A1A2A3A1A2A3D1 |
Здесь A означает аудиослужбу, а D означает службу данных.
5.4.1 Структура
SDC блок в SDC данных содержится в одном передаваемом суперфрейме.
SDC рассматривается как одиночный канал данных. Общая величина отправляемых данных может обусловливать отправку больше одного SDC блока. Поэтому AFS индекс позволяет приемнику получать информацию о передаче следующей части текущего SDC блока и таким образом дает возможность провести проверку и переключение для альтернативной частоты (AFS). Правильность функции обеспечена в FAC индикацией, верен или нет AFS индекс, индицирующий приемнику, когда AFS функция может действовать.
SDC блок составлен следующим образом:
- AFS индекс - указывает количество сверхкадров передачи, отделяющих данный SDC блок от следующего с тем же содержанием, в результате чего осуществляется поиск альтернативных источников одинаковых программ;
- поле данных - служит для передачи данных SDC;
- CRC - кодовое слово служит для проверки наличия ошибок в блоке SDC;
- заполнение.
5.4.2 Объекты данных
В канале SDC передаются 15 типов данных:
- 0 - описание мультиплекса;
- 1 - маркировка программ;
- 2 - параметры условного доступа;
- 3 - информация о частотах радиосигналов DRM, AM, УКВ, ЧМ, DAB;
- 4 - список частот радиосигналов для быстрого поиска;
- 5 - информация о применении, содержит описание всех передаваемых программ;
- 6 - поддержка объявлений и переключений;
- 7 - определение географических районов, для которых набор альтернативных частот обеспечен;
- 8 - текущее время и дата;
- 9 - описание параметров аудиоканалов, необходимое для их декодирования;
- 10 - параметры каналов FAC;
- 11 - данные установления связи, позволяющие находить альтернативные источники одинаковых программ;
- 12 - язык вещания и страна;
- 13 - сигнализация альтернативной частоты, детальное определение района;
- 14 - параметры FEC (Forward Error Correction) - прямое исправление ошибок.
6 Канальное кодирование и модуляция
6.1 Адаптация передаваемого мультиплекса
Система DRM состоит из трех различных каналов, MSC (канал основного сервиса), SDC (канал описания услуг) и FAC (канал быстрого доступа). Из-за различия свойств этих каналов в них используются различные схемы кодирования и отображения. Общая схема процесса кодирования приведена на
рисунке 3.
| Адаптация передаваемого мультиплекса и рандомизация | | Кодирование и перемежение битов | | Отображение | | Перемежение ячеек (только для MSC) |
Рисунок 3 - Функциональная блок-схема кодирования
и перемежения
Более подробно метод кодирования приводится в стандарте ГОСТ Р 54718-2011
[1].
6.2 Кодирование. Многоуровневое кодирование
При канальном кодировании сообщения, передаваемые в каналах MSC, FAC и SDC, обрабатываются независимо. Кодированию подвергаются кадры (фреймы) MSC, блоки FAC и SDC
Процесс кодирования канала основан на многоуровневой схеме кодирования. Принцип многоуровневого кодирования - оптимизированное сочетание кодирования и модуляции для достижения лучших характеристик передачи. Различные уровни защиты достигаются при различных компонентах кода, которые реализуются перфорированными сверхточными кодами, полученными от того же самого материнского кода. Скорость кода может меняться в зависимости от требований к уровням защиты информации от ошибок. Затем производится временное перемежение битов. Это повышает устойчивость системы против групповых ошибок.
6.3 Сигнальные созвездия и отображения
После канального кодирования и перемежения битов производится преобразование информации в так называемые "QAM-ячейки".
Стратегия отображения для каждой ячейки зависит от назначения канала (FAC, SDC, MSC) и режима устойчивости. Все ячейки данных имеют вид 4-QAM, 16-QAM или 64-QAM.
Заданный по умолчанию метод должен обеспечивать отображение в соответствии с
рисунками 4 -
6. Здесь

обозначает биты, представляющие символ комплексной модуляции
z.
Порядок бит:

Рисунок 4 - SM 64-QAM отображение с соответствующей
битовой комбинацией
Порядок бит:

Рисунок 5 - SM 16-QAM отображение с соответствующей
битовой комбинацией
Порядок бит:

Рисунок 6 - SM 4-QAM отображение с соответствующей
битовой комбинацией
Примечание - Бит с левой стороны является первым по времени.
Для 64-QAM коэффициент нормализации:

.
Для 16-QAM коэффициент нормализации:

.
Для 4-QAM коэффициент нормализации:

.
Поток данных на выходе перемежителя состоит из нескольких битовых слов, которые отображены как сигнальные точки на диаграмме сигнала, соответствующего комплексному числу
z. Для SM диаграмма 64-QAM должна использоваться в соответствии с
рисунком 4. Биты должны преобразовываться в соответствии с:

.
Диаграмма 16-QAM должна применяться в соответствии с
рисунком 5. Биты должны преобразовываться в соответствии с:

.
Диаграмма 4-QAM должна применяться в соответствии с
рисунком 6. Биты должны преобразовываться в соответствии с:

.
6.4 Применение канального кодирования
6.4.1 Кодирование MSC
В канале MSC может использоваться 64-QAM или 16-QAM преобразование в режимах устойчивости A, B, C и D. Для всех режимов устойчивости более сложное сигнальное созвездие обеспечивает более высокую спектральную эффективность, тогда как более простое сигнальное созвездие обеспечивает большую устойчивость к ошибкам.
6.4.2 Кодирование SDC
В канале SDC может использоваться 16-QAM или 4-QAM преобразование с кодовой скоростью 0,5 для режимов устойчивости A, B, C, D. В каждом режиме устойчивости доступен выбор между большей пропускной способностью канала или более высокой устойчивостью к ошибкам. В каждом случае используется фиксированная кодовая скорость.
Сигнальное созвездие и кодовую скорость следует выбирать с учетом параметров MSC таким образом, чтобы обеспечить

устойчивость для SDC, чем для MSC. При использовании иерархической модуляции SDC должно кодироваться с использованием 4-QAM.
6.4.3 Кодирование FAC
В канале FAC должно использоваться 4-QAM преобразование с кодовой скоростью 0,6 для режимов устойчивости A, B, C, D. Должна использоваться фиксированная кодовая скорость.
6.5 Перемежение ячеек в канале MSC
Перемежение QAM ячеек должно применяться в канале MSC после многоуровневого кодирования. Для режимов устойчивости A, B, C, D возможен выбор низкой или высокой глубины перемежения (обозначенное здесь как короткое или длинное перемежение) согласно прогнозируемым условиям распространения. Основные параметры перемежителя адаптированы к размеру мультиплексного фрейма.
Для каналов распространения частот ниже 30 МГц с умеренными замираниями (типично для распространения сигнала земной волны в диапазонах длинных и средних волн) короткое перемежение обеспечивает достаточное временное и частотное многообразие для правильного процесса дешифровывания в приемнике.
Для каналов распространения частот ниже 30 МГц, подверженных значительным временным и частотно-селективным замираниям, что типично для сигналов в КВ диапазоне, глубина перемежения может быть увеличена. Общая задержка процесса перемежения/деперемежения занимает приблизительно 2 x 400 мс, т.е. 800 мс для короткого перемежения в режимах устойчивости A, B, C, D. В случае длинного перемежения она соответствует примерно 2,4 с для режимов устойчивости A, B, C, D.
7.1 Структура фрейма передачи и режимы устойчивости
Передаваемый сигнал организован в суперфреймы передачи. В режимах устойчивости A, B, C, D каждый суперфрейм передачи состоит из трех фреймов передачи. Каждый фрейм передачи имеет продолжительность Tf и состоит из Ns OFDM символов. Каждый OFDM символ образован совокупностью K несущих, передаваемых с продолжительностью Ts. Разнос между смежными несущими составляет 1/Tu.
Продолжительность символа представляет собой сумму двух частей:
- полезная часть с продолжительностью Tu;
- защитный интервал с продолжительностью Tg.
Защитный интервал состоит в циклическом продолжении полезной части Tu и введен перед ней.
OFDM символы во фрейме передачи пронумерованы от 0 до Ns - 1. Все символы содержат данные и справочную информацию.
Ввиду того, что сигнал OFDM состоит из многих отдельно модулированных несущих, каждый символ можно в свою очередь рассматривать как разделенный на ячейки, каждая ячейка соответствует модуляции одной несущей в продолжении одного символа.
OFDM фрейм состоит из:
- пилотных ячеек;
- ячеек управления;
- ячеек данных.
Пилотные ячейки могут быть использованы для кадровой, частотной и временной синхронизации, оценки канала и идентификации режима устойчивости.
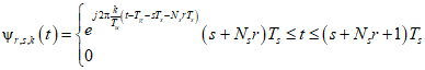
Передаваемый сигнал описывается следующим выражением:

,
где

;
Ns - число OFDM символов во фрейме передачи;
k - обозначает номер несущей (= Kmin, ..., Kmax);
s - обозначает номер символа OFDM (= 0...Ns - 1);
r - обозначает номер фрейма передачи (= 0 ... бесконечность);
K - число передаваемых несущих (<= Kmax - Kmin);
Ts - продолжительность символа;
Tu - продолжительность полезной части символа;
Tg - продолжительность защитного интервала;
fR - опорная частота радиочастотного сигнала;
cr, s, k - комплексная величина ячейки для несущей k в символе s фрейма номер r.
Значения cr, s, k зависят от типа ячейки.
Для ячеек данных и ячеек управления (MSC, SDC, FAC) cr, s, k = z, где z - точка созвездия для каждой ячейки.
7.2 Параметры OFDM, связанные с распространением
Параметры OFDM должны быть выбраны исходя из условий распространения и необходимой оператору зоны покрытия. Различные установки OFDM параметров определяются для различных условий распространения. Их значения приведены в
таблице 6.
Таблица 6
Числовые значения параметров OFDM
Режим устойчивости | Продолжительность Tu, мс | Разнос несущих 1/Tu, Гц | Продолжительность защитного интервала Tq, мс | Продолжительность символа Ts = Tu + Tq, мс | Tq/Tu | Число символов во фрейме Ns |
A | 24 | 412/3 | 2,66 | 26,66 | 1/9 | 5 |
B | 21,33 | 467/8 | 5,33 | 26,66 | 1/4 | 15 |
C | 14,66 | 682/11 | 5,33 | 20 | 4/11 | 20 |
D | 9,33 | 1071/7 | 7,33 | 16,66 | 11/14 | 24 |
7.3 Параметры ширины полосы частот сигнала
7.3.1 Определение параметра
Параметры OFDM зависят от доступной полосы частот, числа несущих K и их местоположения относительно опорной частоты (названной DC по аналогии с несущей, используемой при аналоговых AM передачах).
Занимаемый спектр определяет номинальную ширину полосы частот канала. Для режимов устойчивости A, B, C, D группа несущих FAC всегда правее (выше по частоте) по отношению к опорной частоте fR, которая равна целому числу, кратному 1 кГц.
В
таблице 7 приведены параметры занимаемого спектра, передаваемые в FAC, определяющие номинальную ширину полосы частот канала, на
рисунках 7 и
8 показано положение несущих для
fR < 30 МГц.
Таблица 7
Соотношение между занимаемым спектром и полосой
пропускания канала
Наименование параметра | Занимаемый спектр |
0 | 1 | 2 | 3 | 4 | 5 |
Полоса пропускания канала, кГц (режимы устойчивости A, B, C, D) | 4,5 | 5 | 9 | 10 | 18 | 20 |

Группа несущих на 4,5 кГц, содержащих FAC ячейки

Группа несущих на 4,5 кГц
Рисунок 7 - Занимаемый спектр для 9 кГц каналов

Группа несущих на 5 кГц, содержащих FAC ячейки

Группа несущих на 5 кГц
Рисунок 8 - Занимаемый спектр для 10 кГц каналов
Несущие индексированы как

,
k = 0 для опорной несущей DC и определены значениями, зависящими от выбора занимаемой полосы частот.
Несущие с k < 0 будут слева от DC, а с k > 0 - справа от DC.
В
таблице 8 представлено минимальное и максимальное количество несущих для каждого режима устойчивости и номинальной полосы частот.
Таблица 8
Количество несущих для каждого режима устойчивости
Режим устойчивости | Несущая | Занимаемый спектр |
0 | 1 | 2 | 3 | 4 | 5 |
A | Kmin | 2 | 2 | -102 | -114 | -98 | -110 |
Kmax | 102 | 114 | 102 | 114 | 314 | 350 |
B | Kmin | 1 | 1 | -91 | -103 | -87 | -99 |
Kmax | 91 | 103 | 91 | 103 | 279 | 311 |
C | Kmin | - | - | - | -69 | - | -67 |
Kmax | - | - | - | 69 | - | 213 |
D | Kmin | - | - | - | -44 | - | -43 |
Kmax | - | - | - | 44 | - | 135 |
7.3.2 Совместная передача
В режимах устойчивости A, B, C, D сигнал DRM предназначен для использования в тех же радиовещательных диапазонах, что и AM сигналы. Совместная передача радиостанций, использующих DRM и AM, может быть выполнена путем размещения рядом аналогового сигнала AM (однополосная или двухполосная AM) и цифрового DRM сигнала.
Ширина занимаемого спектра относится к характеристикам сигнала DRM. Вещатель может сообщить об одновременной передаче AM сигнала при помощи альтернативного частотного сигнала.
7.4.1 Функции и происхождение
Некоторые ячейки внутри фрейма передачи OFDM промодулированы с известными фиксированными значениями фазы и амплитуды. Эти ячейки являются пилотными и служат для оценки и синхронизации канала. Позиции, амплитуды и фазы этих ячеек тщательно выбраны для оптимизации параметров, особенно начальной длительности синхронизации и надежности.
7.4.2 Опорная частота
Эти ячейки используются приемником для обнаружения принимаемого сигнала и оценки его смещения (сдвига) частоты. Они также могут быть изменены для оценки канала и отслеживания различных процессов.
7.4.3 Опорное время
Эти ячейки расположены в первом символе OFDM каждого фрейма передачи.
Ячейки опорного времени используются в основном для обеспечения быстрого разрешения неопределенности с защитой временного отношения и частоты, не чувствительной к оценке времени поступления с периодичностью одного символа, а также для определения первого символа фрейма передачи. Они могут быть изменены для оценки сдвига частоты.
7.4.4 Опорное усиление
Ячейки опорного усиления применяются в основном для когерентной демодуляции. Эти ячейки разбросаны по общей частотно-временной шкале и используются приемником для оценки реакции канала.
7.5.1 Общие положения
Имеется два типа ячеек управления:
- ячейки канала быстрого доступа (FAC), интегрированные в каждый фрейм передачи, которые используются для быстрого получения необходимой информации приемником с целью демодулирования сигналов DRM;
- ячейки служебного канала (SDC), повторяющиеся в каждом суперфрейме передачи, которые содержат всю дополнительную информацию о текущем состоянии сервисных служб в данный момент, они используются также для альтернативного переключения частоты (AFS).
На
рисунке 9 приведено частотно-временное расположение этих сигналов.

- символы, содержащие MSC и FAC ячейки;

- символы, содержащие MSC ячейки;

- символы, содержащие SDC ячейки
Рисунок 9 - Частотно-временное расположение
FAC и SDC сигналов
7.5.2 Ячейки FAC
Ячейки, используемые для FAC, - это ячейки, в которых нет информации ни об опорной частоте, ни об опорном времени и усилении, они не являются ячейками данных в символах, которые не содержат SDC. Ячейки FAC переносят высоко защищенные QAM символы, позволяющие приемнику быстро обнаружить получаемый в данное время тип сигнала.
7.5.3 Ячейки SDC
Ячейками, используемыми для SDC, являются все ячейки в символах SDC, которые не несут информации ни об опорной частоте, ни об опорном времени и усилении, для которых kmin <= k <= kmax и k не принадлежит к совокупности неиспользованных несущих.
Для режимов устойчивости A и B SDC символами являются 0 и 1 в каждом суперфрейме передачи. Для режимов устойчивости C и D SDC символы - 0, 1 и 2 в каждом суперфрейме передачи.
7.6.1 Позиции ячеек
К ячейкам данных относятся все ячейки, не являющиеся ни пилотными, ни ячейками управления, для которых kmin <= k <= kmax и k не принадлежит к совокупности неиспользованных несущих. С помощью ячеек данных передается основная информация, содержащаяся в сигнале DRM.
7.6.2 Ячейки усиления и фазы
Величины
cr, s, k являются нормированными величинами модуляции точки созвездия
z согласно алфавиту модуляции, используемому для MSC (64-QAM или 16-QAM для режимов устойчивости A, B, C, D, см.
рисунки 4,
5).
(информационное)
РАДИОЧАСТОТНЫЕ ЗАЩИТНЫЕ ОТНОШЕНИЯ
Защитные отношения требуются для:
- AM сигналов, интерферирующих с цифровыми сигналами DRM;
- DRM цифровых сигналов, интерферирующих с AM сигналами;
- DRM цифровых сигналов, интерферирующих с DRM цифровыми сигналами.
Приведенные в данном приложении величины защитных отношений определяют также требования к параметрам радиочастотного тракта радиоприемников как бытовых, так и контрольных (измерительных) согласно стандарту
ГОСТ Р 54716-2011 [2].
Комбинации типов спектрального размещения и режимов устойчивости DRM сигналов приводят к различным РЧ спектрам передатчика, которые вызывают взаимовлияния и поэтому требуют определенных РЧ защитных отношений. Применяемый метод вычислений описан в деталях в Рекомендации МСЭ-Р BS.1615, в которой показано, что различие в защитных отношениях для разных режимов устойчивости DRM довольно мало. Поэтому РЧ защитные отношения, представленные в следующих таблицах, ограничены режимом устойчивости B. Более подробные результаты вычислений можно найти в Рекомендации МСЭ-Р BS.1615.
В
таблице А.1 представлены результаты вычисления для AM сигналов, интерферирующих с DRM сигналами, в
таблице А.2 - для DRM сигналов, интерферирующих с AM сигналами. Эти величины вычислены для AM сигналов с высокой компрессией. РЧ защитные отношения для DRM сигналов, интерферирующих с DRM сигналами, даны в
таблице А.3. Корректирующие величины для DRM приема при использовании различных схем модуляции и уровней защиты представлены в
таблице А.4.
Значения в
таблицах А.1 -
А.4 представляют собой относительные РЧ защитные отношения (A
RF_relative). Для случая чистой AM относительное защитное отношение есть разность в децибелах между защитным отношением, когда сигналы несущих желательного и нежелательного передатчиков имеют разность частот

, и защитным отношением, когда несущие этих передатчиков имеют одинаковую частоту (Рекомендация МСЭ-Р BS.560), т.е. соканальное РЧ защитное отношение A
RF, которое соответствует аудиочастотному (AF) защитному отношению (A
AF). В случае цифрового сигнала их номинальной частотой вместо несущей частоты является значимая величина для определения разности частот. Для спектрального размещения типов 2 и 3 номинальная частота соответствует центральной частоте OFDM блока, для типов 0 и 1 спектральная частота сдвигается на 2,2 и 2,4 кГц соответственно выше номинальной частоты.
Вследствие отличия спектра сигнала интерференции от AF спектра аналоговой AM значения для относительных РЧ защитных отношений в случае соканальной интерференции не равны нулю.
Для использования
таблицы А.1 в заданном сценарии планирования AM релевантное AF защитное отношение добавляется к значению в
таблице, чтобы получить требуемое РЧ защитное отношение. Релевантные значения могут быть определены с учетом:
- для КВ защитное отношение AF равно 17 дБ, которое одобрено для HFBC планирования WARC HFBC-87 для сигналов AM, интерферирующих с AM сигналами;
- для ДВ/СВ защитное отношение AF равно 30 дБ, которое одобрено Региональной административной конференцией по радиовещанию в диапазонах ДВ/СВ для регионов 1 и 3 (Женева, 1975 г.) для AM сигналов, интерферирующих с AM сигналами.
Для DRM как полезного сигнала AF защитное отношение, рассматриваемое как параметр качества обслуживания, заменяется на отношение сигнал/интерференция, требуемое для достижения определенной BER. Порог BER, равный 10
-4, принят для расчетов. Значения защитного отношения в
таблицах А.2 и
А.3 основаны на 64-QAM модуляции и защитном уровне N 1. Для других комбинаций корректирующие значения в
таблице А.4 добавляются к значениям сигнал/интерференция, приведенным в таблице.
Таблица А.1
Относительные РЧ защитные отношения (дБ)
для AM сигналов, интерферирующих с DRM сигналами
Полезный сигнал | Мешающий сигнал | Разность частот fмеш. - fполезн., кГц | Параметры |
-20 | -18 | -15 | -10 | -9 | -5 | 0 | 5 | 9 | 10 | 15 | 18 | 20 | BDRM, кГц | |
AM | | -50,4 | -50,4 | -49 | -35,5 | -28,4 | 6,4 | 6,6 | -30,9 | -46,7 | -48,2 | -50,4 | -50,4 | -50,4 | 4,5 | - |
AM | | -51 | -50,5 | -47,6 | -32 | -23,8 | 6 | 6 | -31,1 | -45,7 | -47,4 | -51 | -51 | -51 | 5 | - |
AM | DRM_B2 | -48,8 | -46,9 | -43,5 | -34,4 | -29,7 | 3,4 | 6,5 | 3,4 | -29,7 | -34,4 | -43,5 | -46,9 | -48,8 | 9 | - |
AM | DRM_B3 | -47,2 | -45,3 | -41,9 | -32 | -25,9 | 3 | 6 | 3 | -25,9 | -32 | -41,9 | -45,3 | -47,2 | 10 | - |
BDRM - номинальная полоса частот DRM сигнала. DRM BO - DRM сигнал, режим устойчивости B, спектральное размещение типа 0. Примечание 1 - Центральная частота передачи DRM_B0 сдвинута на 2,2 кГц выше номинальной частоты. Примечание 2 - Центральная частота передачи DRM_B1 сдвинута на 2,4 кГц выше номинальной частоты. Примечание 3 - Защитные РЧ отношения для AM сигнала, интерферирующего с DRM сигналом, могут быть вычислены путем добавления подходящих AF защитных отношений согласно данному сценарию планирования к значениям, приведенным в таблице. Примечание 4 - Значения, представленные в этой таблице, относятся к AM сигналам с высокой компрессией. Для совместимости с таблицей А.2 та же самая глубина модуляции, а именно связанная с высокой компрессией, была принята для AM сигнала. Чтобы обеспечить адекватную защиту AM сигналам с нормальным уровнем компрессии (см. Рекомендацию МСЭ-Р BS 1615), каждое значение в таблице должно быть увеличено для учета различия между нормальной и высокой компрессиями. |
Таблица А.2
Относительные РЧ защитные отношения (дБ) для DRM сигналов
(64-QAM, уровень защиты N 1), интерферирующих с AM сигналами
Полезный сигнал | Мешающий сигнал | Разность частот fмеш. - fполезн., кГц | Параметры |
-20 | -18 | -15 | -10 | -9 | -5 | 0 | 5 | 9 | 10 | 15 | 18 | 20 | BDRM, кГц | S/I, дБ |
| AM | -57,7 | -55,5 | -52,2 | -46,1 | -45 | -36,2 | 0 | -3,5 | -30,9 | -41,1 | -46,9 | -50,6 | -53 | 4,5 | 4,6 |
| AM | -57,4 | -52,2 | -51,9 | -45,9 | -44,7 | -36 | 0 | -0,2 | -22 | -37,6 | -46 | -49,6 | -52 | 5 | 4,6 |
DRM_B2 | AM | -54,6 | -52,4 | -48,8 | -42,8 | -33,7 | -6,4 | 0 | -6,4 | -33,7 | -42,8 | -48,8 | -52,4 | -54,6 | 9 | 7,3 |
DRM_B3 | AM | -53,9 | -53,9 | -48 | -39,9 | -25 | -3,1 | 0 | -3,1 | -25 | -39,9 | -48 | -51,5 | -53,9 | 10 | 7,3 |
BDRM - номинальная полоса частот DRM сигнала. DRM_B0 - DRM сигнал, режим устойчивости B, спектральное размещение типа 0. S/I - отношение сигнал/интерференция для BER 1 x 10-4. Примечание 1 - Центральная частота передачи DRM_B0 сдвинута на 2,2 кГц выше номинальной частоты. Примечание 2 - Центральная частота передачи DRM_B1 сдвинута на 2,4 кГц выше номинальной частоты. |
Таблица А.3
Относительные РЧ защитные отношения (дБ) для DRM сигналов
(64-QAM, уровень защиты N 1), интерферирующих
с DRM сигналами
Полезный сигнал | Мешающий сигнал | Разность частот fмеш - fполезн., кГц | Параметры |
-20 | -18 | -15 | -10 | -9 | -5 | 0 | 5 | 9 | 10 | 15 | 18 | 20 | BDRM, кГц | S/I, дБ |
DRM_B0 | DRM_B0 | -60 | -59,9 | -60 | -55,2 | -53,2 | -40,8 | 0 | -40,8 | -53,2 | -55,2 | -60 | -59,9 | -60 | 4,5 | 16,2 |
DRM_B0 | DRM_B1 | -60,1 | -60 | -59,5 | -52,5 | -50,4 | -37,4 | 0 | -40 | -51,6 | -53,6 | -59,8 | -60 | -60,1 | 5 | 15,7 |
DRM_B0 | DRM_B2 | -57,4 | -55,7 | -52,9 | -46,7 | -45,1 | -36,6 | 0 | -0,8 | -35,6 | -38,4 | -47,7 | -51,5 | -53,6 | 9 | 13,2 |
DRM_B0 | DRM_B3 | -55,2 | -53,6 | -50,7 | -44,5 | -42,9 | -33,1 | 0 | -0,1 | -13,6 | -36,2 | -45,5 | -49,3 | -51,4 | 10 | 12,6 |
DRM_B1 | DRM_B0 | -59,4 | -59,5 | -59,5 | -55 | -53 | -40,8 | 0 | -37,9 | -51,7 | -53,9 | -59,4 | -59,5 | -59,4 | 4,5 | 16,2 |
DRM_B1 | DRM_B1 | -60 | -60 | -59,5 | -52,8 | -50,8 | -37,8 | 0 | -37,8 | -50,8 | -52,8 | -59,5 | -60 | -60 | 5 | 16,2 |
DRM_B1 | DRM_B2 | -57,1 | -55,4 | -52,6 | -46,4 | -44,9 | -36,4 | 0 | -0,1 | -13,7 | -36,8 | -46,6 | -50,5 | -52,7 | 9 | 13,2 |
DRM_B1 | DRM_B3 | -55,5 | -53,8 | -51 | -44,8 | -43,3 | -33,5 | 0 | -01 | -8,1 | -35,2 | -45 | -48,9 | -51,1 | 10 | 13,2 |
DRM_B2 | DRM_B0 | -57 | -56,8 | -54,8 | -43,4 | -39,1 | -0,7 | 0 | -40,6 | -52,2 | -53,9 | -57 | -57 | -57 | 4,5 | 15,9 |
DRM_B2 | DRM_B1 | -56,9 | -56,1 | -52,7 | -40,2 | -14,1 | -0,1 | 0 | -39,7 | -50,8 | -52,5 | -56,9 | -57 | -57 | 5 | 15,4 |
DRM_B2 | DRM_B2 | -55,1 | -53,1 | -49,5 | -40,7 | -38,1 | -3,7 | 0 | -3,7 | -38,1 | -40,7 | -49,5 | -53,1 | -55,1 | 9 | 15,9 |
DRM_B2 | DRM_B3 | -52,9 | -51 | -47,4 | -38,6 | -16,6 | -3,2 | 0 | -3,2 | -16,6 | -38,6 | -47,4 | -51 | -52,9 | 10 | 15,4 |
DRM_B3 | DRM_B0 | -56,4 | -56,2 | -53,8 | -41,1 | -14,1 | -0,1 | 0 | -37,7 | -50,9 | -52,8 | -56,4 | -66,4 | -56,4 | 4,5 | 15,9 |
DRM_B3 | DRM_B1 | -56,8 | -55,7 | -52,1 | -38,2 | -8,2 | -0,1 | 0 | -37,6 | -50,1 | -51,9 | -56,7 | -57 | -57 | 5 | 15,9 |
DRM_B3 | DRM_B2 | -54,3 | -52,3 | -48,6 | -39,3 | -16,7 | -3,1 | 0 | -3,1 | -16,7 | -39,3 | -48,6 | -52,3 | -54,3 | 9 | 15,9 |
DRM_B3 | DRM_B3 | -52,7 | -50,7 | -47 | -37,7 | -11,1 | -3,1 | 0 | -3,1 | -11,1 | -37,3 | -47 | -50,7 | -52,7 | 10 | 15,9 |
BDRM - номинальная полоса частот DRM сигнала. DRM_BO - DRM сигнал, режим устойчивости B, спектральное размещение типа 0. S/I - отношение сигнал/интерференция для BER 1 x 10-4. |
Таблица А.4
будут использоваться для других комбинаций
схем модуляции и уровней защиты
Схема модуляции | Уровень защиты, N | Средняя кодовая скорость | Корректированные значения (дБ) для DRM, режим устойчивости/тип спектр. размещения |
B/0 (4,5 кГц), B/1 (5 кГц) | B/2 (9 кГц), B/3 (10 кГц) |
16-QAM | 0 | 0,5 | -6,7 | -6,6 |
1 | 0,62 | -4,7 | -4,6 |
64-QAM | 0 | 0,5 | -1,3 | -1,2 |
1 | 0,6 | 0 | 0 |
2 | 0,71 | 1,7 | 1,8 |
3 | 0,78 | 3,3 | 3,4 |
| ГОСТ Р 54718-2011 | Система цифрового радиовещания DRM в диапазонах частот ниже 30 МГц. Цифровой кодер-модулятор. Основные параметры и технические требования |
| | Система цифрового радиовещания DRM в диапазонах частот ниже 30 МГц. Контрольный радиоприемник. Основные параметры и технические требования |
| МККР, октябрь 1974 г. | Документ N 140 |
| ВАРК ВЧРВ-87 | Всемирная административная радиоконференция по планированию ВЧ полос частот распределения в радиовещательной службе (Женева-87) |
| ИСО/МЭК 23003-1 | Информационные технологии. Аудиотехнологии MPEG. Часть 1. Объемный формат MPEG (ISO/IEC 23003-1: Information technology - MPEG audio technologies - Part 1: MPEG Surround) |
| ИСО/МЭК 14496-3 | Информационные технологии. Кодирование аудиовизуальных объектов. Часть 3. Аудио (ISO/IEC 14496-3: Information technology - Coding of audio-visual objects - Part 3: Audio) |
УДК 621.397:006.354 | |
Ключевые слова: система DRM, цифровое звуковое радиовещание, кодирование аудиосигналов, технические основы |