Главная // Актуальные документы // ГОСТ Р (Государственный стандарт)СПРАВКА
Источник публикации
М.: Стандартинформ, 2013
Примечание к документу
Документ
введен в действие с 1 июля 2013 года.
Название документа
"ГОСТ Р 54550-2011. Национальный стандарт Российской Федерации. Каучуки синтетические. Определение массовой доли экстрагируемых веществ"
(утв. и введен в действие Приказом Росстандарта от 29.11.2011 N 634-ст)
"ГОСТ Р 54550-2011. Национальный стандарт Российской Федерации. Каучуки синтетические. Определение массовой доли экстрагируемых веществ"
(утв. и введен в действие Приказом Росстандарта от 29.11.2011 N 634-ст)
Утвержден и введен в действие
агентства по техническому
регулированию и метрологии
от 29 ноября 2011 г. N 634-ст
НАЦИОНАЛЬНЫЙ СТАНДАРТ РОССИЙСКОЙ ФЕДЕРАЦИИ
КАУЧУКИ СИНТЕТИЧЕСКИЕ
ОПРЕДЕЛЕНИЕ МАССОВОЙ ДОЛИ ЭКСТРАГИРУЕМЫХ ВЕЩЕСТВ
Synthetic rubbers.
Determination of the mass fraction of extractables
ГОСТ Р 54550-2011
Дата введения
1 июля 2013 года
Цели и принципы стандартизации в Российской Федерации установлены Федеральным
законом от 27 декабря 2002 г. N 184-ФЗ "О техническом регулировании".
1. Подготовлен Федеральным государственным унитарным предприятием "Всероссийский научно-исследовательский центр стандартизации, информации и сертификации сырья, материалов и веществ" (ФГУП "ВНИЦСМВ") на основе аутентичного перевода на русский язык стандарта, указанного в
пункте 4, выполненного Федеральным государственным унитарным предприятием "Научно-исследовательский институт синтетического каучука" (ФГУП "НИИСК").
2. Внесен Техническим комитетом по стандартизации ТК 160 "Продукция нефтехимического комплекса".
3. Утвержден и введен в действие
Приказом Федерального агентства по техническому регулированию и метрологии от 29 ноября 2011 г. N 634-ст.
4. Настоящий стандарт является модифицированным по отношению к стандарту АСТМ Д 5774-2009 "Стандартные методы испытания каучуков. Химический анализ экстрагируемых веществ" (ASTM D 5774-2009 "Standard test methods for rubber - Chemical analysis of extractables"). При этом дополнительные слова, фразы, ссылки, примечания, включенные в текст стандарта для учета потребностей национальной экономики Российской Федерации и/или особенностей российской национальной стандартизации, выделены курсивом.
Наименование настоящего стандарта изменено относительно наименования указанного стандарта для приведения в соответствие с ГОСТ Р 1.5-2004
(пункт 3.5).
Сведения о соответствии ссылочных национальных и межгосударственных стандартов международным стандартам и стандарту АСТМ, использованным в качестве ссылочных в примененном стандарте, приведены в дополнительном
Приложении ДА.
5. Введен впервые.
Правила применения настоящего стандарта установлены в ГОСТ Р 1.0-2012
(раздел 8). Информация об изменениях к настоящему стандарту публикуется в ежегодном (по состоянию на 1 января текущего года) информационном указателе "Национальные стандарты", а официальный текст изменений и поправок - в ежемесячном информационном указателе "Национальные стандарты". В случае пересмотра (замены) или отмены настоящего стандарта соответствующее уведомление будет опубликовано в ближайшем выпуске ежемесячного информационного указателя "Национальные стандарты". Соответствующая информация, уведомление и тексты размещаются также в информационной системе общего пользования - на официальном сайте национального органа Российской Федерации по стандартизации в сети Интернет (gost.ru).
Настоящий стандарт устанавливает методы (A, B, C, D) определения массовой доли веществ, экстрагируемых из бутадиен-стирольных каучуков (SBR).
Некоторые методы также можно использовать для анализа других синтетических каучуков.
Настоящий стандарт устанавливает методы определения суммарной массовой доли экстрагируемых веществ, массовой доли органических кислот, мыл, масел.
Примечание. Номенклатура показателей, используемая в настоящем стандарте, соответствует
[1].
Настоящий стандарт не преследует цели отразить все проблемы безопасности, связанные с его использованием. На пользователях настоящего стандарта лежит ответственность по установлению до начала его использования соответствующих правил безопасности и охраны здоровья, а также по определению применимости нормативных ограничений.
В настоящем стандарте использованы нормативные ссылки на следующие стандарты:
ГОСТ Р ИСО 5725-1-2002 Точность (правильность и прецизионность) методов и результатов измерений. Часть 1. Основные положения и определения
ГОСТ Р 53228-2008 Весы неавтоматического действия. Часть 1. Метрологические и технические требования. Испытания
ГОСТ Р 54554-2011 Смеси резиновые стандартные. Материалы, оборудование, методы смешения и приготовления вулканизованных пластин
ГОСТ 745-2003 Фольга алюминиевая для упаковки. Технические условия
ГОСТ 1770-74 (ИСО 1042-83, ИСО 4788-80) Посуда мерная лабораторная стеклянная. Цилиндры, мензурки, колбы, пробирки. Общие технические условия
ГОСТ 4328-77 Реактивы. Натрия гидроокись. Технические условия
ГОСТ 18300-87 Спирт этиловый ректификованный технический. Технические условия
ГОСТ 25336-82 Посуда и оборудование лабораторные стеклянные. Типы, основные параметры и размеры
ГОСТ 27109-86 Каучуки синтетические. Методы отбора и подготовки проб
ГОСТ 29169-91 (ИСО 648-77) Посуда лабораторная стеклянная. Пипетки с одной отметкой
ГОСТ 29251-91 (ИСО 385-1-84) Посуда лабораторная стеклянная. Бюретки. Часть 1. Общие требования.
Примечание. При пользовании настоящим стандартом целесообразно проверить действие ссылочных стандартов в информационной системе общего пользования - на официальном сайте национального органа Российской Федерации по стандартизации в сети Интернет или по ежегодно издаваемому информационному указателю "Национальные стандарты", который опубликован по состоянию на 1 января текущего года, и по выпускам ежемесячно издаваемого информационного указателя "Национальные стандарты" за текущий год. Если заменен ссылочный стандарт, на который дана недатированная ссылка, то рекомендуется использовать действующую версию этого стандарта с учетом всех внесенных в данную версию изменений. Если заменен ссылочный стандарт, на который дана датированная ссылка, то рекомендуется использовать версию этого стандарта с указанным выше годом утверждения (принятия). Если после утверждения настоящего стандарта в ссылочный стандарт, на который дана датированная ссылка, внесено изменение, затрагивающее положение, на которое дана ссылка, то это положение рекомендуется применять без учета данного изменения. Если ссылочный стандарт отменен без замены, то положение, в котором дана ссылка на него, рекомендуется применять в части, не затрагивающей эту ссылку.
Чистота реактивов
Для испытаний используют реактивы, имеющие степень чистоты не ниже ч.д.а. Если нет других указаний, реактивы должны соответствовать
[2].
4. Сущность определения суммарной массовой доли
экстрагируемых веществ (метод A)
Тонкие узкие полоски высушенного каучука трижды экстрагируют порциями по 100 см3 горячего растворителя в течение 10, 20, 40 мин соответственно. Затем каучук экстрагируют в течение 5 мин 100 см3 горячего ацетона для удаления из него растворителя и облегчения высушивания и сушат до постоянной массы. Разность между массами каучука, взятого для анализа, и проэкстрагированного каучука представляет собой общую массовую долю экстрагируемых веществ.
Настоящий метод предназначен для определения суммарной массовой доли экстрагируемых веществ в каучуке. Метод дает суммарное число смоляных и жирных кислот, мыл, экстрагируемых масел, смол, препятствующих пенообразованию, антиоксидантов и других не связанных с полимерной цепью органических составляющих, которые экстрагируются выбранным растворителем.
Массовую долю каучуковых углеводородов можно определить вычитанием из 100 общего числа экстрагируемых веществ, общей золы, летучих соединений и технического углерода (для маточных смесей, содержащих технический углерод).
6.1. Широкогорлая колба вместимостью 400 - 500 см3.
6.2. Нагревательная плитка и обратный холодильник.
Допускается использовать электрическую плитку или песочную или водяную баню.
6.3. Фильтровальная бумага и проволочная металлическая сетка.
6.4. Тарелочка для взвешивания или часовое стекло.
Допускается использовать тарелочки из алюминиевой фольги по ГОСТ 745 размером 100 x 75 x 8 мм.
6.5. Вакуумный сушильный шкаф (термостат), обеспечивающий температуру 105 °C и давление не более 3,0 кПа.
Допускается использовать сушильный шкаф с естественной циркуляцией воздуха и автоматической регулировкой температуры, равной (100 +/- 3) °C.
6.6. Эксикатор 2-140, или 2-190, или 2-250 по ГОСТ 25336.
6.7. Вальцы в соответствии с ГОСТ Р 54554. Допускается применение вальцов по ГОСТ 27109.
6.8. Весы неавтоматического действия высокого класса точности по ГОСТ Р 53228.
6.9. Шкаф с принудительной циркуляцией.
7.1. Растворители
7.1.1. Азеотропная смесь этанола и толуола (ETA)
Для получения ETA смешивают 70 объемных долей этилового спирта (
по ГОСТ 18300) и 30 объемных долей толуола. Кипятят смесь в колбе с обратным холодильником в течение 4 ч над оксидом кальция, затем перегоняют. Удаляют первую и последнюю порции дистиллята и собирают фракцию с интервалом кипения не более 1 °C. Перегонку можно не проводить при применении абсолютированного пищевого этилового спирта или безводного денатурированного спирта, пропущенного через молекулярное сито 3А.
7.1.2. Водная смесь изопропанола и толуола (H-ITM)
Смешивают 75 объемных долей безводного изопропанола с 25 объемными долями толуола (
по ГОСТ 5789), после чего к 92 объемным долям полученного раствора добавляют восемь объемных долей воды.
7.1.3. Ацетон
8.1. Пробу сушат в соответствии с 8.2 или
8.3.
8.2. Взвешивают не менее 450 г каучука с точностью до 0,1 г.
Пропускают несколько раз каучук на лабораторных вальцах при температуре поверхности валков (100 +/- 5) °C и зазоре между валками (0,25 +/- 0,05) мм, установленном с помощью свинцовой полоски. Вальцевание проводят, не допуская обволакивания валков и избегая потерь каучука. Через 4 мин взвешивают каучук с точностью до 0,1 г. Вальцуют каучук в течение еще двух минут и повторно взвешивают. Если разность между этими взвешиваниями не превышает 0,1 г, вычисляют массовую долю летучих веществ. В противном случае продолжают двухминутные периоды вальцевания каучука до достижения постоянной массы (в пределах 0,1 г).
8.3. Вальцуют не менее 250 г каучука на лабораторных вальцах с зазором между валками (0,25 +/- 0,05) мм, определяемым по свинцовой полоске, и температуре поверхности валков не выше 32 °C. Взвешивают пластину каучука с точностью до 0,1 г и помещают ее в сушильный шкаф с принудительной циркуляцией воздуха, нагретый до температуры (100 +/- 5) °C, расположив ее таким образом, чтобы обе стороны пластины обдувались воздухом.
Каучук выдерживают в сушильном шкафу до достижения постоянной массы (в пределах 0,1 г). Обычно для высушивания каучука до массовой доли влаги не более 0,1% достаточно 1 ч.
8.4. Вальцуют высушенный каучук до толщины не более 0,5 мм. Нарезают примерно 6 г высушенного вальцованного каучука на полоски шириной не более 10 мм и длиной не более 50 мм.
Примечание. Для обеспечения полного экстрагирования толщина пластины не должна превышать указанного максимума.
Для обеспечения полноты экстракции каучуков, которые при экстракции имеют тенденцию к слипанию (каучуки с низкой вязкостью и каучуки, скоагулированные квасцами), а также для каучуков, содержащих трудно экстрагируемые иным способом или медленно экстрагируемые вещества, высушенные пластины для экстракции можно готовить с использованием следующих методов:
- метод a)
Используя лабораторный пресс с плоскими нагреваемыми плитами, впрессовывают 1,5 - 1,7 г каучука во взвешенное круглое сито диаметром 89 - 94 мм с сеткой либо из нержавеющей стали размером отверстий примерно 0,177 мм, либо из полиэфирной сетчатой ткани, предварительно проэкстрагированной тем же растворителем, который используют для экстракции проб.
Удаляют избыток каучука, выходящий за края сита. Точно взвешивают сито с каучуком. После проведения испытания сито из нержавеющей стали может быть очищено сжиганием каучука в муфельной печи, после чего может быть использовано повторно;
- метод b)
Нарезают 5 - 6 г листованного каучука на квадраты размером 38 x 38 мм, затем взвешивают, поместив между двумя квадратными кусками полипропиленового сита размером 50 x 50 мм, предварительно экстрагированного в используемом растворителе.
9.1. Точно взвешивают 6 г полосок высушенного каучука.
9.2. В колбу для экстрагирования наливают 100 см3 выбранного растворителя (ETA или H-ITM), после чего в колбу помещают отдельно каждую полоску взвешенного каучука, взбалтывая каждый раз содержимое колбы для равномерного смачивания растворителем каждой полоски во избежание их слипания. Для предотвращения прилипания каучука к колбе на дно колбы помещают фильтровальную бумагу, можно также поместить на нагревательную плитку под колбу проволочную сетку. При определении только суммарного количества экстрагируемых веществ можно также проводить подготовку образца в соответствии с методом, описанным в
8.4.
9.3. Кипятят содержимое колбы с обратным холодильником на плитке не менее 10 мин (максимальное время кипячения 1 ч). Сливают растворитель, промывают каучук 20 см3 свежего растворителя, сливая промывной раствор, добавляют в колбу 100 см3 свежего растворителя.
Время кипячения - в соответствии с указаниями изготовителя каучука.
9.4. Кипятят содержимое колбы с обратным холодильником на плитке не менее 20 мин (максимальное время кипячения 1 ч). Снова сливают растворитель, промывают каучук 20 см3 свежего растворителя, сливая промывной раствор, добавляют в колбу 100 см3 свежего растворителя.
Время кипячения - в соответствии с указаниями изготовителя каучука.
9.5. Кипятят содержимое колбы с обратным холодильником на плитке не менее 40 мин (максимальное время кипячения 1 ч). Снова сливают растворитель и добавляют в колбу 100 см3 ацетона.
Время кипячения - в соответствии с указаниями изготовителя каучука.
6,0 г образца каучука, нарезанного на кусочки размером 2 x 2 x 2 мм, взвешивают до четвертого десятичного знака и помещают в экстракционную колбу, содержащую 100 см3 выбранного растворителя (см. раздел 7). Присоединяют колбу к обратному холодильнику и кипятят в течение 10 мин (максимальное время кипячения 1 ч). Сливают растворитель, промывают каучук 20 см3 свежего растворителя, сливая промывной раствор.
В колбу для экстрагирования наливают 100 см3 свежего растворителя и снова кипятят содержимое колбы с обратным холодильником в течение 20 мин (максимальное время кипячения 1 ч). Снова сливают растворитель, промывают каучук 20 см3 свежего растворителя, сливая промывной раствор. В колбу для экстрагирования наливают 100 см3 свежего растворителя и снова кипятят содержимое колбы с обратным холодильником в течение 40 мин (максимальное время кипячения 1 ч). Снова сливают растворитель и добавляют в колбу 100 см3 ацетона.
9.6. Снова кипятят содержимое колбы с обратным холодильником в течение 5 мин для удаления из каучука растворителя, использованного для экстракции. Сливают ацетоновый раствор.
9.7. Проэкстрагированный каучук переносят в предварительно взвешенную тарелочку для взвешивания. Помещают ее в вакуумный сушильный шкаф и сушат в течение 1 ч при температуре (105 +/- 3) °C и давлении не более 3,0 кПа. Высушенный каучук повторно взвешивают.
Допускается проэкстрагированный каучук количественно переносить из колбы на тарелочку из алюминиевой фольги, предварительно высушенную до постоянной массы при температуре (100 +/- 3) °C и взвешенную с погрешностью не более 0,0002 г. Тарелочку с каучуком помещают в сушильный шкаф и выдерживают при температуре (100 +/- 3) °C в течение времени, установленного изготовителем каучука. Перед взвешиванием тарелочку с каучуком охлаждают в эксикаторе до комнатной температуры.
Суммарную массовую долю экстрагируемых веществ X, %, вычисляют по формуле

, (1)
где A - масса пробы каучука, взятая на экстрагирование, г;
B - масса пробы каучука после экстрагирования и сушки, г.
11. Прецизионность и систематическая погрешность
11.1. Результаты по прецизионности данных методов испытаний были определены на основе данных программы межлабораторных испытаний, которая осуществлялась до принятия
[3] в качестве стандартного руководства по оценке точности методов испытаний, и поэтому данная программа выполнялась не в соответствии с основными рекомендациями, изложенными в
[3]. В настоящем разделе результаты, полученные на основе вышеуказанной программы, были приведены в соответствие с
[3]. Термины и другие детали статистического расчета приведены в
[3].
Примечание. В настоящем стандарте используется терминология в области точности, соответствующая ГОСТ Р ИСО 5725-1.
11.2. Сведения, приведенные в настоящем разделе, дают оценку точности метода испытания на образцах, использованных в конкретной программе межлабораторных испытаний, описанной в 11.3. Параметры точности не следует использовать для проведения приемочных или браковочных испытаний каучуков без документов, подтверждающих их применимость к данным материалам, и без протоколов испытаний этих материалов данным методом.
11.3. Прецизионность типа 1 основана на программе, использующей три каучука, которые были испытаны в восьми лабораториях в каждый из двух дней. Результатом испытания является среднеарифметическое двух определений. Данные по прецизионности представлены в таблице 1.
Таблица 1
Прецизионность типа 1 для определения суммарной
массовой доли экстрагируемых веществ
Номер образца | Среднее значение, % | Внутрилабораторная повторяемость | Межлабораторная воспроизводимость |
| r | (r) | | R | (R) |
6 | 30,05 | 0,112 | 0,317 | 1,05 | 0,137 | 0,39 | 1,29 |
5 | 32,45 | 0,082 | 0,232 | 0,72 | 0,458 | 1,30 | 4,01 |
3 | 39,73 | 0,132 | 0,374 | 0,94 | 0,289 | 0,82 | 2,06 |
Усредненное среднее значение | 34,08 | 0,111 | 0,314 | 0,92 | 0,322 | 0,91 | 2,29 |
Примечание. Использованы следующие обозначения:  - стандартное отклонение повторяемости в единицах измерения; r - повторяемость (предел повторяемости) в единицах измерения; (r) - повторяемость (предел повторяемости) в процентах относительных;  - стандартное отклонение воспроизводимости в единицах измерения; R - воспроизводимость (предел воспроизводимости) в единицах измерения; (R) - воспроизводимость (предел воспроизводимости) в процентах относительных. |
11.4. Систематическая погрешность представляет собой разность между средним значением результата испытания и эталонным (или истинным) значением определяемого параметра. Для настоящего метода испытания не существует эталонных значений, поэтому систематическая погрешность не может быть оценена.
12. Сущность определения массовой доли
органических кислот (метод B)
Готовят тонкие длинные полоски высушенного каучука по
8.1 и
8.4, точно взвешивают около 6 г полосок. Полоски каучука дважды экстрагируют горячим экстрагирующим растворителем. Экстракт и растворитель после ополаскивания сливают в мерную колбу вместимостью 250 см3 и доливают до метки свежим растворителем. Отбирают 100 см3 экстракта и титруют до первого изменения цвета 0,1 М раствором NaOH, используя выбранный индикатор. Результаты титрования и массу образца используют для расчета массовой доли органических кислот.
Настоящий метод предназначен для определения органических кислот, остающихся в синтетических каучуках. Существуют два метода испытания: B - для полимеров, скоагулированных квасцами, и A - для всех других полимеров. Хотя эти методы были разработаны для бутадиен-стирольных каучуков эмульсионной полимеризации, их можно использовать и для других каучуков эмульсионной полимеризации. Наличие органической кислоты в каучуке может оказывать влияние на скорость вулканизации наполненной смеси.
Обычное лабораторное оборудование
Весы неавтоматического действия высокого класса точности по ГОСТ Р 53228.
Прибор для экстрагирования - колба К-1-100(250)-29/32 ТС по ГОСТ 25336 с воздушным холодильником, длина трубки (1000 - 1200) мм, диаметр (10 - 12) мм.
Баня песчаная любого типа.
15.1.1. Азеотропная смесь этанола и толуола (ETA) по
7.1.1.
Не применяют для испытания каучуков, скоагулированных квасцами.
15.1.2. Водная смесь изопропанола и толуола (H-ITM) по
7.1.2, альтернативный водный растворитель для экстракции. Указанный растворитель применяют для всех каучуков и преимущественно для каучуков, скоагулированных квасцами.
15.2. Растворы индикатора
15.2.1. Мета-крезол пурпурный раствор индикатора (0,1%-ный водный или спиртовой раствор)
Нейтрализуют каждые 0,1 г индикатора в 26,2 см3 раствора гидроксида натрия концентрации c (NaOH) = 0,01 моль/дм3 перед доведением объема до заданного.
Раствор индикатора хранят в темной бутылке, вдали от источников флуоресцентного излучения, которое может вызвать порчу раствора.
15.2.2. Тимоловый синий раствор индикатора (0,2%-ный)
Растворяют 0,06 г индикатора в 6,45 см3 раствора гидроксида натрия концентрации c (NaOH) = 0,02 моль/дм3 и разбавляют дистиллированной водой до объема 50 см3 (рекомендуется для использования с растворителем H-ITM).
15.3. Стандартный раствор гидроксида натрия концентрации c (NaOH) = 0,1 моль/дм3
Готовят и стандартизируют раствор гидроксида натрия концентрации c (NaOH) = 0,1 моль/дм3.
Натрия гидроксид по ГОСТ 4328, растворы концентрации c (NaOH) = 0,1 моль/дм3 (0,1 М) и c (NaOH) = 0,01 моль/дм3 (0,01 М), c (NaOH) = 0,02 моль/дм3 (0,02 М).
Подготовка пробы - по
8.1 и
8.4.
17.1. Метод A - для каучуков, не коагулированных квасцами
17.1.1. Взвешивают 6 г высушенных полосок каучука с точностью до 0,0001 г.
17.1.2. Вводят 100 см3 выбранного растворителя (см.
15.1) в колбу для экстрагирования и помещают в нее отдельно каждую полоску взвешенного образца, взбалтывая каждый раз содержимое колбы так, чтобы полоски были смочены растворителем во избежание их слипания. Для предотвращения прилипания каучука к колбе на дно колбы может быть помещена фильтровальная бумага, а на плитку под колбу может быть помещена проволочная сетка. Можно готовить пробы в соответствии с процедурой, описанной в
8.4.
17.1.3. Кипятят содержимое колбы с обратным холодильником на плитке в течение 10 мин (максимальное время кипячения 1 ч). Сливают растворитель в мерную колбу вместимостью 250 см3, промывают образец 20 см3 свежего растворителя, сливая смыв в ту же мерную колбу. Добавляют в экстракционную колбу 100 см3 свежего растворителя.
17.1.4. Кипятят содержимое колбы с обратным холодильником на плитке не менее 20 мин (максимальное время кипячения 1 ч). Снова сливают растворитель в ту же мерную колбу, промывают образец 20 см3 свежего растворителя, добавляя промывной раствор в эту же колбу. Охлаждают экстракт в колбе до комнатной температуры и добавляют свежий растворитель до объема 250 см3. Тщательно перемешивают раствор.
6,0 г образца каучука, нарезанного на кусочки размером 2 x 2 x 2 мм, взвешивают до четвертого десятичного знака и помещают в экстракционную колбу, содержащую 100 см3 выбранного растворителя (см. 15.1). Присоединяют колбу к воздушному холодильнику и кипятят в течение 1 ч. Сливают экстракт в мерную колбу вместимостью 250 см3, промывают каучук 20 см3 выбранного растворителя, сливая промывной раствор в ту же колбу. В колбу для экстрагирования наливают 100 см3 выбранного растворителя и снова кипятят содержимое колбы с воздушным холодильником в течение 1 ч.
Сливают экстракт в ту же мерную колбу и промывают каучук 20 см3 выбранного растворителя, сливая промывной раствор в ту же колбу. Охлаждают экстракт в мерной колбе до комнатной температуры и доводят объем раствора до метки выбранным растворителем. Колбу закрывают пробкой и содержимое перемешивают.
17.1.5. В две конические колбы Эрленмейера вместимостью 250 см3 пипеткой вносят две порции экстракта объемом по 100 см3. Оставляют одну порцию объемом 100 см3 для определения массовой доли мыл (см.
разделы 20 -
26).
С помощью пипетки отбирают две порции экстракта по 100 см3 в коническую колбу вместимостью 250 см3. Оставляют одну порцию объемом 100 см3 для определения массовой доли мыл (см. разделы 20 - 26).
17.1.6. К одной порции отобранного экстракта объемом 100 см3 добавляют шесть капель раствора выбранного индикатора и титруют раствором гидроксида натрия концентрации c (NaOH) = 0,1 моль/дм3 до первого изменения окраски. В условиях испытания проводят холостое титрование, используя 100 см3 свежего растворителя и того же количества того же индикатора. Вычитают объем раствора NaOH, израсходованный на титрование холостого опыта, из объема, использованного для титрования пробы.
К одной из порций раствора экстракта объемом 100 см3 добавляют шесть капель индикатора мета-крезолового пурпурного и титруют раствором гидроокиси натрия концентрации c (NaOH) = 0,1 моль/дм3 до первого изменения окраски. В тех же условиях проводят холостой (контрольный опыт), заменяя экстракт каучука таким же объемом выбранного растворителя, обработанного так же, как и раствор образца, с использованием того же типа и количества индикатора.
17.2. Метод B - для полимеров, скоагулированных квасцами
17.2.1. Точно взвешивают 6 г высушенных полосок каучука.
17.2.2. 100 см3 растворителя H-ITM (см.
9.2) добавляют в колбу для экстракции. Помещают в колбу по одной полоске взвешенного образца, подготовленного в соответствии с
8.4. Для предотвращения прилипания образца к колбе на дно колбы можно поместить фильтровальную бумагу, а на плитку под колбу - проволочную сетку.
17.2.3. Кипятят содержимое колбы с обратным холодильником на плитке не менее 10 мин (максимальное время кипячения 1 ч). Сливают растворитель в мерную колбу вместимостью 250 см3, промывают образец 20 см3 свежего растворителя, добавляя промывной раствор в ту же колбу. Вливают в колбу для экстракции 100 см3 свежего растворителя.
17.2.4. Кипятят содержимое колбы с обратным холодильником на плитке не менее 20 мин (максимальное время кипячения 1 ч). Снова сливают растворитель в мерную колбу, промывают каучук 20 см3 свежего растворителя, добавляя промывной раствор в ту же колбу. Охлаждают экстракт до комнатной температуры и добавляют свежий растворитель до объема 250 см3. Тщательно перемешивают раствор.
6,0 г образца каучука, нарезанного на кусочки размером 2 x 2 x 2 мм, взвешивают до четвертого десятичного знака и помещают в экстракционную колбу, содержащую 100 см3 выбранного растворителя (см. 15.1). Присоединяют колбу к воздушному холодильнику и кипятят в течение 1 ч. Сливают экстракт в мерную колбу вместимостью 250 см3, промывают каучук 20 см3 выбранного растворителя, сливая промывной раствор в ту же колбу. В колбу для экстрагирования наливают 100 см3 выбранного растворителя и снова кипятят содержимое колбы с воздушным холодильником в течение 1 ч.
Сливают экстракт в ту же мерную колбу и промывают каучук 20 см3 выбранного растворителя, сливая промывной раствор в ту же колбу. Охлаждают экстракт в мерной колбе до комнатной температуры и доводят объем раствора до метки выбранным растворителем. Колбу закрывают пробкой и содержимое перемешивают.
17.2.5. Вводят в колбу для экстракции 100 см3 свежего растворителя. Кипятят содержимое колбы с обратным холодильником не менее 15 мин (максимальное время кипячения 1 ч). Сливают растворитель в колбу Эрленмейера вместимостью 250 см3 (коническую колбу вместимостью 250 см3) и промывают каучук 20 см3 свежего растворителя, добавляя промывной раствор в ту же колбу. Сохраняют этот экстракт как дополнительный экстракт N 1.
17.2.6. Вводят 100 см3 свежего растворителя в колбу для экстракции. Кипятят содержимое колбы с обратным холодильником на нагретой плитке не менее 15 мин (максимальное время кипячения 1 ч). Сливают растворитель в колбу Эрленмейера вместимостью 250 см3 (
коническую колбу вместимостью 250 см3) и промывают каучук 20 см3 свежего растворителя, добавляя промывной раствор в ту же колбу. Сохраняют этот экстракт как дополнительный экстракт N 2.
17.2.7. В колбу Эрленмейера вместимостью 250 см3 (
коническую колбу вместимостью 250 см3) с помощью пипетки отбирают 100 см3 экстракта по
17.2.4.
17.2.8. К порции отобранного экстракта объемом 100 см3 и дополнительным экстрактам добавляют по шесть капель раствора выбранного индикатора. Титруют каждый из трех экстрактов раствором гидроксида натрия концентрации c (NaOH) = 0,1 моль/дм3 до первого изменения окраски. В условиях испытания проводят холостое титрование, используя 100 см3 свежего растворителя и того же количества того же индикатора. Вычитают объем раствора NaOH, израсходованный на титрование холостого опыта, из объема, израсходованного на титрование каждой пробы.
К одной из порций раствора экстракта объемом 100 см3 и дополнительных экстрактов добавляют по шесть капель индикатора мета-крезолового пурпурного и титруют каждый из трех растворов раствором гидроксида натрия концентрации c (NaOH) = 0,1 моль/дм3 до первого изменения окраски. В тех же условиях проводят холостой (контрольный опыт), заменяя экстракт каучука таким же объемом выбранного растворителя, обработанного так же, как и раствор образца, с использованием того же типа и количества индикатора.
Примечание. Если массовая доля кислоты в дополнительном экстракте N 2 более 0,1% в расчете на массу исходного образца, проводят еще одну дополнительную экстракцию в соответствии с
17.2.6.
18.1. Метод A
Массовую долю органических кислот

, %, вычисляют по формуле

, (2)
где J - объем раствора NaOH, израсходованный на титрование порции 100 см3, отобранной из объема 250 см3 (с поправкой на холостой опыт), см3;
K - молярность стандартного раствора NaOH;
L - эквивалентная масса определяемой органической кислоты. Если органическая кислота неизвестна, используют следующие типичные значения: 284 - для стеариновой кислоты, 346 - для смоляной кислоты, 315 - для смеси стеариновой и смоляной кислот в соотношении 50:50;
A - масса исходного высушенного образца, г.
18.2. Метод B
Массовую долю органических кислот

, %, вычисляют по формуле

, (3)
где J - объем раствора NaOH, израсходованный на титрование порции 100 см3, отобранной из объема 250 см3 (с поправкой на холостой опыт), см3;
X - объем раствора NaOH, израсходованный на титрование всего объема дополнительного экстракта N 1 (с поправкой на холостой опыт), см3;
Y - объем раствора NaOH, израсходованный на титрование всего объема дополнительного экстракта N 2 (с поправкой на холостой опыт), см3;
K - молярность стандартного раствора NaOH;
L - молярная масса эквивалента определяемой органической кислоты. Если она неизвестна, используют следующие типичные значения:
284 - для стеариновой кислоты, 346 - для смоляной кислоты;
315 - для смеси стеариновой и смоляной кислот в соотношении 50:50;
A - масса исходного высушенного образца, г.
19. Прецизионность и систематическая погрешность
19.1. Настоящий раздел был подготовлен в соответствии с
[3]. Термины и другие детали статистического расчета приведены в
[3].
Примечание. В настоящем стандарте используется терминология в области точности, соответствующая ГОСТ Р ИСО 5725-1.
19.2. Сведения, приведенные в настоящем разделе, дают оценку точности метода испытания на образцах, использованных в конкретной программе межлабораторных испытаний, описанной в 19.3. Параметры точности не следует использовать для проведения приемочных или браковочных испытаний каучуков без документов, подтверждающих их применимость к данным материалам, и без протоколов испытаний этих материалов данным методом.
19.3. Оценивалась прецизионность типа 1 (межлабораторная). Воспроизводимость и повторяемость являются краткосрочными. Повторные испытания проводили через несколько дней. Результатом испытания является среднее значение результатов двух определений в соответствии с данным методом. В межлабораторной программе использовали четыре различных каучука, которые испытывали в восьми лабораториях в два разных дня.
19.4. Результаты прецизионности типа 1 приведены в таблице 2 в порядке возрастания среднего значения или уровня свойства для каждого каучука.
Таблица 2
Прецизионность типа 1 для определения массовой доли
органических кислот с использованием методов A и B
Номер образца | Среднее значение, % | Внутрилабораторная повторяемость | Межлабораторная воспроизводимость |
| r | (r) | | R | (R) |
6 | 3,21 | 0,0457 | 0,129 | 4,0 | 0,080 | 0,226 | 7,1 |
5 | 4,65 | 0,0621 | 0,176 | 3,8 | 0,145 | 0,410 | 8,8 |
4 | 6,16 | 0,0804 | 0,228 | 3,7 | 0,191 | 0,541 | 8,8 |
3 | 4,99 | 0,0701 | 0,198 | 4,0 | 0,182 | 0,515 | 10,3 |
Примечание. Использованы следующие обозначения:  - стандартное отклонение повторяемости в единицах измерения; r - повторяемость (предел повторяемости) в единицах измерения; (r) - повторяемость (предел повторяемости) в процентах относительных;  - стандартное отклонение воспроизводимости в единицах измерения; R - воспроизводимость (предел воспроизводимости) в единицах измерения; (R) - воспроизводимость (предел воспроизводимости) в процентах относительных. |
19.5. Прецизионность данного метода испытания может быть выражена в виде изложенных ниже определений, которые используют соответствующее значение показателей r, R, (r) или (R) при принятии решения о результатах испытания. Это соответствующее значение является значением r или R, отвечающим среднему уровню свойства в
таблице 2, наиболее близкому к среднему уровню рассматриваемых результатов в заданное время для конкретного материала при обычном проведении испытаний.
19.6. Определения показателей прецизионности, представленные в
таблице 2, приведены в
26.6 -
26.9.
20. Сущность определения массовой доли мыл (метод C)
Одну из порций экстракта объемом 100 см3, оставшуюся после определения массовой доли органических кислот (см.
17.1.5), титруют раствором HCl концентрации 0,05 моль/дм3 с выбранным индикатором до первого изменения окраски. Массовую долю мыл в процентах вычисляют на основании массы исходного образца из полосок каучука и результата титрования.
Настоящий метод испытания предназначен для определения массовой доли мыл органических кислот в полимерах эмульсионной полимеризации. Мыла являются побочным продуктом в процессе эмульсионной полимеризации, они могут оказывать влияние на скорость вулканизации наполненной смеси. Несмотря на то, что данный метод разработан применительно к эмульсионным бутадиен-стирольным каучукам, он может быть применен также к другим полимерам.
22.1. Кислота соляная, стандартный раствор (0,05 М)
Кислота соляная по ГОСТ 3118, раствор концентрации c (HCl) = 0,05 моль/дм3 (0,05 М).
22.2. Растворы индикаторов
22.2.1. Индикатор мета-крезоловый пурпурный, 0,1%-ный раствор (см.
15.2.1).
22.2.2. Индикатор бромфеноловый синий, 0,1%-ный раствор в этиловом спирте.
22.2.3. Индикатор бромтимоловый синий, 0,1%-ный раствор в этиловом спирте.
22.2.4. Индикатор тимоловый синий, см.
15.2.2 (рекомендуется для использования с экстрактами H-ITM).
Пробу готовят в соответствии с
8.1 и
8.2. Определяют массовую долю мыл в процентах на порции экстракта, оставшейся после определения массовой доли органической кислоты (см.
17.1.5).
К порции экстракта объемом 100 см3, сохраненной при определении массовой доли органической кислоты (см.
17.1.5), добавляют шесть капель раствора выбранного индикатора и титруют раствором соляной кислоты концентрации c (HCl) = 0,05 моль/дм3 (0,05 М) до первого изменения окраски. В тех же условиях проводят холостое титрование, используя 100 см3 свежего растворителя (см.
17.1.2 -
17.1.5), используя такое же количество выбранного индикатора (см.
примечание). Вычитают объем HCl, израсходованный на титрование холостого опыта, из объема раствора HCl, израсходованного на титрование пробы.
К порции экстракта объемом 10 см3 добавляют шесть капель индикатора (по согласованию с изготовителем каучука) и титруют раствором соляной кислоты концентрации c (HCl) = 0,05 моль/дм3 (0,05 М) до первого изменения окраски.
В тех же условиях проводят холостой (контрольный опыт), заменяя экстракт каучука таким же объемом выбранного растворителя, обработанного так же, как и раствор образца, и с использованием того же типа и количества индикатора.
Примечание. Выбор раствора индикатора - на усмотрение аналитика. Следует использовать раствор индикатора, который дает наиболее ясный и различимый конец титрования для испытуемого каучука. Тимоловый синий рекомендуется для использования с экстрактами H-ITM.
Массовую долю мыл

, %, вычисляют по формуле

, (4)
где M - объем стандартного раствора HCl, израсходованный на титрование (с поправкой на холостой опыт), см3;
N - молярность стандартного раствора HCl;
P - молярная масса эквивалента определяемого мыла. Если она неизвестна, используют следующие типичные значения: 306 - для стеарата натрия, 322 - для стеарата калия, 368 - для резината натрия, 384 - для резината калия, 337 - для смеси стеарата натрия и резината натрия в соотношении 50:50, 353 - для смеси стеарата калия и резината калия в соотношении 50:50, 345 - для смеси стеарата натрия и резината калия или стеарата калия и резината натрия в соотношении 50:50;
A - масса исходной высушенной пробы, г.
26. Прецизионность и систематическая погрешность
26.1. Настоящий раздел был подготовлен в соответствии с
[3]. Термины и другие детали статистического расчета приведены в
[3].
Примечание. В настоящем стандарте используется терминология в области точности, соответствующая ГОСТ Р ИСО 5725-1.
26.2. Сведения, приведенные в настоящем разделе, дают оценку прецизионности метода испытания на образцах, использованных в конкретной программе межлабораторных испытаний, описанной в 26.3. Параметры прецизионности не следует использовать для проведения приемочных или браковочных испытаний любых других групп материалов без документов, подтверждающих их применимость к данным материалам, и без протоколов испытаний этих материалов с применением данного метода.
26.3. Оценивалась прецизионность типа 1 (межлабораторная). Воспроизводимость и повторяемость являются краткосрочными. Повторные испытания проводили через несколько дней. Результатом испытания является среднее значение результатов двух определений или измерений в соответствии с данным методом. В межлабораторной программе использовали четыре различных каучука, которые испытывали в восьми лабораториях в два разных дня.
26.4. Результаты расчетов воспроизводимости и повторяемости приведены в таблице 3 в порядке возрастания среднего значения или уровня свойства для каждого каучука.
Таблица 3
Прецизионность типа 1 для определения массовой доли мыл
Номер образца | Среднее значение, % | Внутрилабораторная повторяемость | Межлабораторная воспроизводимость |
| r | (r) | | R | (R) |
3 | 0,044 | 0,0085 | 0,0241 | 54,7 | 0,0448 | 0,127 | 290,0 |
4 | 0,013 | 0,0056 | 0,0158 | 122,0 | 0,0315 | 0,0891 | 690,0 |
5 | 0,019 | 0,0093 | 0,0263 | 139,0 | 0,0326 | 0,0923 | 490,0 |
6 | 0,036 | 0,0097 | 0,0275 | 76,3 | 0,0626 | 0,177 | 490,0 |
Примечание. Использованы следующие обозначения:  - стандартное отклонение повторяемости в единицах измерения; r - повторяемость (предел повторяемости) в единицах измерения; (r) - повторяемость (предел повторяемости) в процентах относительных;  - стандартное отклонение воспроизводимости в единицах измерения; R - воспроизводимость (предел воспроизводимости) в единицах измерения; (R) - воспроизводимость (предел воспроизводимости) в процентах относительных. |
26.5. Прецизионность настоящего метода испытания может быть выражена в виде изложенных далее определений, которые используют соответствующее значение показателей r, R, (r) или (R) при принятии решения о результатах испытания. Это соответствующее значение является значением r или R, отвечающим среднему уровню свойства в
таблице 2, наиболее близкому к среднему уровню рассматриваемых результатов в заданное время для конкретного материала при обычном проведении испытаний.
Повторяемость (
внутрилабораторная) r настоящего метода испытания была установлена в виде соответствующего значения, приведенного в
таблице 3. Два единичных результата испытания, полученных при выполнении нормальной процедуры испытания, расхождение между которыми превышает значение r, приведенное в
таблице 3 (для данного уровня), следует рассматривать как относящиеся к различным, неидентичным наборам проб.
Воспроизводимость (
межлабораторная) R настоящего метода испытания была установлена в виде соответствующего значения, приведенного в
таблице 3. Два единичных результата испытания, полученных в двух различных лабораториях при выполнении нормальной процедуры испытания, расхождение между которыми превышает значение R, приведенное в
таблице 3 (для данного уровня), должны рассматриваться как относящиеся к различным, неидентичным наборам проб.
26.8. Повторяемость (r) и воспроизводимость (R), выраженные в процентах от среднего уровня, применяются так же, как установлено в
26.6 и
26.7 для r и R. В случае использования (r) и (R) расхождение между двумя единичными результатами выражается в процентах от среднеарифметического этих результатов. Как правило, при анализе материалов, присутствующих в низких концентрациях, относительные повторяемость и воспроизводимость имеют высокие значения.
26.9. Систематическая погрешность
В терминологии, относящейся к методам испытаний, систематическая погрешность представляет собой разность между средним значением результата испытания и эталонным (или истинным) значением определяемого параметра. Для настоящего метода испытания не существует эталонных значений, т.к. значение рассматриваемого параметра определяется только данным методом. Поэтому систематическая погрешность не может быть определена.
27. Сущность определения массовой доли масла
(метод D, способ A)
Суммарную массовую долю экстрагируемых веществ в высушенном каучуке определяют в соответствии с
разделами 4 -
11. Массовую долю масла в пробе определяют вычитанием из суммарной массовой доли экстрагируемых веществ поправочной величины, которая является суммой основных экстрагируемых компонентов, каждый из которых определяют независимым методом. Эту разность рассматривают как содержание масла.
Настоящий метод испытания устанавливает процедуру определения массовой доли масла в маслонаполненных полимерах и маточных смесях с техническим углеродом. Метод предназначен для использования при проверке однородности поставляемых партий. Хотя этот метод был разработан для бутадиен-стирольных каучуков эмульсионной полимеризации, его можно использовать для испытаний других полимеров и маточных смесей с техническим углеродом.
Массовую долю масла

, %, вычисляют по формуле

, (5)
где A - масса первоначальной высушенной пробы, г;
I - масса пробы после экстрагирования, г;
B - массовая доля органических кислот, %;
C - массовая доля мыл, %;
D - массовая доля антиоксиданта (антиозонанта), %.
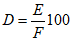
Если массовую долю антиоксиданта (антиозонанта) D определить невозможно, ее вычисляют по формуле

, (6)
где E - номинальное количество антиоксиданта, введенное в каучук, массовая часть (на 100 массовых частей каучука);
F - рецепт маточной смеси: массовая часть = 100 + массовая часть масла + массовая часть технического углерода.
34.1. (
Внутрилабораторная) повторяемость - два результата, полученных одним оператором, не должны рассматриваться как сомнительные, если они различаются не более чем на 0,28%.
Примечание. Хотя повторяемость и воспроизводимость настоящего метода испытания являются удовлетворительными, точность результата зависит от точности определения массовой доли кислоты, мыла и антиоксиданта (антиозонанта).
34.2. Воспроизводимость
Результаты, представленные каждой из двух лабораторий, не должны рассматриваться как сомнительные, если они различаются не более чем на 0,34% (см.
34.1).
34.3. Оценку прецизионности метода испытания проводили, используя экстракт с растворителем H-ITM.
35. Сущность определения массовой доли масла
(метод D, способ B - экспресс-метод)
Суммарную массовую долю экстрагируемых веществ в каучуке определяют экстрагированием пробы массой 1 г в выбранном растворителе, а затем в ацетоне с последующей сушкой каучука, подвергшегося экстракции. Массовую долю масла определяют вычитанием из суммарной массовой доли экстрагированных веществ поправочной величины, которая является суммой основных экстрагируемых компонентов, каждый из которых определяют независимым методом. Эту разность рассматривают как массовую долю масла.
Способ B является альтернативным экспресс-методом определения массовой доли масла в маслонаполненных бутадиен-стирольных полимерах и маточных смесях, наполненных либо одним маслом, либо маслом в сочетании с техническим углеродом. Способ предназначен для использования в качестве ускоренного метода определения суммарной массовой доли экстрагируемых веществ в пробе каучука при определении массовой доли масла в случае, когда другие компоненты каучука могут быть определены или когда используются их обычные средние количества.
Хотя этот способ разрабатывался для эмульсионного бутадиен-стирольного каучука, он может применяться к другим полимерам и маточным смесям с техническим углеродом.
37.1. Требования к аппаратуре по
6.1 -
6.4.
37.2. Термостат с естественной вентиляцией, поддерживающий температуру (130 +/- 3) °C.
Требования к реактивам приведены в
разделе 7.
40.1. Точно взвешивают 1 г полосок высушенного каучука.
40.2. Наливают 150 см3 выбранного растворителя в колбу для экстракции вместимостью 400 см3, после чего в колбу помещают отдельно каждую полоску взвешенного полимера, взбалтывая каждый раз содержимое колбы так, чтобы полоски были смочены растворителем во избежание их слипания.
40.3. Кипятят содержимое колбы на нагретой плитке с обратным холодильником не менее 10 мин (максимальное время кипячения 1 ч). Сливают и удаляют растворитель, промывают пробу 10 см3 свежего растворителя. Снова сливают и удаляют растворитель.
40.4. Добавляют 150 см3 ацетона в колбу и кипятят содержимое колбы с обратным холодильником в течение 15 мин. Сливают и удаляют ацетон.
40.5. Переносят проэкстрагированный каучук на взвешенную тарелочку. Помещают тарелочку в термостат с принудительной циркуляцией и сушат в течение 15 мин или до постоянной массы при температуре (130 +/- 3) °C.
Прецизионность метода D не определяли.
(справочное)
СВЕДЕНИЯ О СООТВЕТСТВИИ ССЫЛОЧНЫХ НАЦИОНАЛЬНЫХ
И МЕЖГОСУДАРСТВЕННЫХ СТАНДАРТОВ МЕЖДУНАРОДНЫМ СТАНДАРТАМ
И СТАНДАРТУ АСТМ, ИСПОЛЬЗОВАННЫМ В КАЧЕСТВЕ ССЫЛОЧНЫХ
В ПРИМЕНЕННОМ МЕЖДУНАРОДНОМ СТАНДАРТЕ
Таблица ДА.1
Обозначение ссылочного национального, межгосударственного стандарта | Степень соответствия | Обозначение и наименование ссылочного стандарта |
| | ИС МЕГАНОРМ: примечание. В официальном тексте документа, видимо, допущена опечатка: имеется в виду ГОСТ Р ИСО 5725-1-2002, а не ГОСТ Р ИСО 5721-1-2002. | |
|
| IDT | ИСО 5725-1:1994 "Точность (правильность и прецизионность) методов и результатов измерений. Часть 1. Основные положения и определения" |
| MOD | МР 76 (1):2006 "Весы неавтоматического действия. Часть 1. Метрологические и технические требования. Испытания" |
| MOD | АСТМ Д 3182-2007 "Стандартные методы испытаний резин. Материалы, оборудование и методики смешения стандартных смесей и приготовления стандартных вулканизованных пластин" |
| - | - |
| MOD | ИСО 1042:1983 "Посуда лабораторная стеклянная. Мерные колбы с одной меткой" <1> |
MOD | ИСО 4788:1980 "Посуда лабораторная стеклянная. Градуированные мерные цилиндры" <2> |
| - | - |
| - | - |
| - | - |
| - | - |
| - | - |
| MOD | ИСО 1773:1976 "Посуда лабораторная стеклянная. Перегонные колбы (узкогорлые)" |
MOD | ИСО 3819:1985 "Посуда лабораторная стеклянная. Стаканы" |
MOD | ИСО 479:1981 "Посуда лабораторная стеклянная. Колбы с коническими пришлифованными соединениями" |
ГОСТ 27109-86 | - | - |
| MOD | ИСО 648:1997 "Посуда лабораторная стеклянная. Пипетки с одной отметкой" |
| MOD | ИСО 385-1:1984 "Посуда лабораторная стеклянная. Бюретки. Часть 1. Требования" |
<1> Заменен на ИСО 1042:1998. |
<2> Заменен на ИСО 4788:2005. |
Примечание. В настоящей таблице использованы следующие условные обозначения степени соответствия стандартов: - IDT - идентичные стандарты; - MOD - модифицированные стандарты. |
[1] Комитет по аналитическим реактивам американского химического общества
(American Chemical Society)
[2] АСТМ Д 1418-2006 Руководство по каучукам и латексам. Номенклатура
(ASTM D 1418-2006) (Practice for rubber and rubber lattices -
Nomenclature)
[3] АСТМ Д 4483-2005 Руководство по оценке точности для стандартных
методов испытаний в производстве каучуков, резин и
технического углерода
(ASTM D 4483-2005) (Practice for evaluating precision for test method
standards in the rubber and carbon black
manufacturing industries).