Главная // Актуальные документы // ГОСТ Р (Государственный стандарт)СПРАВКА
Источник публикации
М.: Стандартинформ, 2014
Примечание к документу
Документ
введен в действие с 1 января 2015 года.
Название документа
"ГОСТ Р МЭК 61675-1-2013. Национальный стандарт Российской Федерации. Устройства визуализации радионуклидные. Характеристики и методы испытаний. Часть 1. Позитронные эмиссионные томографы"
(утв. и введен в действие Приказом Росстандарта от 08.11.2013 N 1535-ст)
"ГОСТ Р МЭК 61675-1-2013. Национальный стандарт Российской Федерации. Устройства визуализации радионуклидные. Характеристики и методы испытаний. Часть 1. Позитронные эмиссионные томографы"
(утв. и введен в действие Приказом Росстандарта от 08.11.2013 N 1535-ст)
Утвержден и введен в действие
по техническому регулированию
и метрологии
от 8 ноября 2013 г. N 1535-ст
НАЦИОНАЛЬНЫЙ СТАНДАРТ РОССИЙСКОЙ ФЕДЕРАЦИИ
УСТРОЙСТВА ВИЗУАЛИЗАЦИИ РАДИОНУКЛИДНЫЕ
ХАРАКТЕРИСТИКИ И МЕТОДЫ ИСПЫТАНИЙ
ЧАСТЬ 1
ПОЗИТРОННЫЕ ЭМИССИОННЫЕ ТОМОГРАФЫ
Radionuclide imaging devices. Characteristics and test
conditions. Part 1. Positron emission tomographs
IEC 61675-1:2008
Radionuclide imaging devices - Characteristics and test
conditions - Part 1: Positron emission tomographs
(IDT)
ГОСТ Р МЭК 61675-1-2013
Дата введения
1 января 2015 года
1. Подготовлен Федеральным государственным бюджетным учреждением "Всероссийский научно-исследовательский и испытательный институт медицинской техники" Федеральной службы по надзору в сфере здравоохранения и социального развития (ФГБУ "ВНИИИМТ" Росздравнадзора) на основе русской версии стандарта, указанного в пункте 4.
2. Внесен Техническим комитетом по стандартизации ТК 411 "Аппараты и оборудование для лучевой диагностики, терапии и дозиметрии".
3. Утвержден и введен в действие
Приказом Федерального агентства по техническому регулированию и метрологии от 08 ноября 2013 г. N 1535-ст.
4. Настоящий стандарт идентичен международному стандарту МЭК 61675-1:2008 "Устройства визуализации радионуклидные. Характеристики и методы испытаний. Часть 1: Позитронные эмиссионные томографы" (IEC 61675-1:2008 "Radionuclide imaging devices - Characteristics and test conditions - Part 1: Positron emission tomographs").
5. Введен впервые.
Правила применения настоящего стандарта установлены в ГОСТ Р 1.0-2012
(раздел 8). Информация об изменениях к настоящему стандарту публикуется в ежегодном (по состоянию на 1 января текущего года) информационном указателе "Национальные стандарты", а официальный текст изменений и поправок - в ежемесячном информационном указателе "Национальные стандарты". В случае пересмотра (замены) или отмены настоящего стандарта соответствующее уведомление будет опубликовано в ближайшем выпуске информационного указателя "Национальные стандарты". Соответствующая информация, уведомление и тексты размещаются также в информационной системе общего пользования - на официальном сайте Федерального агентства по техническому регулированию и метрологии в сети Интернет (gost.ru).
Современное развитие ПОЗИТРОННЫХ ЭМИССИОННЫХ ТОМОГРАФОВ позволяет большинству томографов работать в режиме 3D. Для осуществления этой тенденции настоящий стандарт описывает условия испытаний для получения требуемых характеристик. Это сделано с целью получения 3D-изображений без введения новых фантомов или новых протоколов сбора или обработки информации. Испытания позволят получать более реальные характеристики скоростей счета для изображения всего тела. Измерение ФРАКЦИИ РАССЕЯНИЯ не предусмотрено в описанных в настоящем стандарте испытаниях.
1.1. Область применения
Настоящий стандарт устанавливает термины и методы испытаний для декларирования характеристик ПОЗИТРОННЫХ ЭМИССИОННЫХ ТОМОГРАФОВ. ПОЗИТРОННЫЕ ЭМИССИОННЫЕ ТОМОГРАФЫ предназначены для обнаружения АННИГИЛЯЦИОННОГО ИЗЛУЧЕНИЯ РАДИОНУКЛИДОВ, излучающих позитроны, с помощью ДЕТЕКТИРОВАНИЯ СОВПАДЕНИЙ.
Приведенные в настоящем стандарте методы испытаний выбраны с учетом возможности клинического использования ПОЗИТРОННЫХ ЭМИССИОННЫХ ТОМОГРАФОВ.
Тестовые испытания проводит ИЗГОТОВИТЕЛЬ, позволяя им декларировать характеристики ПОЗИТРОННЫХ ЭМИССИОННЫХ ТОМОГРАФОВ. Спецификация, приведенная в СОПРОВОДИТЕЛЬНЫХ ДОКУМЕНТАХ, должна соответствовать требованиям настоящего стандарта. Настоящий стандарт не предусматривает испытаний, которые будут проведены изготовителем на отдельном томографе.
Не предусмотрены испытания для характеристики однородности реконструированного изображения, т.к. все известные до сих пор методы дают шум на изображении.
1.2. Нормативные ссылки
В настоящем стандарте использована ссылка на следующий международный стандарт:
МЭК/ТО 60788:2004 Изделия медицинские электрические. Словарь (IEC 60788:2004, Medical electrical equipment - Glossary of defined terms).
В настоящем стандарте применены термины по МЭК/ТО 60788, а также следующие термины с соответствующими определениями:
2.1. ТОМОГРАФИЯ
2.1.1. ПОПЕРЕЧНАЯ ТОМОГРАФИЯ (TRANSVERSE TOMOGRAPHY): В ПОПЕРЕЧНОЙ ТОМОГРАФИИ трехмерный объект условно разрезается физическими методами, например, с помощью коллимации на ряд срезов, которые считают двухмерными и независимыми друг от друга. Поперечные ПЛОСКОСТНЫЕ ИЗОБРАЖЕНИЯ перпендикулярны к СИСТЕМНОЙ ОСИ.
2.1.2. ЭМИССИОННАЯ КОМПЬЮТЕРНАЯ ТОМОГРАФИЯ (ЭКТ) [EMISSIONCOMPUTED TOMOGRAPHY (ECT)]: Метод получения изображения для представления пространственного распределения введенных РАДИОНУКЛИДОВ в выделенных двухмерных срезах через объект.
2.1.2.1. ПРОЕКЦИЯ (PROJECTION): Информация о трехмерном объекте, выраженная его двухмерным изображением, или информация о двухмерном объекте в виде его одномерного изображения, полученного путем интегрирования физического свойства, определяющего изображение вдоль направления ПРОЕКЦИОННОГО ЛУЧА.
Примечание. Этот процесс математически описан линейными интегралами в направлении проекции (вдоль ЛИНИИ ОТКЛИКА) и называется преобразованием Радона.
2.1.2.2. ПРОЕКЦИОННЫЙ ЛУЧ (PROJECTION BEAM): Определяет наименьший возможный объем, в котором физическое свойство, определяющее изображение, интегрируется во время процесса измерения. Его форма ограничена ПРОСТРАНСТВЕННЫМ РАЗРЕШЕНИЕМ во всех трех измерениях.
Примечание. ПРОЕКЦИОННЫЙ ЛУЧ в большинстве случаев имеет форму длинного цилиндра или конуса. В ПОЗИТРОННОЙ ЭМИССИОННОЙ ТОМОГРАФИИ это чувствительный объем между двумя детекторными элементами, работающими на совпадение.
2.1.2.3. ПРОЕКЦИОННЫЙ УГОЛ (PROJECTION ANGLE): Угол, на котором ПРОЕКЦИЯ измеряется или изображается.
2.1.2.4. СИНОГРАММА (SINOGRAM): Двухмерное изображение всех одномерных ПРОЕКЦИЙ СРЕЗА ОБЪЕКТА как функция ПРОЕКЦИОННОГО УГЛА. ПРОЕКЦИОННЫЙ УГОЛ изображается по ординате, линейная координата ПРОЕКЦИИ изображается по абсциссе.
2.1.2.5. СРЕЗ ОБЪЕКТА (OBJECT SLICE): СРЕЗ в объекте. Физическое свойство этого среза, определяющее измерительную информацию на томографическом изображении.
2.1.2.6. ПЛОСКОСТЬ ИЗОБРАЖЕНИЯ (IMAGE PLANE): Плоскость, обозначенная по отношению к плоскости СРЕЗА ОБЪЕКТА.
Примечание. Обычно ПЛОСКОСТЬ ИЗОБРАЖЕНИЯ является средней плоскостью соответствующего СРЕЗА ОБЪЕКТА.
2.1.2.7. СИСТЕМНАЯ ОСЬ (SYSTEM AXIS): Ось симметрии, определяемая геометрическими и физическими свойствами системы.
Примечание. Для круглых ПОЗИТРОННЫХ ЭМИССИОННЫХ ТОМОГРАФОВ СИСТЕМНАЯ ОСЬ - это ось через центр кольца детекторов. Для томографов с вращающимися детекторами - ось вращения.
2.1.2.8. ТОМОГРАФИЧЕСКИЙ ОБЪЕМ (TOMOGRAPHIC VOLUME): Расположение всех объемных элементов, которые составляют измеряемые ПРОЕКЦИИ для всех ПРОЕКЦИОННЫХ УГЛОВ.
2.1.2.8.1. ПОПЕРЕЧНОЕ ПОЛЕ ЗРЕНИЯ (TRANSVERSE FIELD OF VIEW): Размеры среза через ТОМОГРАФИЧЕСКИЙ ОБЪЕМ, перпендикулярный к СИСТЕМНОЙ ОСИ. Для круглого ПОПЕРЕЧНОГО ПОЛЯ ЗРЕНИЯ размеры среза определяются его диаметром.
Примечание. Для нецилиндрических ТОМОГРАФИЧЕСКИХ ОБЪЕМОВ ПОПЕРЕЧНОЕ ПОЛЕ ЗРЕНИЯ может зависеть от осевого положения среза.
2.1.2.8.2. АКСИАЛЬНОЕ ПОЛЕ ЗРЕНИЯ (AXIAL FIELD OF VIEW): Размеры среза через ТОМОГРАФИЧЕСКИЙ ОБЪЕМ, параллельного СИСТЕМНОЙ ОСИ и включающего ее. На практике он определяется только своим аксиальным размером, заданной суммой расстояния между центрами наиболее удаленных ПЛОСКОСТЕЙ ИЗОБРАЖЕНИЯ и среднего значения измеренной ШИРИНЫ АКСИАЛЬНОГО СРЕЗА.
2.1.2.8.3. ПОЛНОЕ ПОЛЕ ЗРЕНИЯ (TOTAL FIELD OF VIEW): Размеры (в трех измерениях) ТОМОГРАФИЧЕСКОГО ОБЪЕМА.
2.1.3. ПОЗИТРОННАЯ ЭМИССИОННАЯ ТОМОГРАФИЯ (ПЭТ) [POSITRON EMISSION TOMOGRAPHY (PET)]: ЭМИССИОННАЯ КОМПЬЮТЕРНАЯ ТОМОГРАФИЯ, использующая АННИГИЛЯЦИОННОЕ ИЗЛУЧЕНИЕ позитронно-излучающих РАДИОНУКЛИДОВ путем ОБНАРУЖЕНИЯ СОВПАДЕНИЙ:
2.1.3.1. ПОЗИТРОННЫЙ ЭМИССИОННЫЙ ТОМОГРАФ (POSITRON EMISSION TOMOGRAPH): Томографический аппарат, который регистрирует АННИГИЛЯЦИОННОЕ ИЗЛУЧЕНИЕ позитронно-излучающих РАДИОНУКЛИДОВ путем ОБНАРУЖЕНИЯ СОВПАДЕНИЙ.
2.1.3.2. АННИГИЛЯЦИОННОЕ ИЗЛУЧЕНИЕ (ANNIHILATION RADIATION): Ионизирующее излучение, возникающее, когда частица и ее античастица взаимодействуют и прекращают свое существование.
2.1.3.3. ОБНАРУЖЕНИЕ СОВПАДЕНИЯ (COINCIDENCE DETECTION): Метод проверки обнаружения двумя противоположными детекторами одного и того же фотона одновременно. При этом два фотона объединяются в одно событие.
Примечание. ОБНАРУЖЕНИЕ СОВПАДЕНИЙ между двумя противоположными элементами детектора работает как электронный коллиматор для нахождения соответствующего ПРОЕКЦИОННОГО ЛУЧА или ЛИНИИ ОТКЛИКА (ЛО).
2.1.3.4. ОКНО СОВПАДЕНИЯ (COINCIDENCE WINDOW): Интервал времени, в течение которого два обнаруживаемых фотона рассматриваются как одно событие.
2.1.3.5. ЛИНИЯ ОТКЛИКА (ЛО) (LINE OF RESPONSE (LOR)): Ось ПРОЕКЦИОННОГО ЛУЧА.
Примечание. В ПЭТ это линия, соединяющая центры двух противоположных элементов детектора, работающих на совпадение.
2.1.3.6. ПОЛНЫЕ СОВПАДЕНИЯ (TOTAL COINCIDENCE): Сумма всех обнаруживаемых совпадений.
2.1.3.6.1. ИСТИННОЕ СОВПАДЕНИЕ (TRUE COINCIDENCE): Результат ОБНАРУЖЕНИЯ СОВПАДЕНИЙ двух гамма-квантов, испускаемых при одной и той же позитронной аннигиляции.
2.1.3.6.2. РАССЕЯННОЕ ИСТИННОЕ СОВПАДЕНИЕ (SCATTERED TRUE COINCIDENCE): ИСТИННОЕ СОВПАДЕНИЕ, при котором по крайней мере один участвующий фотон был рассеян перед ОБНАРУЖЕНИЕМ СОВПАДЕНИЙ.
2.1.3.6.3. НЕРАССЕЯННОЕ ИСТИННОЕ СОВПАДЕНИЕ (UNSCATTERED TRUE COINCIDENCE): Разница между ИСТИННЫМИ СОВПАДЕНИЯМИ и РАССЕЯННЫМИ ИСТИННЫМИ СОВПАДЕНИЯМИ.
2.1.3.6.4. СЛУЧАЙНОЕ СОВПАДЕНИЕ (RANDOM COINCIDENCE): Результат ОБНАРУЖЕНИЯ СОВПАДЕНИЙ, при которых оба участвующих фотона возникают из различных позитронных аннигиляций.
2.1.3.7. ЕДИНИЧНАЯ СКОРОСТЬ СЧЕТА (SINGLES RATE): СКОРОСТЬ СЧЕТА, измеренная без ОБНАРУЖЕНИЯ СОВПАДЕНИЙ, но с энергетической дискриминацией.
2.1.4. Реконструкция
2.1.4.1. ДВУХМЕРНАЯ РЕКОНСТРУКЦИЯ (TWO-DIMENSIONAL RECONSTRUCTION): В ДВУХМЕРНОЙ РЕКОНСТРУКЦИИ информация собирается сначала для преобразования в СИНОГРАММЫ, являющиеся информацией ПРОЕКЦИИ поперечных срезов, которые рассматриваются независимо один от другого и перпендикулярны СИСТЕМНОЙ ОСИ. Поэтому каждое событие должно быть обозначено в аксиальном направлении по отношению к поперечному срезу, проходящему через среднюю точку соответствующей ЛИНИИ ОТКЛИКА. Допускается отклонение от перпендикулярности к СИСТЕМНОЙ ОСИ. Затем информация реконструируется методами двухмерного преобразования, т.е. каждый срез реконструируется из соответствующей СИНОГРАММЫ независимо от остальной информации.
Примечание. Это стандартный метод реконструкции ПОЗИТРОННОЙ ЭМИССИОННОЙ ТОМОГРАФИИ, использующий небольшие аксиальные углы сбора информации, т.е. защиту. Для ПОЗИТРОННЫХ ЭМИССИОННЫХ ТОМОГРАФОВ, использующих большие аксиальные углы сбора информации, т.е. без защиты, этот метод также называется "однослойным сбором".
2.1.4.2. ТРЕХМЕРНАЯ РЕКОНСТРУКЦИЯ (THREE-DIMENSIONAL RECONSTRUCTION): В ТРЕХМЕРНОЙ РЕКОНСТРУКЦИИ не требуется, чтобы ЛИНИИ ОТКЛИКА были перпендикулярны к СИСТЕМНОЙ ОСИ. Так ЛИНИЯ ОТКЛИКА может проходить через несколько поперечных срезов.
Следовательно, поперечные срезы не могут быть реконструированы независимо друг от друга. Каждый срез должен быть реконструирован с использованием полного набора трехмерных данных.
2.2. МАТРИЦА ИЗОБРАЖЕНИЯ (IMAGE MATRIX): Предпочтительное расположение МАТРИЧНЫХ ЭЛЕМЕНТОВ - декартовая система координат.
2.2.1. МАТРИЧНЫЙ ЭЛЕМЕНТ (MATRIX ELEMENT): Наименьшая единица МАТРИЦЫ ИЗОБРАЖЕНИЯ, которая обозначает положение и размер по отношению к определенному объемному элементу объема объекта (ВОКСЕЛУ).
2.2.1.1. ПИКСЕЛ (PIXEL): Матричный элемент в двухмерной МАТРИЦЕ ИЗОБРАЖЕНИЯ.
2.2.1.2. ТРИКСЕЛ (TRIXEL): Матричный элемент в трехмерной МАТРИЦЕ ИЗОБРАЖЕНИЯ.
2.2.2. ВОКСЕЛ (VOXEL): Объемный элемент в объекте, который обозначен по отношению к ЭЛЕМЕНТУ МАТРИЦЫ на ИЗОБРАЖЕНИИ МАТРИЦЫ (двухмерном или трехмерном). Размеры ВОКСЕЛА определяются размерами соответствующего МАТРИЧНОГО ЭЛЕМЕНТА с помощью соответствующих масштабных коэффициентов и системным ПРОСТРАНСТВЕННЫМ РАЗРЕШЕНИЕМ по трем координатам.
2.3. ФУНКЦИЯ ТОЧЕЧНОГО РАСПРЕДЕЛЕНИЯ (ФТР) [POINT SPREAD FUNCTION (PSF)]: Сцинтиграфическое изображение ТОЧЕЧНОГО ИСТОЧНИКА.
2.3.1. ФИЗИЧЕСКАЯ ФУНКЦИЯ ТОЧЕЧНОГО РАСПРЕДЕЛЕНИЯ (PHYSICAL POINT SPREAD FUNCTION): Для томографов двухмерная ФУНКЦИЯ ТОЧЕЧНОГО РАСПРЕДЕЛЕНИЯ в плоскостях, перпендикулярных к ПРОЕКЦИОННОМУ ЛУЧУ на определенных расстояниях от детектора.
Примечание. ФИЗИЧЕСКАЯ ФУНКЦИЯ ТОЧЕЧНОГО РАСПРЕДЕЛЕНИЯ характеризует чисто физическое (собственное свойство томографа) получение изображения томографа и не зависит от выбранного образца, реконструкции изображения и процесса обработки изображения. ПРОЕКЦИОННЫЙ ЛУЧ характеризуется суммой всех ФИЗИЧЕСКИХ ФУНКЦИЙ ТОЧЕЧНОГО РАСПРЕДЕЛЕНИЯ как функции расстояния вдоль своей оси.
2.3.2. ОСЕВАЯ ФУНКЦИЯ ТОЧЕЧНОГО РАСПРЕДЕЛЕНИЯ (AXIS POINT SPREAD FUNCTION): Профильная кривая, проходящая через максимум ФИЗИЧЕСКОЙ ФУНКЦИИ ТОЧЕЧНОГО РАСПРЕДЕЛЕНИЯ в плоскости, параллельной СИСТЕМНОЙ ОСИ.
2.3.3. ПОПЕРЕЧНАЯ ФУНКЦИЯ ТОЧЕЧНОГО ПРОСТРАНСТВЕННОГО РАСПРЕДЕЛЕНИЯ (TRANSVERSE POINT SPREAD FUNCTION): Реконструированная двухмерная ФУНКЦИЯ ТОЧЕЧНОГО РАСПРЕДЕЛЕНИЯ в томографической ПЛОСКОСТИ ИЗОБРАЖЕНИЯ.
Примечание. В ТОМОГРАФИИ ПОПЕРЕЧНАЯ ФУНКЦИЯ ТОЧЕЧНОГО РАСПРЕДЕЛЕНИЯ может быть также получена с помощью ЛИНЕЙНОГО ИСТОЧНИКА, расположенного параллельно СИСТЕМНОЙ ОСИ.
2.4. ПРОСТРАНСТВЕННОЕ РАЗРЕШЕНИЕ (SPATIAL RESOLUTION): Способность концентрировать распределение плотности отсчетов на изображении ТОЧЕЧНОГО ИСТОЧНИКА в точку.
2.4.1. ПОПЕРЕЧНОЕ РАЗРЕШЕНИЕ (TRANSVERSE RESOLUTION): ПРОСТРАНСТВЕННОЕ РАЗРЕШЕНИЕ в реконструированной плоскости, перпендикулярной к СИСТЕМНОЙ ОСИ.
2.4.1.1. РАДИАЛЬНОЕ РАЗРЕШЕНИЕ (RADIAL RESOLUTION): ПОПЕРЕЧНОЕ РАЗРЕШЕНИЕ вдоль линии, проходящей через источник и СИСТЕМНУЮ ОСЬ.
2.4.1.2. ТАНГЕНЦИАЛЬНОЕ РАЗРЕШЕНИЕ (TANGENTIAL RESOLUTION): ПОПЕРЕЧНОЕ РАЗРЕШЕНИЕ в направлении, перпендикулярном к направлению РАДИАЛЬНОГО РАЗРЕШЕНИЯ.
2.4.2. АКСИАЛЬНОЕ РАЗРЕШЕНИЕ (AXIAL RESOLUTION): Для томографов - ПРОСТРАНСТВЕННОЕ РАЗРЕШЕНИЕ вдоль линии, параллельной СИСТЕМНОЙ ОСИ.
2.4.3. АКСИАЛЬНАЯ ШИРИНА СЛОЯ (AXIAL SLICE WIDTH): Для томографов - ширина ФУНКЦИИ АКСИАЛЬНОГО ТОЧЕЧНОГО РАСПРЕДЕЛЕНИЯ.
2.4.4. ЭКВИВАЛЕНТНАЯ ШИРИНА (ЭШ) (EQUIVALENT WIDTH (EW)): Ширина прямоугольника, имеющего ту же площадь и высоту, что и функция отклика, например ФУНКЦИЯ ТОЧЕЧНОГО РАСПРЕДЕЛЕНИЯ.
2.4.5. ПОЛНАЯ ШИРИНА НА УРОВНЕ ПОЛОВИНЫ МАКСИМУМА (ПШПМ) [FULL WIDTH AT HALF MAXIMUM (FWHM)].
2.5. КОЭФФИЦИЕНТ ВОССТАНОВЛЕНИЯ (RECOVERY COEFFICIENT): Измеренная на изображении концентрация АКТИВНОСТИ в объеме с АКТИВНОСТЬЮ, деленная на истинную концентрацию АКТИВНОСТИ в этом объеме, без учета коэффициентов калибровки АКТИВНОСТИ.
Примечание. Для фактического измерения истинная концентрация АКТИВНОСТИ заменяется измеренной концентрацией АКТИВНОСТИ в большом объеме.
2.6. ТОМОГРАФИЧЕСКАЯ ЧУВСТВИТЕЛЬНОСТЬ
2.6.1. ЧУВСТВИТЕЛЬНОСТЬ СЛОЯ (SLICE SENSITIVITY): Отношение СКОРОСТИ СЧЕТА, измеренной на СИНОГРАММЕ, к концентрации АКТИВНОСТИ в фантоме.
Примечание. В ПЭТ измеряемые события корректируются на рассеяние вычитанием ФРАКЦИИ РАССЕЯНИЯ.
2.6.1.1. НОРМАЛИЗОВАННАЯ ЧУВСТВИТЕЛЬНОСТЬ СРЕЗА (NORMALIZED SLICE SENSITIVITY): ЧУВСТВИТЕЛЬНОСТЬ СРЕЗА, деленная на АКСИАЛЬНУЮ ШИРИНУ СРЕЗА (ЭШ) (для этого слоя).
2.6.2. ОБЪЕМНАЯ ЧУВСТВИТЕЛЬНОСТЬ (VOLUME SENSITIVITY): Сумма отдельных ЧУВСТВИТЕЛЬНОСТЕЙ СРЕЗА.
2.7. ХАРАКТЕРИСТИКА СКОРОСТИ СЧЕТА (COUNT RATE CHARACTERISTIC)
2.7.1. ПОТЕРЯ СЧЕТА (COUNT LOSS): Разность между измеренной СКОРОСТЬЮ СЧЕТА и ИСТИННОЙ СКОРОСТЬЮ СЧЕТА, которая определяется ограничением РАЗРЕШАЮЩЕГО ВРЕМЕНИ прибора.
2.7.2. СКОРОСТЬ СЧЕТА (COUNT RATE): Число отсчетов за единицу времени.
2.7.3. ИСТИННАЯ СКОРОСТЬ СЧЕТА (TRUE COUNT RATE).
2.7.4. АДРЕСНОЕ НАКОПЛЕНИЕ (ADDRESS PILE UP): Для приборов с получением изображения - расчет ложного адреса события, которое проходит через ОКНО ИМПУЛЬСНОГО АМПЛИТУДНОГО АНАЛИЗАТОРА, но формируется из двух или более событий благодаря ЭФФЕКТУ НАКОПЛЕНИЯ.
2.7.4.1. ЭФФЕКТ НАКОПЛЕНИЯ (PILE UP EFFECT): Ложное измерение амплитуды импульса из-за поглощения двух или более гамма-квантов, достигающих радиационного детектора в пределах РАЗРЕШАЮЩЕГО ВРЕМЕНИ.
2.8. ФРАКЦИЯ РАССЕЯНИЯ (ФР) (SCATTER FRACTION (SF)): Отношение РАССЕЯННЫХ ИСТИННЫХ СОВПАДЕНИЙ к сумме РАССЕЯННЫХ И НЕРАССЕЯННЫХ ИСТИННЫХ СОВПАДЕНИЙ для данного экспериментального исследования.
2.9. ТОЧЕЧНЫЙ ИСТОЧНИК (POINT SOURCE): РАДИОАКТИВНЫЙ ИСТОЧНИК, аппроксимирующий бета-функцию по всем трем координатам.
2.10. ЛИНЕЙНЫЙ ИСТОЧНИК (LINE SOURCE): Прямой РАДИОАКТИВНЫЙ ИСТОЧНИК, аппроксимирующий бета-функцию по двум координатам и остающийся постоянным по третьей координате.
Томограф должен быть для всех измерений отрегулирован в соответствии со своим нормальным режимом работы, т.е. не должен быть отрегулирован специально для измерения отдельных параметров. Если томограф предназначен для работы в различных режимах, например с различными осевыми углами, в режиме сбора информации с защитой или без, с двухмерной или трехмерной реконструкцией, отчет о результатах испытаний следует приводить дополнительно. Томографический режим (т.е. энергетические пороги, аксиальный угол сбора информации, алгоритм реконструкции) должен быть выбран в соответствии с рекомендациями изготовителя и четко обозначен. Если какое-либо испытание не может быть проведено в соответствии с требованием настоящего стандарта, то указывают причину для отступления от настоящего стандарта и условия, при которых должно быть проведено это испытание.
Фантомы для испытаний должны быть центрированы в пределах АКСИАЛЬНОГО ПОЛЯ ЗРЕНИЯ томографа, если не определены другие условия.
Примечание. Для томографов с АКСИАЛЬНЫМ ПОЛЕМ ЗРЕНИЯ более 16,5 см эта центрация позволит провести оценку только для центральной части. Однако если фантомы были смещены аксиально по оси для того, чтобы покрыть все ОСЕВОЕ ПОЛЕ ЗРЕНИЯ, то могут быть получены ложные результаты для центральных плоскостей в случае, если аксиальный угол сбора информации детекторов не полностью покрывается АКТИВНОСТЬЮ.
3.1. ПРОСТРАНСТВЕННОЕ РАЗРЕШЕНИЕ
3.1.1. Общая часть
ПРОСТРАНСТВЕННОЕ РАЗРЕШЕНИЕ частично определяет способность томографа воспроизводить пространственное распределение радиоиндикатора в объекте на реконструированном изображении. Измерения проводят при получении изображения ТОЧЕЧНОГО (ЛИНЕЙНОГО) ИСТОЧНИКА в воздухе и реконструировании изображения с использованием тонкой фильтрации. Хотя это не соответствует условиям исследования пациента, когда происходит рассеяние в тканях и ограниченная статистика требует использования сглаживающего фильтра при реконструкции изображения, измеряемое ПРОСТРАНСТВЕННОЕ РАЗРЕШЕНИЕ обеспечивает наилучшее сравнение между томографами, демонстрируя достигнутое качество исполнения.
3.1.2. Цель
Цель настоящего измерения - характеристика способности томографа распознать малые объекты определением ширины реконструированных ПОПЕРЕЧНЫХ ФУНКЦИЙ ТОЧЕЧНОГО РАСПРЕДЕЛЕНИЯ радиоактивных ТОЧЕЧНЫХ ИСТОЧНИКОВ или протяженных ЛИНЕЙНЫХ ИСТОЧНИКОВ, расположенных перпендикулярно к направлению измерения. Ширину пространственной функции измеряют ПОЛНОЙ ШИРИНОЙ на ПОЛУВЫСОТЕ (ПШПМ) и ЭКВИВАЛЕНТОМ ШИРИНЫ (ЭШ).
Для того чтобы определить, достаточно ли хорошо объекты могут воспроизводиться в аксиальном направлении, используют АКСИАЛЬНУЮ ШИРИНУ СРЕЗА (в основном относящуюся к толщине среза). Она измеряется с помощью ТОЧЕЧНОГО ИСТОЧНИКА, аксиально перемещаемого на небольшие расстояния через томографическое ПОПЕРЕЧНОЕ ПОЛЕ ЗРЕНИЯ, и характеризуется ЭШ и ПШПМ АКСИАЛЬНОЙ ФУНКЦИИ РАСПРЕДЕЛЕНИЯ ТОЧЕЧНОГО ИСТОЧНИКА для каждого отдельного среза. АКСИАЛЬНОЕ РАЗРЕШЕНИЕ определяется для томографов с достаточно хорошей аксиальной статистикой (объемные детекторы) и может быть измерено с помощью стационарного ТОЧЕЧНОГО ИСТОЧНИКА. Для этих систем АКСИАЛЬНОЕ РАЗРЕШЕНИЕ (ЭШ и ПШПМ) эквивалентно ШИРИНЕ АКСИАЛЬНОГО СЛОЯ. Эти системы характеризуются тем, что АКСИАЛЬНАЯ ФУНКЦИЯ ТОЧЕЧНОГО ПРОСТРАНСТВЕННОГО РАСПРЕДЕЛЕНИЯ стационарного ТОЧЕЧНОГО ИСТОЧНИКА не должна изменяться, если положение источника изменяется в аксиальном направлении на половине аксиального расстояния.
3.1.3. Метод
Для всех систем ПРОСТРАНСТВЕННОЕ РАЗРЕШЕНИЕ должно быть измерено в поперечной ПЛОСКОСТИ ИЗОБРАЖЕНИЯ в двух направлениях (радиальном и тангенциальном). Кроме того, для этих систем, имеющих достаточно хорошую аксиальную статистику, также должно быть измерено АКСИАЛЬНОЕ РАЗРЕШЕНИЕ.
ПОПЕРЕЧНОЕ ПОЛЕ ВИДЕНИЯ и размер МАТРИЦЫ ИЗОБРАЖЕНИЯ определяют размер ПИКСЕЛА в поперечной ПЛОСКОСТИ ИЗОБРАЖЕНИЯ. Для того чтобы точно измерить ширину пространственной функции распределения, ее ПШПМ должна иметь протяженность не менее десяти ПИКСЕЛОВ. Типичное изображение при исследовании мозга, однако, требует, чтобы ПОПЕРЕЧНОЕ ПОЛЕ ВИДЕНИЯ было 260 мм, которое вместе с матрицей 128 x 128 и ПРОСТРАНСТВЕННЫМ РАЗРЕШЕНИЕМ - 6 мм дает на ПШПМ значение погрешности только три ПИКСЕЛА. Ширина пространственной функции распределения может быть неправильно измерена, если ПШПМ занимает менее десяти ПИКСЕЛОВ. Поэтому, если возможно, размер ПИКСЕЛА должен быть равен приблизительно одной десятой наблюдаемой ПШПМ во время реконструкции и индицироваться как дополнительная информация для измерения ПОПЕРЕЧНОГО РАЗРЕШЕНИЯ. Для систем с объемным изображением размеры ТРИКСЕЛА как в поперечном, так и в аксиальном направлениях должны быть близки к одной десятой наблюдаемой ПШПМ и индицироваться как дополнительная информация для измерения ПРОСТРАНСТВЕННОГО РАЗРЕШЕНИЯ. Для всех систем ШИРИНУ АКСИАЛЬНОГО СРЕЗА измеряют пошаговым перемещением источника на небольшие расстояния для получения соответствующей пространственной функции распределения. Для измерения АКСИАЛЬНОЙ ШИРИНЫ СРЕЗА размер шага должен быть близок к одной десятой наблюдаемого ЭШ. Предполагается, что движение стола для пациента, контролируемое компьютером, следует использовать для точного позиционирования РАДИОАКТИВНОГО ИСТОЧНИКА.
3.1.3.1. РАДИОНУКЛИД
Используемый для измерений РАДИОНУКЛИД 18F должен иметь такую активность, при которой процент ПРОСЧЕТОВ будет менее 5% и скорость счета СЛУЧАЙНЫХ СОВПАДЕНИЙ - менее 5% ОБЩЕЙ скорости счета СОВПАДЕНИЙ.
3.1.3.2. РАСПРЕДЕЛЕНИЕ РАДИОАКТИВНОГО ИСТОЧНИКА
ДОЛЖНЫ быть использованы ТОЧЕЧНЫЕ И ЛИНЕЙНЫЕ ИСТОЧНИКИ, как определено в
2.9.
3.1.3.2.1. ПОПЕРЕЧНОЕ РАЗРЕШЕНИЕ
В томографах следует использовать для измерения ПОПЕРЕЧНОГО РАЗРЕШЕНИЯ ЛИНЕЙНЫЕ ИСТОЧНИКИ, подвешенные в воздухе для уменьшения рассеяния. Источники должны быть параллельны длинной оси томографа и расположены в поперечном поле видения по радиусам r = 10 мм, 50 мм, 10 мм, 150 мм вдоль осей декартовых координат. Последнее положение источника должно быть не далее 20 мм от края ПОПЕРЕЧНОГО ПОЛЯ ЗРЕНИЯ и должно фиксироваться. В каждом из этих положений линейного источника проводят по два измерения ПОПЕРЕЧНОГО РАЗРЕШЕНИЯ, которые должны различаться по радиальному и тангенциальному направлениям.
Примечание. ПРОСТРАНСТВЕННОЕ РАЗРЕШЕНИЕ при r = 0 может иметь искажения из-за статистики, поэтому измерение ПРОСТРАНСТВЕННОГО РАЗРЕШЕНИЯ проводится в положении линейного источника на радиусе r = 10 мм.
3.1.3.2.2. АКСИАЛЬНАЯ ШИРИНА СЛОЯ
АКСИАЛЬНАЯ ФУНКЦИЯ ПРОСТРАНСТВЕННОГО РАСПРЕДЕЛЕНИЯ ТОЧЕЧНОГО ИСТОЧНИКА для ТОЧЕЧНЫХ ИСТОЧНИКОВ, расположенных в воздухе, должна быть измерена для всех систем. ТОЧЕЧНЫЕ ИСТОЧНИКИ передвигают небольшими шагами вдоль аксиального направления по всей длине томографа при радиальных положениях r = 0, r = 50 мм, r = 100 мм и r = 50 мм. Последнее положение должно быть не далее чем в 20 мм от края и ПОПЕРЕЧНОГО ПОЛЯ ЗРЕНИЯ, а также должно фиксироваться. Источник передвигают в аксиальном направлении шагами, равными одной десятой наблюдаемой ЭШ аксиальной функции пространственного распределения. Для каждого радиального положения измеренные значения следует корректировать на радиоактивный распад. Это измерение не применяется при ТРЕХМЕРНОЙ РЕКОНСТРУКЦИИ.
3.1.3.2.3. АКСИАЛЬНОЕ РАЗРЕШЕНИЕ
Для систем, имеющих аксиальную выборку по крайней мере в три раза меньшую, чем ПШПМ АКСИАЛЬНОЙ ФУНКЦИИ ПРОСТРАНСТВЕННОГО ТОЧЕЧНОГО РАСПРЕДЕЛЕНИЯ, измерение АКСИАЛЬНОГО РАЗРЕШЕНИЯ может быть проведено с помощью стационарных ТОЧЕЧНЫХ ИСТОЧНИКОВ. ТОЧЕЧНЫЕ ИСТОЧНИКИ, подвешенные в воздухе, располагают через интервалы 50 мм вдоль оси, начиная от центра, до расстояния, которое зависит от ПОПЕРЕЧНОГО ПОЛЯ ЗРЕНИЯ, как описано при измерениях ШИРИНЫ АКСИАЛЬНОГО СЛОЯ (см.
3.1.3.2.2). Каждый ТОЧЕЧНЫЙ ИСТОЧНИК следует изображать на оси с интервалами 20 мм, начиная от центра томографа и до положения 10 мм от края АКСИАЛЬНОГО ПОЛЯ ЗРЕНИЯ.
3.1.3.3. СБОР ИНФОРМАЦИИ
Информация должна быть собрана для всех источников во всех положениях, указанных выше, либо от единичного источника, либо от группы источников, чтобы уменьшить время на сбор информации. Не менее 50 000 отсчетов должно быть собрано в каждой функции отклика.
3.1.3.4. ПРОЦЕСС ОБРАБОТКИ ИНФОРМАЦИИ
Для всей информации о ПРОСТРАНСТВЕННОМ РАЗРЕШЕНИИ следует использовать реконструкцию информации, полученной от ПРОЕКЦИИ, использующей тонкий фильтр с отсечкой на частоте Найквиста.
РАДИАЛЬНОЕ И ТАНГЕНЦИАЛЬНОЕ РАЗРЕШЕНИЕ должны быть определены получением одномерных функций отклика, которые образуются с помощью профилей ПОПЕРЕЧНОЙ ПРОСТРАНСТВЕННОЙ ФУНКЦИИ ТОЧЕЧНОГО РАСПРЕДЕЛЕНИЯ в радиальном и тангенциальном направлениях, проходящих через максимум распределения.
АКСИАЛЬНОЕ РАЗРЕШЕНИЕ при измерениях с ТОЧЕЧНЫМ ИСТОЧНИКОМ определяют из одномерной функции пространственного отклика (АКСИАЛЬНЫЕ ФУНКЦИИ ПРОСТРАНСТВЕННОГО ТОЧЕЧНОГО РАСПРЕДЕЛЕНИЯ), которые получают из профилей, проходящих через объемное изображение в аксиальном направлении и через максимум распределения в срезе, самом близком к источнику.
ШИРИНА АКСИАЛЬНОГО СЛОЯ определяется образованием одномерных функций отклика (АКСИАЛЬНЫЕ ФУНКЦИИ ПРОСТРАНСТВЕННОГО ТОЧЕЧНОГО РАСПРЕДЕЛЕНИЯ), которые образуются суммированием отсчетов в срезе при каждом аксиальном положении каждого радиально расположенного источника.
Каждую ПШПМ определяют линейной интерполяцией между соседними ПИКСЕЛАМИ на половине максимального значения ПИКСЕЛА, которое является максимумом функции отклика (см.
рисунок 11). Значения ПИКСЕЛА должны быть преобразованы в миллиметры умножением на соответствующий размер ПИКСЕЛА.
Каждый ЭКВИВАЛЕНТ ШИРИНЫ следует измерять из соответствующей функции отклика. ЭШ рассчитывают по формуле:

, (1)
где Ci - сумма счетов на профиле между пределами, обозначенными 1/20 Cm на каждой стороне от максимума;
Cm - максимальное значение ПИКСЕЛА;
PW - ширина ПИКСЕЛА (или осевое приращение в случае АКСИАЛЬНОЙ ШИРИНЫ СРЕЗА), мм
(рисунок 12).
РАДИАЛЬНЫЕ И ТАНГЕНЦИАЛЬНЫЕ РАЗРЕШЕНИЯ (ПШПМ и ЭШ) для каждого радиуса, усредненные по всем слоям, должны быть рассчитаны и представлены как значения ПОПЕРЕЧНОГО РАЗРЕШЕНИЯ. Должна быть представлена ШИРИНА АКСИАЛЬНОГО СРЕЗА (ЭШ и ПШПМ) для каждого радиуса, усредненная для всех слоев каждого типа (т.е. нечетных, четных). Также должны быть представлены поперечные размеры ПИКСЕЛА и значение аксиального шага.
Для систем с измерением АКСИАЛЬНОГО РАЗРЕШЕНИЯ должно быть представлено АКСИАЛЬНОЕ РАЗРЕШЕНИЕ (ПШПМ и ЭШ), усредненное по всем слоям. Для этих систем также должен быть указан аксиальный размер ПИКСЕЛА в мм.
Для систем, использующих ТРЕХМЕРНУЮ РЕКОНСТРУКЦИЮ, указанная выше информация о РАЗРЕШЕНИИ не должна усредняться. Должны быть представлены графики ПОПЕРЕЧНОГО И АКСИАЛЬНОГО РАЗРЕШЕНИЯ, показывающие значения РАЗРЕШЕНИЯ (РАДИАЛЬНОГО, ТАНГЕНЦИАЛЬНОГО и АКСИАЛЬНОГО) на каждом радиусе как функцию числа слоев.
3.2. КОЭФФИЦИЕНТ ВОССТАНОВЛЕНИЯ
3.2.1. Общая часть
Конечное разрешение томографа приводит к тому, что скорости счета, соответствующие изображению, регистрируются за границами объекта. Этот эффект становится более значительным, если размер объекта уменьшается. КОЭФФИЦИЕНТ ВОССТАНОВЛЕНИЯ обеспечивает оценку способности томографа представлять количественно концентрацию АКТИВНОСТИ как функцию размера объекта.
3.2.2. Цель
Целью следующих испытаний является количественное определение уменьшения концентрации радиоактивного вещества в области интереса (РОИ) изображения сферических источников разных диаметров.
Ряд полых шаров, наполненных радиоактивным базовым раствором
18F, размещают в фантоме головы, наполненном водой (см.
рисунки 1 и
4), расположенном в центре ПОПЕРЕЧНОГО ПОЛЯ ЗРЕНИЯ. Фантом должен быть закреплен без использования дополнительного ослабляющего материала.
Активность двух проб, взятых из радиоактивного раствора, регистрируют колодезным счетчиком. Шары располагают компланарно.
Для дискретных кольцевых систем, использующих ДВУХМЕРНУЮ РЕКОНСТРУКЦИЮ, некоторые измерения должны быть проведены с шарами, расположенными в центре каждого представленного типа среза в зависимости от различного положения кольца (т.е. прямой или перекрестный, нечетный или четный срезы). Измерения должны быть приведены на половине расстояния между слоями для того, чтобы, помимо наилучшего, обнаружить наихудший случай восстановления. Измерения должны быть проведены как можно ближе к центру оси томографа.
Для систем, использующих ТРЕХМЕРНУЮ РЕКОНСТРУКЦИЮ, измерения должны быть проведены в центре оси томографа и на половине расстояния между центром оси и краем АКСИАЛЬНОГО ПОЛЯ ЗРЕНИЯ.
После того как информация будет собрана, шары вынимают и цилиндр наполняют однородным раствором 18F, из которого отбирают две пробы для измерения активности на колодезном счетчике.
3.2.4. Сбор информации
Сбор информации должен проводиться при малых СКОРОСТЯХ СЧЕТА так, чтобы ПРОСЧЕТЫ составляли менее 10%, скорость счета СЛУЧАЙНЫХ СОВПАДЕНИЙ была менее 10% ОБЩЕЙ скорости счета СОВПАДЕНИЙ.
Число отсчетов должно быть собрано так, чтобы влияние статистических отклонений на результат было незначительным. Таким образом, для среза, в котором находятся шары с радиоактивностью, должно быть собрано не менее 2 000 000 отсчетов. СКОРОСТИ СЧЕТА и время сканирования должны быть зафиксированы.
3.2.5. Обработка и анализ информации
Реконструкция должна быть проведена с использованием тонкого фильтра с отсечкой фона на частоте Найквиста и всех используемых методов коррекции. Коррекцию ЗАТУХАНИЯ следует рассчитывать аналитически. Должен быть также указан используемый коэффициент затухания и метод коррекции рассеяния. Диаметр круглого РОИ, по возможности, должен быть близким к ПШПМ в соответствии с
3.1.3.2.1 и должен располагаться в центре изображения каждого шара. Точный диаметр РОИ необходимо указать. Большое РОИ (диаметр - 150 мм) должен быть расположен в центре изображения однородного цилиндра. Расчет КОЭФФИЦИЕНТА ВОССТАНОВЛЕНИЯ для каждого шара RC
si вычисляют по формуле:

, (2)
где Csi - отсчеты/пиксел/с для шара в области РОИ;
SMs - отсчеты/с/см3 (шары с базовым раствором);
Cu - отсчеты/пиксел/с в области РОИ (фантом головы);
SMu - отсчеты/с/см3 в образце (фантом головы);
Cu/SMu - коэффициент калибровки для большого образцового объекта.
Необходимо провести коррекцию на мертвое время и влияние объема образца при измерении в колодезном счетчике. Для получения кривых восстановления строятся графики зависимости RCsi от диаметров шаров.
В отчете следует представить графики зависимости коэффициентов восстановления для каждого осевого положения по
3.2.3. Должен быть четко описан используемый метод коррекции рассеяния, а также коэффициент затухания.
3.3. ТОМОГРАФИЧЕСКАЯ ЧУВСТВИТЕЛЬНОСТЬ
3.3.1. Общая часть
ТОМОГРАФИЧЕСКАЯ ЧУВСТВИТЕЛЬНОСТЬ является параметром, характеризующим скорость счета, при которой совпадающие события обнаруживаются при наличии РАДИОАКТИВНОГО ИСТОЧНИКА с предельно малой АКТИВНОСТЬЮ, при которой ПРОСЧЕТЫ и СЛУЧАЙНЫЕ СОВПАДЕНИЯ незначительны. Измеряемая скорость счета событий с ИСТИННЫМИ СОВПАДЕНИЯМИ для конкретного распределения РАДИОАКТИВНОГО ИСТОЧНИКА зависит от многих факторов, включая материал детектора, размер и плотность упаковки, диаметр кольца томографа, аксиальное окно сбора информации и геометрию защиты, ОСЛАБЛЕНИЕ, рассеяние, мертвое время и энергетические пороги.
3.3.2. Цель
Целью настоящего измерения является определение скорости счета ИСТИННЫХ СОВПАДЕНИЙ на единицу концентрации активности в стандартном объемном источнике, т.е. в цилиндрическом фантоме заданных размеров.
3.3.3. Метод
Проверка ТОМОГРАФИЧЕСКОЙ ЧУВСТВИТЕЛЬНОСТИ проводится в объеме радиоактивного раствора известной концентрации АКТИВНОСТИ на ПОЛНОМ ПОЛЕ ЗРЕНИЯ ПОЗИТРОННО-ЭМИССИОННОГО ТОМОГРАФА определением значений результирующей СКОРОСТИ СЧЕТА. Системную чувствительность рассчитывают из этих значений.
Результат проверки зависит от точного измерения радиоактивности в дозкалибраторе или колодезном счетчике. Трудно провести абсолютную калибровку таких приборов с погрешностью менее 10%. Если требуется большая точность, то должны быть использованы образцовые источники с позитронными излучателями.
3.3.3.1. РАДИОНУКЛИД
Для измерений используют РАДИОНУКЛИД 18F. АКТИВНОСТЬ должна быть такой, чтобы ПРОСЧЕТЫ были менее 2%, а скорость счета СЛУЧАЙНЫХ СОВПАДЕНИЙ - менее 2% ОБЩЕЙ скорости счета СОВПАДЕНИЙ.
3.3.3.2. РАСПРЕДЕЛЕНИЕ РАДИОАКТИВНОГО ИСТОЧНИКА
Фантом головы (см.
рисунок 1) должен быть наполнен однородным раствором с измеренной предварительно концентрацией АКТИВНОСТИ. Фантом без использования дополнительного материала, ослабляющего излучение, должен быть центрирован по продольной и поперечной оси ОБЩЕГО ПОЛЯ ЗРЕНИЯ.
3.3.3.3. СБОР ИНФОРМАЦИИ
Каждое событие совпадения, обнаруживаемое двумя детекторами, должно учитываться только один раз. Информацию следует собирать в СИНОГРАММЫ. Все события следует располагать в поперечном слое, проходящем через середину соответствующей ЛИНИИ ОТКЛИКА.
Должно быть собрано не менее 200 000 отсчетов для каждого среза в пределах зоны менее АКСИАЛЬНОГО ПОЛЯ ЗРЕНИЯ или в пределах центральной части томографа диаметром 16,5 см в месте расположения фантома.
3.3.3.4. ОБРАБОТКА ИНФОРМАЦИИ
Концентрацию АКТИВНОСТИ в фантоме следует корректировать на распад для определения средней концентрации АКТИВНОСТИ aср во время сбора информации, которую определяют по формуле

, (3)
где V - объем фантома;
Acal - "позитронная активность", измеренная за время T;
T0 - время начала сбора информации;
T1/2 - период полураспада РАДИОНУКЛИДА;
Tсб - время сбора информации.
В преобразовании этих данных нет необходимости. Не требуется также коррекция для нормализации детекторов, ПРОСЧЕТОВ, рассеяния и ОСЛАБЛЕНИЯ. Информацию следует откорректировать для СЛУЧАЙНЫХ СОВПАДЕНИЙ.
3.3.4. Анализ
Общее число отсчетов Ci,tot,120мм на каждый срез i вычисляют по сумме всех ПИКСЕЛОВ на соответствующей СИНОГРАММЕ в пределах радиуса 120 мм. Чувствительность среза Si для нерассеянных событий вычисляют по формуле

, (4)
где SF
i - соответствующая ФРАКЦИЯ РАССЕЯНИЯ (см.
3.6);
Tсб - время сбора информации;
aср - средняя концентрация АКТИВНОСТИ.
НОРМАЛИЗОВАННУЮ ЧУВСТВИТЕЛЬНОСТЬ СЛОЯ nSi для каждого слоя рассчитывают по формуле

, (5)
где EW
a,i - АКСИАЛЬНАЯ ШИРИНА СРЕЗА для среза i (см.
3.1.4).
Примечание. НОРМАЛИЗОВАННУЮ ЧУВСТВИТЕЛЬНОСТЬ СЛОЯ используют для сравнения томографов с различной ШИРИНОЙ АКСИАЛЬНОГО СЛОЯ.
ОБЪЕМНАЯ ЧУВСТВИТЕЛЬНОСТЬ Sобщ представляет собой сумму значений чувствительностей Si для всех срезов в пределах центральной части 16,5 см или АКСИАЛЬНОГО ПОЛЯ ЗРЕНИЯ томографа (выбирают, что меньше).
Примечание. Если АКСИАЛЬНОЕ ПОЛЕ ЗРЕНИЯ более 16,5 см, ОБЪЕМНАЯ ЧУВСТВИТЕЛЬНОСТЬ относится только к центральной части томографа.
Для каждого среза i заносят в таблицу вычислений значения Si и nSi. Также фиксируют объемную чувствительность Sобщ.
3.4. Однородность
Не рассматривают методы измерения однородности реконструированных изображений, т.к. все известные методы дают шум на изображении.
3.5. ХАРАКТЕРИСТИКА СКОРОСТИ СЧЕТА
3.5.1. Общая часть
Скорость счета ПЭТ зависит от пространственного распределения АКТИВНОСТИ и рассеивающих материалов, учитывающих различные условия рассеяния (см.
3.5.3.1). ЗАВИСИМОСТЬ СКОРОСТИ СЧЕТА от СКОРОСТИ СЧЕТА ИСТИННЫХ СОВПАДЕНИЙ в большой степени зависит от отношения ИСТИННЫХ СОВПАДЕНИЙ к ЕДИНИЧНЫМ и ХАРАКТЕРИСТИКИ СКОРОСТИ СЧЕТА ЕДИНИЧНЫХ событий и, следовательно, от условий проведения измерений, учитывающих различные клинические ситуации. Кроме того, СКОРОСТЬ СЧЕТА в значительной степени определяется числом СЛУЧАЙНЫХ СОВПАДЕНИЙ и точностью вычитания этих событий из общего числа событий.
Примечание. Т.к. СКОРОСТЬ СЧЕТА ИСТИННЫХ СОВПАДЕНИЙ включает в себя рассеяние, то соответствующую ФРАКЦИЮ РАССЕЯНИЯ учитывают при сравнении томографов различной конструкции.
3.5.2. Цель
Описанная в настоящем пункте процедура позволяет оценить отклонения от линейной зависимости СКОРОСТИ СЧЕТА ИСТИННЫХ СОВПАДЕНИЙ и АКТИВНОСТИ, вызываемой ПРОСЧЕТАМИ, и проанализировать искажения изображений при высоких скоростях счета, особенно тех, которые приводят к пространственному смещению событий вследствие адресного накопления. Т.к. современные ПЭТ-томографы работают со схемами коррекции ПРОСЧЕТОВ, необходимо проверять точность этих алгоритмов коррекции.
Проверка СКОРОСТИ СЧЕТА ПЭТ означает:
a) определение отношения между измеренными ИСТИННЫМИ СОВПАДЕНИЯМИ (СУММА НЕРАССЕЯННЫХ и РАССЕЯННЫХ ИСТИННЫХ СОВПАДЕНИЙ) и АКТИВНОСТЬЮ, т.е. ХАРАКТЕРИСТИКА СКОРОСТИ СЧЕТА в зависимости от СКОРОСТИ СЧЕТА ИСТИННЫХ СОВПАДЕНИЙ;
b) определение ошибок адреса, вызываемых АДРЕСНЫМ НАКОПЛЕНИЕМ;
c) оценку точности алгоритма коррекции ПРОСЧЕТОВ.
3.5.3. Метод
В специализированных томографах для исследования мозга применяются только условия рассеяния по
3.5.3.1.1, в то время как для других томографов - условия рассеяния по
3.5.3.1.1 -
3.5.3.1.3. Для всех испытаний применяют единственную коррекцию - вычитание множественных и СЛУЧАЙНЫХ СОВПАДЕНИЙ (для расчета ИСТИННЫХ СОВПАДЕНИЙ). Для ПРОСЧЕТОВ, ОСЛАБЛЕНИЯ ИЗЛУЧЕНИЯ и рассеяния (если нет каких-либо других указаний) коррекцию не проводят. АКТИВНОСТЬ в основном определяют как суммарную активность в фантоме по
3.5.3.1. Т.к. изменение значения АКТИВНОСТИ происходит обычно вследствие радиоактивного распада, особые требования должны быть предъявлены к радиохимической чистоте используемого раствора.
Для условий рассеяния, моделируемых в
3.5.3.1.3, суммарная АКТИВНОСТЬ - это АКТИВНОСТЬ в фантоме тела.
3.5.3.1. РАСПРЕДЕЛЕНИЕ РАДИОАКТИВНОГО ИСТОЧНИКА
Для того чтобы описать различные условия рассеяния, используют три различные экспериментальные установки.
3.5.3.1.1. ИЗОБРАЖЕНИЕ ГОЛОВЫ
Фантом головы (см.
рисунок 1) должен быть наполнен АКТИВНОСТЬЮ равномерно.
3.5.3.1.2. ИЗОБРАЖЕНИЕ СЕРДЦА
Фантом тела (см.
рисунок 2) с линейным источником длиной 130 мм, диаметром - 21 мм, содержащим АКТИВНОСТЬ и расположенным эксцентрично (см.
рисунок 7), наполненный воздухом, и фантом рук (см.
рисунок 3), заполненный водой. Центр фантома должен совпадать с СИСТЕМНОЙ ОСЬЮ (см.
рисунки 2 и
7).
3.5.3.1.3. ИЗОБРАЖЕНИЕ БРЮШНОЙ ПОЛОСТИ
Фантом тела равномерно наполняется АКТИВНОСТЬЮ A
обр и центрируется в ПОЛЕ ЗРЕНИЯ. Фантом головы наполняется тем же значением АКТИВНОСТИ A
обр и располагается в контакте с фантомом тела. С другой стороны - два фантома рук, каждый из которых заполнен активностью в половину значения АКТИВНОСТИ A
обр и располагается в контакте с фантомом тела. Все фантомы покоятся на ложе пациента. Для уточнения положения фантомов и расположения пробок с винтом см.
рисунок 13. Фантомы рук являются в первом приближении отделом брюшная полость/ноги ПАЦИЕНТА.
3.5.4. Сбор информации и анализ
Каждое совпадение, регистрируемое детекторами, должно учитываться только один раз.
3.5.4.1. ИСПЫТАНИЕ ХАРАКТЕРИСТИКИ СКОРОСТИ СЧЕТА ИСТИННЫХ СОВПАДЕНИЙ
Для всех условий рассеяния должна быть измерена ХАРАКТЕРИСТИКА СКОРОСТИ СЧЕТА (измеренная СКОРОСТЬ СЧЕТА ИСТИННЫХ СОВПАДЕНИЙ в зависимости от случайной СКОРОСТИ СЧЕТА ИСТИННЫХ СОВПАДЕНИЙ или АКТИВНОСТИ в пределах ОБЩЕГО ПОЛЯ ЗРЕНИЯ томографа). Отклонения АКТИВНОСТИ - в соответствии со схемой радиоактивного распада; могут быть использованы РАДИОНУКЛИДЫ 18F или 11C с продолжительностью измерений, равной приблизительно десяти ПЕРИОДАМ ПОЛУРАСПАДА. Время на фракцию измерения - менее половины ПЕРИОДА ПОЛУРАСПАДА, кроме последних трех фракций времени, которые могут быть больше. Первоначальное количество АКТИВНОСТИ должно быть выбрано так, чтобы превышать насыщение кривой СКОРОСТИ СЧЕТА, а ПРОСЧЕТЫ в последней фракции были менее 1%.
Информация об испытаниях должна быть собрана в СИНОГРАММАХ. Все события должны быть собраны в поперечном срезе, проходящем через среднюю точку соответствующей ЛИНИИ ОТКЛИКА. Информацию собирают для ПОПЕРЕЧНОГО ПОЛЯ ЗРЕНИЯ, ограниченного диаметром 520 мм и без коррекции ПРОСЧЕТОВ.
Для учета условий рассеяния должна быть добавлена по абсциссе вторая шкала (кБк/см
3) по
3.5.3.1.1.
Среднее значение АКТИВНОСТИ Aср,i с учетом распада во время интервала сбора информации для временной фракции i, Tср,i определяют по формуле

, (6)
где A
cal - активность, измеренная за время T
cal и откорректированная в соответствии с
3.3.3.4;
T0,i - начальное время сбора для временной фракции i;
T1/2 - ПЕРИОД ПОЛУРАСПАДА РАДИОНУКЛИДОВ 18F или 11C соответственно.
На основе проведенных выше измерений строят график ХАРАКТЕРИСТИКИ СКОРОСТИ СЧЕТА (т.е. зависимости измеренной СКОРОСТИ СЧЕТА ИСТИННЫХ СОВПАДЕНИЙ от АКТИВНОСТИ) и характеристики скорости счета СЛУЧАЙНЫХ СОВПАДЕНИЙ (вся информация без коррекции ЗАТУХАНИЯ и нормализации) для всей системы (для ПОЛНОГО ПОЛЯ ЗРЕНИЯ).
Для фантома головы скорость счета случайных совпадений оценивают только для круглой области диаметром 24 см, расположенной в центре фантома.
Коэффициент преобразования между АКТИВНОСТЬЮ и СКОРОСТЬЮ СЧЕТА ИСТИННЫХ СОВПАДЕНИЙ без ПРОСЧЕТОВ должен быть определен для каждой из трех описанных выше установок (для изображения головы, сердца, брюшной полости) с наименьшей АКТИВНОСТЬЮ и усреднен. В этих установках для получения статистической точности необходим сбор достаточного числа отсчетов. Используя полученную информацию, для каждого среза и всей системы определяют АКТИВНОСТЬ, при которой измеренная СКОРОСТЬ СЧЕТА ИСТИННЫХ СОВПАДЕНИЙ составляет 20% ПРОСЧЕТОВ, и строят график зависимости этих уровней АКТИВНОСТИ от номера среза. Повторяют эту оценку для 50% ПРОСЧЕТОВ. Для всей системы определяют измеренную СКОРОСТЬ СЧЕТА ИСТИННЫХ СОВПАДЕНИЙ при 20% и 50% ПРОСЧЕТОВ.
Из данных измерений (СИНОГРАММЫ при использовании ДВУХМЕРНОЙ РЕКОНСТРУКЦИИ, полной информации, полученной при использовании ТРЕХМЕРНОЙ РЕКОНСТРУКЦИИ) реконструируют полный набор срезов для всех временных фракций. Для зоны, содержащей АКТИВНОСТЬ (для стержневого источника диаметром 21 мм в цилиндре диаметром 194 мм), строят график скорости счета в РОИ делением измеренных ИСТИННЫХ СОВПАДЕНИЙ для всего среза на АКТИВНОСТЬ, показывающий искажения изображения при высоких скоростях счета (идеально этот график должен иметь постоянное значение).
3.5.4.2. ПРОВЕРКА АДРЕСНОГО НАКОПЛЕНИЯ
АДРЕСНОЕ НАКОПЛЕНИЕ в аксиальном направлении проверяют из ряда реконструированных изображений в соответствии с
3.5.4.1. Для области, непосредственно содержащей источник, рассчитывают отношение счета в РОИ R
i,j на срез для каждой СКОРОСТИ СЧЕТА, нормализованное к соответствующему значению на самой низкой скорости счета:

, (7)
где Ci,j - счет в РОИ для слоя i и соответствующей временной фракции j;
C
i,низк - средний счет в РОИ для слоя i в трех временных фракциях с наименьшей АКТИВНОСТЬЮ (см.
3.5.4.1).
При делении все нормализующие коэффициенты, зависящие от различной эффективности на срез, сокращаются. Строят график зависимости этого отношения от номера среза. В этом графике все отклонения от линии, параллельной оси абсцисс и соответствующей среднему значению, являются измерением АДРЕСНОГО НАКОПЛЕНИЯ в аксиальном направлении. Определяют АКТИВНОСТЬ в фантоме в пределах ОБЩЕГО ПОЛЯ ЗРЕНИЯ, соответствующую 5%-ному отклонению для любого слоя.
Примечание. Аксиальные отклонения на высоких скоростях счета в большинстве случаев часто вызываются АДРЕСНЫМ НАКОПЛЕНИЕМ, но могут также зависеть от других факторов, обусловленных конструкцией томографа.
Для систем, использующих ТРЕХМЕРНУЮ РЕКОНСТРУКЦИЮ, это испытание не проводят, т.к. конструктивное расположение реконструированного слоя и аксиального кристаллического кольца приводит к неопределенности результатов этого испытания.
3.5.4.3. ПРОВЕРКА СХЕМЫ КОРРЕКЦИИ ПРОСЧЕТОВ
Из ряда реконструированных изображений в соответствии с
3.5.4.1 (и для каждого слоя) строят графики (см.
рисунок 8):
a) измеренных отсчетов ИСТИННЫХ СОВПАДЕНИЙ;
b) отсчетов ИСТИННЫХ СОВПАДЕНИЙ, откорректированных на ПРОСЧЕТЫ;
c) отсчетов ИСТИННЫХ СОВПАДЕНИЙ, откорректированных на ПРОСЧЕТЫ и радиоактивный распад.
Коррекция радиоактивного распада должна быть проведена с ПЕРИОДОМ ПОЛУРАСПАДА в соответствии с таблицей 1 для всех срезов и условий рассеяния. Этот ПЕРИОД ПОЛУРАСПАДА должен быть представлен при низких ПРОСЧЕТАХ (низкие ПРОСЧЕТЫ, но высокий коэффициент коррекции радиоактивного распада) линией, параллельной оси абсцисс. Все отклонения от этой параллельной линии определяют погрешности в коррекции ПРОСЧЕТОВ.
Таблица 1
РАДИОНУКЛИДЫ, используемые при проведении измерений
РАДИОНУКЛИД | ПЕРИОД ПОЛУРАСПАДА, мин | Коэффициент ветвления/распада |
18F | 109,70 +/- 0,11 | 0,971 +/- 0,002 |
11C | 20,375 | 0,998 |
3.5.5.1. ХАРАКТЕРИСТИКА СКОРОСТИ СЧЕТА ИСТИННЫХ СОВПАДЕНИЙ (см.
3.5.4.1)
Из измерений в соответствии с
3.5.4.1 строят графики, показывающие ХАРАКТЕРИСТИКУ СКОРОСТИ СЧЕТА (включая характеристику скорости счета СЛУЧАЙНЫХ СОВПАДЕНИЙ) для всей системы и уровней АКТИВНОСТИ при 20% и 50% ПРОСЧЕТАХ (без коррекции затухания и нормализации) для каждого среза. Для всей системы приводят отчет об измеренной СКОРОСТИ СЧЕТА ИСТИННЫХ СОВПАДЕНИЙ при 20% и 50% ПРОСЧЕТОВ.
Данные о числе отчетов в РОИ (для стержневого источника диаметром 21 мм в цилиндре диаметром 194 мм) получают делением измеренных ИСТИННЫХ СОВПАДЕНИЙ во всем слое на АКТИВНОСТЬ для каждого слоя.
3.5.5.2. АДРЕСНОЕ НАКОПЛЕНИЕ (см.
3.5.4.2)
Отчет о нормализованных отсчетах в РОИ проводят на графике в соответствии с
3.5.4.2. Отчет о наблюдаемой АКТИВНОСТИ в фантоме в пределах ПОЛНОГО ПОЛЯ ЗРЕНИЯ, вызывающей 5% отклонение в аксиальной профильной кривой, составляют в соответствии с
3.5.4.2.
3.5.5.3. ТОЧНОСТЬ КОРРЕКЦИИ ПРОСЧЕТОВ (см.
3.5.4.3)
Отчет проводят с помощью графиков в соответствии с
3.5.4.3. Отчет о максимальном отклонении от линейности до точки насыщения и соответствующая АКТИВНОСТЬ в любом слое для трех условий рассеяния описаны в
3.5.3.1.1 -
3.5.3.1.3.
3.6.1. Общая часть
Рассеяние первичного гамма-излучения, возникающего при аннигиляции позитронов, приводит к совпадению событий с ложной информацией о месте расположения источника излучения. Различия в конструкции и приборном оснащении приводят к различной чувствительности ПОЗИТРОННЫХ ЭМИССИОННЫХ ТОМОГРАФОВ по отношению к рассеянному излучению.
3.6.2. Цель
Целью данного испытания является измерение относительной системной чувствительности в зависимости от рассеянного излучения, выражаемого значением фракции рассеяния (ФР), а также значениями ФРАКЦИИ РАССЕЯНИЯ в каждом срезе.
Измерение проводят при получении изображения одного ЛИНЕЙНОГО ИСТОЧНИКА в трех разных радиальных направлениях внутри фантома головы, наполненного водой (см.
рисунки 1 и
5).
Предполагается, что нерассеянные события лежат в пределах полосы 4 x ПШПМ в центре изображения ЛИНЕЙНОГО ИСТОЧНИКА в каждой СИНОГРАММЕ. Эту ширину полосы выбирают потому, что значение рассеяния нечувствительно к точной ширине области, и не принимаемые в расчете нерассеянные события лежат в полосе шириной более 2 x ПШПМ от изображения линейного источника в ПОЗИТРОННЫХ ЭМИССИОННЫХ ТОМОГРАФАХ (см.
рисунок 10). Ширина функции рассеяния позволяет использовать упрощенный метод анализа. Линейную интерполяцию через полосу от точек пересечения функции рассеяния и краев полосы шириной 4 x ПШПМ используют для оценки общего рассеяния на полосе. Сумма значений отсчетов под линией интерполяции и над ней составляет оцениваемое рассеяние.
Оценки ФРАКЦИИ РАССЕЯНИЯ для однородных распределений источников проводят в предположении слабой радиальной зависимости. ФРАКЦИЯ РАССЕЯНИЯ для ЛИНЕЙНОГО ИСТОЧНИКА на оси предполагается постоянной в поперечном сечении до радиуса 22,5 мм; ФРАКЦИЯ РАССЕЯНИЯ для ЛИНЕЙНОГО ИСТОЧНИКА на расстоянии 45 мм от оси предполагается постоянной в пределах кольца между 22,5 и 67,5 мм, а ФРАКЦИЯ РАССЕЯНИЯ для ЛИНЕЙНОГО ИСТОЧНИКА на радиусе 90 мм от оси в пределах кольца между 67,5 и 100 мм (см.
рисунок 5). Три значения ФРАКЦИИ РАССЕЯНИЯ определяются теми областями, в которых они применяются, принимая взвешенное среднее значение. Соотношение кольцевых областей должно быть 1:8:10,75 соответственно.
3.6.3.1. РАДИОНУКЛИД
Для измерений используется радионуклид 18F с такой АКТИВНОСТЬЮ, чтобы ПРОСЧЕТЫ составляли менее 5%, а скорость счета СЛУЧАЙНЫХ СОВПАДЕНИЙ - менее 5% ОБЩЕЙ СКОРОСТИ СЧЕТА СОВПАДЕНИЙ.
3.6.3.2. РАСПРЕДЕЛЕНИЕ РАДИОАКТИВНОГО ИСТОЧНИКА
Фантом головы (см.
рисунок 1) должен быть наполнен нерадиоактивной водой в качестве рассеивающей среды. ЛИНЕЙНЫЙ ИСТОЧНИК в испытательном фантоме должен быть расположен параллельно оси цилиндров последовательно на радиусах 0, 45 и 90 мм (см.
рисунок 5). Фантом должен быть центрирован трансаксиально и аксиально в ПОЛЕ ЗРЕНИЯ.
3.6.3.3. СБОР ИНФОРМАЦИИ
Каждое совпадающее событие между отдельными детекторами следует учитывать только один раз. Информация должна быть собрана в СИНОГРАММЫ. Все события должны быть расположены в срезе на уровне средней точки соответствующей ЛИНИИ ОТКЛИКА. При расположении источника в обозначенных положениях (см.
3.6.3) в каждом срезе должно быть собрано по крайней мере 200 000 отсчетов в пределах:
a) АКСИАЛЬНОГО ПОЛЯ ЗРЕНИЯ;
b) центральной области диаметром 16,5 см, где расположен фантом.
Из этих двух областей выбирают меньшую зону.
3.6.3.4. ОБРАБОТКА ИНФОРМАЦИИ
Информация должна быть откорректирована на СЛУЧАЙНЫЕ СОВПАДЕНИЯ и ПРОСЧЕТЫ, но не на рассеяние и ЗАТУХАНИЕ.
3.6.4. Анализ
Информация во всех СИНОГРАММАХ, соответствующих срезам, удаленным не менее чем на 1 см от каждого края фантома, должна быть обработана. Так для томографов с АКСИАЛЬНЫМ ПОЛЕМ ЗРЕНИЯ менее 16,5 см должна быть обработана информация во всех срезах.
Все ПИКСЕЛЫ в каждой СИНОГРАММЕ j, расположенные на расстоянии более 12 см от центра, приравнивают к нулю. Для каждого ПРОЕКЦИОННОГО УГЛА в пределах СИНОГРАММЫ расположение центра ЛИНЕЙНОГО ИСТОЧНИКА должно определяться нахождением ПИКСЕЛА с максимальным значением. Каждая ПРОЕКЦИЯ должна быть смещена так, чтобы ПИКСЕЛ, имеющий максимальное значение, совмещался с центральным столбцом СИНОГРАММЫ. После выравнивания должна быть получена суммарная ПРОЕКЦИЯ.
Значение ПШПМ, используемое для анализа, является средним из значений РАДИАЛЬНОГО и ТАНГЕНЦИАЛЬНОГО РАЗРЕШЕНИЯ в радиальном направлении на расстоянии 10 см от центра (см.
3.1.5). Счет в ПИКСЕЛАХ слева и справа от полосы шириной 4 x ПШПМ и C
L,i,k и C
R,i,k соответственно должен быть получен из суммарной ПРОЕКЦИИ (см.
рисунок 10). Для нахождения интенсивности в ПИКСЕЛАХ на расстоянии, равном +/- 2 x ПШПМ от центрального ПИКСЕЛА ПРОЕКЦИИ, должна быть использована линейная интерполяция. Среднеарифметическое двух уровней счета C
L,i,k и C
R,i,k умножают на число ПИКСЕЛОВ между краями полосы шириной 4 x ПШПМ, произведение прибавляют к отсчетам в ПИКСЕЛАХ вне полосы для того, чтобы получить число счетов РАССЕЯННЫХ ИСТИННЫХ СОВПАДЕНИЙ C
S,i,k для слоя i положения источника k. Счет ИСТИННЫХ СОВПАДЕНИЙ (рассеянные плюс нерассеянные) C
общ,i,k является суммой всех ПИКСЕЛОВ на суммарной ПРОЕКЦИИ.
Среднюю АКТИВНОСТЬ A
ср,k при сборе информации за интервал времени T
ср,k для ЛИНЕЙНОГО ИСТОЧНИКА в положении K рассчитывают по
3.3.3.4.
ФРАКЦИЮ РАССЕЯНИЯ SFi для каждого слоя благодаря однородному распределению источника рассчитывают по формуле

, (8)
где 1, 2 и 3 - ЛИНЕЙНЫЕ ИСТОЧНИКИ на радиусах 0, 45 и 90 мм соответственно.
Для каждого среза после обработки информации фиксируется значение SFj. Среднее значение SF из SFi должно быть записано как системная ФРАКЦИЯ РАССЕЯНИЯ.
3.7. КОРРЕКЦИЯ ЗАТУХАНИЯ
3.7.1. Общая часть
В ПОЗИТРОННОЙ ЭМИССИОННОЙ ТОМОГРАФИИ возможен теоретический расчет коррекции ЗАТУХАНИЯ произвольной затухающей среды в пределах ТОМОГРАФИЧЕСКОГО ОБЪЕМА томографа. Основа коррекции - измерение передачи АННИГИЛЯЦИОННОГО ИЗЛУЧЕНИЯ через объект внутри ПОЛНОГО ПОЛЯ ЗРЕНИЯ. Точность, с которой это достигается на практике, является важным фактором при количественной оценке этой передачи.
3.7.2. Цель
Целью настоящего испытания является оценка точности метода передачи коррекции ЗАТУХАНИЯ.
Примечание. На результат этого испытания влияет также рассеяние.
3.7.3. Метод
Передача внешнего излучения через неоднородную затухающую среду используется для получения матрицы коррекции ЗАТУХАНИЯ, которая вместе с информацией ПРОЕКЦИИ составляет часть процесса реконструкции. Соответствие реконструированных и истинных значений является индикатором точности коррекции ЗАТУХАНИЯ.
3.7.3.1. РАДИОНУКЛИД
Для измерения излучения используют РАДИОНУКЛИД 18F с такой АКТИВНОСТЬЮ, чтобы процент ПРОСЧЕТОВ был менее 5%, а скорость счета СЛУЧАЙНЫХ СОВПАДЕНИЙ - менее 5% скорости счета СУММАРНЫХ СОВПАДЕНИЙ.
3.7.3.2. РАСПРЕДЕЛЕНИЕ РАДИОАКТИВНОГО ИСТОЧНИКА
Фантом головы (см.
рисунок 1) должен располагаться в центре АКСИАЛЬНОГО ПОЛЯ ЗРЕНИЯ, но быть смещенным по вертикали на 25 мм от оси. В нем должны использоваться три цилиндрические вставки диаметром 50 мм, расположенные на расстоянии 60 мм от оси фантома, разнесенные друг от друга под углом 120°, как показано на
рисунке 6. Для измерения передачи излучения фантом должен быть наполнен нерадиоактивной водой. Одна из полых вставок должна быть наполнена нерадиоактивным воздухом, а другая - нерадиоактивной водой. Третья вставка должна быть твердой и изготовленной из политетрафлюороэтилена. Для измерения излучения измеренное количество АКТИВНОСТИ должно быть добавлено к содержимому испытательного фантома и полностью перемешано с водой.
3.7.3.3. СБОР ИНФОРМАЦИИ
Измерение передачи излучения после прохождения через фантом головы должно быть проведено методом, рекомендованным изготовителем томографа. Для измерения излучения АКТИВНОСТЬ помещают в фантом головы и проводят стандартный сбор информации, получая не менее пяти миллионов отсчетов на срез. Передачу и измерение излучения проводят следующим образом. Если фантом головы передвигают между измерениями, то при повторных установках он должен быть точно установлен на первоначальное место. Если вначале проводят эмиссионное сканирование, то перед сбором информации о передаче излучения должно пройти по крайней мере десять ПЕРИОДОВ ПОЛУРАСПАДА. Т.к. изображения при анализе суммируют со всех срезов, важно, чтобы ось фантома была параллельна аксиальному направлению (СИСТЕМНОЙ ОСИ) томографа.
3.7.3.4. ОБРАБОТКА ИНФОРМАЦИИ
Для томографов с АКСИАЛЬНЫМ ПОЛЕМ ЗРЕНИЯ от 16,5 см или менее все срезы должны быть реконструированы. Для томографов с АКСИАЛЬНЫМ ПОЛЕМ ЗРЕНИЯ более 16,5 см должны быть реконструированы только срезы в той части АКСИАЛЬНОГО ПОЛЯ ЗРЕНИЯ, где расположен фантом. Изображения должны быть реконструированы с использованием стандартной МАТРИЦЫ ИЗОБРАЖЕНИЯ и размера ТРИКСЕЛА с применением тонкого фильтра с отсечкой на частоте Найквиста. При эмиссионном сканировании информация должна быть реконструирована с применением всех видов коррекции, включая коррекцию ЗАТУХАНИЯ, получаемую при измерении передачи излучения. Передача излучения должна проходить в соответствии с методом, рекомендованным изготовителем.
3.7.4. Анализ
При эмиссионном сканировании изображения должны быть суммированы аксиально. В суммарном эмиссионном изображении определяют три круглых РОИ диаметром 30 мм, центрированные на изображениях вставок: одна - с воздухом, другая - твердая и третья - наполненная водой, и девять круглых РОИ диаметром 30 мм в области однородной АКТИВНОСТИ, как показано на
рисунке 9. Радиальное расстояние от оси фантома до остальных шести РОИ диаметром 30 мм должно быть 60 мм. Общий счет в каждом РОИ регистрируют как C
воздух, C
твердое наполнение, C
вода, C
1...C
9 соответственно, где численный индекс соответствует девяти РОИ в областях с однородной АКТИВНОСТЬЮ.
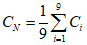
Рассчитывают нормализованный счет CN в однородной области по формуле

, (9)
где Ci - счет в РОИ с однородной АКТИВНОСТЬЮ;
i - номер РОИ.
Относительная погрешность

, то есть отклонение концентрации измеренной активности C
вставки от нуля, выраженное в процентах для каждой вставки на суммарном изображении, рассчитывают по формуле:

. (10)
Неоднородность коррекции ЗАТУХАНИЯ NUA, %, рассчитывают по формуле:

, i = 1, 2, ..., 9. (11)
Кроме анализа РОИ для каждой вставки на изображении должна быть вычерчена профильная кривая шириной 10 мм, проходящая через центр фантома головы и центр вставки.
Для суммарного изображения приводят таблицу значений

воздуха,

с твердым наполнением и

воды. Также приводят таблицу значений NU
A. Также следует представить графики профилей через три вставки.
4. Сопроводительные документы
Каждый ПОЗИТРОННЫЙ ЭМИССИОННЫЙ ТОМОГРАФ должен иметь СОПРОВОДИТЕЛЬНЫЕ ДОКУМЕНТЫ, включающие в себя следующую информацию:
4.1. ПАРАМЕТРЫ КОНСТРУКЦИИ:
- размеры элементов детектора и число элементов;
- материал детектора;
- число и конфигурация детекторных элементов в блоке (если используют);
- число детекторных блоков на кольцо (если используют);
- ОКНО СОВПАДЕНИЯ;
- диаметр кольца детекторов;
- диаметр туннеля для пациента;
- ПОПЕРЕЧНОЕ ПОЛЕ ЗРЕНИЯ;
- АКСИАЛЬНОЕ ПОЛЕ ЗРЕНИЯ;
- выборку СИНОГРАММЫ (линейная или угловая);
- аксиальную выборку;
- длину защиты;
- защиты;
- длину боковых экранов;
- тип источника излучения и АКТИВНОСТЬ источника (номинальный и рекомендованный диапазоны);
- движение детектора (то есть скорость вращения, параметры).
4.2. СТРУКТУРА ТОМОГРАФА:
- энергетический порог;
- аксиальный угол сбора информации (2D, 3D);
- алгоритм реконструкции;
- метод оценки СЛУЧАЙНЫХ СОВПАДЕНИЙ;
- любая дополнительная информация, предоставляемая изготовителем для характеристики нормальной работы.
4.3. ПРОСТРАНСТВЕННОЕ РАЗРЕШЕНИЕ:
- ПОПЕРЕЧНОЕ РАЗРЕШЕНИЕ (радиальное и тангенциальное) в соответствии с
3.1.5;
- ШИРИНА АКСИАЛЬНОГО СЛОЯ в соответствии с
3.1.5;
- АКСИАЛЬНОЕ РАЗРЕШЕНИЕ в соответствии с
3.1.5;
- аксиальный размер ПИКСЕЛА в соответствии с
3.1.5;
- поперечные размеры ПИКСЕЛА в соответствии с
3.1.5;
- размер аксиального шага в соответствии с
3.1.5.
4.4. КОЭФФИЦИЕНТ ВОССТАНОВЛЕНИЯ:
- графики КОЭФФИЦИЕНТОВ ВОССТАНОВЛЕНИЯ в соответствии с
3.2.6.
4.5. ЧУВСТВИТЕЛЬНОСТЬ:
- ЧУВСТВИТЕЛЬНОСТЬ СРЕЗА в соответствии с
3.3.5;
- НОРМАЛИЗОВАННАЯ ЧУВСТВИТЕЛЬНОСТЬ СРЕЗА в соответствии с
3.3.5;
- ОБЪЕМНАЯ ЧУВСТВИТЕЛЬНОСТЬ в соответствии с
3.3.5.
4.6. ПРЕДСТАВЛЕНИЕ СКОРОСТИ СЧЕТА:
- ХАРАКТЕРИСТИКА СКОРОСТИ СЧЕТА в соответствии с
3.5.5;
- уровни АКТИВНОСТИ при 20% и 50% ПРОСЧЕТОВ в соответствии с
3.5.5;
- АДРЕСНОЕ НАКОПЛЕНИЕ в соответствии с
3.5.5;
- точность коррекции ПРОСЧЕТОВ и соответствующие графики в соответствии с
3.5.5.
4.7. ФРАКЦИЯ РАССЕЯНИЯ:
| | ИС МЕГАНОРМ: примечание. В официальном тексте документа, видимо, допущена опечатка: имеется в виду пункт 3.6.5, а не 3.6.6. | |
- ФРАКЦИИ РАССЕЯНИЯ SF
i и SF в соответствии с
3.6.6.
4.8. ТОЧНОСТЬ КОРРЕКЦИИ ЗАТУХАНИЯ:
-

воздуха,

твердой вставки,

воды и NU
A в соответствии с
3.7.5, профили через вставки в соответствии с
3.7.5.
Примечание. Материал: полиметилметакрилат.
Рисунок 1. Цилиндрический фантом головы
Примечания
1. Материал: полиметилметакрилат. Допустимое отклонение + 1 мм.
2. Длину фантома тела выбирают так, чтобы можно было наполнить фантом головы; длина фантома - не менее (180 +/- 5) мм.
Рисунок 2. Поперечное сечение фантома тела
Примечание. Материал: полиметилметакрилат.
Примечания
1. Материал: полиметилметакрилат.
2. Все диаметры являются внутренними.
3. Толщина стенок шаров должна быть не менее 1 мм.
4. Центр шаров должен быть на одинаковом расстоянии от опорной плиты.
5. Опорная плита заменяет крышку фантома головы.
6. Шары могут быть изготовлены из стекла.
Рисунок 4. Фантом с расположенными внутри полыми шарами
Примечания
1. Материал: полиметилметакрилат.
2. Установочная плита заменяет крышку фантома головы. Держатели источника состоят из трубок, длина которых достаточна для заполнения внутренней части фантома головы. Взвешенные области для измерения рассеяния ограничены пунктирными линиями.
Рисунок 5. Фантом с держателями внутри для рассеянного
источника
Примечания
1. Установочная плита заменяет крышку фантома головы.
2. Цилиндры изготовлены из полиметилметакрилата. Внешние размеры: диаметр 50 x 185 мм (длина). Внутренние размеры: диаметр 46 x 182 мм (длина).
3. Твердый цилиндр изготовлен из политетрафлюороэтилена. Размеры: диаметр 50 мм x длина 185 мм.
Рисунок 6. Внутреннее содержание фантома для оценки
коррекции ЗАТУХАНИЯ
Примечание. Фантом тела, включающий руки, наполнен водой. Фантом головы наполнен воздухом. РАДИОАКТИВНЫЙ ИСТОЧНИК представляет собой стержень с внутренним диаметром 21 x 130 мм (внутренняя длина) в том положении, которое показано на рисунке.
Рисунок 7. Конфигурация фантома для измерения скорости счета
в соответствии с
3.5.3.1.2 (изображение сердца)
Примечание. На графике показаны:
a) измеренные истинные совпадающие события;
b) измеренные истинные совпадающие события, скорректированные на потери мертвого времени;
c) измеренные истинные совпадающие события, скорректированные на потери из-за мертвого времени и распад.
Пунктирной линией отмечен идеальный результат эксперимента aср, представляющий собой среднюю АКТИВНОСТЬ за первую временную фракцию сбора информации.
Рисунок 8. Схема оценки коррекции ПРОСЧЕТОВ
Примечание. Девять областей диаметром 30 мм расположены на фоне, три области диаметром 30 мм расположены в центре вставок.
Рисунок 9. Оценка коррекции ЗАТУХАНИЯ
Примечание. На суммарной проекции рассеяние оценивают суммой вне полосы 4 x ПШПМ и счетов ниже линии CL,i,kCR,i,k.
Рисунок 10. Оценка ФРАКЦИИ РАССЕЯНИЯ
Примечание. Точки A и B - точки пересечения кривой интерполяции счета линии значения полумаксимума. ПШПМ равна (XB - XA).
Примечание. ЭШ задается шириной прямоугольника, равного площади ФУНКЦИИ ЛИНЕЙНОГО РАСПРЕДЕЛЕНИЯ, и ее максимальным значением Cm.

. (12)
Ширина ПИКСЕЛА ШМ равна Xi+1 - Xi.
Области, заштрихованные линиями под разными углами, равны.
Рисунок 12. Оценка ЭКВИВАЛЕНТА ШИРИНЫ
Рисунок 13. Положение фантомов и расположение заливных
(справочное)
СВЕДЕНИЯ
О СООТВЕТСТВИИ ССЫЛОЧНЫХ МЕЖДУНАРОДНЫХ СТАНДАРТОВ
НАЦИОНАЛЬНЫМ СТАНДАРТАМ РОССИЙСКОЙ ФЕДЕРАЦИИ
Сведения о соответствии ссылочных международных стандартов национальным стандартам Российской Федерации приведены в таблице ДА.1.
Таблица ДА.1
Обозначение ссылочного международного стандарта | Степень соответствия | Обозначение и наименование соответствующего национального стандарта |
МЭК/ТО 60788:2004 | IDT | |
Примечание. В настоящей таблице использовано следующее условное обозначение степени соответствия стандарта: - IDT - идентичный стандарт. |
Алфавитный указатель терминов
АКТИВНОСТЬ | МР-13-18 |
АДРЕСНОЕ НАКОПЛЕНИЕ | |
ВОКСЕЛ | |
ВРЕМЯ РАЗРЕШАЮЩЕЕ | МР-34-22 |
ДОКУМЕНТЫ СОПРОВОДИТЕЛЬНЫЕ | МР-82-01 |
ИЗЛУЧЕНИЕ АННИГИЛЯЦИОННОЕ | |
ИСТОЧНИК ЛИНЕЙНЫЙ | |
ИСТОЧНИК РАДИОАКТИВНЫЙ | МР-20-02 |
ИСТОЧНИК ТОЧЕЧНЫЙ | |
КОЭФФИЦИЕНТ ВОССТАНОВЛЕНИЯ | |
ЛИНИЯ ОТКЛИКА (ЛО) | |
ЛУЧ ПРОЕКЦИОННЫЙ | |
МАТРИЦА ИЗОБРАЖЕНИЯ | |
ОБНАРУЖЕНИЕ СОВПАДЕНИЯ | |
ОБЪЕМ ТОМОГРАФИЧЕСКИЙ | |
ОКНО ИМПУЛЬСНОГО АМПЛИТУДНОГО АНАЛИЗАТОРА | МР-34-23 |
ОКНО СОВПАДЕНИЯ | |
ОСЛАБЛЕНИЕ | МР-12-08 |
ОСЬ СИСТЕМНАЯ | |
ПАЦИЕНТ | МР-62-03 |
ПЕРИОД ПОЛУРАСПАДА | МР-13-20 |
ПИКСЕЛ | |
ПЛОСКОСТЬ ИЗОБРАЖЕНИЯ | |
| | ИС МЕГАНОРМ: примечание. В официальном тексте документа, видимо, допущена опечатка: имеется в виду пункт 2.1.2.8.2, а не 2.1.2.8.2.2. | |
|
ПОЛЕ ЗРЕНИЯ АКСИАЛЬНОЕ | |
ПОЛЕ ЗРЕНИЯ ПОЛНОЕ | |
ПОЛЕ ЗРЕНИЯ ПОПЕРЕЧНОЕ | |
ПОТЕРЯ СЧЕТА | |
ПРОЕКЦИЯ | |
РАЗРЕШЕНИЕ АКСИАЛЬНОЕ | |
РАЗРЕШЕНИЕ ПОПЕРЕЧНОЕ | |
РАЗРЕШЕНИЕ ПРОСТРАНСТВЕННОЕ | |
РАЗРЕШЕНИЕ РАДИАЛЬНОЕ | |
РАЗРЕШЕНИЕ ТАНГЕНЦИАЛЬНОЕ | |
РЕКОНСТРУКЦИЯ ДВУХМЕРНАЯ | |
РЕКОНСТРУКЦИЯ ТРЕХМЕРНАЯ | |
СИНОГРАММА | |
СКОРОСТЬ СЧЕТА | |
СКОРОСТЬ СЧЕТА ЕДИНИЧНАЯ | |
СКОРОСТЬ СЧЕТА ИСТИННАЯ | МР-34-20 |
СОВПАДЕНИЕ ИСТИННОЕ | |
СОВПАДЕНИЕ ИСТИННОЕ НЕРАССЕЯННОЕ | |
СОВПАДЕНИЕ ИСТИННОЕ РАССЕЯННОЕ | |
СОВПАДЕНИЯ ПОЛНЫЕ | |
СОВПАДЕНИЕ СЛУЧАЙНОЕ | |
СРЕЗ ОБЪЕКТА | |
ТОМОГРАФИЯ | МР-41-15 |
ТОМОГРАФ ПОЗИТРОННЫЙ ЭМИССИОННЫЙ | |
ТОМОГРАФИЯ ПОЗИТРОННАЯ ЭМИССИОННАЯ (ПЭТ) | |
ТОМОГРАФИЯ ПОПЕРЕЧНАЯ | |
ТОМОГРАФИЯ ЭМИССИОННАЯ КОМПЬЮТЕРНАЯ (ЭКТ) | |
ТРИКСЕЛ | |
УГОЛ ПРОЕКЦИОННЫЙ | |
ФРАКЦИЯ РАССЕЯНИЯ (ФР) | |
ФУНКЦИЯ ЛИНЕЙНОГО РАСПРЕДЕЛЕНИЯ | МР-73-01 |
ФУНКЦИЯ ТОЧЕЧНОГО ПРОСТРАНСТВЕННОГО РАСПРЕДЕЛЕНИЯ ПОПЕРЕЧНАЯ | |
ФУНКЦИЯ ТОЧЕЧНОГО РАСПРЕДЕЛЕНИЯ (ФРТИ) | |
ФУНКЦИЯ ТОЧЕЧНОГО РАСПРЕДЕЛЕНИЯ ОСЕВАЯ | |
ФУНКЦИЯ ТОЧЕЧНОГО РАСПРЕДЕЛЕНИЯ ФИЗИЧЕСКАЯ | |
ШИРИНА ПОЛНАЯ НА УРОВНЕ ПОЛОВИНЫ МАКСИМУМА (ПШПМ) | МР-73-02 |
ШИРИНА СЛОЯ АКСИАЛЬНАЯ | |
ШИРИНА ЭКВИВАЛЕНТНАЯ (ЭШ) | |
ХАРАКТЕРИСТИКА СКОРОСТИ СЧЕТА | МР-34-21 |
ЧУВСТВИТЕЛЬНОСТЬ ОБЪЕМНАЯ | |
ЧУВСТВИТЕЛЬНОСТЬ СЛОЯ | |
ЧУВСТВИТЕЛЬНОСТЬ СРЕЗА НОРМАЛИЗОВАННАЯ | |
ЭЛЕМЕНТ МАТРИЧНЫЙ | |
ЭФФЕКТ НАКОПЛЕНИЯ | |