Главная // Актуальные документы // ГОСТ Р (Государственный стандарт)СПРАВКА
Источник публикации
М.: Стандартинформ, 2014
Примечание к документу
Документ
введен в действие с 1 декабря 2014 года.
Название документа
"ГОСТ Р ИСО 9921-2013. Национальный стандарт Российской Федерации. Эргономика. Оценка речевой связи"
(утв. и введен в действие Приказом Росстандарта от 22.11.2013 N 1653-ст)
"ГОСТ Р ИСО 9921-2013. Национальный стандарт Российской Федерации. Эргономика. Оценка речевой связи"
(утв. и введен в действие Приказом Росстандарта от 22.11.2013 N 1653-ст)
Утвержден и введен в действие
агентства по техническому
регулированию и метрологии
от 22 ноября 2013 г. N 1653-ст
НАЦИОНАЛЬНЫЙ СТАНДАРТ РОССИЙСКОЙ ФЕДЕРАЦИИ
ЭРГОНОМИКА
ОЦЕНКА РЕЧЕВОЙ СВЯЗИ
Ergonomics. Assessment of speech communication
ISO 9921:2003
Ergonomics - Assessment of speech communication
(IDT)
ГОСТ Р ИСО 9921-2013
Группа Э65
Дата введения
1 декабря 2014 года
Цели и принципы стандартизации в Российской Федерации установлены Федеральным
законом от 27 декабря 2002 г. N 184-ФЗ "О техническом регулировании", а правила применения национальных стандартов Российской Федерации -
ГОСТ Р 1.0-2004 "Стандартизация в Российской Федерации. Основные положения".
1 ПОДГОТОВЛЕН Автономной некоммерческой организацией "Научно-исследовательский центр контроля и диагностики технических систем" (АНО "НИЦ КД") на основе собственного аутентичного перевода стандарта, указанного в
пункте 4
2 ВНЕСЕН Техническим комитетом по стандартизации ТК 201 "Эргономика, психология труда и инженерная психология"
3 УТВЕРЖДЕН И ВВЕДЕН В ДЕЙСТВИЕ
Приказом Федерального агентства по техническому регулированию и метрологии от 22 ноября 2013 г. N 1653-ст
4 Настоящий стандарт идентичен международному стандарту ИСО 9921:2003 "Эргономика. Оценка речевой связи" (ISO 9921:2003 "Ergonomics - Assessment of speech communication").
При применении настоящего стандарта рекомендуется использовать вместо ссылочных международных стандартов соответствующие им национальные стандарты, сведения о которых приведены в дополнительном
приложении ДА
5 ВВЕДЕН ВПЕРВЫЕ
Правила применения настоящего стандарта установлены в ГОСТ Р 1.0-2012 (раздел 8). Информация об изменениях к настоящему стандарту публикуется в ежегодном (по состоянию на 1 января текущего года) информационном указателе "Национальные стандарты", а официальный текст изменений и поправок - в ежемесячном информационном указателе "Национальные стандарты". В случае пересмотра (замены) или отмены настоящего стандарта соответствующее уведомление будет опубликовано в ближайшем выпуске информационного указателя "Национальные стандарты". Соответствующая информация, уведомление и тексты размещаются также в информационной системе общего пользования - на официальном сайте Федерального агентства по техническому регулированию и метрологии в сети Интернет (gost.ru)
Целью стандартизации в области эргономической оценки речевой связи является обеспечение качества речевой связи, необходимого для передачи сложных сообщений в различных ситуациях. Качество речевой связи необходимо оценивать при передаче следующих сообщений:
- предупреждения о риске;
- предупреждения об опасности;
- информационных сообщений на рабочих местах, в общественных местах, переговорных комнатах и аудиториях.
Для некоторых ситуаций используют прямое общение между людьми, в то время как в других ситуациях применяют электроакустические системы (например, системы звукового оповещения) или персональные средства связи (например, телефон или интерком) для информирования, инструктажа или передачи информации.
Требования к звуковым неречевым сигналам предупреждения установлены в стандарте ИСО 7731.
Звуковые сигналы предупреждения и опасности обычно являются всенаправленными и могут быть универсальными во многих ситуациях. Звуковое предупреждение имеет преимущества в ситуациях, когда дым, темнота или другие факторы создают помехи восприятию визуального предупреждения.
В случае речевых сообщений большое значение имеет разборчивость сообщения. Если не удается добиться требуемого уровня разборчивости, то предпочтительно использование не голосовых сигналов предупреждения (см. ИСО 7731
[16], МЭК 60849
[18]) или визуальных сигналов предупреждения (см. ИСО 11429
[17]).
Высокая громкость звуковых сигналов может вызвать повреждение слуха или неблагоприятное воздействие на окружающую среду (например, создание дискомфорта для жителей близлежащих домов). Качественное проектирование звуковых сигналов может минимизировать эти неблагоприятные аспекты. Кроме того, методы прогнозирования, обладающие достаточной точностью, полезны для консультантов, поставщиков и конечных пользователей и могут снизить стоимость необходимой настройки после установки системы.
Речевая связь может происходить напрямую между людьми, через системы звукового оповещения, интеркомы или с помощью заранее записанных сообщений. Как правило, не рекомендуется использовать системы синтеза речи, так как синтезируемые сообщения не обладают достаточным уровнем разборчивости.
В настоящем стандарте приведено описание как простых, так и более сложных методов, позволяющих выполнить прогнозирование и оценку речевой связи.
В настоящем стандарте установлены требования к качеству речевой связи в целом, а также к речевой связи для сигналов предупреждения, опасности и информационных сообщений. В стандарте приведены и описаны методы прогнозирования и оценки субъективного и объективного качества речевой связи в практических ситуациях.
Для достижения оптимального качества речевой связи в конкретной ситуации, следует:
a) определить требования области применения и показатели качества;
b) разработать систему речевой связи и спрогнозировать качество связи;
c) оценить качество связи в реальных условиях.
В настоящем стандарте не рассмотрено использование неречевых звуковых сигналов предупреждения. Требования к таким сигналам установлены в ИСО 7731.
В настоящем стандарте использована ссылка на следующий международный стандарт:
МЭК 60268-16:1998 Звуковое оборудование. Часть 16: Объективная оценка разборчивости речи с использованием коэффициента передачи речи (IEC 60268-16:2011 Sound system equipment - Part 16: Objective rating of speech intelligibility by speech transmission index).
В настоящем стандарте применены следующие термины с соответствующими определениями.
3.1 тревога (alarm): Предупреждение о существующей или надвигающейся опасности.
3.2 опасность (danger): Риск нанесения вреда или ущерба.
3.3 эффективное отношение сигнал-шум (effective signal-to-noise ratio): Показатель, описывающий (общее) воздействие искажений на разборчивость речевого сигнала (маскирующего шума), при котором речевой сигнал имеет достаточную разборчивость.
3.4 авария (emergency): Серьезная угроза причинения вреда людям или собственности.
3.5 эффект Ломбарда (Lombard effect): Спонтанное увеличение голосового усилия говорящим, вызванное повышением уровня окружающего шума.
3.6 человек, говорящий на неродном языке (non-native speaker): Человек, говорящий на языке, который не является для него родным.
3.7 речевая связь (speech communication): Передача или обмен информацией с помощью возможностей речи, слуха и понимания.
Примечание - Речевая связь включает в себя краткие тексты, предложения, группы слов и/или отдельные слова.
3.8 коммуникабельность речи (speech communicability): Легкость осуществления речевой связи.
Примечание - Коммуникабельность речи включает в себя разборчивость речи, качество речи, голосовое усилие и задержки речи.
3.9 разборчивость речи (speech intelligibility): Доля понятной речевой информации.
Примечание - Обычно разборчивость речи количественно определяют как процент правильно понятых сообщений.
3.10 индекс разборчивости речи, ИРР (speech intelligibility index, SII): Объективный метод прогнозирования разборчивости речи, основанный на индексе артикуляции.
3.11 уровень помех для речи, УПР (speech interference level, SIL): Разница между корректированным по A уровнем звукового давления речи и средним арифметическим уровней звукового давления окружающего шума в четырех полосах октавы с центральными частотами 500, 1000, 2000 и 4000 Гц.
3.12 качество речи (speech quality): Качество звука в речевом сигнале.
Примечание - Качество речи характеризует количество слышимых искажений речевого сигнала.
3.13 индекс передачи речи, ИПР (speech transmission index, STI): Объективный метод прогнозирования и измерения разборчивости речи.
3.14 голосовое усилие (vocal effort): Голосовое усилие говорящего, которое объективно определяют с помощью эквивалентного корректированного по A уровня звукового давления речи, измеренного на расстоянии одного метра напротив рта говорящего, а субъективно определяют с помощью описания.
3.15 предупреждение (warning): Важное оповещение о любом изменении состояния, которое требует внимания или действий человека.
4.1 Общие сведения
Речевая связь включает в себя три компонента: говорящего, канал передачи и слушателя (слушателей).
Основываясь на этой концепции, выделяют три способа связи:
a) Прямая связь. Этот способ является обычным для общения людей, находящихся в одном месте. При этом электроакустические средства связи не используют.
b) Звуковое оповещение. Обычно его используют для оповещения группы людей, находящихся в одном или нескольких местах, используя электроакустическую систему.
c) Персональные системы связи. Этот способ предусматривает использование сотовых телефонов, раций, стационарных телефонов, интеркомов и телефонов в режиме громкой связи.
4.2 Говорящий
Несколько параметров говорящего определяют качество речевой связи. Этими параметрами являются голосовое усилие, качество произношения, пол, акцент, использование родного/неродного языка общения, нарушения речи и расстояние до слушателя или микрофона.
Голосовое усилие определяют с помощью эквивалентного корректированного по A уровня звукового давления, измеренного на расстоянии одного метра напротив рта говорящего. Уровень окружающего шума в месте нахождения говорящего (вызывающий эффект Ломбарда) и наличие средств защиты слуха влияют на голосовое усилие. Связь между этими параметрами и их влиянием на качество речи описана в
приложении A.
Частотный спектр речи связан с полом человека и голосовым усилием. Это может привести в сочетании с особым типом шума к зависящему от пола говорящего качеству речевой связи [см. приложение B
(B.3) и
приложение C].
Наличие сильного акцента, использование для общения неродного, как для говорящего, так и для слушателей языка, снижает качество связи. Количественные данные приведены в
A.6.
4.3 Канал передачи
Путь передачи речи ото рта говорящего или электроакустической системы до уха слушателя описывают распространением речевого сигнала в комнате или свойствами электроакустической системы. Эти свойства влияют на ухудшение речевого сигнала. Важно также учитывать влияние окружающего шума, реверберации, эха, акустического излучения, ограничений рабочих частот оборудования и нелинейных искажений. В
приложении D приведен обзор средств связи и их параметров.
4.4 Слушатель
Для слушателя ухудшение речевого сигнала определяют его слуховые особенности (такие как направленная слышимость, наличие маскирования, нарушения слуха, порог восприятия речи) и использование средств защиты слуха. В
приложениях A,
C,
D и
E рассмотрены данные параметры, за исключением направленной слышимости, которая в настоящем стандарте не рассмотрена.
5.1 Общие сведения
Для понимания речевого сообщения требуется правильное распознавание каждого фрагмента речи. Технически это означает, что для понимания предложений требуется достижение оценки разборчивости 100%. Оценка разборчивости предложений 100% не означает, что слушатель четко слышит каждое слово, а ситуация, в которой происходит прослушивание, комфортная и ненапряженная. Существует множество ситуаций, в которых требуется лучшее качество речи. В ситуации срабатывания тревоги и неблагоприятных условиях важно обеспечить полное понимание короткого сообщения, даже если правильное понимание потребует от слушателя напряжения слуха. В переговорной комнате, аудитории и на рабочих местах, где речевая связь является необходимым условием выполнения задач и где люди находятся продолжительное время, требуются более спокойные и комфортные условия для говорящих и слушателей. Для говорящего это означает необходимость приложить небольшое голосовое усилие, чтобы быть понятым. Для слушателя, напряжение слуха может быть напрямую связано с разборчивостью и качеством речи в месте прослушивания (см.
таблицу F.1). Диапазон шкал классификации и количество интервалов в нем позволяет распознать условия, необходимые для различных ситуаций (см.
таблицу F.1 и
рисунок F.1).
Качество речевой связи определяют с позиций разборчивости и голосового усилия. В настоящем стандарте идентифицированы различные ситуации и условия окружающей среды. Приведены связанные с ними рекомендуемые минимальные критерии качества. Рассмотрены как короткие сообщения тревоги и предупреждения в неблагоприятных условиях, так и ненапряженное речевое общение в переговорной или аудитории в комфортных условиях. Для людей с легким нарушением слуха (например, пожилых людей) или говорящих на неродном языке требуется более высокое отношение сигнал-шум (примерно 3 дБ).
5.2 Сигналы тревоги и предупреждения
В сигналах тревоги и предупреждения требуется использовать четко произносимые короткие сообщения для предоставления инструкции о безопасной эвакуации или об устранении препятствий с минимальным риском возникновения паники. Поэтому простые предложения должны быть правильно поняты даже в неблагоприятных условиях, при высоких уровнях окружающего шума, большом голосовом усилии говорящего человека и т.д.
Как показано в приложении F
(рисунок F.1), для сообщений тревоги и предупреждения недостаточная разборчивость речи может быть допустима. Этот критерий представляет среднее значение для слушателей с нормальным слухом (охват 50%). Для охвата 96% совокупности слушателей требуется улучшение отношения сигнал-шум на 3 дБ.
При использовании звукового оповещения в неблагоприятных условиях могут быть рекомендованы оценки разборчивости от "недостаточно" до "удовлетворительно". Однако искажения, вызываемые электроакустическими системами и/или средой (ограничение полосы пропускания, нелинейные искажения, шум, реверберация и эхо) также могут влиять на разборчивость речи. Обычно это приводит к необходимости улучшения отношения сигнал-шум.
Чтобы учесть влияние всех искажений и условий среды на итоговую оценку разборчивости речи необходимо оценить качество работы системы в реальных условиях.
5.3 Речевая связь между людьми
Для речевой связи на рабочих местах, в офисах, переговорных, аудиториях и в экстренных ситуациях (для медицинского персонала, пожарных и т.д.) требуются разные уровни разборчивости речи. В экстренных ситуациях обычно используют короткие сообщения, которые включают в себя определенное количество ключевых слов. Для экстренных ситуаций рекомендуемым минимальным уровнем разборчивости речи является "удовлетворительно" при повышенном голосовом усилии говорящего.
Для ситуаций ненапряженного речевого общения, например, в офисах, во время собраний, лекций и представлений, которые длятся продолжительное время, рекомендовано достижение уровня разборчивости речи "хорошо" при нормальном голосовом усилии.
5.4 Звуковое оповещение в общественных местах
В общественных местах речевые сообщения имеют короткую или среднюю продолжительность при нормальном голосовом усилии говорящего. Сообщения могут содержать числа, названия пунктов назначения, имена людей и т.д. Для таких сообщений рекомендовано достижение уровня разборчивости речи от "удовлетворительно" до "хорошо". Обычно звуковое оповещение применяют в торговых центрах, на железнодорожных и автомобильных станциях, стадионах и в других общественных местах.
5.5 Персональные системы связи
Обычно системы связи используют в шумных средах, и они ограничены по рабочей полосе частот. Примерами переносных систем являются сотовые телефоны и ручные рации, а стационарных - обычные телефоны и телефоны в режиме громкой связи. В зависимости от типа связи (сложности сообщений) и интенсивности использования системы рекомендовано достижение уровня разборчивости речи от "удовлетворительно" до "хорошо".
5.6 Рекомендуемое минимальное качество связи
Рекомендуемые минимальные требования к качеству связи приведены в таблице 1. Однако в некоторых условиях необходимо достижение лучшего качества.
Таблица 1
Рекомендуемый минимальный уровень разборчивости речи
и голосовое усилие в четырех ситуациях
Ситуация | Минимальный уровень разборчивости речи | Максимальное голосовое усилие | Подраздел стандарта |
Ситуации предупреждения и тревоги (необходимо правильное понимание простых предложений) | Недостаточный | Громкая речь | |
Ситуации предупреждения и тревоги (необходимо правильное понимание ключевых слов) | Удовлетворительный | Громкая речь | |
Речевая связь между людьми (критически важная) | Удовлетворительный | Громкая речь | |
Речевая связь между людьми (продолжительное обычное общение) | Хороший | Нормальная речь | |
Звуковое оповещение в общественных местах | Удовлетворительный | Нормальная речь | |
Персональные системы связи | Удовлетворительный | Нормальная речь | |
6 Оценка и прогнозирование речевой связи
6.1 Общие положения
Оценку речевой связи выполняют на основе показателей качества речи, разборчивости речи, коммуникабельности речи и голосового усилия говорящего. Настоящий стандарт позволяет учесть только разборчивость речи и голосовое усилие говорящего. Разборчивость речи может быть определена с помощью методов субъективной оценки (с привлечением говорящих и слушателей) и методов объективной оценки (с помощью исследования физических свойств и физических характеристик процесса связи).
6.2 Методы субъективной оценки речи
Субъективная оценка требует привлечения специально обученных людей, которые зачитывают перечень контрольных слов, в то время как слушатели записывают то, что они слышат. Обычно перечень состоит из 50 слов, а результат оценивают по шкале в 100 баллов. Контрольные слова должны быть включены во фразы таким образом, чтобы
a) говорящий мог управлять своим голосовым усилием;
b) учитывать временные искажения при произнесении контрольных слов;
c) привлекать внимание слушателей к каждому высказыванию.
Контрольные слова могут быть смысловыми или бессмысленными, фонетически-сбалансированными (с репрезентативным для языка распределением фонем) или равносбалансированными (распределение фонем одинаково для всех фонем). Тип слов, использованный в испытании, определяет связь с другими типами испытаний, такими как испытания для оценки индекса передачи речи и уровня помех для речи. Описание методов субъективной оценки разборчивости речи приведено в
приложении B.
6.3 Методы объективной оценки и прогнозирования речи
Существует несколько объективных методов прогнозирования разборчивости речи. В зависимости от используемого метода для прогнозирования разборчивости речи используют объективные измерения или требования к системе и пространству. Прогнозирование может включать в себя рассмотрение:
- спектра речевого сигнала;
- спектра шума в окружающей среде;
- пространственного распределения звуковых полей;
- реверберации;
- расположения слушателей;
- оценки разборчивости речи.
Широко используемыми методами являются измерение уровня помех для речи, индекса передачи речи и индекса разборчивости речи. Стандартное описание метода оценки уровня помех для речи приведено в
приложении E, стандартное описание метода оценки индекса передачи речи приведено в МЭК 60268-16:1998, а справочное описание - в
приложении C. Описание метода оценки индекса разборчивости речи приведено в ANSI S3.5
[1].
(обязательное)
ХАРАКТЕРИСТИКИ ГОВОРЯЩЕГО И СЛУШАТЕЛЯ
Уровень звукового давления речевого сигнала зависит от голосового усилия говорящего. Голосовое усилие определяют с помощью эквивалентного корректированного по A уровня звукового давления, измеренного на расстоянии одного метра напротив рта говорящего. Связь между голосовым усилием и соответствующим уровнем звукового давления речи приведена в таблице A.1 для говорящего мужчины.
Таблица A.1
Голосовое усилие мужчины и соответствующий
корректированный по A уровень звукового давления речи
(дБ относительно 20 мкПа), измеренный на расстоянии 1 м
напротив рта говорящего
Голосовое усилие | LS,A,lм, дБ |
Очень громкая речь | 78 |
Громкая речь | 72 |
Речь повышенной громкости | 66 |
Речь нормальной громкости | 60 |
Речь слабой громкости | 54 |
A.2 Влияние окружающего шума на голосовое усилие
Окружающий шум, превышающий определенный уровень, влияет на голосовое усилие (это явление известно как эффект Ломбарда). На рисунке A.1 приведена связь между уровнем звукового давления речи и окружающим шумом. У различных людей эффект Ломбарда может проявляться с разной силой.
Рисунок A.1 - Связь диапазона голосового усилия
(эквивалентный непрерывный уровень звукового
давления речи) с уровнем окружающего шума
A.3 Снижение качества речи при громкой речи
Качество громкой речи, уровень которой превышает
LS,A,1м = 75 дБ, существенно снижается, делая ее понимание более сложным по сравнению с менее громкой речью. Это учитывают, снижая громкость речи в вычислениях:
LS,A,1м должен быть снижен на

(
LS,A,1м - 75) дБ для
LS,A,1м > 75 дБ.
Примечание - Значение некоторых символов, использованных в настоящем стандарте, объяснено в
приложении G.
A.4 Влияние средств защиты слуха на голосовое усилие
Говорящий с надетыми средствами защиты слуха снижает свое голосовое усилие примерно на 3 дБ, если уровень окружающего шума LN,A превышает 75 дБ по сравнению с человеком без средств защиты слуха.
A.5 Влияние расстояния между говорящим и слушающим
На основе уровня звукового давления речи в месте нахождения говорящего (LS,A,1м) может быть аппроксимирован уровень звукового давления речи в месте нахождения слушателя (LS,A,L). Для этого используют уравнение:
где r - расстояние между говорящим и слушателем, м;
r0 = 1 м.
Из уравнения следует, что при каждом увеличении расстояния в два раза уровень звукового давления речи снижается на 6 дБ. Это справедливо как для речи в помещении, так и вне помещения на расстоянии до 2 м. Для условий с временем реверберации менее 2 с на частоте 500 Гц данное правило действует для расстояния до 8 м.
A.6 Влияние использования неродного языка
Снижение разборчивости речи наблюдается при разговоре на неродном языке даже у хорошо владеющих им людей, а также при прослушивании речи на неродном языке. Для достижения одинакового уровня разборчивости речи на неродном языке как на родном требуется улучшение отношения сигнал-шум на 4 - 5 дБ (см.
[15]). Улучшение отношения сигнал-шум на 4 дБ соответствует улучшению индекса передачи речи на 0,13 и улучшению оценки уровня помех для речи на 4 дБ.
(справочное)
ИСПЫТАНИЯ НА СУБЪЕКТИВНУЮ ОЦЕНКУ РАЗБОРЧИВОСТИ РЕЧИ
B.1 Основные условия испытаний
Речевые возможности говорящих и слуховые возможности слушателей должны быть достаточными для обеспечения результативной прямой речевой связи, связи с помощью систем звукового оповещения или персональных устройств связи (см.
рисунок D.1).
Говорящие и слушатели должны быть знакомы с используемым языком на уровне произношения и понимания речевого сообщения. Лучше, если говорящими людьми являются носители языка.
Слушатели должны быть защищены от опасности нанесения вреда здоровью и безопасности. Это означает, что безопасные уровни звукового давления речи не должны быть превышены. Рекомендуемый максимальный уровень корректированного по A звукового давления речи составляет 80 дБ для продолжительности воздействия 8 ч (рабочий день).
B.2 Текст для испытаний
B.2.1 Общие положения
Испытания разборчивости речи должны предоставлять достоверные, надежные результаты, позволяющие провести анализ ошибок в оценках слушателей. Текст для испытаний должен включать в себя слова, которые типичны для испытуемой системы и репрезентативны для сообщений, передаваемых с помощью системы. Следует рассмотреть возможность минимизации затрат на испытания, например, возможность автоматизации для упрощения управления испытаниями.
Существует несколько методов измерения разборчивости речи (см.
F.4). В настоящем стандарте приведены три типа испытаний разборчивости речи:
- испытания с использованием открытого набора СГС
РС-слов
<1>;
- испытания с использованием открытого набора ФС-слов
<2>;
- испытания с использованием предложений.
--------------------------------
<1> СГС
РС - Равно-сбалансированные слова с чередованием "согласная-гласная-согласная".
<2> ФС-слова - Фонетически сбалансированные слова.
B.2.2 Открытые наборы слов
Открытые наборы слов составляют на основе полных наборов контрольных слов. В случае испытаний с использованием открытого набора СГС-слов, контрольное слово создается случайным образом из набора начальных согласных, гласных и конечных согласных. Бессмысленные СГСРС-слова сбалансированы для представления всех фонем языка в равной степени. При создании СГС-слов могут применяться зависящие от языка ограничения на сочетание некоторых фонем.
Испытания с использованием смысловых ФС-слов выполняют на основе набора односложных слов. Различные фонемы в таких испытаниях используют в соотношении, типичном для конкретного языка.
Для обоих типов испытаний обычно используют набор из 50 слов. Общее количество контрольных слов не должно быть менее 1000 слов, чтобы избежать адаптации слушателей к часто используемым перечням слов. Чтобы получить схожие в процентном отношении результаты испытаний разборчивости речи с использованием открытого набора СГС
РС-слов, необходимо повысить отношение сигнал-шум примерно на 6 дБ по сравнению с испытаниями с использованием смысловых ФС-слов (см.
рисунок F.1).
Говорящий зачитывает перечень слов группе слушателей. Слушатели обычно записывают слова в листе ответов (или на компьютере, используя бесшумную клавиатуру). Оценкой разборчивости является процент правильно идентифицированных слов. В случае испытаний с использованием бессмысленных СГС-слов может быть отдельно определена разборчивость для начальной согласной, гласной и конечной согласной, что позволяет создать матрицу неточностей. Более подробная информация приведена в
приложении F и см.
[13].
B.2.3 Испытания с использованием предложений
Обычно, испытания с использованием предложений не рекомендуют для оценки систем передачи речи, потому что знание слушателем грамматики, смысла и синтаксиса предложений оказывает влияние на результат. Другой сложностью является создание большого количества фонетически репрезентативных предложений определенной сложности. Однако в некоторых случаях может быть использован метод ПВР
<3>, с помощью которого определяют уровень шума для уровня разборчивости предложения 50%. В зависимости от текстового материала это соответствует отношению сигнал-шум от минус 4 дБ до минус 6 дБ (см.
рисунок F.1). Следовательно, в разных условиях значение может быть различным.
--------------------------------
<3> ПВР - порог восприятия речи.
B.3 Говорящие и слушатели
Выбранные говорящие и слушатели должны представлять репрезентативную часть совокупности пользователей испытуемой системы. При выборе людей следует учитывать их возраст, пол, образование, опыт и языковую подготовку. Выбор репрезентативной группы, определение ее объема и уровня подготовки следует выполнять в соответствии с регламентированными методами.
В настоящем стандарте приведены следующие рекомендации:
- необходимо включать в группу в качестве говорящих хотя бы одного мужчину и одну женщину установленной национальности, владеющих установленным языком;
- необходимо привлекать пять слушателей, заинтересованных в испытаниях с небольшим закрытым набором слов, и десять слушателей для испытаний с большим открытым набором слов;
- говорящие и слушатели должны иметь опыт в разговоре и правописании на языке, используемом в испытаниях и хороший слух. Аудиограмма чистого тона не должна превышать уровень звукового давления в 10 дБ на частотах до 4000 Гц, и в 15 дБ на частотах до 6000 Гц;
- время подготовки должно составлять от 5 мин до 24 ч в зависимости от процедуры проведения испытаний.
Образцы речи могут быть произносимы человеком или записаны заранее. Параметры системы записи, такие как амплитудно-частотная характеристика, нелинейные искажения и отношение сигнал-шум должны быть не хуже, чем соответствующие параметры у испытуемой системы. Во время записи речи говорящий должен быть помещен в тихую, звукопоглощающую среду. Необходимо указать расстояние от рта говорящего до микрофона.
Говорящий должен знать грамматику контрольного материала. Для контроля за громкостью и временем произносимого материала необходимо обеспечить визуальную обратную связь. При использовании живой и записанной речи должен быть применен один и тот же тип обратной связи. Говорящие должны пройти подготовку для достижения стабильного уровня звукового давления при произнесении речи (в среднем 65 +/- 3 дБ на расстоянии 1 м напротив рта).
Слушатели должны быть знакомы с испытуемой системой связи и ознакомлены с процедурой испытаний. Также необходимо предоставить им письменные инструкции.
Необходимо провести обучение слушателей для их ознакомления с процедурой испытаний и контрольными словами. Обучение состоит из прослушивания всех слов из перечня в условиях без помех с использованием системы связи без искажений. Обучение необходимо выполнять пока слушатели не будут распознавать 100% (или почти 100%) сказанных слов в идеальных условиях прослушивания. Слушатели должны пройти обучение с голосами всех говорящих. Для предотвращения чтения по губам слушатели не должны видеть говорящего.
B.4 Испытания на разборчивость речи
Обычно, испытания на разборчивость речи включают в себя несколько условий испытаний, поскольку, как правило, испытывают несколько систем связи или одну систему в различных режимах работы (например, с разным отношением сигнал-шум), что приводит к получению различных оценок разборчивости речи. Однако если для оценки используют только одни условия, то рекомендуют использовать типичные условия эксплуатации системы связи.
Если оценку проводят в нескольких условиях испытаний, то необходимо использовать сбалансированный план испытаний, устраняющий влияние различных случайных факторов, над которыми во время испытаний нет полного контроля (например, влияние обучения слушателей). Должна быть собрана вся важная информация, относящаяся к слушателям. Она включает в себя информацию об уверенности слушателей в своих ответах и их мнение об испытуемой системе. Все важные для условий испытаний переменные должны быть заранее определены и измерены.
В случае живой речи необходимо контролировать и записывать информацию об уровне звукового давления речи, скорости речи и голосовом усилии. Уровни звукового давления речи и шума в месте нахождения говорящего и около ушей слушателей должны быть измерены и записаны. В случае заранее записанной речи измеряют и записывают только уровни звукового давления речи и шума около ушей слушателей.
Если устройство связи создает ограничения для движения рта и губ (например, специальный шлем с микрофоном), то необходимо сообщить и описать возникающие трудности.
B.5 Статистический анализ и документирование результатов
При простых испытаниях должны быть вычислены средняя оценка (процент правильных ответов) и стандартное отклонение, что позволяет определить доверительный интервал с уровнем доверия 96%. В зависимости от плана испытаний (например, количества говорящих, слушателей, условий и повторных измерений) может быть использован дисперсионный анализ.
(справочное)
Метод измерений индекса передачи речи (см.
[7],
[11],
[12],
[14]) предполагает, что разборчивость передаваемого речевого сигнала относится к сохранению изначальных спектральных различий между речевыми звуками. Эти спектральные различия могут быть уменьшены ограничением полосы пропускания, маскирующим шумом, временными искажениями (эхо, реверберация, автоматическая регулировка усиления) и нелинейными искажениями (перегрузкой системы, шумом квантования). Снижение этих спектральных различий может быть измерено с помощью эффективного отношения сигнал-шум, полученного для нескольких полос частот. Эффективное отношение сигнал-шум могут снизить такие особенности человека, как порог восприятия речи, нарушения слуха и др., а также произнесение и прослушивание слов на неродном языке. Метод основан на вычислении отношения сигнал-шум на семи важных полосах частот (октавные полосы, диапазон центральных частот от 125 Гц до 8 кГц). Вклад каждой измеренной функции передачи информации по семи октавным полосам частот преобразуют в единственный индекс передачи речи.
Первоначально метод разработан для измерений. С этой целью был установлен особый контрольный сигнал, который после прохождения по каналу передачи анализировали для определения эффективного отношения сигнал-шум на различных полосах частот и вычисления индекса передачи речи. Контрольный сигнал был спроектирован таким образом, чтобы после анализа можно было получить информацию об искажениях, упомянутых выше. В частности, для определения временных и нелинейных искажений требуется особый контрольный сигнал и анализ.
Можно спрогнозировать значение индекса передачи речи для каналов с ограничением полосы пропускания и шумом, основываясь на отношении сигнал-шум на семи октавных полосах частот. Однако прогнозирование влияния временного искажения на индекс ограничено одиночным эхом и реверберацией. Для измерения реверберации используют простой алгоритм и учитывают только непрерывные экспоненциальные кривые затухания. Это исключает прогнозирование для акустически соединенных помещений и очень сложных сред <1>. Влияние нелинейных искажений на индекс передачи речи не может быть спрогнозировано с использованием простого алгоритма.
--------------------------------
<1> При использовании специальных алгоритмов может быть выполнено прогнозирование для более сложных сред.
Требования к измерению индекса передачи речи установлены в МЭК 60268-16:1998.
Прогнозирование значения индекса передачи речи может быть выполнено в девять этапов.
Этап 1. Определение спектра речи на семи октавных полосах частот рядом с ухом слушателя.
Этот этап включает в себя определение голосового усилия (включая эффект Ломбарда и влияние средств защиты слуха, см.
приложение A), спектра мужской/женской речи, расстояния между говорящим и слушателем и влияния ограничения полосы пропускания.
Этап 2. Определение спектра шума на семи октавных полосах частот рядом с ухом слушателя.
Этап 3. Определение отношения сигнал-шум для каждой полосы на основе спектров речи и шума и преобразование этих отношений в соответствующие
m-значения
где S - уровень звукового давления речи, в дБ;
N - уровень звукового давления шума, в дБ.
При отсутствии временного искажения, следует перейти к выполнению
этапа 6.
Этап 4. Определение раннего затухания времени реверберации в среде прослушивания и вычисление (в установленной полосе частот) функции передачи модуляции с использованием формулы, приведенной в МЭК 60268-16:1998, A.2.1 и
приложении D. В результате будет получено 14
m-значений на полосу частот.
Этап 5. Корректировка для каждой полосы октавы семи
m-значений, полученных на
этапе 3 с помощью функций передачи модуляции, вычисленных на
этапе 4. Корректировку выполняют с помощью умножения
m-значения на функцию передачи модуляции.
Этап 6. Корректировка
m-значений для звуковых эффектов (маскирования, порога восприятия).
Этап 7. Определение эффективных отношений сигнал-шум в пределах границ диапазона (от -15 до +15 дБ).
Этап 8. Определение индексов передачи модуляции на основе эффективных отношений сигнал-шум.
Этап 9. Вычисление индекса передачи речи на основе индексов передачи модуляций.
(справочное)
ОБЗОР СРЕДСТВ СВЯЗИ И ИХ ПАРАМЕТРОВ
D.1 Общие сведения
На
рисунке D.1 приведены схемы трех основных способов связи. Каждый модуль схем подробно рассмотрен, приведены ссылки на соответствующие пункты настоящего стандарта. Рекомендуется предусмотреть техническую возможность реализации каждого модуля в канале связи и идентифицировать проблемы, которые влияют на работу всей системы. На основе модулей или компонентов в
D.2,
D.3 и
D.4 описаны три системы, включающие в себя:
- вход: говорящий;
- канал: среда (комната), система передачи речи;
- выход: слушатель.
a) Прямая связь (лицом к лицу) <a>
--------------------------------
<a> Мастерская, офис, конференц-зал, аудитория.
b) Звуковое оповещение (предупреждения, объявления) <b>
--------------------------------
<b> Тревога/предупреждение в общественных местах, звуковое оповещение (офисы, магазины, ж/д и автомобильные станции).
c) Персональные системы связи (интерком, рация,
сотовый телефон и т.д. <c>
--------------------------------
<c> Телефон, интерком, сотовый телефон, места управления и контроля.
Рисунок D.1 - Обзор трех способов связи: прямой связи,
звукового оповещения и связи через персональное
устройство связи
D.2 Прямая связь без использования электроакустических средств
Для связи между людьми основными параметрами являются: говорящий человек, слушатель и акустическая среда, в которой они находятся. Идентифицируют следующие параметры:
a) Говорящий:
- характеристики говорящего: пол, возраст, нарушения речи;
- язык (родной, неродной, см.
A.6);
- голосовое усилие, включая эффект Ломбарда и громкую речь (см.
A.1,
A.2 и
A.3);
- направление речи (в настоящем стандарте рассмотрена ориентированность людей "лицом к лицу");
- наличие средств защиты слуха (см.
A.4).
Среда:
- временное искажение (реверберация, эхо, см.
приложение C);
- расстояние между говорящим и слушателем (см.
A.5).
Слушатель:
- характеристики слушателя: пол, возраст, нарушения слуха;
- язык (родной, неродной, см.
A.6);
- защита слуха (заглушающие наушники, беруши, гарнитура, см.
A.4).
D.3 Связь через систему звукового оповещения
Для звукового оповещения используют электроакустические средства, такие как микрофоны, усилители и громкоговорители. Для таких систем идентифицируют следующие параметры:
a) Говорящий:
- заранее записанные сообщения: (исходная разборчивость воспроизводимой речи).
b) Микрофон:
- расстояние до говорящего и положение (см.
D.2 и
A.5);
- шумоподавление (определить вклад в улучшение отношения сигнал-шум);
c) Усилитель:
- настройка чувствительности для микрофона и громкоговорителя (определить уровень выхода).
d) Громкоговоритель (группа):
- уровень звукового давления выходящего звука;
- направленность (область охвата);
- многоканальный вывод (задержка между громкоговорителями и возникновение эха, см.
приложение E).
e) Среда:
- перенос звука к слушателю (шум, реверберация, эхо, см.
приложение C).
f) Слушатель:
D.4 Связь через персональную систему связи
Персональные системы связи используют проводную или беспроводную технологии для установления связи между пользователями. В принципе, аспекты, связанные с говорящим и слушателем такие же, как для прямой связи и связи через систему звукового оповещения. Персональные системы связи могут работать в режиме громкой связи, что увеличивает влияние на акустическую среду. Для таких систем идентифицируют следующие параметры:
a) Говорящий:
b) Микрофон:
- расстояние до говорящего и положение (см.
D.2);
- шумоподавление (определить вклад в улучшение отношения сигнал-шум);
c) Путь передачи речи:
- автоматическая регулировка усиления (динамический диапазон, для регулировки быстрой атаки и времени затухания звука используют функцию передачи модуляции, см.
приложение C);
- нелинейные искажения (перегрузка, кодирование речи, см.
приложение C);
- уровень выхода звука (шум, реверберация, расстояние до слушателя).
d) Громкоговоритель:
- уровень выхода звука;
- направленность.
e) Слушатель:
- уровень сигнала (определить отношение сигнал-шум);
- окружающий шум (определить отношение сигнал-шум);
- временное искажение (реверберация, эхо, см.
приложение C).
(обязательное)
E.1 Общие сведения
Измерение уровня помех для речи представляет собой простой метод прогнозирования или оценки разборчивости речи в случаях прямой связи в шумной среде
[3],
[8]. Метод учитывает среднее арифметическое спектра шума (без разделения по частотам), голосовое усилие говорящего человека и расстояние между говорящим и слушателем. Метод следует использовать только в ситуациях, когда не могут быть использованы другие методы прогнозирования и оценки разборчивости речи.
E.2 Окружающий шум
Для определения уровня шумовых помех для речи (LУПР) необходимо определить уровни звукового давления на октавных полосах частот в 500, 1000, 2000 и 4000 Гц в месте нахождения слушателя в условиях наличия типичного для данной среды шума. В нормальных условиях должен быть определен эквивалентный уровень звукового давления. В целях безопасности, этот уровень должен быть принят в качестве максимального значения звукового давления при измерении шумомером с временной характеристикой "медленно".
Уровень шумовых помех для речи (LУПР) вычисляют как среднее арифметическое уровней звукового давления на четырех октавных полосах частот с центральными частотами 500, 1000, 2000 и 4000 Гц. Для этого используют уравнение:

для
i = 1, 4.
Примечание - Значение некоторых символов, использованных в настоящем стандарте, объяснено в
приложении G.
E.3 Уровень звукового давления речи
Уровень звукового давления речевого сигнала определяет голосовое усилие говорящего
(A.1), с учетом: уровня окружающего шума (см.
A.2), влияния громкой речи (см.
A.3), расстояния
(A.5), использования средств защиты слуха (см.
A.4), родного/неродного языка
(A.6). Голосовое усилие говорящего определяет эквивалентный непрерывный корректированный по A уровень звукового давления речи, измеренный на расстоянии 1 м напротив рта говорящего (см.
таблицу A.1).
E.4 Параметр, определяющий разборчивость речи
Уровень помех для речи определяют как разность уровня звукового давления речи
LS,A,L и уровня шумовых помех для речи
LУПР, которые измеряют в месте нахождения слушателя. Уровень разборчивости речи является удовлетворительным, если
LS,A,L -
LУПР >= 10 дБ в месте нахождения слушателя. Для оценки уровня помех для речи см.
таблицу F.1.
(справочное)
МЕТОД ОЦЕНКИ РАЗБОРЧИВОСТИ РЕЧЕВОЙ СВЯЗИ
F.1 Общие сведения
Качество канала передачи речи может быть определено с помощью субъективных испытаний (с участием говорящих и слушателей) или с помощью объективных методов (на основе физических свойств путей передачи сигнала и физического описания процесса разговора и прослушивания).
F.2 Субъективные методы испытаний
Для оценки систем речевой связи разработаны субъективные испытания на оценку разборчивости речи (см.
[2],
[3],
[5],
[6],
[8],
[9],
[10]).
Субъективные испытания на оценку разборчивости речи могут быть разделены по категориям на основе текстового материала и процедуры оценки, используемой в испытаниях. Наименьшая единица речи при испытаниях (например, фонема) должна представлять собой сегмент (например, фонемы). Другими единицами являются сочетания СГ (согласная-гласная), ГС (гласная-согласная) и СГС (согласная-гласная-согласная), бессмысленные слова, смысловые слова, предложения и короткие разговоры (см.
приложение B).
Испытания могут иметь процедуру с открытым или закрытым множеством ответов. Если используют закрытое множество ответов, то слушатель должен выбрать наиболее вероятный вариант из нескольких представленных альтернатив. Обычно такую процедуру используют в испытаниях речевых рифм (например, в МИР, Модифицированное испытание рифм
[6]). При открытом множестве ответов слушатель может свободно давать ответы.
Помимо разборчивости с помощью анкет или методов шкалирования могут быть определены качество речи и голосовое усилие. Качество речи с субъективной точки зрения включает в себя общее впечатление слушателя, естественность речи, четкость, и т.д. Субъективную оценку качества речи обычно проводят для каналов связи с высокой разборчивостью речи, для которых невозможно использовать большинство других испытаний из-за "эффекта (измерительного) потолка".
F.3 Объективные методы испытаний
Объективные оценки разборчивости, как правило, основаны на важных физических свойствах пути передачи информации от говорящего к слушателям. При выявлении ухудшения качества может быть выполнено прогнозирование разборчивости речи. Объективная оценка учитывает аспекты разговора и прослушивания, такие как эффект Ломбарда, голосовое усилие, наличие маскирования, порог восприятия, наличие средств защиты слуха (учитывается при измерении индексов передачи и разборчивости речи, и частично уровня помех для речи и др.). Кроме того, при измерении индекса передачи речи учитывают временные искажения (реверберация, эхо, автоматическая регулировка усиления) и нелинейные искажения.
Прямое объективное измерение с применением установленных контрольных сигналов возможно при использовании метода измерения индекса передачи речи, который позволяет определить важные физические свойства канала передачи (функции передачи модуляции, нелинейные искажения). Алгоритм объективных измерений и прогнозирования одинаков, но влияние нелинейных искажений можно измерить только в фактических условиях эксплуатации.
Для любого спектра шума погрешность индекса передачи речи и индекса разборчивости речи должна составлять от 1 до 2 дБ. Оценка уровня помех для речи должна иметь погрешность от 2 до 3 дБ. При оценке уровня помех для речи может появляться систематическая погрешность, особенно для шумовых сигналов с прерывистым частотным спектром.
F.4 Связь между различными оценками разборчивости речи
Связь между оценкой разборчивости речи, а также субъективными и объективными оценками индексов передачи и разборчивости речи, приведена в таблице F.1. На
рисунке F.1 показан эффективный диапазон для каждого метода испытаний.
Таблица F.1
Оценка разборчивости речи и соотношение между различными
индексами разборчивости речи
Оценка разборчивости речи <a> | | Баллы смысловых ФС-слов <c>, % | Баллы СГСРС не смысловых слов, % | | Уровень помех для речи <d>, дБ | Индекс разборчивости речи <e> |
Отлично | 100 | > 98 | > 81 | > 0,75 | 21 | - |
Хорошо | 100 | 93 - 98 | 70 - 81 | 0,60 - 0,75 | 15 - 21 | > 0,75 |
Удовлетворительно | 100 | 80 - 93 | 53 - 70 | 0,45 - 0,60 | 10 - 15 | - |
Недостаточно | 70 - 100 | 60 - 80 | 31 - 53 | 0,30 - 0,45 | 3 - 10 | > 0,45 |
Плохо | < 70 | < 60 | < 31 | < 0,30 | < 3 | - |
<a> Классификация по пятибалльной шкале, см. [7], [8], [14]. <b> Баллы для простых предложений [10], баллы для СГС РС не смысловых слов с равно-сбалансированным распределением фонем [12], [13] и для ФС-слов (из фонетически сбалансированного Гарвардского списка) [2]. <e> Процедура оценки индекса разборчивости речи не позволяет определить интервалы классификации. Стандарт ANSI [1] позволяет определить только две оценки: хорошо > 0,75 и недостаточно < 0,45. |

--------------------------------
Рисунок F.1 - Связь между классификацией, субъективными
и объективными оценками (для справки см.
[2],
[10],
СГС
РС - не смысловые слова
<1> имеют немного больший диапазон, чем смысловые контрольные слова
<2> (см.
[2]). Предложения (а также связанные с ними цифры и символы) можно использовать для оценки "недостаточных" уровней разборчивости речи, но такой речевой материал нельзя использовать для оценки более хороших условий. Такой "эффект потолка" может возникать вследствие:
a) обилия слов в предложении;
b) ограниченного числа контрольных слов для цифр и символов;
c) условий, в которых правильное распознавание слов главным образом зависит от распознавания гласных.
--------------------------------
<1> РС (равно-сбалансированное распределение фонем) часто используют для составления списков слов. Преимуществом является определение с равной точностью частоты ошибок для каждой фонемы и получение сбалансированной не смысловой матрицы неточностей.
<2> Смысловые контрольные слова являются фонетически сбалансированными, поэтому распределение фонем является типичным для используемого языка. Обычно оценка разборчивости у таких слов выше, чем у не смысловых слов, из-за того что знакомые слова легче распознать.
Оценки и баллы разборчивости получены для слушателей с нормальным слухом. Влияние голосового усилия говорящего, наличия у него акцента и использования неродного языка (см.
приложение A) также может быть учтено. Однако патологические дефекты и нарушения речи говорящего учесть невозможно.
(обязательное)
LS,A,1м | - | Эквивалентный непрерывный корректированный по A уровень звукового давления речи, измеренный на расстоянии 1 м напротив рта говорящего. |
LS,A,L | - | Эквивалентный непрерывный корректированный по A уровень звукового давления, измеренный рядом с ухом слушателя. |
LN,oct,i | - | Октавный уровень давления окружающего шума рядом с ухом пользователя на октавной полосе "i". |
LУПР | - | Уровень шумовых помех для речи рядом с ухом пользователя. |
(справочное)
ПРИМЕРЫ ПРИМЕНЕНИЯ МЕТОДОВ ПРОГНОЗИРОВАНИЯ
РАЗБОРЧИВОСТИ РЕЧИ
H.1 Прямая речевая связь
H.1.1 Введение
Прямая речевая связь возникает в условиях, когда говорящий и слушатель находятся в одной среде непосредственно друг перед другом. Влияние чтения по губам в настоящем стандарте не рассмотрено. Важными параметрами прогнозирования разборчивости речи являются:
a) спектр речи (мужчина или женщина);
b) речевое усилие говорящего;
c) расстояние между говорящим и слушателем (от рта говорящего до ушей слушателя);
d) спектр окружающего шума;
e) акустические свойства среды (реверберация, эхо).
В случае прямой связи говорящего и слушателя обычно располагают близко друг от друга. Следовательно, акустические свойства среды оказывают лишь небольшое влияние на разборчивость речи.
Пример требований к прямой речевой связи:
- пол говорящего: мужской;
- голосовое усилие: нормальное;
- расстояние до слушателя: 2 м;
- спектр окружающего шума: см. таблицу H.1.
Таблица H.1
Спектр окружающего шума
(октавный уровень в дБ относительно 20 мкПа)
Октавная полоса частот, Гц | 125 | 250 | 500 | 1000 | 2000 | 4000 | 8000 | Линейная | Корректированный по A |
Уровень, дБ | 41,0 | 43,0 | 50,0 | 47,0 | 42,0 | 42,0 | 39,0 | 53,5 | 51,7 |
В соответствии с этими требованиями могут быть определены оценки уровня помех для речи и индекса передачи речи. Так как эти оценки используют различный алгоритм, вычисления должны быть сделаны отдельно.
Примечание - Значение некоторых символов, использованных в настоящем стандарте, объяснено в
приложении G.
H.1.2 Вычисление оценки уровня помех для речи
В соответствии с
приложением A эквивалентный непрерывный корректированный по A уровень звукового давления речи
LS,A,1м составляет 60 дБ.
Это дает
LS,A,L = 54 дБ (с учетом того, что

).
Оценку уровня помех для речи получают с помощью вычисления среднего октавного уровня для октавных полос от 500 до 4000 Гц. Это дает
Параметром, определяющим разборчивость речи, является уровень помех для речи
УПР = LS,A,L - LУПР = 54 - 45,3 = 8,7 дБ.
Данное значение соответствует оценке разборчивости речи "недостаточно".
H.1.3 Вычисление индекса передачи речи
Этап 1. В соответствии с МЭК 60268-16:1998 спектр речи мужчины на расстоянии 1 м напротив рта приведен в таблице H.2.
Таблица H.2
Спектр речи на расстоянии 1 м напротив рта говорящего
мужчины (октавный уровень в дБ относительно 20 мкПа)
Октавная полоса частот, Гц | 125 | 250 | 500 | 1000 | 2000 | 4000 | 8000 | Линейная | Корректированный по A |
Уровень 1 м, дБ | 62,9 | 62,9 | 59,2 | 53,2 | 47,2 | 41,2 | 35,2 | 67,0 | 60,0 |
Уровень 2 м, дБ | 56,9 | 56,9 | 53,2 | 47,2 | 41,2 | 35,2 | 29,2 | 61,0 | 54,0 |
Примечание - Преобразование значений от 1 м к 2 м аналогично применяемому при оценке уровня помех для речи.
Этапы 2 и
3. Эффективные отношения сигнал-шум и индексы передачи на семи октавных полосах, использованные для вычисления оценки индекса передачи речи, приведены в таблице H.3.
Таблица H.3
Преобразование эффективных отношений сигнал-шум
в индексы передачи на семи октавных полосах
Октавная полоса частот, Гц | 125 | 250 | 500 | 1000 | 2000 | 4000 | 8000 |
Отношение сигнал-шум, дБ | 15,9 | 13,9 | 3,2 | 0,2 | -0,8 | -6,8 | -9,8 |
Индекс передачи | 1,00 | 0,96 | 0,61 | 0,51 | 0,47 | 0,27 | 0,17 |
Этапы 4 и
5. Так как реверберация не указана, эти этапы пропускают.
Этапы 6 и
7. Итоговое значение оценки индекса передачи речи (ИПР) составляет 0,48 что соответствует оценке разборчивости "удовлетворительно".
Итог: УПР = 8,7 дБ, ИПР = 0,48.
H.2 Применение системы звукового оповещения в среде с реверберацией
H.2.1 Общие сведения
Систему звукового оповещения используют в комнате с наличием реверберации (например, комнате ожидания с керамической плиткой на полу и гладкими бетонными стенами). Требуется выполнить следующие измерения:
a) Раннее время затухания (РВЗ) на октавных полосах, квантифицирующее время реверберации среды для первых 10 - 15 дБ кривой затухания. См.
таблицу H.4.
b) Функции электроакустической передачи на октавных полосах всех используемых систем (микрофон, усилители, громкоговорители). Требуется сочетание общей функции передачи, связывающее спектр речи на входе в микрофон со спектром речи в установленном месте нахождения слушателя. См. таблицу H.4.
Таблица H.4
Раннее время затухания и частота передачи
для семи октавных полос
Центральная частота октавной полосы, Гц | 125 | 250 | 500 | 1000 | 2000 | 4000 | 8000 |
Раннее время затухания, с | 4,0 | 3,1 | 2,4 | 1,9 | 1,5 | 1,1 | 0,7 |
Функция передачи всей системы (говорящий находится на расстоянии 0,25 м от микрофона, слушатель в установленном месте в аудитории), дБ | -30,0 | 5,0 | 15,0 | 20,0 | 24,0 | 20,0 | 2,0 |
Пример требований:
- пол говорящего: женский;
- голосовое усилие: слабое;
- расстояние от громкоговорителя до слушателя: не имеет значения для вычисления индекса передачи речи в данном случае;
- спектр окружающего шума: см. таблицу H.5.
Таблица H.5
Спектр окружающего шума (октавный уровень
в дБ относительно 20 мкПа)
Центральная частота октавной полосы, Гц | 125 | 250 | 500 | 1000 | 2000 | 4000 | 8000 | Линейная | Корректированный по A |
Уровень, дБ | 61,0 | 63,0 | 70,0 | 67,0 | 62,0 | 62,0 | 59,0 | 73,5 | 71,7 |
H.2.2 Вычисление оценки индекса передачи речи
Этап 1. В МЭК 60268-16:1998 приведен спектр речи женщины (слабое голосовое усилие). Предполагая что расстояние от говорящего до микрофона составляет 25 см, спектр речи в месте положения микрофона может быть вычислен аналогично, как и в примере 1.
Спектр речи (октавный уровень в дБ относительно 20 мкПа) приведен в таблице H.6.
Таблица H.6
Спектр речи на расстоянии 25 см напротив рта говорящей
женщины (октавный уровень в дБ относительно 20 мкПа)
Центральная частота октавной полосы, Гц | 125 | 250 | 500 | 1000 | 2000 | 4000 | 8000 | Линейная | Корректированный по A |
Уровень на расстоянии 0,25 м, дБ | 61,6 | 71,3 | 64,1 | 56,9 | 50,2 | 49,3 | 48,0 | 73,0 | 66,0 |
Этапы 2 и
3. Для вычисления эффективного отношения сигнал-шум рядом с ухом слушателя спектр речи системы звукового оповещения в месте прослушивания должен быть вычислен с использованием полночастотной функции передачи. Вместе со спектром окружающего шума это дает отношение сигнал-шум для каждой октавной полосы. Значения отношения сигнал-шум могут быть выражены через относительные значения индекса модуляции в соответствии с концепцией оценки индекса передачи речи. Это является основой дальнейших вычислений.
Уровни речи в месте нахождения слушателя, отношения сигнал-шум и значения индекса модуляции (m) для октавных полос, на которых основан метод оценки индекса передачи речи, приведены в таблице H.7.
Таблица H.7
Спектр речи, значения отношения сигнал-шум
и индекса модуляции для семи октавных полос
Центральная частота октавной полосы, Гц | 125 | 250 | 500 | 1000 | 2000 | 4000 | 8000 | Линейная | Корректированный по A |
Спектр речи в месте нахождения слушателя, дБ | 31,6 | 76,3 | 79,1 | 76,9 | 74,2 | 69,3 | 50,0 | 83,2 | 81,4 |
Отношение сигнал-шум, дБ | -29,4 | 13,3 | 9,1 | 9,9 | 12,2 | 7,3 | -9,0 | - | - |
m-значения | 0,00 | 0,96 | 0,89 | 0,91 | 0,94 | 0,84 | 0,11 | - | - |
Этапы 4 и
5. Используя формулу в соответствии с МЭК 60268-16:1998 вычисляют вклад каждой октавной полосы с помощью функции передачи модуляции в семи октавных полосах (матрица 14
'7, 14 частот модуляции в семи октавных полосах).
Определяют индексы модуляции для семи октавных полос и 14 частот модуляции. Эти данные основаны на значениях раннего времени затухания.
Таблица H.8
Функция передачи модуляции
(индексы модуляции как функция частоты)
Частота модуляции, Гц | Центральная частота октавной полосы, Гц |
125 | 250 | 500 | 1000 | 2000 | 4000 | 8000 |
0,63 | 0,66 | 0,75 | 0,82 | 0,88 | 0,92 | 0,95 | 0,98 |
0,80 | 0,57 | 0,66 | 0,75 | 0,82 | 0,88 | 0,93 | 0,97 |
1,00 | 0,48 | 0,58 | 0,68 | 0,76 | 0,83 | 0,89 | 0,95 |
1,25 | 0,40 | 0,49 | 0,59 | 0,68 | 0,76 | 0,85 | 0,93 |
1,60 | 0,32 | 0,40 | 0,50 | 0,59 | 0,68 | 0,78 | 0,89 |
2,00 | 0,26 | 0,33 | 0,42 | 0,50 | 0,59 | 0,71 | 0,84 |
2,50 | 0,21 | 0,27 | 0,34 | 0,42 | 0,51 | 0,62 | 0,78 |
3,15 | 0,17 | 0,21 | 0,28 | 0,35 | 0,42 | 0,54 | 0,71 |
4,00 | 0,14 | 0,17 | 0,22 | 0,28 | 0,34 | 0,45 | 0,62 |
5,00 | 0,11 | 0,14 | 0,18 | 0,23 | 0,28 | 0,37 | 0,53 |
6,30 | 0,09 | 0,11 | 0,14 | 0,18 | 0,23 | 0,30 | 0,45 |
8,00 | 0,07 | 0,08 | 0,11 | 0,14 | 0,18 | 0,24 | 0,37 |
10,0 | 0,05 | 0,07 | 0,09 | 0,11 | 0,14 | 0,20 | 0,30 |
12,5 | 0,04 | 0,06 | 0,07 | 0,09 | 0,12 | 0,16 | 0,24 |
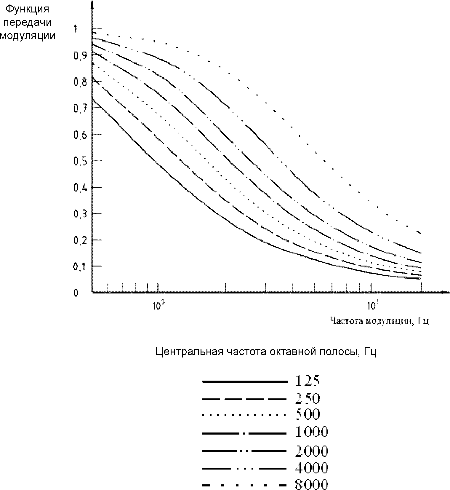
Рисунок H.1 - Функции передачи модуляции
для семи октавных полос
Для оценки индекса передачи речи вычисляют семь множителей с помощью усреднения функции передачи модуляции по 14 частотам модуляции для каждой октавной полосы.
Индексы модуляции для семи октавных полос и 14 частот модуляции сначала преобразуют в эффективные отношения сигнал-шум, которые также включают в себя влияние реверберации. На основе этих отношений вычисляют индексы передачи (в соответствии с МЭК 60268-16:1998).
Таблица H.9
Итоговые индексы передачи
Центральная частота октавной полосы, Гц | 125 | 250 | 500 | 1000 | 2000 | 4000 | 8000 |
Индекс передачи | 0,00 | 0,34 | 0,37 | 0,42 | 0,47 | 0,48 | 0,12 |
Этапы 6 и
7. Итоговый индекс передачи речи составляет 0,39, что соответствует оценке разборчивости речи "недостаточно". Если бы влияние реверберации не учитывалось, значение ИПР составило бы 0,75.
(справочное)
СВЕДЕНИЯ О СООТВЕТСТВИИ ССЫЛОЧНЫХ МЕЖДУНАРОДНЫХ СТАНДАРТОВ
ССЫЛОЧНЫМ НАЦИОНАЛЬНЫМ СТАНДАРТАМ РОССИЙСКОЙ ФЕДЕРАЦИИ
(И ДЕЙСТВУЮЩИМ В ЭТОМ КАЧЕСТВЕ МЕЖГОСУДАРСТВЕННЫМ
СТАНДАРТАМ)
Таблица ДА.1
Обозначение ссылочного международного стандарта | Степень соответствия | Обозначение и наименование соответствующего национального стандарта |
МЭК 60268-16:1998 | - | <*> |
<*> Соответствующий национальный стандарт отсутствует. До его утверждения рекомендуется использовать перевод на русский язык данного международного стандарта. Перевод данного международного стандарта находится в Федеральном информационном фонде технических регламентов и стандартов. |
| ANSI S3.5-1997, Methods for the calculation of the Speech Intelligibility Index (Sll) |
| ANDERSON, B.W. and KALB, J.T. (1987). English verification of the STI method for estimating speech intelligibility of a communications channel, J. Acoust. Soc. Am. 81, pp. 1982 - 1985 |
| BERANEK, L.L. (1947). Airplane quieting II specification of acceptable noise levels, Trans. Amer. Soc. Mech. Engrs. 69, pp. 97 - 100 |
[4] | BS 7827:1996, Designing, specifying, maintaining and operating emergency sound systems at sport venues |
| FLETCHER, H. and STEINBERG, J.C. (1929). Articulation testing methods, Bell Sys Tech. J. 8, p. 806 |
| HOUSE, A.S., WILLIAMS, C.E., HECKER, M.H.L. and KRYTER, K.D. (1965). Articulation testing methods: Consonantal differentiation with a closed-response set, J. Acoust. Soc. Am. 37, pp. 158 - 166 |
| HOUTGAST, T. and STEENEKEN, H.J.M. (1984). A multi-lingual evaluation of the RASTI-method for estimating speech intelligibility in auditoria, Acustica 54, pp. 185 - 199 |
| LAZARUS, H. (1990). New methods for describing and assessing direct speech communication under disturbing conditions, Environment International, 16, pp. 373 - 392 |
| MILLER, G.A. and NICELY, P.E. (1955). An analysis of perceptual confusions among some English consonants, J. Acoust. Soc. Am. 27, pp. 338 - 352 |
| PLOMP, R. and MIMPEN, A.M. (1979). Improving the reliability of testing the speech reception threshold for sentences, Audiology 8, pp. 43 - 52 |
| STEENEKEN, H.J.M. and HOUTGAST, T. (1980) A physical method for measuring speech transmission quality, J. Acoust. Soc. Am. 67, pp. 318 - 326 |
| STEENEKEN, H.J.M. and HOUTGAST, T. Mutual dependence of the octave-band weights in predicting speech intelligibility, Speech Communication 28 (1999) pp. 109 - 123 |
| STEENEKEN, H.J.M. and HOUTGAST, T. Phoneme-group specific octave-band weights in predicting speech intelligibility, Speech Communication 38 (2002) |
| STEENEKEN, H.J.M. and HOUTGAST, T. Validation of the STIr method with the revised model, Speech Communication 38 (2002) |
| WIJNGAARDEN, S.J., VAN, STEENEKEN, H.J.M. and HOUTGAST, T. (2002). Quantifying the intelligibility of speech in noise for non-native listeners, J. Acoust. Soc. Am. 111 (4) |
| ISO 7731, Ergonomics - Danger signals for public and work areas - Auditory danger signals |
| ISO 11429, Ergonomics - System of auditory and visual danger and information signals |
| IEC 60849, Sound systems for emergency purposes |