Главная // Актуальные документы // ГОСТ Р (Государственный стандарт)СПРАВКА
Источник публикации
М.: Стандартинформ, 2019
Примечание к документу
Документ
введен в действие с 01.12.2013.
Название документа
"ГОСТ Р ИСО 11843-5-2012. Национальный стандарт Российской Федерации. Статистические методы. Способность обнаружения. Часть 5. Методология в случаях линейной и нелинейной калибровки"
(утв. и введен в действие Приказом Росстандарта от 29.11.2012 N 1420-ст)
"ГОСТ Р ИСО 11843-5-2012. Национальный стандарт Российской Федерации. Статистические методы. Способность обнаружения. Часть 5. Методология в случаях линейной и нелинейной калибровки"
(утв. и введен в действие Приказом Росстандарта от 29.11.2012 N 1420-ст)
Утвержден и введен в действие
Приказом Федерального агентства
по техническому регулированию
и метрологии
от 29 ноября 2012 г. N 1420-ст
НАЦИОНАЛЬНЫЙ СТАНДАРТ РОССИЙСКОЙ ФЕДЕРАЦИИ
СТАТИСТИЧЕСКИЕ МЕТОДЫ
СПОСОБНОСТЬ ОБНАРУЖЕНИЯ
ЧАСТЬ 5
МЕТОДОЛОГИЯ В СЛУЧАЯХ ЛИНЕЙНОЙ И НЕЛИНЕЙНОЙ КАЛИБРОВКИ
Statistical methods. Capability of detection. Part 5.
Methodology in the linear and non-linear calibration cases
(ISO 11843-5:2008,
Capability of detection - Part 5: Methodology in the linear
and non-linear calibration cases, IDT)
ГОСТ Р ИСО 11843-5-2012
Дата введения
1 декабря 2013 года
1 ПОДГОТОВЛЕН Автономной некоммерческой организацией "Научно-исследовательский центр контроля и диагностики технических систем" (АНО "НИЦ КД") на основе собственного перевода на русский язык англоязычной версии стандарта, указанного в
пункте 4
2 ВНЕСЕН Техническим комитетом по стандартизации ТК 125 "Статистические методы в управлении качеством продукции"
3 УТВЕРЖДЕН И ВВЕДЕН В ДЕЙСТВИЕ Приказом Федерального агентства по техническому регулированию и метрологии от 29 ноября 2012 г. N 1420-ст
4 Настоящий стандарт идентичен международному стандарту ИСО 11843-5:2008 "Способность обнаружения. Часть 5. Методология в случаях линейной и нелинейной калибровки" (ISO 11843-5:2008 "Capability of detection - Part 5: Methodology in the linear and non-linear calibration cases", IDT).
Наименование настоящего стандарта изменено относительно наименования указанного международного стандарта для приведения в соответствие с ГОСТ Р 1.5-2012
(пункт 3.5).
При применении настоящего стандарта рекомендуется использовать вместо ссылочных международных стандартов соответствующие им национальные стандарты, сведения о которых приведены в дополнительном
приложении ДА
5 ВВЕДЕН ВПЕРВЫЕ
6 ПЕРЕИЗДАНИЕ. Март 2019 г.
Правила применения настоящего стандарта установлены в статье 26 Федерального закона от 29 июня 2015 г. N 162-ФЗ "О стандартизации в Российской Федерации". Информация об изменениях к настоящему стандарту публикуется в ежегодном (по состоянию на 1 января текущего года) информационном указателе "Национальные стандарты", а официальный текст изменений и поправок - в ежемесячном информационном указателе "Национальные стандарты". В случае пересмотра (замены) или отмены настоящего стандарта соответствующее уведомление будет опубликовано в ближайшем выпуске ежемесячного информационного указателя "Национальные стандарты". Соответствующая информация, уведомление и тексты размещаются также в информационной системе общего пользования - на официальном сайте Федерального агентства по техническому регулированию и метрологии в сети Интернет (www.gost.ru)
На практике часто используют как линейные, так и нелинейные функции калибровки. В настоящем стандарте рассмотрены оба случая применительно к оценке способности обнаружения на основе исследования распределений вероятностей приведенной переменной состояния (измеряемой величины), а не только функции калибровки.
В настоящем стандарте использованы основные понятия ИСО 11843-2 <1>, включая вероятностные требования к

и

и случай линейной калибровки. В интервале значений от соответствующих базовому состоянию до минимального обнаруживаемого значения может быть применена линейная функция калибровки. Таким образом, обеспечена совместимость настоящего стандарта с ИСО 11843-2.
--------------------------------
<1> ИСО 11843-2:2000 "Способность обнаружения. Часть 2. Методология в случае линейной калибровки" (ISO 11843-2:2000 "Capability of detection - Part 2: Methodology in the linear calibration case").
При сравнении аналитического метода, использующего линейную функцию калибровки, с аналогичным методом, использующим нелинейную функцию калибровки, рекомендуется применять настоящий стандарт. В случае линейной калибровки применимы ИСО 11843-2 и настоящий стандарт. Методы ИСО 11843-2, рассматривающие прецизионность для одной переменной отклика, дают тот же результат, что и применение настоящего стандарта, который требует исследования прецизионности для переменной отклика и для переменной состояния, так как исследование прецизионности отклика - то же, что и исследование прецизионности приведенной переменной состояния в случае линейной калибровки.
Применяемый в настоящем стандарте международный стандарт разработан техническим комитетом ИСО/TC 69 "Применение статистических методов".
В настоящем стандарте рассмотрены линейные и нелинейные функции калибровки и установлены основные методы:
- построения функции прецизионности отклика, а именно, описания стандартного отклонения (SD <1>) или коэффициента вариации (CV <2>) отклика как функции приведенной переменной состояния;
--------------------------------
<1> SD - standard deviation.
<2> CV - coefficient of variation.
- преобразования функции прецизионности в аналогичную функцию для приведенной переменной состояния и функции калибровки;
- использования полученной функции для оценки критического значения и минимального обнаруживаемого значения приведенной переменной состояния.
Методы, приведенные в настоящем стандарте, применимы, например, для проверки обнаружения какого-либо вещества различным измерительным оборудованием, к которому не может быть применен ИСО 11843-2. Эти методы могут быть применимы к стойким органическим загрязнителям (POP <3>) окружающей среды, таким как диоксины, пестициды и гормоноподобные химические вещества при помощи конкурентного ELISA <4> (иммуноферментный анализ) и тестов на наличие бактериальных эндотоксинов, вызывающих у человека гипертермию.
--------------------------------
<3> POP - persistent organic pollutants.
<4> ELISA - enzyme-linked immunosorbent assay.
Определение и применение критического значения и минимального обнаруживаемого значения приведенной переменной состояния установлены в ИСО 11843-1 и ИСО 11843-2. В настоящем стандарте расширены методы, приведенные в ИСО 11843-2, на случай нелинейной калибровки.
Критическое значение xc и минимальное обнаруживаемое значение xd даны в единицах приведенной переменной состояния. Если xc и xd определены на основе распределения отклика, определение должно включать функцию калибровки, связывающую отклик с приведенной переменной состояния. Настоящий стандарт позволяет определить xc и xd на основе распределения приведенной переменной состояния независимо от вида функции калибровки, а, следовательно, независимо от ее линейности или нелинейности.
Функция калибровки должна быть непрерывной, дифференцируемой и монотонно возрастающей или убывающей.
В стандарте рассмотрены случаи, когда стандартное отклонение или коэффициент вариации известны только в окрестности минимального обнаруживаемого значения.
В настоящем стандарте использованы нормативные ссылки на следующие международные стандарты:
ISO 3534-1, Statistics - Vocabulary and symbols - Part 1: General statistical terms and terms used in probability (Статистика. Словарь и условные обозначения. Часть 1. Общие статистические термины и термины, используемые в вероятностных задачах)
ISO 3534-2, Statistics - Vocabulary and symbols - Part 2: Applied statistics (Статистика. Словарь и условные обозначения. Часть 2. Прикладная статистика)
ISO 3534-3, Statistics - Vocabulary and symbols - Part 3: Design of experiments (Статистика. Словарь и условные обозначения. Часть 3. Планирование эксперимента)
ISO 5725-1, Accuracy (trueness and precision) of measurement methods and results - Part 1: General principles and definitions (Точность (правильность и прецизионность) методов и результатов измерений. Часть 1. Общие принципы и определения)
ISO 11843-1:1997, Capability of detection - Part 1: Terms and definitions (Способность обнаружения. Часть 1. Термины и определения)
ISO 11843-2:2000, Capability of detection - Part 2: Methodology in the linear calibration case (Способность обнаружения. Часть 2. Методология в случае линейной калибровки)
В настоящем стандарте применены термины по ИСО 3534 (все части), ИСО 5725-1, ИСО 11843-1, а также следующие термины с соответствующими определениями:
3.1
критическое значение приведенной переменной состояния; xc (critical value of the net state variable): Значение приведенной переменной состояния
X, превышение которого для заданной вероятности ошибки

приводит к решению о том, что наблюдаемая система не находится в базовом состоянии (см.
рисунок 1).
[ИСО 11843-1:1997, 3.10]
xc - критическое значение приведенной переменной состояния;
xd - минимальное обнаруживаемое значение приведенной
переменной состояния; X - приведенная переменная состояния;

- вероятность ошибки первого рода для
X = 0;

- вероятность ошибки второго рода для
X =
xd;
a - плотность распределения.
Примечание - На рисунке 1 ИСО 11843-1:1997 показаны плотности распределения отклика и нелинейная функция калибровки. На
рисунке 1 настоящего стандарта показаны плотности распределения приведенных переменных состояния, полученные из распределений отклика с учетом функции калибровки, изображенных на рисунке 1 ИСО 11843-1.
Рисунок 1 - Плотности распределения приведенной переменной
состояния для X = 0 (слева) и для X = xd (справа)
3.2
минимальное обнаруживаемое значение приведенной переменной состояния (minimum detectable value of the net state variable);
xd: Значение приведенной переменной состояния
X в действительном состоянии, которое с вероятностью

ведет к заключению, что система не находится в базовом состоянии.
Примечание - Адаптированное определение по ИСО 11843-1:1997 и ИСО 11843-1:1997/Cor. 1:2003 (см.
рисунок 1).
3.3 прецизионность (способности обнаружения) (precision): Стандартное отклонение наблюдаемого отклика или стандартное отклонение приведенной переменной состояния при оценке с применением функции калибровки.
Примечание 1 - При необходимости в качестве оценки прецизионности вместо стандартного отклонения может быть использован коэффициент вариации.
Примечание 2 - В настоящем стандарте прецизионность определена в условиях повторяемости (ИСО 3534-2).
Примечание 3 - В настоящем стандарте использованы термины "прецизионность" и "функция прецизионности" вместо терминов "погрешность" и "функция погрешности".
3.4
функция прецизионности (способности обнаружения) (precision profile): Математическое описание стандартного отклонения или коэффициента вариации отклика или приведенной переменной состояния как функции приведенной переменной состояния.
3.5 отклик (response variable); Y: Переменная, представляющая результат эксперимента.
[ИСО 3534-3:1999, 1.2]
Примечание 1 - В стандартах серии ИСО 11843 под откликом следует понимать непосредственно наблюдаемую переменную взамен переменной состояния Z.
Примечание 2 - Отклик
Y является случайной величиной, представляющей собой результат преобразования с помощью функции калибровки приведенной переменной состояния. Прецизионность отклика описывают с помощью стандартного отклонения

и коэффициента вариации

приведенной переменной состояния соответственно.
3.6 функция прецизионности отклика (precision profile of response variable): Непрерывная функция (в настоящем стандарте), построенная на основе данных о неопределенности отклика, являющейся следствием случайных свойств этапов аналитических исследований (например отбор растворов пипеткой), но не систематической погрешности, часто характеризующей особенности и недостатки применяемых инструментов.
3.7 приведенная переменная состояния (net state variable); X: Разность между переменной состояния Z и ее значением в базовом состоянии z0.
[ИСО 11843-1:1997, определение 4]
Примечание - Приведенная переменная состояния
X является детерминированной (неслучайной) величиной на этапе, когда линия калибровки построена, а функция прецизионности в виде

и

является следствием случайности отклика.
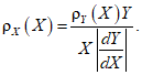
4 Функция прецизионности приведенной переменной состояния
Для экспериментальных или теоретических целей определяют прецизионность (стандартное отклонение или коэффициент вариации) отклика
Y (а не приведенной переменной состояния
X). Поэтому каждое значение
Y должно быть преобразовано к соответствующему значению
X и соответственно преобразована прецизионность (см.
рисунок 2 и
[1],
[2]).
CV | Y | x Y | SD | Y | /|dY/dX| | SD | X | /X | CV | X |
| | | |
Рисунок 2 - Схема преобразования неопределенности отклика
в неопределенность приведенной переменной состояния
На
рисунке 3 показано преобразование стандартного отклонения отклика

в стандартное отклонение приведенной переменной состояния

с помощью абсолютной величины производной функции калибровки |d
Y/d
X|:

. Аналогичное преобразование для коэффициента вариации

может быть записано в виде

(1)
Уравнение (1) описывает связь коэффициента вариации

как функции
X с коэффициентом вариации

. Использование абсолютной величины |d
Y/d
X| позволяет применять настоящий стандарт к монотонно убывающим функциям калибровки.
Примечание 1 - Если функция калибровки является прямолинейной и проходит через начало координат (
Y =
aX), прецизионность

приведенной переменной состояния равна функции прецизионности отклика

. Следует отметить, что
Y/
X = |d
Y/d
X| =
a, так как
Y =
aX.
Примечание 2 -
Уравнение (1) не применимо для
X = 0, но охватывает большую часть ситуаций, когда коэффициент вариации

стремится к бесконечности при уменьшении
X до тех пор, пока стандартное отклонение

для приведенной переменной состояния конечно

.
Рисунок 3 - Преобразование стандартного отклонения отклика

в стандартное отклонение приведенной переменной
состояния

с помощью абсолютной величины
производной функции калибровки |dY/dX|
5 Критическое значение и минимальное обнаруживаемое значение приведенной переменной состояния
5.1 Общие положения
Все используемые ниже выводы основаны на знании распределения приведенной переменной состояния. Критическое значение xc имеет вид

, (2)
где
kc - коэффициент для определения

;

- стандартное отклонение для
X = 0.
При использовании соотношения
уравнение (2) может быть записано в виде

. Минимальное обнаруживаемое значение
xd в этом случае принимает вид

, (3)
где
kd - коэффициент для определения

;

- стандартное отклонение для
X =
xd (см.
рисунок 1).
Для определения критического значения
xc и минимального обнаруживаемого значения
xd необходимо знание функции прецизионности

(см.
3.4).
Примечание 1 - Если приведенная переменная состояния подчиняется нормальному распределению, коэффициенты
kc =
kd = 1,65 соответствуют

.
Примечание 2 - В случае предположения о том, что

является константой

и
kc =
kd = 1,65,
уравнения (2) и
(3) могут быть записаны в виде

и

.
5.2 Вычисление вероятности 
Если стандартное отклонение определяют для
X = 0, то вместо

используют

, тогда
xc и
xd принимают вид

, (4)

. (5)
В этом случае
уравнение (4) совпадает с
уравнением (2) и вероятность

вычисляют в соответствии с ее общим определением. Однако вероятность

может отличаться от исходной. Для этих вычислений знание всей функции прецизионности

не требуется.
Примечание - В случае предположения о том, что

является константой

и
kc =
kd = 1,65,
уравнения (4) и
(5) могут быть записаны в виде

и

.
5.3 Вычисление вероятности 
При использовании

вместо

в
5.2 выражения для
xc и
xd принимают вид

, (6)

. (7)
В этом случае вероятность

вычисляют в соответствии с ее общим определением. Вероятность

может отличаться от исходной.
Примечание - В случае предположения о том, что

является константой

и
kc =
kd = 1,65,
уравнения (6) и
(7) могут быть записаны в виде

и

.
5.4 Дифференциальный метод

. (8)
Это
уравнение дает коэффициент вариации приведенной переменной состояния для
X =
xd. Преимущество
уравнения (8) состоит в том, что минимальное обнаруживаемое значение
xd может быть определено как значение приведенной переменной состояния, у которой коэффициент вариации для среднего приведенной переменной состояния равен 1/(
kc +
kd)·100%. Для вычисления
xc и
xd необходимо, чтобы функция прецизионности

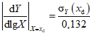
была непрерывной.
Для полулогарифмического графика (Y от lgX) угловой коэффициент функции калибровки dY/dlgX зависит от приведенной переменной состояния X и принимает установленное значение для минимального обнаруживаемого значения

, (9)
где левая часть уравнения представляет собой абсолютную величину производной |d
Y/dlg
X| для
X =
xd (ln10 = 2,303). Это уравнение является общим для кривых калибровки независимо от вида функции калибровки (линейной или нелинейной). Обоснование
уравнения (9) приведено в
приложении B.
Примечание 1 - Если
kc =
kd = 1,65,
уравнение (8) может быть записано в виде

, а
xd расположено в точке
X, для которой коэффициент вариации составляет 30%.
Примечание 2 - Если
kc =
kd = 1,65,
уравнение (9) может быть записано в виде

, (10)
где 0,132 = 1/(3,3 x 2,303).
6.1 Общие положения
В
подпунктах 6.2 и
6.3 рассмотрены примеры оценки функции прецизионности (см.
3.4) в виде стандартного отклонения или коэффициента вариации отклика. Итоговое значение

получено на основе непрерывного графика стандартного отклонения или коэффициента вариации отклика в соответствии с
разделом 4.
В примере
пункта 6.4 показано применение дифференциального метода в случае конкурентного иммуноферментного анализа ELISA. Пример показывает, что функция калибровки для конкурентного иммуноферментного анализа ELISA обычно нелинейна, но предположение о линейности может быть использовано в окрестностях минимального обнаруживаемого значения.
6.2 Закон распространения неопределенности
Конкурентный иммуноферментный анализ ELISA для 17-гидроксипрогестерона использован в качестве примера. Экспериментальная процедура ELISA представлена на
рисунке 4. Анализ выполнен на микропланшете с 96-ю ячейками. Линия калибровки построена для микропланшета, а фактический анализ образцов выполнен на других ячейках того же самого микропланшета. Здесь проверяется неопределенность в пределах планшета.
Рисунок 4 - Экспериментальная процедура ELISA
Неопределенность конкурентного иммуноферментного анализа ELISA получена на основе конкурентной реакции между веществом проб и меченым антигеном. Отклик
Y (здесь результатом измерений является поглощательная способность) пропорционален концентрации меченого антигена и антител (антисыворотка) на поверхности ячейки в микропланшете (см.
[1])

,
где X - объем пробы (приведенная переменная состояния);
G - количество меченого антигена;
B - количество антител.
На основе применения закона распространения неопределенности (см.
[3]) к процедуре анализа может быть получен квадрат коэффициента вариации

отклика
Y (см.
[1])

, (11)
где X - объем пробы (приведенная переменная состояния);
Y - результат измерений поглощательной способности (отклик), который может быть заменен соответствующим значением функции калибровки;
G - количество меченого антигена (0,1 мкг/л);
rX - коэффициент вариации отобранного пипеткой объема пробы (0,9%);
rG - коэффициент вариации отобранного пипеткой меченого антигена (0,9%);
rB - коэффициент вариации отобранного пипеткой объема антисыворотки (1,9%);
rS - (2/3)·(коэффициент вариации отобранного пипеткой объема субстратов хромогена), где коэффициент 2/3 использован для преобразования ошибки отобранного пипеткой объема в ошибку, соответствующую количеству хромогенного продукта, появляющегося на поверхности ячейки в микропланшете (0,6%);

- стандартное отклонение результатов измерений поглощательной способности среди ячеек микропланшета и является постоянной в пределах планшета (0,002 поглощательной способности).
Таким образом, функция прецизионности

может быть вычислена по
уравнению (11) в соответствии со схемой, представленной на
рисунке 2.
Функция прецизионности

для данного примера приведена на
рисунке 5. Коэффициент вариации

вычислен по
уравнению (11) с фактическими параметрами, описанными выше, и выражен в процентах. В случае
5.3 минимальное обнаруживаемое значение
xd может быть определено на графике функции прецизионности (см.
рисунок 5, стрелка
xd). Значение 30%-ного коэффициента вариации описано в
п. 5.4 примечание 1.
Функции прецизионности в нормальном и полулогарифмическом масштабе дают одно и то же минимальное обнаруживаемое значение. На
рисунке 5 b) не показана точка для
X = 0 и соответствующее значение коэффициента вариации. Однако данная ситуация не направлена на решение теоретических или практических проблем, а сводится лишь к определению коэффициента вариации в виде функции прецизионности в окрестности минимального обнаруживаемого значения.
a) Нормальный масштаб
b) Полулогарифмический масштаб
Рисунок 5 - Коэффициент вариации приведенной
переменной состояния

(функция прецизионности)
и минимальное обнаруживаемое значение xd в нормальном
и полулогарифмическом масштабе для конкурентного
иммуноферментного анализа ELISA
В иммунологических исследованиях дисперсия отклика может быть аппроксимирована степенной функцией (см.
[2])

, (12)
где

- стандартное отклонение отклика
Y. Если
j = 0, то дисперсия постоянна. Если
j = 1, дисперсия пропорциональна отклику. Если
j = 2, коэффициент вариации

отклика постоянен, коэффициент пропорциональности может быть определен методом наименьших квадратов.
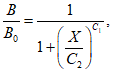
6.4 Применение конкурентного иммуноферментного анализа ELISA
В конкурентном иммуноферментном анализе ELISA часто используют стандартизованную кривую калибровки, называемую
B/
B0, и
уравнение (10), которое может быть записано в виде (см.
[4])

, (13)
где

- коэффициент вариации отклика для
X =
xd. Обоснование приведено в
приложении C.
Минимальное обнаруживаемое значение приведенной переменной состояния может быть найдено с использованием
уравнения (13). На
рисунке 6 приведена полулогарифмическая кривая
B/
B0 для анализа конкурентным ELISA 17-гидроксипрогестерона (то же, что в примере
6.2). Если коэффициент вариации отклика должен составлять 1,9%, коэффициент вариации для пробы с низкой концентрацией используют в качестве приближения

.
Уравнение (13) в этом случае дает результат 0,15 (= 0,019/0,132).
Рисунок 6 - Полулогарифмический график кривой
B/
B0
для конкурентного иммуноферментного анализа
ELISA 17-гидроксипрогестерона
- Этап 1. Проводят прямую линию с угловым коэффициентом, вычисленным по
уравнению (13) в левосторонней системе координат;
- Этап 2. Проводят касательную к кривой
B/
B0 параллельно прямой, построенной на
этапе 1;
- Этап 3. Опускают перпендикуляр из точки касания на ось X.
Точка пересечения перпендикуляра с осью
X соответствует
xd. Метод обеспечивает почти такой же результат, как в примере
6.2 (
рисунки 5 и
6).
(обязательное)
УСЛОВНЫЕ ОБОЗНАЧЕНИЯ И СОКРАЩЕНИЯ, ИСПОЛЬЗУЕМЫЕ В СТАНДАРТЕ
SD - стандартное отклонение;
CV - коэффициент вариации (SD, деленное на среднее);
POP - стойкий органический загрязнитель;
ELISA - иммуноферментный анализ;
X - приведенная переменная состояния;
Y - отклик;
xc - критическое значение приведенной переменной состояния;
xd - минимальное обнаруживаемое значение приведенной переменной состояния;
kc - коэффициент для определения

;
kd - коэффициент для определения

;

- вероятность ошибки первого рода для
X = 0;

- вероятность ошибки второго рода для
X =
xd;

- стандартное отклонение отклика как функция
X;

- коэффициент вариации отклика как функция
X;

- стандартное отклонение приведенной переменной состояния как функция
X;

- коэффициент вариации приведенной переменной состояния как функция
X;
|dY/dX| - производная функции калибровки;
B/B0 - отношение результатов измерений для произвольной концентрации к результатам измерений для нулевой концентрации.
(справочное)
где абсолютное значение производной используют в случае, когда угловой коэффициент отрицателен. Деление на неизвестную переменную xd обеих частей этого уравнения дает уравнение

.
Преобразование натурального логарифма в десятичный логарифм (ln
X = 2,303·lg
X) приводит к искомому
уравнению (9) (см.
[4]).
(справочное)
В конкурентном иммуноферментном анализе ELISA кривая калибровки представляет собой логистическую функцию четырех параметров
и в стандартизованной форме имеет вид B/B0
где
C0,
C1,
C2 и
C3 - коэффициенты, определяемые методом наименьших квадратов, соответствующие реальным данным при калибровке. Подставляя d
Y = (
C0 -
C3) d
B/B0 в
уравнение (10), получаем

.
Так как коэффициент
C0 соответствует наибольшему отклику для пустой пробы (
X = 0), а
C3 - наименьшему отклику при бесконечной концентрации

,

приблизительно равно

. Если

имеет вид

,
где

- коэффициент отклика для пустой пробы

, то последние два уравнения приводят к
уравнению (13) (см. также
[4]).
(справочное)
СВЕДЕНИЯ О СООТВЕТСТВИИ ССЫЛОЧНЫХ МЕЖДУНАРОДНЫХ СТАНДАРТОВ
НАЦИОНАЛЬНЫМ СТАНДАРТАМ
Таблица ДА.1
Обозначение ссылочного международного стандарта | Степень соответствия | Обозначение и наименование соответствующего национального стандарта |
ISO 3534-1 | - | |
ISO 3534-2 | - | |
ISO 3534-3 | - | |
ISO 5725-1 | IDT | ГОСТ Р ИСО 5725-1-2002 "Точность (правильность и прецизионность) методов и результатов измерений. Часть 1. Основные положения и определения" |
ISO 11843-1:1997 | IDT | ГОСТ Р ИСО 11843-1-2007 "Статистические методы. Способность обнаружения. Часть 1. Термины и определения" |
ISO 11843-2:2000 | IDT | ГОСТ Р ИСО 11843-2-2007 "Статистические методы. Способность обнаружения. Часть 2. Методология в случае линейной калибровки" |
<*> Соответствующий национальный стандарт отсутствует. До его принятия рекомендуется использовать перевод на русский язык данного международного стандарта. Примечание - В настоящей таблице использованы следующие условные обозначения степени соответствия стандартов: IDT - идентичные стандарты. |
| HAYASHI, Y., MATSUDA, R., MAITANI, T., IMAI, K., NISHIMURA, W., ITO, K. and MAEDA, M. Precision, limit of detection and range of quantitation in competitive ELISA. Anal. Chem., 76(5), 2004, pp. 1 295 - 1 301 |
| DUDLEY, R.A., EDWARDS, P., EKINS, R.P., FINNEY, D.J., MCKENZIE, I.G.M., RAAB, G.M., RODBARD, D. and RODGERS, R.P.C. Guidelines for immunoassay data processing. Clin. Chem., 31(8), 1985, pp. 1 264 - 1 271 |
| Guide to the expression of uncertainty in measurement (GUM), BIPM, IEC, IFCC, ISO, IUPAC, IUPAP, OIML, 1993) <1> |
| HAYASHI, Y., MATSUDA, R., ITO, K., NISHIMURA, W., IMAI, K. and MAEDA, M. Detection limit estimated from slope of calibration curve: An application to competitive Elisa. Anal. Sci., 21, 2005, pp. 167 - 169 |
[5] | ISO 3534-3:1999, Statistics - Vocabulary and symbols - Part 3: Design of experiments (ИСО 3534-3:1999 Статистика. Словарь и условные обозначения. Часть 3. Планирование эксперимента) <2> |
--------------------------------
<1> Стандарт заменен на ISO/IEC Guide 98-3:2008, Uncertainty of measurement - Part 3: Guide to the expression of uncertainty in measurement (GUM:1995), которому соответствует национальный стандарт
ГОСТ Р 54500.3-2011/Руководство ИСО/МЭК 98-3:2008 Неопределенность измерения. Часть 3. Руководство по выражению неопределенности измерения.
<2> Официальный перевод этого стандарта находится в Федеральном информационном фонде технических регламентов и стандартов.
УДК 658.562.012.7:65.012.122:006.354 | |
Ключевые слова: измерение, отклик, стандартное состояние, базовое состояние, приведенная переменная состояния, калибровка, критическое значение отклика, ошибка первого рода |