Главная // Актуальные документы // ГОСТ Р (Государственный стандарт)СПРАВКА
Источник публикации
М.: Стандартинформ, 2014
Примечание к документу
Документ
введен в действие с 1 января 2015 года.
Название документа
"ГОСТ Р 8.836-2013. Национальный стандарт Российской Федерации. Государственная система обеспечения единства измерений. Энергетическая яркость и сила излучения в диапазоне длин волн 120 - 400 нм. Методика измерений"
(утв. и введен в действие Приказом Росстандарта от 06.09.2013 N 1032-ст)
"ГОСТ Р 8.836-2013. Национальный стандарт Российской Федерации. Государственная система обеспечения единства измерений. Энергетическая яркость и сила излучения в диапазоне длин волн 120 - 400 нм. Методика измерений"
(утв. и введен в действие Приказом Росстандарта от 06.09.2013 N 1032-ст)
Утвержден и введен в действие
агентства по техническому
регулированию и метрологии
от 6 сентября 2013 г. N 1032-ст
НАЦИОНАЛЬНЫЙ СТАНДАРТ РОССИЙСКОЙ ФЕДЕРАЦИИ
ГОСУДАРСТВЕННАЯ СИСТЕМА ОБЕСПЕЧЕНИЯ ЕДИНСТВА ИЗМЕРЕНИЙ
ЭНЕРГЕТИЧЕСКАЯ ЯРКОСТЬ И СИЛА ИЗЛУЧЕНИЯ
В ДИАПАЗОНЕ ДЛИН ВОЛН 120 - 400 НМ
МЕТОДИКА ИЗМЕРЕНИЙ
State system for ensuring the uniformity of measurements.
Radiance and radiant intensity in the wavelength
range 120 - 400 nm. Procedure of measurements
ГОСТ Р 8.836-2013
Дата введения
1 января 2015 года
1. Разработан Федеральным государственным унитарным предприятием "Всероссийский научно-исследовательский институт оптико-физических измерений" (ФГУП "ВНИИОФИ").
2. Внесен Техническим комитетом по стандартизации ТК 386 "Основные нормы и правила по обеспечению единства измерений в области ультрафиолетовой спектрорадиометрии".
3. Утвержден и введен в действие
Приказом Федерального агентства по техническому регулированию и метрологии от 6 сентября 2013 г. N 1032-ст.
4. Введен впервые.
Правила применения настоящего стандарта установлены в ГОСТ Р 1.0-2012
(раздел 8). Информация об изменениях к настоящему стандарту публикуется в ежегодном (по состоянию на 1 января текущего года) информационном указателе "Национальные стандарты", а официальный текст изменений и поправок - в ежемесячном указателе "Национальные стандарты". В случае пересмотра (замены) или отмены настоящего стандарта соответствующее уведомление будет опубликовано в ближайшем выпуске ежемесячного информационного указателя "Национальные стандарты". Соответствующая информация, уведомление и тексты размещаются также в информационной системе общего пользования - на официальном сайте Федерального агентства по техническому регулированию и метрологии в сети Интернет (gost.ru).
Настоящий стандарт устанавливает методику измерений характеристик плазменных излучателей - энергетической яркости и силы излучения в диапазоне длин волн 120 - 400 нм, а также устанавливает требования к погрешности измерений.
В настоящем стандарте использованы нормативные ссылки на следующие стандарты:
| | ИС МЕГАНОРМ: примечание. ГОСТ 8.197-2005 утратил силу с 1 мая 2015 года в связи с введением в действие ГОСТ 8.197-2013 (Приказ Росстандарта от 22.11.2013 N 1741-ст). Приказом Росстандарта от 29.12.2018 N 2817 с 30 апреля 2019 года введена в действие новая Государственная поверочная схема. | |
ГОСТ 8.197-2005 Государственная система обеспечения единства измерений. Государственная поверочная схема для средств измерений спектральной плотности энергетической яркости в диапазоне длин волн от 0,04 до 0,25 мкм.
ГОСТ Р 8.736-2011 Государственная система обеспечения единства измерений. Измерения прямые многократные. Методы обработки результатов наблюдений. Основные положения
Примечание. При пользовании настоящим стандартом целесообразно проверить действие ссылочных стандартов в информационной системе общего пользования - на официальном сайте Федерального агентства по техническому регулированию и метрологии в сети Интернет или по ежегодному информационному указателю "Национальные стандарты", который опубликован по состоянию на 1 января текущего года, и по выпускам ежемесячного информационного указателя "Национальные стандарты" за текущий год. Если заменен ссылочный стандарт, на который дана недатированная ссылка, то рекомендуется использовать действующую версию этого стандарта с учетом всех внесенных в данную версию изменений. Если заменен ссылочный стандарт, на который дана датированная ссылка, то рекомендуется использовать версию этого стандарта с указанным выше годом утверждения (принятия). Если после утверждения настоящего стандарта в ссылочный стандарт, на который дана датированная ссылка, внесено изменение, затрагивающее положение, на которое дана ссылка, то это положение рекомендуется применять без учета данного изменения. Если ссылочный стандарт отменен без замены, то положение, в котором дана ссылка на него, рекомендуется применять в части, не затрагивающей эту ссылку.
3. Требования к погрешности измерений
При измерении энергетической яркости и силы излучения в диапазоне длин волн 120 - 400 нм границы погрешности результатов измерений не превышают 10%.
4. Средства измерений и вспомогательные устройства
При выполнении измерений применяют радиометры-яркомеры на основе ПЗС-матриц со следующими характеристиками:
- диапазон длин волн ................................ 120 - 400 нм;
- диапазон измерений энергетической яркости .........

;
- диапазон измерений силы излучения .................

;
- границы погрешности результатов измерений ......... 10%.
Методы измерений энергетической яркости и силы излучения в диапазоне длин волн 120 - 400 нм основаны на прямых измерениях при преобразовании потока излучения в заданном телесном угле в электрический сигнал.
6. Требования безопасности
При измерении энергетической яркости и силы излучения в диапазоне длин волн 120 - 400 нм необходимо соблюдать правила электробезопасности. Измерения должны выполнять операторы, аттестованные для работы по группе электробезопасности не ниже III и прошедшие инструктаж на рабочем месте по безопасности труда при эксплуатации электрических установок. При работе с источниками УФ-излучения необходимо использовать средства защиты персонала от УФ-излучения - защитные очки, щитки и перчатки.
7. Требования к квалификации операторов
К выполнению измерений энергетической яркости и силы излучения ультрафиолетового излучения допускают лиц, освоивших работу со средствами измерений и вспомогательными устройствами, фотопреобразователями и изучивших настоящий стандарт.
При проведении измерений энергетической яркости и силы излучения соблюдают следующие условия:
- температура окружающей среды ......................... (20 +/- 5) °C;
- относительная влажность воздуха ...................... (65 +/- 15)%;
- атмосферное давление ................................. 84 - 104 кПа;
- напряжение питающей сети ............................. (220 +/- 4) В;
- частота питающей сети ................................ (50 +/- 1) Гц.
9. Подготовка к выполнению измерений
При подготовке к проведению измерений энергетической яркости и силы излучения необходимо включить все средства измерений и вспомогательные устройства в соответствии с их инструкциями по эксплуатации.
Проверяют состояние оптики. На поверхности оптических деталей не допускаются царапины, помутнения и пятна.
10. Порядок выполнения измерений
При внешнем осмотре должны быть установлены:
- соответствие комплектности средств измерений, вспомогательных устройств и фотопреобразователей паспортным данным;
- отсутствие механических повреждений;
- сохранность соединительных кабелей и сетевых разъемов;
- четкость надписей на панели блоков средств измерений;
- наличие маркировки (тип и заводской номер средства измерения);
- отсутствие сколов, царапин и загрязнений на оптических деталях средства измерений.
При опробовании должно быть установлено:
- наличие сигнала приемника излучения при установке его в положение для измерения прямого пучка при включенном источнике УФ-излучения;
- правильное функционирование переключателей пределов измерений, режимов работы средств измерений и вспомогательных устройств.
10.3. Определение энергетической яркости и силы излучения в диапазоне длин волн 120 - 400 нм
10.3.1. Включить персональный компьютер и запустить программу управления наведением радиометра-яркомера. Выбрать минимальную скорость перемещения привода при поиске объекта наблюдения.
10.3.2. Запустить программу управления ПЗС-камерой яркомера. В окне установок выбрать режим охлаждения ПЗС-камеры, включить режим активизации охлаждения и установить рабочую температуру ПЗС-матрицы (например, +5 °C).
10.3.3. Для наведения радиометра-яркомера на объект необходимо использовать режим фокусировки яркомера для получения резкого изображения объекта. Время экспозиции выбирается начиная с минимального значения с постепенным увеличением до появления изображения объекта.
10.3.4. Выбрать спектральный фильтр в главном меню программы радиометра- яркомера.
10.3.5. После получения изображения объекта и фокусировки в главном меню программы установить время экспозиции, определенное в процессе процедуры фокусировки, и зарегистрировать сигнал ПЗС-матрицы.
10.3.6. Для сохранения полученного изображения в базу объектов сохранить результат в соответствующий файл и сохранить на жесткий диск в фиксированном формате с указанием типа фильтра и времени экспозиции.
10.3.7. После завершения регистрации и сохранения изображений в компьютере производится автоматическая обработка результатов измерений и по измеренным сигналам и длительности экспозиции рассчитываются значения энергетической яркости для каждого пикселя.
Энергетическая яркость оптического излучения L определяется интегралом спектральной плотности энергетической яркости

по длинам волн

в рабочем диапазоне длин волн с границами

,

:

. (1)
Спектральная плотность энергетической яркости оптического излучения определяется отношением спектральной плотности потока излучения

, испускаемого с элемента поверхности, к произведению телесного угла

, в котором он распространяется, площади элемента поверхности dA и косинуса угла

отклонения направления излучения от нормали к поверхности:

. (2)
10.3.8. Стандартная относительная спектральная чувствительность

радиометра-яркомера имеет постоянные значения в рабочем диапазоне длин волн (

,

) и значения, равные нулю, вне рабочего диапазона, так что показания радиометра i пропорциональны измеряемому значению энергетической освещенности:

. (3)
Степень приближения реальной относительной спектральной чувствительности радиометра к стандартной оценивается по критериям, разработанным в рекомендациях международных метрологических организаций, определяет погрешность радиометра оптического излучения.
10.3.9. Распределение энергетической яркости выводится в основное рабочее окно программы. При перемещении курсора значения яркости в каждой точке изображения, на которую указывает индикатор курсора, отображаются в окне курсора.
10.3.10. Сила излучения оптического излучения определяется интегралом энергетической яркости по излучающей области:

, (4)
где dA - площадь элемента поверхности.
Для определения силы излучения объект выделяется курсором, и компьютер автоматически рассчитывает интеграл энергетической яркости по поверхности объекта.
11. Контроль погрешности результатов измерений
Контроль погрешности результатов измерений проводят по
ГОСТ 8.207 в следующем порядке:
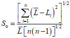
Рассчитывают по результатам измерений относительную случайную погрешность результата измерений энергетической яркости (силы излучения) Sо, %, по формуле

, (5)
где Li - результат i-го независимого измерения;

- среднее арифметическое n измерений;
n - число независимых измерений.
Границы погрешности результатов измерений энергетической яркости и силы излучения

рассчитывают по формуле

, (6)
где K - коэффициент, определяемый соотношением случайной и неисключенной систематической погрешностей;

- погрешность радиометра (из свидетельства о поверке).
При

случайной погрешностью по сравнению с систематической пренебрегают, и

.
12. Оформление результатов измерений
Результаты измерений оформляются по форме, принятой на предприятии, проводившем измерения.
Запись о результатах измерений должна содержать:
- дату проведения измерений;
- тип и номер средства измерений;
- цель проведения измерений;
- значения энергетической яркости и силы излучения;
- границы неисключенной систематической погрешности результатов измерений;
- фамилию и подпись оператора.