Главная // Актуальные документы // ГОСТ Р (Государственный стандарт)СПРАВКА
Источник публикации
М.: Стандартинформ, 2019
Примечание к документу
Документ
введен в действие с 01.07.2014.
Название документа
"ГОСТ Р 8.815-2013. Национальный стандарт Российской Федерации. Государственная система обеспечения единства измерений. Вторичные эталоны единиц длины, скорости и ускорения при колебательном движении твердого тела. Методика сличений"
(утв. и введен в действие Приказом Росстандарта от 25.07.2013 N 440-ст)
"ГОСТ Р 8.815-2013. Национальный стандарт Российской Федерации. Государственная система обеспечения единства измерений. Вторичные эталоны единиц длины, скорости и ускорения при колебательном движении твердого тела. Методика сличений"
(утв. и введен в действие Приказом Росстандарта от 25.07.2013 N 440-ст)
Утвержден и введен в действие
по техническому регулированию
и метрологии
от 25 июля 2013 г. N 440-ст
НАЦИОНАЛЬНЫЙ СТАНДАРТ РОССИЙСКОЙ ФЕДЕРАЦИИ
ГОСУДАРСТВЕННАЯ СИСТЕМА ОБЕСПЕЧЕНИЯ ЕДИНСТВА ИЗМЕРЕНИЙ
ВТОРИЧНЫЕ ЭТАЛОНЫ ЕДИНИЦ ДЛИНЫ, СКОРОСТИ И УСКОРЕНИЯ
ПРИ КОЛЕБАТЕЛЬНОМ ДВИЖЕНИИ ТВЕРДОГО ТЕЛА
МЕТОДИКА СЛИЧЕНИЙ
State system for ensuring the uniformity
of measurements. Secondary standards of the units of length,
velocity and acceleration by vibration of a solid
body. Technique of comparisons
ГОСТ Р 8.815-2013
Дата введения
1 июля 2014 года
1 РАЗРАБОТАН Федеральным государственным унитарным предприятием "Всероссийский научно-исследовательский институт метрологии им. Д.И. Менделеева" (ФГУП "ВНИИМ им. Д.И. Менделеева")
2 ВНЕСЕН Управлением метрологии Федерального агентства по техническому регулированию и метрологии, Техническим комитетом по стандартизации ТК 206 "Эталоны и поверочные схемы", подкомитетом ПК 206.13 "Эталоны и поверочные схемы в области измерений параметров движения"
3 УТВЕРЖДЕН И ВВЕДЕН В ДЕЙСТВИЕ
Приказом Федерального агентства по техническому регулированию и метрологии от 25 июля 2013 г. N 440-ст
4 ВВЕДЕН ВПЕРВЫЕ
5 ПЕРЕИЗДАНИЕ. Март 2019 г.
Правила применения настоящего стандарта установлены в статье 26 Федерального закона от 29 июня 2015 г. N 162-ФЗ "О стандартизации в Российской Федерации". Информация об изменениях к настоящему стандарту публикуется в ежегодном (по состоянию на 1 января текущего года) информационном указателе "Национальные стандарты", а официальный текст изменений и поправок - в ежемесячном информационном указателе "Национальные стандарты". В случае пересмотра (замены) или отмены настоящего стандарта соответствующее уведомление будет опубликовано в ближайшем выпуске ежемесячного информационного указателя "Национальные стандарты". Соответствующая информация, уведомление и тексты размещаются также в информационной системе общего пользования - на официальном сайте Федерального агентства по техническому регулированию и метрологии в сети Интернет (www.gost.ru)
1.1 Настоящий стандарт распространяется на государственные вторичные эталоны и вторичные эталоны единиц длины, скорости и ускорения при прямолинейном колебательном движении твердого тела (далее - вторичные эталоны) и устанавливает методику их сличений с государственным первичным эталоном единиц длины, скорости и ускорения при прямолинейном колебательном движении твердого тела (далее - государственный первичный эталон).
1.2 Настоящий стандарт не распространяется на поверочные виброустановки.
1.3 Интервал между сличениями - не более трех лет.
Примечание - Интервал между первыми двумя сличениями вторичных эталонов после введения настоящего стандарта - не более двух лет.
В настоящем стандарте использованы нормативные ссылки на следующие стандарты:
ГОСТ Р 8.736 Государственная система обеспечения единства измерений. Измерения прямые многократные. Методы обработки результатов измерений. Основные положения
ГОСТ ISO 16063-11 Вибрация. Методы калибровки датчиков вибрации и удара. Часть 11. Первичная вибрационная калибровка методом лазерной интерферометрии
ГОСТ 16819 Приборы виброизмерительные. Термины и определения
ГОСТ 24347 Вибрация. Обозначения и единицы величин
Примечание - При пользовании настоящим стандартом целесообразно проверить действие ссылочных стандартов в информационной системе общего пользования - на официальном сайте Федерального агентства по техническому регулированию и метрологии в сети Интернет или по ежегодному информационному указателю "Национальные стандарты", который опубликован по состоянию на 1 января текущего года, и по выпускам ежемесячного информационного указателя "Национальные стандарты" за текущий год. Если заменен ссылочный стандарт, на который дана недатированная ссылка, то рекомендуется использовать действующую версию этого стандарта с учетом всех внесенных в данную версию изменений. Если заменен ссылочный стандарт, на который дана датированная ссылка, то рекомендуется использовать версию этого стандарта с указанным выше годом утверждения (принятия). Если после утверждения настоящего стандарта в ссылочный стандарт, на который дана датированная ссылка, внесено изменение, затрагивающее положение, на которое дана ссылка, то это положение рекомендуется применять без учета данного изменения. Если ссылочный стандарт отменен без замены, то положение, в котором дана ссылка на него, рекомендуется применять в части, не затрагивающей эту ссылку.
3.1 государственный вторичный эталон единиц длины, скорости и ускорения при прямолинейном колебательном движении твердого тела: Эталон, находящийся в федеральной собственности и утвержденный в установленном порядке в качестве государственного вторичного эталона единиц длины, скорости и ускорения при прямолинейном колебательном движении твердого тела.
Примечание - Государственный вторичный эталон единиц длины, скорости и ускорения при прямолинейном колебательном движении твердого тела состоит из источника (группы источников) механических колебаний, форма которых близка к синусоидальной (вибровозбудитель) и измерительной системы. В качестве измерительной системы используют лазерный интерферометр с соответствующей системой обработки информации по
ГОСТ ISO 16063-11.
3.2 вторичный эталон единиц длины, скорости и ускорения при прямолинейном колебательном движении твердого тела: Эталон, находящийся в собственности юридических лиц и утвержденный в установленном порядке в качестве вторичного эталона единиц длины, скорости и ускорения при прямолинейном колебательном движении твердого тела.
Примечание - Вторичный эталон единиц длины, скорости и ускорения при прямолинейном колебательном движении твердого тела состоит из источника (группы источников) механических колебаний, форма которых близка к синусоидальной (вибровозбудитель) и измерительной системы. В качестве измерительной системы используют лазерный интерферометр с соответствующей системой обработки информации по
ГОСТ ISO 16063-11.
Допускается в ограниченных диапазонах частот применение дополнительной измерительной системы в составе эталонного высокостабильного вибропреобразователя с согласующим усилителем и вольтметром.
3.3 лаборатория - организатор сличений: Лаборатория, в которой хранится, поддерживается и эксплуатируется государственный первичный эталон.
3.4 лаборатория - хранитель вторичного эталона: Лаборатория, в которой хранится, поддерживается и эксплуатируется вторичный эталон.
3.5 эталон сравнения: Высокостабильный первичный виброизмерительный преобразователь (или комплект высокостабильных первичных виброизмерительных преобразователей, например, мод. 8305 фирмы "Брюль и Къер", Дания, мод. АР10 фирмы "ГлобалТест", Россия) или переносной лазерный интерферометр с соответствующей системой обработки информации, входящий в состав первичного эталона и служащий для сличений вторичных эталонов с первичным.
3.6 коэффициент преобразования эталона сравнения: Отношение значения сигнала на выходе эталона сравнения к значению физической величины, характеризующей прямолинейное колебательное движение, воспроизводимое эталонной виброустановкой на входе эталона сравнения.
3.7 диапазон частот: Область значений частот прямолинейного колебательного движения источника (группы источников) механических колебаний, в пределах которой проводится сличение вторичных эталонов с первичным.
3.8 базовая частота: Частота, на которой коэффициент преобразования эталона сравнения определяют с максимальной точностью и которая является опорной для расчета основной погрешности или неопределенности.
3.9 многосторонние сличения: Сличения трех и более эталонов, один из которых государственный первичный эталон.
3.10 двусторонние сличения: Сличения вторичного эталона и государственного первичного эталона.
3.11 согласование результатов измерений на вторичном эталоне с результатами измерений при сличении на фиксированной частоте: Соотношение результатов измерений на вторичном эталоне с результатами измерений при сличении, при котором отклонение значения коэффициента преобразования эталона сравнения, определенное на вторичном эталоне, от опорного значения на фиксированной частоте не превышает границ погрешности (или расширенной неопределенности) этого отклонения при доверительной вероятности 0,95 (или коэффициенте охвата 2).
4 Средства и порядок сличений
4.1 В качестве средства сличений используют эталон сравнения, входящий в состав государственного первичного эталона.
4.2 Исследование основных метрологических характеристик эталона сравнения проводят на государственном первичном эталоне.
4.3 Сличения могут быть многосторонние и двусторонние. Как правило, двусторонние сличения проводят в качестве дополнительных при получении неудовлетворительных результатов измерений у одного из вторичных эталонов при многосторонних сличениях.
4.4 Многосторонние сличения вторичных эталонов могут осуществляться по круговой схеме
(рисунок 1) или звездной
(рисунок 2).
Рисунок 1 - Круговая схема процедуры сличений
Рисунок 2 - Звездная схема процедуры сличений
4.5 При круговой схеме сличения проводят в следующей последовательности:
- исследование эталона сравнения на государственном первичном эталоне в лаборатории - организаторе сличений;
- передача эталона сравнения для проведения измерений в лабораторию - хранителю вторичного эталона N 1;
- проведение измерений на вторичном эталоне N 1 (срок - не более семи календарных дней с момента получения эталона сравнения);
- передача эталона сравнения из лаборатории - хранителя вторичного эталона N 1 в лабораторию - хранителю вторичного эталона N 2;
- проведение измерений на вторичном эталоне N 2 (срок - не более семи календарных дней с момента получения эталона сравнения) и т.д.;
- передача эталона сравнения из последней лаборатории, участвующей в сличениях, в лабораторию - организатору сличений;
- проведение измерений на государственном первичном эталоне (срок - не более семи календарных дней с момента получения эталона сравнения);
- обработка результатов измерений, составление проекта отчета, передача проекта отчета в электронном виде на ознакомление в лаборатории, участвующие в сличениях (срок не более 14 календарных дней с окончания измерений на государственном первичном эталоне);
- ознакомление с проектом отчета о сличениях и подготовка замечаний по проекту отчета (срок не более семи календарных дней с момента получения проекта отчета);
- обработка замечаний и подготовка окончательной редакции отчета о сличениях, подготовка свидетельств о проведенных сличениях (срок не более 14 календарных дней с момента получения замечаний по проекту отчета);
- передача подготовленных документов в лаборатории - хранителям вторичных эталонов (срок не более семи календарных дней с момента подготовки документов).
4.6 При звездной схеме сличения проводятся в следующей последовательности:
- исследование эталона сравнения на государственном первичном эталоне в лаборатории - организаторе сличений;
- передача эталона сравнения в лабораторию - хранителю вторичного эталона N 1;
- проведение измерений на вторичном эталоне N 1 (срок - не более семи календарных дней с момента получения эталона сравнения);
- передача эталона сравнения из лаборатории - хранителя вторичного эталона N 1 в лабораторию - организатору сличений;
- исследование эталона сравнения на государственном первичном эталоне (срок не более трех рабочих дней);
- передача эталона сравнения в лабораторию - хранителю вторичного эталона N 2;
- проведение измерений на вторичном эталоне N 2 (срок - не более семи календарных дней с момента получения эталона сравнения);
- передача эталона сравнения из лаборатории - хранителя вторичного эталона N 2 в лабораторию - организатору сличений;
- исследование эталона сравнения на государственном первичном эталоне (срок не более трех рабочих дней с момента получения эталона сравнения) и т.д.;
- передача эталона сравнения из последней лаборатории, участвующей в сличениях, в лабораторию - организатору сличений;
- проведение измерений на государственном первичном эталоне (срок - не более семи календарных дней с момента получения эталона сравнения);
- обработка результатов измерений, составление проекта отчета, передача проекта отчета в электронном виде на ознакомление в лаборатории, участвующие в сличениях (срок не более 14 календарных дней с окончания измерений на государственном первичном эталоне);
- ознакомление с проектом отчета о сличениях и подготовка замечаний по проекту отчета (срок не более семи календарных дней с момента получения проекта отчета);
- обработка замечаний и подготовка окончательной редакции отчета о сличениях, подготовка свидетельств о проведенных сличениях (срок не более 14 календарных дней с момента получения замечаний по проекту отчета);
- передача подготовленных документов в лаборатории - хранителям вторичных эталонов (срок не более семи календарных дней с момента подготовки документов).
Примечания - Решение о схеме процедуры сличений вторичных эталонов принимается лабораторией - хранителем первичного эталона и согласуется с лабораториями - участниками сличений до начала сличений.
4.7 Двусторонние сличения проводят в следующей последовательности:
- исследование эталона сравнения на государственном первичном эталоне в лаборатории - организаторе сличений;
- передача эталона сравнения в лабораторию - хранителю вторичного эталона;
- проведение измерений на вторичном эталоне (срок - не более семи календарных дней с момента получения эталона сравнения);
- передача эталона сравнения из лаборатории - хранителя вторичного эталона в лабораторию - организатору сличений;
- проведение измерений на государственном первичном эталоне (срок - не более семи календарных дней с момента получения эталона сравнения);
- обработка результатов измерений, составление проекта отчета, передача проекта отчета в электронном виде на ознакомление в лабораторию, участвующую в сличениях (срок не более 14 календарных дней с момента окончания измерений на государственном первичном эталоне);
- ознакомление с проектом отчета о сличениях и подготовка замечаний по проекту отчета (срок не более семи календарных дней с момента получения проекта отчета);
- обработка замечаний и подготовка окончательной редакции отчета о сличениях, подготовка свидетельств о проведенных сличениях (срок не более 14 календарных дней с момента получения замечаний по проекту отчета);
- передача подготовленных документов в лабораторию - хранителю вторичного эталона (срок не более семи календарных дней с момента подготовки документов).
5 Условия проведения измерений при сличениях
5.1 При проведении измерений при сличениях должны соблюдаться следующие условия:
- температура окружающего воздуха ................................... | от 18 °C до 25 °C; |
- относительная влажность воздуха .................................... | от 45% до 80%. |
5.2 Момент силы, применяемый при установке эталонов сравнения на вибростол вторичного эталона ..................... от 1,9 до 2,1 Н·м.
5.3 При проведении измерений при сличениях работы по передаче единиц параметров вибраций от вторичного эталона нижестоящим по поверочной схеме эталонным и рабочим средствам измерений не осуществляют до завершения измерений.
6 Порядок проведения измерений при сличениях
6.1 При проведении измерений эталон сравнения должен находится в помещении, в котором эксплуатируется вторичный эталон, не менее 24 ч.
6.2 При сличениях определяют коэффициент преобразования эталона сравнения на фиксированных частотах при заданном значении амплитуды виброускорения. При проведении измерений рекомендуется исключить влияние на результат измерений коэффициента передачи применяемого согласующего усилителя.
6.3 Рекомендованные значения частот выбирают из ряда,:
1; 1,25; 1,6; 2; 2,5; 3,15; 4; 5; 6,3; 8; 10; 12,5; 16; 20; 25; 31,5; 40; 50; 63; 80; 100; 125; 160; 200; 250; 315; 400; 500; 630; 800; 1000; 1250; 1600; 2000; 2500; 3150; 4000; 5000; 6300; 8000; 10000; 12500; 16000; 20000 Гц.
Значение частоты 160 Гц является базовым.
Примечания
1 Конкретный частотный диапазон, в котором проводят сличение вторичного эталона с государственным первичным, устанавливает хранитель вторичного эталона на стадии подготовки к сличениям с последующим уведомлением лаборатории - организатора сличений.
2 Допускается применение иного значения базовой частоты при условии уведомления об этом лаборатории - организатора сличений.
6.4 Рекомендованные значения амплитуд виброускорений:
Предпочтительные значения амплитуд - от 10 до 100 м/с2. Допускаемые значения амплитуд до 200 м/с2.
На частоте 160 Гц рекомендуется определять значение коэффициента преобразования не менее, чем при двух значениях амплитуд, отличающихся друг от друга не менее, чем в два раза (например, 10 и 50 м/с2).
6.5 Определение коэффициента преобразования эталона сравнения на фиксированных частотах осуществляется сериями. При этом число серий должно быть не менее трех. Результаты измерений оформляют в виде протоколов, подписывает хранитель вторичного эталона и направляет в лабораторию - организатору сличений в бумажном и электронном видах (
форма протокола приведена в приложении А).
7 Обработка результатов измерений
7.1 Общие положения обработки результатов измерений
7.1.1 Первичная обработка результатов измерений осуществляется в лаборатории - хранителе вторичного эталона.
7.1.2 Лаборатория - организатор сличений проводит окончательную обработку всех результатов, полученных при проведении измерений.
7.2 Обработка результатов измерений в лаборатории - хранителе вторичного эталона
7.2.1 После выполнения измерений рассчитывают среднеарифметическое значение коэффициента преобразования эталона сравнения на каждой частоте.
7.2.2 Рассчитывают погрешность (и/или неопределенность) измерений на каждой частоте (диапазонах частот).
Примечания
1 Используемый показатель качества измерений (погрешность и/или неопределенность) выбирается лабораторией - организатором сличений до начала сличений и согласуется с лабораториями - хранителями вторичных эталонов.
2 Погрешность измерений рассчитывают в соответствии с
ГОСТ Р 8.736, учитывая вклад от различных источников для доверительной вероятности 0,95.
3 Неопределенность рассчитывают в соответствии с
ГОСТ ISO 16063-11, учитывая вклад от различных источников при уровне доверия 95% (коэффициент охвата 2).
7.2.3 В протоколе, направляемом в лабораторию - организатор сличений, приводят следующие данные:
- полное наименование и состав вторичного эталона;
- состав эталона сравнения;
- используемые методы измерений коэффициента преобразования эталона сравнения;
- условия измерений коэффициента преобразования эталона сравнения;
- результаты, полученные в каждой серии измерений;
- среднеарифметические значения коэффициентов преобразования эталона сравнения на каждой частоте;
- погрешность (и/или неопределенность) измерений на каждой частоте (диапазонах частот) с указанием вкладов от различных источников погрешности (неопределенности).
7.2.4 Протокол, направляемый в лабораторию - организатор сличений, подписывается ученым хранителем вторичного эталона и утверждается руководителем предприятия, в котором хранится и эксплуатируется вторичный эталон.
7.3 Обработка результатов измерений в лаборатории - организаторе сличений
7.3.1 При звездной схеме сличений результаты измерений стабильности эталона сравнения представляются в виде зависимости коэффициента преобразования эталона сравнения от интервала времени между измерениями.
7.3.2 Результаты измерений коэффициента преобразования эталона сравнения в лаборатории - организаторе сличений оформляют в соответствии с требованиями
7.2.1 -
7.2.2.
7.4 Обработка совокупности результатов измерений всех лабораторий, участвующих в сличениях, при условии применения показателя качества измерений - погрешности
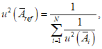
7.4.1 При каждом значении частоты определяют опорное значение коэффициента преобразования эталона сравнения,


(1)
и среднее квадратическое отклонение опорного значения коэффициента преобразования эталона сравнения,


(2)
где

- результаты измерений коэффициента преобразования эталона сравнения, полученные на
i-м эталоне,

;

- оценка суммарного среднего квадратического отклонения результата измерения коэффициента преобразования эталона сравнения на
i-м эталоне;
N - число эталонов, участвующих в сличениях;

- граница
j-й неисключенной систематической составляющей погрешности
i-го эталона;

- оценка среднего квадратического отклонения результата измерения коэффициента преобразования эталона сравнения на
i-м эталоне;
n - число неисключенных систематических составляющих погрешности.
7.4.2 На каждой частоте определяют отклонение значения коэффициента преобразования эталона сравнения, определенное на
i-м эталоне

, от опорного значения

,

:

, (3)
среднее квадратическое отклонение
di,


. (4)
7.4.3 Заявляемые границы погрешности результата измерения коэффициента преобразования эталона сравнения на i-м эталоне согласуются с результатами сличений, если

, (5)
где

- коэффициент, зависящий от соотношения случайной и неисключенной систематической погрешностей;

- доверительные границы случайной погрешности результата измерения на
i-м эталоне;
t - коэффициент Стьюдента;

- границы неисключенной систематической погрешности результата измерения на
i-м эталоне;
k - коэффициент, определяемый заданной доверительной вероятностью (при доверительной вероятности 0,95 коэффициент k ~= 1,1).
7.5 Обработка совокупности результатов измерений всех лабораторий, участвующих в сличениях, при условии применения показателя качества измерений - неопределенности
7.5.1 При каждом значении частоты определяется опорное значение коэффициента преобразования эталона сравнения,

:

(6)
и квадрат стандартной неопределенности опорного значения,


(7)
где

- суммарная стандартная неопределенность результата измерения коэффициента преобразования, определенная на
i-м эталоне;
uA(Ai) - стандартная неопределенность результата измерения коэффициента преобразования на i-м эталоне, по типу A;

-
j-я стандартная неопределенность результата измерения коэффициента преобразования на
i-м эталоне, по типу B;
bj - граница изменения j-го источника стандартной неопределенности по типу B на i-м эталоне.
7.5.2 На каждой частоте определяют отклонение коэффициента преобразования эталона сравнения, определенное на
i-м эталоне

, от опорного значения

,

:

. (8)
Неопределенность отклонения коэффициента преобразования эталона сравнения для
i-го эталона

определяют по формуле

. (9)
7.5.3 Заявляемые оценки неопределенности результата измерения коэффициента преобразования эталона сравнения на i-м эталоне согласуются с результатами сличений, если

. (10)
8 Оформление результатов сличений
8.1 Результаты сличений оформляют в виде отчета, который рассылают в электронном виде на согласование всем участникам сличений.
8.2 Отчет о сличениях должен содержать:
- порядковый номер, наименование (многосторонние, двусторонние) и период сличений;
- перечень участников сличений и наименование эталона;
- частотный диапазон сличений;
- амплитуды виброускорений, воспроизводимые участниками сличений при измерениях;
- последовательность и схему процедуры сличений;
- результаты измерений, полученные участниками сличений;
- результаты расчетов опорного значения, погрешностей (и/или неопределенностей);
- расчеты согласования результатов измерений коэффициента преобразования эталона сравнения, полученных каждым участником сличений, с результатами сличений;
- выводы.
Примечание - Допускается размещать в отчете о сличениях дополнительную информацию, связанную с получаемыми результатами и их обработкой.
8.3 При согласовании отчета участниками сличений лаборатория - организатор сличений составляет итоговый протокол результатов сличений, который направляют на бумажном носителе всем участникам сличений (
форма протокола приведена в приложении Б).
8.4 Итоговый протокол результатов сличений должен содержать:
- порядковый номер, наименование (многосторонние, двусторонние) и период сличений;
- перечень участников сличений и наименование эталона;
- лабораторию (предприятие) - организатора сличений;
- частотный диапазон сличений;
- амплитуды виброускорений, воспроизводимые участниками сличений при измерениях;
- заявляемые участниками сличений границы погрешности (оценки расширенной неопределенности) вторичного эталона, с которыми результаты измерений на вторичном эталоне согласуются с результатами сличений (последние три пункта могут быть представлены в виде таблицы);
- последовательность и схема процедуры сличений;
- выводы, в которых указывается соответствие метрологических характеристик вторичных эталонов паспортным данным в диапазонах частот, в которых проводились сличения;
- подпись руководителя (или заместителя руководителя) предприятия - организатора сличений;
- печать предприятия - организатора сличений.
Примечание - Итоговый протокол результатов сличений составляют на бланке предприятия лаборатории - организатора сличений.
8.5 При отсутствии согласования результатов сличений с результатами измерений на каком-либо вторичном эталоне лаборатория - организатор сличений согласует период проведения двусторонних сличений с лабораторией - хранителем вторичного эталона.
Примечание - Допускается проводить двусторонние сличения на тех частотах (или в диапазонах частот), на которых отсутствует согласование результатов сличений с результатами измерений на вторичном эталоне.
9.1 Финансирование работ, связанных с проведением сличений, осуществляется предприятиями и организациями, которые хранят и эксплуатируют вторичные эталоны.
(рекомендуемое)
ФОРМА ПРОТОКОЛА РЕЗУЛЬТАТОВ ИЗМЕРЕНИЙ ПРИ СЛИЧЕНИЯХ
ВТОРИЧНЫХ ЭТАЛОНОВ С ГОСУДАРСТВЕННЫМ ПЕРВИЧНЫМ
| УТВЕРЖДАЮ Генеральный директор ФБУ "______________" ______________ "___" ____________ 20__ |
ПРОТОКОЛ
измерений на вторичном эталоне ВЭТ 58 -______
при сличениях N ___ 58-20___
1 Организация - хранитель вторичного эталона ВЭТ 58 -____
2 Состав вторичного эталона:
- вибровозбудитель типа ___________, зав. N ________;
- лазерный интерферометр, зав. N ___________;
- усилитель мощности типа ___________, зав. N ___________;
- согласующий усилитель типа ___________, зав. N __________;
- программное обеспечение _____________;
- персональный компьютер _____________.
3. Состав эталона сравнения
4 Используемые методы измерений:
5 Условия измерений при сличениях:
- температура окружающей среды, °C: от _____ до _____.
- относительная влажность, %: от _____ до _____.
Частоты, на которых проводились измерения: 1; 1,25; 1,6; 2; 2,5; 3,15; 4; 5; 6,3; 8; 10; 12,5; 16; 20; 25; 31,5; 40; 50; 63; 80; 100; 125; 160; 200; 250; 315; 400; 500; 630; 800; 1000; 1250; 1600; 2000; 2500; 3150; 4000; 5000; 6300; 8000; 10000; 12500; 16000; 20000 Гц. Базовая частота 160 Гц.
Значения амплитуд вибрации: от 10 до 100 м/с2. На базовой частоте 160 Гц чувствительность по заряду была определена при значениях амплитуды от 5 до 70 м/с2.
6 Результаты измерений
Результаты измерений коэффициента преобразования эталонов сравнения в зависимости от частоты приведены в
таблице А.1.
Таблица А.1 - Результаты измерений коэффициента преобразования эталона сравнения в зависимости от частоты
Частота, Гц | Коэффициент преобразования эталона сравнения N _________ |
Серия 1 | Серия 2 | Серия 3 | Среднее |
1 | | | | |
1,25 | | | | |
1,6 | | | | |
2 | | | | |
....... | | | | |
....... | | | | |
5000 | | | | |
6300 | | | | |
8000 | | | | |
10000 | | | | |
12500 | | | | |
16000 | | | | |
20000 | | | | |
7 Расчет погрешности (или неопределенности) измерений
Параметры расчета погрешности измерений с указанием составляющих погрешности приведены в
таблице А.2. Параметры расчета неопределенности измерений с указанием источников неопределенности - в
таблице А.3.
Таблица А.2 - Параметры расчета погрешности измерений
Источник погрешности, расчетные значения погрешности | Вклад в погрешность в диапазоне частот, Гц |
от ___ до ___ | от ___ до ___ | от ___ до ___ |
1 Измерение выходного напряжения акселерометра (вольтметр) | | | |
2 Влияние суммарного искажения на измерение выходного напряжения акселерометра | | | |
3 Влияние фильтрации на измерение амплитуды выходного напряжения акселерометра | | | |
4 Влияние поперечного, деформационного ускорения и ускорения качения на измерение выходного напряжения акселерометра | | | |
5 Влияние разрешающей способности в точке минимума на измерение перемещения | | | |
6 Влияние квантования перемещения на измерение перемещения | | | |
7 Влияние квадратурного выходного сигнала интерферометра на измерение амплитуды | | | |
8 Влияние гистерезиса триггера на измерение перемещения | | | |
9 Влияние искажений напряжения на измерение перемещения | | | |
10 Влияние искажения движения на измерение перемещения | | | |
11 Влияние фазовых искажений на измерение перемещения | | | |
12 Остаточные интерференционные влияния на измерение перемещения | | | |
13 Измерение частоты вибрации | | | |
14 Остаточные влияния на измерение чувствительности (экспериментальные стандартные отклонения среднего арифметического) | | | |
15 Суммарное среднеквадратическое отклонение результата измерения  | | | |
16 Границы погрешности результата измерения при доверительной вероятности 0,95 | | | |
17 Заявленное значение границ погрешности результата измерения | | | |
Таблица А.3 - Параметры расчета неопределенности измерений
Источник неопределенности, расчетные значения неопределенности | Вклад в неопределенность в диапазоне частот, Гц |
от ___ до ___ | от ___ до ___ | от ___ до ___ |
1 Измерение выходного напряжения акселерометра (вольтметр) | | | |
2 Влияние суммарного искажения на измерение выходного напряжения акселерометра | | | |
3 Влияние фильтрации на измерение амплитуды выходного напряжения акселерометра | | | |
4 Влияние поперечного, деформационного ускорения и ускорения качения на измерение выходного напряжения акселерометра | | | |
5 Влияние разрешающей способности в точке минимума на измерение перемещения | | | |
6 Влияние квантования перемещения на измерения перемещения | | | |
7 Влияние квадратурного выходного сигнала интерферометра на измерение амплитуды | | | |
8 Влияние гистерезиса триггера на измерение перемещения | | | |
9 Влияние искажений напряжения на измерение перемещения | | | |
10 Влияние искажения движения на измерение перемещения | | | |
11 Влияние фазовых искажений на измерение перемещения | | | |
12 Остаточные интерференционные влияния на измерение перемещения | | | |
13 Измерение частоты вибрации | | | |
14 Остаточные влияния на измерение чувствительности (экспериментальные стандартные отклонения среднего арифметического) | | | |
15 Суммарная стандартная неопределенность | | | |
16 Расширенная неопределенность при коэффициенте охвата 2 (k = 2) | | | |
17 Заявленное значение расширенной неопределенности | | | |
Ученый хранитель вторичного эталона ВЭТ 58 - | ____________ подпись | _________________ инициалы, фамилия |
"____" _________ 20___ | | |
(рекомендуемое)
ПРИМЕР ОФОРМЛЕНИЯ ИТОГОВОГО ПРОТОКОЛА РЕЗУЛЬТАТОВ СЛИЧЕНИЙ
| Бланк предприятия лаборатории - организатора сличений |
| Генеральному директору Предприятия - владельца ВЭТ __________________________ Адрес |
ИТОГОВЫЙ ПРОТОКОЛ
результатов сличений вторичных эталонов единиц длины,
скорости и ускорения при колебательном движении твердого
тела с государственным первичным эталоном РФ
1 В период с ......... 20.. года по ........... 20... года проведены многосторонние сличения вторичных эталонов единиц длины, скорости и ускорения при колебательном движении твердого тела с государственным первичным эталоном ГЭТ 58....
- Порядковый номер сличений - Вибрация. МС N ......-20... г. (если проводятся двусторонние сличения, то номер сличений Вибрация. ДС N .....-20... г.)
2 Участники сличений:
- ФГУП ....... вторичный эталон ВЭТ 58-...-....;
- ФГУ ....... вторичный эталон ВЭТ 58-...-....;
- ОАО ....... вторичный эталон ВЭТ 58-...-....;
- ЗАО ........ вторичный эталон ВЭТ 58-...-....;
..............................................
3 Лаборатория (предприятие) - организатор сличений - ................................
4 Основные диапазоны частот, амплитуд виброускорений, заявленных границ погрешности (неопределенности), в которых проведены сличения, приведены в
таблице Б.1.
Таблица Б.1 - Основные диапазоны частот, амплитуд виброускорений, заявленных границ погрешности (неопределенности)
Участник сличений | Диапазон частоты, Гц | Диапазон амплитуды, м/с2 | Заявляемые границы погрешности (расширенной неопределенности) | Примечание |
ВЭТ 58-...-.; | 10 - 160, | .............., | .................., | |
200 - 800, | ............... | .................., |
1000 - 5000, | ..............., | ..................., |
.............. | ..............., | ....................., |
............... | ................ | ...................... |
ВЭТ 58-...-...; | 10 - 160, | .............., | .................., | |
200 - 800, | ............... | .................., |
1000 - 5000, | ..............., | ..................., |
.............. | ..............., | ....................., |
............... | ................ | ...................... |
ВЭТ 58-...-...; | 10 - 160, | .............., | .................., | |
200 - 800, | ............... | .................., |
1000 - 5000, | ..............., | ..................., |
.............. | ..............., | ....................., |
............... | ................ | ...................... |
ВЭТ 58-...-...; | 10 - 160, | .............., | .................., | |
200 - 800, | ............... | .................., |
1000 - 5000, | ..............., | ..................., |
.............. | ..............., | ....................., |
............... | ................ | ...................... |
ГПЭ 58.... | 10 - 160, | .............., | .................., | |
200 - 800, | ............... | .................., |
1000 - 5000, | ..............., | ..................., |
.............. | ..............., | ....................., |
............... | ................ | ...................... |
5 Процедура сличений: круговая (ГПЭ - ВЭТ 58-...-....- ВЭТ 58-...- ВЭТ 58-....- ВЭТ 58-...- ................ - ГПЭ).
6 Выводы по результатам сличений приведены в
таблице Б.2.
Таблица Б.2 - Результаты сличений вторичных эталонов единиц длины, скорости и ускорения при колебательном движении твердого тела с Государственным первичным эталоном ГЭТ 58....
Участники сличений | Диапазон частоты, Гц | Согласование результатов сличений | Соответствие паспортным данным ВЭТ |
ВЭТ 58-...-....; | .10 - 160, | Согласовано | Соответствует |
200 - 800, | Согласовано | Соответствует |
1000 - 5000, | Согласовано | Соответствует |
.............. | ............... | ................ |
............... | ................ | ................. |
ВЭТ 58-...-....; | .10 - 160, | Согласовано | Соответствует |
200 - 800, | Согласовано | Соответствует |
1000 - 5000, | Согласовано | Соответствует |
.............. | ............... | ................ |
............... | ................ | ................. |
ВЭТ 58-...-....; | .10 - 160, | Согласовано | Соответствует |
200 - 800, | Согласовано | Соответствует |
1000 - 5000, | Согласовано | Соответствует |
.............. | ............... | ................ |
............... | ................ | ................. |
ВЭТ 58-...-....; | .10 - 160, | Согласовано | Соответствует |
200 - 800, | Согласовано | Соответствует |
1000 - 5000, | Согласовано | Соответствует |
.............. | ............... | ................ |
............... | ................ | ................. |
Заместитель директора по науке | ____________ подпись | _________________ инициалы, фамилия |
М.П. | | |
| Международный словарь по метрологии: основные и общие понятия и соответствующие термины. Пер. с англ. и фр. Изд. 2-е, испр. - СПб.: НПО "Профессионал", 2010. - 82 с. |
УДК 534.647:006.354 | |
Ключевые слова: вторичный эталон, единицы длины, скорости и ускорения, сличение, лаборатория - организатор сличений, лаборатория - хранитель вторичного эталона, эталон сравнения, опорное значение, диапазон частот, коэффициент преобразования, среднее арифметическое, среднее квадратическое отклонение, погрешность, стандартная неопределенность |