Главная // Актуальные документы // ГОСТ Р (Государственный стандарт)СПРАВКА
Источник публикации
М.: Стандартинформ, 2014
Примечание к документу
Документ
введен в действие с 01.01.2014.
Название документа
"ГОСТ Р 8.796-2012. Национальный стандарт Российской Федерации. Государственная система обеспечения единства измерений. Измерители крутящего момента силы. Методика поверки"
(утв. и введен в действие Приказом Росстандарта от 27.11.2012 N 1242-ст)
"ГОСТ Р 8.796-2012. Национальный стандарт Российской Федерации. Государственная система обеспечения единства измерений. Измерители крутящего момента силы. Методика поверки"
(утв. и введен в действие Приказом Росстандарта от 27.11.2012 N 1242-ст)
Утвержден и введен в действие
агентства по техническому
регулированию и метрологии
от 27 ноября 2012 г. N 1242-ст
НАЦИОНАЛЬНЫЙ СТАНДАРТ РОССИЙСКОЙ ФЕДЕРАЦИИ
ГОСУДАРСТВЕННАЯ СИСТЕМА ОБЕСПЕЧЕНИЯ ЕДИНСТВА ИЗМЕРЕНИЙ
ИЗМЕРИТЕЛИ КРУТЯЩЕГО МОМЕНТА СИЛЫ
МЕТОДИКА ПОВЕРКИ
State system for ensuring the uniformity of measurements.
Torque measuring devices. Verification procedure
ГОСТ Р 8.796-2012
Группа Т88.2
Дата введения
1 января 2014 года
1 РАЗРАБОТАН Федеральным государственным унитарным предприятием "Уральский научно-исследовательский институт метрологии" (ФГУП "УНИИМ")
2 ВНЕСЕН Управлением метрологии Федерального агентства по техническому регулированию и метрологии, Техническим комитетом по стандартизации ТК 53 "Основные нормы и правила в области обеспечения единства измерений"
3 УТВЕРЖДЕН И ВВЕДЕН В ДЕЙСТВИЕ
Приказом Федерального агентства по техническому регулированию и метрологии от 27 ноября 2012 г. N 1242-ст
4 ВВЕДЕН ВПЕРВЫЕ
Правила применения настоящего стандарта установлены в ГОСТ Р 1.0-2012 (раздел 8). Информация об изменениях к настоящему стандарту публикуется в ежегодном (по состоянию на 1 января текущего года) информационном указателе "Национальные стандарты", а официальный текст изменений и поправок - в ежемесячном информационном указателе "Национальные стандарты". В случае пересмотра (замены) или отмены настоящего стандарта соответствующее уведомление будет опубликовано в ближайшем выпуске ежемесячного информационного указателя "Национальные стандарты". Соответствующая информация, уведомление и тексты размещаются также в информационной системе общего пользования - на официальном сайте Федерального агентства по техническому регулированию и метрологии в сети Интернет (gost.ru)
В соответствии с
главой 3 Федерального закона от 26 июня 2008 г. N 102-ФЗ "Об обеспечении единства измерений" (далее - Федеральный закон "Об обеспечении единства измерений") показатели точности типа средств измерений устанавливаются при утверждении его типа. Средства измерений, предназначенные для применения в сфере государственного регулирования обеспечения единства измерений, до ввода в эксплуатацию, а также после ремонта подлежат первичной поверке, а в процессе эксплуатации - периодической поверке, выполняемой в целях подтверждения соответствия средств измерений метрологическим требованиям.
Кроме того, у пользователей средств измерений иногда возникает необходимость в знании действительных значений метрологических характеристик конкретных экземпляров средств измерений, что может быть реализовано при проведении процедуры калибровки (в соответствии со
статьей 2 Федерального закона "Об обеспечении единства измерений").
В настоящем стандарте приведена методика калибровки измерителей крутящего момента силы, разработанная с учетом основных положений стандарта DIN 51309:2005 "Машины для испытаний материалов. Калибровка статических измерителей крутящего момента".
Настоящий стандарт распространяется на измерители крутящего момента силы (ИКМС) с диапазоном измерений от 1·10-4 до 5·106 Н·м, в том числе измерители, входящие в состав (встроенные ИКМС) различных технических устройств в качестве самостоятельных средств измерений, и устанавливает методику их первичной и периодической поверки.
Настоящий стандарт распространяется на ИКМС, применяемые для измерений нарастающего крутящего момента силы (1-й способ применения), и на ИКМС, применяемые для измерений крутящего момента силы при отсутствии точной информации о направлении изменения измеряемого крутящего момента силы (2-й способ применения).
В настоящем стандарте приведена методика калибровки измерителей крутящего момента силы, процедура измерений и обработки результатов
(приложение А), разработанная с учетом основных положений стандарта
[1].
Интервал между поверками ИКМС устанавливают по результатам испытаний в целях утверждения типа.
Примечание - Примерами технических устройств со встроенными ИКМС являются испытательные стенды для определения мощности, слесарно-монтажный инструмент.
В настоящем стандарте использованы нормативные ссылки на следующие стандарты:
ГОСТ Р 8.752-2011 Государственная система обеспечения единства измерений. Государственная поверочная схема для средств измерений крутящего момента силы
ГОСТ 12.2.007.0-75 Система стандартов безопасности труда. Изделия электротехнические. Общие требования безопасности
Примечание - При пользовании настоящим стандартом целесообразно проверить действие ссылочных стандартов в информационной системе общего пользования - на официальном сайте Федерального агентства по техническому регулированию и метрологии в сети Интернет или по ежегодному информационному указателю "Национальные стандарты", который опубликован по состоянию на 1 января текущего года, и по выпускам ежемесячного информационного указателя "Национальные стандарты" за текущий год. Если заменен ссылочный стандарт, на который дана недатированная ссылка, то рекомендуется использовать действующую версию этого стандарта с учетом всех внесенных в данную версию изменений. Если заменен ссылочный стандарт, на который дана датированная ссылка, то рекомендуется использовать версию этого стандарта с указанным выше годом утверждения (принятия). Если после утверждения настоящего стандарта в ссылочный стандарт, на который дана датированная ссылка, внесено изменение, затрагивающее положение, на которое дана ссылка, то это положение рекомендуется применять без учета данного изменения. Если ссылочный стандарт отменен без замены, то положение, в котором дана ссылка на него, рекомендуется применять в части, не затрагивающей эту ссылку.
3 Термины, определения и обозначения
3.1 В настоящем стандарте применяются термины в соответствии с
[2], а также следующие термины с соответствующими определениями:
3.1.1 измеритель крутящего момента силы: Комплект средств, включающий в себя первичный преобразователь (датчик), промежуточный преобразователь (усилитель) и показывающее устройство (индикатор), предназначенный для измерения крутящего момента силы.
3.1.2 ряд измерений: Измерения в процессе калибровки ИКМС, которые выполняются на ряде ступеней нагрузки от минимального до максимального или от максимального до минимального прикладываемого крутящего момента силы.
3.2 В настоящем стандарте применяются следующие обозначения:
MA - нижний предел измерений, Н·м;
ME - верхний предел измерений, Н·м;
MK - значение крутящего момента силы, воспроизводимое поверочной (эталонной) установкой в поверяемой (калибруемой) точке, Н·м;
Is - показание индикатора в вертикальном положении датчика ИКМС перед монтажом в эталонную установку, Н·м (усл. ед.);
I0,j - показание индикатора в j-м положении при отсутствии приложенного крутящего момента силы до начала цикла нагружения, Н·м (усл. ед.);
If,j - показание индикатора в j-м положении при отсутствии приложенного крутящего момента силы после окончания цикла нагружения, Н·м (усл. ед.);
Ij(MK) - показание индикатора в j-м положении при увеличении MK, Н·м (усл. ед.);

- показание индикатора в
j-м положении при уменьшении
MK, Н·м (усл. ед.);
Xj(MK) - показание индикатора, исправленное на нулевое значение в j-м положении при увеличении MK, Н·м (усл. ед.);

- показание индикатора, исправленное на нулевое значение в
j-м положении при уменьшении
MK, Н·м (усл. ед.);
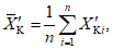
Y(MK) - среднее арифметическое исправленных на нулевое значение показаний индикатора для всех положений при 1-м способе применения ИКМС, Н·м (усл. ед.);
Yh(MK) - среднее арифметическое исправленных на нулевое значение показаний индикатора для всех положений при 2-м способе применения ИКМС, Н·м (усл. ед.);
Ya(MK) - интерполированный результат измерений при 1-м способе применения ИКМС, Н·м (усл. ед.);
Yah(MK) - интерполированный результат измерений при 2-м способе применения ИКМС, Н·м (усл. ед.);
b(MK) - воспроизводимость, Н·м (усл. ед.);
b'(MK) - повторяемость, Н·м (усл. ед.);
fa(MK) - отклонение интерполяции, Н·м (усл. ед.);
fq(MK) - систематическое отклонение результата калибровки Y(MK) от заданного значения крутящего момента силы MK, Н·м (усл. ед.);
f0 - уход нуля, Н·м (усл. ед.);
h(MK) - вариация показаний ИКМС, Н·м (усл. ед.);
r - разрешение индикатора ИКМС, Н·м (усл. ед.);
wKE(MK) - относительная стандартная неопределенность используемого эталона, %;
w(MK) - относительная стандартная неопределенность измерений, %;
W(MK) - относительная расширенная неопределенность измерений, %;
W'(MK) - относительный интервал неопределенности измерений, %.
Примечание - Обозначение MK в приведенных выше обозначениях указывает на то, что значения или характеристики определены для заданного эталонной установкой крутящего момента силы MK.
4 Операции и средства поверки
4.1 При проведении поверки выполняют следующие операции:
- внешний осмотр (см.
8.1);
- определение метрологических характеристик (см.
8.3).
4.2 Основные и вспомогательные средства поверки
Установки поверочные (эталонные) крутящего момента силы с диапазоном измерений от 1·10
-4 до 5·10
6 Н·м и относительной погрешностью от +/- 0,05 до +/- 2,0% по
ГОСТ Р 8.752.
Секундомер СОСпр-2б-2 с диапазоном измерений 0 - 60 мин, 0 - 60 с и ценой деления 0,2 с.
Термометр ТЛ4 с диапазоном измерений 0 - 50 °C, ценой деления 0,1 °C и абсолютной погрешностью +/- 0,2 °C.
Барометр-анероид М67 с диапазоном измерений 600 - 800 мм рт. ст., ценой деления 1 мм рт. ст.
Гигрометр психрометрический ВИТ-1 с диапазоном измерений 20 - 90%, 0 - 25 °C, ценой деления 0,2 °C и абсолютной погрешностью +/- 2 °C.
4.3 Допускается применять другие средства поверки, обеспечивающие определение метрологических характеристик с требуемой точностью.
4.4 Применяемые при поверке эталоны должны быть аттестованы в установленном порядке, а иные средства измерений должны иметь действующие свидетельства о поверке.
5 Требования безопасности и требования к квалификации поверителей
5.1 При проведении поверки необходимо соблюдать
правила по охране труда
[3], требования
ГОСТ 12.2.007.0 и специальные требования безопасности, указанные в эксплуатационной документации на ИКМС и средства поверки.
5.2 К поверке ИКМС допускают лиц, изучивших руководство по эксплуатации ИКМС и эксплуатационную документацию на средства поверки, имеющих группу по электробезопасности не ниже второй и аттестованных в качестве поверителей средств измерений в соответствии с
правилами по метрологии
[4].
При проведении поверки ИКМС необходимо соблюдать следующие условия:
- температура окружающего воздуха должна быть в пределах от 18 °C до 28 °C (изменение температуры за время поверки не должно превышать +/- 1 °C);
- относительная влажность воздуха от 30 до 80%;
- атмосферное давление от 84 до 106,7 кПа.
Примечание - Конкретные условия поверки определяются нормативами, установленными для условий эксплуатации установок поверочных (эталонных), использующихся при поверке.
7.1 Поверку ИКМС проводят при наличии эксплуатационной документации (ЭД).
7.2 Перед поверкой выполняют следующие операции:
- соединяют датчик с индикатором так, чтобы при увеличении правого (по часовой стрелке) крутящего момента силы положительное показание индикатора увеличивалось;
- настраивают индикатор ИКМС в соответствии с требованиями ЭД, фиксируя, при необходимости, все переменные настройки в протоколе поверки
(приложение Б);
- выдерживают ИКМС в условиях поверки не менее 2 часов для установления температурного равновесия между датчиком и окружающей средой;
- фиксируют в протоколе поверки условия поверки, температуру окружающей среды в начале и конце измерений;
- убеждаются, что средства обеспечения работоспособности поверочной (эталонной) установки, например сжатый воздух, не вносят искажений в показания ИКМС;
- фиксируют в протоколе поверки, если это возможно, перед монтажом датчика в эталонную установку, показания датчика без механической нагрузки в вертикальном положении Is.
7.3 Монтаж ИКМС вместе с присоединительными элементами в поверочную (эталонную) установку не должен вносить искажений в значение воспроизводимого крутящего момента силы.
При внешнем осмотре устанавливают:
- комплектность поверяемого ИКМС в соответствии с требованиями ЭД на него;
- наличие и целостность пломб изготовителя, других клейм и пломб, предусмотренных ЭД на ИКМС;
- наличие документов о предыдущей поверке;
- отсутствие видимых механических повреждений в виде сколов, царапин и вмятин, а также следов коррозии на составных элементах ИКМС;
- наличие отдельных и подробных (если это установлено в ЭД) маркировок на всех составных элементах ИКМС (включая кабели);
- четкость и разборчивость маркировок, нанесенных на элементы ИКМС, а также их соответствие функциональному назначению.
8.2.1 Датчик ИКМС монтируют на эталонной установке в соответствии с требованиями ЭД, обращая особое внимание на приложение измеряемого крутящего момента силы к определенной стороне датчика, если это требование специально оговорено в документации на ИКМС.
8.2.2 При первичной поверке датчик ИКМС нагружают не менее трех раз крутящим моментом силы, превышающим верхний предел измерений на 10%, если это позволяют сделать технические характеристики эталонной установки, с выдержкой под действием приложенной нагрузки в каждом случае не менее одной минуты.
8.2.3 При периодической поверке после установки датчика ИКМС на эталонную установку его предварительно нагружают три раза крутящим моментом силы, равным верхнему пределу измерений
ME. Продолжительность предварительной нагрузки должна составлять не менее 30 с. Показания на верхнем пределе измерений необходимо зафиксировать в протоколе поверки.
После снятия третьей предварительной нагрузки датчик ИКМС выдерживают в течение трех минут для стабилизации нулевых показаний. Нулевые показания после выдержки фиксируют в протоколе поверки.
8.3 Определение метрологических характеристик ИКМС
8.3.1 Проведение измерений
Смонтированный на эталонную установку датчик ИКМС равномерно нагружают ступенями нагрузки MK от нуля до MK = ME. После достижения максимальной нагрузки датчик ИКМС, использующийся по 1-му способу применения, разгружают до нулевой нагрузки, а датчик ИКМС, использующийся по 2-му способу применения, равномерно разгружают, используя те же ступени нагрузки, по которым он нагружался. Число точек нагружения в диапазоне измерений должно быть не менее пяти. Нагружения датчика проводят плавно (без ударов и рывков). Перемены знака нагрузки до окончания нагружения не допускаются. В случае несоблюдения этого требования цикл нагружения повторяют. Количество циклов нагружения должно быть не менее трех. Перед началом каждого цикла нагружения, если это возможно, показания ИКМС устанавливают на нуль.
В каждой K-й точке диапазона измерений для каждого i-го цикла фиксируют:
- для ИКМС, использующихся по 1-му способу применения, значение показания индикатора ИКМС при нагружении Ii(MK) (прямой ход);
- для ИКМС, использующихся по 2-му способу применения, кроме
IKi(
MK), фиксируют также значение показания индикатора ИКМС при разгружении

(обратный ход).
8.3.2 Обработка результатов измерений
По полученным результатам измерений для ИКМС, нулевые показания индикатора которых перед началом каждого цикла нагружения не устанавливались на нуль, рассчитывают исправленные на нулевое значение показания, для прямого

и обратного

хода отдельно, по формулам:

(2)
По значениям, полученным по
формулам (1),
(2), рассчитывают средние арифметические значения исправленных на нулевое значение показаний, для прямого

и обратного

хода отдельно, по формулам:

(3)

(4)
где n - число циклов нагружения.
Абсолютное значение оценки систематической составляющей основной погрешности

рассчитывают:
- для ИКМС, применяемых по 1-му способу, по формуле

(5)
- для ИКМС, применяемых по 2-му способу, по формуле

(6)
Абсолютное значение вариации показаний для ИКМС, применяемых по второму способу, рассчитывают по формуле

(7)
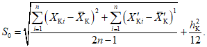
Абсолютное значение среднеквадратического отклонения случайной составляющей основной погрешности S0 рассчитывают:
- для ИКМС, применяемых по 1-му способу, по формуле

(8)
- для ИКМС, применяемых по 2-му способу, с учетом вариации показаний, по формуле
| | ИС МЕГАНОРМ: примечание. Формула дана в соответствии с официальным текстом документа. | |

(9)
Границы суммарной основной абсолютной погрешности ИКМС в поверяемых точках

рассчитывают по формуле

(10)
Относительную основную погрешность ИКМС в поверяемых точках

(в процентах) рассчитывают по формуле

(11)
Относительную основную погрешность ИКМС

определяют по формуле

(12)
где

- максимальное значение относительной погрешности в диапазоне ее нормирования.
Приведенную основную погрешность ИКМС

(в процентах) рассчитывают по формуле

(13)
Вычисленные по
формулам (12) и
(13) значения погрешностей ИКМС заносят в протокол поверки.
Полученные относительная и приведенная погрешности не должны превышать допускаемых нормированных значений.
9 Оформление результатов поверки
9.1 Результаты поверки оформляют протоколом, который хранится в организации, проводившей поверку.
9.2 Положительные результаты первичной и периодической поверок оформляют выдачей свидетельства о поверке в соответствии с
правилами по метрологии
[4].
9.3 При отрицательных результатах поверки ИКМС в обращение не допускают и признают непригодным к эксплуатации, на него выдают извещение о непригодности с указанием причин в соответствии с
правилами по метрологии
[5].
(обязательное)
А.1 Проведение измерений
Датчик ИКМС, смонтированный на эталонной установке, равномерно нагружают ступенями нагрузки от нуля до
MK =
ME. Схема нагружения датчика ИКМС в процессе калибровки в различных положениях приведена на
рисунке А.1.
Рисунок А.1 - Схема нагружения ИКМС в различных положениях
Минимальное количество ступеней крутящего момента силы (дополнительно к нулю, с обязательным включением в это число нижнего предела измерений) должно составлять для каждого направления не менее 8.
Примечание - Например, 10%, 20, 30, 40, 50, 60, 80 и 100% от ME или 2%, 5, 10, 20, 40, 60, 80 и 100% от ME.
Допускается калибровать ИКМС отдельно для нескольких диапазонов измерений крутящего момента силы.
Нагружения проводят плавно (без ударов и рывков). Перемены знака нагрузки до окончания нагружения не допускаются. В случае несоблюдения этого требования цикл повторяют. В каждом
j-м положении в каждой точке диапазона измерений фиксируют показания индикатора ИКМС при нагружении
Ij(
MK) (прямой ход) и при разгружении

(обратный ход).
При калибровке ИКМС датчик ИКМС, размещенный на эталонной установке, поворачивают на 120° вокруг оси измерения. В некоторых случаях, исходя из конструктивных особенностей ИКМС, возможно проводить калибровку в четырех положениях (например, при соединении через четырехгранный соединитель - "квадрат").
Первоначальное положение (положение 0°) датчика ИКМС при калибровке - то же самое, в котором он находился при предварительном нагружении в соответствии с
8.2.3.
В первоначальном положении датчика ИКМС проводят три предварительных нагружения, а затем последовательно: один ряд измерений - с увеличением, один ряд измерений - с уменьшением и один ряд измерений - с увеличением прикладываемого крутящего момента силы. После последнего ряда измерений с увеличением прикладываемого крутящего момента силы датчик разгружают до нуля. Затем положение датчика изменяют и в каждом следующем положении проводят одно предварительное нагружение, один ряд измерений с увеличением и один ряд измерений с уменьшением прикладываемого крутящего момента силы.
Интервалы времени между двумя последовательными ступенями крутящего момента силы должны быть по возможности одинаковыми. При пошаговой прерывистой калибровке показания считывают только при достижении их стабильности. При изменении показаний, вызванных ползучестью, необходимо по возможности точно соблюдать ход процесса по времени.
Перед началом измерений фиксируют нулевые показания в состоянии датчика без нагрузки I0,j, которые необходимы для расчета показаний с корректировкой на нулевое значение Xj(MK) (разность между показанием Ij(MK) и I0,j).
Если в начале каждого ряда измерений с увеличением устанавливать нулевые показания, то на индикаторе на заданной нагрузке отражается Xj(MK).
У ИКМС с именованной шкалой (ИКМС), показывающие результат измерений в именованных единицах, в начале каждого ряда измерений с увеличением устанавливают показания на нуль.
Для каждого задаваемого крутящего момента силы
MK при его достижении фиксируют значения
Ij(
MK) и

.
Фиксируют нулевые показания в состоянии без нагрузки до начала цикла нагружения I0,j, необходимые для расчета показаний с корректировкой на нулевое значение Xj(MK).
А.2 Обработка результатов измерений
А.2.1 Для каждого задаваемого крутящего момента силы MK рассчитывают среднеарифметическое исправленных на нулевое значение показаний индикатора ИКМС для всех положений:
- для ИКМС, применяемых по 1-му способу, по формуле

(А.1)
- для ИКМС, применяемых по 2-му способу, по формуле
| | ИС МЕГАНОРМ: примечание. Формула дана в соответствии с официальным текстом документа. | |

(А.2)
где n - число рядов измерений с увеличением прикладываемого крутящего момента силы при различных положениях.
Примечание - В сертификате о калибровке указывают значения, вычисленные по
формулам (А.1) и
(А.2). Для измерения не только тех значений, при которых ИКМС был калиброван, но и в любой другой точке диапазона измерений пользователь может по представленным в сертификате результатам рассчитывать любую удобную для него интерполяционную функцию (см.
А.2.6).
А.2.2 Для каждого задаваемого крутящего момента силы MK рассчитывают разброс b(MK) исправленных на нулевое значение показаний для рядов измерений с увеличением прикладываемого крутящего момента силы в различных положениях, характеризующий воспроизводимость результатов измерений, по формуле
b(MK) = Xmax(MK) - Xmin(MK), (А.3)
где Xmax(MK), Xmin(MK) - максимальное и минимальное показания, исправленные на нулевое значение, измеренные в различных положениях при заданном значении крутящего момента силы MK, Н·м (усл. ед.).
В первоначальном положении второй ряд измерений с увеличением прикладываемого крутящего момента силы не принимают для вычисления b(MK).
А.2.3 Для каждого задаваемого крутящего момента силы MK рассчитывают разброс b'(MK) исправленных на нулевое значение показаний для рядов измерений с увеличением прикладываемого крутящего момента силы в одном положении, характеризующий повторяемость результатов измерений, по формуле
b'(MK) = X1(MK) - X2(MK), (А.4)
где X1(MK), X2(MK) - показания, исправленные на нулевое значение, измеренные в одном положении и при заданном значении крутящего момента силы MK, Н·м (усл. ед.).
А.2.4 Уход нуля рассчитывают как максимальную абсолютную разность пар нулевых показаний, снятых перед каждым рядом измерений с увеличением прикладываемого крутящего момента силы I0,j и после каждого ряда измерений с уменьшением прикладываемого крутящего момента силы If,j, для всех положений, по формуле
f0 = maxj|If,j - I0,j|. (А.5)
Примечание - Результаты второго ряда измерений с увеличением прикладываемого крутящего момента силы в положении 0° для вычисления f0 не берут, т.к. отсутствует ряд измерений с уменьшением прикладываемого крутящего момента силы.
А.2.5 Вариацию показаний h(MK), как максимальное значение абсолютной разности между показаниями рядов измерений с повышением и уменьшением прикладываемого крутящего момента силы для каждой ступени крутящего момента силы, рассчитывают по формуле

(А.6)
А.2.6 Отклонение интерполяции
fa(
MK) рассчитывают по интерполяционной функции 3-й степени, проходящей через начало координат (для 1-го способа применения ИКМС), и по интерполяционной функции 1-й степени (для 2-го способа применения ИКМС) для результата калибровки в зависимости от использованных заданных значений крутящих моментов. Используемое уравнение интерполяции указывают в сертификате калибровки.
Интерполяционную функцию, как правило, определяют методом наименьших квадратов.
Отклонение интерполяции для каждого задаваемого крутящего момента силы рассчитывают:
- для ИКМС, применяемых по 1-му способу:
fa(MK) = Y(MK) - Ya(MK); (А.7)
- для ИКМС, применяемых по 2-му способу:
fa(MK) = Yh(MK) - Yah(MK). (А.8)
А.2.7 Систематическое отклонение fq(MK) результата калибровки Y(MK) и заданного значения крутящего момента силы MK (для ИКМС, показывающих результат измерений в именованных единицах) рассчитывают по формуле
fq(MK) = Y(MK) - (MK). (А.9)
А.2.8 Кратковременную ползучесть оценивают как разность нулевых показаний непосредственно после снятия третьей предварительной нагрузки и нулевых показаний после трех минут ожидания перед первым рядом измерений, деленную на результат калибровки на верхнем пределе измерений ME.
А.3 Расчет неопределенности интерполированного результата измерений
А.3.1 Модель
Результат измерений при калибровке Y(MK) является функцией задаваемого крутящего момента силы Xi и различных влияющих величин, которые проявляются при изменении Xi:

(А.10)
Коэффициент C учитывает, что единица измерения, отображенная измерителем крутящего момента силы, может отличаться от величины крутящего момента силы.
Возможные величины, влияющие на результат измерений:

- влияние разрешения
r индикатора на нулевое показание ИКМС;

- влияние разрешения
r индикатора на измеренное значение ИКМС;

- влияние воспроизводимости
b;

- влияние повторяемости
b';

- влияние ухода нуля
f0;

- влияние систематической погрешности
fq или погрешности интерполяции
fa;

- влияние вариации показаний
h;

- влияние неопределенности применяемого эталона
UKE.
Кроме того, при применении ИКМС следует учитывать:

- влияние соединения с объектом калибровки;

- влияние отклонения температуры калибровки от базового значения.
Примечание - Разрешение r индикатора ИКМС оценивается следующим образом:
- разрешение шкального индикатора определяется как наименьший поддающийся оценке интервал деления шкалы, который устанавливается из соотношения ширины стрелки и среднего расстояния между двумя соседними штрихами (обычно принимают 1/2, 1/5 или 1/10), при этом ширина стрелки должна быть не более ширины штриха. Для определения десятой части деления шкалы расстояние между штрихами должно быть не менее 1,25 мм;
- разрешение цифрового индикатора определяется как шаг дискретности последних двух сменяющих друг друга цифровых символов на цифровом индикаторе, при условии, что показание индикатора ненагруженного ИКМС изменяется не более чем на один шаг;
- если показания индикатора ненагруженного ИКМС меняются на величину, превышающую установленное ранее разрешение, то для определения разрешения складывают половину диапазона колебаний и шаг дискретности;
- разрешение r указывается в единицах измерения крутящего момента силы либо в его кратных значениях или дробных долях.
А.3.2 Определение неопределенности измерений
А.3.2.1 Определение относительной стандартной неопределенности измерений
Относительную стандартную неопределенность измерений для некоррелированных входных величин рассчитывают по формуле

(А.11)
(для 1-го способа применения ИКМС)
или по формуле

(А.12)
(для 2-го способа применения ИКМС).
Примечание - Коэффициент 2 при

в
(А.12) объясняется тем, что для вычисления результата измерений необходимо выделить разность показаний и соответствующего им нулевого значения, при этом появляется погрешность разрешения индикатора при обоих считываниях.
Статистические функции распределения для составляющих относительной стандартной неопределенности, рассчитанной из экспериментально определенного разброса результатов измерений по
формулам (А.11) и
(А.12), приведены в
таблице А.1.
Таблица А.1
Статистические функции распределения для составляющих
относительной стандартной неопределенности
Параметр, обусловливающий неопределенность измерений | Тип B неопределенности, функция распределения | Относительное стандартное отклонение w, % |
Разрешение r | Прямоугольное распределение | |
Воспроизводимость b | - | |
Повторяемость b' | - | |
Уход нуля f0 | - | |
Отклонение интерполяции fa | Треугольное распределение | |
А.3.2.2 Определение относительной расширенной неопределенности измерений W(MK) (для 1-го способа применения ИКМС, показывающих результат измерений в неименованных единицах)
Относительную расширенную неопределенность измерений W(MK) при использовании кубической интерполяционной функции рассчитывают по формуле

(А.13)
где k - коэффициент охвата, k = 2.
Относительную расширенную неопределенность измерений W(MK) при использовании линейной интерполяционной функции рассчитывают по формуле

(А.14)
А.3.2.3 Определение относительного интервала неопределенности W'(MK) (для 2-го способа применения ИКМС)
Для данных ИКМС используют только линейную аппроксимирующую функцию.
Относительный интервал неопределенности измерений W'(MK) для ИКМС, показывающих результат измерений в неименованных единицах, рассчитывают по формуле

(А.15)
Относительный интервал неопределенности измерений W'(MK) для ИКМС, показывающих результат измерений в именованных единицах, рассчитывают по формуле

(А.16)
Примечание - Арифметическое сложение расширенной стандартной неопределенности
W(
MK) с систематическим отклонением
fq, с отклонениями, связанными с интерполяцией
fa и вариацией
h, в
формулах А.15 и
А.16 объясняется систематическим характером этих составляющих.
(рекомендуемое)
Протокол поверки N ___ "___" _______ 201___г. измерителя крутящего момента силы
Тип _________ зав. N _____________ Изготовлен _____________________________
Диапазон измерений Комплектность
Принадлежащего ________________ Поверка проведена на ______________________
Условия поверки: давление ___ кПа; влажность ___ %; температура, °C:
до начала измерений _____________, в конце измерений ______________
Результаты внешнего осмотра: _______________________________ соответствует.
Результаты опробования: ____________________________________ соответствует.
Направление нагружения: ________________ часовой стрелке __________________
Результаты определения метрологических характеристик
Крутящий момент, Н·м | Показания измерителя в циклах нагружения, Н·м | Ср. зн.  ,  , Н·м | Общ. ср.  , Н·м | Значения составляющих погрешности, Н·м | Отн. погр.,  , % |
1 | 2 | 3 | Сист.  | СКО S0 | Вариация, hK | СКО + вар.,  | Сумм.,  |
0 | | | | | | | | | | | |
| | | | | | | | | | | |
| | | | | | | | | | | |
| | | | | | | | | | | |
| | | | | | | | | | | |
| | | | | Максимальная абсолютная суммарная погрешность, Н·м Приведенная погрешность, %  Относительная погрешность, %  |
| | | | |
| | | | |
| | | | |
0 | | | | |
Выдано свидетельство N ___ от "_______" 201___ г.
Поверку провел ___________________
| DIN 51309:2005-12 | Машины для испытаний материалов. Калибровка статических измерителей крутящего момента.  - Kalibrierung von  statische Drehmomente |
| Рекомендации по межгосударственной стандартизации РМГ 43-2001 | Государственная система обеспечения единства измерений. Применение Руководства по выражению неопределенности измерений |
| Межотраслевые правила по охране труда (РД 153-34.0-03.150-00) | Правила безопасности при эксплуатации электроустановок |
| Правила по метрологии | Государственная система обеспечения единства измерений. Порядок аттестации поверителей средств измерений |
| Правила по метрологии | Государственная система обеспечения единства измерений. Порядок проведения поверки средств измерений |
УДК 531.781:006.354 | | Т88.2 |
Ключевые слова: крутящий момент силы, измеритель крутящего момента силы, методика поверки, установка поверочная |