Главная // Актуальные документы // ГОСТ Р (Государственный стандарт)СПРАВКА
Источник публикации
М.: Стандартинформ, 2015
Примечание к документу
Документ
введен в действие с 01.09.2014.
Название документа
"ГОСТ Р 55694-2013. Национальный стандарт Российской Федерации. Телевидение вещательное цифровое. Наземное цифровое телевизионное вещание. Структура цикловой синхронизации, методы кодирования для канала и модуляции"
(утв. и введен в действие Приказом Росстандарта от 08.11.2013 N 1335-ст)
"ГОСТ Р 55694-2013. Национальный стандарт Российской Федерации. Телевидение вещательное цифровое. Наземное цифровое телевизионное вещание. Структура цикловой синхронизации, методы кодирования для канала и модуляции"
(утв. и введен в действие Приказом Росстандарта от 08.11.2013 N 1335-ст)
Утвержден и введен в действие
агентства по техническому
регулированию и метрологии
от 8 ноября 2013 г. N 1335-ст
НАЦИОНАЛЬНЫЙ СТАНДАРТ РОССИЙСКОЙ ФЕДЕРАЦИИ
ТЕЛЕВИДЕНИЕ ВЕЩАТЕЛЬНОЕ ЦИФРОВОЕ.
НАЗЕМНОЕ ЦИФРОВОЕ ТЕЛЕВИЗИОННОЕ ВЕЩАНИЕ
СТРУКТУРА ЦИКЛОВОЙ СИНХРОНИЗАЦИИ,
МЕТОДЫ КОДИРОВАНИЯ ДЛЯ КАНАЛА И МОДУЛЯЦИИ
Digital video broadcasting.
Digital terrestrial television broadcasting.
Framing structure, channel coding and modulation
ГОСТ Р 55694-2013
Группа Э07
Дата введения
1 сентября 2014 года
1 РАЗРАБОТАН Федеральным государственным унитарным предприятием "Ордена Трудового Красного Знамени научно-исследовательский институт радио" (ФГУП НИИР)
2 ВНЕСЕН Техническим комитетом по стандартизации ТК 480 "Связь"
3 УТВЕРЖДЕН И ВВЕДЕН В ДЕЙСТВИЕ
Приказом Федерального агентства по техническому регулированию и метрологии от 8 ноября 2013 г. N 1335-ст
4 ВВЕДЕН ВПЕРВЫЕ
Правила применения настоящего стандарта установлены в ГОСТ Р 1.0-2012 (раздел 8). Информация об изменениях к настоящему стандарту публикуется в ежегодном (по состоянию на 1 января текущего года) информационном указателе "Национальные стандарты", а официальный текст изменений и поправок - в ежемесячном указателе "Национальные стандарты". В случае пересмотра (замены) или отмены настоящего стандарта соответствующее уведомление будет опубликовано в ближайшем выпуске ежемесячного информационного указателя "Национальные стандарты". Соответствующая информация, уведомление и тексты размещаются также в информационной системе общего пользования - на официальном сайте Федерального агентства по техническому регулированию и метрологии в сети Интернет (gost.ru)
Настоящий стандарт распространяется на систему цифрового наземного (эфирного) телевизионного вещания DVB-T и устанавливает:
- общее описание и структуру системы цифрового наземного (эфирного) телевизионного вещания;
- методы канального кодирования и модуляции в системе цифрового наземного телевизионного вещания;
- основные параметры системы цифрового наземного телевизионного вещания;
- дополнительные требования к тракту системы цифрового наземного телевизионного вещания, позволяющие осуществить вещание сигналов мобильного телевидения DVB-H.
В настоящем стандарте использованы нормативные ссылки на следующие стандарты:
ГОСТ 17657-79 Передача данных. Термины и определения
ГОСТ 21879-88 Телевидение вещательное. Термины и определения
ГОСТ 24402-88 Телеобработка данных и вычислительные сети. Термины и определения
ГОСТ Р 52591-2006 Система передачи данных пользователя в цифровом телевизионном формате. Основные параметры
ГОСТ Р 52593-2006 Система кабельного цифрового телевизионного вещания. Методы канального кодирования, мультиплексирования и модуляции
Примечание - При пользовании настоящим стандартом целесообразно проверить действие ссылочных стандартов в информационной системе общего пользования - на официальном сайте Федерального агентства по техническому регулированию и метрологии в сети Интернет или по ежегодному информационному указателю "Национальные стандарты", который опубликован по состоянию на 1 января текущего года, и по выпускам ежемесячного информационного указателя "Национальные стандарты" за текущий год. Если заменен ссылочный стандарт, на который дана недатированная ссылка, то рекомендуется использовать действующую версию этого стандарта с учетом всех внесенных в данную версию изменений. Если заменен ссылочный стандарт, на который дана датированная ссылка, то рекомендуется использовать версию этого стандарта с указанным выше годом утверждения (принятия). Если после утверждения настоящего стандарта в ссылочный стандарт, на который дана датированная ссылка, внесено изменение, затрагивающее положение, на которое дана ссылка, то это положение рекомендуется применять без учета данного изменения. Если ссылочный стандарт отменен без замены, то положение, в котором дана ссылка на него, рекомендуется применять в части, не затрагивающей эту ссылку.
В настоящем стандарте применены термины по
ГОСТ Р 52210,
ГОСТ Р 52591, ГОСТ Р 52593, ГОСТ 17657, ГОСТ 21879,
ГОСТ 24375,
ГОСТ 24402, а также следующие термины с соответствующими определениями, заимствованными из документов международных организаций [
1 -
5]:
3.1 байт синхронизации (sync-word byte): Последовательность из 8 битов, значение которой в шестнадцатеричном коде равно 0 x 47, служащая для цикловой синхронизации транспортного пакета.
3.2 блок выкалывания кода: Блок, в котором происходит повышение кодовой скорости за счет устранения части битов в соответствии с заданным законом.
3.3 выколотый сверточный код (punctured convolutional code): Поток символов сверточного кода, в котором удалена часть кодированных символов, за счет чего происходит повышение кодовой скорости относительно исходной.
3.4 гауссовский канал (Gaussian channel): Канал, не вносящий линейных или нелинейных искажений в передаваемый сигнал за исключением добавления белого шума, имеющего нормальную плотность распределения вероятностей.
Примечание - Используется в качестве лабораторной модели при проверке характеристик системы и соответствует случаю, когда передающая и приемная антенны находятся на линии прямой видимости, а отраженные сигналы и излучения в совмещенном канале отсутствуют.
3.5 глубина перемежения (interleaving depth): Максимальное расстояние, на которое разносятся соседние символы по длине последовательности, подвергаемой перемежению.
3.6 деперемежение: Метод перестановки символов в принимаемой последовательности с целью восстановления исходной структуры цифрового сигнала, подвергнутого перемежению (операция, обратная перемежению).
3.7 защитный интервал (guard interval): Временной разнос между соседними символами OFDM, который заполнен сигналом, повторяющим оконечную часть полезного символа OFDM и создающим тем самым циклическое продолжение символа во временной области.
3.8 иерархическая передача (hierarchical transmission): метод мультиплексирования нескольких потоков данных в единый поток символов с таким отображением битов данных в сигнальном созвездии в процессе модуляции, которое позволяет установить для каждого из составляющих потоков различные приоритеты их обслуживания на приеме.
3.9 кадр OFDM (OFDM frame): Частотно-временная структура данных в системе DVB-T, состоящая из 68 последовательных символов с модуляцией OFDM.
3.10 квантование времени (time slicing): передача блоков данных с высокой скоростью в кратковременных интервалах, что позволяет экономить электроэнергию в мобильном терминале путем его отключения в периоды неактивности.
3.11 код БЧХ (BCH code): Код Боуза-Чоудхури-Хоквингема - класс циклических кодов, исправляющих кратные ошибки.
Примечание - В системе DVB-T используется для исправления ошибок в канале сигнализации о параметрах передачи.
3.12 модуляция первичная: модуляция каждой отдельной несущей, входящих в состав ортогонального частотного распределения несущих OFDM.
3.13 код Рида-Соломона (Reed-Solomon code): Недвоичный циклический код, относящийся к подклассу кодов БЧХ, позволяющий исправлять ошибки в байтах транспортных пакетов.
3.14 кодовая скорость (code rate): Отношение длины информационной последовательности на входе кодера к длине кодированной последовательности на его выходе.
3.15 маппер (mapper): Формирователь набора модулирующих сигналов.
3.16 многопротокольная инкапсуляция (Multiprotocol Encapsulation, MPE): Протокол звена данных, обеспечивающий средства переноса пакетно-ориентированных протоколов (например, IP-протоколов) внутри транспортного пакета MPEG-2.
3.17 непрерывные пилот-сигналы (continual pilot carriers): Служебные несущие, размещаемые в пределах ячеек с фиксированными позициями внутри символов и кадров OFDM.
3.18 несущая активная (active carrier): Модулированная несущая из числа полного множества несущих размерностью 2K, 4K или 8K.
3.19 одночастотная сеть (Single Frequency Network, SFN): Сеть эфирного цифрового вещания, в которой несколько передатчиков одновременно излучают один и тот же сигнал по одному частотному каналу.
3.20 пакет (packet): Последовательность информационных и служебных символов цифрового вещательного телевидения, передаваемая, обрабатываемая и коммутируемая как единое целое.
3.21 перемежение (interleaving): Метод безызбыточной перестановки символов передаваемого сигнала с целью их декоррелирования для преобразования на приеме возможных пакетов ошибок в группы независимых случайных ошибок.
3.22 перемежение побитовое (bit-wise interleaving): Метод перемежения, осуществляемый путем перестановки битов в передаваемой последовательности до модуляции сигнала.
3.23 перемежение посимвольное (symbol interleaving): Метод перемежения, осуществляемый путем перестановки символов в виде слов данных в передаваемой последовательности до модуляции сигнала.
3.24 пилот-сигналы (pilots): Служебные несущие в составе кадра OFDM, предназначенные для кадровой синхронизации, частотной синхронизации, временной синхронизации, оценивания канала, идентификации режима передачи и компенсации фазового шума.
3.25 поляризационная селекция (polarization discrimination): Метод выделения сигнала, основанный на разделении полезного и мешающего сигнала с помощью приемной антенны, имеющей поляризацию, аналогичную поляризации передающей антенны.
3.26 порождающий многочлен (generator polynomial): Многочлен, максимальная степень и коэффициенты которого определяют множество кодовых слов кода, исправляющего ошибки.
Примечание - При представлении информационной последовательности на входе кодера в виде степенного ряда символы выходной последовательности будут определяться как результат умножения входной последовательности на порождающий многочлен.
3.27 портативный прием (portable reception): Прием на переносное оборудование, при котором переносной приемник с присоединенной или встроенной антенной используется на высоте не менее 1,5 м над уровнем земли вне помещения или над уровнем пола внутри помещений.
3.28 поток с высоким приоритетом (high-priority stream): Поток, для которого задана первичная очередность его обслуживания, что выражается большей помехоустойчивостью его приема при вещании с использованием иерархической модуляции.
3.29 поток с низким приоритетом (low-priority stream): Поток, для которого задана вторичная очередность его обслуживания, что выражается меньшей помехоустойчивостью его приема при вещании с использованием иерархической модуляции.
3.30 псевдослучайная двоичная последовательность (pseudo random binary sequence, PRBS): Периодическая последовательность двоичных символов, которая генерируется детерминированным образом, однако обладает всеми статистическими свойствами, присущими случайному процессу.
3.31 райсовский канал (Ricean channel): Канал с замираниями, обусловленными многолучевым распространением радиоволн, в случае когда помимо прямого сигнала принимаются несколько отраженных сигналов, а также сигналы сторонних передатчиков, работающих в совмещенном канале.
3.32 рандомизация (randomization): Внесение элемента случайности в передаваемую последовательность данных.
3.33 рассредоточенные пилот-сигналы (scattered pilots): Служебные несущие, размещаемые в пределах ячеек с изменяющимися позициями от символа к символу внутри кадра OFDM.
3.34 рэлеевский канал (Rayleigh channel): Канал с замираниями, обусловленными многолучевым распространением радиоволн, в случае когда отсутствует прямая видимость передатчика и на вход приемника поступают только отраженные сигналы своего передатчика, уровни которых изменяются случайным образом, а также сигналы сторонних передатчиков, работающих в совмещенном канале.
3.35 сигнальное созвездие (signal constellation): Геометрическое представление ансамбля сигналов с цифровой многопозиционной модуляцией в отсчетные моменты времени на двумерной комплексной плоскости.
3.36 символ OFDM (OFDM symbol): Передаваемый сигнал, включающий в частотной области полный набор активных несущих OFDM и состоящий во временной области из полезной части и защитного интервала.
3.37 система эфирного цифрового телевизионного вещания (digital terrestrial television broadcasting system): Система цифрового телевизионного вещания, предназначенная для доставки телевизионных программ потребителю по радиоканалам с использованием наземных передающих центров и предусматривающая кодирование видеосигналов, звуковых сигналов и дополнительных данных, а также мультиплексирование и формирование пакетов в транспортный поток в соответствии с требованиями стандартов MPEG-2 и MPEG-4.
3.38 скремблер (scrambler): Устройство безызбыточного преобразования двоичных данных в кодовую последовательность, символы которой распределены по псевдослучайному закону.
3.39 суперкадр OFDM (OFDM super-frame): Частотно-временная структура из 4 кадров системы DVB-T.
3.40 транспортный пакет (transport packet): Пакет данных фиксированной длины 188 байтов, содержащий заголовок длиной 4 байта и поля адаптации и полезной нагрузки общей длиной до 184 байтов.
3.41 транспортный поток (transport stream): Метод мультиплексирования в один поток и пакетной передачи последовательности транспортных пакетов.
3.42 фиксированный прием (fixed reception): Прием с использованием направленной приемной антенны, установленной на уровне крыши.
3.43 ячейка (cell): Структурная единица символа OFDM, соответствующая одной модулированной несущей и определяемая номером модулированной несущей в кадре, номером кадра и номером суперкадра.
4 Сокращения и обозначения
В настоящем стандарте применены следующие сокращения и обозначения:
4.1 2K, 4K, 8K - режимы вещания в системе DVB-T, отличающиеся полным числом несущих при модуляции OFDM (K = 1024);
4.2

- коэффициент неравномерности сигнального созвездия;
4.3 C/N (Carrier-to-Noise ratio) - отношение средних мощностей сигналов модулированной несущей и шума на выходе приемного фильтра;
4.4 CRC (Cyclic Redundancy Check) - проверка по четности циклическим избыточным кодом (избыточная циклическая проверка на четность);
4.5 DBPSK (Differential Binary Phase Shift Keying) - двоичная относительная фазовая манипуляция;
4.6 dfree - свободное кодовое расстояние;
4.7 DVB (Digital Video Broadcasting) - группа европейских стандартов цифрового ТВ вещания;
4.8 DVB-H (Digital Video Broadcasting - Handheld) - европейский стандарт (система) эфирного цифрового телевизионного вещания на мобильные терминалы;
4.9 DVB-T (Digital Video Broadcasting - Terrestrial) - европейский стандарт (система) эфирного цифрового телевизионного вещания;
4.10 DVB-T/H (Digital Video Broadcasting - Terrestrial/Handheld) - система эфирного цифрового телевизионного вещания стандарта DVB-T с дополнительными функциональными блоками и нормами параметров, позволяющими осуществить вещание сигналов мобильного телевидения по стандарту DVB-H;
4.11 ES (Elementary Stream) - элементарный поток данных MPEG-2;
4.12 F1 - фиксированный прием;
4.13 FEC (Forward Error Correction) - прямое (упреждающее) исправление ошибок - метод кодирования, заключающийся в посылке блоков данных вместе с проверочными битами.
4.14 g(x) - порождающий многочлен кода Рида-Соломона;
4.15 G1, G2 - порождающие многочлены сверточного кода;
4.16 H(q) - функция перемежения по символам;
4.17 h(x) - порождающий многочлен кода БЧХ;
4.18 He(w) - функция внутреннего перемежения бит;
4.19 HEX (hexadecimal) - индекс шестнадцатеричной системы счисления;
4.20 HP (High Priority) - поток битов с высоким приоритетом;
4.21 I1, I2, I3, I4, I5, I6 - внутренние перемежители;
4.22 LP (Low Priority) - поток битов с низким приоритетом;
4.23 MPE-FEC (Multi-Protocol Encapsulation - Forward Error Correction), упреждающая коррекция ошибок для многопротокольно-инкапсулированных данных;
4.24 MPEG-2 (Moving Picture Experts Group) - обобщенное название группы стандартов ИСО/МЭК 13818 в области кодирования, обработки и транспортирования сигналов изображения и звука;
4.25 OCT (octal) - индекс восьмеричной системы счисления;
4.26 OFDM (Orthogonal Frequency Division Multiplex) - многочастотная схема модуляции с ортогональным частотным распределением несущих в полосе канала вещания;
4.27 p(x) - порождающий многочлен кода Рида-Соломона;
4.28 P1 - портативный прием;
4.29 QAM (Quadrature amplitude modulation) - квадратурно-амплитудная модуляция;
4.30 QEF (Quasi Error Free) - квазибезошибочный прием;
4.31 QPSK (Quadrature Phase Shift Keying) - квадратурная четырехпозиционная фазовая модуляция;
4.32 RS-packet - транспортный пакет, кодированный кодом Рида-Соломона (RS-пакет), имеющий длину 204 байта, из которых первые 188 байтов - данные исходного транспортного пакета, за которыми следуют 16 байтов проверочных символов;
4.33 s0, ..., s67 - обозначения битов сигнализации о параметрах передачи в системе DVB-T;
4.34 TPS (Transport Parameter Signalling) - сигнализация о параметрах передачи;
4.35 v - число битов, передаваемых в одном модулированном символе;
4.36 * - обозначение сопряженного комплексного числа;
4.37 БПФ (FFT) - быстрое преобразование Фурье;
4.38 ДПФ (DCT) - дискретное преобразование Фурье;
4.39 ЕТСИ (ETSI) - Европейский институт стандартов связи;
4.40 ИСО (ISO) - Международная организация по стандартизации;
4.41 МЭК (IEC) - Международная электротехническая комиссия;
4.42 ОБПФ (IFFT) - обратное быстрое преобразование Фурье;
4.43 ОЧС (SFN) - одночастотная сеть;
4.44 ПСП - псевдослучайная последовательность;
4.45 ТВ - телевизионный(ая);
4.46 ТП (TS) - транспортный поток;
4.47 ЦАП (DAC) - цифро-аналоговый преобразователь;
4.48 ЦТВ (DVB) - цифровое телевизионное вещание.
5 Структура системы цифрового наземного телевизионного вещания
Система цифрового наземного (эфирного) телевизионного (ТВ) вещания (далее - система) определяется как функциональный блок оборудования, обеспечивающий адаптацию цифрового транспортного потока, представленного в основной полосе частот на выходе транспортного мультиплексора MPEG-2
[1], с характеристиками стандартного наземного радиоканала ТВ вещания, имеющего ширину полосы частот 8 МГц
[2].
Характеристики системы, полученные аналитически и путем моделирования, приведены в
приложениях А -
Г.
5.2 Структура системы на передающей стороне
5.2.1 Структурная схема передающей части системы в виде устройства адаптации к каналу наземного ТВ вещания показана на рисунке 1, где упрощенно показана также система кодирования источников информации и их мультиплексирования в транспортный поток. Выход транспортного мультиплексора является точкой стыка системы формирования транспортных пакетов с системой адаптации к каналу ТВ вещания.
Рисунок 1
5.2.2 Для защиты от ошибок в системе должно использоваться каскадное кодирование для канала. Во внешнем кодеке применяется код Рида-Соломона, во внутреннем - набор сверточных кодов. Система имеет два идентичных по структуре тракта рандомизации и помехоустойчивого кодирования. Такое построение позволяет использовать иерархические методы независимого кодирования двух транспортных потоков данных для организации их приоритетного приема в зонах вещания с различной площадью покрытия. При использовании иерархической передачи с двумя уровнями приоритетов допускается для каждого из двух потоков устанавливать свое собственное значение кодовой скорости.
5.2.3 Общая часть тракта системы служит для преобразования транспортных потоков данных в комбинации битов, соответствующие модулированным посылкам, ввода сигналов цикловой синхронизации и управления, формирования защитных временных интервалов, преобразования сигналов данных в модулированный сигнал COFDM, переноса его в полосу канала ТВ вещания, усиления и излучения в эфир.
5.2.4 В передающем оборудовании системы для согласования (адаптации) транспортных потоков с ТВ радиоканалом должны выполняться следующие операции:
- сопряжение с подсистемой кодирования источников и мультиплексирование на уровне транспортных потоков в основной полосе;
- цикловая синхронизация группы транспортных пакетов и рандомизация данных;
- внешнее кодирование с помощью кода Рида-Соломона;
- внешнее сверточное перемежение;
- внутреннее кодирование с помощью сверточного кода;
- внутреннее перемежение;
- формирование набора модулирующих сигналов, отображающих возможные амплитудно-фазовые состояния многопозиционного модулированного символа;
- формирование кадра символов с модуляцией OFDM и ввод защитных интервалов;
- цифро-аналоговое преобразование, перенос спектра модулированного сигнала в полосу требуемого ТВ радиоканала с последующим усилением его по мощности и подачей в передающую антенну.
В системе DVB-T используется передача сигналов по многочастотной схеме модуляции с частотным распределением ортогональных несущих (OFDM). Каждая из несущих модулируется низкоскоростным цифровым потоком, являющимся частью общего транспортного потока системы, причем в качестве первичных видов модуляции для различных условий регламентируются QPSK, 16-QAM и 64-QAM.
Система должна быть разграничена следующими интерфейсами, приведенными в таблице 1.
Таблица 1
Местоположение | Интерфейс | Тип сигнала в точке интерфейса | Соединение |
Передающая станция | Вход | Мультиплексированный транспортный поток MPEG-2 | От мультиплексора MPEG-2 |
Выход | Радиочастотный сигнал | К антенне |
Приемник-декодер | Вход | Радиочастотный сигнал | От антенны |
Выход | Мультиплексированный транспортный поток MPEG-2 | К демультиплексору MPEG-2 |
6 Основные параметры подсистемы кодирования для канала и модуляции
6.1 Цикловая синхронизация и рандомизация транспортных пакетов
6.1.1 Входными сигналами системы являются многопрограммные транспортные потоки с высоким и низким приоритетами. Если в системе не используется режим иерархической передачи, то единственный транспортный поток должен быть подан на вход с высоким приоритетом.
6.1.2 Входящие потоки битов данных должны быть организованы в виде транспортных пакетов фиксированной длины 188 байтов. Каждый транспортный пакет должен содержать 1 байт слова синхронизации (синхробайт) и 187 байтов мультиплексированных данных. Первый байт каждого транспортного пакета служит для цикловой синхронизации на уровне транспортных пакетов и должен иметь значение "01000111", или 47
HEX [2].
6.1.3 Входящие транспортные потоки с разными приоритетами с соответствующих входов системы должны поступать в блоки цикловой синхронизации и рандомизации. Байты данных должны следовать старшим разрядом вперед (первым битом первого байта транспортного пакета является "0").
6.1.4 Для более равномерного распределения (дисперсии) энергии радиосигнала в полосе канала и для обеспечения близкой к случайной статистики переходов между битами потока входной поток системы должен быть рандомизирован (скремблирован). Для рандомизации должен применяться 15-разрядный скремблер аддитивного типа, структурная схема которого показана на рисунке 2. Аналогичное устройство должно использоваться в приемнике системы для выполнения функции дескремблера.
Рисунок 2
6.1.5 В генераторе двоичной псевдослучайной последовательности (ПСП) скремблера/дескремблера должен использоваться 15-разрядный примитивный многочлен
G(X) = 1 + X14 + X15. (1)
6.1.6 Запуск генератора ПСП скремблера должен производиться после сброса регистра сдвига скремблера в нулевое состояние и загрузки в него строго определенной последовательности инициализации вида "100101010000000". Сброс и инициализация регистров сдвига скремблера в передатчике и дескремблера в приемнике должны производиться регулярно перед стартом группы из восьми транспортных пакетов.
6.1.7 При обработке транспортных пакетов байты синхронизации не должны скремблироваться - в эти моменты выход генератора ПСП должен блокироваться.
6.1.8 В целях получения сигнала для синхронизации дескремблера в приемнике со скремблером в передатчике значение байта синхронизации первого пакета в группе из восьми последовательных транспортных пакетов должно быть инвертировано, т.е. вместо байта SYNC со значением "01000111" (47
HEX) должен быть передан байт

со значением "10111000" (B8
HEX). Значение байта синхронизации B8
HEX в каждом восьмом пакете служит отметкой сверхцикла из восьми пакетов и используется для инициализации дескремблера в приемнике.
6.1.9 После инициализации первый бит с выхода генератора ПСП должен быть сложен по модулю 2 с первым битом (старшим значащим разрядом) первого байта, следующего за инвертированным синхробайтом (B8HEX). В течение времени передачи последующих семи транспортных пакетов генератор ПСП должен продолжать работать, но в моменты прохождения синхробайтов этих пакетов выход генератора ПСП должен блокироваться, оставляя синхробайты неизменными. Таким образом, отрезок непрерывно генерируемой ПСП должен быть равен 1503 байтам (187 + 188 x 7 = 1503). Структура исходного и рандомизированных транспортных пакетов в последовательности цикла из восьми пакетов показана на рисунках 3, а, 3, б соответственно.

- нескремблированный инвертированный синхробайт;
SYNCn - нескремблированный синхробайт, n = 2, 3, ..., 8.
6.1.10 Процесс рандомизации должен быть активным также в том случае, если на входе блока адаптации системы отсутствует поток данных, или если структура этого потока не соответствует формату транспортного потока MPEG-2 (1 синхробайт + 187 байтов данных)
[1].
6.2.1 Для внешнего кодирования должен использоваться укороченный код Рида-Соломона RS(204,188, t = 8), полученный из первоначального систематического кода Рида-Соломона RS(255,239, t = 8). Код RS(204,188, t = 8) позволяет исправлять до 8 ошибочных байтов в кодовом слове длиной 204 байта. Укорочение кода должно обеспечиваться добавлением 51 байта (все со значением "0") перед информационными байтами на входе кодера RS(255,239, t = 8). После кодирования все эти нулевые байты должны быть исключены.
6.2.2 Внешнее кодирование должно быть применено к каждому входящему рандомизированному транспортному пакету [см.
рисунок 3, б] с получением в результате пакета с введенными байтами защиты от ошибок, как показано на
рисунке 3, в.
6.2.3 Кодирование Рида-Соломона необходимо применять ко всему транспортному пакету, включая байт синхронизации как неинвертированный (значение 47HEX), так и инвертированный (значение B8HEX).
6.2.4 Для задания кода Рида-Соломона должны использоваться порождающий многочлен кода

(2)
и порождающий многочлен конечного поля Галуа
p(x) = x8 + x4 + x3 + x2 + 1, (3)
где

- примитивный элемент поля Галуа, являющийся корнем порождающего многочлена;
x - формальная переменная, используемая для указания положения элементов поля в последовательности кодируемых данных.
6.3.1 Операцию внешнего перемежения следует проводить после внешнего кодирования в сверточном побайтовом перемежителе структуры Форни с глубиной перемежения
I = 12. Структурная схема тракта внешнего перемежения, включающего перемежитель в передатчике и деперемежитель в приемнике системы, показана на рисунке 4. Входными данными для перемежителя являются кодированные транспортные пакеты, показанные на
рисунке 3, в.

6.3.2 Перемежитель должен быть составлен из
I = 12 ветвей, циклически подключаемых коммутатором в цепь прохождения входного потока байтов. Каждая из ветвей с индексом
j образована регистрами сдвига типа FIFO с глубиной (M x
j) ячеек, где M =
N/
I = 17,
N = 204 - длина кадра с защитой от ошибок,
I = 12 - глубина перемежения. Ячейки регистра сдвига имеют емкость 1 байт, а входные и выходные переключатели - синхронизированы. Ветвь с индексом
j = 0 должна иметь нулевую задержку. Задержка в старшей ветви с индексом
j = 11 равна 17 x 11 = 187 байтов. Байты синхронизации пакетов не должны перемежаться, в начале каждого цикла перемежения они все время должны проходить через перемежитель по ветви с нулевой задержкой, как показано на структурной схеме
рисунка 4.
6.3.3 Результатом перемежения должны быть сформированные перемеженные пакеты, структура которых показана на
рисунке 3, г.
Для разграничения байтов перемеженных пакетов используются инвертированные или неинвертированные синхронизирующие байты кодированных пакетов (это сохраняет периодичность в 204 байта). Полный период перемежения кодированного пакета должен быть равен 17 оборотам коммутатора ветвей. При этом будет соблюдаться условие регулярного прохождения синхробайтов по ветви перемежителя с индексом j = 0.
6.3.4 Для деперемежения данных в приемнике должна использоваться схема, отличающаяся от схемы перемежителя обратным порядком индексацией ветвей (ветвь с индексом j = 0 должна иметь максимальную задержку 187 байтов). Задержки в ветвях деперемежителя выбраны таким образом, чтобы во всех положениях 12-позиционного коммутатора суммарная задержка в перемежителе/деперемежителе была равна 187 байтам. В режиме установленной синхронизации деперемежителя с перемежителем байты синхронизации кодированных пакетов должны проходить по ветви деперемежителя с индексом j = 0.
6.4 Внутреннее кодирование и выкалывание
6.4.1 Для внутреннего кодирования в системе DVB-T должны использоваться выколотые сверточные коды со следующим рядом кодовых скоростей: 1/2, 2/3, 3/4, 5/6, 7/8, основанные на исходном сверточном коде, имеющем кодовую скорость 1/2 и длину кодового ограничения K = 7, что соответствует 64 состояниям решетчатой диаграммы.
6.4.2 Структурная схема внутреннего сверточного кодера показана на рисунке 5.
D - оператор задержки на 1 такт в регистре сдвига кодера;
M2 - логическая схема суммирования по модулю 2; X - выход
кодированных символов ветви 1; Y - выход кодированных
символов ветви 2
Кодированные символы с выходов ветвей
X и
Y сверточного кодера должны поступать на соответствующие входы блока выкалывания (см.
рисунок 6).
6.4.3 Порождающие многочлены ветвей X и Y сверточного кодера должны определяться следующими выражениями:
G1(D) = 1 + D + D2 + D3 + D6, (4)
G2(D) = 1 + D2 + D3 + D5 + D6. (5)
Допускается равноценная запись порождающих многочленов G1(D) и G2(D) в восьмеричном коде: G1 = 171OCT, G2 = 133OCT соответственно.
6.4.4 Порядок выкалывания битов из кодированной последовательности должен соответствовать структурам битов, показанным в таблице 2. Биты, которые остаются в кодированной последовательности, обозначены как "1", а выколотые биты как "0". При параллельно-последовательном преобразовании на выходе блока выкалывания в передаваемой последовательности должны отсутствовать биты, позиции которых обозначены как "0". Биты, обозначенные как "X1", в выколотой последовательности должны передаваться первыми.
Таблица 2
Кодовая скорость | Порядок выкалывания | Передаваемая последовательность |
1/2 | X: 1 | X1 Y1 |
Y: 1 | |
2/3 | X: 1 0 | X1 Y1 Y2 |
Y: 1 1 | |
3/4 | X: 1 0 1 | X1 Y1 Y2 X3 |
Y: 1 1 0 | |
5/6 | X: 1 0 1 0 1 | X1 Y1 Y2 X3 Y4 X5 |
Y: 1 1 0 1 0 | |
7/8 | X: 1 0 0 0 1 0 1 | X1 Y1 Y2 Y3 Y4 X5 Y6 X7 |
Y: 1 1 1 1 0 1 0 | |
6.4.5 В момент старта суперкадра OFDM старший значащий разряд байта синхронизации SYNC или

должен присутствовать на входе сверточного кодера (обозначен как "вход данных" на
рисунке 5).
6.5 Внутреннее перемежение
6.5.1 Описываемый в данном подразделе блок внутреннего перемежения должен применяться при работе системы DVB-T в режимах с числом несущих 2K или 8K. Блоки внутреннего перемежения, специально предназначенные для работы системы DVB-T в режиме системы мобильного телевидения DVB-H
[3] с числом несущих 4K, описаны в
приложении Д.
6.5.2 Структурная схема устройства внутреннего кодирования - перемежения показана на рисунке 6. Внутренний перемежитель является общим блоком для трактов рандомизации и помехоустойчивого кодирования транспортных потоков с высоким (HP) и низким (LP) приоритетами и расположен в начале единого тракта обработки данных системы. Внутреннее перемежение должно включать в себя перемежение по битам и символьное перемежение.
6.5.2.1 Перемежение по битам
Данные, поступающие на вход внутреннего перемежителя, могут содержать один или два потока битов, которые подлежат разделению на v подпотоков (v = 2 для модуляции QPSK, v = 4 для модуляции 16-QAM и v = 6 для модуляции 64-QAM). Каждый из v подпотоков должен обрабатываться своим блоковым перемежителем битов.
Если используется неиерархический режим передачи, то должен работать только один канал кодирования (HP), и на вход перемежителя с выхода внутреннего кодера поступает один поток данных, разделенный на v подпотоков.
В иерархическом режиме поток высокого приоритета разделяется на 2 подпотока, а поток низкого приоритета - на v - 2 подпотока. Этот принцип сохраняется как для равномерных, так и для неравномерных сигнальных созвездий с модуляцией QAM.
Структура внутреннего перемежителя зависит от выбранных иерархического режима и схемы модуляции.
Под разделением потоков следует понимать преобразование битов xdi, поступающих на вход перемежителя, в биты be,do на его выходе.
В неиерархическом режиме:
xdi = b[di(mod)v](div)(v/2) + 2[di(mod)(v/2)], di(div)v, (6)
в иерархическом режиме:

,

(7)
где xdi - биты на входе демультиплексора в неиерархическом режиме;

- биты на входе демультиплексора для потока с высоким приоритетом в иерархическом режиме;

- биты на входе демультиплексора для потока с низким приоритетом в иерархическом режиме;
di - номер поступающего на вход бита;
be,do - биты на выходе демультиплексора;
e - номер демультиплексированного потока битов (0 <= e < v);
do - номер бита в конкретном потоке на выходе демультиплексора;
mod - оператор взятия значения по модулю;
div - оператор целочисленного деления.
В результате внутреннего перемежения по битам должно выполняться следующее соответствие битов на входе демультиплексора и битов на его выходе для различных видов модуляции:
QPSK: | |
x0 преобразуется в b0,0 | |
x1 преобразуется в b1,0 | |
16-QAM неиерархический режим: | 16-QAM иерархический режим: |
x0 преобразуется в b0,0 |  преобразуется в b 0,0 |
x1 преобразуется в b2,0 |  преобразуется в b 1,0 |
x2 преобразуется в b1,0 |  преобразуется в b 2,0 |
x3 преобразуется в b3,0 |  преобразуется в b 3,0 |
64-QAM неиерархический режим: | 64-QAM иерархический режим |
x0 преобразуется в b0,0 |  преобразуется в b 0,0 |
x1 преобразуется в b2,0 |  преобразуется в b 1,0 |
x2 преобразуется в b4,0 |  преобразуется в b 2,0 |
x3 преобразуется в b1,0 |  преобразуется в b 4,0 |
x4 преобразуется в b3,0 |  преобразуется в b 3,0 |
x5 преобразуется в b5,0 |  преобразуется в b 5,0 |
Структурные схемы внутреннего перемежителя для неиерархических и иерархических режимов передачи с различными видами модуляции показаны на рисунках 7 и
8 соответственно.
В схеме перемежения по битам в зависимости от числа подпотоков v может быть задействовано до 6 перемежителей, обозначаемых индексами от I0 до I5. Перемежители с индексами I0 и I1 применяются при модуляции QPSK, с индексами от I0 до I3 - при модуляции 16-QAM, с индексами от I0 до I5 - при модуляции 64-QAM.
Перемежению должны подвергаться только полезные данные. Длина блока каждого из перемежителей постоянна и равна 126 битам, но последовательности перемежения у всех - разные. Процесс перемежения блоков должен повторяться ровно 12 раз за время одного символа OFDM в режиме 2K (126 x 12 = 1512) или 48 раз в режиме 8K (126 x 48 = 6048), где 1512 и 6048 - точные числа несущих полезных данных в одном символе OFDM для режимов 2K и 8K соответственно. Параметры перемежения для модуляции 4K приведены в
приложении Д.
Для каждого перемежителя по битам биты на его входе, представленные в векторной форме, должны иметь вид:
B(e) = (be,0, be,1, be,2, ..., be,125),
где e = 0, ..., v - 1.
Биты на выходе перемежителя по битам, представленные в векторной форме, должны иметь вид:
A(e) = (ae,0, ae,1, ae,2, ..., ae,125),
где

,
w = 0, 1, 2, ..., 125.
Каждый из блоковых перемежителей осуществляет циклический сдвиг записанного входного блока данных. Начальное значение сдвига по всем перемежителям должно определяться функцией перемежения He(w):
перемежитель I0: H0(w) = w,
перемежитель I1: H1(w) = (w + 63)mod 126,
перемежитель I2: H2(w) = (w + 105)mod 126,
перемежитель I3: H3(w) = (w + 42)mod 126,
перемежитель I4: H4(w) = (w + 21)mod 126,
перемежитель I5: H5(w) = (w + 84)mod 126.
Выходы v перемежителей в каждом такте должны группироваться в один цифровой символ данных (кодовую комбинацию), при этом каждый символ длиной v битов должен включать в себя по одному биту от каждого из v перемежителей. Бит с выхода перемежителя с индексом I0 является самым старшим битом в комбинации цифрового символа, имеющей вид

.
6.5.2.2 Перемежение по символам
Задачей посимвольного перемежителя является отображение символов в виде слов длиной v битов на множество активных несущих с модуляцией OFDM (1512 несущих в режиме 2K или 6048 несущих в режиме 8K). Посимвольный перемежитель должен выполнять обработку 1512 блоков из символов данных в режиме 2K или 6048 блоков в режиме 8K.
При работе в режиме 2K с выхода побитового перемежителя последовательно считываются 12 групп из 126 слов данных и преобразуются затем в вектор

. При работе в режиме 8K таким же образом из 48 групп, составленных из 126 слов данных, формируется вектор

.
Вектор

, полученный после символьного перемежения, определяется следующими выражениями:

для четных символов при
q = 0, ...,
Nmax - 1,

для нечетных символов при
q = 0, ...,
Nmax - 1,
где Nmax = 1512 в режиме 2K и Nmax = 6048 в режиме 8K.
Индекс символа, задающий положение текущего символа в кадре OFDM, определяется в
разделе 7.
Функция посимвольного перемежения H(q) определена далее следующим образом.
Пусть двоичное слово

состоит из (
Nr - 1) элементов и определяется значением
Nr = log
2M
max, где M
max = 2048 в режиме 2K и M
max = 8192 в режиме 8K.
Тогда

принимает следующие значение:
i = 0,1 | |
i = 2 | |
2 < i < Mmax |  ; |
| в режиме 2K:  |
| в режиме 8K:  . |
Вектор R
i получается из вектора

при помощи перестановок, приведенных в таблицах 3 и
4 для режимов 2K и 8K соответственно.
Таблица 3
Перестановки битов в режиме 2K |
Позиция битов в  | 9 | 8 | 7 | 6 | 5 | 4 | 3 | 2 | 1 | 0 |
Позиция битов в Ri | 0 | 7 | 5 | 1 | 8 | 2 | 6 | 9 | 3 | 4 |
Перестановки битов в режиме 8K |
Позиция битов в  | 11 | 10 | 9 | 8 | 7 | 6 | 5 | 4 | 3 | 2 | 1 | 0 |
Позиция битов в Ri | 5 | 11 | 3 | 0 | 10 | 8 | 6 | 9 | 2 | 4 | 1 | 7 |
Функция посимвольного перемежения должна вычисляться в соответствии со следующим алгоритмом:
q = 0
для (i = 0; i <; i = i + 1);

;
если (H(q) < Nmax)
q = q + 1}.
Структурная схема для генерирования адресов в соответствии с алгоритмом вычисления функции посимвольного перемежения в режиме 2K показана на рисунке 9. Аналогичная схема для режима 8K показана на
рисунке 10.
Рисунок 9
Функцию y следует вычислять аналогично функции y' согласно выражению
yq' = (y0,q', y1,q',..., yv-1,q'), (8)
где q' - номер символа на выходе посимвольного перемежителя.
Значения функции y следует использовать при отображении данных на сигнальное созвездие (см. 6.6).
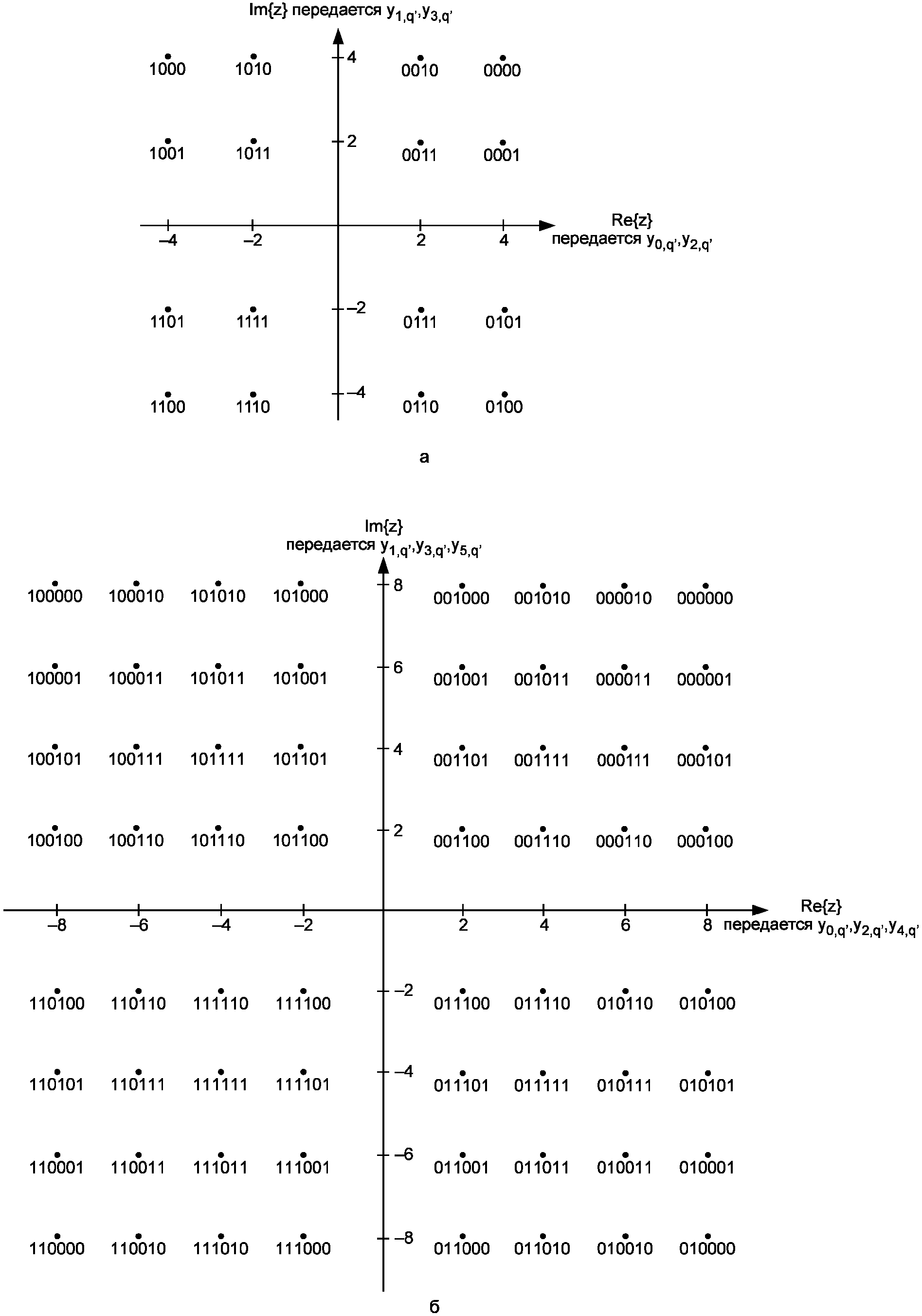
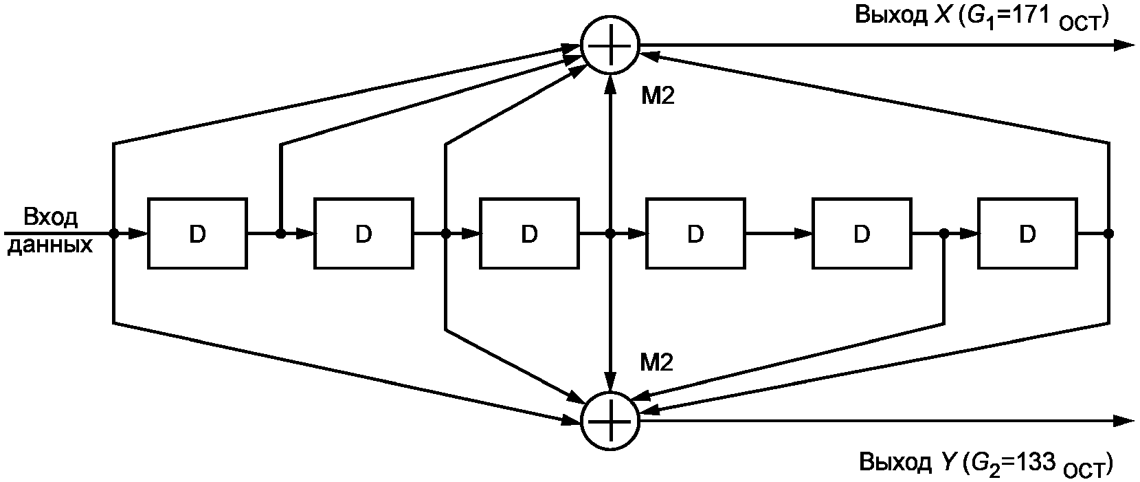
6.6 Первичная модуляция и отображение символов
6.6.1 При первичной модуляции несущих, составляющих частотную группу OFDM, допускается выбор одного из трех типов сигнальных созвездий: равномерных для неиерархической передачи (используются при первичной модуляции каждой несущей вида QPSK, 16-QAM, 64-QAM) и неравномерных с двумя возможными коэффициентами неравномерности

и

(используются при первичной модуляции вида 16-QAM и 64-QAM). При отображения символов в виде битовых комбинаций в точки сигнального созвездия для двух старших разрядов должно использоваться преобразование натурального кода в код Грея.
6.6.2 Значение параметра

определяет минимальное расстояние между двумя позициями сигнального созвездия первичной модуляции, относящимися к потоку с высоким приоритетом. Неиерархический режим использует тот же самый вид сигнального созвездия, что и при

.
Точные значения проекций точек сигнальных созвездий на действительную ось (
n) и мнимую ось (
m), определяемые комплексным вектором

, представлены ниже для сигнальных созвездий в различных режимах работы:
модуляция QPSK:

,

;
модуляция 16-QAM (неиерархический и иерархический

режимы):

,

;
модуляция 16-QAM с неравномерным созвездием при

:

,

;
модуляция 16-QAM с неравномерным созвездием при

:

,

;
модуляция 64-QAM (неиерархический и иерархический

режимы):

,

;
модуляция 64-QAM с неравномерным созвездием при

:

,

;
модуляция 64-QAM с неравномерным созвездием при

:

,

.
Формы сигнальных созвездий с указанием значений символьных комбинаций для каждой точки созвездия показаны на рисунках 11 -
13.
На
рисунке 11 показано соответствие битов точкам сигнальных созвездий при модуляции: 11, а - QPSK, 11, б - 16-QAM и 11, в - 64-QAM в неиерархическом и иерархическом

режимах.
На
рисунке 12 показано соответствие битов точкам сигнальных созвездий при модуляции: 12, а - 16-QAM и 12, б - 64-QAM в иерархическом режиме

.
На
рисунке 13 показано соответствие битов точкам сигнальных созвездий при модуляции: 13, а - 16-QAM и 13, б - 64-QAM в иерархическом режиме

.
На
рисунках 11 -
13 логической переменной y
u,q обозначены биты, из которых образован комплексный модулированный символ
z.
6.6.2.1 Неиерархический режим работы
Поток данных на выходе внутреннего перемежителя состоит из слов данных длинной
v. Эти слова данных представляются в виде комплексного числа
z, как это показано на
рисунке 11.
6.6.2.2 Иерархический режим работы
В случае иерархического режима работы поток данных должен форматироваться схемой, показанной на
рисунке 7, а затем должен быть представлен в виде вектора сигнального созвездия в соответствии с
рисунками 11,
12 и
13.
К битам потока с высоким приоритетом относятся биты слова на выходе внутреннего перемежителя y
0,q' и y
1,q', а к битам потока с низким приоритетом относятся биты слов y
2,q', y
3,q' или y
2,q', y
3,q', y
2,q', y
3,q' для модуляции 16-QAM и 64-QAM соответственно. Выбор одного из вариантов формирования сигнального созвездия, представленных на
рисунках 11 -
13, должен осуществляться в соответствии с установленным режимом вещания.
7.1 Параметры символов OFDM
7.1.1 В данном подразделе приведены требования к структуре кадра OFDM при работе системы в режимах вещания 2K с общим числом 1705 ортогональных несущих или режима 8K с общим числом 6817 ортогональных несущих в одном символе OFDM. Требования для режима 4K, применяемого в системе мобильного телевидения DVB-H, приведены в
приложении Д.
7.1.2 Передаваемый сигнал OFDM должен быть организован в виде кадров. Продолжительность кадра обозначается TF. Четыре кадра образуют суперкадр. Каждый кадр содержит 68 символов. Каждый символ OFDM содержит полное множество несущих OFDM, которые образуют ячейки с частотно-временной структурой. Символы в кадре пронумерованы от 0 до 67. В составе символа OFDM должны передаваться полезные данные, а также служебные и опорные (эталонные) сигналы, к которым относятся:
- несущие рассредоточенных пилот-сигналов,
- несущие непрерывных пилот-сигналов,
- несущие TPS.
Пилот-сигналы служат для кадровой синхронизации, частотной синхронизации, временной синхронизации, оценки параметров канала, определения режима вещания, а также для оценки фазовых шумов.
7.1.3 Каждой несущей в символе OFDM присвоен индекс

, где K
min = 0, а K
max = 1704 в режиме 2K либо K
max = 6817 в режиме 8K. Разнос между соседними несущими должен быть равен 1/
TU, а расстояние между K
min и K
max равно (K - 1)/
TU.
Численные значения параметров модулированного символа OFDM в режимах 2K и 8K для канала с шириной полосы частот 8 МГц должны соответствовать данным, приведенным в таблице 5.
Таблица 5
Параметр | Режим 8K | Режим 2K |
Число несущих K | 6817 | 1705 |
Значение несущей Kmin | 0 | 0 |
Значение несущей Kmax | 6816 | 1704 |
Длительность TU, мкс | 896 | 224 |
Разнос несущих 1/TU, Гц | 1116 | 4464 |
Разнос между несущими Kmin и Kmax, равный (K - 1)/TU, МГц | 7,61 | 7,61 |
Примечание - Значения, отмеченные курсивом, округлены и имеют ограниченную точность. |
Излучаемый сигнал OFDM должен отвечать следующему выражению

,
где
В выражении для s(t) введены следующие обозначения:
k - номер несущей;
l - номер OFDM символа;
m - номер передаваемого кадра;
K - общее число используемых несущих;
TS - длительность символа;
TU - величина, обратная расстоянию между несущими в частотной области;
TG - длительность защитного интервала;
fc - центральная частота радиосигнала OFDM;
k' = k - (Kmax + Kmin)/2 - индекс центральной несущей в спектре OFDM.
7.1.4 Поскольку сигнал OFDM содержит много раздельно модулированных несущих, то каждый символ OFDM структурно разделен на ячейки, соответствующие отдельно взятой модулированной несущей в пределах одного символа. Каждая ячейка помечается своим номером cm,l,k, где m - номер кадра в суперкадре, l - номер символа в кадре, k - номер ячейки в символе.
Примеры обозначения ячеек, соответствующих значениям комплексного модулирующего символа для каждой из несущих:
cm,0,k - полное обозначение ячейки для несущей N k в символе данных N 1, в кадре N m;
cm,1,k - полное обозначение ячейки для несущей N k в символе данных N 2, в кадре N m;
...;
cm,67,k - полное обозначение ячейки для несущей N k в символе данных N 68 в кадре N m.
Значения
cm,l,k являются нормированными значениями для точки z сигнального созвездия модулированной несущей (см.
рисунки 11 -
13). Нормирование должно производиться исходя из условия:
E[
c x
c*] = 1. Значения коэффициентов нормирования для различных режимов вещания представлены в таблице 6.
Таблица 6
Вид модуляции | Коэффициент неравномерности сигнального созвездия | Коэффициент нормирования |
QPSK | | |
16-QAM | | |
| | |
| | |
64-QAM | | |
| | |
| | |
7.1.5 Каждый символ OFDM имеет длительность TS и состоит из двух частей: полезной части с длительностью TU и защитного интервала с длительностью TG. Защитный интервал предшествует полезной части символа и является повторением последней части символа, частью которого он является. В каждом из трех возможных режимов вещания (2K и 8K для системы DVB-T, 4K для системы DVB-H) могут быть использованы четыре значения защитного интервала. Значения длительности составляющих символа OFDM в системе DVB-T для канала с шириной полосы частот 8 МГц при различных значениях относительного защитного интервала представлены в таблице 7.
Таблица 7
Режим | 8k | 2k |
Относительный защитный интервал, TG/TU | 1/4 | 1/8 | 1/16 | 1/32 | 1/4 | 1/8 | 1/16 | 1/32 |
Длительность полезной части символа TU, мкс | 896 | 224 |
Длительность защитного интервала TG, мкс | 224 | 112 | 56 | 28 | 56 | 28 | 14 | 7 |
Длительность полного символа, TS = TU + TG, мкс | 1120 | 1008 | 952 | 924 | 280 | 252 | 238 | 231 |
7.1.6 Для определения максимального возможного разноса между основным и мешающим передатчиками сети, зависящего от длительности защитного интервала, следует руководствоваться численными значениями, приведенными в таблице 8.
Таблица 8
Относительный защитный интервал | Режим 2K | Режим 4K | Режим 8K |
Защитный интервал, мкс | Разнос передатчиков, км | Защитный интервал, мкс | Разнос передатчиков, км | Защитный интервал, мкс | Разнос передатчиков, км |
1/4 | 56 | 16,8 | 112 | 33,6 | 224 | 67,2 |
1/8 | 28 | 8,4 | 56 | 16,8 | 112 | 33,6 |
1/16 | 14 | 4,2 | 28 | 8,4 | 56 | 16,8 |
1/32 | 7 | 2,1 | 14 | 4,2 | 28 | 8,4 |
7.2.1 В части ячеек кадра OFDM должны размещаться служебные несущие, переносящие опорную информацию, параметры которой априорно известны в приемнике и используются при демодуляции и декодировании. Эти несущие называются рассредоточенными и непрерывными пилот-сигналами, в символе OFDM они передаются с добавочной мощностью в соотношении 16/9 относительно мощности несущих полезных данных. Условие нормирования мощности пилот-сигналов: E[c x c*] = 16/9.
Число несущих с полезными данными в символе OFDM должно быть равно 1512 для режима 2K и 6048 для режима 8K, остальные несущие используются для передачи служебных данных.
7.2.2 Значения рассредоточенных и непрерывных пилот-сигналов следует устанавливать в соответствии со значениями опорной псевдослучайной двоичной последовательности wk, где k - индекс служебной несущей в символе. Для генерирования ПСП должен использоваться примитивный многочлен G(X) = 1 + X9 + X11. Структурная схема генератора опорной ПСП показана на рисунке 14. Инициализация генератора ПСП путем установки всех разрядов регистра в состояние "1" должна осуществляться так, чтобы первый бит на выходе генератора совпадал по времени с первой активной несущей в символе OFDM. Каждый последующий бит в ПСП должен соответствовать очередной используемой несущей, независимо от того, является ли она пилот-сигналом или нет. Эта ПСП также должна определять начальную фазу сигнала, передаваемого на несущих TPS в символе OFDM.
Рисунок 14
7.2.3 Опорная информация, производимая опорной ПСП, передается в рассредоточенных пилот-сигналах в каждом символе. Поскольку рассредоточенные пилот-сигналы всегда должны передаваться с повышенным уровнем несущих, то соответствующие параметры комплексного модулированного символа должны быть определены следующим образом
Re{cm,l,k} = 4/3 x 2(1/2 - wk),
Im{cm,l,k} = 0, (9)
где m - номер передаваемого кадра,
k - номер несущей в символе;
l - номер OFDM символа во времени.
Несущие с номером ячейки k в составе символа l (где l = 0; ... 67) являются рассредоточенными пилот-сигналами, если выполняется следующее равенство:
k = Kmin + 3 x (lmod 4) + 12p, (10)
где
p >= 0 - целое число,

.
В каждом следующем символе рассредоточенные пилот-сигналы сдвигаются вперед на 3 ячейки. Тем самым полный цикл сдвигов захватывает 4 символа в кадре OFDM, затем процесс повторяется. В ходе этих сдвигов каждая третья ячейка символа может быть занята либо полезной несущей, либо рассредоточенным пилот-сигналом. Следовательно, каждый рассредоточенный пилот-сигнал совпадает с непрерывным пилот-сигналом в каждом четвертом символе OFDM. Расположение ячеек с рассредоточенными пилот-сигналами в кадре OFDM показано на рисунке 15.
Рисунок 15
7.2.4 В дополнение к рассредоточенным пилот-сигналам в каждом символе передаются также 177 (в режиме 8K) или 45 (в режиме 2K) непрерывных пилот-сигналов. Непрерывные пилот-сигналы передаются во всех символах OFDM на фиксированных позициях ячеек в соответствии с таблицей 9.
Таблица 9
Местоположения ячеек непрерывных пилотов-сигналов в символе OFDM (номер несущей k) |
Режим 2K | Режим 8K |
0 48 54 87 141 156 192 201 255 279 282 333 432 450 483 525 531 618 636 714 759 765 780 804 873 888 918 939 942 969 984 1050 1101 1107 1110 1137 1140 1146 1206 1269 1323 1377 1491 1683 1704 (всего 45) | 0 48 54 87 141 156 192 201 255 279 282 333 432 450 483 525 531 618 636 714 759 765 780 804 873 888 918 939 942 969 984 1050 1101 1107 1110 1137 1140 1146 1206 1269 1323 1377 1491 1683 1704 1752 1758 1791 1845 1860 1896 1905 1959 1983 1986 2037 2136 2154 2187 2229 2235 2322 2340 2418 2463 2469 2484 2508 2577 2592 2622 2643 2646 2673 2688 2754 2805 2811 2814 2841 2844 2850 2910 2973 3027 3081 3195 3387 3408 3456 3462 3495 3549 3564 3600 3609 3663 3687 3690 3741 3840 3858 3891 3933 3939 4026 4044 4122 4167 4173 4188 4212 4281 4296 4326 4347 4350 4377 4392 4458 4509 4515 4518 4545 4548 4554 4614 4677 4731 4785 4899 5091 5112 5160 5166 5199 5253 5268 5304 5313 5367 5391 5394 5445 5544 5562 5595 5637 5643 5730 5748 5826 5871 5877 5892 5916 5985 6000 6030 6051 6054 6081 6096 6162 6213 6219 6222 6249 6252 6258 6318 6381 6435 6489 6603 6795 6816 (всего 177) |
7.3 Сигнализация о параметрах передачи (TPS)
7.3.1 Служебные несущие для сигнализации о параметрах передачи системы (несущие TPS) предназначены для сообщения приемнику конкретных данных о выбранном режиме вещания и установленном в передатчике наборе параметров сигнала OFDM.
При помощи несущих TPS должна передаваться информация о:
- виде модуляции, включая значения коэффициента неравномерности

для сигнального созвездия QAM;
- применении иерархической передачи и приоритетах передаваемых потоков;
- значении защитного интервала (для случая изменения параметров вещания и реконфигурирования приемника);
- скоростях внутреннего кодирования;
- режиме вещания 2K или 8K (для случая изменения параметров вещания и реконфигурирования приемника);
- номере кадра в суперкадре;
- идентификации зоны обслуживания.
7.3.2 Данные сигнализации о параметрах передачи должны передаваться в каждом символе OFDM параллельно блоками из 17 несущих TPS в режиме 2K и блоками из 68 несущих TPS в режиме 8K. В каждом символе OFDM передается один бит информации TPS в формате относительного кодирования. Все несущие TPS в конкретном символе OFDM должны передаваться на фиксированных позициях и переносить одну и ту же информацию, Т.е. для повышения надежности приема используется передача с избыточностью (повтором).
Индексы ячеек с несущими TPS приведены в таблице 10.
Таблица 10
Режим 2K | Режим 8K |
34 50 209 346 413 569 595 688 790 901 1073 1219 1262 1286 1469 1594 1687 | 34 50 209 346 413 569 595 688 790 901 1073 1219 1262 1286 1469 1594 1687 1738 1754 1913 2050 2117 2273 2299 2392 2494 2605 2777 2923 2966 2990 3173 3298 3391 3442 3458 3617 3754 3821 3977 4003 4096 4198 4309 4481 4627 4670 4694 4877 5002 5095 5146 5162 5321 5458 5525 5681 5707 5800 5902 6013 6185 6331 6374 6398 6581 6706 6799 |
7.3.3 В каждом кадре OFDM следует передавать 68 битов TPS, которые образуют один блок TPS. Биты TPS в каждом блоке TPS должны быть распределены следующим образом:
- 1 бит инициализации;
- 16 бит синхронизации;
- 37 бит информации;
- 14 бит кодовой защиты.
Из 37 битов, доступных для передачи информации, в системе DVB-T используется только 31 бит, оставшиеся 6 битов должны быть установлены в значение "0", а в системе DVB-H используются только 33 бита, оставшиеся 4 бита должны быть установлены в значение "0" (см.
Д.4.1). Формат передачи данных TPS в системе DVB-T должен соответствовать требованиям, приведенным в таблице 11.
Номер бита TPS | Использование и значения битов TPS в системе DVB-T |
s0 | Инициализация (модуляция несущих TPS в первом символе кадра OFDM не в относительном, а в абсолютном формате) |
s1 - s16 | Синхронизация (слово синхронизации: s1 - s16 = "0011010111101110" в первом и третьем кадре суперкадра OFDM; s1 - s16 = "1100101000010001" во втором и четвертом кадре суперкадра OFDM |
s17 - s22 | Индикатор длины (число используемых битов в блоке данных TPS): "010111" - соответствует использованию 23 битов TPS (идентификатор зоны вещания не должен передаваться); "011111" - соответствует использованию 31 бита TPS (идентификатор зоны вещания должен передаваться); |
s23, s24 | Номер кадра в суперкадре: "00" - соответствует первому кадру в суперкадре; "01" - соответствует второму кадру в суперкадре; "10" - соответствует третьему кадру в суперкадре; "11" - соответствует четвертому кадру в суперкадре |
s25, s26 | Вид первичной модуляции несущих: "00" - соответствует модуляции QPSK; "01" - соответствует модуляции 16-QAM; "10" - соответствует модуляции 64-QAM; "11" - зарезервированное значение |
s27 | Указатель типа перемежителя: в системе DVB-T должен быть установлен в "0"; |
s28, s29 | Коэффициент неравномерности сигнального созвездия  при иерархической передаче: "00" - без иерархической передачи; "01" - коэффициент неравномерности  ; "10" - коэффициент неравномерности  ; "11" - коэффициент неравномерности  |
s30 - s32 | Кодовая скорость для потока с высоким приоритетом: "000" - соответствует значению 1/2; "001" - соответствует значению 2/3; "010" - соответствует значению 3/4; "011" - соответствует значению 5/6; "100" - соответствует значению 7/8; "101" - зарезервированное значение; "110" - зарезервированное значение; "111" - зарезервированное значение |
s33 - s35 | Кодовая скорость для потока с низким приоритетом: "000" - соответствует значению 1/2; "001" - соответствует значению 2/3; "010" - соответствует значению 3/4; "011" - соответствует значению 5/6; "100" - соответствует значению 7/8; "101" - зарезервированное значение; "110" - зарезервированное значение; "111" - зарезервированное значение При использовании неиерархической передачи биты должны быть установлены в значение "000" |
s36, s37 | Относительный защитный интервал: "00" - соответствует значению 1/32; "01" - соответствует значению 1/16; "10" - соответствует значению 1/8; "11" - соответствует значению 1/4 |
s38, s39 | Режим вещания (полное число несущих 2K, 4K или 8K): "00" - соответствует режиму 2K; "01" - соответствует режиму 8K; "10" - соответствует режиму 4K в системе DVB-H (см. приложение Д); "11" - зарезервированное значение |
s40 - s47 | Идентификатор зоны вещания (см. 7.3.4) |
s48 - s53 | Зарезервировано для использования в будущем - должны быть установлены в "000000"; |
s54 - s67 | Проверочные биты помехоустойчивого кода БЧХ (см. 7.3.5) |
7.3.4 Идентификатор зоны вещания служит для определения передатчика, излучающего принимаемый сигнал. Полный размер поля идентификатора зоны cell_id равен двум байтам, которые должны передаваться по байтам на позициях битов s
40 - s
47 блока данных TPS. При этом наиболее значимый байт (биты b
15 - b
8) должен передаваться в первом и третьем кадрах суперкадра, а наименее значимый байт (биты b
0 - b
7) должен передаваться во втором и четвертом кадрах суперкадра. Допускается не предоставлять информацию о зоне вещания; в этом случае все значения битов s
40 - s
47 должны быть установлены в "0".
Распределение значений битов поля cell_id по битам данных TPS должно соответствовать таблице 12.
Таблица 12
Номер бита TPS | Номера битов поля cell_id |
Кадры суперкадра 1 и 3 | Кадры суперкадра 2 и 4 |
s40 | cell_id b15 | cell_id b7 |
s41 | cell_id b14 | cell_id b6 |
s42 | cell_id b13 | cell_id b5 |
s43 | cell_id b12 | cell_id b4 |
s44 | cell_id b11 | cell_id b3 |
s45 | cell_id b10 | cell_id b2 |
s46 | cell_id b9 | cell_id b1 |
s47 | cell_id b8 | cell_id b0 |
7.3.5 Для защиты от ошибок 53 бита TPS с s
1 по s
53, переносящие данные синхронизации и информации, должны быть кодированы кодом, исправляющим ошибки. Для этой цели следует применять укороченный код БЧХ(63,57,
t = 2), полученный из исходного систематического кода БЧХ(127,113,
t = 2). В результате кодирования должны быть сформированы 14 поверочных битов, которые должны размещаться на позициях битов s
54 - s
67 блока данных TPS.
Структура кодера кода БЧХ должна отвечать следующему порождающему многочлену
h(x) = x14 + x9 + x8 + x6 + x5 + x4 + x2 + 1. (11)
Для получения укороченного кода БЧХ следует перед кодированием блока данных TPS кодером БЧХ(127,113, t = 2) добавить в начало блока 60 битов, значения которых установлены в "0". После кодирования добавленные биты с нулевыми значениями должны быть удалены, что будет эквивалентно укорочению кода БЧХ до кодового слова с длиной в 67 бит.
7.3.6 Передача несущих, содержащих информацию TPS, должна осуществляться с тем же уровнем мощности, что и передача информационных несущих, т.е. со средним уровнем всех ячеек данных, для которых должно удовлетворяться равенство E[c x c*] = 1.
Каждая несущая TPS должна быть модулирована с помощью модуляции DBPSK. Инициализация значений символов с модуляцией DBPSK должна производиться в начале передачи каждого блока TPS.
Для получения относительной фазовой модуляции несущей TPS с номером k в составе символа l в кадре m должны соблюдаться следующие правила:
- если s1 = 0, то Re{cm,l,k} = Re{cm,l-1,k}; Im{cm,l,k} = 0; (12)
- если s1 = 1, то Re{cm,l,k} = -Re{cm,l-1,k}; Im{cm,l,k} = 0. (13)
Абсолютное значение фазы при модуляции несущих TPS в первом символе кадра должно определяться значением эталонной ПСП wk согласно выражениям:
Re{cm,l,k} = 2(1/2 - wk),
Im{cm,l,k} = 0. (14)
7.4 Число кодированных пакетов в суперкадре OFDM
7.4.1 Структура суперкадра OFDM такова, что в нем укладывается целое число пакетов, кодированных кодом Рида-Соломона и имеющих длину 204 байта. При передаче это позволяет избежать вставки в поток каких-либо балластных битов (стаффинга) независимо от выбранной комбинации параметров, включающей в себя вид модуляции, длину защитного интервала и кодовую скорость. Сведения о числе кодированных RS-пакетов, передаваемых в суперкадре системы в режимах 2K и 8K независимо от выбираемых параметров, представлены в таблице 13.
Таблица 13
Кодовая скорость | Модуляция QPSK | Модуляция 16-QAM | Модуляция 64-QAM |
Режим 2K | Режим 8K | Режим 2K | Режим 8K | Режим 2K | Режим 8K |
1/2 | 252 | 1008 | 504 | 2016 | 756 | 3024 |
2/3 | 336 | 1344 | 672 | 2688 | 1008 | 4032 |
3/4 | 378 | 1512 | 756 | 3024 | 1134 | 4536 |
5/6 | 420 | 1680 | 840 | 3360 | 1260 | 5040 |
7/8 | 441 | 1764 | 882 | 3528 | 1323 | 5292 |
7.4.2 Достижимые в системе в режимах вещания 2K и 8K скорости передачи полезной информации при различных комбинациях выбираемых параметров, включающих вид модуляции, длину защитного интервала и кодовую скорость для неиерархических режимов, представлены в таблице 14.
Модуляция | Кодовая скорость | Защитный интервал |
1/4 | 1/8 | 1/16 | 1/32 |
QPSK | 1/2 | 4,98 | 5,53 | 5,85 | 6,03 |
2/3 | 6,64 | 7,37 | 7,81 | 8,04 |
3/4 | 7,46 | 8,29 | 8,78 | 9,05 |
5/6 | 8,29 | 9,22 | 9,76 | 10,05 |
7/8 | 8,71 | 9,68 | 10,25 | 10,56 |
16-QAM | 1/2 | 9,95 | 11,06 | 11,71 | 12,06 |
2/3 | 13,27 | 14,75 | 15,61 | 16,09 |
3/4 | 14,93 | 16,59 | 17,56 | 18,10 |
5/6 | 16,59 | 18,43 | 19,52 | 20,11 |
7/8 | 17,42 | 19,35 | 20,49 | 21,11 |
64-QAM | 1/2 | 14,93 | 16,59 | 17,56 | 18,10 |
2/3 | 19,91 | 22,12 | 23,42 | 24,13 |
3/4 | 22,39 | 24,88 | 26,35 | 27,14 |
5/6 | 24,88 | 27,65 | 29,27 | 30,16 |
7/8 | 26,13 | 29,03 | 30,74 | 31,67 |
Примечание - Численные значения скоростей округлены. При использовании иерархических режимов вещания для получения нужных скоростей передачи следует: - значения для потока высокого приоритета (HP) брать из клеток таблицы для модуляции QPSK; - значения для потока низкого приоритета (LP) с модуляцией 16-QAM брать из клеток таблицы для модуляции QPSK; - значения для потока низкого приоритета (LP) с модуляцией 64-QAM брать из клеток таблицы для модуляции 16-QAM. |
8 Свойства спектра и спектральные маски
8.1.1 Символы OFDM являются совокупностью равномерно-распределенных ортогональных несущих, амплитуды и фазы которых изменяются от символа к символу, в зависимости от передаваемой с их помощью информации.
Спектральная плотность мощности каждой из модулированных несущих определяется следующим математическим выражением

, (15)
где номинальное значение частоты каждой несущей

. (16)
8.1.2 Полная спектральная плотность мощности всех модулированных несущих OFDM является суммой спектральных плотностей мощности каждой из несущих символа OFDM. Теоретический спектр сигнала OFDM с относительным защитным интервалом, равным 1/4, для канала с полосой 8 МГц показан на рисунке 16. Поскольку длительность символа OFDM превышает значение величины, обратной разносу соседних несущих, то основной лепесток спектральной плотности мощности каждой несущей является более узким, чем удвоенное значение разноса несущих. Это приводит к тому, что спектральная плотность не остается постоянной в пределах своей номинальной полосы частот, равной 7608259 МГц для режима 8K и 7611607 МГц для режима 2K.
Рисунок 16
8.2.1 Уровень спектральных составляющих сигнала, выходящих за пределы номинальной полосы частот рабочего канала и создающих помеху в соседних смежных каналах, может быть ослаблен за счет дополнительной фильтрации. Спектральные маски, характеризующие уровень спектральной плотности мощности внеполосных составляющих спектра выходного сигнала передатчика, рассчитаны исходя из следующих условий
[2]:
- цифровой и аналоговый передатчики территориально совмещены;
- отсутствует поляризационная селекция между цифровым и аналоговым сигналом;
- одинаковая излучаемая мощность от обоих передатчиков (мощность аналогового ТВ передатчика в пике синхроимпульса равна полной мощности цифрового ТВ передатчика);
- если излучаемые мощности двух передатчиков разные, то уровни спектральной маски следует скорректировать по формуле: коэффициент коррекции равен минимальной излучаемой мощности аналогового передатчика (дБ) минус максимальная излучаемая мощность цифрового передатчика (дБ).
8.2.2 При работе цифровых передатчиков в переходный период совместно с аналоговыми ТВ передатчиками, работающими в соседних верхнем и/или нижнем каналах, относительный уровень спектральной плотности мощности внеполосных составляющих спектра выходного сигнала цифрового передатчика в области отстроек +/- (3,9... 12) МГц от центральной частоты
fc не должен превышать границ спектральной маски, показанной на рисунке 17, с численными значениями контрольных точек, приведенными в
таблице 15 [4].
Рисунок 17
Контрольные точки маски |
Частота отстройки, МГц | Относительный уровень, дБ |
Минус 12 | Минус 100 |
Минус 10,75 | Минус 78,7 |
Минус 9,75 | Минус 78,7 |
Минус 4,75 | Минус 73,6 |
Минус 4,185 | Минус 59,9 |
Минус 3,9 | Минус 32,8 |
3,9 | Минус 32,8 |
4,25 | Минус 66,1 |
5,25 | Минус 78,7 |
6,25 | Минус 78,7 |
11,25 | Минус 78,7 |
12 | Минус 100 |
8.2.3 При работе цифровых передатчиков совместно с другими цифровыми передатчиками в соседних верхнем и/или нижнем каналах относительный уровень спектральной плотности мощности внеполосных составляющих спектра выходного сигнала цифрового передатчика в области отстроек +/- (3,9... 12) МГц от центральной частоты
fc не должен превышать границ спектральной маски, показанной на рисунке 18, с численными значениями контрольных точек, приведенными в
таблице 16 [
4,
5].
Рисунок 18
Контрольные точки маски для некритического случая |
Частота отстройки, МГц | Относительный уровень, дБ |
Минус 12 | Минус 110 |
Минус 6 | Минус 85 |
Минус 4,2 | Минус 73 |
Минус 3,9 | Минус 32,8 |
3,9 | Минус 32,8 |
4,2 | Минус 73 |
6 | Минус 85 |
12 | Минус 110 |
8.2.4 Для критических случаев повышенной чувствительности, таких как присутствие в соседних ТВ каналах маломощных передатчиков или только приемников, следует применять спектральную маску с более высокими коэффициентами внеполосного затухания. Относительный уровень спектральной плотности мощности внеполосных составляющих спектра выходного сигнала передатчика в области отстроек +/- (3,9... 12) МГц от центральной частоты
fc не должен превышать границ спектральной маски, показанной на рисунке 19, с численными значениями контрольных точек, приведенными в
таблице 17 [
4,
5].
Рисунок 19
Контрольные точки маски для случаев повышенной чувствительности |
Частота отстройки, МГц | Относительный уровень, дБ |
Минус 12 | Минус 120 |
Минус 6 | Минус 95 |
Минус 4,2 | Минус 83 |
Минус 3,8 | Минус 32,8 |
3,8 | Минус 32,8 |
4,2 | Минус 83 |
6 | Минус 95 |
12 | Минус 120 |
8.2.5 Номинальное значение центральной частоты спектра радиочастотного сигнала OFDM для каналов с шириной полосы частот 8 МГц в диапазоне УВЧ должно рассчитываться по формуле
fc = 470 МГц + 4 МГц + (i1 x 8 МГц),
где i1 = 1, 2, 3... (17)
Реальное значение центральной частоты спектра fc допускается смещать относительно номинального значения для улучшения электромагнитной совместимости.
(справочное)
ХАРАКТЕРИСТИКИ СИСТЕМЫ, ПОЛУЧЕННЫЕ ПУТЕМ МОДЕЛИРОВАНИЯ
В таблице А.1 представлены расчетные значения отношения сигнал/шум (
C/
N) на выходе гауссовского, райсовского и рэлеевского каналов (характеристики этих каналов приведены в
приложении Б) при неиерархической передаче
[2]. При указанных значениях отношения
C/
N на выходе внешнего декодера (на входе демультиплексора MPEG-2) частота ошибок (BER) не должна превышать величины 10
-11, что соответствует практически безошибочной работе тракта передачи (квазибезошибочный режим QEF).
Таблица А.1
Модуляция | Скорость кода | Требуемое C/N для BER = 2·10-4 после декодера Витерби | Информационная скорость передачи, Мбит/с |
Канал Гаусса | Канал Райса (F1) | Канал Релея (P1) | TG/TU = 1/4 | TG/TU = 1/8 | TG/TU = 1/16 | TG/TU = 1/32 |
QPSK | 1/2 | 3,5 | 4,1 | 5,9 | 4,98 | 5,53 | 5,85 | 6,03 |
2/3 | 5,3 | 6,1 | 9,6 | 6,64 | 7,37 | 7,81 | 8,04 |
3/4 | 6,3 | 7,2 | 12,4 | 7,46 | 8,29 | 8,78 | 9,05 |
5/6 | 7,3 | 8,5 | 15,6 | 8,29 | 9,22 | 9,76 | 10,05 |
7/8 | 7,9 | 9,2 | 17,5 | 8,71 | 9,68 | 10,56 | 10,25 |
16-QAM | 1/2 | 9,3 | 9,8 | 11,8 | 9,95 | 11,06 | 11,71 | 12,06 |
2/3 | 11,4 | 12,1 | 15,3 | 13,27 | 14,75 | 15,61 | 16,09 |
3/4 | 12,6 | 13,4 | 18,1 | 14,93 | 16,59 | 17,56 | 18,10 |
5/6 | 13,8 | 14,8 | 21,3 | 16,59 | 18,43 | 19,52 | 20,11 |
7/8 | 14,4 | 15,7 | 23,6 | 17,42 | 19,35 | 20,49 | 21,11 |
64-QAM | 1/2 | 13,8 | 14,3 | 16,4 | 14,93 | 16,59 | 17,56 | 18,10 |
2/3 | 16,7 | 17,3 | 20,3 | 19,91 | 22,12 | 23,42 | 24,13 |
3/4 | 18,2 | 18,9 | 23,0 | 22,39 | 24,88 | 26,35 | 27,14 |
5/6 | 19,4 | 20,4 | 26,2 | 24,88 | 27,65 | 29,27 | 30,16 |
7/8 | 20,2 | 21,3 | 28,6 | 26,13 | 29,03 | 30,74 | 31,67 |
Требуемые отношения несущая/шум
C/
N при различных параметрах модуляции 16-QAM при иерархических режимах работы с коэффициентами неравномерности

и

приведены в таблице А.2.
Таблица А.2
Модуляция | Скорость кода | Требуемое C/N для BER = 2·10-4 после декодера Витерби | Информационная скорость передачи, Мбит/с |
Канал Гаусса (АБГШ) | Канал Райса (F1) | Канал Релея (P1) | TG/TU = 1/4 | TG/TU = 1/8 | TG/TU = 1/16 | TG/TU = 1/32 |
QPSK в 16-QAM при  | 1/2 | 5,1 | 5,6 | 7,7 | 4,98 | 5,53 | 5,85 | 6,03 |
2/3 | 7,3 | 8,0 | 11,4 | 6,64 | 7,37 | 7,81 | 8,04 |
3/4 | 8,6 | 9,5 | 14,2 | 7,46 | 8,29 | 8,78 | 9,05 |
+ |
1/2 | 13,5 | 14,1 | 15,9 | 4,98 | 5,53 | 5,85 | 6,03 |
2/3 | 15,3 | 16,1 | 19,5 | 6,64 | 7,37 | 7,81 | 8,04 |
3/4 | 16,3 | 17,2 | 22,4 | 7,46 | 8,29 | 8,78 | 9,05 |
5/6 | 17,3 | 18,5 | 25,5 | 8,29 | 9,22 | 9,76 | 10,05 |
7/8 | 17,9 | 19,2 | 28,2 | 8,71 | 9,68 | 10,25 | 10,56 |
|
QPSK в 16-QAM при  | 1/2 | 4,1 | 4,6 | 6,6 | 4,98 | 5,53 | 5,85 | 6,03 |
2/3 | 6,0 | 6,8 | 10,3 | 6,64 | 7,37 | 7,81 | 8,04 |
3/4 | 7,1 | 8,1 | 13,1 | 7,46 | 8,28 | 8,78 | 9,05 |
+ |
1/2 | 17,7 | 18,2 | 20,1 | 4,98 | 5,53 | 5,85 | 6,03 |
2/3 | 19,4 | 20,2 | 23,6 | 6,64 | 7,37 | 7,81 | 8,04 |
3/4 | 20,4 | 21,4 | 26,5 | 7,46 | 8,29 | 8,78 | 9,05 |
5/6 | 21,4 | 22,6 | 29,7 | 8,29 | 9,22 | 9,76 | 10,05 |
7/8 | 22,0 | 23,4 | 32,3 | 8,71 | 9,68 | 10,25 | 10,56 |
Примечание - Знаком "+" в таблице отмечены разграничения между каналами с высоким и низким приоритетами при иерархических режимах работы системы DVB-T. |
Требуемые отношения несущая/шум
C/
N при различных параметрах модуляции 64-QAM при иерархическом режиме с модуляционным параметром

,

представлены в таблице А.3.
Таблица А.3
Модуляция | Скорость кода | Требуемое C/N для BER = 2·10-4 после декодера Витерби | Информационная скорость передачи, Мбит/с |
Канал Гаусса (АБГШ) | Канал Райса (F1) | Канал Релея (P1) | TG/TU = 1/4 | TG/TU = 1/8 | TG/TU = 1/16 | TG/TU = 1/32 |
QPSK в 64QAM при  | 1/2 | 8,5 | 9,1 | 11,8 | 4,98 | 5,53 | 5,85 | 6,03 |
2/3 | 12,5 | 13,1 | 16,4 | 6,64 | 7,37 | 7,81 | 8,04 |
3/4 | 15,0 | 15,6 | 19,3 | 7,46 | 8,29 | 8,78 | 9,05 |
+ |
1/2 | 15,5 | 16,0 | 18,1 | 9,95 | 11,06 | 11,71 | 12,06 |
2/3 | 17,6 | 18,3 | 21,6 | 13,27 | 14,75 | 15,61 | 16,09 |
3/4 | 18,8 | 19,7 | 24,4 | 14,93 | 16,59 | 17,56 | 18,10 |
5/6 | 20,0 | 21,1 | 27,6 | 16,59 | 18,43 | 19,52 | 20,11 |
7/8 | 20,7 | 21,9 | 29,7 | 17,42 | 19,35 | 20,49 | 21,11 |
|
QPSK в 64QAM при  | 1/2 | 6,5 | 7,1 | 9,4 | 4,98 | 5,53 | 5,85 | 6,03 |
2/3 | 9,3 | 10,1 | 13,5 | 6,64 | 7,37 | 7,81 | 8,04 |
3/4 | 11,1 | 11,9 | 16,3 | 7,46 | 8,29 | 8,78 | 9,05 |
+ |
1/2 | 17,1 | 17,6 | 19,6 | 9,95 | 11,06 | 11,71 | 12,06 |
2/3 | 19,2 | 19,9 | 23,1 | 13,27 | 14,75 | 15,61 | 16,09 |
3/4 | 20,4 | 21,2 | 25,9 | 14,93 | 16,59 | 17,56 | 18,10 |
5/6 | 21,6 | 22,6 | 29,1 | 16,59 | 18,43 | 19,52 | 20,11 |
7/8 | 22,2 | 23,4 | 31,2 | 17,42 | 19,35 | 20,49 | 21,11 |
Примечание - Знаком "+" в таблице отмечены разграничения между каналами с высоким и низким приоритетами при иерархических режимах работы системы DVB-T. |
(справочное)
ОПИСАНИЕ РАЙСОВСКОЙ (F1) И РЭЛЕЕВСКОЙ (P1) МОДЕЛЕЙ ПРИЕМА
Гауссовская модель канала предлагает канал без отражений с равномерным белым шумом. Райсовская модель - канал с отражениями, но с преобладанием прямого распространения сигнала. Рэлеевская модель - канал исключительно с отраженными сигналами
[2].
Оценка эффективности работы системы была реализована при помощи двух моделей приема: фиксированный прием F1 и портативный прием P1.
Модели каналов были получены из следующих соотношений, в которых x(t) и y(t) соответствуют входному и выходному сигналу соответственно:
а) фиксированный прием (F1):

, (Б.1)
где первое слагаемое перед суммой является сигналом луча прямой видимости;
- N - число отраженных сигналов (равно 20);
-

- затухание
i-го отраженного луча при приеме;
-

- относительная задержка
i-го отраженного луча при приеме;
-

- фазовый сдвиг
i-го отраженного луча при приеме.
Коэффициент Райса K (отношение мощности прямого луча к мощности отраженных лучей) определяется следующим образом

(Б.2)
При моделировании коэффициент Райса K был установлен равным 10 дБ. В этом случае

; (Б.3)
б) портативный прием, рэлеевский канал (P1):

(Б.4)
Значения для задержек, затуханий и фазовых сдвигов отраженных лучей представлены в таблице Б.1.
Таблица Б.1
i | |  , мкс |  , рад |
1 | 0,057662 | 1,003019 | 4,855121 |
2 | 0,176809 | 5,422091 | 3,419109 |
3 | 0,407163 | 0,518650 | 5,864470 |
4 | 0,303585 | 2,751772 | 2,215894 |
5 | 0,258782 | 0,602895 | 3,758058 |
6 | 0,061831 | 1,016585 | 5,430202 |
7 | 0,150340 | 0,143556 | 3,952093 |
8 | 0,051534 | 0,153832 | 1,093586 |
9 | 0,185074 | 3,324866 | 5,775198 |
10 | 0,400967 | 1,935570 | 0,154459 |
11 | 0,295723 | 0,429948 | 5,928383 |
12 | 0,350825 | 3,228872 | 3,053023 |
13 | 0,262909 | 0,848831 | 0,628578 |
14 | 0,225894 | 0,073883 | 2,128544 |
15 | 0,170996 | 0,203952 | 1,099463 |
16 | 0,149723 | 0,194207 | 3,462951 |
17 | 0,240140 | 0,924450 | 3,664773 |
18 | 0,116587 | 1,381320 | 2,833799 |
19 | 0,221155 | 0,640512 | 3,334290 |
20 | 0,259730 | 1,368671 | 0,393889 |
(справочное)
ПРИМЕР ПЕРЕМЕЖЕНИЯ
В таблице В.1 приведено распределение передаваемых данных в символе OFDM после их побитового и посимвольного перемежения. Режим вещания - 2K, первичная модуляция - неиерархическая передача с модуляцией 64-QAM
[2].
Таблица В.1
Вектор значений битового символа  | Номер несущей k |
Пилот-сигнал | 0 |
0, 381, 631, 256, 128, 509 | 1 |
4602, 4983, 5233, 4858, 4730, 5111 | 2 |
36, 417, 667, 292, 164, 545 | 3 |
4656, 5037, 5287, 4912, 4784, 5165 | 4 |
48, 429, 679, 304, 176, 557 | 5 |
2376, 2757, 3007, 2632, 2504, 2885 | 6 |
780, 1161, 1411, 1036, 908, 1289 | 7 |
6906, 7287, 7537, 7162, 7034, 7415 | 8 |
4590, 4971, 5221, 4846, 4718, 5099 | 9 |
5286, 4911, 5161, 4786, 4658, 5039 | 10 |
2364, 2745, 2995, 2620, 2492, 2873 | 11 |
Пилот-сигнал | 12 |
4788, 5169, 4663, 5044, 4916, 4541 | 13 |
........ | ........ |
4194, 3819, 4069, 4450, 4322, 3947 | 1691 |
Пилот-сигнал | 1692 |
7782, 8163, 7657, 8038, 7910, 8291 | 1693 |
6624, 6249, 6499, 6124, 6752, 6377 | 1694 |
3402, 3027, 3277, 3658, 3530, 3155 | 1695 |
546, 171, 421, 46, 674, 299 | 1696 |
8574, 8955, 8449, 8830, 8702, 8327 | 1697 |
8376, 8757, 9007, 8632, 8504, 8885 | 1698 |
1680, 2061, 1555, 1936, 1808, 2189 | 1699 |
7620, 8001, 8251, 7876, 7748, 8129 | 1700 |
5700, 5325, 5575, 5956, 5828, 5453 | 1701 |
8826, 8451, 8701, 8326, 8954, 8579 | 1702 |
8724, 8349, 8599, 8980, 8852, 8477 | 1703 |
Пилот-сигнал | 1704 |
(справочное)
ОПИСАНИЕ ИЗЛУЧАЕМОГО СИГНАЛА
Излучаемый сигнал может быть однозначно описан выражением для каждого символа OFDM каждого передаваемого кадра. Каждый символ может рассматриваться отдельно, так для символа, излучаемого в период от
t = 0 до
t =
TS, применимо следующее выражение
[2]:

, (Г.1)
где k' = k - (Kmax - Kmin)/2.
Выражение (Г.1) имеет форму выражения для обратного дискретного преобразования Фурье.

. (Г.2)
Существует большое количество различных алгоритмов ДПФ, удобной же формой реализации обратного ДПФ в системе DVB-T является генерация N отсчетов xn, соответствующих полезной части символа длительностью TU для каждого символа. Защитный интервал вводится перед полезной частью символа, и является копией его последних NTG/TU отсчетов. Этот процесс повторяется в каждом символе. В результате получается непрерывный поток отсчетов, который представляет собой комплексное представление сигнала DVB-T в основной полосе. Далее сигнал подвергается дополнительной обработке для получения непрерывного сигнала и осуществляется перенос его реальной части на центральную частоту fc. На приемной стороне может быть использовано прямое ДПФ.
Значение базовой функции для центральной несущей (k' = 0) неизменно на протяжении всего символа

. (Г.3)
Эта несущая передается на центральной частоте fc и не имеет разрыва фазы, так как моделируется одним и тем же значением в каждом символе.
Из написанного выше следует, что данные для центральной несущей должны передаваться при помощи
Xq коэффициента ОБПФ, индекс q которого соответствует базовой функции обратного ДПФ

. Эта функция имеет целое число циклов внутри защитного интервала независимо от его длины. Индекс q, выбранный для центральной несущей должен быть кратен 32.
Рекомендуется любой из следующих вариантов, если он удовлетворяет перечисленным требованиям и позволяет сделать реализацию простой:
а) присвоить центральной несущей индекс q = N/2; или
б) присвоить центральной несущей индекс q = 0.
Процесс, в результате которого сигнал основной полосы, полученный при ОБПФ, переносится на желаемую частоту, требует особого внимания и уверенности, что результат соответствует стандарту.
В частности:
а) спектр передаваемого сигнала не должен быть инвертирован по отношению к приведенному в стандарте. Т.е. самая высокочастотная несущая должна быть модулирована значением

;
б) передаваемый сигнал не должен иметь "инвертированной мнимой оси" по сравнению со стандартом. Для этого следует осуществлять проверку, позволяющую избежать подмены значений величины
cm,l,k ее комплексно сопряженными значениями

.
Некоторые возможные причины таких ошибок:
а) неправильное преобразование комплексного значения в реальное может привести к инверсии спектра и к инверсии относительно мнимой оси;
б) использование БПФ вместо ОБПФ вызовет инверсию относительно мнимой оси;
в) сдвиг сигнала по частоте при некорректной работе преобразователя частоты приводящей к инверсии спектра, также может вызвать инверсию относительно мнимой оси.
(обязательное)
ДОПОЛНИТЕЛЬНЫЕ ФУНКЦИИ ДЛЯ ИСПОЛЬЗОВАНИЯ В СИСТЕМЕ DVB-H
В настоящем приложении приведены функции, применяемые только при вещании по стандарту DVB-H
[3], они не могут быть использованы при построении сетей вещания DVB-T. Однако при вещании по стандарту DVB-H допускается использовать режимы вещания системы DVB-T с числом несущих 2K и 8K
[2].
Хотя система DVB-T предоставляет возможность вещания на фиксированные, портативные и мобильные терминалы, портативные наладонные устройства требуют дополнительных функций, таких как:
- обеспечение циклического отключения терминала на определенных этапах приема и обработки информации для увеличения длительности использования батареи;
- обеспечение доступа к услугам в момент пересечения терминалом границ зон вещания;
- обеспечение гибкого/масштабируемого доступа к услугам при различных условиях приема (прием внутри и вне помещений, прием в автомобиле при движении);
- обеспечение приема в условиях высокого уровня антропогенных шумов.
Д.2 Дополнительные функции и блоки в тракте системы DVB-T
К числу дополнительных функций, позволяющих использовать систему DVB-T как основу для передачи информации по стандарту системы DVB-H, относятся:
- дополнительный режим вещания при модуляции OFDM с числом несущих 4K совместно с соответствующим распределением пилот-сигналов;
- более глубокое внутреннее перемежение для режимов модуляции 2K и 4K;
- расширенные функции сигнализации при передаче информации TPS.
Дополнительный режим вещания 4K является компромиссом между режимами 2K и 8K. Он может использоваться для обеспечения большей гибкости выбора параметров при планировании сети вещания. При выборе одного из возможных режимов вещания следует руководствоваться следующими соображениями:
- режим 8K может быть использован как для передачи сигнала при помощи одного передатчика, так и для малых, средних и больших ОЧС. Он обеспечивает защиту от эффекта Доплера на высоких скоростях;
- режим 4K может быть использован как для передачи сигнала при помощи одного передатчика, так и для малых и средних ОЧС. Он обеспечивает защиту от эффекта Доплера на очень высоких скоростях;
- режим 2K применяется для передачи сигнала при помощи одного передатчика, а также в малых ОЧС с ограниченными зонами вещания. Он обеспечивает защиту от эффекта Доплера на чрезвычайно высоких скоростях.
Структурная схема тракта системы с дополнительными функциональными блоками, которые следует применять для реализации режима вещания по стандарту DVB-T/H, показана на рисунке Д.1; блоки, специфические для системы DVB-H, выделены жирной линией.
Рисунок Д.1
Д.3 Внутреннее перемежение
Д3.1 Варианты перемежения
Полный набор вариантов внутреннего перемежения, которые могут быть применены в системе DVB-H в зависимости от используемого режима вещания, показан на рисунке Д.2. Внутреннее перемежение включает в себя побитовое и посимвольное перемежения. Оба типа перемежения имеют блочную структуру.
Режим 8K 6048 полезных несущих | Режим 4K 3024 полезных несущих | Режим 2K 1512 полезных несущих |
| | |
| |
Рисунок Д.2
Для всех режимов вещания (2K, 4K и 8K) допускается использовать базовое (в пределах одного символа OFDM) внутреннее перемежение системы DVB-T (см.
6.5), приспособленное также для варианта 4K.
Для более эффективного внутреннего перемежения в режимах 2K и 4K следует использовать глубокое перемежение (в пределах нескольких символов OFDM), которое распространяется на четыре символа OFDM в режиме 2K и на два символа OFDM в режиме 4K соответственно. Сигнализация об использовании глубокого перемежения должна производиться с помощью несущих TPS.
Д.3.2 Побитовое перемежение
В режиме вещания 4K процедура перемежения, описанная в
6.5.2.1 для базового перемежения должна быть повторена 24 раза.
При глубоком перемежении в режимах 2K или 4K (как при иерархической, так и при неиерархической передаче) процедура блокового перемежения должна быть повторена 48 раз. Это позволяет подавать на вход посимвольного перемежителя блоки данных, пригодные для формирования четырех последовательных "2K OFDM-символов" или двух последовательных "4K OFDM-символов".
Д.3.3 Посимвольное перемежение
Д.3.3.1 В режиме вещания 4K задачей посимвольного перемежения является отображение слов длиной v бит на 3024 активные несущие в пределах символов OFDM.
При использовании в системе DVB-T/H базового перемежения для режима 4K, посимвольный перемежитель обрабатывает блоки данных для 3024 активных несущих. Для этого в режиме 4K 24 группы из 126 слов данных с выхода побитового перемежителя должны быть последовательно считаны в вектор

.
Вектор

, полученный после посимвольного перемежения, должен быть определен следующим образом:

для четных символов при q = 0, ...,
Nmax - 1, (Д.1)

для нечетных символов при q = 0, ...,
Nmax - 1, (Д.2)
где Nmax = 3024 для базового перемежителя в режиме 4K.
Д.3.3.2 При использовании глубокого перемежения перемежитель символов использует длину блока, равную 6048 битам, независимо от выбранного режима работы системы (2K или 4K). В этом случае вектор

должен включать в себя 48 групп, составленных из 126 слов данных.
Вектор

, полученный после посимвольного перемежения, должен быть определен следующим образом:

для четных символов при q = 0, ...,
Nmax - 1; (Д.3)

для нечетных символов при q = 0, ...,
Nmax - 1, (Д.4)
где Nmax = 6048 для глубокого перемежителя независимо от использования режима 2K или 4K.
При использовании режима 2K перемеженные векторы данных должны быть отображены на четыре последовательных символа OFDM. В каждом суперкадре четные векторы, подвергнутые перемежению, должны передаваться, начиная с символов, которые имеют номера 0, 8, 16, 24 и т.д., а нечетные векторы должны передаваться, начиная с символов, которые имеют номера 4, 12, 20, 28 и т.д.
При использовании режима 4K перемеженные векторы данных должны быть отображены на два последовательных символа OFDM. В каждом суперкадре четные векторы, подвергнутые перемежению, должны передаваться, начиная с символов, которые имеют номера 0, 4, 8, 12 и т.д., а нечетные векторы должны передаваться, начиная с символов, которые имеют номера 2, 6, 10, 14 и т.д.
Д.3.3.3 Посимвольная функция перемежения
H(q) для режима 4K должна быть определена следующим образом: двоичное слово

состоит из (
Nr - 1) элементов и определяется значением
Nr = log
2M
max, где M
max = 4096, тогда

принимает следующие значения:
l = 0,1 | |
l = 2 | |
2 < l < Mmax |  ; |
| в режиме 4K:  |
В режиме 4K вектор R
i должен быть получен из вектора

при помощи перестановок, приведенных в таблице Д.1.
Таблица Д.1
Вектор | Позиция битов |
| 10 | 9 | 8 | 7 | 6 | 5 | 4 | 3 | 2 | 1 | 0 |
Ri | 7 | 10 | 5 | 8 | 1 | 2 | 4 | 9 | 0 | 3 | 6 |
Функциональная схема алгоритма, используемого для генерации адресов в посимвольном перемежителе в режиме 4K, показана на рисунке Д.3.
Рисунок Д.3
В случае выбора глубокого перемежения для режимов 2K и 4K должна использоваться базовая функция перемежения, регламентированная для режима 8K (см.
таблица 4,
рисунок 10).
Численные значения основных параметров системы DVB-T/H в канале с шириной полосы 8 МГц для режима модуляции 4K должны соответствовать представленным в таблице Д.2
[2].
Таблица Д.2
Параметр | Значение параметра в режиме 4K |
Число активных несущих Ka | 3409 |
Число полезных несущих KU | 3024 |
Порядковый номер несущей Kmin | 0 |
Порядковый номер несущей Kmax | 3408 |
Элементарный период T, мкс | 7/64 = 0,109375 |
Длительность полезной части символа TU, мкс | 4 096 x T = 448 |
Разнос несущих 1/TU, Гц | 2232,143 |
Промежуток между несущими Kmin и Kmax, равный (K - 1)/TU, МГц | 7,61 |
Относительный защитный интервал TG/TU | 1/4 | 1/8 | 1/16 | 1/32 |
Длительность защитного интервала TG, мкс | 112 | 56 | 28 | 14 |
Длительность символа TS = TU + TG, мкс | 560 | 504 | 476 | 462 |
Д.4.2 Служебные несущие
Д.4.2.1 В режиме 4K в символе OFDM должны передаваться 89 непрерывных пилот-сигналов, номера ячеек которых должны соответствовать индексам, приведенным в таблице Д.3.
Таблица Д.3
Индексы ячеек непрерывных пилотов-сигналов в символе OFDM для режима 4K (номер несущей k) |
0 48 54 87 141 156 192 201 255 279 282 333 432 450 483 525 531 618 636 714 759 765 780 804 873 888 918 939 942 969 984 1050 1101 1107 1110 1137 1140 1146 1206 1269 1323 1377 1491 1683 1704 1752 1758 1791 1845 1860 1896 1905 1959 1983 1986 2037 2136 2154 2187 2229 2235 2322 2340 2418 2463 2469 2484 2508 2577 2592 2622 2643 2646 2673 2688 2754 2805 2811 2814 2841 2844 2850 2910 2973 3027 3081 3195 3387 3408 |
Д.4.2.2 В режиме 4K в символе OFDM должны передаваться 34 несущих сигнализации TPS, номера ячеек которых должны соответствовать индексам, приведенным в таблице Д.4.
Таблица Д.4
Индексы ячеек несущих TPS в символе OFDM для режима 4K (номер несущей k) |
34 50 209 346 413 569 595 688 790 901 1073 1219 1262 1286 1469 1594 1687 1738 1754 1913 2050 2117 2273 2299 2392 2494 2605 2777 2923 2966 2990 3173 3298 3391 |
Д.4.2.3 Формат передачи данных TPS в системе DVB-T/H должен соответствовать требованиям, приведенным в таблице Д.5.
Таблица Д.5
Номер бита TPS | Использование битов TPS в системе DVB-T (см. таблицу 11) | Дополнительные требования к битам TPS в системе DVB-H |
s0 | Инициализация | - |
s1 - s16 | Синхронизация | - |
s17 - s22 | Индикатор длины (число используемых бит в блоке данных TPS) | Должен быть установлен в значение "100001" (в TPS используются 33 бита) |
s23, s24 | Номер кадра в суперкадре | - |
s25, s26 | Вид первичной модуляции несущих | - |
s27 | Указатель типа перемежителя в системе DVB-H | "0" - базовый перемежитель; "1" - глубокий перемежитель |
s28, s29 | Коэффициент неравномерности сигнального созвездия  при иерархической передаче | "00" - без иерархической передачи; "01" - коэффициент неравномерности  ; "10" - коэффициент неравномерности  ; "11" - коэффициент неравномерности  |
s30 - s32 | Кодовая скорость для потока с высоким приоритетом | - |
s33 - s35 | Кодовая скорость для потока с низким приоритетом | - |
s36, s37 | Относительный защитный интервал | - |
s38, s39 | Режим вещания (полное число несущих 2K, 4K или 8K) | "00" - соответствует режиму 2K; "01" - соответствует режиму 8K; "10" - соответствует режиму 4K; "11" - зарезервированное значение |
s40 - s47 | Идентификатор зоны вещания | - |
| | ИС МЕГАНОРМ: примечание. В официальном тексте документа, видимо, допущена опечатка: п. Д.4.1.5 отсутствует. | |
|
s48 - s49 | Сигнализация о вещании по системе DVB-H (см. Д.4.1.5) | "0x" - без квантования времени; "01" - хотя бы один элементарный поток ES передается с квантованием времени; "x0" - без дополнительной кодовой защиты MPE-FEC; "x1" - хотя бы один элементарный поток ES передается с использованием дополнительной кодовой защиты MPE-FEC, где "x" - любое состояние бита |
s50 - s53 | Зарезервировано для использования в будущем | Должны быть установлены в значение "0000" |
s54 - s67 | Проверочные биты помехоустойчивого кода БЧХ | - |
При вещании мобильного телевидения по системе DVB-H необходимо использовать 33 из 37 несущих TPS, остальные 4 должны быть установлены в ноль. Расширенные требования к информации TPS для системы DVB-H по сравнению с системой DVB-T приведены в таблице Д.6.
Значение бита s48 | Значение бита s49 | Сигнализация в системе DVB-H |
"0" | "x" | Передача блоков данных без квантования времени |
"1" | "x" | В мультиплексе мобильного телевидения хотя бы один элементарный поток ES передается с квантованием времени |
"x" | "0" | Передача блоков данных без дополнительной кодовой защиты MPE-FEC |
"x" | "1" | В мультиплексе мобильного телевидения хотя бы один элементарный поток ES передается с использованием дополнительной кодовой защиты MPE-FEC |
Примечание - "x" означает любое состояние бита. |
Д.4.2.4 При вещании программ мобильного телевидения по системе DVB-H сигнализация приемникам о выбранных специфических режимах должна производиться установкой битов TPS s
48 - s
49 в состояния согласно
таблице Д.6.
В случае выбора иерархической передачи потоков данных значения битов s48 - s49 должны быть соотнесены с номерами кадров в суперкадре OFDM:
- при приеме битов s48 - s49 в нечетных кадрах 1 и 3 каждого суперкадра сигнализируемые ими параметры должны быть отнесены к потоку данных с высоким приоритетом (HP);
- при приеме битов s48 - s49 в четных кадрах 2 и 4 каждого суперкадра сигнализируемые ими параметры должны быть отнесены к потоку данных с низким приоритетом (LP).
В случае неиерархической передачи одного потока данных биты s
48 - s
49 не должны быть связаны с номерами кадров в суперкадре и должны интерпретироваться в соответствии с
таблицей Д.6.
Д.4.3 Число кодированных пакетов в суперкадре
Д.4.3.1 Число кодированных RS-пакетов длиной 204 байта, передаваемых в одном суперкадре в режиме вещания 4K при разных скоростях передачи данных и видах модуляции, должно соответствовать приведенным в таблице Д.7.
Таблица Д.7
Кодовая скорость | Число кодированных RS-пакетов при модуляции |
QPSK | 16-QAM | 64-QAM |
1/2 | 504 | 1008 | 1512 |
2/3 | 672 | 1344 | 2016 |
3/4 | 756 | 1512 | 2268 |
5/6 | 840 | 1680 | 2520 |
7/8 | 882 | 1764 | 2646 |
Д.4.3.2 Достижимые в системе DVB-H в режиме вещания 4K скорости передачи полезной информации при различных комбинациях выбираемых параметров, включающих вид модуляции, длину защитного интервала и кодовую скорость для неиерархических режимов, совпадают с таковыми для режимов 2K и 8K, приведенными в
таблице 14 (7.4.2).
Д.4.4 Свойства спектра
Теоретический спектр сигнала OFDM в режиме 4K с относительным защитным интервалом, равным 1/4, для канала с полосой 8 МГц показан на рисунке Д.4. В пределах номинальной полосы частот, равной 7609,375 МГц, спектральная плотность мощности не остается постоянной.
Рисунок Д.4
| Международный стандарт | Информационные технологии - Основополагающее кодирование подвижных изображений и сопутствующей звуковой информации: Системы |
ITU-T Recommendation H.222.0 (2000) ISO/IEC 13818-1:2000 | (Information technology - Generic coding of moving pictures and associated audio information: Systems) |
| Европейский стандарт связи EN 300 744 | Цифровое телевизионное вещание. Методы формирования кадров данных, канального кодирования и модуляции в цифровых системах эфирного вещания |
(European Standard (Telecommunications series) ETSI EN 300 744 V1.6.1 (2009-01)) | (Digital Video Broadcasting (DVB); Framing structure, channel coding and modulation for digital terrestrial television) |
| Европейский стандарт связи EN 302 304 | Цифровое телевизионное вещание. Система передачи для наладонных терминалов |
(European Standard (Telecommunications series) ETSI EN 302 304 V1.1.1 (2004-11)) | (Digital Video Broadcasting (DVB); Transmission System for Handheld Terminals (DVB-H)) |
| Приказ Мининформсвязи России от 10 января 2006 г. N 001 (Зарегистрирован в Минюсте России 23 января 2006 г. Регистрационный N 7405) | Правила применения оборудования систем телевизионного вещания. Часть I. Правила применения передатчиков эфирного телевидения |
| МСЭ-R. Региональная конференция радиосвязи РКР-06//Швейцария, Женева, 15 мая - 16 июня 2006 г. | Заключительные акты Региональной конференции радиосвязи по планированию цифровой наземной радиовещательной службы в частях Районов 1 и 3 в полосах частот 174 - 230 МГц и 470 - 862 МГц (РКР-06) Final Acts of the Regional Radiocommunication Conference for planning of the digital terrestrial broadcasting service in parts of Regions 1 and 3, in the frequency bands 174 - 230 MHz and 470 - 862 MHz (RRC-06). - Geneva, 25 October 2006. Publication Notice No. 391 - 06 |
[6] | Словарь. EBU Multilingual Glossary of terms and phrases used in broadcasting. Part 3 (Dec. 1998): Digital applications in broadcasting. - EBU Tech. 3274 | Применение цифровой техники в телерадиовещании |
УДК 621.397:006.354 | | Э07 |
Ключевые слова: цифровое телевизионное вещание, система цифрового эфирного телевизионного вещания, DVB-T, DVB-H, сигнализация о параметрах передачи, кодирование, перемежение, кадр, модуляция |