Синтаксис | Количество битов | Мнемоника |
GASpecificConfig (samplingFrequencyIndex, channelConfiguration, audioObjectType) | ||
{ | 1 | bslbf |
frameLengthFlag; dependsOnCoreCoder; if (dependsOnCoreCoder) { coreCoderDelay; } | 1 | bslbf |
extensionFlag; | 14 | uimsbf |
if (! channelConfiguration) { program_config_element (); } if ((audioObjectType = = 6) || (audioObjectType = = 20)) { layerNr; } if (extensionFlag) { | 1 | bslbf |
if (audioObjectType = = 22) { numOfSubFrame; layer_length; | 3 | uimsbf |
} | 5 | bslbf |
if (audioObjectType = = 17 || audioObjectType = = 19 || audioObjectType = = 20 || audioObjectType = = 23) { aacSectionDataResilienceFlag; aacScalefactorDataResilienceFlag; aacSpectralDataResilienceFlag; | 11 | bslbf |
} | 1 | bslbf |
extensionFlag3; | 1 | bslbf |
if (extensionFlag3) { | 1 | bslbf |
/* tbd in version 3 * / } } } | 1 | bslbf |
Синтаксис | Количество битов | Мнемоника |
program_config_element() { | ||
element_instance_tag; | 4 | uimsbf |
object_type; | 2 | uimsbf |
sampling_frequency_index; | 4 | uimsbf |
num_front_channel_elements; | 4 | uimsbf |
num_side_channel_elements; | 4 | uimsbf |
num_back_channel_elements; | 4 | uimsbf |
num_lfe_channel_elements; | 2 | uimsbf |
num_assoc_data_elements; | 3 | uimsbf |
num_valid_cc_elements; | 4 | uimsbf |
mono_mixdown_present; if (mono_mixdown_present = = 1 ) | 1 | uimsbf |
mono_mixdown_element_number; | 4 | uimsbf |
stereo_mixdown_present; if (stereo_mixdown_present = = 1 ) | 1 | uimsbf |
stereo_mixdown_element_number; | 4 | uimsbf |
matrix_mixdown_idx_present; if (matrix_mixdown_idx_present = = 1 ) { | 1 | uimsbf |
matrix_mixdown_idx ; | 2 | uimsbf |
pseudo_surround_enable; } for (i = 0; i < num_front_channel_elements; i++) { | 1 | uimsbf |
front_element_is_cpe[i]; | 1 | bslbf |
front_element_tag_select[i]; } for (i = 0; i < num_front_channel_elements; i++) { | 4 | uimsbf |
side_element_is_cpe[i]; | 1 | bslbf |
side_element_tag_select[i]; } for (i = 0; i < num_back_channel_elements; i++) { | 4 | uimsbf |
back_element_is_cpe[i]; | 1 | bslbf |
back_element_tag_select[i]; } for (i = 0; i < num_lfe_channel_elements; i++) | 4 | uimsbf |
lfe_element_tag_select[i]; | 4 | uimsbf |
for (i = 0; i < num_assoc_data_elements; i++) | 4 | uimsbf |
assoc_data_element_tag_select[i]; | 1 | uimsbf |
for (i = 0; i < num_valid_cc_elements; i++) { cc_element_is_ind_sw[i]; | 4 | uimsbf |
valid_cc_element_tag_select[i]; } | 8 | uimsbf |
byte_alignment(); | ||
comment_field_bytes; for (i = 0; i < comment_field_bytes; i++) comment_field_data[i]; } | 8 | uimsbf |
Синтаксис | Количество битов | Мнемоника |
raw_data_block() | ||
{ while( (id = id_syn_ele) != ID_END ){ switch (id) { case ID_SCE: single_channel_element(); break; case ID_CPE: channel_pair_element(); break; case ID_CCE: coupling_channel_element(); break; case ID_LFE: lfe_channel_element(); break; case ID_DSE: data_stream_element(); break; case ID_PCE: program_config_element(); break; case ID_FIL: fill_element(); } } byte_alignment(); } | 3 | uimsbf |
Синтаксис | Количество битов | Мнемоника |
single_channel_element() { | ||
element_instance_tag; individual_channel_stream(0,0); } | 4 | uimsbf |
Синтаксис | Количество битов | Мнемоника |
channel_pair_element() { | ||
element_instance_tag; | 4 | uimsbf |
common_window; if (common_window) { ics_info(); | 1 | uimsbf |
ms_mask_present; if ( ms_mask_present = = 1 ) { for (g = 0; g < num_window_groups; g++) { for (sfb = 0; sfb < max_sfb; sfb++) { | 2 | uimsbf |
ms_used[g][sfb]; } } } } individual_channel_stream(common_window,0); individual_channel_stream(common_window,0); } | 1 | uimsbf |
Синтаксис | Количество битов | Мнемоника |
ics_info() | ||
ics_reserved_bit; | 1 | bslbf |
window_sequence; | 2 | uimsbf |
window_shape; | uimsbf | |
if (window_sequence = = EIGHT_SHORT_SEQUENCE) { | 1 | |
max_sfb; | 4 | uimsbf |
scale_factor_grouping; } | 7 | uimsbf |
max_sfb; | 6 | uimsbf |
predictor_data_present; if (predictor_data_present) { | 1 | uimsbf |
predictor_reset; if (predictor_reset) { | 1 | uimsbf |
predictor_reset_group_number; } for (sfb = 0; sfb < min (max_sfb, PRED_SFB_MAX ); sfb++) { | 5 | uimsbf |
prediction_used[sfb]; } } | 1 | uimsbf |
ltp_data_present; if (ltp_data_present) { ltp_data(); | 1 | uimsbf |
ltp_data_present; if (ltp_data_present) { ltp_data(); } } } } } } | 1 | uimsbf |
Синтаксис | Количество битов | Мнемоника |
pulse_data() { | ||
number_pulse; | 2 | uimsbf |
pulse_start_sfb; for (i = 0; i < number_pulse+1; i++) { | 6 | uimsbf |
pulse_offset[i]; | 5 | uimsbf |
pulse_amp[i]; } | 4 | uimsbf |
Синтаксис | Количество битов | Мнемоника |
coupling_channel_element() { | ||
element_instance_tag; | 4 | uimsbf |
ind_sw_cce_flag; | 1 | uimsbf |
num_coupled_elements; num_gain_element_lists = 0; for (c = 0; c < num_coupled_elements+1; c++) { num_gain_element_lists++; | 3 | uimsbf |
cc_target_is_cpe[c]; | 1 | uimsbf |
cc_target_tag_select[c]; if (cc_target_is_cpe[c]) { | 4 | uimsbf |
cc_l[c]; | 1 | uimsbf |
cc_r[c]; if (cc_l[c] && cc_r[c] ) num_gain_element_lists++; } } | 1 | uimsbf |
cc_domain; | 1 | uimsbf |
gain_element_sign; | 1 | uimsbf |
gain_element_scale; individual_channel_stream(0,0); for (c=1; c<num_gain_element_lists; c++) { if (ind_sw_cce_flag) { cge = 1; } else { | 2 | uimsbf |
common_gain_element_present[c]; cge = common_gain_element_present[c]; } if (cge) | 1 | uimsbf |
hcod_sf[common_gain_element[c]]; else { for (g = 0; g < num_window_groups; g++) { for for (sfb=0; sfb<max_sfb; sfb++) { if (sfb_cb[g][sfb] != ZERO_HCB) | 1...19 | Viclbf |
hcod_sf[dpcm_gain_element[c][g][sfb]]; } } } } } | 1...19 | Viclbf |
Синтаксис | Количество битов | Мнемоника |
lfe channel element() { | ||
element_instance_tag; individual_channel_stream(0,0); } | 4 | uimsbf |
Синтаксис | Количество битов | Мнемоника |
data_stream_element() { | ||
element_instance_tag; | 4 | uimsb |
data_byte_align_flag; | 1 | uimsb |
cnt = count; if (cnt = = 255) | 8 | uimsb |
cnt += esc_count; if (data_byte_align_flag) byte_alignment(); for (i = 0; i < cnt; i++) | 8 | uimsb |
data_stream_byte[element_instance_tag][i]; } | 8 | uimsb |
Синтаксис | Количество битов | Мнемоника |
Fill_element() | ||
{ cnt = count; | 4 | uimsbf |
if (cnt = = 15) cnt += esc_count - 1; while (cnt > 0) { | 8 | uimsbf |
Синтаксис | Количество битов | Мнемоника |
gain_control_data() { | ||
max_band; if (window_sequence = = ONLY_LONG_SEQUENCE) { for (bd = 1; bd <= max_band; bd++) { for (wd = 0; wd < 1; wd++) { | 2 | uimsbf |
adjust_num[bd][wd]; for (ad = 0; ad < adjust_num[bd][wd]; ad++) { | 3 | uimsbf |
alevcode[bd][wd][ad]; | 4 | uimsbf |
aloccode[bd][wd][ad]; } } } } else if (window_sequence = = LONG_START_SEQUENCE) { for (bd = 1; bd <= max_band; bd++) { for (wd = 0; wd < 2; wd++) { | 5 | uimsbf |
adjust_num[bd][wd]; for (ad = 0; ad < adjust_num[bd][wd]; ad++) { | 3 | uimsbf |
alevcode[bd][wd][ad]; if (wd = = 0) | 4 | uimsbf |
aloccode[bd][wd][ad]; else | 4 | uimsbf |
aloccode[bd][wd][ad]; } } } } else if (window_sequence = = EIGHT_SHORT_SEQUENCE) { for (bd = 1; bd <= max_band; bd++) { for(wd = 0; wd < 8; wd++) { | 2 | uimsbf |
adjust_num[bd][wd]; for (ad = 0; ad < adjust_num[bd][wd]; ad++) { | 3 | uimsbf |
alevcode[bd][wd][ad]; | 4 | uimsbf |
aloccode[bd][wd][ad]; } } } } | 2 | |
else if (window_sequence = = LONG_STOP_SEQUENCE) { for (bd = 1; bd <= max_band; bd++) { for (wd = 0; wd < 2; wd++) { | 2 | uimsbf |
adjust_num[bd][wd]; for (ad = 0; ad < adjust_num[bd][wd]; ad++) { | 3 | uimsbf |
alevcode[bd][wd][ad]; if (wd = = 0) | 4 | uimsbf |
aloccode[bd][wd][ad]; else | 4 | uimsbf |
aloccode[bd][wd][ad]; } } } } } | 5 | uimsbf |
Синтаксис | Количество битов | Мнемоника |
aac_scalable_main_element() { aac_scalable_main_header(); for (ch=0; ch<(this_layer_stereo ? 2:1); ch++) { individual_channel_stream(1, 1); } cnt = bits_to_decode() / 8; while (cnt >= 1) { cnt -= extension_payload(cnt); } byte_alignment(); } | ||
Синтаксис | Количество битов | Мнемоника |
aac_scalable_main_element() { aac_scalable_main_header(); for (ch=0; ch<(this_layer_stereo ? 2:1); ch++){ individual_channel_stream (1, 1); } cnt = bits_to_decode() / 8; while (cnt >= 1) { cnt -= extension_payload(cnt); } byte_alignment(); } | ||
Синтаксис | Количество битов | Мнемоника |
aac_scalable_main_header() { | ||
ics_reserved_bit; If (t+vq_layer_present = = 0) { | 1 | bslbf |
window_sequence; | 2 | uimsbf |
window_shape; } if (window_sequence = = EIGHT_SHORT_SEQUENCE) { | 1 | uimsbf |
max_sfb; | 4 | uimsbf |
scale_factor_grouping; } else { | 7 | uimsbf |
max_sfb; } if (this_layer_stereo) { | 6 | uimsbf |
ms_mask_present; if (ms_mask_present = = 1) { ms_data(); } } | 2 | bslbf |
if (mono_stereo_flag && ( core_flag || (tvq_layer_present && tvq_mono_tns = = 0))) tns_channel_mono_layer; | 1 | bslbf |
for (ch = 0; ch < (this_layer_stereo ? 2:1 ); ch++) { | 1 | bslbf |
if (!tvq_layer_present || (tns_aac_tvq_en[ch] = = 1)) { tns_data_present; if (tns_data_present) tns_data(); } if (core_flag || tvq_layer_present) { if ((ch = = 0) || ((ch = = 1) && (core_stereo || diff_control_data(); if (mono_stereo_flag) diff_control_data_lr(); } else { ltp_data_present; if (ltp_data_present) { tp_data (); } } } | 1 | bslbf |
Синтаксис | Количество битов | Мнемоника |
aac scalable extension header() { if (window_sequence = = EIGHT_SHORT_SEQUENCE) { | ||
max_sfb; } else { | 4 | bslbf |
max_sfb; } if (this_layer_stereo) { | 6 | bslbf |
ms_mask_present; If (ms_mask_present = = 1 ) { ms_data0; } } if (mono_stereo_flag) { for (ch = 0; ch < 2; ch++) { | 2 | bslbf |
tns_data_present; if (tns_data_present) tns_data0; } } if ((mono_layer_flag) && (this_layer_stereo)) { for (ch = 0; ch < 2; ch++) { diff_control_data_lr(); } } } | 1 | bslbf |
Синтаксис | Количество битов | Мнемоника |
diff_control_data() { If (window_sequence = = EIGHT_SHORT_SEQUENCE) for (win = 0; win < 8; w++) | ||
diff_control[win][0]; else for (dc_group=0; dc_group<no_of_dc_groups; dc_group++); | 1 | bslbf |
diff_control[0][dc_group]; } | 2 ...5 | bslbf |
Синтаксис | Количество битов | Мнемоника |
diff_control_data_lr() { if (window_sequence != EIGHT_SHORT_SEQUENCE) { for (sfb = last_max_sfb_mc; sfb < min(last_mono_max_sfb;max_sfb); sfb++) | ||
1 | bslbf | |
if (!ms_used[0][sfb]) diff_control_lr[0][sfb } else { | ||
if (last_max_sfb_ms = = 0) /* only in the first stereo layer*/ for (win = 0; win < 8; win++) diff_control_lr[win][0 } } | 2 ...5 | bslbf |
Синтаксис | Количество битов | Мнемоника |
er_raw_data_block() { if ( channelConfiguration = = 0 ) { /* reserved */ if ( channelConfiguration = = 1 ) { single_channel_element(); if ( channelConfiguration = = 2 ) { channel_pair_element(); if ( channelConfiguration = = 3 ) { single_channel_element(); channel_pair_element(); if ( channelConfiguration = = 4 ) { single_channel_element(); channel_pair_element(); single_channel_element(); } if ( channelConfiguration = = 5 ) { single_channel_element(); channel_pair_element(); channel_pair_element(); } if ( channelConfiguration = = 6 ) { single_channel_element(); channel_pair_element(); channel_pair_element(); lfe_channel_element(); } if ( channelConfiguration = = 7 ) { single_channel_element(); channel_pair_element(); channel_pair_element(); channel_pair_element(); lfe_channel_element(); /* reserved */ } } if ( channelConfiguration >= 8 ) { cnt = bits_to_decode() / 8; | ||
byte_alignment(); } while ( cnt >= 1 ) { | ||
Синтаксис | Количество битов | Мнемоника |
tvq_scalable_main_element() { tvq_scalable_main_header(); vq_single_element(0); } } |
Синтаксис | Количество битов | Мнемоника |
tvq_scalable_extension_element() { tvq_scalable_extension_header(); vq_single_element(lay); } |
Синтаксис | Количество битов | Мнемоника |
tvq_scalable_main_header() { | ||
window_sequence; | 2 | bslbf |
window_shape; if (this_layer_stereo) { | 1 | bslbf |
ms_mask_present; | 2 | bslbf |
if (ms_mask_present = = 1) { if (window_sequence = = EIGHT_SHORT_SEQUENCE) | ||
scale_factor_grouping; for( ch = 0; ch < (this_layer_stereo ? 2:1); ch++ ) { | 7 | bslbf |
ltp_data_present; if (ltp_data_present) ltp_data (); | 1 | bslbf |
tns_data_present; if (tns_data_present) tns data(); } } | 1 | bslbf |
Синтаксис | Количество битов | Мнемоника |
tvq_scalable_extension_header() { if (this_layer_stereo) { ms_mask_present; | ||
if (ms_mask_present = = 1) { ms_data(); } } } | 2 | bslbf |
Синтаксис | Количество битов | Мнемоника |
vq_single_element( lyr) { if (lyr = = 0); | ||
bandlimitpresent if (window_sequence != EIGHT_SHORT_SEQUENCE && lyr = = 0) { | 1 | uimsbf |
ppc_present; | 1 | uimsbf |
postprocess_present; } if (lyr >= 1) for (i_ch = 0; i_ch < n_ch; i_ch++) { | 1 | uimsbf |
fb_shift[i_ch]; } if (lyr = = 0 && bandlimit_present) { for (i_ch = 0; i_ch < n_ch; i_ch++) { | 2 | uimsbf |
index_blim_h[i_ch]; | 2 | uimsbf |
in_dex_blim_l[i_ch]; } if (ppc_present) { for (idiv = 0; idiv < N_DIV_P; idiv++) { | 1 | uimsbf |
index_shape0_p[idiv]; | 7 | |
index_shape1_p[idiv]; } for (i_ch = 0; i_ch < n_ch; i_ch++) { | 7 | |
index_pit[i_ch]; | 8 | |
index_pgain[i_ch]; } } for (idiv = 0; idiv < N_DIV; idiv++) { | 7 | |
index_shape0[idiv]; | 5/6 | |
index_shape1[idiv]; } for (i_ch = 0; i_ch < n_ch; i_ch++) { for (isb = 0; isb < N_SF; isb++) { for (ifdiv = 0; ifdiv < FW_N_DIV; ifdiv++) { | 5/6 | |
index_env[i_ch][isb][ifdiv]; } } } for (i_ch = 0; i_ch < n_ch; i_ch++) { for (isbm = 0; isbm < N_SF; isbm++){ | 0,6 | |
index_fw_alf[i_ch][isbm]; } } for (i_ch = 0; i_ch < n_ch; i_ch++){ | 0,1 | |
index_gain[i_ch] if (N_SF[b_type] > 1){ for (isbm = 0; isbm < N_SF[b_type]; isbm++) { | 8...9 | |
index_gain_sb[i_ch][isbm] } } } for (i_ch = 0; i_ch < n_ch; i_ch++) { | 4 | |
index_lsp0[i_ch] | 1 | |
index_lsp1[i_ch] | 6 | |
for (isplt = 0; isplt < LSP_SPLIT; isplit++) { index_lsp2[i_ch][isplt] } } } | 4 |
Синтаксис | Количество битов | Мнемоника |
tvq_scalable_main_element() { Error_Sensitivity_Category1(); Error_Sensitivity_Category2(); } |
Синтаксис | Количество битов | Мнемоника |
tvq_scalable_main_element() { Error_Sensitivity_Category3(); Error_Sensitivity_Category4(); } |
Синтаксис | Количество битов | Мнемоника |
Error_Sensitivity_Category1() { | ||
window_sequence; | 2 | bslbf |
window_shape; if (this_layer_stereo) { | 1 | bslbf |
ms_mask_present; if (ms_mask_present = = 1) { if (window_sequence = = EIGHT_SHORT_SEQUENCE ) | 2 | bslbf |
scale_factor_grouping; ms_data(); } } for (ch = 0; ch < (this_layer_stereo ? 2:1); ch++) { | 7 | bslbf |
ltp_data_present; if (ltp_data_present) ltp_data (); tns_data_present; | 1 | bslbf |
if (tns_data_present) tns_data(); } | 1 | bslbf |
Bandlimit present; if (window_sequence != EIGHT_SHORT_SEQUENCE) { | 1 | uimsbf |
ppc_present; | 1 | uimsbf |
postprocess_present; } if (bandlimit_present) for (i_ch = 0; i_ch < n_ch; i_ch++) { | 1 | uimsbf |
index_blim_h[i_ch]; | 2 | uimsbf |
index_blim_l[i_ch]; } } if (ppc_present) { for (idiv = 0; idiv < N_DIV_P; idiv++) { | 1 | uimsbf |
index_shape0_p[idiv]; index_shape1_p[idiv]; } for (i_ch = 0; i_ch < n_ch; i_ch++) { | 7 | uimsbf |
index_pit[i_ch]; | 8 | uimsbf |
index_pgain[i_ch]; } } for (i_ch = 0; i_ch < n_ch; i_ch++) { | 7 | uimsbf |
index_gain[i_ch]; if (N_SF[b_type] > 1) { for (isbm = 0; isbm < N_SF[b_type]; isbm++) { | 9 | uimsbf |
index_gain_sb[i_ch][isbm]; } } } for (i_ch = 0; i_ch < n_ch; i_ch++) { | 4 | uimsbf |
index_lsp0[i_ch]; | 1 | uimsbf |
index_lsp1[i_ch]; for (isplt = 0; isplt < LSP_SPLIT; isplit++) { | 6 | uimsbf |
index_lsp2[i_ch][isplt]; } } for (i_ch = 0; i_ch < n_ch; i_ch++) { for (isb = 0; isb < N_SF; isb++) { for (ifdiv = 0; ifdiv < FW_N_DIV; ifdiv++) { | 4 | uimsbf |
index_env[i_ch][isb][ifdiv]; } } } for (i_ch = 0; i_ch < n_ch; i_ch++) { for (isbm = 0; isbm < N_SF; isbm++) { | 0,6 | uimsbf |
index_fw_alf[i_ch][isbm]; } } } | 0,1 | uimsbf |
Синтаксис | Количество битов | Мнемоника |
Error_Sensitivity_Category 2() { for (idiv = 0; idiv < N_DIV; idiv++) { | ||
index_shape0[idiv]; | 5/6 | uimsbf |
index_shape1[idiv]; } } | 5/6 | uimsbf |
Синтаксис | Количество битов | Мнемоника |
Error_Sensitivity_Category 3() { if (this_layer_stereo) { | ||
ms_mask_present; if (ms_mask_present = = 1) { ms_data(); } } for (i_ch = 0; i_ch < n_ch; i_ch++) { | 2 | bslbf |
fb_shift[i_ch]; } for (i_ch = 0; i_ch < n_ch; i_ch++) { | 2 | uimsbf |
index_gain[i_ch]; if (N_SF[b_type] > 1) { for (isbm = 0; isbm < N_SF[b_type]; isbm++) { | 8 | uimsbf |
index_gain_sb[i_ch][isbm]; } } } for (i_ch = 0; i_ch < n_ch; i_ch++) { for (isb = 0; isb < N_SF; isb++) { for (ifdiv = 0; ifdiv < FW_N_DIV; ifdiv++) { | 4 | uimsbf |
index_env[i_ch][isb][ifdiv]; } } } for (i_ch = 0; i_ch < n_ch; i_ch++) { for (isbm = 0; isbm < N_SF; isbm++) { | 0,6 | uimsbf |
index_fw_alf[i_ch][isbm]; } } } | 0,1 | uimsbf |
Синтаксис | Количество битов | Мнемоника |
Error_Sensitivity_Category4() { for (idiv = 0; idiv < N_DIV; idiv++) { | ||
index_shape0[idiv]; | 5/6 | uimsbf |
index_shape1[idiv]; } | 5/6 | uimsbf |
Синтаксис | Количество битов | Мнемоника |
bsac_payload(lay) { for (frm = 0; frm < numOfSubFrame; frm++) { bsac_lstep_element(frm, lay); } } |
Синтаксис | Количество битов | Мнемоника |
bsac_lstep_element(frm, lay) { offset = LayerStartByte[frm][lay]; for(i = 0;i < LayerLength[frm][lay]; i++) | ||
bsac_stream_byte[frm][offset+i]; } | 8 | uimsbf |
Синтаксис | Количество битов | Мнемоника |
bsac raw data block() { bsac_base_element(); layer=slayer_size; while(data_available() && layer<(top_layer+slayer_size)) { bsac_layer_element(layer); layer++; } byte_alignment(); if (data_available()) { | ||
zero_code | 32 | bslbf |
sync_word while( bits_to_decode() > 4) { | 4 | bslbf |
extension_type switch(extension_type) { case EXT_BSAC_CHANNEL : extended_bsac_raw_data_block(); | 4 | bslbf |
break; case EXT_BSAC_SBR_DATA : extended_bsac_sbr_data(nch, 0); break; case EXT_BSAC_SBR_DATA_CRC : extended_bsac_sbr_data(nch, 1); break; case EXT_BSAC_CHANNEL_SBR : | ||
extended_bsac_raw_data_block(); extended_bsac_sbr_data(nch, 0); break; case EXT_BSAC_CHANNEL_SBR_CRC : extended_bsac_raw_data_block(); | ||
extended_bsac_sbr_data(nch, 1); break; case EXT_BSAC_SAC_DATA : extended_bsac_sac_data(); break; default : extended_bsac_data(); break; } byte_alignment); } } } | ||
Синтаксис | Количество битов | Мнемоника |
bsac_base_element() { | ||
frame_length; bsac_header(); general_header(); byte_alignment(); for (slayer = 0; slayer < slayer_size; slayer++) bsac_layer_element(slayer); } | 11 | uimbf |
Синтаксис | Количество битов | Мнемоника |
bsac_ header() | ||
{ | uimbf | |
header_length; | 4 | |
sba_mode; | 1 | uimbf |
top_layer; | 6 | uimbf |
base_snf_thr; | 2 | |
uimbf | ||
for (ch = 0;ch < nch; ch++) | ||
max_scalefactor[ch]; | 8 | uimbf |
base_band; | 5 | uimbf |
for(ch = 0;ch < nch; ch++) { cband_si_type[ch]; | 5 | uimbf |
base_scf_model[ch]; | 3 | uimbf |
enh_scf_model[ch]; | 3 | uimbf |
max_sfb_si_len[ch]; } } | 4 | uimbf |
Синтаксис | Количество битов | Мнемоника |
general_header() { | ||
reserved_bit; | 1 | bslbf |
window_sequence; | 2 | uimsbf |
window_shape; if (window_sequence = = EIGHT_SHORT_SEQUENCE) { max_sfb; | 1 | uimsbf |
scale_factor_grouping; | 4 | uimsbf |
} else { max_sfb; | 7 | uimsbf |
} | 6 | uimsbf |
pns_data_present; if (pns_data_present) | 1 | uimbf |
pns_start_sfb; if (nch = = 2) | 6 | uimbf |
ms_mask_present; for (ch = 0 ch < nch; ch++) { | 2 | bslbf |
tns_data_present[ch]; if (tns_data_present[ch]) tns_data(); | 1 | bslbf |
ltp_data_present[ch]; if (ltp_data_present[ch]) ltp_data(last_max_sfb, max_sfb); } } | 1 | bslbf |
Синтаксис | Количество битов | Мнемоника |
bsac_layer_element(layer) { layer_cband_si(layer); layer_sfb_si(layer); bsac_layer_spectra (layer); if (!sba_mode) { bsac_lower_spectra (layer); } else if (terminal_layer[layer]) { bsac_lower_spectra (layer); bsac_higher_spectra (layer); } |
Синтаксис | Количество битов | Мнемоника |
layer_cband_si(layer) { g = layer_group[layer]; for (ch = 0; ch < nch; ch++) { for (cband = layer_start_cband[layer]; cband < layer_end_cband[layer]; cband++) { | ||
acode_cband_si[ch][g][cband]; } } } | 1..14 | bslbf |
Синтаксис | Количество битов | Мнемоника |
layer_sfb_si (layer) { g = layer_group[layer]; for (ch = 0; ch < nch; ch++) for (sfb = layer_start_sfb[layer];sfb < layer_end_sfb[layer]; sfb++) { if (nch = = 1) { if (pns_data_present && sfb >= pns_start_sfb) { | ||
acode_noise_flag[g][sfb]; } } else if (stereo_side_info_coded[g][sfb] = = 0) { if (ms_mask_present !=2) { if (ms_mask_present = = 1) { | 1 | bslbf |
acode_ms_used[g][sfb]; } else if (ms_mask_present = = 3) { | 0...2 | bslbf |
acode_stereo_info[g][sfb]; } if (pns_data_present && sfb >= pns_start_sfb) { | 0...4 | bslbf |
acode_noise_flag_l[g][sfb]; | 1 | bslbf |
acode_noise_flag_r[g][sfb]; if (ms_mask_present = = 3 && stereo_info = = 3) { if (noise_flag_l && noise_flag_r) { | 1 | bslbf |
acode_noise_mode[g][sfb]; } } } } stereo_side_info_coded[g][sfb] = 1; } if (noise_flag[ch][g][sfb]) { if (noise_pcm_flag[ch] = = 1) { | 2 | bslbf |
acode_max_noise_energy[ch]; noise_pcm_flag[ch] = 0; } | 9 | bslbf |
acode_dpcm_noise_energy_index[ch][g][sfb]; } else if (stereo_info[g][sfb] >=2 && ch = = 1) { | 0... 14 | bslbf |
acode_is_position_index[g][sfb]; } else { | 0... 14 | bslbf |
acode_scf_index[ch][g][sfb]; } } } | 0... 14 | bslbf |
Синтаксис | Количество битов | Мнемоника |
bsac_layer_spectra(layer) { g = layer_group[layer]; start_index[g] = layer_start_ index[layer]; end_index[g] = layer_end_ index[layer]; if (layer < slayer_size) thr_snf = base_snf_thr; else thr_snf = 0; bsac_spectral_data (g, g+1, thr_snf, cur_snf); } |
Синтаксис | Количество битов | Мнемоника |
bsac_lower_spectra(layer) { for (g = 0; g < num_window_groups; g++) { start_index[g] = 0; end_index[g] = 0; } for (play = 0; play < layer; play++) { end_index[layer_group[play] ] = layer_end_index[play]; } bsac_spectral_data (0, num_window_groups, 0, unc_snf); } |
Синтаксис | Количество битов | Мнемоника |
bsac_higher_spectra(layer) { for (nlay = layer+1; nlay < top_layer+slayer_size; nlay++) { g = layer_group[nlay]; start_index[g] = layer_start_index[nlay]; end_index[g] = layer_end_index[nlay]; bsac_spectral_data (g, g+1, 0, unc_snf); } } |
Синтаксис | Количество битов | Мнемоника |
bsac_spectral_data(start_g, end_g, thr_snf, cur_snf) { if (!layer_data_available()) return; for (snf = maxsnf; snf > thr_snf; snf- -) for (g = start_g; g < end_g; g++) for (i = start_index[g]; i < end_index[g]; i++) for (ch = 0; ch < nch; ch++) { if (cur_snf[ch][g][i] < snf) continue; if (!sample[ch][g][i] || sign_is_coded[ch] [g][i]) | ||
acod_sliced_bit[ch][g][i][snf]; if (sample[ch][g][i] && !sign_is_coded[ch] [g][i]) { if (layer_data_available()) return; | 0...6 | bslbf |
acod_sign[ch][g][i]; sign_is_coded[ch][g][i] = 1; } cur_snf[ch][g][i]- -; if (layer_data_available()) return; } } | 1 | bslbf |
Синтаксис | Количество битов | Мнемоника |
extended bsac raw data block() { extended_bsac_base_element(); layer=slayer_size; while(data_available() && layer<(top_layer+slayer_size)) { bsac_layer_element(layer); layer++; } byte_alignment(); } |
Синтаксис | Количество битов | Мнемоника |
extended_bsac_base_element() | ||
{ | 11 | uimbf |
element_length | 3 | uimbf |
channel_configuration_index reserved_bit bsac_header(); general_header(); byte_alignment(); for (slayer = 0; slayer < slayer_size; slayer++) bsac_layer_element(slayer); } | 1 | uimbf |
Синтаксис | Количество битов | Мнемоника |
extended_bsac_sbr_data(nch, crc_flag) { num_sbr_bits = 0; | ||
cnt = count; num_sbr_bits += 4; if (cnt = = 15) { | 4 | uimsbf |
cnt += esc_count - 1; num_sbr_bits += 8; } if (crc_flag) { | 8 | uimsbf |
bs_sbr_crc_bits; num_sbr_bits += 10; } | 10 | uimsbf |
num_sbr_bits += 1; if (bs_header_flag) | 1 | |
num_sbr_bits += sbr_header(); num_sbr_bits += bsac_sbr_data(nch, bs_amp_res); num_align_bits = (8*cnt - num_sbr_bits); | ||
bs_fill_bits; } | Число битов выравнивания | uimsbf |
Синтаксис | Количество битов | Мнемоника |
bsac_sbr_data(nch, bs_amp_res) { switch (nch) { case 1 : sbr_single_channel_element(bs_amp_res) break; case 2 : sbr_channel_pair_element(bs_amp_res) break; } } |
Синтаксис | Количество битов | Мнемоника |
extended_bsac_data() { | ||
cnt = count; if (cnt = = 255) { | 8 | uimsbf |
cnt += esc_count - 1; } for (i=0; i < cnt-1; i++) { | 8 | uimsbf |
byte_payload } } | 8 | uimsbf |
Синтаксис | Количество битов | Мнемоника |
extended_bsac_sac_data() { | ||
cnt = count; if (cnt = = 255) { | 8 | uimsbf |
cnt += esc_count - 1; } | 8 | uimsbf |
ancType; | 2 | uimsbf |
ancStart; | 1 | uimsbf |
ancStop; | 1 | uimsbf |
bs_crc_flag | 1 | |
bs_fill_bits | uimsbf | |
if (bs_crc_flag) { ancCrcWord; cnt = cnt - 1; } | 8 | uimsbf |
for (i=0; i<cnt-2; i++) { ancDataSegmentByte[i]; } } | 8 | bslbf |
Синтаксис | Количество битов | Мнемоника |
individual_channel_stream(common_window, scale_flag) { | ||
globalgain; if (! common_window && ! scale_flag) { ics_info (); } section_data (); scale_factor_data (); if (! scale_flag) { | 8 | uimsbf |
pulse_data_present; if (pulse_data_present) { pulse_data (); } | 1 | uimsbf |
tns_data_present; if (tns_data_present) { tns_data (); } | 1 | uimsbf |
gain_control_data_present; if (gain_control_data_present) { gain_control_data (); } } if (! aacSpectralDataResilienceFlag) { spectral_data (); } else { | 1 | uimsbf |
length_of_reordered_spectral_data; | 14 | uimsbf |
length_of_longest_codeword; reordered_spectral_data (); } } | 6 | uimsbf |
Синтаксис | Количество битов | Мнемоника |
reordered_spectral_data () { } |
Синтаксис | Количество битов | Мнемоника |
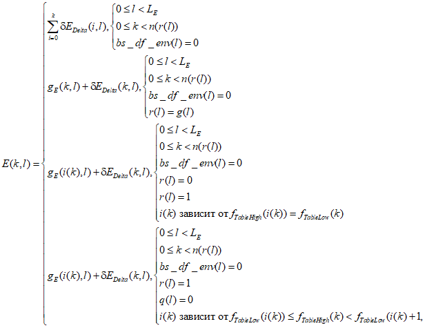
section_data() { if (window_sequence = = EIGHT_SHORT_SEQUENCE) { sect_esc_val = (1 << 3) - 1; } else { sect_esc_val = (1 << 5) - 1; } for (g = 0; g < num_window_groups; g++) { k = 0; i = 0; while (k < max_sfb) { if (aacSectionDataResilienceFlag) | ||
sect_cb[g][i]; } else { | 5 | uimsbf |
sect_cb[g][i]; } sect_len = 0; if (! aacSectionDataResilienceFlag || sect_cb < 11 || ( sect_cb > 11 && sect_cb < 16 )) { | 4 | uimsbf |
while (sect_len_incr = = sect_esc_val) { sect_len += sect_esc_val; } } else { sect_len_incr = 1; } sect_len += sect_len_incr; sect_start[g][i] = k; sect_end[g][i] = k + sect_len; for (sfb = k; sfb < k + sect_len; sfb++) { sfb_cb[g][sfb] = sect_cb[g][i]; } k += sect_len; i++; } num_sec[g] = i; } } | 3/5 | uimsbf |
Синтаксис | Количество битов | Мнемоника |
scale_factor_data() { if ( ! aacScalefactorDataResilienceFlag ) { noise_pcm_flag = 1; for ( g = 0; g < num_window_groups; g++ ) { for ( sfb = 0; sfb < max_sfb; sfb++ ) { if ( sfb_cb[g][sfb] != ZERO_HCB ) { if ( is_intensity ( g, sfb) ) { | ||
hcod_sf[dpcm_is_position[g][sfb]]; } else { if ( is_noise(g, sfb) ) { if ( noise_pcm_flag ) { noise_pcm_flag = 0; | 1...19 | vlclbf |
dpcm_noise_nrg[g][sfb]; } else { | 9 | uimsbf |
hcod_sf[dpcm_noise_nrg[g][sfb]]; } } else { hcod_sf[dpcm_sf[g][sfb]]; } } } } } } else { intensity_used = 0; noise_used = 0; | 1...19 | vlclbf |
sf_concealment; | 1 | uimsbf |
rev_global_gain; | 8 | uimsbf |
length_of_rvlc_sf; for ( g = 0; g < num_window_groups; g++ ) { for ( sfb=0; sfb < max_sfb; sfb++ ) { if ( sfb_cb[g][sfb] != ZERO_HCB ) { if ( is_intensity ( g, sfb) ) { intensity_used = 1; | 11/9 | uimsbf |
rvlc_cod_sf[dpcm_is_position[g][sfb]]; } else { if ( is_noise(g,sfb) ) { if ( ! noise_used ) { | 1...9 | vlclbf |
noise_used = 1; dpcm_noise_nrg[g][sfb]; } | 9 | uimsbf |
else { rvlc_cod_sf[dpcm_noise_nrg[g][sfb]]; } } | 1...9 | vlclbf |
else { rvlc_cod_sf[dpcm_sf[g][sfb]]; } } } } } | 1...9 | vlclbf |
if ( intensity_used ) { rvlc_cod_sf[dpcm_is_last_position]; } | 1...9 | vlclbf |
noise_used = 0; sf_escapes_present; | 1 | uimsbf |
if ( sf_escapes_present ) { length_of_rvlc_escapes; for ( g = 0; g < num_window_groups; g++ ) { for ( sfb = 0; sfb < max_sfb; sfb++ ) { if ( sfb_cb[g][sfb] != ZERO_HCB ) { if ( is_intensity ( g, sfb ) && rvlc_esc_sf[dpcm_is_position[g][sfb]]; | 8 | uimsbf |
dpcm_is_position[g][sfb] = = ESC_FLAG ) { } else { if ( is_noise ( g, sfb ) { if ( ! noise_used ) { noise_used = 1; } else { if (dpcm_noise_nrg[g][sfb] = = ESC_FLAG ) { rvlc_esc_sf[dpcm_noise_nrg[g][sfb]]; } } } else { if (dpcm_sf[g][sfb] = = ESC_FLAG ) { | 2...20 | vlclbf |
rvlc_esc_sf[dpcm sf[g][sfb]]; } } } } } } if ( intensity_used && dpcm_is_iast_position = = ESC_FLAG ) { | 2...20 | vlclbf |
rvlc_esc_sf[dpcm_is_last_position]; } } if ( noise_used ) { | 2...20 | vlclbf |
Синтаксис | Количество битов | Мнемоника |
tns_data() { for (w = 0; w < num_windows; w++) { | ||
n_filt[w]; if (n_filt[w]) | 1...2 | uimsbf |
coef_res[w]; for (filt = 0; filt < n_filt[w]; filt++) { | 1 | uimsbf |
length[w][filt]; | {4,6} | uimsbf |
order[w][filt]; if (order[w][filt]) { | {3,5} | uimsbf |
direction[w][filt]; | 1 | uimsbf |
coef_compress[w][filt]; for (i = 0; i < order[w][filt]; i++) | 1 | uimsbf |
coef[w][filt][i]; } } } } | 2...4 | uimsbf |
Синтаксис | Количество битов | Мнемоника |
ltp_data() { if ( AudioObjectType = = ER_AAC_LD ) { | ||
ltp_lag_update; if ( ltp_lag_update ) { | 1 | uimsbf |
ltp_lag; } else { ltp_lag = ltp_prev_lag; } | 10 | uimsbf |
ltp_coef; for (sfb = 0; sfb < min(max_sfb, MAX_LTP_LONG_SFB); sfb++ ) { | 3 | uimsbf |
ltp_long_used[sfb]; } } else { ltp_lag; | 1 | uimsbf |
ltp_coef; | 11 | uimsbf |
if(window_sequence!=EIGHT_SHORT_SEQUENCE) { for (sfb=0; sfb<min(max_sfb, MAX_LTP_LONG_SFB); sfb++ ) { | 3 | uimsbf |
ltp_long_used[sfb]; } } } } | 1 | uimsbf |
Синтаксис | Количество битов | Мнемоника |
Spectral_data() { for (g = 0; g < num_window_groups; g++) { for (i = 0; i < num_sec[g]; i++) { if (sect_cb[g][i] != ZERO_HCB && sect_cb[g][i] != NOISE_HCB && sect_cb[g][i] != INTENSITY_HCB && sect_cb[g][i] != INTENSITY_HCB2 ) { for (k = sect_sfb_offset[g][sect_start[g][i]]; k< sect_sfb_offset[g][sect_end[g][i]];) { if (sect_cb[g][i]<FIRST_PAIR_HCB) { | ||
hcod[sect_cb[g][i]][w][x][y][z]; if (unsigned_cb[sect_cb[g][i]]) quad_sign_bits; | 1...16 | vlclbf |
k += QUAD_LEN; } else { | 0...4 | bslbf |
hcod[sect_cb[g][i]][y][z]; | 0...15 | vlclbf |
if (unsigned_cb[sect_cb[g][i]]) pair_sign_bits; k += PAIR_LEN; | 0...2 | bslbf |
if (sect_cb[g][i] = = ESC_HCB) { | 5...21 | vlclbf |
if (y = = ESC_FLAG) hcod_esc_y; } if (z = = ESC_FLAG) hcod_esc_z; } } } } } | 5...21 | vlclbf |
Синтаксис | Количество битов | Мнемоника |
extension_payload(cnt) { | ||
extension_type; align = 4; switch ( extension_type ) { case EXT_DYNAMIC_RANGE: return dynamic_range_info(); case EXT_SAC_DATA: return sac_extension_data(cnt); case EXT_SBR_DATA: | 4 | uimsbf |
return sbr_extension_data(id_aac, 0); case EXT_SBR_DATA_CRC: return sbr_extension_data(id_aac, 1); | ||
case EXT_FILL_DATA: | ||
fill_nibble | 4 | uimsbf |
for (i=0; i<cnt-1; i++) { | ||
fill_byte[i]; } return cnt; case EXT_DATA_ELEMENT: | 8 | uimsbf |
data_element_version; switch( data_element_version ) { case ANC_DATA: loopCounter = 0; | 4 | uimsbf |
dataElementLength = 0; do { dataElementLengthPart; | 8 | uimsbf |
dataElementLength += dataElementLengthPart; loopCounter++; } while (dataElementLengthPart = = 255); for (i=0; i<dataElementLength; i++) { data_element_byte[i]; } return (dataElementLength+loopCounter+1); default: align = 0; } | 8 | uimsbf |
case EXT_FIL: default: for (i=0; i<8*(cnt-1)+align; i++) { other_bits[i]; } return cnt; } } | 1 | uimsbf |
Синтаксис | Количество битов | Мнемоника |
dynamic_range_info() { | ||
n = 1; drc_num_bands = 1; | uimsbf | |
pce_tag_present ; if (pce_tag_present = = 1) { | 1 | |
pce_ instance_tag; | 4 | uimsbf |
drc_tag_reserved_bits; n++; } | 4 | uimsbf |
excluded_chns_present; if (excluded_chns_present = = 1) { n += excluded_channels(); } | 4 | |
drc_bands_present; if (drc_bands_present = = 1) { | 1 | uimsbf |
drc_band_incr; | 4 | uimsbf |
drc_interpolation_scheme; n++; drc_num_bands = drc_num_bands + drc_band_incr; for (i = 0; i < drc_num_bands; i++) { | 4 | uimsbf |
drc_band_top[i]; n++; } } prog_ref_level_present; if (prog_ref_level_present = = 1) { | 8 | |
prog_ref_level; prog_ref_level_reserved_bits; | 1 | uimsbf |
n++; | 7 | uimsbf |
} for (i = 0; i < drc_num_bands; i++) { dyn_rng_sgn[i]; dyn_rng_ctl[i]; | 1 | uimsbf |
n++; | 1 | uimsbf |
} return n; } | 7 | uimsbf |
Синтаксис | Количество битов | Мнемоника |
Excluded_channels( ) { n = 0; num_excl_chan = 7; for (i = 0; i < 7; i++) | ||
exclude_mask[ i ]; n++; | 1 | uimsbf |
while (additional_excluded_chns[n-1] = = 1) { for (i = num_excl_chan; i < num_excl_chan+7; i++) | 1 | uimsbf |
exclude_mask[ l ]; n++; num_excl_chan += 7; } return n; } | 1 | uimsbf |
Синтаксис | Количество битов | Мнемоника |
ms_data() { for (g = 0; g < num_window_groups; g++) { for (sfb = last_max_sfb_ms; sfb < max_sfb; sfb++) { ms_used[g][sfb]; | ||
} } } | 1 | bslbf |
Синтаксис | Количество битов | Мнемоника |
sac_extension_data(cnt) { | ||
ancType; | 2 | uimsbf |
ancStart; | 1 | uimsbf |
ancStop; for (i=0; i<cnt-1; i++) { | 1 | uimsbf |
ancDataSegmentByte[i]; } return (cnt); } | 8 | bslbf |
Синтаксис | Количество битов | Мнемоника |
sbr_header() { | ||
bs_amp_res; | 1 | |
bs_start_freq; | 4 | uimsbf |
bs_stop_freq; | 4 | uimsbf |
bs_xover_band; | 3 | uimsbf |
bs_reserved; | 2 | uimsbf |
bs_header_extra_1; | 1 | |
bs_header_extra_2; | 1 | |
if (bs_header_extra_1) { | ||
bs_freq_scale; | 2 | |
bs_alter_scale; | 1 | uimsbf |
bs_noise_bands; } | 2 | uimsbf |
if (bs_header_extra_2) { | ||
bs_limiter_bands; | 2 | uimsbf |
bs_limiter_gains; | 2 | uimsbf |
bs_interpol_freq; | 1 | |
bs_smoothing_mode } } | 1 | |
Примечание 1 - bs_start_freq и bs_stop_freq должны определять полосу частот, которая не превышает пределы, определенные в 6.18.3.6. | ||
Синтаксис | Количество битов | Мнемоника |
sbr_data(id_aac, bs_amp_res) { switch (sbr_layer) { | ||
case SBR_NOT_SCALABLE switch (id_aac) { case ID_SCE sbr_single_channel_element(bs_amp_res) break; case ID_CPE sbr_channel_pair_element(bs_amp_res) break; } break; case SBR_MONO_BASE sbr_channel_pair_base_element(bs_amp_res) break; case SBR_STEREO_ENHANCE sbr_channel_pair_enhance_element(bs_amp_res) break; case SBR_STEREO_BASE sbr_channel_pair_element(bs_amp_res) break; } } | ||
Примечание - Когда инструмент SBR используется с немасштабируемым базовым кодером AAC, значение переменной помощника sbr_layer является SBR_NOT_SCALABLE. Когда инструмент SBR используется с масштабируемым базовым кодером AAC, значение переменной помощника sbr_layer зависит от текущего уровня и конфигурации масштабируемости базового кодера AAC как определено в таблице 120 в 5.2.8.2.4. | ||
Синтаксис | Количество битов | Мнемоника |
sbr_single_channel_element (bs_amp_res) { | ||
if(bs_data_extra) | 1 | uimsbf |
bs_reserved; sbr_grid (0); sbr_dtdf (0); sbr_invf (0); sbr_envelope (0, 0, bs_amp_res); | 4 | |
sbr_noise (0, 0); if (bs_add_harmonic_flag[0]) | 1 | |
sbr_sinusoidal_coding(0); | 1 | |
if (bs_extended_data) { cnt = bs_extension_size; | 4 | |
if (cnt = = 15) cnt += bs_esc_count; num_bits_left = 8 * cnt; | 8 | uimsbf |
while (num_bits_left > 7) { bs_extension_id; | 2 | uimsbf |
num_bits_left -= 2; sbr_extension(bs_extension_id, num_bits_left); | ||
} bs_fill_bits; } } | Num_bits_left | |
Синтаксис | Количество битов | Мнемоника |
sbr_channel_pair_element(bs_amp_res) { | ||
if (bs_data_extra) { | 1 | |
bs_reserved; | 4 | uimsbf |
bs_reserved; } | 4 | uimsbf |
if (bs_coupling) { sbr_grid(0); sbr_dtdf(0); sbr_dtdf(1); sbr_invf(0); sbr_envelope(0,1, bs_amp_res); sbr_noise(0,1); sbr_envelope(1,1, bs_amp_res); sbr_noise(1,1); } else { sbr_grid(0); sbr_grid(1); sbr_dtdf(0); sbr_dtdf(1); sbr_invf(0); sbr_invf(1); sbr_envelope(0,0, bs_amp_res); sbr_envelope(1,0, bs_amp_res); sbr_noise(0,0); sbr_noise(1,0); } | 1 | |
if (bs_add_harmonic_flag[0]) sbr_sinusoidal_coding(0); | 1 | |
if (bs_add_harmonic_flag[1]) sbr_sinusoidal_coding(1); | 1 | |
if (bs_extended_data) { | 1 | |
cnt = bs_extension_size; if (cnt = = 15; | 4 | uimsbf |
cnt += bs_esc_count; num_bits_left = 8 * cnt; while (num_bits_left > 7) { | 8 | uimsbf |
bs_extension_id; num_bits_left -= 2; | 2 | uimsbf |
sbr_extension(bs_extension_id, num_bits_left); } | ||
bs_fill_bits; } } | Num_bit_left | |
Синтаксис | Количество битов | Мнемоника |
sbr_channel_pair_base_element(bs_amp_res) { | ||
if (bs_data_extra) { | 1 | |
bs_reserved; | 4 | uimsbf |
bs_reserved; } | 4 | uimsbf |
bs_coupling sbr_grid(0); sbr_dtdf(0); sbr_invf(0); sbr_envelope(0,1, bs_amp_res); sbr_noise(0,1); | 1 | |
if (bs_add_harmonic_flag[0]) sbr_sinusoidal_coding(0); | 1 | |
if (bs_extended_data) { | 1 | |
cnt = bs_extension_size; if (cnt = = 15; | 4 | uimsbf |
cnt += bs_esc_count; num_bits_left = 8 * cnt; while (num_bits_left > 7) { bs_extension_id; | 8 | uimsbf |
num_bits_left -= 2; | 2 | uimsbf |
sbr_extension(bs_extension_id, num_bits_left); } | ||
bs_fill_bits; } } | num_bits_left | |
Синтаксис | Количество битов | Мнемоника |
sbr_channel_pair_enhance_element(bs_amp_res) { sbr_dtdf(1); sbr_envelope(1,1, bs_amp_res); sbr_noise(1,1); | ||
if (bs_add_harmonic_flag[1]) sbr_sinusoidal_coding(1); } | 1 |
Синтаксис | Количество битов | Мнемоника |
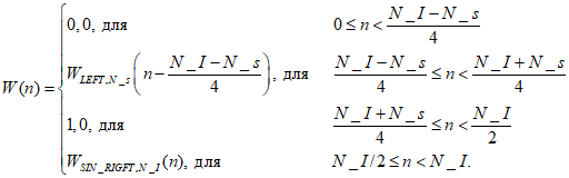
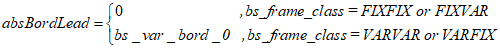
sbr_grid(ch) { | ||
switch (bs_frame_class) { case FIXFIX | 2 | uimsbf |
bs_num_env[ch] = 2 | 2 | uimsbf |
if (bs_num_env[ch] = = 1) bs_amp_res = 0; bs_freq_res[ch][0]; | ||
for (env = 1; env < bs_num_env[ch]; env++) bs_freq_res[ch][env] = bs_freq_res[ch][0]; break; case FIXVAR | 1 | |
bs_var_bord_1 [ch]; | 2 | uimsbf |
bs_num_env[ch] = bs_num_rel_1[ch] + 1; for (rel = 0; rel < bs_num_env[ch]-1; rel++) | 2 | uimsbf |
bs_rel_bord_1[ch][rel] = 2* tmp + 2; | 2 | uimsbf |
ptr_bits = ceil (log (bs_num_env[ch] + 1) / log (2)); | ||
bs_pointer[ch]; for (env = 0; env < bs_num_env[ch]; env++) | ptr_bits | uimsbf |
bs_freq_res[ch][bs_num_env[ch] - 1 - env]; break; case VARFIX bs_var_bord_0[ch]; | 1 | |
bs_num_env[ch] = bs_num_rel_0[ch] + 1; | 2 | uimsbf |
for (rel = 0; rel < bs_num_env[ch]-1; rel++) bs_rel_bord_0[ch][rel] = 2* tmp + 2; | 2 | uimsbf |
ptr_bits = ceil (log (bs_num_env[ch] + 1) / log (2)); | 2 | uimsbf |
bs_pointer[ch]; | ptr_bits | |
for (env = 0; env < bs_num_env[ch]; env++) | uimsbf | |
bs_freq_res[ch] [env]; break; case VARVAR | 1 | |
bs_var_bord_0[ch]; | 2 | uimsbf |
bs_var_bord_1 [ch]; | 2 | uimsbf |
bs_num_rel_0[ch]; | 2 | uimsbf |
bs_num_rel_1 [ch]; | 2 | uimsbf |
bs_num_env[ch] = bs_num_rel_0[ch] + bs_num_rel_1[ch] + 1; for (rel = 0; rel < bs_num_rel_0[ch]; rel++) | ||
bs_rel_bord_0[ch][rel] = 2* tmp + 2; for (rel = 0; rel < bs_num_rel_1[ch]; rel++) | 2 | uimsbf |
bs_rel_bord_1[ch][rel] = 2* tmp + 2; | 2 | uimsbf |
ptr_bits = ceil (log(bs_num_env[ch] + 1) / log (2)); bs_pointer[ch]; for (env = 0; env < bs_num_env[ch]; env++) ptr_bits = ceil (loq(bs_num_env[ch] + 1) / log (2)); | ||
bs_pointer[ch]; for (env = 0; env < bs_num_env[ch]; env++) | ptr_bits | uimsbf |
bs_freq_res[ch][env]; break; } if (bs_num_env[ch] > 1) bs_num_noise[ch] = 2; else bs_num_noise[ch] = 1; } | 1 | |
Примечание 1 - bs_num_env ограничивается согласно 6.18.3.6. | ||
Синтаксис | Количество битов | Мнемоника |
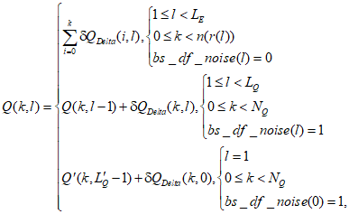
sbr_dtdf(ch) { for (env = 0; env < bs_num_env[ch]; env++) | ||
bs_df_env[ch][env]; for (noise = 0; noise < bs_num_noise[ch]; noise++) | 1 | |
bs_df_noise[ch][noise]; } | 1 |
Синтаксис | Количество битов | Мнемоника |
sbr_invf(ch) { | ||
for (n = 0; n<num_noise_bands[ch]; n++ ) | ||
bs_invf_mode[ch][n]; } | 2 | uimsbf |
Примечание - num_noise_bands [ch] получают из заголовка, согласно 6.18.3 и называется он NQ. | ||
Синтаксис | Количество битов | Мнемоника | ||||
sbr_envelope(ch, bs_coupling, bs_amp_res) { if (bs_coupling) { if (ch) { if (bs_amp_res) { t_huff = t_huffman_env_bal_3_0dB; f_huff = f_huffman_env_bal_3_0dB; } else { t_huff = t_huffman_env_bal_1_5dB; f_huff = f_huffman_env_bal_1_5dB; } } else { if (bs_amp_res) { t_huff = t_huffman_env_3_0dB; f_huff = f_huffman_env_3_0dB; } else { t_huff = t_huffman_env_1_5dB; f_huff = f_huffman_env_1_5dB; } } else { if (bs_amp_res) { t_huff = t_huffman_env_3_0dB; f_huff = f_huffman_env_3_0dB; } else { t_huff = t_huffman_env_1_5dB; f_huff = f_huffman_env_1_5dB; } } } else { if (bs_amp_res) { t_huff = t_huffman_env_3_0dB; f_huff = f_huffman_env_3_0dB; } else { t_huff = t_huffman_env_1_5dB; f_huff = f_huffman_env_1_5dB; } } for (env = 0; env < bs_num_env[ch]; env++) { if (bs_df_env[ch][env] = = 0) { if (bs_coupling && ch) { if (bs_amp_res) | ||||||
bs_data_env[ch][env][0] = bs_env_start_value_balance; bs_data_env[ch][env][0] = bs_env_start_value_balance; | 5 | uimsbf | ||||
} else { if (bs_amp_res) | 6 | uimsbf | ||||
bs_data_env[ch][env][0] = bs_env_start_value_level; | 6 | uimsbf | ||||
bs_data_env[ch][env][0] = bs_env_start_value_level; } for (band = 1; band < num_env_bands[bs_freq_res[ch][env]]; band++) | 7 | uimsbf | ||||
bs_data_env[ch][env][band] = sbr_huff_dec(f_huff, | ||||||
bs_codeword); } else { for (band = 0; band < num_env_bands[bs_freq_res[ch][env]]; | 1...18 | |||||
band++) | ||||||
bs_data_env[ch][env][band] = sbr_huff_dec(t_huff, bs_codeword); } } } | 1...18 | |||||
| ||||||
Примечание 1 - num_env_bands [bs_freq_res [ch] [env]] получается из заголовка согласно 6.18.3 и называется n. | ||||||
Синтаксис | Количество битов | Мнемоника |
sbr_noise(ch,bs_coupling) { if (bs_coupling) { if (ch) { t_huff = t_huffman_noise_bal_3_0dB; f_huff = f_huffman_noise_bal_3_0dB; } else { t_huff = t_huffman_noise_3_0dB; f_huff = f_huffman_noise_3_0dB; } } else { t_huff = t_huffman_noise_3_0dB; f_huff = f_huffman_noise_3_0dB; } for (noise = 0; noise < bs_num_noise[ch]; noise++) { if (bs_df_noise[ch][noise] = = 0) { if (bs_coupling && ch) bs_data_noise[ch][noise][0] = | ||
bs_noise_start_value_balance; else | 5 | uimsbf |
bs_data_noise[ch][noise][0] = bs_noise_start_value_level; for (band = 1; band < num_noise_bands[ch]; band++) | 5 | uimsbf |
bs_data_noise[ch][noise][band] = | ||
sbr_huff_dec(f_huff,bs_codeword); } else { | 1...18 | |
for (band = 0; band < num_noise_bands[ch]; | ||
band++) bs_data_noise[ch][noise][band] = | ||
sbr_huff_dec(t_huff,bs_codeword); } } } | 1...18 | |
Примечание 1 - num_noise_bands [ch] получается из заголовка согласно 6.18.3 и называется NQ. | ||
Синтаксис | Количество битов | Мнемоника |
sbr_sinusoidal_coding(ch) { for (n = 0; n<num_high_res[ch]; n++ ) | ||
bs_add_harmonic[ch][n] } | 1 | |
Примечание - num_high_res [ch] получается из заголовка согласно 6.18.3 и называется NHigh. | ||
Синтаксис | Количество битов | Мнемоника |
er_raw_data_block_eld(channelConfiguration) { switch(channelConfiguration) { case 1: single_channel_element_eld(); break; case 2: channel_pair_element_eld(); break; case 3: single_channel_element_eld(); channel_pair_element_eld(); break; case 4: single_channel_element_eld(); channel_pair_element_eld(); single_channel_element_eld(); break; case 5: single_channel_element_eld(); channel_pair_element_eld(); channel_pair_element_eld(); break; case 6: single_channel_element_eld(); channel_pair_element_eld(); channel_pair_element_eld(); lfe_channel_element_eld(); break; case 7: single_channel_element_eld(); channel_pair_element_eld(); channel_pair_element_eld(); channel_pair_element_eld(); lfe_channel_element_eld(); break; default: /* reserved */ break; | ||
} if (IdSbrPresentFlag) { er_low_delay_sbr_block(channelConfiguration); } cnt = bits_to_decode() / 8; while ( cnt >= 1 ) { cnt -= extension_payload(cnt); } byte_alignment(); } | ||
Примечание - Описанная выше высокоуровневая полезная нагрузка обрабатывается как логическая полезная нагрузка потока битов. Чтобы получить эту логическую полезную нагрузку потока битов из физической полезной нагрузки потока битов, требуются шаги предварительной обработки, как описано в 5.2.4. | ||
Синтаксис | Количество битов | Мнемоника |
single channel element eld() { individual_channel_stream_eld (0); } |
Синтаксис | Количество битов | Мнемоника |
lfe channel element eld() { individual_channel_stream_eld (0); } |
Синтаксис | Количество битов | Мнемоника |
channel_pair_element_eld() } common_window = 1; | ||
max_sfb; | 6 | uimsbf |
ms_mask_present; if ( ms_mask_present = = 1 ) { for (sfb = 0; sfb < max_sfb; sfb++) { | 2 | uimsbf |
ms_used[0][sfb]; } } individual_channel_stream_eld (common_window); individual_channel_stream_eld (common_window); } | 1 | uimsbf |
Синтаксис | Количество битов | Мнемоника |
individual_channel_stream_eld (common_window) { | ||
global_gain; if (! common_window) { | 8 | uimsbf |
max_sfb; section_data (); scale_factor_data (); | 6 | uimsbf |
tns_data_present; if (tns_data_present) { tns_data (); } if (! aacSpectralDataResilienceFlag) { spectral_data (); } else { | 1 | uimsbf |
length_of_reordered_spectral_data; | 14 | uimsbf |
length_of_longest_codeword; reordered_spectral_data (); } } | 6 | uimsbf |
Синтаксис | Количество битов | Мнемоника |
er_low_delay_sbr_block(channelConfiguration) { switch (channelConfiguration) { case 1: low_delay_sbr_data(ID_SCE, IdSbrCrcFlag, bs_amp_res); break; case 2: low_delay_sbr_data(ID_CPE, IdSbrCrcFlag, bs_amp_res); break; case 3: low_delay_sbr_data(ID_SCE, IdSbrCrcFlag, bs_amp_res); low_delay_sbr_data(ID_CPE, IdSbrCrcFlag, bs_amp_res); break; case 4: low_delay_sbr_data(ID_SCE, IdSbrCrcFlag, bs_amp_res); low_delay_sbr_data(ID_CPE, IdSbrCrcFlag, bs_amp_res); low_delay_sbr_data(ID_SCE, IdSbrCrcFlag, bs_amp_res); break; case 5: low_delay_sbr_data(ID_SCE, IdSbrCrcFlag, bs_amp_res); low_delay_sbr_data(ID_CPE, IdSbrCrcFlag, bs_amp_res); low_delay_sbr_data(ID_CPE, IdSbrCrcFlag, bs_amp_res); break; case 6: low_delay_sbr_data(ID_SCE, IdSbrCrcFlag, bs_amp_res); low_delay_sbr_data(ID_CPE, IdSbrCrcFlag, bs_amp_res); low_delay_sbr_data(ID_CPE, IdSbrCrcFlag, bs_amp_res); break; case 7: low_delay_sbr_data(ID_SCE, IdSbrCrcFlag, bs_amp_res); low_delay_sbr_data(ID_CPE, IdSbrCrcFlag, bs_amp_res); low_delay_sbr_data(ID_CPE, IdSbrCrcFlag, bs_amp_res); low_delay_sbr_data(ID_CPE, IdSbrCrcFlag, bs_amp_res); break; default: /* reserved */ break; } } |
Синтаксис | Количество битов | Мнемоника |
low_delay_sbr_data(id_aac, IdSbrCrcFlag, bs_amp_res) { | ||
if (IdSbrCrcFlag) { bs_sbr_crc_bits; | 10 | uimsbf |
} if (bs_header_flag) { sbr_header(); } If (id_aac= =ID_SCE) { sbr_single_channel_element(bs_amp_res); } else if (id_aac= =ID_CPE) { sbr_channel_pair_element(bs_amp_res); } } | 1 | |
Примечание - bs_amp_res обычно передается внутри функции sbr_header (), включенным в состав ELDSpecificConfig (). Этот параметр может быть обновлен функцией sbr_header (). | ||
Частотный диапазон, Гц | |
f >= 92017 | 96000 |
92017 > f >= 75132 | 88200 |
75132 > f >= 55426 | 64000 |
55426 > f >= 46009 | 48000 |
46009 > f >= 37566 | 44100 |
37566 > f >= 27713 | 32000 |
27713 > f >= 23004 | 24000 |
23004 > f >= 18783 | 22050 |
18783 > f >= 13856 | 16000 |
13856 > f >= 11502 | 12000 |
11502 > f >= 9391 | 11025 |
9391 > f | 8000 |
frameLengthFlag | Длина фрейма, число спектральных линий соответственно. Для всех типов General Audio Object Types (общих аудио объектных типов), кроме AAC SSR и ER AAC LD: если установлено в "0", используется IMDCT с 1024/128 линиями и frameLength устанавливается в 1024, если установлено в "1", используется IMDCT с 960/120 линиями и frameLength устанавливается в 960. Для ER AAC LD: если установлено в "0", используется IMDCT с 512 линиями и frameLength устанавливается в 512, если установлено в "1", используется IMDCT с 480 линиями и frameLength устанавливается в 480. Для AAC SSR: должно быть установлено в "0". Используется IMDCT с 256/32 линиями. Примечание - Фактическое число линий для IMDCT (первое или второе значение) отличается значением window_sequence. |
DependsOnCoreCoder | Сигнализирует о том, что в лежащей в основе базового уровня масштабируемой конфигурации AAC использовался базовый кодер. |
CoreCoderDelay | Задержка в выборках, которая должна быть применена к сверхдискретизированному (если необходимо) выводу базового декодера, перед вычислением IMDCT. |
extensionFlag | Должно быть '0' для аудио объектных типов 1, 2, 3, 4, 6, 7. Должно быть '1' для аудио объектных типов 17, 19, 20, 21, 22, 23. |
layerNr | 3-разрядное поле, указывающее номер уровня AAC в масштабируемой конфигурации. Первый уровень AAC обозначается значением 0. |
numOfSubFrame | 5-разрядное целочисленное значение без знака, представляющее число подфреймов, которые группируются и передаются в суперкадре. |
layer_length | 11-разрядное целочисленное значение без знака, представляющее среднюю длину уровней большого шага в байтах. |
aacSectionDataResilienceFlag | Этот флаг сигнализирует о различных схемах кодирования данных раздела AAC. Если используется кодовая книга 11, эта схема передает дополнительную информацию о максимальном абсолютном значении для линий спектра. Это позволяет обнаруживать ошибки спектральных линий, которые больше, чем указанное значение. |
aacScalefactorDataResilienceFlag | Этот флаг сигнализирует о различных схемах кодирования данных масштабного фактора AAC, которые более устойчивы к ошибкам, чем исходные. |
aacSpectralDataResilienceFlag | Этот флаг сигнализирует о различных схемах кодирования (HCR) спектральных данных AAC, которые более устойчивы к ошибкам, чем исходные. |
extensionFlag3 | Флаг расширения для будущего использования. Должен быть '0'. |
object_type | Двухбитовый индекс объектного типа из таблицы 83. |
Индекс | Объектный тип |
0 | AAC Main |
1 | AAC LC |
2 | AAC SSR |
3 | AAC LTP |
sampling_frequency_index | Указывает частоту дискретизации программы. |



,
matrix_mixdown_idx | A |
0 | |
1 | 1/2 |
2 | ![]() |
3 | 0 |
raw_data_block () | Блок необработанных данных, который содержит аудиоданные для временного периода 1024 или 960 выборок, соответствующая информация и другие данные. Существует семь синтаксических элементов, идентифицированных элементом данных id_syn_ele. У элементов audio_channel_element()'s в одном raw_data_block () должна быть только одна частота дискретизации. В raw_data_block () могут быть несколько экземпляров того же самого синтаксического элемента, но они должны иметь различные 4 бита element_instance_tag, за исключением data_stream_element () 's и fill_element () 's. Поэтому в одном raw_data_block () может быть от 0 до максимум 16 экземпляров любого синтаксического элемента, за исключением data_stream_element () 's и fill_element () 's, где это ограничение не применяется. Если имеется несколько data_stream_element ()'s, которые имеют тот же самый element_instance_tag, тогда они - часть того же самого потока данных. У fill_element() нет никакого тега element_instance_tag (так как контент не требует последующей ссылки) и он может встретиться любое число раз. Конец raw_data_block () обозначается специальным id_syn_ele (TTERM), который может иметь место только однажды в raw_data_block (). |
id_syn_ele | Элемент данных, который идентифицирует один из следующих синтаксических элементов (таблица 85). |
имя ID | Кодирование | Сокращение | Синтаксический элемент |
ID_SCE | 0x0 | SCE | single_channel_element() |
ID_CPE | 0x1 | CPE | channel_pair_element () |
ID_CCE | 0x2 | CCE | coupling_channel_element () |
ID_LFE | 0x3 | LFE | lfe_channel_element () |
ID_DSE | 0x4 | DSE | data_stream_element () |
ID_PCE | 0x5 | PCE | program_config_element () |
ID_FIL | 0x6 | FIL | fill_element () |
ID_END | 0x7 | TERM |
single_channel_element () | Аббревиатура SCE. Синтаксический элемент потока битов, содержащий кодированные данные для единственного звукового канала. single_channel_element () в основном состоит из individual_channel_stream (). Может быть до 16 таких элементов на блок необработанных данных, у каждого должен быть уникальный element_instance_tag. |
channel_pair_element () | Сокращение CPE. Синтаксический элемент полезной нагрузки потока битов, содержащий данные для пары каналов. channel_pair_element() состоит из двух individual_channel_streams и дополнительной объединенной информации о кодировании канала. Эти два канала могут совместно использовать общую информацию о стороне. У channel_pair_element () имеются те же самые ограничения, что и у элемента единственного канала, касающиеся element_instance_tag и числа экземпляров. |
coupling_channel_element () | Сокращение CCE. Синтаксический элемент, который содержит аудиоданные для спаривания канала. Спаренный канал представляет собой информацию для степени многоканальности для одного блока или альтернативно для диалога для многоязычного программирования. Правила для числа coupling_channel_element()'s и тегов экземпляра такие же, как для single_channel_element (). |
lfe_channel_element () | Сокращение LFE. Синтаксический элемент, который содержит канал расширения с малой частотой дискретизации. Правила для числа lfe_channel_element () 's и теги экземпляра те же, что для single_channel_element () 's. |
program_config_element () | Сокращение PCE. Синтаксический элемент, который содержит данные о конфигурации программы. Правила для числа program_config_element () 's и теги экземпляра элемента являются теми же самыми, что для single_channel_element () 's. PCEs должны поступать перед всеми другими синтаксическими элементами в raw_data_block (). |
fill_element () | Сокращение FIL. Синтаксический элемент, который содержит данные заполнения. В нем может быть любое число элементов заполнения, которые могут приходить в любом порядке в блоке необработанных данных. |
data_stream_element () | DSE сокращения. Синтаксический элемент, который содержит данные. Снова там 16 element_instance_tags. Однако нет никакого ограничения на число data_stream_element () 's ни с любым тегом экземпляра, поскольку единственный поток данных может продолжаться через несколько data_stream_element () 's с тем же самым тегом экземпляра. |
element_instance_tag | Уникальный тег экземпляра для синтаксических элементов кроме fill_element (). Все синтаксические элементы, содержащие теги экземпляра, могут появляться не один раз, но, за исключением data_stream_element () 's, должны иметь уникальный element_instance_tag в каждом raw_data_block (). Этот тег также используется для ссылочных аудио синтаксических элементов в single_channel_element () 's, channel'_pair_element () 's, lfe_channel_element () 's, data_channel_element () 's и coupling_channel_element () 's в program_config_element () и обеспечивает возможность до 16 независимых program_config_element () 's. |
audio_channel_element | Общее обозначение для single_channel_element (), channel_pair_element, coupling_channel_element () и lfe_channel_element (). |
common_window | Флаг указывающий используются совместно individual_channel_streams и ics_info или нет. В случае совместного использования ics_info является частью channel_pair_element () и должен использоваться для обоих каналов. Иначе ics_info является частью каждого individual_channel_stream. |
Сегмент полезной нагрузки потока битов | Выходной сигнал |
<SCE> <TERM> <SCE> < TERM > | Моно сигнал |
<CPE> < TERM > <CPE> < TERM > | Сигнал стерео |
<SCE><CPE><CPE><LFE><TERM><SCE><CPE><CPE><LFE><TERM> | Сигнал канала 5.1 |
count | Начальное значение для длины данных заполнения. |
esc_count | Инкрементное значение длины данных заполнения. |
cnt | Величина, равная полной длине в байтах всех последующих extension_payload () 's. |
aac_scalable_main_element () | Сокращение ASME. Синтаксический элемент полезной нагрузки потока битов содержит кодированные данные для первого уровня кодирования AAC в масштабируемой конфигурации. Этот тип синтаксиса может использоваться также для приложений единственного уровня кодирования (немасштабируемые). В этом случае только один ASME содержит всю кодированную информацию. ASME состоит из aac_scalable_main_header () и для каждого кодированного выхода канала аудио один individual_channel_stream (). Максимальное количество таких элементов ограничивается 1 для каждого аудиообъекта. |
aac_scalable_main_header () | Содержит всю дополнительную информацию, необходимую для первого уровня кодирования AAC, за исключением дополнительной информации, которая передается в отдельных потоках канала. Подблок ics_info () AAC здесь не используется. Вместо этого информация, которую обычно передают в ics_info (), содержится непосредственно в этом элементе. |
aac_scalable_extension_element () | Сокращение ASEE; синтаксический элемент полезной нагрузки потока битов, содержащий кодированные данные для всех, кроме первого уровня кодирования AAC в масштабируемой конфигурации. ASEE состоит из aac_scalable_extension_header () и для каждого кодированного канала аудиовыхода одного individual_channel_stream (). Максимальное количество таких элементов ограничивается 7 для одного аудиообъекта. |
aac_scalable_extension_header () | Содержит всю дополнительную информацию, требующуюся для уровня расширения AAC, за исключением дополнительной информации, которая передается в отдельных потоках канала. Расширение в этом контексте означает, что это не первый уровень кодирования AAC. |
bits_to_decode () | Функция помощи; возвращает число битов еще не декодированных в текущей высокоуровневой полезной нагрузке, если длина этой полезной нагрузки сообщается системой/транспортным уровнем. Если длина высокоуровневой полезной нагрузки неизвестна, bits_to_decode () возвращает 0. |
diff_control [w] [dc_group] | Для каждого окна это - управляющая информация FSS для одного dc_group. Если тип окна не является SHORT_WINDOW.diff_control[w] [dc_group] закодированная по Хаффману с использованием таблицы 165 в полезной нагрузке потока битов. |
diff_control_lr [w] [sfb] | Элемент, используемый в конфигурации моно GA/стерео GA, для управления взаимодействием канала M с каналом L и R. |
this_layer_stereo | Устанавливается в '1', если текущий уровень является уровнем стерео, иначе устанавливается в '0'. |
mono_layer_flag | Устанавливается в '1', если имеется какой-либо уровень моно, иначе устанавливается в '0'. |
mono_stereo_flag | Устанавливается в '1', если есть один уровень моно и это - первый уровень стерео; иначе устанавливается в '0'. |
last_max_sfb | max_sfb предыдущего уровня кодирования. Если предыдущий уровень работает при другой части дискретизации или не является кодером GA, last_max_sfb устанавливается в '4* no_of_dc_groups-1', если тип окна не является SHORT_WINDOW, иначе это устанавливается в самый низкий sfb, покрывающий все diff_short_lines. |
last_max_sfb_ms | max_sfb предыдущего уровня стерео. Устанавливается в '0', если предыдущий уровень является уровнем моно. |
last_mono_max_sfb | max_sfb_hightst самого верхнего уровня моно. |
core_flag | Устанавливается в '1', если присутствует базовый кодер. В рамках стандарта MPEG-4 Audio единственным допустимым базовым кодером является MPEG-4 Celp, хотя могут использоваться механизмы, например, для других кодеров формы сигнала или кодера AAC, работающего на более низкой частоте дискретизации, чем уровень расширения AAC; если нет никакого базового кодера, устанавливается в '0'. |
tvq_layer_present | Устанавливается в '1', если в предыдущем уровне присутствует кодер TwinVQ; иначе устанавливается в '0'. |
tvq_tns_present | Устанавливается в '1', если tns_present устанавливается в '1' в предыдущем уровне TwinVQ; иначе устанавливается в '0'. |
tvq_stereo | Устанавливается в '1', если предыдущий уровень TwinVQ является стерео; иначе устанавливается в '0'. |
tvq_mono_tns | Устанавливается в '1', если существует моно уровень tvq, который использует tns; устанавливается в '0', если существует моно уровень tvq, который не использует tns. |
tvq_stereo_tns_left | Устанавливается в '1', если существует уровень стерео tvq, который использует tns в левом канале; устанавливается в '0', если есть уровень стерео tvq, который не использует tns в левом канале. |
tvq_stereo_tns_right | Устанавливается в '1', если существует уровень стерео tvq, который использует tns в правом канале; устанавливается в '0', если есть уровень стерео tvq, который не использует tns в правом канале. |
tns_aac_tvq_en [ch] | Устанавливается в '1', если бит tns_data_present передается в ASME, если присутствует уровень TwinVQ (см. таблицу 90). |
Уровень N+1 | |||||
Уровень N | NB CELP моно | TwinVQ моно | TwinVQ стерео | AAC моно | AAC стерео |
Узкополосный (NB) CELP моно | X | X | X | ||
TwinVQ моно | X | X | X | ||
TwinVQ стерео | X | X | |||
AAC моно | X | X | |||
AAC стерео | X | ||||
AAC-Only-M: | Основной уровень AAC моно | плюс |
От 0 до 7 моно уровней расширения AAC | ||
AAC-Only-S: | Основной уровень AAC стерео | плюс |
От 0 до 7 уровней расширения стерео AAC | ||
AAC-Only-M/S: | Основной уровень AAC моно | плюс |
От 0 до 7 уровней расширения AAC моно | плюс | |
От 1 до 7 уровней расширения AAC стерео | (общее количество уровней <= 8) |
Частота дискретизации, кГц | 96 | 64 | 48 | 32 | 24 | 16 | 8 |
Длина фрейма AAC, мс | 10 | 15 | 20 | 30 | 40 | 60 | 120 |
Длина суперфрейма (40 мс базовый фрейм), мс | 40 | 120 | 40 | 120 | 40 | 120 | 120 |
AAC/CELP фреймов на суперфрейм | 4/1 | 8/3 | 2/1 | 4/3 | 1/1 | 2/3 | 1/3 |
Длина суперфрейма (30 мс базовый фрейм), мс | 30 | 30 | 60 | 30 | 120 | 60 | 120 |
AAC/CELP фреймов на суперфрейм | 3/1 | 2/1 | 3/2 | 1/1 | 3/4 | 1/2 | 1/4 |
Длина суперфрейма (20 мс базовый фрейм), мс | 20 | 60 | 20 | 60 | 40 | 60 | 120 |
AAC/CELP фреймов на суперфрейм | 2/1 | 4/3 | 1/1 | 2/3 | 1/2 | 1/3 | 1/6 |
Длина суперфрейма (15 мс базовый фрейм), мс | 30 | 15 | 60 | 30 | 120 | 60 | 120 |
AAC/CELP фреймов на суперфрейм | 3/2 | 1/1 | 3/4 | 1/2 | 3/8 | 1/4 | 1/8 |
Длина суперфрейма (10 мс базовый фрейм), мс | 10 | 30 | 20 | 30 | 40 | 60 | 120 |
AAC/CELP фреймов на суперфрейм | 1/1 | 2/3 | 1/2 | 1/3 | 1/4 | 1/6 | 1/12 |
Частота дискретизации AAC, кГц | 88,2 | 44,1 | 22,05 |
Длина фрейма AAC, мс | 10,884 | 21,768 | 43,537 |
Длина суперфрейма (43,537 мс базовый фрейм), мс | 43,537 | 43,537 | 43,537 |
AAC/CELP фреймов на суперфрейм | 4/1 | 2/1 | 1/1 |
Длина суперфрейма (32,653 мс базовый фрейм), мс | 32,653 | 65,306 | 130,612 |
AAC/CELP фреймов на суперфрейм | 3/1 | 3/2 | 3/4 |
Длина суперфрейма (21,768 мс базовый фрейм), мс | 21,768 | 21,768 | 43,537 |
AAC/CELP фреймов на суперфрейм | 2/1 | 1/1 | 1/2 |
Длина суперфрейма (16,326 мс базовый фрейм), мс | 32,653 | 65,306 | 130,612 |
AAC/CELP фреймов на суперфрейм | 3/2 | 3/4 | 3/8 |
Длина суперфрейма (10,884 мс базовый фрейм), мс | 10,884 | 21,768 | 43,537 |
AAC/CELP фреймов на суперфрейм | 1/1 | 1/2 | 1/4 |
CELP-AAC-M | CELP моно уровень | плюс |
AAC моно основной уровень | плюс | |
От 0 до 7 моно уровней расширения AAC | ||
CELP-AAC-MC | CELP моно уровень | плюс |
AAC моно основной уровень | плюс | |
От 0 до 7 уровней расширения AAC | плюс | |
От 0 до 7 уровней расширения стерео AAC | общее количество уровней AAC <= 8 | |
CELP-AAC-S | CELP моно уровень | плюс |
Стерео AAC основной уровень | плюс | |
От 0 до 7 уровней расширения стерео AAC |
tns_aac_tvq_en [0] | tns_aac_tvq_en [1] | |
(tvq_mono_tns = =1) && (this_layer_stereo = =1) | 1 | 1 |
(tvq_mono_tns = =1) && (this_layer_stereo = =0) | 0 | X |
(tvq_mono_tns = = 0) | 1 | 1 |
(tvq_stereo_tns_left = = 1) && (tvq_stereo_tns_right = =1) | 0 | 0 |
(tvq_stereo_tns_left = =1) && (tvq_stereo_tns_right = =0) | 0 | 1 |
(tvq_stereo_tns_left = =0) && (tvq_stereo_tns_right = =1) | 1 | 0 |
(tvq_stereo_tns_left = =0) && (tvq_stereo_tns_right = =0) | 1 | 1 |
TVQ-AAC-MM | TwinVQ моно уровень | плюс |
AAC основной уровень моно | плюс | |
От 0 до 7 моно уровней расширения AAC | ||
TVQ-AAC-MMC | TwinVQ уровень моно | плюс |
AAC моно основной уровень | плюс | |
От 0 до 7 моно уровней расширения AAC | плюс | |
От 0 до 7 уровней расширения стерео AAC | (общее количество уровней AAC <= 8) | |
TVQ-AAC-MC | TwinVQ уровень моно | плюс |
Стерео AAC основной уровень | плюс | |
От 0 до 7 уровней расширения стерео AAC | плюс | |
TVQ-AAC-SS | Уровень стерео TwinVQ | плюс |
Стерео AAC основной уровень | плюс | |
От 0 до 7 уровней расширения стерео AAC | плюс |
Инструмент, используемый в уровне N | Инструмент, используемый в уровне N+1 | Вывод объединенного уровня |
Никакого инструмента | Никакого инструмента | Сумма уровня N и уровня N+1 |
Никакого инструмента | PNS | Недопустимая комбинация |
PNS | Никакого инструмента | См. 6.13.6 |
PNS | PNS | Уровень N+1 |
Инструмент, используемый в уровне N | Инструмент, используемый в уровне N+1 | Вывод объединенного уровня |
Никакого инструмента или MS | Никакого инструмента или MS | Сумма уровня N и уровня N+1 |
Никакого инструмента или MS | PNS | Недопустимая комбинация |
Никакого инструмента или MS | Интенсивность | Недопустимая комбинация |
Никакого инструмента или MS | PNS и интенсивность | Недопустимая комбинация |
PNS | Никакого инструмента | См. 6.13.6 |
PNS | MS | См. 6.13.6 |
PNS | Интенсивность | Уровень N+1 |
PNS | PNS | Уровень N+1 |
PNS | PNS и интенсивность | Уровень N+1 |
Интенсивность | Никакого инструмента или MS | Уровень N+1 |
Интенсивность | PNS | Недопустимая комбинация |
Интенсивность | Интенсивность | Сумма уровня N и уровня N+1, только канал M/L; Взять позиции из уровня N+1 |
Интенсивность | PNS и интенсивность | Недопустимая комбинация |
PNS и интенсивность | Никакого инструмента или MS | Уровень N+1 |
PNS и интенсивность | PNS | Недопустимая комбинация |
PNS и интенсивность | Интенсивность | Уровень N+1 |
PNS и интенсивность | PNS и интенсивность | Уровень N+1 |
Инструмент, используемый в уровне N | Инструмент, используемый в уровне N+1 | Вывод объединенного уровня |
Никакого инструмента или MS | Никакого инструмента | Сумма уровня N и уровня N+1 (FSS-Tools) |
Никакого инструмента или MS | MS | Сумма уровня N и уровня N+1 |
Никакого инструмента или MS | PNS | Недопустимая комбинация |
Никакого инструмента или MS | Интенсивность | Уровень N+1 |
Никакого инструмента или MS | PNS и интенсивность | Уровень N+1 |
PNS | Никакого инструмента | Уровень N+1 |
PNS | MS | Уровень N+1 |
PNS | Интенсивность | Уровень N+1 |
PNS | PNS | Уровень N+1 |
PNS | PNS и интенсивность | Уровень N+1 |
individual_channel_stream () | Содержит данные, необходимые, чтобы декодировать один канал. |
ics_info () | Содержит дополнительную информацию, необходимую, чтобы декодировать individual_channel_stream для элементов SCE и CPE. individual_channel_streams элемента channel_pair_element () могут совместно использовать один общий ics_info. |
ics_reserved_bit | Флаг зарезервирован для будущего использования. Должен быть равен '0'. |
window_sequence | Указывает последовательность окон как, определено в таблице 128. |
window_shape | 1-битовое поле, которое определяет, какое окно используется для правой части из этого окна анализа. |
max_sfb | Количество полос масштабного коэффициента, переданных на любую группу в ics_info (), aac_scalable_main_element () или aac_scalable_extension_element (). Для элементов TwinVQ max_sfb не передается непосредственно количество полос, но вычисляется в декодере из другой переданной информации как определено в 5.2.2.6.1. |
scale_factor_grouping | Битовое поле, которое содержит информацию о группировке коротких спектральных данных. |
scalefactor window band | Термин для полос масштабных коэффициентов в пределах окна, данный в таблицах 129 - 147. |
scalefactor band | Элемент для полосы масштабного коэффициента в пределах группы. В случае EIGHT_SHORT_SEQUENCE и группировки полоса масштабного коэффициента может содержать несколько полос окна масштабного коэффициента соответствующей частоты. Для всех других window_sequences полосы масштабного коэффициента и полосы окна масштабного коэффициента идентичны. |
g | Групповой индекс. |
win | Индекс окна в пределах группы. |
sfb | Индекс полосы масштабного коэффициента в пределах группы. |
swb | Индекс полосы окна масштабного коэффициента в пределах окна. |
bin | Индекс коэффициента. |
num_window_groups | Количество групп окон, которые совместно используют один набор масштабных коэффициентов. |
window_group_length [g] | Количество окон в каждой группе. |
bit_set (bit_field, bit_num) | Функция, которая возвращает значение количества битов bit_num поля bit_field (самый правый бит является битом 0). |
num_windows | Количество фактической последовательности окон. |
num_swb_long_window | Количество полос масштабного коэффициента для длинных окон. Это число должно быть выбрано в зависимости от частоты дискретизации. См. 5.4. |
num_swb_short_window | Количество полос окна масштабного коэффициента для коротких окон. Это число должно быть выбрано в зависимости от частоты дискретизации. См. 5.4. |
num_swb | Количество полос окна масштабного коэффициента в случае EIGHT_SHORT_SEQUENCE для коротких окон, в других случаях количество полос окна масштабного коэффициента для длинных окон. |
swb_offset_long_window [swb] | Таблица, содержащая индекс самого низкого спектрального коэффициента полосы масштабного коэффициента sfb для длинных окон. Эта таблица должна быть выбрана в зависимости от частоты дискретизации. |
swb_offset_short_window [swb] | Таблица, содержащая индекс самого низкого спектрального коэффициента полосы масштабного коэффициента sfb для коротких окон. Эта таблица должна быть выбрана в зависимости от частоты дискретизации. |
swb_offset [swb] | Таблица, содержащая индекс самого низкого спектрального коэффициента полосы масштабного коэффициента sfb для коротких окон в случае EIGHT_SHORT_SEQUENCE, в других случаях для длинных окон. |
sect_sfb_offset [g] [section] | Таблица, которая дает число стартовых коэффициентов для section_data () в пределах группы. Это смещение зависит от window_sequence и scale_factor_grouping. |
Категория | Полезная нагрузка | Обязательная | Ведет/может привести к одному экземпляру | Описание |
0 | Основная | Да | CPE /уровень стерео | Обычно используемая дополнительная информация |
1 | Основная | Да | ICS | Зависимая от канала дополнительная информация |
2 | Основная | Нет | ICS | Устойчивые к ошибкам данные масштабного коэффициента |
3 | Основная | Нет | ICS | Данные TNS |
4 | Основная | Да | ICS | Спектральные данные |
5 | Расширенная | Нет | EPL | Тип расширения / data_element_version |
6 | Расширенная | Нет | EPL | Данные DRC |
7 | Расширенная | Нет | EPL | Заполнение битами |
8 | расширенная | Нет | EPL | Данные ANC |
9 | Расширенная | Нет | EPL | Данные SBR |
Уровень иерархии | Устойчивый к ошибкам многоканальный синтаксис | Устойчивый к ошибкам масштабируемый синтаксис |
Фрейм/уровень | Основная полезная нагрузка, сопровождаемая полезной нагрузкой расширения | |
Основная полезная нагрузка | Порядок синтаксических элементов следует порядку, установленному в таблице 19 | Обычно используемая дополнительная информация, сопровождаемая зависимой от канала информацией |
Расширенная полезная нагрузка | Никаких правил относительно порядка нескольких EPLs не дается, вид полезной нагрузки расширения может быть идентифицирована extension_type | |
Синтаксический элемент в основной полезной нагрузке | Обычно используемая дополнительная информация, сопровождаемая зависимой от канала информацией | - |
Зависимая от канала информация | Левый канал, сопровождаемый правым каналом | |
Зависимая от канала информация/EPL | Структура зависимости согласно номерам категорий | |
tvq_scalable_main_element () | Элемент данных для декодирования базовых данных TwinVQ. |
tvq_scalable_extension_element () | Элемент данных для декодирования масштабируемых данных TwinVQ. |
vq_single_element () | Блок данных, содержащий один фрейм синтаксических элементов для элемента базового уровня TwinVQ и элемента уровня расширения TwinVQ. |
ppc_present | Указывает на активацию периодического пикового кодирования компонент. |
postprocess_present | Указывает на активацию постпроцессора в спектральной нормализации. |
bandlimit_present | Указывает на активацию управления полосой пропускания коэффициентов MDCT. |
fb_shift | Указывает расположение активной полосы частот в уровне расширения. |
index_blim_h | Указывает верхнюю границу для процесса управления полосой пропускания инструмента нормализации спектра. |
index_blim_l | Указывает нижнюю границу для процесса управления полосой пропускания инструмента нормализации спектра. |
index_shape0 | Указывает номер кодового вектора кодовой книги формы 1 и полярность кодового вектора для инструмента квантования чередующегося вектора. |
index_shape1 | Указывает номер кодового вектора кодовой книги формы 1 инструмента квантования чередующегося вектора. |
index_env | Указывает номер кодового вектора кодовой книги, огибающей Bark-scale инструмента нормализации спектра. |
index_fw_alf | Указывает переключатель прогноза кодирования огибающей Bark-scale инструмента нормализации спектра. |
index_gain | Указывает коэффициент усиления инструмента нормализации спектра. |
index_gain_sb | Указывает коэффициент усиления подблока инструмента нормализации спектра. |
index_lsp0 | Указывает переключатель прогноза MA LSP инструмента нормализации спектра. |
index_lsp1 | Указывает номер кодового вектора LSP VQ первой стадии в инструменте нормализации спектра. |
index_lsp2 | Указывает номер кодового вектора LSP VQ второй стадии в инструменте нормализации спектра. |
index_shape0_p | Указывает номер кодового вектора кодовой книги 0 кодирования периодического пикового компонентного в инструменте нормализации спектра. |
index_shape1_p | Указывает номер кодового вектора кодовой книги 1 кодирования периодического пикового компонентного в инструменте нормализации спектра. |
index_pit | Указывает основную частоту периодического пикового компонента в инструменте нормализации спектра. |
index_pgain | Указывает коэффициент усиления периодического пикового компонента в инструменте нормализации спектра. |
N_CH | число каналов, определенное системным уровнем; |
N_DIV | число субвекторных разделов для чередующегося векторного квантования. Вычисляется согласно состоянию декодера; |
N_SF | число подблоков группы фильтров в фрейме; |
FW_N_DIV | число разделов кодовой книги для квантования огибающей Bark-scale; |
LSP_SPLIT | число подвекторов для LSP VQ; |
N_DIV_P | число субвекторных разделов для кодирования периодического пикового компонента. |
N_SF(SHORT) = 8 |
N_SF(LONG) = 1 |
FW_N_DIV = 7 |
LSP_SPLIT = 3 |
N_DIV_P = 2*N_CH |
Наименование переменных | Наименование числа битов | lyr = 0 короткий | lyr = 0 длинный | lyr >= 1 короткий | lyr >= 1 длинный | Времена на фрейм |
fb_shift | - | 0 | 0 | 2 | 2 | N_CH |
index_blim h | - | 2/0 | 2/0 | 0 | 0 | N_CH |
index_blim l | - | 1/0 | 1/0 | 0 | 0 | N_CH |
index_env | FW_N_BIT | 6 | 0 | 6 | 0 | FW_N_DIV*N_CH |
index_fw_alf | - | 1 | 0 | 1 | 0 | N_CH |
index_gain | GAIN_BIT | 9 | 9 | 8 | 8 | N_CH |
index_gain_sb | SUB_GAIN_BIT | 0 | 4 | 0 | 4 | N_SF*N_CH |
index_lsp0 | LSP0_BIT | 1 | 1 | 1 | 1 | N_CH |
index_lsp1 | LSP1_BIT | 6 | 6 | 6 | 6 | N_CH |
index_lsp2 | LSP2_BIT | 4 | 4 | 4 | 4 | LSP_SPLIT*N_CH |
index_shape0_p | MAXBIT_P+1 | 7/0 | 0 | 0 | 0 | N_DIV_P |
index_shape1_p | MAXBIT_P+1 | 7/0 | 0 | 0 | 0 | N_DIV_P |
index_pit | BASF_IT | 8/0 | 0 | 0 | 0 | N_CH |
index_pgain | PGAIN_BIT | 7/0 | 0 | 0 | 0 | N_CH |
Масштабируемый уровень lyr Window_sequence | 0 длинный | 0 длинный | 0 короткий | 0 короткий | >= 1 длинный | >= 1 длинный | >= 1 короткий | >= 1 короткий |
N_CH | 1 | 2 | 1 | 2 | 1 | 2 | 1 | 2 |
WS_TBIT | 5 | 9 | 5 | 9 | 0 | 2 | 0 | 2 |
OPT_TBIT | 3 | 3 | 1 | 1 | 2 | 4 | 2 | 4 |
LSP_TBIT | 19 | 38 | 19 | 38 | 19 | 38 | 19 | 38 |
GAIN_TBIT | 9 | 18 | 41 | 82 | 8 | 16 | 40 | 80 |
FW_TBIT | 43 | 86 | 0 | 0 | 43 | 86 | 0 | 0 |
BAND_TBIT | 3/0 | 6/0 | 3/0 | 6/0 | 0 | 0 | 0 | 0 |
PIT_TBIT | 43/0 | 86/0 | 0 | 0 | 0 | 0 | 0 | 0 |
bsac_payload (lay) | последовательность элементов bsac_lstep_element()s. Синтаксический элемент полезной нагрузки, переданный по ES уровня layth. bsac_payload(lay) в основном состоит из потоков битов нескольких уровней layth, bsac_lstep_element () нескольких подфреймов. |
bsac_lstep_element (frm, lay) | синтаксический элемент для потока битов уровня большого шага layth подфрейма frmth. |
bsac_stream_byte [frm] [offset+i] | (offset+i)-ый байт, который извлекается из полезной нагрузки. После того как из всех полезных нагрузок, которые были переданы к получателю, извлекаются потоковые байты bsac, эти данные связываются и сохраняются в массиве bsac_stream_byte [frm] [], который является потоком битов подфрейма frmth. Затем мы продолжаем декодировать связанный поток bsac_stream_byte[frm][], используя синтаксис мелкоструктурной масштабируемости BSAC. |
data_available () | функция, которая возвращает "1" пока данные доступны, иначе "0". |
LayerStartByte [frm] [lay] | стартовая позиция уровня большого шага layth в байтах, которая располагается в потоке битов подфрейма frmth. Процесс вычисления этого значения См. в 5.2.6.1.2. |
LayerLength [frm] [lay] | длина уровня большого шага в байтах, который располагается в ES полезной нагрузки уровня layth и связан с потоком битов подфрейма frmth. Процесс вычисления этого значения См. в 5.2.6.1.2. |
LayerOffset [frm] [lay] | стартовая позиция уровня большого шага фрейма frmth в байтах, который располагается в полезной нагрузке ES уровня layth. Процесс вычисления этого значения См. в 5.2.6.1.2. |
frm | индекс фрейма, в котором сохраняются потоковые байты bsa.c |
lay | индекс уровня большого шага, в котором передаются точно отрегулированные аудиоданные. |
numOfSubFrame | количество подфреймов, которые группируются и передаются в суперфрейме, чтобы уменьшить передачу служебной информации. |
layer_length | средняя длина уровней большого шага в байтах, которые собираются в полезной нагрузке. |
numOfLayer | число уровней большого шага, на которые разделены мелкоструктурные аудиоданные. |
bsac_raw_data_block () | блок необработанных данных, который содержит кодированные аудиоданные, соответствующую информацию и другие данные. bsac_raw_data_block () в основном состоит из bsac_base_element () и нескольких bsac_layer_element (). Там существует модуль, который определяет, есть ли у потока битов BSAC расширенная часть. |
bsac_base_element () | синтаксический элемент потока битов базового уровня, содержащего кодированные аудиоданные, соответствующая информация и другие данные. |
frame_length | длина фрейма включая заголовки в байтах. |
bsac_header () | содержит общую информацию, используемую для BSAC. |
header_length | длина заголовков, включая frame_length, bsac_header () и general_header () в байтах. Фактическая длина равна (header_length+7) байтов. Однако, если header_length равно 0, это значит, что фактическая длина меньше или равна 7 байтам. Если header_length равно 15, это значит, что фактическая длина больше или равна (15+7) байтов и должна быть вычислена посредством декодирования заголовков. |
sba_mode | указывает, что используется схема сегментированного двоичного арифметического кодирования (SBA), если этот элемент равен 1. Иначе используется общая схема двоичного арифметического кодирования. |
top_layer | главный индекс уровня масштабируемости. |
base_snf_thr | порог значения, используемый для кодирования секционированных данных базового уровня. |
base_band | указывает максимальную линию спектра базового уровня. Если window_sequence является SHORT_WINDOW, 4*base_band является максимальной линией спектра. Иначе максимальной линией спектра является 32*base_band. |
max_scalefactor [ch] | максимальное значение масштабных коэффициентов. |
cband_si_type [ch] | дополнительная информации о типе полосы кодирования. Используя этот элемент, может быть установлено наибольшее значение cband_si's и арифметической модели для декодирования cband_si, как показано в таблице А.31. |
base_scf_model [ch] | арифметическая модель для декодирования масштабных коэффициентов в базовом уровне. |
enh_scf_model [ch] | арифметическая модель, используемая для декодирования масштабных коэффициентов в других уровнях расширения. |
max_sfb_si_len [ch] | максимальная длина, которая может использоваться на канал для того, чтобы кодировать дополнительную информацию о полосе масштабного коэффициента, включая масштабный коэффициент и соответствующую стерео информацию в пределах полосы масштабного коэффициента. Фактическая максимальная длина равна (max_sfb_si_len+5). Это значение используется для того, чтобы определить размер потока битов каждого уровня. |
general_header () | содержит данные заголовка для общего аудиокодирования. |
reserved_bit | бит зарезервирован для будущего использования. |
window_sequence | указывает последовательность окон. |
window_shape | однобитовое поле, которое определяет, какое окно используется для замыкающей части этого аналитического окна. |
max_sfb | число полос масштабного коэффициента, переданных на группу. |
scale_factor_grouping | битовое поле, которое содержит информацию о группировке коротких спектральных данных. |
pns_data_present | флаг, указывающий будет ли использоваться (1) или не будет (0) перцепционная шумовая замена. |
pns_start_sfb | полоса масштабного коэффициента, с которой стартует инструмент pcns. |
MS_mask_present | двухбитовое поле указывает, что маска стерео: - 00 независимая; - 01 однобитовая маска MS_used располагается в части дополнительной информации уровня sfb, (layer_sfb_si); - 10 все MS_used равны единице; - 11 двухбитовая маска stereo_info располагается в части дополнительной информации уровня sfb, layer_sfb_si ()). |
layer_cband_si () | содержит дополнительную информацию кодирования, необходимую для арифметического кодирования/декодирования секционированных данных в пределах полосы кодирования. |
layer_sfb_si () | содержит дополнительную информацию полосы масштабного коэффициента, такую как стерео, - pns и информацию масштабного коэффициента. |
bsac_layer_element () | синтаксический элемент потока битов уровня расширения, содержащий кодированные аудиоданные для временного периода 1024 (960) выборок, соответствующую информацию и другие данные. |
bsac_layer_spectra () | содержит арифметически кодированные аудиоданные квантованных спектральных коэффициентов, которые вновь добавляются к каждому уровню. См. 5.2.6.2.5 о новых спектральных коэффициентах. |
bsac_lower_spectra () | содержит арифметически кодированные аудиоданные квантованных спектральных коэффициентов, которые ниже, чем спектры, добавленные к каждому уровню. |
bsac_higher_spectra () | содержит арифметически кодированные аудиоданные квантованных спектральных коэффициентов, которые выше, чем спектры, добавленные к каждому уровню. |
bsac_spectral_data () | содержит арифметически кодированные аудиоданные квантованных спектральных коэффициентов. |
zero_code | 32-разрядные нулевые величины, чтобы завершить арифметическое декодирование для части стерео. |
sync_word | четырехбитовый код, который идентифицирует начало расширенной части. Битовая строка '1111'. |
bits_to_decode () | функция помощника; возвращает число битов, еще декодированных в текущем bsac_raw_data_block (). |
extension_type | четырехбитовый код, который идентифицирует тип расширения согласно таблице 99. |
Символ | Значение extension_type | Цель |
EXT_BSAC_CHANNEL | '1111' | Расширение канала BSAC |
EXT_BSAC_SBR_DATA | '0000' | Расширение SBR BSAC |
EXT_BSAC_SBR_DATA_CRC | '0001' | Расширение SBR за счет CRC |
EXT_BSAC_SAC_DATA | '0010' | Расширение окружения MPEG |
EXT_BSAC_CHANNEL_SBR | '1110' | Расширение канала BSAC за счет SBR |
EXT_BSAC_CHANNEL_SBR_CRC | '1101' | Расширение канала BSAC за счет SBR_CRC |
RESERVED | '0011' ~ '1100' | Зарезервировано |
extended_bsac_raw_data_block () | блок необработанных данных, который содержит кодированные аудиоданные, соответствующую информацию и другие данные для расширенной части. extended_bsac_raw_data_block () в основном состоит из extended_bsac_base_element() и нескольких bsac_layer_element(). |
extended_bsac_base_element () | синтаксический элемент потока битов базового уровня, содержащий кодированные аудиоданные, соответствующую информацию и другие данные для расширенной части BSAC. |
element_length | длина extended_bsac_raw_data_block () в байтах. Это используется для надлежащего арифметического декодирования. |
channel_configuration_index | трехбитовое поле, которые указывают конфигурацию канала аудиовыхода в расширенной части. Каждый индекс определяет число каналов, данных отображению канала в динамик. |
Индекс | Отображение канала в динамиках | Число каналов (nch) |
0 | Центральный фронтальный динамик | 1 |
1 | Левый, правый фронтальные динамики | 2 |
2 | Задние объемные динамики | 1 |
3 | Левый объемный, правый объемный задние динамики | 2 |
4 | Фронтальный динамик низкочастотных эффектов | 1 |
5 | Левый, прямо внешние фронтальные динамики | 2 |
6 - 7 | Зарезервировано | - |
reserved_bit | бит зарезервированный для будущего использования. |
extended_bsac_sbr_data () | синтаксический элемент, который содержит данные расширения SBR для ER BSAC. |
count | начальная длина extended_bsac_sbr_data() или extended_bsac_data(). |
esc_count | инкрементная длина extended_bsac_sbr_data () или extended_bsac_data (). |
bs_sbr_crc_bits | циклическая контрольная сумма избыточности для данных расширения SBR. Код CRC определяется генератором полинома G10(x) = x10 + x9 + x5 + x4 + x + 1 и начальное значение для вычисления CRC является нулем. |
bs_header_flag | указывает, существует ли заголовок SBR. |
sbr_header () | синтаксический элемент, который содержит заголовок SBR. См. таблицу 63 |
bsac_sbr_data () | синтаксический элемент, который содержит данные SBR для ER BSAC. |
bs_fill_bits | биты выравнивания байта. |
sbr_single_channel_element () | синтаксический элемент, который содержит данные для единственного элемента канала SBR. См. таблицу 65 |
sbr_channel_pair_element () | синтаксический элемент, который содержит данные для парного элемента канала SBR. См. таблицу 66 |
extended_bsac_data () | синтаксический элемент, содержащий полезную нагрузку, которая должна быть отброшена декодером. Это для дальнейших расширений. |
byte_payload | байт, который будет отброшен декодером. |
extended_bsac_sac_data () | элемент синтаксиса extended_bsac_sac_data () содержит дополнительную информацию пространственного аудиокодирования для декодирования MPEG Surround. |
bs_crc_flag | указывает, присутствует ли слово CRC. |
data_available () | функция, которая возвращается в "1" пока поток битов доступен, иначе "0". |
nch | элемент данных, который идентифицирует номер канала. |
Scalefactor window band | элемент для полос масштабного коэффициента в пределах окна. |
Scalefactor band | элемент для полосы масштабного коэффициента в пределах группы. В случае EIGHT_SHORT_SEQUENCE и группировки полоса масштабного коэффициента может содержать несколько полос окна масштабного коэффициента соответствующей частоты. Для всех других window_sequences scalefactor полосы масштабного коэффициента и полосы окна масштабного коэффициента идентичны. |
G | групповой индекс. |
win | индекс окна в пределах группы. |
sfb | индекс полосы масштабного коэффициента в пределах группы. |
swb | индекс полосы окна масштабного коэффициента в пределах окна. |
num_windows_groups | число групп окон, которые совместно используют один набор масштабных коэффициентов. См. 5.2.6.2.4. |
window_group_length [g] | число окон в каждой группе. См. 5.2.6.2.4. |
bit_set (bit_field, bit_num) | функция, которая возвращает значение номера бита bit_num для bit_field (самый правый бит является битом 0.) |
num_windows | число окон фактической последовательности окон. См. 5.2.6.2.4. |
num_swb_long_window | число полос масштабного коэффициента для длинных окон. Это число должно быть выбрано в зависимости от частоты дискретизации. |
Num_swb_short_window | число полос окна масштабного коэффициента для коротких окон. Это число должно быть выбрано в зависимости от частоты дискретизации. |
Num_swb | число полос окна масштабного коэффициента для коротких окон в случае EIGHT_SHORT_SEQUENCE, иначе число полос окна масштабного коэффициента для длинных окон. См. 5.2.6.2.4 |
swb_offset_long_window [swb] | таблица, содержащая индекс самого низкого спектрального коэффициента полосы масштабного коэффициента sfb для длинных окон. Эта таблица должна быть выбрана в зависимости от частоты дискретизации. |
Swb_offset_short_window [swb] | таблица, содержащая индекс самого низкого спектрального коэффициента полосы масштабного коэффициента sfb для коротких окон. Эта таблица должна быть выбрана в зависимости от частоты дискретизации. |
Swb_offset [g] [swb] | таблица, содержащая индекс самого низкого спектрального коэффициента полосы масштабного коэффициента sfb для коротких окон в случае EIGHT_SHORT_SEQUENCE, иначе для длинных окон. См. 5.2.6.2.4. |
layer_group [layer] | указывает групповой индекс спектральных данных, которые вновь будут добавлены в уровень масштабируемости. |
layer_start_sfb [layer] | указывает индекс самого низкого индекса полосы масштабного коэффициента, который будет вновь добавлен в уровень масштабируемости. |
layer_end_sfb [layer] | указывает самый высокий индекс полосы масштабного коэффициента, который будет вновь добавлен в уровень масштабируемости. |
layer_start_cband [layer] | указывает самый низкий индекс полосы кодирования, который будет вновь добавлен в уровень масштабируемости. |
layer_end_cband [layer] | указывает самый высокий индекс полосы кодирования, который будет вновь добавлен в уровень масштабируемости. |
layer_start_index [layer] | указывает индекс самого низкого спектрального компонента, который будет вновь добавлен в уровень масштабируемости. |
layer_end_index [layer] | указывает индекс самого высокого спектрального компонента, который будет вновь добавлен в уровень масштабируемости. |
start_index [g] | указывает индекс самого низкого спектрального компонента, который будет кодирован в группе g. |
end_index [g] | указывает индекс самого высокого спектрального компонента, который будет кодирован в группе g. |
layer_data_available () | функция, которая возвращает "1" пока доступен поток битов каждого уровня, иначе "0". Другими словами, эта функция указывает, доступен ли оставшийся поток битов каждого уровня. |
Terminal_layer [layer] | указывает, является ли уровень терминальным уровнем сегмента, который составлен из одного или более уровней масштабируемости. Если сегментированное двоичное арифметическое кодирование не активируется, все эти значения всегда устанавливаются в 0, за исключением значения верхнего слоя. Иначе эти значения определяются в 6.4.6.3. |


ИС МЕГАНОРМ: примечание. Нумерация пунктов дана в соответствии с официальным текстом документа. |
Категория | Элементы данных | Описание |
0 | frame_length, bsac_header() and general_header() | Обычно используемая дополнительная информация |
1 | bsac_layer_element(0) | Базовый уровень BSAC, кроме общей стороны |
2 | bsac_layer_element(1) - | Уровни 1-го квартернарного расширения |
3 | bsac_layer_element(top_layer/4+1) - | Уровни 2-го квартернарного расширения |
4 | bsac_layer_element(top_layer/2+1) ~ | Уровни 3-го квартернарного расширения |
5 | basc_layer_element(top_layer*3/4+1) ~ | Уровни 4-го квартернарного расширения |
pce_tag_present | Однобитовая индикация, указывающая, что тег элемента программы присутствует. |
pce_instance_tag | Поле тега, которое указывает, с какой программой связана информация о динамическом диапазоне. |
drc_tag_reserved_bits | Зарезервировано. |
excluded_chns_present | Один бит, указывающий, что исключенные каналы присутствуют. |
drc_bands_present | Один бит, указывающий, что многополосная информация DRC присутствует. |
drc_band_incr | Число полос DRC, содержащих информацию о DRC, больше чем 1. |
drc_interpolation_scheme | Указывает, какая используется схема интерполяции для данных DRC в домене SBR QMF согласно таблице 102. |
drc_interpolation_scheme | Значение |
0 | Интерполяция по умолчанию |
1 | Интерполяция с крутым наклоном в позиции 0 |
2 | Интерполяция с крутым наклоном в позиции 1 |
3 | Интерполяция с крутым наклоном в позиции 2 |
4 | Интерполяция с крутым наклоном в позиции 3 |
5 | Интерполяция с крутым наклоном в позиции 4 |
6 | Интерполяция с крутым наклоном в позиции 5 |
7 | Интерполяция с крутым наклоном в позиции 6 |
8 | Интерполяция с крутым наклоном в позиции 7 |
9 - 15 | Зарезервировано |
drc_band_top [i] | Указывает вершину i-ой полосы DRC в модулях 4 линий спектра. Если drc_band_top [i] =k, то индекс (w.r.t. ноль) самого высокого спектрального коэффициента, который находится в i-ой полосе DRC, будет = 4k+3. В случае EIGHT_SHORT_SEQUENCE window_sequence, индекс интерпретируется как указывающий связанный массив 8*128 (де-чередующийся) точек частоты, соответствующий 8 коротким преобразованиям. |
prog_ref_level_present | Однобитовая индикация, указывающая, что контрольный уровень присутствует. |
prog_ref_level | Контрольный уровень. Мера долгосрочного уровня аудио программы для всех объединенных каналов. |
prog_ref_level_reserved_bits | Зарезервировано. |
dyn_rng_sgn [i] | Информация о знаке управления динамическим диапазоном. Один бит, указывающий знак dyn_rng_ctl (0 если положительный, 1, если отрицательный). |
dyn_rng_ctl [i] | Информация о величине управления динамическим диапазоном. |
exclude_mask [i] | Булев массив, указывающий звуковые каналы программы, которые исключены из обработки DRC, используя эту информацию DRC. |
additional_excluded_chns [i] | Один бит, указывающий, что присутствуют дополнительные исключенные каналы. |

, чем единица, если имеется многополосная информация DRC.Поле | Биты | Шаги | Размер шага, дБ | Диапазон, дБ |
Prog_ref_level | 7 | 128 | 0,25 | 31,75 |
dyn_rng_sgn and dyn_rng_ctl | 1 и 7 | +/- 127 | 0,25 | +/- 31,75 |
или меньших, чем контрольный уровень программы, соответственно. Постоянный target_level описывает уровень на выходе, требующийся пользователю, выраженный в том же самом масштабе как prog_ref_level.
области, каждый независимо коммутируемый канал связи подвергается DRC и последующей фильтрации синтеза отдельно от своего целевого канала. Это позволяет независимо коммутируемому каналу связи иметь отдельную обработку DRC.
bs_reserved | Биты, зарезервированные для будущего использования, значение по умолчанию является нулем. |
sbr_extension_data () | Синтаксический элемент, который содержит данные расширения SBR. |
bs_sbr_crc_bits | Циклическая контрольная сумма избыточности для данных расширения SBR. Код CRC определяется полиномиальным генератором G10(x) = x10 + x9 + x5 + x4 + x + 1 и начальное значение для вычисления CRC равно нулю. |
bs_header_flag | Указывает, присутствует ли заголовок SBR. |
sbr_header() | Синтаксический элемент, который содержит заголовок SBR. |
sbr_data () | Синтаксический элемент, который содержит данные SBR. |
bs_fill_bits | Биты выравнивания байта. |
bs_amp_res | Определяет разрешение оценок огибающей согласно таблицы 104. |
bs_amp_res | Значение |
0 | 1,5 дБ |
1 | 3,0 дБ |
bs_start_freq | Входной параметр для функции, которая вычисляет начало таблицы задающей частоты. |
bs_stop_freq | Входной параметр для функции, которая вычисляет конец таблицы задающей частоты. |
bs_xover_band | Индекс для таблицы задающей частоты. |
bs_header_extra_1 | Указывает, присутствует ли дополнительная часть 1 заголовка. |
bs_header_extra_2 | Указывает, присутствует ли дополнительная часть 2 заголовка. |
bs_freq_scale | Входной параметр для функции, которая вычисляет таблицу задающей частоты, определяемый с помощью таблицы 105. |
bs_freq_scale | Значение |
0 | Линейный |
1 | 12 полос/октава |
2 (по умолчанию) | 10 полос/октава |
3 | 8 полос/октава |
bs_alter_scale | Входной параметр для функции, которая вычисляет таблицу задающей частоты, определяемый с помощью таблицы 106. |
bs_alter_scale | Значение для bs_freq_scale = 0 | Значение для bs_freq_scale > 0 |
0 | Никаких группировок каналов | Никаких изменений |
1 (по умолчанию) | Группы из 2 каналов | Сверхширокие полосы в самом высоком диапазоне |
bs_noise_bands | Входной параметр для функции, которая вычисляет таблицу полосы шумов, определяемый с помощью таблицы 107. |
bs_noise_bands | Значение |
0 | 1 полоса |
1 | 1 полоса/октава |
2 (по умолчанию) | 2 полосы/октавы |
3 | 3 полосы/октавы |
bs_limiter_bands | Входной параметр для функции, которая вычисляет таблицу полосы ограничителя, определяемый с помощью таблицы 108. |
bs_limiter_bands | Значение | Примечание |
0 | 1 полоса | Единственная полоса |
1 | 1,2 полосы/октава | Многополосный |
2 (по умолчанию) | 2,0 полосы/октава | Многополосный |
3 | 3,0 полосы/октава | Многополосный |
bs_limiter_gains | Определяет максимальное усиление ограничителей согласно таблицы 109. |
bs_limiter_gains | Значение |
0 | -3 дБ Максимальное усиление |
1 | 0 дБ Максимальное усиление |
2 значений по умолчанию | 3 дБ Максимальное усиление |
3 | Inf. дБ Максимальное усиление (то есть ограничитель отключен) |
bs_interpol_freq | Определяет, должна ли быть применена интерполяция частоты согласно таблицы 110. |
bs_interpol_freq | Значение |
0 | Выключено |
1 (по умолчанию) | Включено |
bs_smoothing_mode | Определяет, должно ли применяться сглаживание согласно таблицы 111. |
bs_smoothing_mode | Значение |
0 | Включено |
1 (по умолчанию) | Выключено |
sbr_single_channel_element () | Синтаксический элемент, который содержит данные для элемента SBR с единственным каналом. |
sbr_channel_pair_element () | Синтаксический элемент, который содержит данные для элемента SBR с парой каналов. |
sbr_channel_pair_base_element () | Синтаксический элемент, который содержит данные базового уровня для элемента SBR с парой каналов, в масштабируемой системе. |
sbr_channel_pair_enhance_element () | Синтаксический элемент, который содержит данные уровня расширения для элемента SBR с парой каналов, в масштабируемой системе. |
bs_data_extra | Указывает, присутствуют ли зарезервированные биты в части данных SBR. |
sbr_grid () | Синтаксический элемент, который содержит частотную сетку времени. |
sbr_dtdf () | Синтаксический элемент, который содержит информацию о том, как кодированы дельта данные об огибающей и шуме. |
sbr_invf () | Синтаксический элемент, который содержит инверсные данные фильтрации. |
sbr_envelope () | Синтаксический элемент, который содержит кодированные по Хаффману данные огибающей. |
sbr_noise () | Синтаксический элемент, который содержит кодированные по Хаффману данные о минимальном уровне шума. |
bs_add_harmonic_flag | Указывает, присутствует ли информация о синусоидальном кодировании. |
sbr_sinusoidal_coding () | Синтаксический элемент, который содержит данные синусоидального кодирования |
bs_extended_data | Указывает, присутствует ли расширенный элемент данных SBR. |
bs_extension_size | Определяет размер расширенного элемента данных SBR в байтах |
bs_esc_count | Дополнительно определяет размер расширенного элемента данных SBR в случаях, когда размер больше чем 14 байтов. |
bs_extension_id | Определяет ID расширенного элемента данных SBR, для будущего использования согласно таблицы 112. |
bs_extension_id | Значение |
0 | Зарезервировано |
1 | Зарезервировано |
2 | EXTENSION_ID_PS |
3 | Зарезервировано |
sbr_extension () | Синтаксический элемент для будущих расширений. |
bs_coupling | Указывает, связана ли информация стерео между двумя каналами или нет согласно таблицы 113. |
bs_coupling | Значение |
0 | Каналы не связываются |
1 | Каналы связываются |
bs_frame_class | Указывает на класс фрейма текущего фрейма SBR согласно таблицы 114. |
bs_frame_class | Значение |
0 | FIXFIX |
1 | FIXVAR |
2 | VARFIX |
3 | VARVAR |
tmp | Переменная помощника, используемая в sbr_grid () |
bs_num_env | Указывает на число огибающих SBR в текущем фрейме SBR |
bs_freq_res | Указывает разрешающую способность по частоте для каждого канала и огибающей SBR согласно таблицы 115. |
bs_freq_res [] | Значение |
0 | Низкочастотное разрешение |
1 | Высокочастотное разрешение |
bs_pointer | Указатель на определенную границу |
bs_var_bord_0 | Указывает позицию ведущей границы переменной для класса VARVAR и VARFIX |
bs_var_bord_1 | Указывает позицию задней границы переменной для класса VARVAR и FIXVAR |
bs_num_rel_0 | Указывает число относительных границ, начиная с bs_var_bord_0 |
bs_num_rel_1 | Указывает на число относительных границ, начиная с bs_var_bord_1 |
bs_rel_bord_0 | Указывает длины относительных границ, начиная с bs_var_bord_0 |
bs_rel_bord_1 | Указывает длины относительных границ, начиная с bs_var_bord_1 |
bs_df_env | Указывает направление дельта-кодирования для каждой огибающей SBR согласно таблицы 116. |
bs_df_env [] | Значение |
0 | Применить дельта-декодирование в частотном направлении для обозначенной полосы частот |
1 | Применить дельта-декодирование во временном направлении для обозначенной полосы частот |
bs_df_noise | Указывает направление дельта-кодирования для каждого минимального уровня шума согласно таблицы 117. |
bs_df_noise [] | Значение |
0 | Применить дельта-декодирование в частотном направлении для обозначенной полосы частот |
1 | Применить дельта-декодирование во временном направлении для обозначенной полосы частот |
bs_invf_mode | Указывает на уровень инверсной фильтрации для каждой полосы частот соответственно: |
bs_invf_mode [] | Значение |
0 | Инверсная фильтрация отсутствует |
1 | Низкоуровневая инверсная фильтрация |
2 | Промежуточная инверсная фильтрация |
3 | Строгая инверсная фильтрация |
bs_env_start_value_balance | Содержит первый масштабный коэффициент огибающей в случае связанной полезной нагрузки потока битов стерео. |
bs_data_env | Содержит необработанные масштабные коэффициенты огибающей для каждого канала, огибающей SBR и полосы. |
bs_env_start_value_level | Содержит первый масштабный коэффициент огибающей в случае полезной нагрузки потока битов несвязанного стерео или моно. |
sbr_huff_dec () | Декодер Хаффмана. |
bs_codeword | Кодовое слово Хаффмана. |
bs_noise_start_value_balance | Содержит первое значение минимального уровня шума в случае полезной нагрузки связанного потока битов стерео. |
bs_data_noise | Содержит необработанные данные минимального уровня шума для каждой огибающей и полосы. |
bs_noise_start_value_level | Содержит первое значение минимального уровня шума в случае полезной нагрузки потока битов несвязанного стерео или моно. |
bs_add_harmonic | Указывает, должно ли быть синусоидальное добавление к определенной полосе частот согласно таблице 119. |
bs_add_harmonic [] | Значение |
0 | Не добавлять синусоиду к указанной полосе частот |
1 | Добавить синусоиду к указанной полосе частот |
Описание | sbr_layer | sbr_extension_data() в extension_payload() |
Немасштабируемый базовый кодер AAC | SBR_NOT_SCALABLE | Да |
Первый уровень масштабируемого базового кодера (моно) AAC | SBR_MONO_BASE | Да |
Первый уровень AAC стерео в конфигурации масштабируемого базового кодера AAC моно/стерео | SBR_STEREO_ENHANCE | Да |
Первый уровень масштабируемого базового кодера AAC (стерео) | SBR_STEREO_BASE | Да |
Все другие уровни масштабируемого базового кодера AAC | Нет |
extension_type | Четырехбитовое поле, указывающее тип контента элемента заполнения. См. таблицу 121. |
fill_nibble | Четырехбитовое поле для заливки, должно быть установлено в '0000'. |
fill_byte | Байт, который будет отброшен декодером, должен быть установлен в '10100101' (для гарантии того, что самосинхронизирующиеся потоки данных, такие как в радио-модемах, могут выполнять надежное восстановление тактового сигнала). |
data_element_version | Четырехбитовое поле, указывающее версию элемента данных. См. таблицу 122. |
dataElementLengthPart | Поле, указывающее длину элемента данных полезной нагрузки расширения. Значение 255 используется в качестве значения escape (переход) и указывает, что следует, еще одно значение dataElementLengthPart. Полная длина передаваемого элемента данных вычисляется суммированием частичных значений. |
data_element_byte | Переменная, указывающая частичные значения 'элемента данных' полезной нагрузки расширения с типом 'ANC_DATA' в байтах |
other_bits | Биты, которые будут отброшены декодером. |
align | Переменная помощника, указывающая количество битов, которые уже обработаны, чтобы выполнить требования выравнивания байта в полезной нагрузке расширения. |
loopCounter | Переменная помощника, указывающая длину переменной dataElementLength в байтах. |
dataElementLength | Переменная помощника, указывающая длину элемента данных полезной нагрузки расширения. |
Символ | Значение extension_type | Назначение |
EXT_FILL | '0000' | Заполнитель полезной нагрузки потока битов |
EXT_FILL_DATA | '0001' | Данные полезной нагрузки потока битов как заполнитель |
EXT_DATA_ELEMENT | '0010' | Элемент данных |
EXT_DYNAMIC_RANGE | '1011' | Управление динамическим диапазоном |
EXT_SAC_DATA | '1100' | MPEG Surround |
EXT_SBR_DATA | '1101' | Расширение SBR |
EXT_SBR_DATA_CRC | '1110' | Расширение SBR с CRC |
- | Все другие значения | Зарезервировано. Эти значения могут быть использованы для дальнейшего расширения синтаксиса совместимым способом. |
Примечание - К полезной нагрузке потока битов должны быть добавлены полезные нагрузки расширения типа EXT_FILL или EXT_FILL_DATA, если суммарное количество битов для всех аудиоданных вместе со всеми дополнительными данными меньше, чем минимально разрешенное количество битов в этом фрейме, необходимое для достижения целевой скорости передачи. Полезные нагрузки расширения избегают при нормальных условиях, и свободные биты используются, чтобы заполнить разрядный резервуар. Полезные нагрузки расширения записываются только если разрядный резервуар полон. | ||
Символ | Значение data_element_version | Назначение |
ANC DATA | '0000' | Вспомогательный элемент данных |
- | Все другие значения | Зарезервировано |
ИС МЕГАНОРМ: примечание. Нумерация пунктов дана в соответствии с официальным текстом документа. |
Рабочий режим | Полезная нагрузка расширения |
BSAC моно/стерео | Недоступна |
BSAC многоканальный | Многоканальная полезная нагрузка расширения BSAC |
BSAC моно/стерео с SBR | Полезная нагрузка BSAC SBR |
BSAC многоканальный с SBR | Многоканальная полезная нагрузка расширения BSAC и полезная нагрузка BSAC SBR |
BSAC с MPEG Surround | Полезная нагрузка MPEG Surround |
.
.ИС МЕГАНОРМ: примечание. Нумерация таблиц дана в соответствии с официальным текстом документа. |
Частоты дискретизации | Максимальная скорость передачи/NCC |
48 кГц | 288 Кбит/с |
44,1 кГц | 264,6 Кбит/с |
32 кГц | 192 Кбит/с |
Окно | num_swb | Коэффициент | Выглядит как |
LONG_WINDOW | 49 | 1024/960 | ![]() |
SHORT_WINDOW | 14 | 128/120 | ![]() |
LONG_START_WINDOW | 49 | 1024/960 | ![]() |
LONG_STOP_WINDOW | 49 | 1024/960 | ![]() |
Значение | Window_sequence | Num_windows | Выглядит как |
1 | ONLY_LONG_SEQUENCE=LONG_WINDOW | 1 | ![]() |
2 | LONG_START_SEQUENCE=LONG_START_WINDOW | 1 | ![]() |
3 | EIGHT_SHORT_SEQUENCE=8 * SHORT_WINDOW | 8 | ![]() |
4 | LONG_STOP_SEQUENCE=LONG_STOP_WINDOW | 1 | ![]() |
Номер окна swb | Полосы масштабного коэффициента swb_offset_short_window |
0 | 0 |
1 | 4 |
2 | 8 |
3 | 12 |
4 | 16 |
5 | 20 |
6 | 28 |
7 | 36 |
8 | 44 |
9 | 56 |
10 | 68 |
11 | 80 |
12 | 96 |
13 | 112 |
128 (120) |
Номер окна swb | Полосы масштабного коэффициента swb_offset_long_window |
0 | 0 |
1 | 4 |
2 | 8 |
3 | 12 |
4 | 16 |
5 | 20 |
6 | 24 |
7 | 28 |
8 | 32 |
9 | 36 |
10 | 40 |
11 | 48 |
12 | 56 |
13 | 64 |
14 | 72 |
15 | 80 |
16 | 88 |
17 | 96 |
18 | 108 |
19 | 120 |
20 | 132 |
21 | 144 |
22 | 160 |
23 | 176 |
24 | 196 |
25 | 216 |
26 | 240 |
27 | 264 |
28 | 292 |
29 | 320 |
30 | 352 |
31 | 384 |
32 | 416 |
33 | 448 |
34 | 480 |
35 | 512 |
36 | 544 |
37 | 576 |
38 | 608 |
39 | 640 |
40 | 672 |
41 | 704 |
42 | 736 |
43 | 768 |
44 | 800 |
45 | 832 |
46 | 864 |
47 | 896 |
48 | 928 |
1024 (960) |
Номер окна swb | Полосы масштабного коэффициента swb_offset_long_window |
0 | 0 |
1 | 4 |
2 | 8 |
3 | 12 |
4 | 16 |
5 | 20 |
6 | 24 |
7 | 28 |
8 | 32 |
9 | 36 |
10 | 40 |
11 | 48 |
12 | 56 |
13 | 64 |
14 | 72 |
15 | 80 |
16 | 88 |
17 | 96 |
18 | 108 |
19 | 120 |
20 | 132 |
21 | 144 |
22 | 160 |
23 | 176 |
24 | 196 |
25 | 216 |
26 | 240 |
27 | 264 |
28 | 292 |
29 | 320 |
30 | 352 |
31 | 384 |
32 | 416 |
33 | 448 |
34 | 480 |
35 | 512 |
36 | 544 |
37 | 576 |
38 | 608 |
39 | 640 |
40 | 672 |
41 | 704 |
42 | 736 |
43 | 768 |
44 | 800 |
45 | 832 |
46 | 864 |
47 | 896 |
48 | 928 |
49 | 960 |
50 | 992 (-) |
1024 (-) |
Номер окна swb | Полосы масштабного коэффициента swb_offset_long_window |
0 | 0 |
1 | 12 |
2 | 24 |
3 | 36 |
4 | 48 |
5 | 60 |
6 | 72 |
7 | 84 |
8 | 96 |
9 | 108 |
10 | 120 |
11 | 132 |
12 | 144 |
13 | 156 |
14 | 172 |
15 | 188 |
16 | 204 |
17 | 220 |
18 | 236 |
19 | 252 |
20 | 268 |
21 | 288 |
22 | 308 |
23 | 328 |
24 | 348 |
25 | 372 |
26 | 396 |
27 | 420 |
28 | 448 |
29 | 476 |
30 | 508 |
31 | 544 |
32 | 580 |
33 | 620 |
34 | 664 |
35 | 712 |
36 | 764 |
37 | 820 |
38 | 880 |
39 | 944 |
1024 (960) |
Номер окна swb | Полосы масштабного коэффициента swb_offset_short_window |
0 | 0 |
1 | 4 |
2 | 8 |
3 | 12 |
4 | 16 |
5 | 20 |
6 | 24 |
7 | 28 |
8 | 36 |
9 | 44 |
10 | 52 |
11 | 60 |
12 | 72 |
13 | 88 |
14 | 108 |
128 (120) |
Номер окна swb | Полосы масштабного коэффициента swb_offset_short_window |
0 | 0 |
1 | 4 |
2 | 8 |
3 | 12 |
4 | 16 |
5 | 20 |
6 | 24 |
7 | 28 |
8 | 36 |
9 | 40 |
10 | 48 |
11 | 60 |
12 | 72 |
13 | 88 |
14 | 108 |
128 (120) |
Номер окна swb | Полосы масштабного коэффициента swb_offset_long_window |
0 | 0 |
1 | 8 |
2 | 16 |
3 | 24 |
4 | 32 |
5 | 40 |
6 | 48 |
7 | 56 |
8 | 64 |
9 | 72 |
10 | 80 |
11 | 88 |
12 | 100 |
13 | 112 |
14 | 124 |
15 | 136 |
16 | 148 |
17 | 160 |
18 | 172 |
19 | 184 |
20 | 196 |
21 | 212 |
22 | 228 |
23 | 244 |
24 | 260 |
25 | 280 |
26 | 300 |
27 | 320 |
28 | 344 |
29 | 368 |
30 | 396 |
31 | 424 |
32 | 456 |
33 | 492 |
34 | 532 |
35 | 572 |
36 | 616 |
37 | 664 |
38 | 716 |
39 | 772 |
40 | 832 |
41 | 896 |
42 | 960 |
1024 (-) |
Номер окна swb | Полосы масштабного коэффициента swb_offset_long_window |
0 | 0 |
1 | 4 |
2 | 8 |
3 | 12 |
4 | 16 |
5 | 20 |
6 | 24 |
7 | 28 |
8 | 32 |
9 | 36 |
10 | 40 |
11 | 44 |
12 | 52 |
13 | 60 |
14 | 68 |
15 | 76 |
16 | 84 |
17 | 92 |
18 | 100 |
19 | 108 |
20 | 116 |
21 | 124 |
22 | 136 |
23 | 148 |
24 | 160 |
25 | 172 |
26 | 188 |
27 | 204 |
28 | 220 |
29 | 240 |
30 | 260 |
31 | 284 |
32 | 308 |
33 | 336 |
34 | 364 |
35 | 396 |
36 | 432 |
37 | 468 |
38 | 508 |
39 | 552 |
40 | 600 |
41 | 652 |
42 | 704 |
43 | 768 |
44 | 832 |
45 | 896 |
46 | 960 |
1024 (-) |
Номер окна swb | Полосы масштабного коэффициента swb_offset_short_window |
0 | 0 |
1 | 4 |
2 | 8 |
3 | 12 |
4 | 16 |
5 | 20 |
6 | 24 |
7 | 28 |
8 | 36 |
9 | 44 |
10 | 52 |
11 | 64 |
12 | 76 |
13 | 92 |
14 | 108 |
128 (120) |
Номер окна swb | Полосы масштабного коэффициента swb_offset_short_window |
0 | 0 |
1 | 4 |
2 | 8 |
3 | 12 |
4 | 16 |
5 | 20 |
6 | 24 |
7 | 32 |
8 | 40 |
9 | 48 |
10 | 64 |
11 | 92 |
128 (120) |
Номер окна swb | Полосы масштабного коэффициента swb_offset_long_window |
0 | 0 |
1 | 4 |
2 | 8 |
3 | 12 |
4 | 16 |
5 | 20 |
6 | 24 |
7 | 28 |
8 | 32 |
9 | 36 |
10 | 40 |
11 | 44 |
12 | 48 |
13 | 52 |
14 | 56 |
15 | 64 |
16 | 72 |
17 | 80 |
18 | 88 |
19 | 100 |
20 | 112 |
21 | 124 |
22 | 140 |
23 | 156 |
24 | 172 |
25 | 192 |
26 | 216 |
27 | 240 |
28 | 268 |
29 | 304 |
30 | 344 |
31 | 384 |
32 | 424 |
33 | 464 |
34 | 504 |
35 | 544 |
36 | 584 |
37 | 624 |
38 | 664 |
39 | 704 |
40 | 744 |
41 | 784 |
42 | 824 |
43 | 864 |
44 | 904 |
45 | 944 |
46 | 984 (960) |
1024 (-) |
Номер окна swb | Полосы масштабного коэффициента swb_offset_long_window |
0 | 0 |
1 | 4 |
2 | 8 |
3 | 12 |
4 | 16 |
5 | 20 |
6 | 24 |
7 | 28 |
8 | 32 |
9 | 36 |
10 | 40 |
11 | 44 |
12 | 48 |
13 | 52 |
14 | 56 |
15 | 64 |
16 | 72 |
17 | 80 |
18 | 88 |
19 | 96 |
20 | 108 |
21 | 120 |
22 | 132 |
23 | 144 |
24 | 156 |
25 | 172 |
26 | 188 |
27 | 212 |
28 | 240 |
29 | 276 |
30 | 320 |
31 | 384 |
32 | 448 |
33 | 512 |
34 | 576 |
35 | 640 |
36 | 704 |
37 | 768 |
38 | 832 |
39 | 896 |
40 | 960 |
1024 (-) |
Номер окна swb | Полосы масштабного коэффициента swb_offset_short_window |
0 | 0 |
1 | 4 |
2 | 8 |
3 | 12 |
4 | 16 |
5 | 20 |
6 | 24 |
7 | 32 |
8 | 40 |
9 | 48 |
10 | 64 |
11 | 92 |
128 (120) |
Номер окна swb | Полосы масштабного коэффициента swb_offset_long_window |
0 | 0 |
1 | 4 |
2 | 8 |
3 | 12 |
4 | 16 |
5 | 20 |
6 | 24 |
7 | 28 |
8 | 32 |
9 | 36 |
10 | 40 |
11 | 44 |
12 | 48 |
13 | 52 |
14 | 56 |
15 | 64 |
16 | 72 |
17 | 80 |
18 | 88 |
19 | 96 |
20 | 108 |
21 | 120 |
22 | 132 |
23 | 144 |
24 | 156 |
25 | 172 |
26 | 188 |
27 | 212 |
28 | 240 |
29 | 272 |
30 | 304 |
31 | 336 |
32 | 368 |
33 | 400 |
34 | 432 |
480 |
Номер окна swb | Полосы масштабного коэффициента swb_offset_long_window |
0 | 0 |
1 | 4 |
2 | 8 |
3 | 12 |
4 | 16 |
5 | 20 |
6 | 24 |
7 | 28 |
8 | 32 |
9 | 36 |
10 | 40 |
11 | 44 |
12 | 48 |
13 | 52 |
14 | 56 |
15 | 60 |
16 | 68 |
17 | 76 |
18 | 84 |
19 | 92 |
20 | 100 |
21 | 112 |
22 | 124 |
23 | 136 |
24 | 148 |
25 | 164 |
26 | 184 |
27 | 208 |
28 | 236 |
29 | 268 |
30 | 300 |
31 | 332 |
32 | 364 |
33 | 396 |
34 | 428 |
35 | 460 |
512 |
Номер окна swb | Полосы масштабного коэффициента swb_offset_long_window |
0 | 0 |
1 | 4 |
2 | 8 |
3 | 12 |
4 | 16 |
5 | 20 |
6 | 24 |
7 | 28 |
8 | 32 |
9 | 36 |
10 | 40 |
11 | 44 |
12 | 48 |
13 | 52 |
14 | 56 |
15 | 60 |
16 | 64 |
17 | 72 |
18 | 80 |
19 | 88 |
20 | 96 |
21 | 104 |
22 | 112 |
23 | 124 |
24 | 136 |
25 | 148 |
26 | 164 |
27 | 180 |
28 | 200 |
29 | 224 |
30 | 256 |
31 | 288 |
32 | 320 |
33 | 352 |
34 | 384 |
35 | 416 |
36 | 448 |
480 |
Номер окна swb | Полосы масштабного коэффициента swb_offset_long_window |
0 | 0 |
1 | 4 |
2 | 8 |
3 | 12 |
4 | 16 |
5 | 20 |
6 | 24 |
7 | 28 |
8 | 32 |
9 | 36 |
10 | 40 |
11 | 44 |
12 | 48 |
13 | 52 |
14 | 56 |
15 | 60 |
16 | 64 |
17 | 72 |
18 | 80 |
19 | 88 |
20 | 96 |
21 | 104 |
22 | 112 |
23 | 124 |
24 | 136 |
25 | 148 |
26 | 164 |
27 | 180 |
28 | 200 |
29 | 224 |
30 | 256 |
31 | 288 |
32 | 320 |
33 | 352 |
34 | 384 |
35 | 416 |
36 | 448 |
480 |
Номер окна swb | Полосы масштабного коэффициента swb_offset_long_window |
0 | 0 |
1 | 4 |
2 | 8 |
3 | 12 |
4 | 16 |
5 | 20 |
6 | 24 |
7 | 28 |
8 | 32 |
9 | 36 |
10 | 40 |
11 | 44 |
12 | 52 |
13 | 60 |
14 | 68 |
15 | 80 |
16 | 92 |
17 | 104 |
18 | 120 |
19 | 140 |
20 | 164 |
21 | 192 |
22 | 224 |
23 | 256 |
24 | 288 |
25 | 320 |
26 | 352 |
27 | 384 |
28 | 416 |
29 | 448 |
480 |
Номер окна swb | Полосы масштабного коэффициента swb_offset_long_window |
0 | 0 |
1 | 4 |
2 | 8 |
3 | 12 |
4 | 16 |
5 | 20 |
6 | 24 |
7 | 28 |
8 | 32 |
9 | 36 |
10 | 40 |
11 | 44 |
12 | 52 |
13 | 60 |
14 | 68 |
15 | 80 |
16 | 92 |
17 | 104 |
18 | 120 |
19 | 140 |
20 | 164 |
21 | 192 |
22 | 224 |
23 | 256 |
24 | 288 |
25 | 320 |
26 | 352 |
27 | 384 |
28 | 416 |
29 | 448 |
30 | 480 |
512 |
SCE/LFE/mono layer | CPE, common_window= =0 | CPE, common_window= =1/слой стерео | Data_element | Функция |
1 | - | 0 | max_sfb | aac_scalable_extension_header() |
- | - | 0 | ms_mask_present | aac_scalable_extension_header() |
1 | - | 1 | tns_data_present | aac_scalable_extension_header() |
1 | - | 0 | ics reserved bit | aac_scalable_main_header() |
1 | - | 1 | ltp_data_present | aac_scalable_main_header() |
1 | - | 0 | max sfb | aac_scalable_main_header() |
- | - | 0 | ms_mask_present | aac_scalable_main_header() |
1 | - | 0 | scale_factor_grouping | aac_scalable_main_header() |
- | - | 0 | tns_channel_mono_layer | aac_scalable_main_header() |
1 | - | 1 | tns_data_present | aac_scalable_main_header() |
1 | - | 0 | window_sequence | aac_scalable_main_header() |
1 | - | 0 | window_shape | aac_scalable_main_header() |
- | 0 | 0 | common window | channel_pair_element() |
- | 0 | 0 | element_instance_tag | channel_pair_element() |
- | 0 | 0 | ms_mask_present | channel_pair_element() |
- | 0 | 0 | ms used | channel_pair_element() |
1 | 1 | 1 | diff control | diff_control_data() |
1 | 1 | 1 | diff control lr | diff_control_data_lr() |
1 | 1 | 0 | ics reserved bit | ics_info() |
1 | 1 | 1 | ltp_data_present | ics_info() |
1 | 1 | 0 | max sfb | ics_info() |
1 | 1 | 0 | predictor_data_present | ics_info() |
1 | 1 | 0 | scale_factor_grouping | ics_info() |
1 | 1 | 0 | window_sequence | ics_info() |
1 | 1 | 0 | window_shape | ics_info() |
1 | 1 | 1 | gain_control_data_present | individual_channel_stream() |
1 | 1 | 1 | global_gain | individual_channel_stream() |
1 | 1 | 1 | length_of_longest_codeword | individual_channel_stream() |
1 | 1 | 1 | length_of_reordered_spectral_data | individual_channel_stream() |
1 | 1 | 1 | pulse_data_present | individual_channel_stream() |
1 | 1 | 1 | tns_data_present | individual_channel_stream() |
1 | - | - | element_instance_tag | lfe_channel_element() |
1 | 1 | 1 | ltp_coef | ltp_data() |
1 | 1 | 1 | ltp_lag | ltp_data() |
1 | 1 | 1 | ltp_lag_update | ltp_data() |
1 | 1 | 1 | ltp_long_used | ltp_data() |
- | - | 0 | ms used | ms_data() |
1 | 1 | 1 | number_pulse | pulse_data() |
1 | 1 | 1 | pulse_amp | pulse_data() |
1 | 1 | 1 | pulse_offset | pulse_data() |
1 | 1 | 1 | pulse_start_sfb | pulse_data() |
4 | 4 | 4 | reordered_spectral_data | reordered_spectral_data() |
1 | 1 | 1 | dpcm_noise_last_position | scale_factor_data() |
1 | 1 | 1 | dpcm_noise_nrg | scale_factor_data() |
1 | 1 | 1 | hcod sf | scale_factor_data() |
1 | 1 | 1 | length_of_rvlc_escapes | scale_factor_data() |
1 | 1 | 1 | length_of_rvlc_sf | scale_factor_data() |
1 | 1 | 1 | rev_global_gain | scale_factor_data() |
2 | 2 | 2 | rvlc cod sf | scale_factor_data() |
2 | 2 | 2 | rvlc esc sf | scale_factor_data() |
1 | 1 | 1 | sf concealment | scale_factor_data() |
1 | 1 | 1 | sf_escapes_present | scale_factor_data() |
1 | 1 | 1 | sect cb | section_data() |
1 | 1 | 1 | sect len incr | section_data() |
1 | - | - | element_instance_tag | single_channel_element() |
4 | 4 | 4 | hcod | spectral_data() |
4 | 4 | 4 | hcod_esc_y | spectral_data() |
4 | 4 | 4 | hcod esc z | spectral_data() |
4 | 4 | 4 | pair_sign_bits | spectral_data() |
4 | 4 | 4 | quad_sign_bits | spectral_data() |
3 | 3 | 3 | coef | tns_data() |
3 | 3 | 3 | coef_compress | tns_data() |
3 | 3 | 3 | coef res | tns_data() |
3 | 3 | 3 | direction | tns_data() |
3 | 3 | 3 | length | tns_data() |
3 | 3 | 3 | n filt | tns_data() |
3 | 3 | 3 | order | tns_data() |
extension_payload | Полезная нагрузка sbr с малой задержкой | data_element | Функция |
6 | - | drc_band_top | dynamic_range_info() |
6 | - | drc bands incr | dynamic_range_info() |
6 | - | drc_bands_present | dynamic_range_info() |
6 | - | drc bands reserved bits | dynamic_range_info() |
6 | - | drc_tag_reserved_bits | dynamic_range_info() |
6 | - | dyn_rng_ct | dynamic_range_info() |
6 | - | dyn_rng_sgn | dynamic_range_info() |
6 | - | excluded_chns_present | dynamic_range_info() |
6 | - | pce_instance_tag | dynamic_range_info() |
6 | - | pce_tag_present | dynamic_range_info() |
6 | - | prog_ref_level | dynamic_range_info() |
6 | - | prog_ref_level_present | dynamic_range_info() |
6 | - | prog_ref_level_reserved_bits | dynamic_range_info() |
6 | - | additional excluded chns | excluded_channels() |
6 | - | exclude mask | excluded_channels() |
5 | - | extension_type | extension_payload() |
5 | - | data element version | extension_payload() |
7 | - | fill_byte | extension_payload() |
7 | - | fill nibble | extension_payload() |
7 | - | other bits | extension_payload() |
8 | - | dataElementLengthPart | extension_payload() |
8 | - | data_element_byte | extension_payload() |
9 | - | bs sbr crc bits | sbr_extension_data() |
9 | - | bs_header_flag | sbr_extension_data() |
9 | - | bs fill bits | sbr_extension_data() |
9 | 9 | bs_amp_res | sbr_header() |
9 | 9 | bs_start_freq | sbr_header() |
9 | 9 | bs_stop_freq | sbr_header() |
9 | 9 | bs xover band | sbr_header() |
9 | 9 | bs reserved | sbr_header() |
9 | 9 | bs header extra 1 | sbr_header() |
9 | 9 | bs header extra 2 | sbr_header() |
9 | 9 | bs_freq_scale | sbr_header() |
9 | 9 | bs alter scale | sbr_header() |
9 | 9 | bs noise bands | sbr_header() |
9 | 9 | bs limiter bands | sbr_header() |
9 | 9 | bs_limiter_gains | sbr_header() |
9 | 9 | bs_interpol_freq | sbr_header() |
9 | 9 | bs_smoothing_mode | sbr_header() |
9 | 9 | bs data extra | sbr_single_channel_element() |
9 | 9 | bs reserved | sbr_single_channel_element() |
9 | 10 | bs_add_harmonic_flag | sbr_single_channel_element() |
9 | 10 | bs extended data | sbr_single_channel_element() |
9 | 10 | bs extension size | sbr_single_channel_element() |
9 | 10 | bs esc count | sbr_single_channel_element() |
9 | 10 | bs extension id | sbr_single_channel_element() |
9 | 9 | bs data extra | sbr_channel_pair_element() |
9 | 9 | bs reserved | sbr_channel_pair_element() |
9 | 9 | bs_coupling | sbr_channel_pair_element() |
9 | 10 | bs_add_harmonic_flag | sbr_channel_pair_element() |
9 | 10 | bs extended data | sbr_channel_pair_element() |
9 | 10 | bs extension size | sbr_channel_pair_element() |
9 | 10 | bs esc count | sbr_channel_pair_element() |
9 | 10 | bs extension id | sbr_channel_pair_element() |
9 | - | bs frame class | sbr_grid() |
9 | - | tmp | sbr_grid() |
9 | - | bs_freq_res | sbr_grid() |
9 | - | bs_pointer | sbr_grid() |
9 | - | bs var bord 0 | sbr_grid() |
9 | - | bs var bord 1 | sbr_grid() |
9 | - | bs num rel 0 | sbr_grid() |
9 | - | bs num rel 1 | sbr_grid() |
9 | 9 | bs df env | sbr_dtdf() |
9 | 9 | bs df noise | sbr_dtdf() |
9 | 10 | bs invf mode | sbr_invf() |
9 | 10 | bs env start value balance | sbr_envelope() |
9 | 10 | bs env start value level | sbr_envelope() |
9 | 10 | bs codeword | sbr_envelope() |
9 | 10 | bs noise start value balance | sbr_noise() |
9 | 10 | bs noise start value level | sbr_noise() |
9 | 10 | bs codeword | sbr_noise() |
9 | 10 | bs add harmonic | sbr_sinusoidal_coding() |
- | 9 | bs frame class | sbr_ld_grid() |
- | 9 | tmp | sbr_ld_grid() |
- | 9 | bs_freq_res | sbr_ld_grid() |
- | 9 | bs_transient_position | sbr_ld_grid() |
- | 9 | bs sbr crc bits | low_delay_sbr_data() |
- | 9 | bs_header_flag | low_delay_sbr_data() |
x_quant [g] [win] [sfb] [bin] | Квантованный спектральный коэффициент для группы g, окна win, полосы масштабного коэффициента sfb, коэффициента bin. |
x_invquant [g] [win] [sfb] [bin] | Спектральный коэффициент для группы g, окна win, полосы масштабного коэффициента sfb, коэффициента bin после инверсного квантования. |

global_gain | 8-разрядное целочисленное значение без знака, представляющее значение первого масштабного коэффициента. Это также стартовое значение для следующих дифференциально кодированных масштабных коэффициентов. |
scale_ factor_data () | Часть полезной нагрузки потока битов, которая содержит дифференциально кодированные масштабные коэффициенты |
hcod_sf [] | Кодовая комбинация Хаффмана из таблицы кодов Хаффмана, используемой для кодирования масштабных коэффициентов. |
dpcm_sf [g] [sfb] | Дифференциально кодированный масштабный коэффициент группы g, полоса масштабного коэффициента sfb. |
x_reseal [] | Повторно масштабированные спектральные коэффициенты. |
sf [g] [sfb] | Массив для масштабных коэффициентов каждой группы. |
get_scale_factor_gain () | Функция, которая возвращает значение усиления, соответствующее масштабному коэффициенту. |
sect_cb [g] i] | Сборник кодов спектр Хаффмана, используемый для раздела i в группе g. |
sect_len_incr | Используется для того, чтобы вычислить длину раздела, измеряет число полос масштабного коэффициента с начала раздела. Длина sect_len_incr составляет 3 бита, если window_sequence является EIGHT_SHORT_SEQUENCE и 5 битов в другом случае. |
global_gain | Глобальное усиление квантованного спектра, отправленное как целочисленное значение без знака. |
hcod_sf [] | Кодовая комбинация Хаффмана из таблицы кодов Хаффмана, используемая для кодирования масштабных коэффициентов. |
hcod [sect_cb [g] [i]] [w] [x] [y] [z] | Кодовая комбинация Хаффмана из сборника кодов sect_cb [g] [i], которая кодирует следующие 4 кортежа (w, x, y, z) спектральных коэффициентов, где w, x, y, z являются квантованными спектральными коэффициентами. В пределах n-кортежа w, x, y, z упорядочиваются так, чтобы x_quant [win] [sfb] [sfb] [bin] = w, x_quant [group] [win] [sfb] [bin+1] = x, x_quant [group] [win] [sfb] [bin+2] = y и x_quant [group] [win] [sfb] [bin+3] = z. n-кортежи продвигаются от низкой до высокой частоты в пределах текущего раздела. |
hcod [sect_cb [g] [i]] [y] [z] | Кодовая комбинация Хаффмана из сборника кодов sect_cb [g] [i], которая кодирует следующий 2-кортеж (y, z) спектральных коэффициентов, где y, z - квантованные спектральные коэффициенты. В пределах n-кортежа y, z упорядочиваются так, чтобы x_quant [group] [win] [sfb] [bin] = y и x_quant [group] [win] [sfb] [bin+1] = z. n-кортежи прогрессируют от низкой до высокой частоты в пределах текущего раздела. |
quad_sign_bits | Биты знака для ненулевых коэффициентов в спектральном 4-кортеже. '1' указывает отрицательный коэффициент, '0' - положительный. Биты, ассоциированные с коэффициентами более низкой частоты, отправляются первыми. |
pair_sign_bits | Биты знака для ненулевых коэффициентов в спектральном 2-кортеже. '1' указывает отрицательный коэффициент, '0' - положительный. Биты, ассоциированные с коэффициентами более низкой частоты, отправляются первыми. |
hcod_esc_y | escape-последовательность для квантованного спектрального коэффициента y 2-кортежа (y, z), ассоциированная с предшествовавшей кодовой комбинацией Хаффмана. |
hcod_esc_z | escape-последовательность для квантованного спектрального коэффициента z 2-кортежа (y, z), ассоциированная с предшествовавшей кодовой комбинацией Хаффмана. |
pulse_data_present | 1 бит, указывающий, используется ли импульсный переход (1) или нет (0). Отметим, что pulse_data_present должно быть 0, если window_sequence = EIGHT_SHORT_SEQUENCE. |
number_pulse | 2 бита, указывающие, сколько используется импульсных переходов. Число импульсных переходов лежит в пределах от 1 до 4. |
pulse_start_sfb | 6 битов, указывающих индекс самой низкой полосы масштабного коэффициента, где достигается импульсный переход. |
pulse_offset [i] | 5 битов, указывающих смещение. |
pulse_amp [i] | 4 бита, указывающие на величину импульса без знака. |
sect_start [g] [i] | Смещение к первой полосе масштабного коэффициента в разделе i группы g. |
sect_end [g] [i] | Смещение на единицу более высокой чем последняя полосе масштабного коэффициента в разделе i группы g. |
num_sec [g] | Число разделов в группе g. |
escape_flag | Значение 16 в сборнике кодов Хаффмана ESC. |
escape_prefix | Разрядная последовательность N единиц. |
escape_separator | Один нулевой бит. |
escape_word | N+4 разрядное целочисленное слово без знака, сначала msb. |
escape_sequence | Последовательность escape_prefix, escape_separator и escape_word |
escape_code | 2 |
x_quant [g] [win] [sfb] [bin] | Декодированное по Хаффману значение для группы g, окна win, полосы масштабного коэффициента sfb, коэффициента bin. |
spec[w] [k] | Спектр с устраненным чередованием w в диапазоне от 0 до num_windows-1 и k в диапазоне от 0 до swb_offset [num_swb]-1. |
ZERO_HCB | 0 |
FIRST_PAIR_HCB | 5 |
ESC_HCB | 11 |
QUAD_LEN | 4 |
PAIR_LEN | 2 |
NOISE_HCB | 13 |
INTENSITY_HCB2 | 14 |
INTENSITY_HCB | 15 |
ESC_FLAG | 16 |
unsigned | Булево значение unsigned_cb [i], приведенное во второй графе таблицы 151 |
dim | Размерность сборника кодов, приведенная во второй графе таблицы 151. |
lav | LAV, приведенный в четвертой графе таблицы 151. |
idx | Индекс кодовой комбинации. |
ИС МЕГАНОРМ: примечание. Нумерация пунктов дана в соответствии с официальным текстом документа. |
Номер сборника кодов | Размерность сборника кодов | index_offset | Диапазон значений | Сборник кодов отображен в таблице |
0 | 1 | -60 | от -60 до +60 |
Номер сборника кодов, i | Размерность сборника кодов | Сборник кодов отображен в таблице | ||
0 | - | - | 0 | - |
1 | 0 | 4 | 1 | |
2 | 0 | 4 | 1 | |
3 | 1 | 4 | 2 | |
4 | 1 | 4 | 2 | |
5 | 0 | 2 | 4 | |
6 | 0 | 2 | 4 | |
7 | 1 | 2 | 7 | |
8 | 1 | 2 | 7 | |
9 | 1 | 2 | 12 | |
10 | 1 | 2 | 12 | |
11 | 1 | 2 | 16 (с ESC 8191) | |
12 | - | - | Зарезервировано | - |
13 | - | - | Перцепционная шумовая замена | - |
14 | - | - | Несовпадение по фазе интенсивность | - |
15 | - | - | Интенсивность синфазно | - |
16 | 1 | 2 | 16 (w/o ESC 15) | |
17 | 1 | 2 | 16 (с ESC 31) | |
18 | 1 | 2 | 16 (с ESC 47) | |
19 | 1 | 2 | 16 (с ESC 63) | |
20 | 1 | 2 | 16 (с ESC 95) | |
21 | 1 | 2 | 16 (с ESC 127) | |
22 | 1 | 2 | 16 (с ESC 159) | |
23 | 1 | 2 | 16 (с ESC 191) | |
24 | 1 | 2 | 16 (с ESC 223) | |
25 | 1 | 2 | 16 (с ESC 255) | |
26 | 1 | 2 | 16 (с ESC 319) | |
27 | 1 | 2 | 16 (с ESC 383) | |
28 | 1 | 2 | 16 (с ESC 511) | |
29 | 1 | 2 | 16 (с ESC 767) | |
30 | 1 | 2 | 16 (с ESC 1023) | |
31 | 1 | 2 | 16 (с ESC 2047) |
acod_sliced_bit [ch] [g] [i] | Арифметическая кодовая комбинация, необходимая для арифметического декодирования разрядно-модульного бита. Используя этот декодируемый бит, мы можем восстановить значение каждого бита квантованного спектрального значения. Фактически восстановленное битовое значение является зависимым от значения разрядно-модульного бита. |
acod_sign [ch] [g] [i] | Арифметическая кодовая комбинация из двоичного арифметического кодирования sign_bit. Вероятность символа "0" определяется в 0,5, что использует 8192 в качестве 14-битового числа с фиксированной точкой. sign_bit указывает бит знака для ненулевого коэффициента. "1" указывает отрицательный коэффициент, а "0" - положительный. Когда значению бита квантованного сигнала впервые присваивается 1, бит знака арифметически кодируется и отправляется. |
layer | Индекс уровня масштабируемости. |
snf | Значение вектора, который будет декодироваться. |
ch | Индекс канала. |
nch | Номер канала. |
cur_snf [i] | Текущего значение i-го вектора. cur_snf[] инициализируется в Abit[cband]. |
maxsnf | Максимум текущего значения векторов, которые будут декодироваться. |
snf | Индекс значения. |
layer_data_available () | Функция, которая возвращает "1" пока доступна полезная нагрузка потока битов каждого уровня, иначе - "0". Она указывает, доступна ли остающаяся полезная нагрузка потока битов каждого уровня. |
layer_group [layer] | Указывает групповой индекс спектральных данных, которые будут вновь добавлены в уровень масштабируемости. |
layer_start_index [layer] | Указывает индекс самого низкого спектрального компонента, который будет вновь добавлен в уровне масштабируемости. |
layer_end_index [layer] | Указывает индекс самого высокого спектрального компонента, который будет вновь добавлен в уровне масштабируемости. |
start_index [g] | Указывает индекс самого низкого спектрального компонента, который будет кодирован в группе g. |
end_index [g] | Указывает индекс самого высокого спектрального компонента, который будет кодирован в группе g. |
sliced_bit | Декодируемое значение разрядно-модульных битов квантованного спектра. |
sample [ch] [g] [i] | Квантованные спектральные коэффициенты, восстановленные из декодированных разрядно-модульных данных линии спектра i в канале ch и индекс группы g. |
sign_is_coded [ch] [g] [i] | Флаг, который указывает, кодирован ли в канале ch и группе с индексом g знак i-го квантованного спектра (1), или нет (0). |
sign_bit [ch] [g] [i] | Знаковый бит для ненулевого коэффициента. "1" указывает отрицательный коэффициент, а "0" - положительный. Когда значению бита квантованного сигнала впервые присваивается 1, знаковый бит арифметически кодируется и отправляется. |
acode_ms_used[g][sfb] | Арифметическое кодовое слово из арифметического кодирования ms_used, которое является однобитовым флагом на полосу масштабного коэффициента, указывающим, что кодирование M/S используется в группе окон g и полосе масштабного коэффициента sfb, следующим образом: 0 - независимый; 1 - ms_used. |
acode_stereo_info[g][sfb] | Арифметическое кодовое слово из арифметического кодирования stereo_info, которое является двухбитовым флагом на полосу масштабного коэффициента, указывающим, что кодирование M/S или кодирование интенсивности используются в группе окон g и полосе масштабного коэффициента sfb, следующим образом: 1 - 00 независимый; 2 - 01 ms_used; 10 - 10 Intensity_in_phase; 11 - Intensity_out_of_phase или noise_flag_is_used. Примечание - Если ms_mask_present равно 3, noise_flag_l и noise_flag_r равны 0, то stereo_info интерпретируется как несовпадающая по фазе стерео интенсивность независимо от величины pns_data_present. |
acode_noise_flag[g][sfb] | Арифметическое кодовое слово из арифметического кодирования noise_flag, которое является 1-битовым флагом на полосу масштабного коэффициента, указывающим, используется ли перцепционная шумовая замена (1) или нет (0) в группе окон g и полосе масштабного коэффициента sfb. |
acode_noise_flag_l[g][sfb] | Арифметическое кодовое слово из арифметического кодирования noise_flag_l, которое является 1-битовым флагом на полосу масштабного коэффициента, указывающим, используется ли перцепционная шумовая замена (1) или нет (0) в левом канале, группе окон g и полосе масштабного коэффициента sfb. |
acode_noise_flag_r[g][sfb] | Арифметическое кодовое слово из арифметического кодирования noise_flag, которое является 1-битовым флагом на полосу масштабного коэффициента, указывающим, используется ли перцепционная шумовая замена (1) или нет (0) в правом канале, группе окон g и полосе масштабного коэффициента sfb. |
acode_noise_mode[g][sfb] | Арифметическое кодовое слово из арифметического кодирования noise_mode, которое является двухбитовым флагом на полосу масштабного коэффициента, указывающим, какая шумовая замена используется в группе окон g и полосе масштабного коэффициента sfb, следующим образом: 00 - шумовая замена L + R (независимая); 01 - шумовая замена L + R (коррелированная); 10 - шумовая замена L + R (коррелированная, несовпадающая по фазе); 11 - зарезервировано. |
ch | Индекс канала. |
g | Индекс группы. |
sfb | Индекс полосы масштабного коэффициента в пределах группы. |
layer | Индекс уровня масштабируемости. |
nch | Номер канала |
ms_mask_present | Это двухбитовое поле указывает, какая маска стерео: 00 - независимая; 01 - однобитовая маска ms_used расположена в части дополнительной информации слоя sfb; 10 - все ms_used являются единицами; 11 - двухбитовая маска stereo_info, расположенная в части дополнительной информации слоя sfb. |
layer_group[layer] | Указывает индекс группы спектральных данных, которые будут вновь добавлены в слое масштабируемости. |
layer_start_sfb[layer] | Указывает индекс самой низкой полосы масштабного коэффициента, который будет вновь добавлен в слое масштабируемости. |
layer_end_sfb[layer] | Указывает индекс самой высокой полосы масштабного коэффициента, который будет вновь добавлен в слое масштабируемости. |
acode_scf_index [ch] [g] [sfb] | Арифметическая кодовая комбинация из кодирования дифференциальных масштабных коэффициентов. |
acode_max_noise_energy [ch] | Арифметическая кодовая комбинация из кодирования максимума шумовых энергий. |
acode_dpcm_noise_energy_index [ch] [g] [sfb] | Арифметическая кодовая комбинация из кодирования индекса дифференциальной шумой энергии. |
acode_is_position_index [g] [sfb] | Арифметическая кодовая комбинация из кодирования индекса position стерео интенсивности. |
ИС МЕГАНОРМ: примечание. Нумерация пунктов дана в соответствии с официальным текстом документа. |
ch | Индекс канала. |
g | Индекс группы. |
sfb | Индекс полосы масштабного коэффициента в пределах группы. |
layer | Индекс уровня масштабируемости. |
nch | Номер канала. |
layer_group[layer] | Указывает индекс группы спектральных данных, которые будут вновь добавлены в уровень масштабируемости. |
layer_start_sfb [layer] | Указывает индекс самой низкой полосы масштабного коэффициента, который будет вновь добавлен в уровне масштабируемости. |
layer_end_sfb [layer] | Указывает самый высокий индекс полосы масштабного коэффициента, который будет вновь добавлен в уровень масштабируемости. |
scf [ch] [g] [sfb] | Указывает масштабные коэффициенты. |
max_noise_energy [ch] | Указывает максимум шумовой энергии. |
dpcm_noise_energy_index [ch] [g] [sfb] | Указывает дифференциальный индекс шумовой энергии. |
is_position_index [g] [sfb] | Указывает индекс position стерео интенсивности. |
acode_cband_si [ch] [g] [cband] | Арифметическая кодовая комбинация из арифметического кодирования cband_si для каждой полосы кодирования. |
g | Индекс группы. |
cband | Индекс полосы кодирования в пределах группы. |
ch | Индекс канала. |
nch | Номер канала. |
layer_group [layer] | Указывает на индекс группы спектральных данных, которые будут вновь добавлены в уровень масштабируемости. |
layer_start_cband [layer] | Указывает индекс самой низкой полосы кодирования, который будет вновь добавлен в уровень масштабируемости. |
layer_end_cband [layer] | Указывает индекс самой высокой полосы кодирования, который будет вновь добавлен в уровень масштабируемости. |
fb_shift [] [] | Элемент синтаксиса, указывающий активную полосу частот адаптивного управления шириной полосы. |
index0 [] | Элемент данных, указывающий на номер кодового вектора сборника кодов 0. |
index1 [] | Элемент данных, указывающий на номер кодового вектора сборника кодов 1. |
window_sequence | Элемент данных, указывающий тип последовательности окон. |
side_info_bits | Число битов для дополнительной информации. |
bitrate | Системный параметр указывающий битовую скорость. |
used_bits | Число битов, используемых инструментом с переменной битовой скоростью, таким как инструмент долгосрочного прогноза. |
lyr | Указывает номер уровня расширения. Номер 0 присваивается базовому уровню. |
x_flat [] | Восстановленные коэффициенты MDCT. |
FRAME_SIZE | Длина фрейма. |
MAXBIT | Максимальное число битов для представления индекса сборника кодов формы. |
N_CH | Номера каналов. |
N_DIV | Номера подвекторов. |
N_SF | Номера подкадров во фрейме. |
sp_cv0 [] [] | |
sp_cv1 [] [] | |
SP_CB_SIZE | Размер сборника кодов формы. |
shape_index0 | Указывает выбранный кодовый вектор формы MDCT кодовой книги 0. |
shape_index1 | Указывает выбранный кодовый вектор формы MDCT кодовой книги 1. |
pol0 | Отрицает выбранный кодовый вектор формы MDCT кодовой книги 0. |
pol1 | Отрицает выбранный кодовый вектор формы MDCT кодовой книги 1. |
ltp_data_present | 1 бит, указывающий, используется ли прогноз в текущем фрейме (1) или нет (0) (всегда существует). |
ltp_lag | 11-разрядное число, определяющее оптимальную задержку от 0 до 2047. |
ltp_coef | 3-разрядный индекс, указывающий коэффициент LTP в таблице 152. |
Значение ltp_coef | Значение коэффициента LTP |
000 | 0,570829 |
001 | 0,696616 |
010 | 0,813004 |
011 | 0,911304 |
100 | 0,984900 |
101 | 1,067894 |
110 | 1,194601 |
111 | 1,369533 |
ltp_long_used | 1 бит для каждой полосы масштабного коэффициента (sfb), где LTP может использоваться для указания включен ли LTP (1) в этом sfb или выключен (0). |
ltp_lag_update | 1 бит, указывающий, передается ли новое значение для задержки ltp. В силу высокой повторяемости запаздывания LTP для многих сигналов один дополнительный бит сигнализирует, что запаздывание предыдущего фрейма повторяется (ltp_lag_update = = 0). В ином случае передается новое значение для запаздывания ltp (ltp_lag_update = = 1). |
ltp_lag | 10-разрядное число, определяющее оптимальную задержку от 0 до 1023. |
,
.ms_mask_present | Это двухбитовое поле указывает, что маска MC имеет вид: 00 - все нули; 01 - маска max_sfb полос ms_used следует за этим полем; 10 - все единицы; 11 - зарезервировано. |
ms_used [g] [sfb] | Однобитовый флаг на полосу масштабного коэффициента, указывающий, что кодирование M/S используется в группе окон g и полосе масштабного коэффициента sfb. |
l_spec [] | Массив, содержащий спектр левого канала соответствующей пары каналов. |
r_spec [] | Массив, содержащий спектр правого канала соответствующей пары каналов. |
is_intensity (g, sfb) | Функция, возвращающая состояние интенсивности. |
is_noise (g, sfb) | Функция, возвращающая состояние шумовой замены. |
hcod_sf [] | Кодовая комбинация Хаффмана из таблицы кода Хаффмана, используемая для кодирования масштабных коэффициентов. |
dpcm_is_position [] [] | Дифференцированно закодированная позиция стерео интенсивности. |
ls_position[group] [sfb] | Позиция стерео интенсивности для каждой группы и полосы масштабного коэффициента. |
l_spec [] | Массив, содержащий спектр левого канала соответствующей пары каналов. |
r_spec [] | Массив, содержащий спектр правого канала соответствующей пары каналов. |
ind_sw_cce_flag | Один бит, указывающий, является ли связанный целевой элемент синтаксиса независимо коммутируемым (1) или зависимо коммутируемым (0). |
num_coupled_elements | Число связанных целевых каналов равно num_coupled_elements+1. |
cc_target_is_cpe | Один бит, указывающий, является ли связанный целевой элемент синтаксиса CPE (1) или SCE (0). |
cc_target_tag_select | Четырехбитовое поле, определяющее element_instance_tag связанного целевого элемента синтаксиса. |
cc_l | Один бит, указывающий, что список значений gain_element применяется к левому каналу пары каналов. |
cc_r | Один бит, указывающий, что список значений gain_element применяется к правому каналу пары каналов. |
cc_domain | Один бит, указывающий, выполняется ли связь до (0) или после (1) декодирования TNS связанных целевых каналов. |
gain_element_sign | Один бит, указывающий, содержат ли переданные значения gain_element информацию о синфазной/несовпадающей по фазе связи (1) или нет (0). |
gain_element_scale | Определяет амплитудное разрешение cc_scale операции масштабирования. |
common_gaine_element_present [c] | Один бит, указывающий, передаются ли кодированные по Хаффману значения common_gain_element (1) или передаются кодированные по Хаффману значения дифференциального gain_elements (0). |
dpcm_gain_element [] [] | Дифференцированно кодированный элемент усиления. |
gain_element [group] [sfb] | Элемент усиления для каждой группы и полосы масштабного коэффициента. |
common_gain_element [] | Элемент усиления, который используется для всех групп окон и полос масштабного коэффициента одного связанного целевого канала. |
spectrum_m (idx, domain) | Указатель на спектральные данные, связанные с single_channel_element () с индексом idx. В зависимости от значения домена указываются спектральные коэффициенты до (0) или после (1) декодирования TNS. |
spectrum_l (idx, domain) | Указатель на спектральные данные, связанные с левым каналом channel_pair_element () с индексом idx. В зависимости от значения домена указываются спектральные коэффициенты до (0) или после (1) декодирования TNS. |
spectrum_r (idx, domain) | Указатель на спектральные данные, связанных с правым каналом channel_pair_element () с индексом idx. В зависимости от значения домена указываются спектральные коэффициенты декодирования TNS до (0) или после (1). |
cc_l, cc_r | Совместно используемый список усиления присутствует | Левый список усиления присутствует | Правый список усиления присутствует | |
0, | 0 | Да | Нет | Нет |
0, | 1 | Нет | Нет | Да |
1, | 0 | Нет | Да | Нет |
1, | 1 | Нет | Да | Да |
Значение "gain_element_scale" | Амплитудное разрешение "cc_scale" | Размер шага [дБ] |
0 | ![]() | 0,75 |
1 | ![]() | 1,50 |
2 | ![]() | 3,00 |
3 | 6,00 |
n_filt [w] | Число фильтров формирования шума, используемое для окна w. |
coef_res [w] | Маркер, указывающий на разрешение переданных коэффициентов фильтра для окна w, переключающееся между разрешением 3 бита (0) и 4 бита (1). |
length [w] [filt] | Длина области, к которой применяется один фильтр в окне w (в единицах полос масштабного коэффициента). |
order [w] [filt] | Порядок одного фильтра формирования шума примененного к окну w. |
direction [w] [filt] | Один бит, указывающий, применяется ли фильтр в восходящем (0) или нисходящем (1) направлении. |
coef_compress [w] [filt] | Один бит, указывающий, опускаются ли при передаче (1) или нет (0) старшие значащие биты коэффициентов фильтра формирования шума в окне w. |
coef [w] [filt] [i] | Коэффициенты одного фильтра формирования шума применяемые к окну w. |
spec [w] [k] | Массив, содержащий спектр для окна w обрабатываемого канала. |
Имя | Окно с 128 спектральными линиями | Другой размер окна |
'n filt' | 1 | 2 |
Длина | 4 | 6 |
Порядок | 3 | 5 |
Работа с окнами | ||
Короткие окна | Длинные окна | |
AOT 1 (AAC Main) | 7 | 20 |
Другое AOT используя TNS | 7 | 12 |
Частота дискретизации, Гц | Аудиообъектные типы без гребенки фильтров PQF (длинные окна) | Аудиообъектные типы без гребенки фильтров PQF (короткие окна) | Аудиообъектные типы с гребенкой фильтров PQF (длинные окна) | Аудиообъектные типы с гребенкой фильтров PQF (короткие окна) |
96000 | 31 | 9 | 28 | 7 |
88200 | 31 | 9 | 28 | 7 |
64000 | 34 | 10 | 27 | 7 |
48000 | 40 | 14 | 26 | 6 |
44100 | 42 | 14 | 26 | 6 |
32000 | 51 | 14 | 26 | 6 |
24000 | 46 | 14 | 29 | 7 |
22050 | 46 | 14 | 29 | 7 |
16000 | 42 | 14 | 23 | 8 |
12000 | 42 | 14 | 23 | 8 |
11025 | 42 | 14 | 23 | 8 |
8000 | 39 | 14 | 19 | 7 |
tns_data_present M-Канал | tns_data_present L-Канал | tns_data_present R-Канал | Информация TNS M Исходный Канал. | Информация TNS L Исходный Канал. | Информация TNS R Исходный Канал. |
0 | 0 | 0 | - | - | - |
1 | 0 | 0 | M | M | M |
0 | 1 | 1 | - | L | R |
0 | 1 | 0 | - | L | - |
0 | 0 | 1 | - | - | R |
1 | 0 | 1 | M | M | R/M |
1 | 1 | 0 | M | L/M | M |
1 | 1 | 1 | M | L/M | R/M |
a | Коэффициенты прогноза MA, используемые для квантования LSP. |
alfq [] [] | Коэффициенты прогноза для Bark-envelope. |
AMP_MAX | Максимальное значение квантователя mu-закона для глобального усиления. |
AMP_NM | Коэффициент нормализации для глобального усиления. |
BASF_STEP | Размер шага квантователя базовой частоты для кодирования периодических пиковых компонентов. |
bfreq [] | Базовая частота периодических пиковых компонентов. |
blim_h [] | Фактор управления шириной полосы (верхняя часть). |
blim_l [] | Фактор управления шириной полосы (нижняя часть). |
BLIM_STEP_H | Число шагов квантования управления шириной полосы (верхняя часть). |
BLIM_STEP_L | Число шагов квантования управления шириной полосы (нижняя часть). |
CUT_M_H | Минимальное отношение ширины полосы (верхняя часть). |
CUT_M_L | Максимальное отношение ширины полосы (нижняя часть). |
cv_env [] [] | Кодовые векторы сборника кодов огибающей |
env[] [] [] | Огибающая Bark-scale, спроектированная на ось частот Bark-scale. |
fb_shift [] [] | Элемент синтаксиса, указывающий активную полосу частот адаптивного управления полосой пропускания. |
FW_ALF_STEP | Коэффициент прогноза MA для квантования огибающей Bark-scale. |
FW_CB_LEN | Длина кодового вектора сборника кодов огибающей Bark-scale. |
FW_N_DIV | Число подразделений чередования квантования вектора огибающей Bark-scale. |
gain_p [] [] | Коэффициенты усиления периодических пиковых компонентов. |
gain [] [] | Коэффициенты усиления коэффициентов MDCT. |
global_gain [] | Глобальное усиление коэффициентов MDCT, нормализованных AMP_NM. |
index_blim_h [] | Элемент синтаксиса, указывающий управление верхней частью полосы пропускания |
index_blim_l [] | Элемент синтаксиса, указывающий управление нижней частью полосы пропускания. |
index_env [] [] [] | Элементы синтаксиса, указывающие элементы огибающей Bark-scale. |
index_fw_alf [] | Элемент синтаксиса, указывающий переключатель прогноза MA квантования огибающей Bark-scale. |
index_gain [] [] | Элементы синтаксиса, указывающие глобальное усиление коэффициентов MDCT. |
index_gain_sb [] [] [] | Элементы синтаксиса, указывающие усиление подблока коэффициентов MDCT. |
index_lsp0 [] [] | Элементы синтаксиса, указывающие коэффициенты прогноза MA, используемые для квантования LSP. |
index_lsp1 [] | Элемент синтаксиса, указывающий квантование LSP первой стадии. |
index_lsp2[] [] | Элемент синтаксиса, указывающий квантование LSP второй стадии. |
index_pgain [] | Элемент синтаксиса, указывающий усиление периодических пиковых компонентов. |
index_pit [] [] | Элементы синтаксиса, указывающие базовую частоту периодических пиковых компонентов. |
index_shape0_p [] | Элемент синтаксиса, указывающий индекс квантования пиковых элементов для вектора формы спаренного канала 0. |
index_shape1_p [] | Индекс квантования периодических пиковых элементов для вектора формы спаренного канала 1. |
isp [] | Таблица точки разделения для квантования LSP второго этапа. |
lengthp [] | Длины векторов кода для квантования периодических пиковых компонентов. |
lnenv [] [] | Огибающая Bark-scale, спроектированная на ось частот линейной шкалы. |
LOWER_BOUNDARY [] [] | Нижняя граница активной полосы частот, используемая в уровнях масштабируемости. |
lpenv [] [] | Спектральная огибающая LPC. |
lsp [] [] | Коэффициенты LPC, диапазон которых устанавливается от нуля до |
lyr | Указывает номер уровня расширения. Номер 0 присваивается для базового уровня. |
LSP_SPLIT | Число разделений векторного квантования 2-ого этапа для кодирования LSP. |
MU | Фактор mu для квантования по mu-закону для усиления. |
N_CRB | Числа поддиапазонов для кодирования огибающей Bark-scale. |
N_DIV_P | Число подразделений чередования для кодирования периодических пиковых компонентов. |
N_FR | Число выборок в подфрейме. |
N_FR_P | Число элементов периодических пиковых компонентов. |
N_SF | Число подфреймов во фрейме. |
p_cv_env [] [] | Вектор огибающей Bark-scale, восстановленный в предыдущем фрейме. |
pit [] | Периодические пиковые компоненты. |
pit_seq [] [] [] | Периодические пиковые компоненты, спроектированные в линейную шкалу. |
PIT_CB_SIZE | Размер сборника кодов для квантования периодических пиковых компонентов. |
PGAIN_MAX | Максимальная величина квантователя по mu-закону для усиления периодических пиковых компонентов. |
PGAIN_MU | Фактор mu для квантования по mu-закону для периодических пиковых компонентов. |
PGAIN_STEP | Размер шага квантователя по mu-закону для усиления периодических пиковых компонентов. |
pol0_p | Полярность спаренного канала 0 для квантования периодических пиковых компонентов. |
pol1_p | Полярность спаренного канала 1 для квантования периодических пиковых компонентов. |
pit_cv0 [] | Форма econstructed сопряженного канала 0 для периодических пиков компонентов квантования. |
pit_cv1 [] | Восстановленная форма спаренного канала 1 для периодических пиков компонентов квантования. |
STEP | Размер шага квантователя по mu-закону для глобального усиления. |
SUB_AMP_MAX | Максимальная амплитуда квантователя по mu-закону для коэффициента усиления подфрейма. |
SUB_AMP_NM | Коэффициент нормализации для коэффициента усиления подфрейма. |
SUB_STEP | Размер шага квантователя по mu-закону для коэффициента усиления подфрейма. |
subg_ratio [] | Коэффициент усиления подфрейма. |
UPPER_BOUNDARY [] [] | Верхняя граница активной полосы частот, используемая в масштабируемых уровнях. |
v [] | Коэффициенты LSP. |
v1 [] | Восстановленный вектор из VQ 1-го этапа для кодирования LSP. |
v2 [] | Восстановленный вектор из VQ 2-го этапа для кодирования LSP. |
x_flat [] | Нормализованные коэффициенты MDCT (ввод). |
spec [] [] [] | Денормализованные коэффициенты MDCT (вывод). |
, , | для i_ch от 0 до N_CH-1 |
, | для i от 1 до N_PR, i_ch от 0 до N_CH-1 |
, | для i от 1 до N_PR, i_ch от 0 до N_CH-1 |
, | для j от -MA_NP-1 до 0, i_ch от 0 до N_CH-1. |
ИС МЕГАНОРМ: примечание. Нумерация пунктов дана в соответствии с официальным текстом документа. |
ИС МЕГАНОРМ: примечание. Нумерация пунктов дана в соответствии с официальным текстом документа. |
Параметр | Величина | Значение |
Общее: | ||
AMP_MAX | 16000 | Максимальная амплитуда в кодировании по mu-закону усиления фрейма |
AMP_NM | 1024 | Нормализованная амплитуда сглаженных коэффициентов |
BLIM_BITS_H | 2 | Биты для управления верхней полосой пропускания |
BLIM_BITS_L | 1 | Биты для управления нижней полосой пропускания |
BLIM_STEP_H | 4 | Число шагов квантования ограничения полосы |
CUT_M_H | 0,7 | Минимальное соотношение полосы пропускания (верхняя часть) |
CUT_M_L | 0,0025 | Максимальное соотношение полосы пропускания (нижняя часть) |
FW_ALF_STEP | 0,5 | Коэффициент прогноза MA для кодирования огибающей |
MA_NP | 1 | Порядок прогноза MA (кодирование LSP) |
MU | 100 | Параметр mu в кодировании по mu-закону энергии фрейма |
N_PR | 20 | Порядок LPC |
NUM_STEP | 512 | Количество шагов квантования усиления |
STEP | AMP_MAX/N UM_STEP-1)=31,31 | Ширина шага квантования усиления |
SUB_AMP_MAX | 4700 | Максимум отношения усиления подфрейма к усилению фрейма |
SUB_AMP_NM | 1024 | Нормализованная амплитуда подфрейма сглаженных коэффициентов |
SUB_GAIN_BIT | 4 | Число битов для кодирования усиления подфрейма |
SUB_NUM_STEP | 16 | Число шагов sub-gain-quantization |
SUB_STEP | SUB_AMP_MAX/(SUB_NUM_STEP-1) = 313,3 | Ширина шага sub-gain-quantization |
PGAIN_MAX | 20000 | Максимальное значение квантователя по mu-закону для усиления ppc |
PGAIN_MU | 200 | Фактор mu для квантования по mu-закону для ppc |
PGAIN_STEP | PGAIN_MAX / (1 <<PGAIN_BIT) | Размер шага квантователя по mu-закону для усиления ppc |
Длинный блок: | ||
FW_CB_LEN | 6 | Длина вектора кода огибающей |
FW_N_BIT | 6 | Биты кода огибающей |
FW_N_DIV | 7 | Число подразделений в кодировании огибающей |
N_CRB | 42 | Число подполос bark-scale |
Короткий блок: | ||
N_FR | 128/120 | Размер блока MDCT |
Параметр | Величина | Значение |
Общее | ||
AMP_MAX | 8000 | Максимальная амплитуда в кодировании усиления фрейма по mu-закону |
AMP NM | 1024 | Нормализованная амплитуда сглаженных коэффициентов |
FW ALF STEP | 0,5 | Коэффициент прогноза MA для кодирования огибающей |
MA_NP | 1 | Порядок прогноза MA (кодирование LSP) |
MU | 100 | Параметр mu в кодировании энергии фрейма по mu-закону |
N_PR | 20 | Порядок LPC |
NUM_STEP | 256 | Номера шагов квантования усиления |
STEP | AMP_MAX / (NUM_STEP-1) = 31,37 | Ширина шага квантования усиления |
SUB AMP MAX | 6000 | Максимум отношения усиления подфрейма к усилению фрейма |
SUB AMP NM | 1024 | Нормализованная амплитуда сглаженных коэффициентов в подфрейме |
SUB GAIN BIT | 4 | Число битов для кодирования усиления подфрейма |
SUB NUM STEP | 16 | Число шагов квантования усиления sub |
SUB_STEP | SUB_AMP_MAX/ (SUB NUM STEP-1)= 400,0 | Ширина шага квантования усиления sub |
Длинный блок: | ||
FW CB LEN | 7 | Длина вектора кода огибающей |
FW N BIT | 6 | Биты кода огибающей |
FW N DIV | 7 | Число подразделений в кодировании огибающей |
N CRB | 42 | Число подполос bark-scale |
N_FR | 1024/960 | Размер блока MDCT |
Короткий блок | ||
N_FR | 128/120 | Размер блока MDCT |
split_num | isp[split_num] |
0 | 0 |
1 | 5 |
2 | 14 |
3 | 20 |
window_sequence | 2 бита, указывающие, какая последовательность окна (то есть размер блока) используется. |
window_shape | 1 бит, указывающий, какая функция окна выбирается. |
для 0 <= n < N,













,

.









.


Данные управления усилением | Дополнительная информация, указывающая значения усиления и позиции, используемые для изменения усиления. |
полоса IPQF | Каждая полоса разделения IPQF |
adjust_num | 3-битовое поле, указывающее число изменений усиления для каждой полосы IPQF. Максимальное количество изменений усиления равно семи. |
max_band | 2-битовое поле, указывающее число полос IPQF, в которых происходило управление усилением их сигнала. Значения этих величин показаны ниже: 0 - никакие полосы не имеют активированного управления усилением; 1 - управление усилением производилось во 2-ой полосе IPQF; 2 - управление усилением производилось во 2-ой и 3-ей полосах IPQF; 3 - управление усилением производилось во 2-ой, 3-ей и 4-ой полосах IPQF. |
Alevcod | 4-битовое поле, указывающее величину усиления для одного изменения усиления. |
aloccode | 2-, 4-, или 5-разрядное поле, указывающее позицию для одного изменения усиления. Длина этих данных изменяется в зависимости от последовательности окон. |







,

, 0 <= j <= 95, 0 <= B <= 3
,AC | AdjLoc(AC) |
0 | 0 |
1 | 8 |
2 | 16 |
3 | 24 |
4 | 32 |
5 | 40 |
6 | 48 |
7 | 56 |
8 | 64 |
9 | 72 |
10 | 80 |
11 | 88 |
12 | 96 |
13 | 104 |
14 | 112 |
15 | 120 |
16 | 128 |
17 | 136 |
18 | 144 |
19 | 152 |
20 | 160 |
21 | 168 |
22 | 176 |
23 | 184 |
24 | 192 |
25 | 200 |
26 | 208 |
27 | 216 |
28 | 224 |
29 | 232 |
30 | 240 |
31 | 248 |
AV | AdjLev(AV) |
0 | -4 |
1 | -3 |
2 | -2 |
3 | -1 |
4 | 0 |
5 | 1 |
6 | 2 |
7 | 3 |
8 | 4 |
9 | 5 |
10 | 6 |
11 | 7 |
12 | 8 |
13 | 9 |
14 | 10 |
15 | 11 |
j | Q (j) |
0 | 9,7655291007575512E-05 |
1 | 1,3809589379038567E-04 |
2 | 9,8400749256623534E-05 |
3 | -8,6671544782335723E-05 |
4 | -4,6217998911921346E-04 |
5 | -1,0211814095158174E-03 |
6 | -1,6772149340010668E-03 |
7 | -2,2533338951411081E-03 |
8 | -2,4987888343213967E-03 |
9 | -2,1390815966761882E-03 |
10 | -9,5595397454597772E-04 |
11 | 1,1172111530118943E-03 |
12 | 3,9091309127348584E-03 |
13 | 6,9635703420118673E-03 |
14 | 9,5595442159478339E-03 |
15 | 1,0815766540021360E-02 |
16 | 9,8770514991715300E-03 |
17 | 6,1562567291327357E-03 |
18 | -4,1793946063629710E-04 |
19 | -9,2128743097707640E-03 |
20 | -1,8830775873369020E-02 |
21 | -2,7226498457701823E-02 |
22 | -3,2022840857588906E-02 |
23 | -3,0996332527754609E-02 |
24 | -2,2656858741499447E-02 |
25 | -6,8031113858963354E-03 |
26 | 1,5085400948280744E-02 |
27 | 3,9750993388272739E-02 |
28 | 6,2445363629436743E-02 |
29 | 7,7622327748721326E-02 |
30 | 7,9968338496132926E-02 |
31 | 6,5615493068475583E-02 |
32 | 3,3313658300882690E-02 |
33 | -1,4691563058190206E-02 |
34 | -7,2307890475334147E-02 |
35 | -1,2993222541703875E-01 |
36 | -1,7551641029040532E-01 |
37 | -1,9626543957670528E-01 |
38 | -1,8073330670215029E-01 |
39 | -1,2097653136035738E-01 |
40 | -1,4377370758549035E-02 |
41 | 1,3522730742860303E-01 |
42 | 3,1737852699301633E-01 |
43 | 5,1590021798482233E-01 |
44 | 7,1080020379761377E-01 |
45 | 8,8090632488444798E-01 |
46 | 1,0068321641150089E+00 |
47 | 1,0737914947736096E+00 |
hcod_sf [] | Кодовая комбинация Хаффмана из таблицы кодов Хаффмана, используемая для кодирования масштабных коэффициентов. |
dpcm_noise_nrg [] [] | Дифференцированно закодированная шумовая энергия. |
noise_nrg [группа] [sfb] | Шумовая энергия для каждой группы и полосы масштабного коэффициента. |
spec [] | Массив, содержащий спектр соответствующего канала. |
dc_group | Четыре последовательных полосы масштабного коэффициента, если тип окна не SHORT_WINDOW. Одна полоса diff_short_lines, если тип окна является SHORT_WINDOW. |
no_of_dc_groups | Если тип окна не является SHORT_WINDOW, число групп в зависимости от частоты дискретизации дается в таблице 131. Если тип окна является SHORT_WINDOW, no_of_dc_groups равен '1'. |
diff_short_lines | Используется только в случае, если тип окна является SHORT_WINDOW. Число линий спектра в единственном dc_group на окно в зависимости от частоты дискретизации, дается в таблице 131. |
diff_control_sfb [w] [sfb] | Применяется только в случае, если тип окна не является SHORT_WINDOW. Они являются декодируемыми величинами diff_control [w] [dc_group]. Для каждой коммутируемой полосы масштабного коэффициента доступен один бит управления. |
Индекс | 0 | 1 | 2 | 3 | 4 | 5 | 6 | 7 | 8 | 9 | 10 | 11 | 12 | 13 | 14 | 15 |
Код | 0 | 20 | 21 | 22 | 23 | 24 | 25 | 8 | 9 | 26 | 27 | 28 | 29 | 30 | 31 | 1 |
Длина | 2 | 5 | 5 | 5 | 5 | 5 | 5 | 4 | 4 | 5 | 5 | 5 | 5 | 5 | 5 | 2 |
up-sampling-factor | Отношение частоты дискретизации кодера T/F и частоты дискретизации базового кодера. |
xin-mdct-core [i] | Временное поле данных, которое используется, чтобы хранить ввод в дискретизированный блок фильтров MDCT. |
xout-core [i] | Выходные выборки базового декодера. |
xin-mdct-core [k] = 0 | для k = [0: N/2-1] |
.
,sf_concealment | Поле данных, которое указывает на подобие между масштабными коэффициентами последнего фрейма и таковыми из текущего. Оно должно быть установлено в '0', если масштабные коэффициенты последнего фрейма будут несходными с коэффициентами из текущего фрейма. Оно должно устанавливаться в '1', если они будут подобны. Примечание - Это поле данных не требуется, чтобы декодировать свободную от ошибок полезную нагрузку, но может использоваться, чтобы применить соответствующие стратегии маскировки в случае поврежденных данных масштабного коэффициента. Никакой критерий подобия не определяется, так как маскировка выходит за область этого стандарта. |
rev_global_gain | Содержит последнее значение масштабного коэффициента как стартовое значение для обратного декодирования. Длина этого поля данных составляет 8 битов. |
length_of_rvlc_sf | Поле данных, которое содержит длину текущей части данных RVLC в битах, включая стартовое значение DPCM для PNS. Длина этого поля данных зависит от window_sequence. Если window_sequence = = EIGHT_SHORT_SEQUENCE, поле состоит из 11 битов, иначе оно состоит из 9 битов. |
rvlc_cod_sf | Слово RVLC из таблицы RVLC, используемой для кодирования масштабных коэффициентов, позиций интенсивности или шумовой энергии. |
sf_escapes_present | Поле данных, которое сигнализирует, есть ли кодированные в полезной нагрузке потока битов escape или нет. Длина этих данных составляет 1 бит. |
length_of_rvlc_escapes | Поле данных, которое содержит длину части данных escape текущего RVLC в битах. Длина этих данных составляет 8 битов. |
rvlc_esc_sf | Кодовая комбинация Хаффмана из таблицы Хаффмана для значений RVLC-ESC-values используется для того, чтобы кодировать значения, большие чем +/- 6. |
dpcm_is_last_position | Значение DPCM, позволяющее обратное декодирование части данных стерео интенсивности. Это симметричное dpcm_is_position значение. |
dpcm_noise_last_position | Значение DPCM, позволяющее обратное декодирование части данных PNS. Длина из этих данных 9 битов. Это симметричное dpcm_noise_n значение rg. |
Индекс | Длина | Кодовая комбинация |
-7 | 7 | 65 |
-6 | 9 | 257 |
-5 | 8 | 129 |
-4 | 6 | 33 |
-3 | 5 | 17 |
-2 | 4 | 9 |
-1 | 3 | 5 |
0 | 1 | 0 |
1 | 3 | 7 |
2 | 5 | 27 |
3 | 6 | 51 |
4 | 7 | 107 |
5 | 8 | 195 |
6 | 9 | 427 |
7 | 7 | 99 |
Длина | Кодовая комбинация |
6 | 50 |
7 | 96 |
9 | 256 |
8 | 194 |
7 | 98 |
6 | 52 |
9 | 426 |
8 | 212 |
Индекс | Длина | Кодовая комбинация |
0 | 2 | 2 |
1 | 2 | 0 |
2 | 3 | 6 |
3 | 3 | 2 |
4 | 4 | 14 |
5 | 5 | 31 |
6 | 5 | 15 |
7 | 5 | 13 |
8 | 6 | 61 |
9 | 6 | 29 |
10 | 6 | 25 |
11 | 6 | 24 |
12 | 7 | 120 |
13 | 7 | 56 |
14 | 8 | 242 |
15 | 8 | 114 |
16 | 9 | 486 |
17 | 9 | 230 |
18 | 10 | 974 |
19 | 10 | 463 |
20 | 11 | 1950 |
21 | 11 | 1951 |
22 | 11 | 925 |
23 | 12 | 1848 |
24 | 14 | 7399 |
25 | 13 | 3698 |
26 | 15 | 14797 |
27 | 20 | 473482 |
28 | 20 | 473483 |
29 | 20 | 473484 |
30 | 20 | 473485 |
31 | 20 | 473486 |
32 | 20 | 473487 |
33 | 20 | 473488 |
34 | 20 | 473489 |
35 | 20 | 473490 |
36 | 20 | 473491 |
37 | 20 | 473492 |
38 | 20 | 473493 |
39 | 20 | 473494 |
40 | 20 | 473495 |
41 | 20 | 473496 |
42 | 20 | 473497 |
43 | 20 | 473498 |
44 | 20 | 473499 |
45 | 20 | 473500 |
46 | 20 | 473501 |
47 | 20 | 473502 |
48 | 20 | 473503 |
49 | 19 | 236736 |
50 | 19 | 236737 |
51 | 19 | 236738 |
52 | 19 | 236739 |
53 | 19 | 236740 |
length_of_reordered_spectral_data | 14-разрядное поле данных, которое содержит длину спектральных данных в битах. Максимальное значение равно 6144 в случаях single_channel_element (), coupling_channel_element () и lfe_channel_element () и 12288 в случае channel_pair_element (). Большие значения резервируются для будущего использования. Если появляются эти значения, текущие декодеры должны заменить их допустимым максимальным значением. |
length_of_longest_codeword | 6-разрядное поле данных, которое содержит длину самой длинной кодовой комбинации, доступной в пределах текущих спектральных данных в битах. Это поле используется, чтобы уменьшить расстояние между защищенными кодовыми комбинациями. Допустимые значения между 0 и 49. Значения между 50 и 63 резервируются для будущего использования. Если появляются эти значения, текущие декодеры должны заменить их на 49. |
codebookPriority [cb] | Приоритет сборника кодов согласно второму шагу предварительной сортировки. |
maxNrOfLinesInWindow | Постоянное число: f - в случае одного длинного окна и 128 - в случае восьми коротких окон. |
nrOfFirstLineInUnit | Число между 0 и 1020 - в случае одного длинного окна и между 0 и 124 - в случае восьми коротких окон (это число всегда является кратным числа четыре). |
maxNrOfWindows | Постоянное число: 1 - в случае одного длинного окна и 8 - в случае восьми коротких окон. |
window | Всегда 0 - в случае одного длинного окна, число между 0 и 7 - в случае восьми коротких окон и вида модулей в порядке возрастания с использованием этих присвоенных номеров модуля. |
Индекс | Запись кодовой комбинации | |
Окно | Индекс окна | |
0 | 0 | 0 |
1 | 0 | 1 |
2 | 1 | 2 |
3 | 1 | 3 |
4 | 2 | 4 |
5 | 3 | 5 |
6 | 4 | 6 |
7 | 5 | 7 |
8 | 6 | 8 |
9 | 6 | 9 |
10 | 7 | 10 |
11 | 7 | 11 |
12 | 0 | 12 |
13 | 0 | 13 |
14 | 1 | 14 |
15 | 1 | 15 |
16 | 2 | 16 |
17 | 3 | 17 |
18 | 4 | 18 |
19 | 5 | 19 |
20 | 6 | 20 |
21 | 6 | 21 |
22 | 7 | 22 |
23 | 7 | 23 |
... | ... | ... |
Сборник кодов | Максимальная длина кодовой комбинации (maxCwLen) |
0 | 0 |
1 | 11 |
2 | 9 |
3 | 20 |
4 | 16 |
5 | 13 |
6 | 11 |
7 | 14 |
8 | 12 |
9 | 17 |
10 | 14 |
11 | 49 |
16 | 14 |
17 | 17 |
18 | 21 |
19 | 21 |
20 | 25 |
21 | 25 |
22 | 29 |
23 | 29 |
24 | 29 |
25 | 29 |
26 | 33 |
27 | 33 |
28 | 33 |
29 | 37 |
30 | 37 |
31 | 41 |
,window_shape | Окно |
0x0 | Синусоидное |
0x1 | Низкое перекрытие |
,Частота дискретизации | TNS_MAX_BANDS |
48000 | 31 |
44100 | 32 |
32000 | 37 |
24000 | 30 |
22050 | 30 |
Частота дискретизации | TNS_MAX_BANDS |
48000 | 31 |
44100 | 32 |
32000 | 37 |
24000 | 31 |
22050 | 31 |
Полоса | Группа последовательных поддиапазонов QMF (как в полосе ограничителя, полосе минимального уровня шума, и т.д.). |
chirp factor | Фактор расширения пропускной способности формант описываемый полиномиалом LPC. |
Down Sampled SBR | Инструмент SBR с измененным блоком фильтров синтеза, приводящий к той же самой частоте дискретизации выходного сигнала с пониженной частотой дискретизации, как входной сигнал, на инструменте SBR. Может использоваться, когда требуется вывод с более низкой частотой дискретизации. |
Масштабный коэффициент огибающей | Элемент, представляющий усредненную энергию сигнала по области, описанной полосой частот и сегментом времени. |
Полоса частот | Интервал в частоте, группе последовательных поддиапазонов QMF. |
Граница частоты | Разграничитель полосы частот, выраженный как определенный поддиапазон QMF. |
NA | Неприменимый. |
Минимальный уровень шума | Вектор масштабных коэффициентов минимального уровня шума. |
Масштабный коэффициент минимального уровня шума | Элемент, связанный с областью, описанной полосой частот и сегментом времени, представляющий соотношение между энергией шума, который будет добавлен к сгенерированному сигналу HF с регулируемой огибающей, и энергией его самого. |
Патч | Ряд смежных QMF поддиапазонов, перемещенных в различное частотное расположение. |
QMF | Квадратурный фильтр зеркала. |
SBR | Репликация полосы спектра. |
Огибающая SBR | Вектор масштабных коэффициентов огибающей. |
Фрейм SBR | Сегмент времени, связанный с одним элементом данных расширения SBR. |
Диапазон SBR | Частотный диапазон сигнала, сгенерированного алгоритмом SBR. |
Поддиапазон | Частотный диапазон, представленный одной строкой в матрице QMF, переносящий подвыбранный сигнал. |
Граница времени | Разграничитель сегмента времени, выраженный как определенный временной интервал. |
Сегмент времени | Интервал во времени, группа последовательных временных интервалов. |
Сетка времени/частоты | Описание временных сегментов огибающей SBR и связанных таблиц разрешающей способности по частоте, а также описание сегментов времени минимального уровня шума. |
Временной интервал | Наилучшее разрешение во времени для огибающих SBR и минимальных уровней шума. Один временной интервал равняется двум подвыборкам в домене QMF. |
оценивается обнуленным, если b < a.Константа, чтобы избежать деления на ноль, например, на 96 дБ ниже максимального входного сигнала. | |
HI = 1 | Индекс используется для разрешения высокочастотной огибающей SBR. |
LO = 0 | Индекс используется для разрешения низкочастотной огибающей SBR. |
NOISE_FLOOR_OFFSET = 6 | Смещение минимального уровня шума. |
RATE = 2 | Константа, указывающая число выборок поддиапазона QMF на временной интервал. |
ch | Текущий канал. |
bsco | Смещение кодека с масштабируемой полосой пропускания, указывает для системы с масштабируемой полосой пропускания число поддиапазонов QMF выше kx в диапазоне SBR, которые должны быть заменены данными AAC из уровня расширения с масштабируемой полосой пропускания. Если базовый кодер с масштабируемой полосой пропускания не используется, переменная является нулем. |
EOrig | Имеет LE столбцов, где каждый столбец имеет длину NLow или NHigh в зависимости от разрешающей способности по частоте для каждой огибающей SBR. Элементы в EOrig содержат масштабные коэффициенты огибающей исходного сигнала. |
F=[fTableLow' fTableHigh] | Имеет векторы на два столбца, содержащие таблицы границы частоты для низкой и высокой разрешающей способности по частоте. |
FsSBR | Внутренняя частота дискретизации инструмента SBR Tool, двойная частота дискретизации базового кодера (после отображения частоты дискретизации, таблица 82). Частота дискретизации расширенного выходного сигнала SBR равна внутренней частоте дискретизации инструмента SBR Tool, если SBR Tool не работает в субдискретизированном режиме. Если SBR Tool работает в субдискретизированном режиме, выходная частота дискретизации равна частоте дискретизации базового кодера. |
fMaster | Имеет длину NMaster + 1 и содержит информацию о группировке задающей частоты QMF. |
fTableHigh | Имеет длину NHigh +1 и содержит границы частоты для огибающих SBR с высокочастотным разрешением |
fTableLim | Имеет длину NL + 1 и содержит границы частоты, используемые ограничителем. |
fTableLow | Имеет длину NLow + 1 и содержит границы частоты для огибающих SBR с низкочастотным разрешением. |
fTableNoise | Имеет длину NQ + 1 и содержит границы частоты, используемые минимальными уровнями шума. |
kx | Первый поддиапазон QMF в диапазоне SBR. |
k0 | Первый поддиапазон QMF в таблице fMaster. |
LE | Число огибающих SBR. |
LQ | Число минимальных уровней шума. |
M | Число поддиапазонов QMF в диапазоне SBR. |
middleBorder | Точки определенной границы времени. |
NL | Число полос ограничителя. |
NMaster | Число полос частот в таблице разрешения задающей частоты. |
NQ | Число полос минимального уровня шума. |
n = [NLow, NHigh] | Число полос частот для разрешения низкой и высокой частоты. |
numPatches | Переменная, указывающая число патчей в диапазоне SBR. |
numTimeSlots | Число временных интервалов огибающей SBR, которые существуют в пределах фрейма AAC, 16 - для 1024 фрейма AAC и 15 - для 960 фреймов AAC. |
panOffset = [24, 12] | Значения смещения для огибающей SBR и данных минимального уровня шума, когда используются связанные каналы. |
patchBorders | Вектор, содержащий границы частоты патчей. |
patchNumsubbands | Вектор, содержащий число поддиапазонов в каждом патче. |
QOrig | Имеет столбцы LQ, где каждый столбец имеет длину NQ и содержит минимальный уровень шума scalefactor. |
r = [r0..., rL-1] | Разрешающая способность по частоте для всех огибающих SBR в текущем фрейме SBR, ноль для низкого разрешения, единица для высокого разрешения. |
reset | Переменная в кодере и декодере, которая устанавливается в единицу, если определенные элементы данных изменились в сравнении с предыдущим фреймом SBR, иначе устанавливается в ноль. |
tE | Имеет длину LE + 1 и содержит временные границы пуска и остановки для всех огибающих SBR в текущем фрейме SBR. |
tHFAdj | Смещение для модуля регулятора огибающей. |
tHFGen | Смещение для модуля HF-генерации. |
tQ | Имеет длину LQ + 1 и содержит временные границы пуска и остановки для всех минимальных уровней шума в текущем фрейме SBR. |
W | Матрица поддиапазона, где хранятся фильтруемые выборки поддиапазона QMF. |
XHigh | Матрица поддиапазона входного банка QMF комплекса в регулятор HF. |
XLow | Матрица поддиапазона входного банка QMF комплекса в генератор HF. |
Y | Матрица поддиапазона выходного банка QMF комплекса из регулятора HF. |




.


.







bs_pointer | bs_frame_class | ||
FIXFIX | VARFIX | FIXVAR, VARVAR | |
= 0 | 1 | LE - 1 | |
= 1 | LE - 1 | LE - 1 | |
> 1 | bs_pointer - 1 | LE + 1 - bs_pointer | |









,
.
.




;
;
;
.
.
.


,
,
и 





,

,
bs_invf_mode(i)' | bs_invf_mode(i) | |||
Выключено | Нижний | Промежуточный | Сильный | |
Выключено | 0,0 | 0,6 | 0,9 | 0,98 |
Нижний | 0,6 | 0,75 | 0,9 | 0,98 |
Промежуточный | 0,0 | 0,75 | 0,9 | 0,98 |
Сильный | 0,0 | 0,75 | 0,9 | 0,98 |





bs_pointer | bs_frame_class | ||
FIXFIX | FIXVAR, VARVAR | VARFIX | |
= 0 | -1 | -1 | -1 |
= 1 | -1 | LE+1-bs_pointer | -1 |
> 1 | -1 | LE+1-bs_pointer | bs_pointer-1 |


возвращает единицу, если какая-либо запись в матрице SIndexMapped равна единице в пределах данных границ, то есть если дополнительная синусоида присутствует в пределах текущей полосы частот. Матрица SMapped одна для всех поддиапазонов QMF в полосах масштабных коэффициентов где должна быть добавлена дополнительная синусоида.



.
,


,
.
.
.
,
.
,
.






,
,
.
;
;
,
.
.
,
.
.
.
,
,
.
,
,
,

,



ИС МЕГАНОРМ: примечание. В официальном тексте документа, видимо, допущена опечатка: имеется в виду пункт 6.18.2.1, а не 6.18.2.1.20. |
bs_frame_class | Значение |
0 | FIXFIX |
1 | LD_TRAN |
Синтаксис | Количество битов | Мнемоника |
sbr_ld_grid(ch) { | ||
switch (bs_frame_class) { case FIXFIX: | 1 | uimsbf |
bs_num_env[ch] = 2 | 2 | uimsbf, |
if (bs_num_env[ch] = = 1) | ||
bs_amp_res; | 1 | uimsbf |
bs_freq_res[ch][0]; for (env = 1; env < bs_num_env[ch]; env++) bs_freq_res[ch][env] = bs_freq_res[ch][0]; break; case LD_TRAN: | 1 | |
bs_transient_position | 4 | uimsbf |
bs_num_env[ch] = LD_Envelope_Table[bs_transient_position][num_envelopes]; for (env = 0; env < bs_num_env[ch]; env++) | ||
bs_freq_res[ch][env]; break; } if (bs_num_env[ch] > 1) bs_num_noise[ch] = 2; else bs_num_noise[ch] = 1; } | 1 | |
Примечание 1 - bs_num_env ограничивается согласно 6.18.3.6. Примечание 2 - Таблица LD_Envelope_Table дается в таблице 179 | ||
bs_transient_position | num_envelopes | border[1] | border[2] | transientldx |
0 | 2 | 4 | - | 0 |
1 | 2 | 5 | - | 0 |
2 | 3 | 2 | 6 | 1 |
3 | 3 | 3 | 7 | 1 |
4 | 3 | 4 | 8 | 1 |
5 | 3 | 5 | 9 | 1 |
6 | 3 | 6 | 10 | 1 |
7 | 3 | 7 | 11 | 1 |
8 | 3 | 8 | 12 | 1 |
9 | 3 | 9 | 13 | 1 |
10 <*> | 3/2 | 10 | 14/- | 1 |
11 | 2 | 11 | - | 1 |
12 | 2 | 12 | - | 1 |
13 | 2 | 13 | - | 1 |
14 | 2 | 14 | - | 1 |
15 | 2 | 15 | - | 1 |
.ИС МЕГАНОРМ: примечание. В официальном тексте документа, видимо, допущена опечатка: рисунок 42 отсутствует. |
.
.
.
.
,
.
,
.
. Можно отметить что эти значения
.
.
.
.
.
.





.ИС МЕГАНОРМ: примечание. В официальном тексте документа, видимо, допущена опечатка: пункт 1.6.5.1 отсутствует. |
,
Синтаксис | Количество битов | Мнемосхема |
ELDSpecificConfig (channelConfiguration) { | ||
frameLengthFlag; | 1 | bslbf |
aacSectionDataResilienceFlag; | 1 | bslbf |
aacScalefactorDataResilienceFlag; | 1 | bslbf |
aacSpectralDataResilienceFlag; | 1 | bslbf |
ldSbrPresentFlag; lf (ldSbrPresentFlag) { | 1 | bslbf |
ldSbrSamplingRate; | 1 | bslbf |
ldSbrCrcFlag; ld_sbr_header(channelConfiguration); } | 1 | bslbf |
while (eldExtType != ELDEXT_TERM) { | 4 | bslbf |
eldExtLen; len = eldExtLen; if (eldExtLen = = 15) { | 4 | uimsbf |
eldExtLenAdd; len += eldExtLenAdd; } if (eldExtLenAdd = = 255) { | 8 | uimsbf |
eldExtLenAddAdd; len += eldExtLenAddAdd; } switch (eldExtType) { /* add future eld extension configs here */ default: for(cnt=0; cnt<len; cnt++) { | 16 | uimsbf |
other byte; } break; } } } | 8 | uimsbf |
Синтаксис | Количество битов | Мнемосхема |
ld_sbr_header(channelConfiguration) switch ( channelConfiguration ){ case 1: case 2: numsbrHeader = 1; break; case 3: numsbrHeader = 2; break; case 4: case 5: case 6: numsbrHeader = 3; break; case 7: numsbrHeader = 4; break; default: numsbrHeader = 0; break; } for (el=0; el<numsbrHeader; el++) { sbr_header(); } } |
frameLengthFlag | См. GASpecificConfig () (5.1.1). |
aacSectionDataResilienceFlag | См. GASpecificConfig () (5.1.1). |
aacScalefactorDataResilienceFlag | См. GASpecificConfig () (5.1.1). |
aacSpectralDataResilienceFlag | См. GASpecificConfig () (5.1.1). |
ldSbrPresentFlag | ldSbrPresentFlag соответствует переменной sbrPresentFlag используемый для SBR с не малой задержкой. У декодера то же самое поведение относительно этого флага. |
ldSbrCrcFlag | Переменная ldSbrCrcFlag сигнализирует о синтаксисе CRC для SBR с малой задержкой. Вычисление CRC включает только полезную нагрузку без каких-либо битов выравнивания байта. |
ldSbrSamplingRate | ldSbrSamplingRate определяет фактор частоты дискретизации между базовым кодером и SBR, где 0 ставится для единичной скорости и 1 для двойной скорости. |
eldExtType | Четырехбитовый код, который идентифицирует тип расширения согласно таблице 182. |
eldExtLen | Дескриптор длины старой конфигурации расширения в байтах |
eldExtLenAdd | Первое дополнительное поле длины старой конфигурации расширения в байтах |
eldExtLenAddAdd | Второе дополнительное поле длины старой конфигурации расширения в байтах |
other_byte | Переменная помощника для анализа полезной нагрузки неизвестной конфигурации |
Символ | Значение extension_type | Назначение |
ELDEXT TERM | '0000' | Тег завершения |
Зарезервировано | '0001' | Зарезервировано |
... | ... | ... |
Зарезервировано | '1111' | Зарезервировано |
Длина | Кодовая комбинация (шестнадцатеричная) | |
0 | 18 | 3ffe8 |
1 | 18 | 3ffe6 |
2 | 18 | 3ffe7 |
3 | 18 | 3ffe5 |
4 | 19 | 7fff5 |
5 | 19 | 7fff1 |
6 | 19 | 7ffed |
7 | 19 | 7fff6 |
8 | 19 | 7ffee |
9 | 19 | 7ffef |
10 | 19 | 7fff0 |
11 | 19 | 7fffc |
12 | 19 | 7fffd |
13 | 19 | 7ffff |
14 | 19 | 7fffe |
15 | 19 | 7fff7 |
16 | 19 | 7fff8 |
17 | 19 | 7fffb |
18 | 19 | 7fff9 |
19 | 18 | 3ffe4 |
20 | 19 | 7fffa |
21 | 18 | 3ffe3 |
22 | 17 | 1ffef |
23 | 17 | 1fff0 |
24 | 16 | fff5 |
25 | 17 | 1ffee |
26 | 16 | fff2 |
27 | 16 | fff3 |
28 | 16 | fff4 |
29 | 16 | fff1 |
30 | 15 | 7ff6 |
31 | 15 | 7ff7 |
32 | 14 | 3ff9 |
33 | 14 | 3ff5 |
34 | 14 | 3ff7 |
35 | 14 | 3ff3 |
36 | 14 | 3ff6 |
37 | 14 | 3ff2 |
38 | 13 | 1ff7 |
39 | 13 | 1ff5 |
40 | 12 | ff9 |
41 | 12 | ff7 |
42 | 12 | Ff6 |
43 | 11 | 7f9 |
44 | 12 | ff4 |
45 | 11 | 7f8 |
46 | 10 | 3f9 |
47 | 10 | 3f7 |
48 | 10 | 3f5 |
49 | 9 | 1f8 |
50 | 9 | 1f7 |
51 | 8 | fa |
52 | 8 | f8 |
53 | 8 | f6 |
54 | 7 | 79 |
55 | 6 | 3a |
56 | 6 | 38 |
57 | 5 | 1a |
58 | 4 | b |
59 | 3 | 4 |
60 | 1 | 0 |
61 | 4 | a |
62 | 4 | c |
63 | 5 | 1b |
64 | 6 | 39 |
65 | 6 | 3b |
66 | 7 | 78 |
67 | 7 | 7a |
68 | 8 | f7 |
69 | 8 | f9 |
70 | 9 | 1f6 |
71 | 9 | 1f9 |
72 | 10 | 3f4 |
73 | 10 | 3f6 |
74 | 10 | 3f8 |
75 | 11 | 7f5 |
76 | 11 | 7f4 |
77 | 11 | 7f6 |
78 | 11 | 7f7 |
79 | 12 | ff5 |
80 | 12 | ff8 |
81 | 13 | 1ff4 |
82 | 13 | 1ff6 |
83 | 13 | 1ff8 |
84 | 14 | 3ff8 |
85 | 14 | 3ff4 |
86 | 16 | fff0 |
87 | 15 | 7ff4 |
88 | 16 | fff6 |
89 | 15 | 7ff5 |
90 | 18 | 3ffe2 |
91 | 19 | 7ffd9 |
92 | 19 | 7ffda |
93 | 19 | 7ffdb |
94 | 19 | 7ffdc |
95 | 19 | 7ffdd |
96 | 19 | 7ffde |
97 | 19 | 7ffd8 |
98 | 19 | 7ffd2 |
99 | 19 | 7ffd3 |
100 | 19 | 7ffd4 |
101 | 19 | 7ffd5 |
102 | 19 | 7ffd6 |
103 | 19 | 7ffd2 |
104 | 19 | 7ffdf |
105 | 19 | 7ffe7 |
106 | 19 | 7ffe8 |
107 | 19 | 7ffe9 |
108 | 19 | 7ffea |
109 | 19 | 7ffeb |
110 | 19 | 7ffe6 |
111 | 19 | 7ffe0 |
112 | 19 | 7ffe1 |
113 | 19 | 7ffe2 |
114 | 19 | 7ffe3 |
115 | 19 | 7ffe4 |
116 | 19 | 7ffe5 |
117 | 19 | 7ffd7 |
118 | 19 | 7ffec |
119 | 19 | 7fff4 |
120 | 19 | 7fff3 |
Длина | Кодовая комбинация (шестнадцатеричная) | |
0 | 11 | 7f8 |
1 | 9 | 1f1 |
2 | 11 | 7fd |
3 | 10 | 3f5 |
4 | 7 | 68 |
5 | 10 | 3f0 |
6 | 11 | 7f7 |
7 | 9 | 1ec |
8 | 11 | 7f5 |
9 | 10 | 3f1 |
10 | 7 | 72 |
11 | 10 | 3f4 |
12 | 7 | 74 |
13 | 5 | 11 |
14 | 7 | 76 |
15 | 9 | 1eb |
16 | 7 | 6c |
17 | 10 | 3f6 |
18 | 11 | 7fc |
19 | 9 | 1e1 |
20 | 11 | 7f1 |
21 | 9 | 1f0 |
22 | 7 | 61 |
23 | 9 | 1f6 |
24 | 11 | 7f2 |
25 | 9 | 1ea |
26 | 11 | 7fb |
27 | 9 | 1f2 |
28 | 7 | 69 |
29 | 9 | 1ed |
30 | 7 | 77 |
31 | 5 | 17 |
32 | 7 | 6f |
33 | 9 | 1e6 |
34 | 7 | 64 |
35 | 9 | 1e5 |
36 | 7 | 67 |
37 | 5 | 15 |
38 | 7 | 62 |
39 | 5 | 12 |
40 | 1 | 0 |
41 | 5 | 14 |
42 | 7 | 65 |
43 | 5 | 16 |
44 | 7 | 6d |
45 | 9 | 1e9 |
46 | 7 | 63 |
47 | 9 | 1e4 |
48 | 7 | 6b |
49 | 5 | 13 |
50 | 7 | 71 |
51 | 9 | 1e3 |
52 | 7 | 70 |
53 | 9 | 1f3 |
54 | 11 | 7fe |
55 | 9 | 1e7 |
56 | 11 | 7f3 |
57 | 9 | 1ef |
58 | 7 | 60 |
59 | 9 | 1ee |
60 | 11 | 7f0 |
61 | 9 | 1e2 |
62 | 11 | 7fa |
63 | 10 | 3f3 |
64 | 7 | 6a |
65 | 9 | 1e8 |
66 | 7 | 75 |
67 | 5 | 10 |
68 | 7 | 73 |
69 | 9 | 1f4 |
70 | 7 | 6e |
71 | 10 | 3f7 |
72 | 11 | 7f6 |
73 | 9 | 1e0 |
74 | 11 | 7f9 |
75 | 10 | 3f2 |
76 | 7 | 66 |
77 | 9 | 1f5 |
78 | 11 | 7ff |
79 | 9 | 1f7 |
80 | 11 | 7f4 |
Индекс | Длина | Кодовая комбинация (шестнадцатеричная) |
0 | 9 | 1f3 |
1 | 7 | 6f |
2 | 9 | 1fd |
3 | 8 | eb |
4 | 6 | 23 |
5 | 8 | ea |
6 | 9 | 1f7 |
7 | 8 | e8 |
8 | 9 | 1fa |
9 | 8 | f2 |
10 | 6 | 2d |
11 | 7 | 70 |
12 | 6 | 20 |
13 | 5 | 6 |
14 | 6 | 2b |
15 | 7 | 6e |
16 | 6 | 28 |
17 | 8 | e9 |
18 | 9 | 1f9 |
19 | 7 | 66 |
20 | 8 | f8 |
21 | 8 | e7 |
22 | 6 | 1b |
23 | 8 | f1 |
24 | 9 | 1f4 |
25 | 7 | 6b |
26 | 9 | 1f5 |
27 | 8 | ec |
28 | 6 | 2a |
29 | 7 | 6c |
30 | 6 | 2c |
31 | 5 | a |
32 | 6 | 27 |
33 | 7 | 67 |
34 | 6 | 1a |
35 | 8 | f5 |
36 | 6 | 24 |
37 | 5 | 8 |
38 | 6 | 1f |
39 | 5 | 9 |
40 | 3 | 0 |
41 | 5 | 7 |
42 | 6 | 1d |
43 | 5 | b |
44 | 6 | 30 |
45 | 8 | ef |
46 | 6 | 1c |
47 | 7 | 64 |
48 | 6 | 1e |
49 | 5 | c |
50 | 6 | 29 |
51 | 8 | f3 |
52 | 6 | 2f |
53 | 8 | f0 |
54 | 9 | 1fc |
55 | 7 | 71 |
56 | 9 | 1f2 |
57 | 8 | f4 |
58 | 6 | 21 |
59 | 8 | e6 |
60 | 8 | f7 |
61 | 7 | 68 |
62 | 9 | 1f8 |
63 | 8 | ee |
64 | 6 | 22 |
65 | 7 | 65 |
66 | 6 | 31 |
67 | 4 | 2 |
68 | 6 | 26 |
69 | 8 | ed |
70 | 6 | 25 |
71 | 7 | 6a |
72 | 9 | 1fb |
73 | 7 | 72 |
74 | 9 | 1fe |
75 | 7 | 69 |
76 | 6 | 2e |
77 | 8 | f6 |
78 | 9 | 1ff |
79 | 7 | 6d |
80 | 9 | 1f6 |
Индекс | Длина | Кодовая комбинация (шестнадцатеричная) |
0 | 1 | 0 |
1 | 4 | 9 |
2 | 8 | ef |
3 | 4 | b |
4 | 5 | 19 |
5 | 8 | f0 |
6 | 9 | 1eb |
7 | 9 | 1e6 |
8 | 10 | 3f2 |
9 | 4 | a |
10 | 6 | 35 |
11 | 9 | 1ef |
12 | 6 | 34 |
13 | 6 | 37 |
14 | 9 | 1e9 |
15 | 9 | 1ed |
16 | 9 | 1e7 |
17 | 10 | 3f3 |
18 | 9 | 1ee |
19 | 10 | 3ed |
20 | 13 | 1ffa |
21 | 9 | 1ec |
22 | 9 | 1f2 |
23 | 11 | 7f9 |
24 | 11 | 7f8 |
25 | 10 | 3f8 |
26 | 12 | ff8 |
27 | 4 | 8 |
28 | 6 | 38 |
29 | 10 | 3f6 |
30 | 6 | 36 |
31 | 7 | 75 |
32 | 10 | 3f1 |
33 | 10 | 3eb |
34 | 10 | 3ec |
35 | 12 | ff4 |
36 | 5 | 18 |
37 | 7 | 76 |
38 | 11 | 7f4 |
39 | 6 | 39 |
40 | 7 | 74 |
41 | 10 | 3ef |
42 | 9 | 1f3 |
43 | 9 | 1f4 |
44 | 11 | 7f6 |
45 | 9 | 1e8 |
46 | 10 | 3ea |
47 | 13 | 1ffc |
48 | 8 | f2 |
49 | 9 | 1f1 |
50 | 12 | ffb |
51 | 10 | 3f5 |
52 | 11 | 7f3 |
53 | 12 | ffc |
54 | 8 | ee |
55 | 10 | 3f7 |
56 | 15 | 7ffe |
57 | 9 | 1f0 |
58 | 11 | 7f5 |
59 | 15 | 7ffd |
60 | 13 | 1ffb |
61 | 14 | 3ffa |
62 | 16 | ffff |
63 | 8 | f1 |
64 | 10 | 3f0 |
65 | 14 | 3ffc |
66 | 9 | 1ea |
67 | 10 | 3ee |
68 | 14 | 3ffb |
69 | 12 | ff6 |
70 | 12 | ffa |
71 | 15 | 7ffc |
72 | 11 | 7f2 |
73 | 12 | ff5 |
74 | 16 | fffe |
75 | 10 | 3f4 |
76 | 11 | 7f7 |
77 | 15 | 7ffb |
78 | 12 | ff7 |
79 | 12 | ff9 |
80 | 15 | 7ffa |
Индекс | Длина | Кодовая комбинация (шестнадцатеричная) |
0 | 4 | 7 |
1 | 5 | 16 |
2 | 8 | f6 |
3 | 5 | 18 |
4 | 4 | 8 |
5 | 8 | ef |
6 | 9 | 1ef |
7 | 8 | f3 |
8 | 11 | 7f8 |
9 | 5 | 19 |
10 | 5 | 17 |
11 | 8 | ed |
12 | 5 | 15 |
13 | 4 | 1 |
14 | 8 | e2 |
15 | 8 | f0 |
16 | 7 | 70 |
17 | 10 | 3f0 |
18 | 9 | 1ee |
19 | 8 | f1 |
20 | 11 | 7fa |
21 | 8 | ee |
22 | 8 | e4 |
23 | 10 | 3f2 |
24 | 11 | 7f6 |
25 | 10 | 3ef |
26 | 11 | 7fd |
27 | 4 | 5 |
28 | 5 | 14 |
29 | 8 | f2 |
30 | 4 | 9 |
31 | 4 | 4 |
32 | 8 | e5 |
33 | 8 | f4 |
34 | 8 | e8 |
35 | 10 | 3f4 |
36 | 4 | 6 |
37 | 4 | 2 |
38 | 8 | e7 |
39 | 4 | 3 |
40 | 4 | 0 |
41 | 7 | 6b |
42 | 8 | e3 |
43 | 7 | 69 |
44 | 9 | 1f3 |
45 | 8 | eb |
46 | 8 | e6 |
47 | 10 | 3f6 |
48 | 7 | 6e |
49 | 7 | 6a |
50 | 9 | 1f4 |
51 | 10 | 3ec |
52 | 9 | 1f0 |
53 | 10 | 3f9 |
54 | 8 | f5 |
55 | 8 | ec |
56 | 11 | 7fb |
57 | 8 | ea |
58 | 7 | 6f |
59 | 10 | 3f7 |
60 | 11 | 7f9 |
61 | 10 | 3f3 |
62 | 12 | fff |
63 | 8 | e9 |
64 | 7 | 6d |
65 | 10 | 3f8 |
66 | 7 | 6c |
67 | 7 | 68 |
68 | 9 | 1f5 |
69 | 10 | 3ee |
70 | 9 | 1f2 |
71 | 11 | 7f4 |
72 | 11 | 7f7 |
73 | 10 | 3f1 |
74 | 12 | ffe |
75 | 10 | 3ed |
76 | 9 | 1f1 |
77 | 11 | 7f5 |
78 | 11 | 7fe |
79 | 10 | 3f5 |
80 | 11 | 7fc |
Индекс | Длина | Кодовая комбинация (шестнадцатеричная) |
0 | 13 | 1fff |
1 | 12 | ff7 |
2 | 11 | 7f4 |
3 | 11 | 7e8 |
4 | 10 | 3f1 |
5 | 11 | 7ee |
6 | 11 | 7f9 |
7 | 12 | ff8 |
8 | 13 | 1ffd |
9 | 12 | ffd |
10 | 11 | 7f1 |
11 | 10 | 3e8 |
12 | 9 | 1e8 |
13 | 8 | f0 |
14 | 9 | 1ec |
15 | 10 | 3ee |
16 | 11 | 7f2 |
17 | 12 | ffa |
18 | 12 | ff4 |
19 | 10 | 3ef |
20 | 9 | 1f2 |
21 | 8 | e8 |
22 | 7 | 70 |
23 | 8 | ec |
24 | 9 | 1f0 |
25 | 10 | 3ea |
26 | 11 | 7f3 |
27 | 11 | 7eb |
28 | 9 | 1eb |
29 | 8 | ea |
30 | 5 | 1a |
31 | 4 | 8 |
32 | 5 | 19 |
33 | 8 | ee |
34 | 9 | 1ef |
35 | 11 | 7ed |
36 | 10 | 3f0 |
37 | 8 | f2 |
38 | 7 | 73 |
39 | 4 | b |
40 | 1 | 0 |
41 | 4 | a |
42 | 7 | 71 |
43 | 8 | f3 |
44 | 11 | 7e9 |
45 | 11 | 7ef |
46 | 9 | 1ee |
47 | 8 | ef |
48 | 5 | 18 |
49 | 4 | 9 |
50 | 5 | 1b |
51 | 8 | eb |
52 | 9 | 1e9 |
53 | 11 | 7ec |
54 | 11 | 7f6 |
55 | 10 | 3eb |
56 | 9 | 1f3 |
57 | 8 | ed |
58 | 7 | 72 |
59 | 8 | e9 |
60 | 9 | 1f1 |
61 | 10 | 3ed |
62 | 11 | 7f7 |
63 | 12 | ff6 |
64 | 11 | 7f0 |
65 | 10 | 3e9 |
66 | 9 | 1ed |
67 | 8 | f1 |
68 | 9 | 1ea |
69 | 10 | 3ec |
70 | 11 | 7f8 |
71 | 12 | ff9 |
72 | 13 | 1ffc |
73 | 12 | ffc |
74 | 12 | ff5 |
75 | 11 | 7ea |
76 | 10 | 3f3 |
77 | 10 | 3f2 |
78 | 11 | 7f5 |
79 | 12 | ffb |
80 | 13 | 1ffe |
Индекс | Длина | Кодовая комбинация (шестнадцатеричная) |
0 | 11 | 7fe |
1 | 10 | 3fd |
2 | 9 | 1f1 |
3 | 9 | 1eb |
4 | 9 | 1f4 |
5 | 9 | 1ea |
6 | 9 | 1f0 |
7 | 10 | 3fc |
8 | 11 | 7fd |
9 | 10 | 3f6 |
10 | 9 | 1e5 |
11 | 8 | ea |
12 | 7 | 6c |
13 | 7 | 71 |
14 | 7 | 68 |
15 | 8 | f0 |
16 | 9 | 1e6 |
17 | 10 | 3f7 |
18 | 9 | 1f3 |
19 | 8 | ef |
20 | 6 | 32 |
21 | 6 | 27 |
22 | 6 | 28 |
23 | 6 | 26 |
24 | 6 | 31 |
25 | 8 | eb |
26 | 9 | 1f7 |
27 | 9 | 1e8 |
28 | 7 | 6f |
29 | 6 | 2e |
30 | 4 | 8 |
31 | 4 | 4 |
32 | 4 | 6 |
33 | 6 | 29 |
34 | 7 | 6b |
35 | 9 | 1ee |
36 | 9 | 1ef |
37 | 7 | 72 |
38 | 6 | 2d |
39 | 4 | 2 |
40 | 4 | 0 |
41 | 4 | 3 |
42 | 6 | 2f |
43 | 7 | 73 |
44 | 9 | 1fa |
45 | 9 | 1e7 |
46 | 7 | 6e |
47 | 6 | 2b |
48 | 4 | 7 |
49 | 4 | 1 |
50 | 4 | 5 |
51 | 6 | 2c |
52 | 7 | 6d |
53 | 9 | 1ec |
54 | 9 | 1f9 |
55 | 8 | ee |
56 | 6 | 30 |
57 | 6 | 24 |
58 | 6 | 2a |
59 | 6 | 25 |
60 | 6 | 33 |
61 | 8 | ec |
62 | 9 | 1f2 |
63 | 10 | 3f8 |
64 | 9 | 1e4 |
65 | 8 | ed |
66 | 7 | 6a |
67 | 7 | 70 |
68 | 7 | 69 |
69 | 7 | 74 |
70 | 8 | f1 |
71 | 10 | 3fa |
72 | 11 | 7ff |
73 | 10 | 3f9 |
74 | 9 | 1f6 |
75 | 9 | 1ed |
76 | 9 | 1f8 |
77 | 9 | 1e9 |
78 | 9 | 1f5 |
79 | 10 | 3fb |
80 | 11 | 7fc |
Индекс | Длина | Кодовая комбинация (шестнадцатеричная) |
0 | 1 | 0 |
1 | 3 | 5 |
2 | 6 | 37 |
3 | 7 | 74 |
4 | 8 | f2 |
5 | 9 | 1eb |
6 | 10 | 3ed |
7 | 11 | 7f7 |
8 | 3 | 4 |
9 | 4 | c |
10 | 6 | 35 |
11 | 7 | 71 |
12 | 8 | ec |
13 | 8 | ee |
14 | 9 | 1ee |
15 | 9 | 1f5 |
16 | 6 | 36 |
17 | 6 | 34 |
18 | 7 | 72 |
19 | 8 | ea |
20 | 8 | f1 |
21 | 9 | 1e9 |
22 | 9 | 1f3 |
23 | 10 | 3f5 |
24 | 7 | 73 |
25 | 7 | 70 |
26 | 8 | eb |
27 | 8 | f0 |
28 | 9 | 1f1 |
29 | 9 | 1f0 |
30 | 10 | 3ec |
31 | 10 | 3fa |
32 | 8 | f3 |
33 | 8 | ed |
34 | 9 | 1e8 |
35 | 9 | 1ef |
36 | 10 | 3ef |
37 | 10 | 3f1 |
38 | 10 | 3f9 |
39 | 11 | 7fb |
40 | 9 | 1ed |
41 | 8 | ef |
42 | 9 | 1ea |
43 | 9 | 1f2 |
44 | 10 | 3f3 |
45 | 10 | 3f8 |
46 | 11 | 7f9 |
47 | 11 | 7fc |
48 | 10 | 3ee |
49 | 9 | 1ec |
50 | 9 | 1f4 |
51 | 10 | 3f4 |
52 | 10 | 3f7 |
53 | 11 | 7f8 |
54 | 12 | ffd |
55 | 12 | ffe |
56 | 11 | 7f6 |
57 | 10 | 3f0 |
58 | 10 | 3f2 |
59 | 10 | 3f6 |
60 | 11 | 7fa |
61 | 11 | 7fd |
62 | 12 | ffc |
63 | 12 | fff |
Индекс | Длина | Кодовая комбинация (шестнадцатеричная) |
0 | 5 | e |
1 | 4 | 5 |
2 | 5 | 10 |
3 | 6 | 30 |
4 | 7 | 6f |
5 | 8 | f1 |
6 | 9 | 1fa |
7 | 10 | 3fe |
8 | 4 | 3 |
9 | 3 | 0 |
10 | 4 | 4 |
11 | 5 | 12 |
12 | 6 | 2c |
13 | 7 | 6a |
14 | 7 | 75 |
15 | 8 | f8 |
16 | 5 | f |
17 | 4 | 2 |
18 | 4 | 6 |
19 | 5 | 14 |
20 | 6 | 2e |
21 | 7 | 69 |
22 | 7 | 72 |
23 | 8 | f5 |
24 | 6 | 2f |
25 | 5 | 11 |
26 | 5 | 13 |
27 | 6 | 2a |
28 | 6 | 32 |
29 | 7 | 6c |
30 | 8 | ec |
31 | 8 | fa |
32 | 7 | 71 |
33 | 6 | 2b |
34 | 6 | 2d |
35 | 6 | 31 |
36 | 7 | 6d |
37 | 7 | 70 |
38 | 8 | f2 |
39 | 9 | 1f9 |
40 | 8 | ef |
41 | 7 | 68 |
42 | 6 | 33 |
43 | 7 | 6b |
44 | 7 | 6e |
45 | 8 | ee |
46 | 8 | f9 |
47 | 10 | 3fc |
48 | 9 | 1f8 |
49 | 7 | 74 |
50 | 7 | 73 |
51 | 8 | ed |
52 | 8 | f0 |
53 | 8 | f6 |
54 | 9 | 1f6 |
55 | 9 | 1fd |
56 | 10 | 3fd |
57 | 8 | f3 |
58 | 8 | f4 |
59 | 8 | f7 |
60 | 9 | 1f7 |
61 | 9 | 1fb |
62 | 9 | 1fc |
63 | 10 | 3ff |
Индекс | Длина | Кодовая комбинация (шестнадцатеричная) |
0 | 1 | 0 |
1 | 3 | 5 |
2 | 6 | 37 |
3 | 8 | e7 |
4 | 9 | 1de |
5 | 10 | 3ce |
6 | 10 | 3d9 |
7 | 11 | 7c8 |
8 | 11 | 7cd |
9 | 12 | fc8 |
10 | 12 | fdd |
11 | 13 | 1fe4 |
12 | 13 | 1fec |
13 | 3 | 4 |
14 | 4 | c |
15 | 6 | 35 |
16 | 7 | 72 |
17 | 8 | ea |
18 | 8 | ed |
19 | 9 | 1e2 |
20 | 10 | 3d1 |
21 | 10 | 3d3 |
22 | 10 | 3e0 |
23 | 11 | 7d8 |
24 | 12 | fcf |
25 | 12 | fd5 |
26 | 6 | 36 |
27 | 6 | 34 |
28 | 7 | 71 |
29 | 8 | e8 |
30 | 8 | ec |
31 | 9 | 1e1 |
32 | 10 | 3cf |
33 | 10 | 3dd |
34 | 10 | 3db |
35 | 11 | 7d0 |
36 | 12 | fc7 |
37 | 12 | fd4 |
38 | 12 | fe4 |
39 | 8 | e6 |
40 | 7 | 70 |
41 | 8 | e9 |
42 | 9 | 1dd |
43 | 9 | 1e3 |
44 | 10 | 3d2 |
45 | 10 | 3dc |
46 | 11 | 7cc |
47 | 11 | 7ca |
48 | 11 | 7de |
49 | 12 | fd8 |
50 | 12 | fea |
51 | 13 | 1fdb |
52 | 9 | 1df |
53 | 8 | eb |
54 | 9 | 1dc |
55 | 9 | 1e6 |
56 | 10 | 3d5 |
57 | 10 | 3de |
58 | 11 | 7cb |
59 | 11 | 7dd |
60 | 11 | 7dc |
61 | 12 | fcd |
62 | 12 | fe2 |
63 | 12 | fe7 |
64 | 13 | 1fe1 |
65 | 10 | 3d0 |
66 | 9 | 1e0 |
67 | 9 | 1e4 |
68 | 10 | 3d6 |
69 | 11 | 7c5 |
70 | 11 | 7d1 |
71 | 11 | 7db |
72 | 12 | fd2 |
73 | 11 | 7e0 |
74 | 12 | fd9 |
75 | 12 | feb |
76 | 13 | 1fe3 |
77 | 13 | 1fe9 |
78 | 11 | 7c4 |
79 | 9 | 1e5 |
80 | 10 | 3d7 |
81 | 11 | 7c6 |
82 | 11 | 7cf |
83 | 11 | 7da |
84 | 12 | fcb |
85 | 12 | fda |
86 | 12 | fe3 |
87 | 12 | fe9 |
88 | 13 | 1fe6 |
89 | 13 | 1ff3 |
90 | 13 | 1ff7 |
91 | 11 | 7d3 |
92 | 10 | 3d8 |
93 | 10 | 3e1 |
94 | 11 | 7d4 |
95 | 11 | 7d9 |
96 | 12 | fd3 |
97 | 12 | fde |
98 | 13 | 1fdd |
99 | 13 | 1fd9 |
100 | 13 | 1fe2 |
101 | 13 | 1fea |
102 | 13 | 1ff1 |
103 | 13 | 1ff6 |
104 | 11 | 7d2 |
105 | 10 | 3d4 |
106 | 10 | 3da |
107 | 11 | 7c7 |
108 | 11 | 7d7 |
109 | 11 | 7e2 |
110 | 12 | fce |
111 | 12 | fdb |
112 | 13 | 1fd8 |
113 | 13 | 1fee |
114 | 14 | 3ff0 |
115 | 13 | 1ff4 |
116 | 14 | 3ff2 |
117 | 11 | 7e1 |
118 | 10 | 3df |
119 | 11 | 7c9 |
120 | 11 | 7d6 |
121 | 12 | fca |
122 | 12 | fd0 |
123 | 12 | fe5 |
124 | 12 | fe6 |
125 | 13 | 1feb |
126 | 13 | 1fef |
127 | 14 | 3ff3 |
128 | 14 | 3ff4 |
129 | 14 | 3ff5 |
130 | 12 | fe0 |
131 | 11 | 7ce |
132 | 11 | 7d5 |
133 | 12 | fc6 |
134 | 12 | fd1 |
135 | 12 | fe1 |
136 | 13 | 1fe0 |
137 | 13 | 1fe8 |
138 | 13 | 1ff0 |
139 | 14 | 3ff1 |
140 | 14 | 3ff8 |
141 | 14 | 3ff6 |
142 | 15 | 7ffc |
143 | 12 | fe8 |
144 | 11 | 7df |
145 | 12 | fc9 |
146 | 12 | fd7 |
147 | 12 | fdc |
148 | 13 | 1fdc |
149 | 13 | 1fdf |
150 | 13 | 1fed |
151 | 13 | 1ff5 |
152 | 14 | 3ff9 |
153 | 14 | 3ffb |
154 | 15 | 7ffd |
155 | 15 | 7ffe |
156 | 13 | 1fe7 |
157 | 12 | fcc |
158 | 12 | fd6 |
159 | 12 | fdf |
160 | 13 | 1fde |
161 | 13 | 1fda |
162 | 13 | 1fe5 |
163 | 13 | 1ff2 |
164 | 14 | 3ffa |
165 | 14 | 3ff7 |
166 | 14 | 3ffc |
167 | 14 | 3ffd |
168 | 15 | 7fff |
Индекс | Длина | Кодовая комбинация (шестнадцатеричная) |
0 | 6 | 22 |
1 | 5 | 8 |
2 | 6 | 1d |
3 | 6 | 26 |
4 | 7 | 5f |
5 | 8 | d3 |
6 | 9 | 1cf |
7 | 10 | 3d0 |
8 | 10 | 3d7 |
9 | 10 | 3ed |
10 | 11 | 7f0 |
11 | 11 | 7f6 |
12 | 12 | ffd |
13 | 5 | 7 |
14 | 4 | 0 |
15 | 4 | 1 |
16 | 5 | 9 |
17 | 6 | 20 |
18 | 7 | 54 |
19 | 7 | 60 |
20 | 8 | d5 |
21 | 8 | dc |
22 | 9 | 1d4 |
23 | 10 | 3cd |
24 | 10 | 3de |
25 | 11 | 7e7 |
26 | 6 | 1c |
27 | 4 | 2 |
28 | 5 | 6 |
29 | 5 | c |
30 | 6 | 1e |
31 | 6 | 28 |
32 | 7 | 5b |
33 | 8 | cd |
34 | 8 | d9 |
35 | 9 | 1ce |
36 | 9 | 1dc |
37 | 10 | 3d9 |
38 | 10 | 3f1 |
39 | 6 | 25 |
40 | 5 | b |
41 | 5 | a |
42 | 5 | d |
43 | 6 | 24 |
44 | 7 | 57 |
45 | 7 | 61 |
46 | 8 | cc |
47 | 8 | dd |
48 | 9 | 1cc |
49 | 9 | 1de |
50 | 10 | 3d3 |
51 | 10 | 3e7 |
52 | 7 | 5d |
53 | 6 | 21 |
54 | 6 | 1f |
55 | 6 | 23 |
56 | 6 | 27 |
57 | 7 | 59 |
58 | 7 | 64 |
59 | 8 | d8 |
60 | 8 | df |
61 | 9 | 1d2 |
62 | 9 | 1e2 |
63 | 10 | 3dd |
64 | 10 | 3ee |
65 | 8 | d1 |
66 | 7 | 55 |
67 | 6 | 29 |
68 | 7 | 56 |
69 | 7 | 58 |
70 | 7 | 62 |
71 | 8 | ce |
72 | 8 | e0 |
73 | 8 | e2 |
74 | 9 | 1da |
75 | 10 | 3d4 |
76 | 10 | 3e3 |
77 | 11 | 7eb |
78 | 9 | 1c9 |
79 | 7 | 5e |
80 | 7 | 5a |
81 | 7 | 5c |
82 | 7 | 63 |
83 | 8 | ca |
84 | 8 | da |
85 | 9 | 1c7 |
86 | 9 | 1ca |
87 | 9 | 1e0 |
88 | 10 | 3db |
89 | 10 | 3e8 |
90 | 11 | 7ec |
91 | 9 | 1e3 |
92 | 8 | d2 |
93 | 8 | cb |
94 | 8 | d0 |
95 | 8 | d7 |
96 | 8 | db |
97 | 9 | 1c6 |
98 | 9 | 1d5 |
99 | 9 | 1d8 |
100 | 10 | 3ca |
101 | 10 | 3da |
102 | 11 | 7ea |
103 | 11 | 7f1 |
104 | 9 | 1e1 |
105 | 8 | d4 |
106 | 8 | cf |
107 | 8 | d6 |
108 | 8 | de |
109 | 8 | e1 |
110 | 9 | 1d0 |
111 | 9 | 1d6 |
112 | 10 | 3d1 |
113 | 10 | 3d5 |
114 | 10 | 3f2 |
115 | 11 | 7ee |
116 | 11 | 7fb |
117 | 10 | 3e9 |
118 | 9 | 1cd |
119 | 9 | 1c8 |
120 | 9 | 1cb |
121 | 9 | 1d1 |
122 | 9 | 1d7 |
123 | 9 | 1df |
124 | 10 | 3cf |
125 | 10 | 3e0 |
126 | 10 | 3ef |
127 | 11 | 7e6 |
128 | 11 | 7f8 |
129 | 12 | ffa |
130 | 10 | 3eb |
131 | 9 | 1dd |
132 | 9 | 1d3 |
133 | 9 | 1d9 |
134 | 9 | 1db |
135 | 10 | 3d2 |
136 | 10 | 3cc |
137 | 10 | 3dc |
138 | 10 | 3ea |
139 | 11 | 7ed |
140 | 11 | 7f3 |
141 | 11 | 7f9 |
142 | 12 | ff9 |
143 | 11 | 7f2 |
144 | 10 | 3ce |
145 | 9 | 1e4 |
146 | 10 | 3cb |
147 | 10 | 3d8 |
148 | 10 | 3d6 |
149 | 10 | 3e2 |
150 | 10 | 3e5 |
151 | 11 | 7e8 |
152 | 11 | 7f4 |
153 | 11 | 7f5 |
154 | 11 | 7f7 |
155 | 12 | ffb |
156 | 11 | 7fa |
157 | 10 | 3ec |
158 | 10 | 3df |
159 | 10 | 3e1 |
160 | 10 | 3e4 |
161 | 10 | 3e6 |
162 | 10 | 3f0 |
163 | 11 | 7e9 |
164 | 11 | 7ef |
165 | 12 | ff8 |
166 | 12 | ffe |
167 | 12 | ffc |
168 | 12 | fff |
Индекс | Длина | Кодовая комбинация (шестнадцатеричная) |
0 | 4 | 0 |
1 | 5 | 6 |
2 | 6 | 19 |
3 | 7 | 3d |
4 | 8 | 9c |
5 | 8 | c6 |
6 | 9 | 1a7 |
7 | 10 | 390 |
8 | 10 | 3c2 |
9 | 10 | 3df |
10 | 11 | 7e6 |
11 | 11 | 7f3 |
12 | 12 | ffb |
13 | 11 | 7ec |
14 | 12 | ffa |
15 | 12 | ffe |
16 | 10 | 38e |
17 | 5 | 5 |
18 | 4 | 1 |
19 | 5 | 8 |
20 | 6 | 14 |
21 | 7 | 37 |
22 | 7 | 42 |
23 | 8 | 92 |
24 | 8 | af |
25 | 9 | 191 |
26 | 9 | 1a5 |
27 | 9 | 1b5 |
28 | 10 | 39e |
29 | 10 | 3c0 |
30 | 10 | 3a2 |
31 | 10 | 3cd |
32 | 11 | 7d6 |
33 | 8 | ae |
34 | 6 | 17 |
35 | 5 | 7 |
36 | 5 | 9 |
37 | 6 | 18 |
38 | 7 | 39 |
39 | 7 | 40 |
40 | 8 | 8e |
41 | 8 | a3 |
42 | 8 | b8 |
43 | 9 | 199 |
44 | 9 | 1ac |
45 | 9 | 1c1 |
46 | 10 | 3b1 |
47 | 10 | 396 |
48 | 10 | 3be |
49 | 10 | 3ca |
50 | 8 | 9d |
51 | 7 | 3c |
52 | 6 | 15 |
53 | 6 | 16 |
54 | 6 | 1a |
55 | 7 | 3b |
56 | 7 | 44 |
57 | 8 | 91 |
58 | 8 | a5 |
59 | 8 | be |
60 | 9 | 196 |
61 | 9 | 1ae |
62 | 9 | 1b9 |
63 | 10 | 3a1 |
64 | 10 | 391 |
65 | 10 | 3a5 |
66 | 10 | 3d5 |
67 | 8 | 94 |
68 | 8 | 9a |
69 | 7 | 36 |
70 | 7 | 38 |
71 | 7 | 3a |
72 | 7 | 41 |
73 | 8 | 8c |
74 | 8 | 9b |
75 | 8 | b0 |
76 | 8 | c3 |
77 | 9 | 19e |
78 | 9 | 1ab |
79 | 9 | 1bc |
80 | 10 | 39f |
81 | 10 | 38f |
82 | 10 | 3a9 |
83 | 10 | 3cf |
84 | 8 | 93 |
85 | 8 | bf |
86 | 7 | 3e |
87 | 7 | 3f |
88 | 7 | 43 |
89 | 7 | 45 |
90 | 8 | 9e |
91 | 8 | a7 |
92 | 8 | b9 |
93 | 9 | 194 |
94 | 9 | 1a2 |
95 | 9 | 1ba |
96 | 9 | 1c3 |
97 | 10 | 3a6 |
98 | 10 | 3a7 |
99 | 10 | 3bb |
100 | 10 | 3d4 |
101 | 8 | 9f |
102 | 9 | 1a0 |
103 | 8 | 8f |
104 | 8 | 8d |
105 | 8 | 90 |
106 | 8 | 98 |
107 | 8 | a6 |
108 | 8 | b6 |
109 | 8 | c4 |
110 | 9 | 19f |
111 | 9 | 1af |
112 | 9 | 1bf |
113 | 10 | 399 |
114 | 10 | 3bf |
115 | 10 | 3b4 |
116 | 10 | 3c9 |
117 | 10 | 3e7 |
118 | 8 | a8 |
119 | 9 | 1b6 |
120 | 8 | ab |
121 | 8 | a4 |
122 | 8 | aa |
123 | 8 | b2 |
124 | 8 | c2 |
125 | 8 | c5 |
126 | 9 | 198 |
127 | 9 | 1a4 |
128 | 9 | 1b8 |
129 | 10 | 38c |
130 | 10 | 3a4 |
131 | 10 | 3c4 |
132 | 10 | 3c6 |
133 | 10 | 3dd |
134 | 10 | 3e8 |
135 | 8 | ad |
136 | 10 | 3af |
137 | 9 | 192 |
138 | 8 | bd |
139 | 8 | bc |
140 | 9 | 18e |
141 | 9 | 197 |
142 | 9 | 19a |
143 | 9 | 1a3 |
144 | 9 | 1b1 |
145 | 10 | 38d |
146 | 10 | 398 |
147 | 10 | 3b7 |
148 | 10 | 3d3 |
149 | 10 | 3d1 |
150 | 10 | 3db |
151 | 11 | 7dd |
152 | 8 | b4 |
153 | 10 | 3de |
154 | 9 | 1a9 |
155 | 9 | 19b |
156 | 9 | 19c |
157 | 9 | 1a1 |
158 | 9 | 1aa |
159 | 9 | 1ad |
160 | 9 | 1b3 |
161 | 10 | 38b |
162 | 10 | 3b2 |
163 | 10 | 3b8 |
164 | 10 | 3ce |
165 | 10 | 3e1 |
166 | 10 | 3e0 |
167 | 11 | 7d2 |
168 | 11 | 7e5 |
169 | 8 | b7 |
170 | 11 | 7e3 |
171 | 9 | 1bb |
172 | 9 | 1a8 |
173 | 9 | 1a6 |
174 | 9 | 1b0 |
175 | 9 | 1b2 |
176 | 9 | 1b7 |
177 | 10 | 39b |
178 | 10 | 39a |
179 | 10 | 3ba |
180 | 10 | 3b5 |
181 | 10 | 3d6 |
182 | 11 | 7d7 |
183 | 10 | 3e4 |
184 | 11 | 7d8 |
185 | 11 | 7ea |
186 | 8 | ba |
187 | 11 | 7e8 |
188 | 10 | 3a0 |
189 | 9 | 1bd |
190 | 9 | 1b4 |
191 | 10 | 38a |
192 | 9 | 1c4 |
193 | 10 | 392 |
194 | 10 | 3aa |
195 | 10 | 3b0 |
196 | 10 | 3bc |
197 | 10 | 3d7 |
198 | 11 | 7d4 |
199 | 11 | 7dc |
200 | 11 | 7db |
201 | 11 | 7d5 |
202 | 11 | 7f0 |
203 | 8 | c1 |
204 | 11 | 7fb |
205 | 10 | 3c8 |
206 | 10 | 3a3 |
207 | 10 | 395 |
208 | 10 | 39d |
209 | 10 | 3ac |
210 | 10 | 3ae |
211 | 10 | 3c5 |
212 | 10 | 3d8 |
213 | 10 | 3e2 |
214 | 10 | 3e6 |
215 | 11 | 7e4 |
216 | 11 | 7e7 |
217 | 11 | 7e0 |
218 | 11 | 7e9 |
219 | 11 | 7f7 |
220 | 9 | 190 |
221 | 11 | 7f2 |
222 | 10 | 393 |
223 | 9 | 1be |
224 | 9 | 1c0 |
225 | 10 | 394 |
226 | 10 | 397 |
227 | 10 | 3ad |
228 | 10 | 3c3 |
229 | 10 | 3c1 |
230 | 10 | 3d2 |
231 | 11 | 7da |
232 | 11 | 7d9 |
233 | 11 | 7df |
234 | 11 | 7eb |
235 | 11 | 7f4 |
236 | 11 | 7fa |
237 | 9 | 195 |
238 | 11 | 7f8 |
239 | 10 | 3bd |
240 | 10 | 39c |
241 | 10 | 3ab |
242 | 10 | 3a8 |
243 | 10 | 3b3 |
244 | 10 | 3b9 |
245 | 10 | 3d0 |
246 | 10 | 3e3 |
247 | 10 | 3e5 |
248 | 11 | 7e2 |
249 | 11 | 7de |
250 | 11 | 7ed |
251 | 11 | 7f1 |
252 | 11 | 7f9 |
253 | 11 | 7fc |
254 | 9 | 193 |
255 | 12 | ffd |
256 | 10 | 3dc |
257 | 10 | 3b6 |
258 | 10 | 3c7 |
259 | 10 | 3cc |
260 | 10 | 3cb |
261 | 10 | 3d9 |
262 | 10 | 3da |
263 | 11 | 7d3 |
264 | 11 | 7e1 |
265 | 11 | 7ee |
266 | 11 | 7ef |
267 | 11 | 7f5 |
268 | 11 | 7f6 |
269 | 12 | ffc |
270 | 12 | fff |
271 | 9 | 19d |
272 | 9 | 1c2 |
273 | 8 | b5 |
274 | 8 | a1 |
275 | 8 | 96 |
276 | 8 | 97 |
277 | 8 | 95 |
278 | 8 | 99 |
279 | 8 | a0 |
280 | 8 | a2 |
281 | 8 | ac |
282 | 8 | a9 |
283 | 8 | b1 |
284 | 8 | b3 |
285 | 8 | bb |
286 | 8 | c0 |
287 | 9 | 18f |
288 | 5 | 4 |
i | w (i) |
0 | 0,0000875914060105 |
1 | 0,0009321760265333 |
2 | 0,0032114611466596 |
3 | 0,0081009893216786 |
4 | 0,0171240286619181 |
5 | 0,0320720743527833 |
6 | 0,0548307856028528 |
7 | 0,0871361822564870 |
8 | 0,1302923415174603 |
9 | 0,1848955425508276 |
10 | 0,2506163195331889 |
11 | 0,3260874142923209 |
12 | 0,4089316830907141 |
13 | 0,4959414909423747 |
14 | 0,5833939894958904 |
15 | 0,6674601983218376 |
16 | 0,7446454751465113 |
17 | 0,8121892962974020 |
18 | 0,8683559394406505 |
19 | 0,9125649996381605 |
20 | 0,9453396205809574 |
21 | 0,9680864942677585 |
22 | 0,9827581789763112 |
23 | 0,9914756203467121 |
24 | 0,9961964092194694 |
25 | 0,9984956609571091 |
26 | 0,9994855586984285 |
27 | 0,9998533730714648 |
28 | 0,9999671864476404 |
29 | 0,9999948432453556 |
30 | 0,9999995655238333 |
31 | 0,9999999961638728 |
i | w (i) |
0 | 0,0005851230124487 |
1 | 0,0009642149851497 |
2 | 0,0013558207534965 |
3 | 0,0017771849644394 |
4 | 0,0022352533849672 |
5 | 0,0027342299070304 |
6 | 0,0032773001022195 |
7 | 0,0038671998069216 |
8 | 0,0045064443384152 |
9 | 0,0051974336885144 |
10 | 0,0059425050016407 |
11 | 0,0067439602523141 |
12 | 0,0076040812644888 |
13 | 0,0085251378135895 |
14 | 0,0095093917383048 |
15 | 0,0105590986429280 |
16 | 0,0116765080854300 |
17 | 0,0128638627792770 |
18 | 0,0141233971318631 |
19 | 0,0154573353235409 |
20 | 0,0168678890600951 |
21 | 0,0183572550877256 |
22 | 0,0199276125319803 |
23 | 0,0215811201042484 |
24 | 0,0233199132076965 |
25 | 0,0251461009666641 |
26 | 0,0270617631981826 |
27 | 0,0290689473405856 |
28 | 0,0311696653515848 |
29 | 0,0333658905863535 |
30 | 0,0356595546648444 |
31 | 0,0380525443366107 |
32 | 0,0405466983507029 |
33 | 0,0431438043376910 |
34 | 0,0458455957104702 |
35 | 0,0486537485902075 |
36 | 0,0515698787635492 |
37 | 0,0545955386770205 |
38 | 0,0577322144743916 |
39 | 0,0609813230826460 |
40 | 0,0643442093520723 |
41 | 0,0678221432558827 |
42 | 0,0714163171546603 |
43 | 0,0751278431308314 |
44 | 0,0789577503982528 |
45 | 0,0829069827918993 |
46 | 0,0869763963425241 |
47 | 0,0911667569410503 |
48 | 0,0954787380973307 |
49 | 0,0999129187977865 |
50 | 0,1044697814663005 |
51 | 0,1091497100326053 |
52 | 0,1139529881122542 |
53 | 0,1188797973021148 |
54 | 0,1239302155951605 |
55 | 0,1291042159181728 |
56 | 0,1344016647957880 |
57 | 0,1398223211441467 |
58 | 0,1453658351972151 |
59 | 0,1510317475686540 |
60 | 0,1568194884519144 |
61 | 0,1627283769610327 |
62 | 0,1687576206143887 |
63 | 0,1749063149634756 |
64 | 0,1811734433685097 |
65 | 0,1875578769224857 |
66 | 0,1940583745250518 |
67 | 0,2006735831073503 |
68 | 0,2074020380087318 |
69 | 0,2142421635060113 |
70 | 0,2211922734956977 |
71 | 0,2282505723293797 |
72 | 0,2354151558022098 |
73 | 0,2426840122941792 |
74 | 0,2500550240636293 |
75 | 0,2575259686921987 |
76 | 0,2650945206801527 |
77 | 0,2727582531907993 |
78 | 0,2805146399424422 |
79 | 0,2883610572460804 |
80 | 0,2962947861868143 |
81 | 0,3043130149466800 |
82 | 0,3124128412663888 |
83 | 0,3205912750432127 |
84 | 0,3288452410620226 |
85 | 0,3371715818562547 |
86 | 0,3455670606953511 |
87 | 0,3540283646950029 |
88 | 0,3625521080463003 |
89 | 0,3711348353596863 |
90 | 0,3797730251194006 |
91 | 0,3884630932439016 |
92 | 0,3972013967475546 |
93 | 0,4059842374986933 |
94 | 0,4148078660689724 |
95 | 0,4236684856687616 |
96 | 0,4325622561631607 |
97 | 0,4414852981630577 |
98 | 0,4504336971855032 |
99 | 0,4594035078775303 |
100 | 0,4683907582974173 |
101 | 0,4773914542472655 |
102 | 0,4864015836506502 |
103 | 0,4954171209689973 |
104 | 0,5044340316502417 |
105 | 0,5134482766032377 |
106 | 0,5224558166913167 |
107 | 0,5314526172383208 |
108 | 0,5404346525403849 |
109 | 0,5493979103766972 |
110 | 0,5583383965124314 |
111 | 0,5672521391870222 |
112 | 0,5761351935809411 |
113 | 0,5849836462541291 |
114 | 0,5937936195492526 |
115 | 0,6025612759529649 |
116 | 0,6112828224083939 |
117 | 0,6199545145721097 |
118 | 0,6285726610088878 |
119 | 0,6371336273176413 |
120 | 0,6456338401819751 |
121 | 0,6540697913388968 |
122 | 0,6624380414593221 |
123 | 0,6707352239341151 |
124 | 0,6789580485595255 |
125 | 0,6871033051160131 |
126 | 0,6951678668345944 |
127 | 0,7031486937449871 |
128 | 0,7110428359000029 |
129 | 0,7188474364707993 |
130 | 0,7265597347077880 |
131 | 0,7341770687621900 |
132 | 0,7416968783634273 |
133 | 0,7491167073477523 |
134 | 0,7564342060337386 |
135 | 0,7636471334404891 |
136 | 0,7707533593446514 |
137 | 0,7777508661725849 |
138 | 0,7846377507242818 |
139 | 0,7914122257259034 |
140 | 0,7980726212080798 |
141 | 0,8046173857073919 |
142 | 0,8110450872887550 |
143 | 0,8173544143867162 |
144 | 0,8235441764639875 |
145 | 0,8296133044858474 |
146 | 0,8355608512093652 |
147 | 0,8413859912867303 |
148 | 0,8470880211822968 |
149 | 0,8526663589032990 |
150 | 0,8581205435445334 |
151 | 0,8634502346476508 |
152 | 0,8686552113760616 |
153 | 0,8737353715068081 |
154 | 0,8786907302411250 |
155 | 0,8835214188357692 |
156 | 0,8882276830575707 |
157 | 0,8928098814640207 |
158 | 0,8972684835130879 |
159 | 0,9016040675058185 |
160 | 0,9058173183656508 |
161 | 0,9099090252587376 |
162 | 0,9138800790599416 |
163 | 0,9177314696695282 |
164 | 0,9214642831859411 |
165 | 0,9250796989403991 |
166 | 0,9285789863994010 |
167 | 0,9319635019415643 |
168 | 0,9352346855155568 |
169 | 0,9383940571861993 |
170 | 0,9414432135761304 |
171 | 0,9443838242107182 |
172 | 0,9472176277741918 |
173 | 0,9499464282852282 |
174 | 0,9525720912004834 |
175 | 0,9550965394547873 |
176 | 0,9575217494469370 |
177 | 0,9598497469802043 |
178 | 0,9620826031668507 |
179 | 0,9642224303060783 |
180 | 0,9662713777449607 |
181 | 0,9682316277319895 |
182 | 0,9701053912729269 |
183 | 0,9718949039986892 |
184 | 0,9736024220549734 |
185 | 0,9752302180233160 |
186 | 0,9767805768831932 |
187 | 0,9782557920246753 |
188 | 0,9796581613210076 |
189 | 0,9809899832703159 |
190 | 0,9822535532154261 |
191 | 0,9834511596505429 |
192 | 0,9845850806232530 |
193 | 0,9856575802399989 |
194 | 0,9866709052828243 |
195 | 0,9876272819448033 |
196 | 0,9885289126911557 |
197 | 0,9893779732525968 |
198 | 0,9901766097569984 |
199 | 0,9909269360049311 |
200 | 0,9916310308941294 |
201 | 0,9922909359973702 |
202 | 0,9929086532976777 |
203 | 0,9934861430841844 |
204 | 0,9940253220113651 |
205 | 0,9945280613237534 |
206 | 0,9949961852476154 |
207 | 0,9954314695504363 |
208 | 0,9958356402684387 |
209 | 0,9962103726017252 |
210 | 0,9965572899760172 |
211 | 0,9968779632693499 |
212 | 0,9971739102014799 |
213 | 0,9974465948831872 |
214 | 0,9976974275220812 |
215 | 0,9979277642809907 |
216 | 0,9981389072844972 |
217 | 0,9983321047686901 |
218 | 0,9985085513687731 |
219 | 0,9986693885387259 |
220 | 0,9988157050968516 |
221 | 0,9989485378906924 |
222 | 0,9990688725744943 |
223 | 0,9991776444921379 |
224 | 0,9992757396582338 |
225 | 0,9993639958299003 |
226 | 0,9994432036616085 |
227 | 0,9995141079353859 |
228 | 0,9995774088586188 |
229 | 0,9996337634216871 |
230 | 0,9996837868076957 |
231 | 0,9997280538466377 |
232 | 0,9997671005064359 |
233 | 0,9998014254134544 |
234 | 0,9998314913952471 |
235 | 0,9998577270385304 |
236 | 0,9998805282555989 |
237 | 0,9999002598526793 |
238 | 0,9999172570940037 |
239 | 0,9999318272557038 |
240 | 0,9999442511639580 |
241 | 0,9999547847121726 |
242 | 0,9999636603523446 |
243 | 0,9999710885561258 |
244 | 0,9999772592414866 |
245 | 0,9999823431612708 |
246 | 0,9999864932503106 |
247 | 0,9999898459281599 |
248 | 0,9999925223548691 |
249 | 0,9999946296375997 |
250 | 0,9999962619864214 |
251 | 0,9999975018180320 |
252 | 0,9999984208055542 |
253 | 0,9999990808746198 |
254 | 0,9999995351446231 |
255 | 0,9999998288155155 |
n | wLD(n) |
0 | 0,00000000 |
1 | 0,00000000 |
2 | 0,00000000 |
3 | 0,00000000 |
4 | 0,00000000 |
5 | 0,00000000 |
6 | 0,00000000 |
7 | 0,00000000 |
8 | 0,00000000 |
9 | 0,00000000 |
10 | 0,00000000 |
11 | 0,00000000 |
12 | 0,00000000 |
13 | 0,00000000 |
14 | 0,00000000 |
15 | 0,00000000 |
16 | 0,00000000 |
17 | 0,00000000 |
18 | 0,00000000 |
19 | 0,00000000 |
20 | 0,00000000 |
21 | 0,00000000 |
22 | 0,00000000 |
23 | 0,00000000 |
24 | 0,00000000 |
25 | 0,00000000 |
26 | 0,00000000 |
27 | 0,00000000 |
28 | 0,00000000 |
29 | 0,00000000 |
30 | 0,00000000 |
31 | 0,00000000 |
32 | 0,00000000 |
33 | 0,00000000 |
34 | 0,00000000 |
35 | 0,00000000 |
36 | 0,00000000 |
37 | 0,00000000 |
38 | 0,00000000 |
39 | 0,00000000 |
40 | 0,00000000 |
41 | 0,00000000 |
42 | 0,00000000 |
43 | 0,00000000 |
44 | 0,00000000 |
45 | 0,00000000 |
46 | 0,00000000 |
47 | 0,00000000 |
48 | 0,00000000 |
49 | 0,00000000 |
50 | 0,00000000 |
51 | 0,00000000 |
52 | 0,00000000 |
53 | 0,00000000 |
54 | 0,00000000 |
55 | 0,00000000 |
56 | 0,00000000 |
57 | 0,00000000 |
58 | 0,00000000 |
59 | 0,00000000 |
60 | 0,00000000 |
61 | 0,00000000 |
62 | 0,00000000 |
63 | 0,00000000 |
64 | 0,00000000 |
65 | 0,00000000 |
66 | 0,00000000 |
67 | 0,00000000 |
68 | 0,00000000 |
69 | 0,00000000 |
70 | 0,00000000 |
71 | 0,00000000 |
72 | 0,00000000 |
73 | 0,00000000 |
74 | 0,00000000 |
75 | 0,00000000 |
76 | 0,00000000 |
77 | 0,00000000 |
78 | 0,00000000 |
79 | 0,00000000 |
80 | 0,00000000 |
81 | 0,00000000 |
82 | 0,00000000 |
83 | 0,00000000 |
84 | 0,00000000 |
85 | 0,00000000 |
86 | 0,00000000 |
87 | 0,00000000 |
88 | 0,00000000 |
89 | 0,00000000 |
90 | 0,00000000 |
91 | 0,00000000 |
92 | 0,00000000 |
93 | 0,00000000 |
94 | 0,00000000 |
95 | 0,00000000 |
96 | 0,00000000 |
97 | 0,00000000 |
98 | 0,00000000 |
99 | 0,00000000 |
100 | 0,00000000 |
101 | 0,00000000 |
102 | 0,00000000 |
103 | 0,00000000 |
104 | 0,00000000 |
105 | 0,00000000 |
106 | 0,00000000 |
107 | 0,00000000 |
108 | 0,00000000 |
109 | 0,00000000 |
110 | 0,00000000 |
111 | 0,00000000 |
112 | 0,00000000 |
113 | 0,00000000 |
114 | 0,00000000 |
115 | 0,00000000 |
116 | 0,00000000 |
117 | 0,00000000 |
118 | 0,00000000 |
119 | 0,00000000 |
120 | 0,00000000 |
121 | 0,00000000 |
122 | 0,00000000 |
123 | 0,00000000 |
124 | 0,00000000 |
125 | 0,00000000 |
126 | 0,00000000 |
127 | 0,00000000 |
128 | 0,00338834 |
129 | 0,00567745 |
130 | 0,00847677 |
131 | 0,01172641 |
132 | 0,01532555 |
133 | 0,01917664 |
134 | 0,02318809 |
135 | 0,02729259 |
136 | 0,03144503 |
137 | 0,03560261 |
138 | 0,03972499 |
139 | 0,04379783 |
140 | 0,04783094 |
141 | 0,05183357 |
142 | 0,05581342 |
143 | 0,05977723 |
144 | 0,06373173 |
145 | 0,06768364 |
146 | 0,07163937 |
147 | 0,07559976 |
148 | 0,07956096 |
149 | 0,08352024 |
150 | 0,08747623 |
151 | 0,09143035 |
152 | 0,09538618 |
153 | 0,09934771 |
154 | 0,10331917 |
155 | 0,10730456 |
156 | 0,11130697 |
157 | 0,11532867 |
158 | 0,11937133 |
159 | 0,12343922 |
160 | 0,12753911 |
161 | 0,13167705 |
162 | 0,13585812 |
163 | 0,14008529 |
164 | 0,14435986 |
165 | 0,14868291 |
166 | 0,15305531 |
167 | 0,15747594 |
168 | 0,16194193 |
169 | 0,16645070 |
170 | 0,17099991 |
171 | 0,17558633 |
172 | 0,18020600 |
173 | 0,18485548 |
174 | 0,18953191 |
175 | 0,19423322 |
176 | 0,19895800 |
177 | 0,20370512 |
178 | 0,20847374 |
179 | 0,21326312 |
180 | 0,21807244 |
181 | 0,22290083 |
182 | 0,22774742 |
183 | 0,23261210 |
184 | 0,23749542 |
185 | 0,24239767 |
186 | 0,24731889 |
187 | 0,25225887 |
188 | 0,25721719 |
189 | 0,26219330 |
190 | 0,26718648 |
191 | 0,27219630 |
192 | 0,27722262 |
193 | 0,28226514 |
194 | 0,28732336 |
195 | 0,29239628 |
196 | 0,29748247 |
197 | 0,30258055 |
198 | 0,30768914 |
199 | 0,31280508 |
200 | 0,31792385 |
201 | 0,32304172 |
202 | 0,32815579 |
203 | 0,33326397 |
204 | 0,33836470 |
205 | 0,34345661 |
206 | 0,34853868 |
207 | 0,35361188 |
208 | 0,35867865 |
209 | 0,36374072 |
210 | 0,36879900 |
211 | 0,37385347 |
212 | 0,37890349 |
213 | 0,38394836 |
214 | 0,38898730 |
215 | 0,39401912 |
216 | 0,39904236 |
217 | 0,40405575 |
218 | 0,40905820 |
219 | 0,41404819 |
220 | 0,41902398 |
221 | 0,42398423 |
222 | 0,42892805 |
223 | 0,43385441 |
224 | 0,43876210 |
225 | 0,44365014 |
226 | 0,44851786 |
227 | 0,45336632 |
228 | 0,45819759 |
229 | 0,46301302 |
230 | 0,46781309 |
231 | 0,47259722 |
232 | 0,47736435 |
233 | 0,48211365 |
234 | 0,48684450 |
235 | 0,49155594 |
236 | 0,49624679 |
237 | 0,50091636 |
238 | 0,50556440 |
239 | 0,51019132 |
240 | 0,51479771 |
241 | 0,51938391 |
242 | 0,52394998 |
243 | 0,52849587 |
244 | 0,53302151 |
245 | 0,53752680 |
246 | 0,54201160 |
247 | 0,54647575 |
248 | 0,55091916 |
249 | 0,55534181 |
250 | 0,55974376 |
251 | 0,56412513 |
252 | 0,56848615 |
253 | 0,57282710 |
254 | 0,57714834 |
255 | 0,58145030 |
256 | 0,58492489 |
257 | 0,58918511 |
258 | 0,59342326 |
259 | 0,59763936 |
260 | 0,60183347 |
261 | 0,60600561 |
262 | 0,61015581 |
263 | 0,61428412 |
264 | 0,61839056 |
265 | 0,62247517 |
266 | 0,62653799 |
267 | 0,63057912 |
268 | 0,63459872 |
269 | 0,63859697 |
270 | 0,64257403 |
271 | 0,64653001 |
272 | 0,65046495 |
273 | 0,65437887 |
274 | 0,65827181 |
275 | 0,66214383 |
276 | 0,66599499 |
277 | 0,66982535 |
278 | 0,67363499 |
279 | 0,67742394 |
280 | 0,68119219 |
281 | 0,68493972 |
282 | 0,68866653 |
283 | 0,69237258 |
284 | 0,69605778 |
285 | 0,69972207 |
286 | 0,70336537 |
287 | 0,70698758 |
288 | 0,71058862 |
289 | 0,71416837 |
290 | 0,71772674 |
291 | 0,72126361 |
292 | 0,72477889 |
293 | 0,72827246 |
294 | 0,73174419 |
295 | 0,73519392 |
296 | 0,73862141 |
297 | 0,74202643 |
298 | 0,74540874 |
299 | 0,74876817 |
300 | 0,75210458 |
301 | 0,75541785 |
302 | 0,75870785 |
303 | 0,76197437 |
304 | 0,76521709 |
305 | 0,76843570 |
306 | 0,77162988 |
307 | 0,77479939 |
308 | 0,77794403 |
309 | 0,78106359 |
310 | 0,78415789 |
311 | 0,78722670 |
312 | 0,79026979 |
313 | 0,79328694 |
314 | 0,79627791 |
315 | 0,79924244 |
316 | 0,80218027 |
317 | 0,80509112 |
318 | 0,80797472 |
319 | 0,81083081 |
320 | 0,81365915 |
321 | 0,81645949 |
322 | 0,81923160 |
323 | 0,82197528 |
324 | 0,82469037 |
325 | 0,82737673 |
326 | 0,83003419 |
327 | 0,83266262 |
328 | 0,83526186 |
329 | 0,83783176 |
330 | 0,84037217 |
331 | 0,84288297 |
332 | 0,84536401 |
333 | 0,84781517 |
334 | 0,85023632 |
335 | 0,85262739 |
336 | 0,85498836 |
337 | 0,85731921 |
338 | 0,85961993 |
339 | 0,86189052 |
340 | 0,86413101 |
341 | 0,86634140 |
342 | 0,86852173 |
343 | 0,87067211 |
344 | 0,87279275 |
345 | 0,87488384 |
346 | 0,87694559 |
347 | 0,87897824 |
348 | 0,88098206 |
349 | 0,88295729 |
350 | 0,88490423 |
351 | 0,88682332 |
352 | 0,88871519 |
353 | 0,89058048 |
354 | 0,89241984 |
355 | 0,89423391 |
356 | 0,89602338 |
357 | 0,89778893 |
358 | 0,89953126 |
359 | 0,90125142 |
360 | 0,90295086 |
361 | 0,90463104 |
362 | 0,90629341 |
363 | 0,90793946 |
364 | 0,90957067 |
365 | 0,91118856 |
366 | 0,91279464 |
367 | 0,91439073 |
368 | 0,91597898 |
369 | 0,91756153 |
370 | 0,91914049 |
371 | 0,92071690 |
372 | 0,92229070 |
373 | 0,92386182 |
374 | 0,92542993 |
375 | 0,92698946 |
376 | 0,92852960 |
377 | 0,93003929 |
378 | 0,93150727 |
379 | 0,93291739 |
380 | 0,93424863 |
381 | 0,93547974 |
382 | 0,93658982 |
383 | 0,93756587 |
384 | 0,93894072 |
385 | 0,93922780 |
386 | 0,93955477 |
387 | 0,93991290 |
388 | 0,94029104 |
389 | 0,94067794 |
390 | 0,94106258 |
391 | 0,94144084 |
392 | 0,94181549 |
393 | 0,94218963 |
394 | 0,94256628 |
395 | 0,94294662 |
396 | 0,94332998 |
397 | 0,94371562 |
398 | 0,94410280 |
399 | 0,94449122 |
400 | 0,94488106 |
401 | 0,94527249 |
402 | 0,94566568 |
403 | 0,94606074 |
404 | 0,94645772 |
405 | 0,94685665 |
406 | 0,94725759 |
407 | 0,94766054 |
408 | 0,94806547 |
409 | 0,94847234 |
410 | 0,94888115 |
411 | 0,94929190 |
412 | 0,94970469 |
413 | 0,95011960 |
414 | 0,95053672 |
415 | 0,95095604 |
416 | 0,95137751 |
417 | 0,95180105 |
418 | 0,95222658 |
419 | 0,95265413 |
420 | 0,95308380 |
421 | 0,95351571 |
422 | 0,95394994 |
423 | 0,95438653 |
424 | 0,95482538 |
425 | 0,95526643 |
426 | 0,95570958 |
427 | 0,95615486 |
428 | 0,95660234 |
429 | 0,95705214 |
430 | 0,95750433 |
431 | 0,95795892 |
432 | 0,95841582 |
433 | 0,95887493 |
434 | 0,95933616 |
435 | 0,95979949 |
436 | 0,96026500 |
437 | 0,96073277 |
438 | 0,96120286 |
439 | 0,96167526 |
440 | 0,96214986 |
441 | 0,96262655 |
442 | 0,96310522 |
443 | 0,96358586 |
444 | 0,96406853 |
445 | 0,96455330 |
446 | 0,96504026 |
447 | 0,96552936 |
448 | 0,96602051 |
449 | 0,96651360 |
450 | 0,96700850 |
451 | 0,96750520 |
452 | 0,96800376 |
453 | 0,96850424 |
454 | 0,96900670 |
455 | 0,96951112 |
456 | 0,97001738 |
457 | 0,97052533 |
458 | 0,97103488 |
459 | 0,97154597 |
460 | 0,97205867 |
461 | 0,97257304 |
462 | 0,97308915 |
463 | 0,97360694 |
464 | 0,97412631 |
465 | 0,97464711 |
466 | 0,97516923 |
467 | 0,97569262 |
468 | 0,97621735 |
469 | 0,97674350 |
470 | 0,97727111 |
471 | 0,97780016 |
472 | 0,97833051 |
473 | 0,97886205 |
474 | 0,97939463 |
475 | 0,97992823 |
476 | 0,98046291 |
477 | 0,98099875 |
478 | 0,98153580 |
479 | 0,98207405 |
480 | 0,98261337 |
481 | 0,98315364 |
482 | 0,98369474 |
483 | 0,98423664 |
484 | 0,98477941 |
485 | 0,98532311 |
486 | 0,98586780 |
487 | 0,98641348 |
488 | 0,98696003 |
489 | 0,98750734 |
490 | 0,98805530 |
491 | 0,98860389 |
492 | 0,98915320 |
493 | 0,98970328 |
494 | 0,99025423 |
495 | 0,99080602 |
496 | 0,99135855 |
497 | 0,99191171 |
498 | 0,99246541 |
499 | 0,99301962 |
500 | 0,99357443 |
501 | 0,99412992 |
502 | 0,99468617 |
503 | 0,99524320 |
504 | 0,99580092 |
505 | 0,99635926 |
506 | 0,99691814 |
507 | 0,99747748 |
508 | 0,99803721 |
509 | 0,99859725 |
510 | 0,99915752 |
511 | 0,99971793 |
512 | 1,00028215 |
513 | 1,00084319 |
514 | 1,00140472 |
515 | 1,00196665 |
516 | 1,00252889 |
517 | 1,00309139 |
518 | 1,00365404 |
519 | 1,00421679 |
520 | 1,00477954 |
521 | 1,00534221 |
522 | 1,00590474 |
523 | 1,00646713 |
524 | 1,00702945 |
525 | 1,00759179 |
526 | 1,00815424 |
527 | 1,00871678 |
528 | 1,00927930 |
529 | 1,00984169 |
530 | 1,01040384 |
531 | 1,01096575 |
532 | 1,01152747 |
533 | 1,01208910 |
534 | 1,01265070 |
535 | 1,01321226 |
536 | 1,01433478 |
537 | 1,01489551 |
538 | 1,01545584 |
539 | 1,01601582 |
540 | 1,01657553 |
541 | 1,01713502 |
542 | 1,01769427 |
543 | 1,01825316 |
544 | 1,01881154 |
545 | 1,01433478 |
546 | 1,01936929 |
547 | 1,01992639 |
548 | 1,02048289 |
549 | 1,02103888 |
550 | 1,02159441 |
551 | 1,02214945 |
552 | 1,02270387 |
553 | 1,02325751 |
554 | 1,02381025 |
555 | 1,02436204 |
556 | 1,02491295 |
557 | 1,02546304 |
558 | 1,02601238 |
559 | 1,02656092 |
560 | 1,02710853 |
561 | 1,02765508 |
562 | 1,02820041 |
563 | 1,02874449 |
564 | 1,02928737 |
565 | 1,02982913 |
566 | 1,03036981 |
567 | 1,03090937 |
568 | 1,03144768 |
569 | 1,03198460 |
570 | 1,03252000 |
571 | 1,03305384 |
572 | 1,03358617 |
573 | 1,03411707 |
574 | 1,03464659 |
575 | 1,03517470 |
576 | 1,03570128 |
577 | 1,03622620 |
578 | 1,03674934 |
579 | 1,03727066 |
580 | 1,03779024 |
581 | 1,03830815 |
582 | 1,03882446 |
583 | 1,03933914 |
584 | 1,03985206 |
585 | 1,04036312 |
586 | 1,04087217 |
587 | 1,04137920 |
588 | 1,04188428 |
589 | 1,04238748 |
590 | 1,04288888 |
591 | 1,04338845 |
592 | 1,04388610 |
593 | 1,04438170 |
594 | 1,04487515 |
595 | 1,04536645 |
596 | 1,04585569 |
597 | 1,04634297 |
598 | 1,04682838 |
599 | 1,04731192 |
600 | 1,04779350 |
601 | 1,04827303 |
602 | 1,04875042 |
603 | 1,04922568 |
604 | 1,04969891 |
605 | 1,05017022 |
606 | 1,05063974 |
607 | 1,05110746 |
608 | 1,05157332 |
609 | 1,05203721 |
610 | 1,05249907 |
611 | 1,05295889 |
612 | 1,05341676 |
613 | 1,05387277 |
614 | 1,05432700 |
615 | 1,05477948 |
616 | 1,05523018 |
617 | 1,05567906 |
618 | 1,05612608 |
619 | 1,05657124 |
620 | 1,05701459 |
621 | 1,05745616 |
622 | 1,05789601 |
623 | 1,05833426 |
624 | 1,05877109 |
625 | 1,05920669 |
626 | 1,05964125 |
627 | 1,06007444 |
628 | 1,06050542 |
629 | 1,06093335 |
630 | 1,06135746 |
631 | 1,06177909 |
632 | 1,06220164 |
633 | 1,06262858 |
634 | 1,06306309 |
635 | 1,06350050 |
636 | 1,06392837 |
637 | 1,06433391 |
638 | 1,06470443 |
639 | 1,06502996 |
640 | 1,06481076 |
641 | 1,06469765 |
642 | 1,06445004 |
643 | 1,06408002 |
644 | 1,06361382 |
645 | 1,06307719 |
646 | 1,06249453 |
647 | 1,06188365 |
648 | 1,06125612 |
649 | 1,06062291 |
650 | 1,05999418 |
651 | 1,05937132 |
652 | 1,05874726 |
653 | 1,05811486 |
654 | 1,05746728 |
655 | 1,05680000 |
656 | 1,05611070 |
657 | 1,05539715 |
658 | 1,05465735 |
659 | 1,05389329 |
660 | 1,05311083 |
661 | 1,05231578 |
662 | 1,05151372 |
663 | 1,05070811 |
664 | 1,04990044 |
665 | 1,04909210 |
666 | 1,04828434 |
667 | 1,04747647 |
668 | 1,04666590 |
669 | 1,04585003 |
670 | 1,04502628 |
671 | 1,04419009 |
672 | 1,04333499 |
673 | 1,04245452 |
674 | 1,04154244 |
675 | 1,04059452 |
676 | 1,03960846 |
677 | 1,03858207 |
678 | 1,03751326 |
679 | 1,03640189 |
680 | 1,03524976 |
681 | 1,03405868 |
682 | 1,03283047 |
683 | 1,03156812 |
684 | 1,03027574 |
685 | 1,02895743 |
686 | 1,02761717 |
687 | 1,02625804 |
688 | 1,02488222 |
689 | 1,02349184 |
690 | 1,02208892 |
691 | 1,02067450 |
692 | 1,01924861 |
693 | 1,01781123 |
694 | 1,01636229 |
695 | 1,01490045 |
696 | 1,01342315 |
697 | 1,01192778 |
698 | 1,01041175 |
699 | 1,00887284 |
700 | 1,00730915 |
701 | 1,00571882 |
702 | 1,00409996 |
703 | 1,00245032 |
704 | 1,00076734 |
705 | 0,99904842 |
706 | 0,99729101 |
707 | 0,99549380 |
708 | 0,99365664 |
709 | 0,99177946 |
710 | 0,98986234 |
711 | 0,98791024 |
712 | 0,98593294 |
713 | 0,98394037 |
714 | 0,98194226 |
715 | 0,97994532 |
716 | 0,97795324 |
717 | 0,97596955 |
718 | 0,97399748 |
719 | 0,97203326 |
720 | 0,97006624 |
721 | 0,96808546 |
722 | 0,96608018 |
723 | 0,96404416 |
724 | 0,96197556 |
725 | 0,95987276 |
726 | 0,95773420 |
727 | 0,95556018 |
728 | 0,95335291 |
729 | 0,95111462 |
730 | 0,94884764 |
731 | 0,94655663 |
732 | 0,94424858 |
733 | 0,94193055 |
734 | 0,93960953 |
735 | 0,93729154 |
736 | 0,93498157 |
737 | 0,93268456 |
738 | 0,93040503 |
739 | 0,92813771 |
740 | 0,92586755 |
741 | 0,92357910 |
742 | 0,92125731 |
743 | 0,91889642 |
744 | 0,91649998 |
745 | 0,91407191 |
746 | 0,91161623 |
747 | 0,90913975 |
748 | 0,90665202 |
749 | 0,90416271 |
750 | 0,90168115 |
751 | 0,89920934 |
752 | 0,89674189 |
753 | 0,89427312 |
754 | 0,89179743 |
755 | 0,88931147 |
756 | 0,88681415 |
757 | 0,88430445 |
758 | 0,88178141 |
759 | 0,87924528 |
760 | 0,87669753 |
761 | 0,87413966 |
762 | 0,87157318 |
763 | 0,86899958 |
764 | 0,86642037 |
765 | 0,86383703 |
766 | 0,86125106 |
767 | 0,85866393 |
768 | 0,85604236 |
769 | 0,85344385 |
770 | 0,85083093 |
771 | 0,84820550 |
772 | 0,84556943 |
773 | 0,84292458 |
774 | 0,84027278 |
775 | 0,83761586 |
776 | 0,83495565 |
777 | 0,83229393 |
778 | 0,82963243 |
779 | 0,82697135 |
780 | 0,82430933 |
781 | 0,82164496 |
782 | 0,81897669 |
783 | 0,81630017 |
784 | 0,81360822 |
785 | 0,81089355 |
786 | 0,80814924 |
787 | 0,80537741 |
788 | 0,80258920 |
789 | 0,79979611 |
790 | 0,79700954 |
791 | 0,79423813 |
792 | 0,79148780 |
793 | 0,78876432 |
794 | 0,78607290 |
795 | 0,78340590 |
796 | 0,78074288 |
797 | 0,77806279 |
798 | 0,77534514 |
799 | 0,77258187 |
800 | 0,76977737 |
801 | 0,76693654 |
802 | 0,76406441 |
803 | 0,76116851 |
804 | 0,75825892 |
805 | 0,75534582 |
806 | 0,75243924 |
807 | 0,74954634 |
808 | 0,74667135 |
809 | 0,74381840 |
810 | 0,74099145 |
811 | 0,73819147 |
812 | 0,73541641 |
813 | 0,73266408 |
814 | 0,72993193 |
815 | 0,72720913 |
816 | 0,72447661 |
817 | 0,72171494 |
818 | 0,71890515 |
819 | 0,71603932 |
820 | 0,71312056 |
821 | 0,71015250 |
822 | 0,70713900 |
823 | 0,70409084 |
824 | 0,70102565 |
825 | 0,69796137 |
826 | 0,69491556 |
827 | 0,69189772 |
828 | 0,68890931 |
829 | 0,68595141 |
830 | 0,68302498 |
831 | 0,68012852 |
832 | 0,67725801 |
833 | 0,67440936 |
834 | 0,67157841 |
835 | 0,66876081 |
836 | 0,66595195 |
837 | 0,66314722 |
838 | 0,66034194 |
839 | 0,65753027 |
840 | 0,65470525 |
841 | 0,65185984 |
842 | 0,64898709 |
843 | 0,64608214 |
844 | 0,64314221 |
845 | 0,64016460 |
846 | 0,63714680 |
847 | 0,63409034 |
848 | 0,63100082 |
849 | 0,62788400 |
850 | 0,62474577 |
851 | 0,62159473 |
852 | 0,61844225 |
853 | 0,61529977 |
854 | 0,61217866 |
855 | 0,60908811 |
856 | 0,60603510 |
857 | 0,60302654 |
858 | 0,60006916 |
859 | 0,59716588 |
860 | 0,59431580 |
861 | 0,59151787 |
862 | 0,58877068 |
863 | 0,58606495 |
864 | 0,58338353 |
865 | 0,58070891 |
866 | 0,57802356 |
867 | 0,57530864 |
868 | 0,57254404 |
869 | 0,56970958 |
870 | 0,56678577 |
871 | 0,56376860 |
872 | 0,56066951 |
873 | 0,55750064 |
874 | 0,55427451 |
875 | 0,55101301 |
876 | 0,54774732 |
877 | 0,54450907 |
878 | 0,54132936 |
879 | 0,53822744 |
880 | 0,53521072 |
881 | 0,53228613 |
882 | 0,52945979 |
883 | 0,52671997 |
884 | 0,52403708 |
885 | 0,52138072 |
886 | 0,51872085 |
887 | 0,51603570 |
888 | 0,51331170 |
889 | 0,51053560 |
890 | 0,50769466 |
891 | 0,50478931 |
892 | 0,50183308 |
893 | 0,49884001 |
894 | 0,49582406 |
895 | 0,49279905 |
896 | 0,48985748 |
897 | 0,48679641 |
898 | 0,48379429 |
899 | 0,48085363 |
900 | 0,47796576 |
901 | 0,47512151 |
902 | 0,47231151 |
903 | 0,46952402 |
904 | 0,46674486 |
905 | 0,46395979 |
906 | 0,46115496 |
907 | 0,45832607 |
908 | 0,45547830 |
909 | 0,45261727 |
910 | 0,44974866 |
911 | 0,44688011 |
912 | 0,44402125 |
913 | 0,44118178 |
914 | 0,43837094 |
915 | 0,43558772 |
916 | 0,43282082 |
917 | 0,43005847 |
918 | 0,42728913 |
919 | 0,42450572 |
920 | 0,42170567 |
921 | 0,41888658 |
922 | 0,41604633 |
923 | 0,41318897 |
924 | 0,41032472 |
925 | 0,40746405 |
926 | 0,40461724 |
927 | 0,40178943 |
928 | 0,39898066 |
929 | 0,39619073 |
930 | 0,39341940 |
931 | 0,39066519 |
932 | 0,38792536 |
933 | 0,38519713 |
934 | 0,38247773 |
935 | 0,37976476 |
936 | 0,37705620 |
937 | 0,37435006 |
938 | 0,37164438 |
939 | 0,36893869 |
940 | 0,36623396 |
941 | 0,36353124 |
942 | 0,36083153 |
943 | 0,35813533 |
944 | 0,35544262 |
945 | 0,35275338 |
946 | 0,35006755 |
947 | 0,34738530 |
948 | 0,34470699 |
949 | 0,34203296 |
950 | 0,33936359 |
951 | 0,33669923 |
952 | 0,33404027 |
953 | 0,33138711 |
954 | 0,32874013 |
955 | 0,32609944 |
956 | 0,32346493 |
957 | 0,32083645 |
958 | 0,31821388 |
959 | 0,31559703 |
960 | 0,31298573 |
961 | 0,31037987 |
962 | 0,30777941 |
963 | 0,30518446 |
964 | 0,30259525 |
965 | 0,30001202 |
966 | 0,29743499 |
967 | 0,29486428 |
968 | 0,29229989 |
969 | 0,28974179 |
970 | 0,28718997 |
971 | 0,28464452 |
972 | 0,28210562 |
973 | 0,27957346 |
974 | 0,27704820 |
975 | 0,27452992 |
976 | 0,27201854 |
977 | 0,26951399 |
978 | 0,26701622 |
979 | 0,26452533 |
980 | 0,26204158 |
981 | 0,25956526 |
982 | 0,25709662 |
983 | 0,25463583 |
984 | 0,25218294 |
985 | 0,24973798 |
986 | 0,24730100 |
987 | 0,24487207 |
988 | 0,24245133 |
989 | 0,24003893 |
990 | 0,23763500 |
991 | 0,23523959 |
992 | 0,23285262 |
993 | 0,23047401 |
994 | 0,22810369 |
995 | 0,22574170 |
996 | 0,22338818 |
997 | 0,22104329 |
998 | 0,21870719 |
999 | 0,21637986 |
1000 | 0,21406117 |
1001 | 0,21175095 |
1002 | 0,20944904 |
1003 | 0,20715535 |
1004 | 0,20486987 |
1005 | 0,20259261 |
1006 | 0,20032356 |
1007 | 0,19806259 |
1008 | 0,19580944 |
1009 | 0,19356385 |
1010 | 0,19132556 |
1011 | 0,18909442 |
1012 | 0,18687040 |
1013 | 0,18465350 |
1014 | 0,18244372 |
1015 | 0,18024164 |
1016 | 0,17804841 |
1017 | 0,17586521 |
1018 | 0,17369322 |
1019 | 0,17153360 |
1020 | 0,16938755 |
1021 | 0,16725622 |
1022 | 0,16514081 |
1023 | 0,16304247 |
1024 | 0,16098974 |
1025 | 0,15896561 |
1026 | 0,15696026 |
1027 | 0,15497259 |
1028 | 0,15300151 |
1029 | 0,15104590 |
1030 | 0,14910466 |
1031 | 0,14717666 |
1032 | 0,14526081 |
1033 | 0,14335599 |
1034 | 0,14146111 |
1035 | 0,13957570 |
1036 | 0,13769993 |
1037 | 0,13583399 |
1038 | 0,13397806 |
1039 | 0,13213229 |
1040 | 0,13029682 |
1041 | 0,12847178 |
1042 | 0,12665729 |
1043 | 0,12485353 |
1044 | 0,12306074 |
1045 | 0,12127916 |
1046 | 0,11950900 |
1047 | 0,11775043 |
1048 | 0,11600347 |
1049 | 0,11426820 |
1050 | 0,11254465 |
1051 | 0,11083292 |
1052 | 0,10913318 |
1053 | 0,10744559 |
1054 | 0,10577028 |
1055 | 0,10410733 |
1056 | 0,10245672 |
1057 | 0,10081842 |
1058 | 0,09919240 |
1059 | 0,09757872 |
1060 | 0,09597750 |
1061 | 0,09438884 |
1062 | 0,09281288 |
1063 | 0,09124964 |
1064 | 0,08969907 |
1065 | 0,08816111 |
1066 | 0,08663570 |
1067 | 0,08512288 |
1068 | 0,08362274 |
1069 | 0,08213540 |
1070 | 0,08066096 |
1071 | 0,07919944 |
1072 | 0,07775076 |
1073 | 0,07631484 |
1074 | 0,07489161 |
1075 | 0,07348108 |
1076 | 0,07208335 |
1077 | 0,07069851 |
1078 | 0,06932667 |
1079 | 0,06796781 |
1080 | 0,06662187 |
1081 | 0,06528874 |
1082 | 0,06396833 |
1083 | 0,06266065 |
1084 | 0,06136578 |
1085 | 0,06008380 |
1086 | 0,05881480 |
1087 | 0,05755876 |
1088 | 0,05631557 |
1089 | 0,05508511 |
1090 | 0,05386728 |
1091 | 0,05266206 |
1092 | 0,05146951 |
1093 | 0,05028971 |
1094 | 0,04912272 |
1095 | 0,04796855 |
1096 | 0,04682709 |
1097 | 0,04569825 |
1098 | 0,04458194 |
1099 | 0,04347817 |
1100 | 0,04238704 |
1101 | 0,04130868 |
1102 | 0,04024318 |
1103 | 0,03919056 |
1104 | 0,03815071 |
1105 | 0,03712352 |
1106 | 0,03610890 |
1107 | 0,03510679 |
1108 | 0,03411720 |
1109 | 0,03314013 |
1110 | 0,03217560 |
1111 | 0,03122343 |
1112 | 0,03028332 |
1113 | 0,02935494 |
1114 | 0,02843799 |
1115 | 0,02753230 |
1116 | 0,02663788 |
1117 | 0,02575472 |
1118 | 0,02488283 |
1119 | 0,02402232 |
1120 | 0,02317341 |
1121 | 0,02233631 |
1122 | 0,02151124 |
1123 | 0,02069866 |
1124 | 0,01989922 |
1125 | 0,01911359 |
1126 | 0,01834241 |
1127 | 0,01758563 |
1128 | 0,01684248 |
1129 | 0,01611219 |
1130 | 0,01539398 |
1131 | 0,01468726 |
1132 | 0,01399167 |
1133 | 0,01330687 |
1134 | 0,01263250 |
1135 | 0,01196871 |
1136 | 0,01131609 |
1137 | 0,01067527 |
1138 | 0,01004684 |
1139 | 0,00943077 |
1140 | 0,00882641 |
1141 | 0,00823307 |
1142 | 0,00765011 |
1143 | 0,00707735 |
1144 | 0,00651513 |
1145 | 0,00596377 |
1146 | 0,00542364 |
1147 | 0,00489514 |
1148 | 0,00437884 |
1149 | 0,00387530 |
1150 | 0,00338509 |
1151 | 0,00290795 |
1152 | 0,00244282 |
1153 | 0,00198860 |
1154 | 0,00154417 |
1155 | 0,00110825 |
1156 | 0,00067934 |
1157 | 0,00025589 |
1158 | -0,00016357 |
1159 | -0,00057897 |
1160 | -0,00098865 |
1161 | -0,00139089 |
1162 | -0,00178397 |
1163 | -0,00216547 |
1164 | -0,00253230 |
1165 | -0,00288133 |
1166 | -0,00320955 |
1167 | -0,00351626 |
1168 | -0,00380315 |
1169 | -0,00407198 |
1170 | -0,00432457 |
1171 | -0,00456373 |
1172 | -0,00479326 |
1173 | -0,00501699 |
1174 | -0,00523871 |
1175 | -0,00546066 |
1176 | -0,00568360 |
1177 | -0,00590821 |
1178 | -0,00613508 |
1179 | -0,00636311 |
1180 | -0,00658944 |
1181 | -0,00681117 |
1182 | -0,00702540 |
1183 | -0,00722982 |
1184 | -0,00742268 |
1185 | -0,00760226 |
1186 | -0,00776687 |
1187 | -0,00791580 |
1188 | -0,00804933 |
1189 | -0,00816774 |
1190 | -0,00827139 |
1191 | -0,00836122 |
1192 | -0,00843882 |
1193 | -0,00850583 |
1194 | -0,00856383 |
1195 | -0,00861430 |
1196 | -0,00865853 |
1197 | -0,00869781 |
1198 | -0,00873344 |
1199 | -0,00876633 |
1200 | -0,00879707 |
1201 | -0,00882622 |
1202 | -0,00885433 |
1203 | -0,00888132 |
1204 | -0,00890652 |
1205 | -0,00892925 |
1206 | -0,00894881 |
1207 | -0,00896446 |
1208 | -0,00897541 |
1209 | -0,00898088 |
1210 | -0,00898010 |
1211 | -0,00897234 |
1212 | -0,00895696 |
1213 | -0,00893330 |
1214 | -0,00890076 |
1215 | -0,00885914 |
1216 | -0,00880875 |
1217 | -0,00874987 |
1218 | -0,00868282 |
1219 | -0,00860825 |
1220 | -0,00852716 |
1221 | -0,00844055 |
1222 | -0,00834941 |
1223 | -0,00825485 |
1224 | -0,00815807 |
1225 | -0,00806025 |
1226 | -0,00796253 |
1227 | -0,00786519 |
1228 | -0,00776767 |
1229 | -0,00766937 |
1230 | -0,00756971 |
1231 | -0,00746790 |
1232 | -0,00736305 |
1233 | -0,00725422 |
1234 | -0,00714055 |
1235 | -0,00702161 |
1236 | -0,00689746 |
1237 | -0,00676816 |
1238 | -0,00663381 |
1239 | -0,00649489 |
1240 | -0,00635230 |
1241 | -0,00620694 |
1242 | -0,00605969 |
1243 | -0,00591116 |
1244 | -0,00576167 |
1245 | -0,00561155 |
1246 | -0,00546110 |
1247 | -0,00531037 |
1248 | -0,00515917 |
1249 | -0,00500732 |
1250 | -0,00485462 |
1251 | -0,00470075 |
1252 | -0,00454530 |
1253 | -0,00438786 |
1254 | -0,00422805 |
1255 | -0,00406594 |
1256 | -0,00390204 |
1257 | -0,00373686 |
1258 | -0,00357091 |
1259 | -0,00340448 |
1260 | -0,00323770 |
1261 | -0,00307066 |
1262 | -0,00290344 |
1263 | -0,00273610 |
1264 | -0,00256867 |
1265 | -0,00240117 |
1266 | -0,00223365 |
1267 | -0,00206614 |
1268 | -0,00189866 |
1269 | -0,00173123 |
1270 | -0,00156390 |
1271 | -0,00139674 |
1272 | -0,00122989 |
1273 | -0,00106351 |
1274 | -0,00089772 |
1275 | -0,00073267 |
1276 | -0,00056849 |
1277 | -0,00040530 |
1278 | -0,00024324 |
1279 | -0,00008241 |
1280 | 0,00008214 |
1281 | 0,00024102 |
1282 | 0,00039922 |
1283 | 0,00055660 |
1284 | 0,00071299 |
1285 | 0,00086826 |
1286 | 0,00102224 |
1287 | 0,00117480 |
1288 | 0,00132579 |
1289 | 0,00147507 |
1290 | 0,00162252 |
1291 | 0,00176804 |
1292 | 0,00191161 |
1293 | 0,00205319 |
1294 | 0,00219277 |
1295 | 0,00233029 |
1296 | 0,00246567 |
1297 | 0,00259886 |
1298 | 0,00272975 |
1299 | 0,00285832 |
1300 | 0,00298453 |
1301 | 0,00310839 |
1302 | 0,00322990 |
1303 | 0,00334886 |
1304 | 0,00346494 |
1305 | 0,00357778 |
1306 | 0,00368706 |
1307 | 0,00379273 |
1308 | 0,00389501 |
1309 | 0,00399411 |
1310 | 0,00409020 |
1311 | 0,00418350 |
1312 | 0,00427419 |
1313 | 0,00436249 |
1314 | 0,00444858 |
1315 | 0,00453250 |
1316 | 0,00461411 |
1317 | 0,00469328 |
1318 | 0,00476988 |
1319 | 0,00484356 |
1320 | 0,00491375 |
1321 | 0,00497987 |
1322 | 0,00504139 |
1323 | 0,00509806 |
1324 | 0,00514990 |
1325 | 0,00519693 |
1326 | 0,00523920 |
1327 | 0,00527700 |
1328 | 0,00531083 |
1329 | 0,00534122 |
1330 | 0,00536864 |
1331 | 0,00539357 |
1332 | 0,00541649 |
1333 | 0,00543785 |
1334 | 0,00545809 |
1335 | 0,00547713 |
1336 | 0,00549441 |
1337 | 0,00550936 |
1338 | 0,00552146 |
1339 | 0,00553017 |
1340 | 0,00553494 |
1341 | 0,00553524 |
1342 | 0,00553058 |
1343 | 0,00552066 |
1344 | 0,00550536 |
1345 | 0,00548459 |
1346 | 0,00545828 |
1347 | 0,00542662 |
1348 | 0,00539007 |
1349 | 0,00534910 |
1350 | 0,00530415 |
1351 | 0,00525568 |
1352 | 0,00520418 |
1353 | 0,00515009 |
1354 | 0,00509387 |
1355 | 0,00503595 |
1356 | 0,00497674 |
1357 | 0,00491665 |
1358 | 0,00485605 |
1359 | 0,00479503 |
1360 | 0,00473336 |
1361 | 0,00467082 |
1362 | 0,00460721 |
1363 | 0,00454216 |
1364 | 0,00447517 |
1365 | 0,00440575 |
1366 | 0,00433344 |
1367 | 0,00425768 |
1368 | 0,00417786 |
1369 | 0,00409336 |
1370 | 0,00400363 |
1371 | 0,00390837 |
1372 | 0,00380759 |
1373 | 0,00370130 |
1374 | 0,00358952 |
1375 | 0,00347268 |
1376 | 0,00335157 |
1377 | 0,00322699 |
1378 | 0,00309975 |
1379 | 0,00297088 |
1380 | 0,00284164 |
1381 | 0,00271328 |
1382 | 0,00258700 |
1383 | 0,00246328 |
1384 | 0,00234195 |
1385 | 0,00222281 |
1386 | 0,00210562 |
1387 | 0,00198958 |
1388 | 0,00187331 |
1389 | 0,00175546 |
1390 | 0,00163474 |
1391 | 0,00151020 |
1392 | 0,00138130 |
1393 | 0,00124750 |
1394 | 0,00110831 |
1395 | 0,00096411 |
1396 | 0,00081611 |
1397 | 0,00066554 |
1398 | 0,00051363 |
1399 | 0,00036134 |
1400 | 0,00020940 |
1401 | 0,00005853 |
1402 | -0,00009058 |
1403 | -0,00023783 |
1404 | -0,00038368 |
1405 | -0,00052861 |
1406 | -0,00067310 |
1407 | -0,00081757 |
1408 | -0,00096237 |
1409 | -0,00110786 |
1410 | -0,00125442 |
1411 | -0,00140210 |
1412 | -0,00155065 |
1413 | -0,00169984 |
1414 | -0,00184940 |
1415 | -0,00199911 |
1416 | -0,00214872 |
1417 | -0,00229798 |
1418 | -0,00244664 |
1419 | -0,00259462 |
1420 | -0,00274205 |
1421 | -0,00288912 |
1422 | -0,00303596 |
1423 | -0,00318259 |
1424 | -0,00332890 |
1425 | -0,00347480 |
1426 | -0,00362024 |
1427 | -0,00376519 |
1428 | -0,00390962 |
1429 | -0,00405345 |
1430 | -0,00419658 |
1431 | -0,00433902 |
1432 | -0,00448085 |
1433 | -0,00462219 |
1434 | -0,00476309 |
1435 | -0,00490357 |
1436 | -0,00504361 |
1437 | -0,00518321 |
1438 | -0,00532243 |
1439 | -0,00546132 |
1440 | -0,00559988 |
1441 | -0,00573811 |
1442 | -0,00587602 |
1443 | -0,00601363 |
1444 | -0,00615094 |
1445 | -0,00628795 |
1446 | -0,00642466 |
1447 | -0,00656111 |
1448 | -0,00669737 |
1449 | -0,00683352 |
1450 | -0,00696963 |
1451 | -0,00710578 |
1452 | -0,00724208 |
1453 | -0,00737862 |
1454 | -0,00751554 |
1455 | -0,00765295 |
1456 | -0,00779098 |
1457 | -0,00792976 |
1458 | -0,00806941 |
1459 | -0,00821006 |
1460 | -0,00835183 |
1461 | -0,00849485 |
1462 | -0,00863926 |
1463 | -0,00878522 |
1464 | -0,00893293 |
1465 | -0,00908260 |
1466 | -0,00923444 |
1467 | -0,00938864 |
1468 | -0,00954537 |
1469 | -0,00970482 |
1470 | -0,00986715 |
1471 | -0,01003173 |
1472 | -0,01019711 |
1473 | -0,01036164 |
1474 | -0,01052357 |
1475 | -0,01068184 |
1476 | -0,01083622 |
1477 | -0,01098652 |
1478 | -0,01113252 |
1479 | -0,01127409 |
1480 | -0,01141114 |
1481 | -0,01154358 |
1482 | -0,01167135 |
1483 | -0,01179439 |
1484 | -0,01191268 |
1485 | -0,01202619 |
1486 | -0,01213493 |
1487 | -0,01223891 |
1488 | -0,01233817 |
1489 | -0,01243275 |
1490 | -0,01252272 |
1491 | -0,01260815 |
1492 | -0,01268915 |
1493 | -0,01276583 |
1494 | -0,01283832 |
1495 | -0,01290685 |
1496 | -0,01297171 |
1497 | -0,01303320 |
1498 | -0,01309168 |
1499 | -0,01314722 |
1500 | -0,01319969 |
1501 | -0,01324889 |
1502 | -0,01329466 |
1503 | -0,01333693 |
1504 | -0,01337577 |
1505 | -0,01341125 |
1506 | -0,01344345 |
1507 | -0,01347243 |
1508 | -0,01349823 |
1509 | -0,01352089 |
1510 | -0,01354045 |
1511 | -0,01355700 |
1512 | -0,01357068 |
1513 | -0,01358164 |
1514 | -0,01359003 |
1515 | -0,01359587 |
1516 | -0,01359901 |
1517 | -0,01359931 |
1518 | -0,01359661 |
1519 | -0,01359087 |
1520 | -0,01358219 |
1521 | -0,01357065 |
1522 | -0,01355637 |
1523 | -0,01353935 |
1524 | -0,01351949 |
1525 | -0,01349670 |
1526 | -0,01347088 |
1527 | -0,01344214 |
1528 | -0,01341078 |
1529 | -0,01337715 |
1530 | -0,01334158 |
1531 | -0,01330442 |
1532 | -0,01326601 |
1533 | -0,01322671 |
1534 | -0,01318689 |
1535 | -0,01314692 |
1536 | -0,01310123 |
1537 | -0,01306470 |
1538 | -0,01302556 |
1539 | -0,01298381 |
1540 | -0,01293948 |
1541 | -0,01289255 |
1542 | -0,01284305 |
1543 | -0,01279095 |
1544 | -0,01273625 |
1545 | -0,01267893 |
1546 | -0,01261897 |
1547 | -0,01255632 |
1548 | -0,01249096 |
1549 | -0,01242283 |
1550 | -0,01235190 |
1551 | -0,01227827 |
1552 | -0,01220213 |
1553 | -0,01212366 |
1554 | -0,01204304 |
1555 | -0,01196032 |
1556 | -0,01187543 |
1557 | -0,01178829 |
1558 | -0,01169884 |
1559 | -0,01160718 |
1560 | -0,01151352 |
1561 | -0,01141809 |
1562 | -0,01132111 |
1563 | -0,01122272 |
1564 | -0,01112304 |
1565 | -0,01102217 |
1566 | -0,01092022 |
1567 | -0,01081730 |
1568 | -0,01071355 |
1569 | -0,01060912 |
1570 | -0,01050411 |
1571 | -0,01039854 |
1572 | -0,01029227 |
1573 | -0,01018521 |
1574 | -0,01007727 |
1575 | -0,00996859 |
1576 | -0,00985959 |
1577 | -0,00975063 |
1578 | -0,00964208 |
1579 | -0,00953420 |
1580 | -0,00942723 |
1581 | -0,00932135 |
1582 | -0,00921677 |
1583 | -0,00911364 |
1584 | -0,00901208 |
1585 | -0,00891220 |
1586 | -0,00881412 |
1587 | -0,00871792 |
1588 | -0,00862369 |
1589 | -0,00853153 |
1590 | -0,00844149 |
1591 | -0,00835360 |
1592 | -0,00826785 |
1593 | -0,00818422 |
1594 | -0,00810267 |
1595 | -0,00802312 |
1596 | -0,00794547 |
1597 | -0,00786959 |
1598 | -0,00779533 |
1599 | -0,00772165 |
1600 | -0,00764673 |
1601 | -0,00756886 |
1602 | -0,00748649 |
1603 | -0,00739905 |
1604 | -0,00730681 |
1605 | -0,00721006 |
1606 | -0,00710910 |
1607 | -0,00700419 |
1608 | -0,00689559 |
1609 | -0,00678354 |
1610 | -0,00666829 |
1611 | -0,00655007 |
1612 | -0,00642916 |
1613 | -0,00630579 |
1614 | -0,00618022 |
1615 | -0,00605267 |
1616 | -0,00592333 |
1617 | -0,00579240 |
1618 | -0,00566006 |
1619 | -0,00552651 |
1620 | -0,00539194 |
1621 | -0,00525653 |
1622 | -0,00512047 |
1623 | -0,00498390 |
1624 | -0,00484693 |
1625 | -0,00470969 |
1626 | -0,00457228 |
1627 | -0,00443482 |
1628 | -0,00429746 |
1629 | -0,00416034 |
1630 | -0,00402359 |
1631 | -0,00388738 |
1632 | -0,00375185 |
1633 | -0,00361718 |
1634 | -0,00348350 |
1635 | -0,00335100 |
1636 | -0,00321991 |
1637 | -0,00309043 |
1638 | -0,00296276 |
1639 | -0,00283698 |
1640 | -0,00271307 |
1641 | -0,00259098 |
1642 | -0,00247066 |
1643 | -0,00235210 |
1644 | -0,00223531 |
1645 | -0,00212030 |
1646 | -0,00200709 |
1647 | -0,00189576 |
1648 | -0,00178647 |
1649 | -0,00167936 |
1650 | -0,00157457 |
1651 | -0,00147216 |
1652 | -0,00137205 |
1653 | -0,00127418 |
1654 | -0,00117849 |
1655 | -0,00108498 |
1656 | -0,00099375 |
1657 | -0,00090486 |
1658 | -0,00081840 |
1659 | -0,00073444 |
1660 | -0,00065309 |
1661 | -0,00057445 |
1662 | -0,00049860 |
1663 | -0,00042551 |
1664 | -0,00035503 |
1665 | -0,00028700 |
1666 | -0,00022125 |
1667 | -0,00015761 |
1668 | -0,00009588 |
1669 | -0,00003583 |
1670 | 0,00002272 |
1671 | 0,00007975 |
1672 | 0,00013501 |
1673 | 0,00018828 |
1674 | 0,00023933 |
1675 | 0,00028784 |
1676 | 0,00033342 |
1677 | 0,00037572 |
1678 | 0,00041438 |
1679 | 0,00044939 |
1680 | 0,00048103 |
1681 | 0,00050958 |
1682 | 0,00053533 |
1683 | 0,00055869 |
1684 | 0,00058015 |
1685 | 0,00060022 |
1686 | 0,00061935 |
1687 | 0,00063781 |
1688 | 0,00065568 |
1689 | 0,00067303 |
1690 | 0,00068991 |
1691 | 0,00070619 |
1692 | 0,00072155 |
1693 | 0,00073567 |
1694 | 0,00074826 |
1695 | 0,00075912 |
1696 | 0,00076811 |
1697 | 0,00077509 |
1698 | 0,00077997 |
1699 | 0,00078275 |
1700 | 0,00078351 |
1701 | 0,00078237 |
1702 | 0,00077943 |
1703 | 0,00077484 |
1704 | 0,00076884 |
1705 | 0,00076160 |
1706 | 0,00075335 |
1707 | 0,00074423 |
1708 | 0,00073442 |
1709 | 0,00072404 |
1710 | 0,00071323 |
1711 | 0,00070209 |
1712 | 0,00069068 |
1713 | 0,00067906 |
1714 | 0,00066728 |
1715 | 0,00065534 |
1716 | 0,00064321 |
1717 | 0,00063086 |
1718 | 0,00061824 |
1719 | 0,00060534 |
1720 | 0,00059211 |
1721 | 0,00057855 |
1722 | 0,00056462 |
1723 | 0,00055033 |
1724 | 0,00053566 |
1725 | 0,00052063 |
1726 | 0,00050522 |
1727 | 0,00048949 |
1728 | 0,00047349 |
1729 | 0,00045728 |
1730 | 0,00044092 |
1731 | 0,00042447 |
1732 | 0,00040803 |
1733 | 0,00039166 |
1734 | 0,00037544 |
1735 | 0,00035943 |
1736 | 0,00034371 |
1737 | 0,00032833 |
1738 | 0,00031333 |
1739 | 0,00029874 |
1740 | 0,00028452 |
1741 | 0,00027067 |
1742 | 0,00025715 |
1743 | 0,00024395 |
1744 | 0,00023104 |
1745 | 0,00021842 |
1746 | 0,00020606 |
1747 | 0,00019398 |
1748 | 0,00018218 |
1749 | 0,00017069 |
1750 | 0,00015953 |
1751 | 0,00014871 |
1752 | 0,00013827 |
1753 | 0,00012823 |
1754 | 0,00011861 |
1755 | 0,00010942 |
1756 | 0,00010067 |
1757 | 0,00009236 |
1758 | 0,00008448 |
1759 | 0,00007703 |
1760 | 0,00006999 |
1761 | 0,00006337 |
1762 | 0,00005714 |
1763 | 0,00005129 |
1764 | 0,00004583 |
1765 | 0,00004072 |
1766 | 0,00003597 |
1767 | 0,00003157 |
1768 | 0,00002752 |
1769 | 0,00002380 |
1770 | 0,00002042 |
1771 | 0,00001736 |
1772 | 0,00001461 |
1773 | 0,00001215 |
1774 | 0,00000998 |
1775 | 0,00000807 |
1776 | 0,00000641 |
1777 | 0,00000499 |
1778 | 0,00000378 |
1779 | 0,00000278 |
1780 | 0,00000196 |
1781 | 0,00000132 |
1782 | 0,00000082 |
1783 | 0,00000046 |
1784 | 0,00000020 |
1785 | 0,00000005 |
1786 | -0,00000003 |
1787 | -0,00000006 |
1788 | -0,00000004 |
1789 | -0,00000001 |
1790 | 0,00000001 |
1791 | 0,00000001 |
1792 | 0,00000001 |
1793 | 0,00000001 |
1794 | -0,00000001 |
1795 | -0,00000004 |
1796 | -0,00000005 |
1797 | -0,00000003 |
1798 | 0,00000005 |
1799 | 0,00000020 |
1800 | 0,00000043 |
1801 | 0,00000077 |
1802 | 0,00000123 |
1803 | 0,00000183 |
1804 | 0,00000257 |
1805 | 0,00000348 |
1806 | 0,00000455 |
1807 | 0,00000581 |
1808 | 0,00000727 |
1809 | 0,00000893 |
1810 | 0,00001080 |
1811 | 0,00001290 |
1812 | 0,00001522 |
1813 | 0,00001778 |
1814 | 0,00002057 |
1815 | 0,00002362 |
1816 | 0,00002691 |
1817 | 0,00003044 |
1818 | 0,00003422 |
1819 | 0,00003824 |
1820 | 0,00004250 |
1821 | 0,00004701 |
1822 | 0,00005176 |
1823 | 0,00005676 |
1824 | 0,00006200 |
1825 | 0,00006749 |
1826 | 0,00007322 |
1827 | 0,00007920 |
1828 | 0,00008541 |
1829 | 0,00009186 |
1830 | 0,00009854 |
1831 | 0,00010543 |
1832 | 0,00011251 |
1833 | 0,00011975 |
1834 | 0,00012714 |
1835 | 0,00013465 |
1836 | 0,00014227 |
1837 | 0,00014997 |
1838 | 0,00015775 |
1839 | 0,00016558 |
1840 | 0,00017348 |
1841 | 0,00018144 |
1842 | 0,00018947 |
1843 | 0,00019756 |
1844 | 0,00020573 |
1845 | 0,00021399 |
1846 | 0,00022233 |
1847 | 0,00023076 |
1848 | 0,00023924 |
1849 | 0,00024773 |
1850 | 0,00025621 |
1851 | 0,00026462 |
1852 | 0,00027293 |
1853 | 0,00028108 |
1854 | 0,00028904 |
1855 | 0,00029675 |
1856 | 0,00030419 |
1857 | 0,00031132 |
1858 | 0,00031810 |
1859 | 0,00032453 |
1860 | 0,00033061 |
1861 | 0,00033633 |
1862 | 0,00034169 |
1863 | 0,00034672 |
1864 | 0,00035142 |
1865 | 0,00035580 |
1866 | 0,00035988 |
1867 | 0,00036369 |
1868 | 0,00036723 |
1869 | 0,00037053 |
1870 | 0,00037361 |
1871 | 0,00037647 |
1872 | 0,00037909 |
1873 | 0,00038145 |
1874 | 0,00038352 |
1875 | 0,00038527 |
1876 | 0,00038663 |
1877 | 0,00038757 |
1878 | 0,00038801 |
1879 | 0,00038790 |
1880 | 0,00038717 |
1881 | 0,00038572 |
1882 | 0,00038350 |
1883 | 0,00038044 |
1884 | 0,00037651 |
1885 | 0,00037170 |
1886 | 0,00036597 |
1887 | 0,00035936 |
1888 | 0,00035191 |
1889 | 0,00034370 |
1890 | 0,00033480 |
1891 | 0,00032531 |
1892 | 0,00031537 |
1893 | 0,00030512 |
1894 | 0,00029470 |
1895 | 0,00028417 |
1896 | 0,00027354 |
1897 | 0,00026279 |
1898 | 0,00025191 |
1899 | 0,00024081 |
1900 | 0,00022933 |
1901 | 0,00021731 |
1902 | 0,00020458 |
1903 | 0,00019101 |
1904 | 0,00017654 |
1905 | 0,00016106 |
1906 | 0,00014452 |
1907 | 0,00012694 |
1908 | 0,00010848 |
1909 | 0,00008929 |
1910 | 0,00006953 |
1911 | 0,00004935 |
1912 | 0,00002884 |
1913 | 0,00000813 |
1914 | -0,00001268 |
1915 | -0,00003357 |
1916 | -0,00005457 |
1917 | -0,00007574 |
1918 | -0,00009714 |
1919 | -0,00011882 |
1920 | -0,00014082 |
1921 | -0,00016318 |
1922 | -0,00018595 |
1923 | -0,00020912 |
1924 | -0,00023265 |
1925 | -0,00025650 |
1926 | -0,00028060 |
1927 | -0,00030492 |
1928 | -0,00032941 |
1929 | -0,00035400 |
1930 | -0,00037865 |
1931 | -0,00040333 |
1932 | -0,00042804 |
1933 | -0,00045279 |
1934 | -0,00047759 |
1935 | -0,00050243 |
1936 | -0,00052728 |
1937 | -0,00055209 |
1938 | -0,00057685 |
1939 | -0,00060153 |
1940 | -0,00062611 |
1941 | -0,00065056 |
1942 | -0,00067485 |
1943 | -0,00069895 |
1944 | -0,00072287 |
1945 | -0,00074660 |
1946 | -0,00077013 |
1947 | -0,00079345 |
1948 | -0,00081653 |
1949 | -0,00083936 |
1950 | -0,00086192 |
1951 | -0,00088421 |
1952 | -0,00090619 |
1953 | -0,00092786 |
1954 | -0,00094919 |
1955 | -0,00097017 |
1956 | -0,00099077 |
1957 | -0,00101098 |
1958 | -0,00103077 |
1959 | -0,00105012 |
1960 | -0,00106904 |
1961 | -0,00108750 |
1962 | -0,00110549 |
1963 | -0,00112301 |
1964 | -0,00114005 |
1965 | -0,00115660 |
1966 | -0,00117265 |
1967 | -0,00118821 |
1968 | -0,00120325 |
1969 | -0,00121779 |
1970 | -0,00123180 |
1971 | -0,00124528 |
1972 | -0,00125822 |
1973 | -0,00127061 |
1974 | -0,00128243 |
1975 | -0,00129368 |
1976 | -0,00130435 |
1977 | -0,00131445 |
1978 | -0,00132395 |
1979 | -0,00133285 |
1980 | -0,00134113 |
1981 | -0,00134878 |
1982 | -0,00135578 |
1983 | -0,00136215 |
1984 | -0,00136797 |
1985 | -0,00137333 |
1986 | -0,00137834 |
1987 | -0,00138305 |
1988 | -0,00138748 |
1989 | -0,00139163 |
1990 | -0,00139551 |
1991 | -0,00139913 |
1992 | -0,00140249 |
1993 | -0,00140559 |
1994 | -0,00140844 |
1995 | -0,00141102 |
1996 | -0,00141334 |
1997 | -0,00141538 |
1998 | -0,00141714 |
1999 | -0,00141861 |
2000 | -0,00141978 |
2001 | -0,00142064 |
2002 | -0,00142117 |
2003 | -0,00142138 |
2004 | -0,00142125 |
2005 | -0,00142077 |
2006 | -0,00141992 |
2007 | -0,00141870 |
2008 | -0,00141710 |
2009 | -0,00141510 |
2010 | -0,00141268 |
2011 | -0,00140986 |
2012 | -0,00140663 |
2013 | -0,00140301 |
2014 | -0,00139900 |
2015 | -0,00139460 |
2016 | -0,00138981 |
2017 | -0,00138464 |
2018 | -0,00137908 |
2019 | -0,00137313 |
2020 | -0,00136680 |
2021 | -0,00136010 |
2022 | -0,00135301 |
2023 | -0,00134555 |
2024 | -0,00133772 |
2025 | -0,00132952 |
2026 | -0,00132095 |
2027 | -0,00131201 |
2028 | -0,00130272 |
2029 | -0,00129307 |
2030 | -0,00128309 |
2031 | -0,00127277 |
2032 | -0,00126211 |
2033 | -0,00125113 |
2034 | -0,00123981 |
2035 | -0,00122817 |
2036 | -0,00121622 |
2037 | -0,00120397 |
2038 | -0,00119141 |
2039 | -0,00117859 |
2040 | -0,00116552 |
2041 | -0,00115223 |
2042 | -0,00113877 |
2043 | -0,00112517 |
2044 | -0,00111144 |
2045 | -0,00109764 |
2046 | -0,00108377 |
2047 | -0,00106989 |
n | wLD(n) |
0 | 0,00000000 |
1 | 0,00000000 |
2 | 0,00000000 |
3 | 0,00000000 |
4 | 0,00000000 |
5 | 0,00000000 |
6 | 0,00000000 |
7 | 0,00000000 |
8 | 0,00000000 |
9 | 0,00000000 |
10 | 0,00000000 |
11 | 0,00000000 |
12 | 0,00000000 |
13 | 0,00000000 |
14 | 0,00000000 |
15 | 0,00000000 |
16 | 0,00000000 |
17 | 0,00000000 |
18 | 0,00000000 |
19 | 0,00000000 |
20 | 0,00000000 |
21 | 0,00000000 |
22 | 0,00000000 |
23 | 0,00000000 |
24 | 0,00000000 |
25 | 0,00000000 |
26 | 0,00000000 |
27 | 0,00000000 |
28 | 0,00000000 |
29 | 0,00000000 |
30 | 0,00000000 |
31 | 0,00000000 |
32 | 0,00000000 |
33 | 0,00000000 |
34 | 0,00000000 |
35 | 0,00000000 |
36 | 0,00000000 |
37 | 0,00000000 |
38 | 0,00000000 |
39 | 0,00000000 |
40 | 0,00000000 |
41 | 0,00000000 |
42 | 0,00000000 |
43 | 0,00000000 |
44 | 0,00000000 |
45 | 0,00000000 |
46 | 0,00000000 |
47 | 0,00000000 |
48 | 0,00000000 |
49 | 0,00000000 |
50 | 0,00000000 |
51 | 0,00000000 |
52 | 0,00000000 |
53 | 0,00000000 |
54 | 0,00000000 |
55 | 0,00000000 |
56 | 0,00000000 |
57 | 0,00000000 |
58 | 0,00000000 |
59 | 0,00000000 |
60 | 0,00000000 |
61 | 0,00000000 |
62 | 0,00000000 |
63 | 0,00000000 |
64 | 0,00000000 |
65 | 0,00000000 |
66 | 0,00000000 |
67 | 0,00000000 |
68 | 0,00000000 |
69 | 0,00000000 |
70 | 0,00000000 |
71 | 0,00000000 |
72 | 0,00000000 |
73 | 0,00000000 |
74 | 0,00000000 |
75 | 0,00000000 |
76 | 0,00000000 |
77 | 0,00000000 |
78 | 0,00000000 |
79 | 0,00000000 |
80 | 0,00000000 |
81 | 0,00000000 |
82 | 0,00000000 |
83 | 0,00000000 |
84 | 0,00000000 |
85 | 0,00000000 |
86 | 0,00000000 |
87 | 0,00000000 |
88 | 0,00000000 |
89 | 0,00000000 |
90 | 0,00000000 |
91 | 0,00000000 |
92 | 0,00000000 |
93 | 0,00000000 |
94 | 0,00000000 |
95 | 0,00000000 |
96 | 0,00000000 |
97 | 0,00000000 |
98 | 0,00000000 |
99 | 0,00000000 |
100 | 0,00000000 |
101 | 0,00000000 |
102 | 0,00000000 |
103 | 0,00000000 |
104 | 0,00000000 |
105 | 0,00000000 |
106 | 0,00000000 |
107 | 0,00000000 |
108 | 0,00000000 |
109 | 0,00000000 |
110 | 0,00000000 |
111 | 0,00000000 |
112 | 0,00000000 |
113 | 0,00000000 |
114 | 0,00000000 |
115 | 0,00000000 |
116 | 0,00000000 |
117 | 0,00000000 |
118 | 0,00000000 |
119 | 0,00000000 |
120 | 0,00101191 |
121 | 0,00440397 |
122 | 0,00718669 |
123 | 0,01072130 |
124 | 0,01459757 |
125 | 0,01875954 |
126 | 0,02308987 |
127 | 0,02751541 |
128 | 0,03198130 |
129 | 0,03643738 |
130 | 0,04085290 |
131 | 0,04522835 |
132 | 0,04957620 |
133 | 0,05390454 |
134 | 0,05821503 |
135 | 0,06251214 |
136 | 0,06680463 |
137 | 0,07109582 |
138 | 0,07538014 |
139 | 0,07965207 |
140 | 0,08390857 |
141 | 0,08815177 |
142 | 0,09238785 |
143 | 0,09662163 |
144 | 0,10085860 |
145 | 0,10510892 |
146 | 0,10938110 |
147 | 0,11367819 |
148 | 0,11800355 |
149 | 0,12236410 |
150 | 0,12676834 |
151 | 0,13122384 |
152 | 0,13573476 |
153 | 0,14030106 |
154 | 0,14492340 |
155 | 0,14960315 |
156 | 0,15433828 |
157 | 0,15912396 |
158 | 0,16395663 |
159 | 0,16883310 |
160 | 0,17374837 |
161 | 0,17869679 |
162 | 0,18367394 |
163 | 0,18867661 |
164 | 0,19370368 |
165 | 0,19875413 |
166 | 0,20382641 |
167 | 0,20892055 |
168 | 0,21403775 |
169 | 0,21917761 |
170 | 0,22433899 |
171 | 0,22952250 |
172 | 0,23472991 |
173 | 0,23996189 |
174 | 0,24521859 |
175 | 0,25049930 |
176 | 0,25580312 |
177 | 0,26112942 |
178 | 0,26647748 |
179 | 0,27184703 |
180 | 0,27723785 |
181 | 0,28264967 |
182 | 0,28808086 |
183 | 0,29352832 |
184 | 0,29898979 |
185 | 0,30446379 |
186 | 0,30994292 |
187 | 0,31541664 |
188 | 0,32087942 |
189 | 0,32632772 |
190 | 0,33176291 |
191 | 0,33718641 |
192 | 0,34259612 |
193 | 0,34799346 |
194 | 0,35338857 |
195 | 0,35878843 |
196 | 0,36419504 |
197 | 0,36960630 |
198 | 0,37501567 |
199 | 0,38042067 |
200 | 0,38582069 |
201 | 0,39121276 |
202 | 0,39659312 |
203 | 0,40195993 |
204 | 0,40731155 |
205 | 0,41264382 |
206 | 0,41795277 |
207 | 0,42323670 |
208 | 0,42849480 |
209 | 0,43372753 |
210 | 0,43893452 |
211 | 0,44411398 |
212 | 0,44927117 |
213 | 0,45441882 |
214 | 0,45956191 |
215 | 0,46470167 |
216 | 0,46983016 |
217 | 0,47493636 |
218 | 0,48001827 |
219 | 0,48507480 |
220 | 0,49010240 |
221 | 0,49509781 |
222 | 0,50005986 |
223 | 0,50499037 |
224 | 0,50989790 |
225 | 0,51478708 |
226 | 0,51965805 |
227 | 0,52450975 |
228 | 0,52933955 |
229 | 0,53414668 |
230 | 0,53893113 |
231 | 0,54369178 |
232 | 0,54842731 |
233 | 0,55313757 |
234 | 0,55782259 |
235 | 0,56248253 |
236 | 0,56711762 |
237 | 0,57172819 |
238 | 0,57631468 |
239 | 0,58087761 |
240 | 0,58719976 |
241 | 0,59173064 |
242 | 0,59623644 |
243 | 0,60071719 |
244 | 0,60517294 |
245 | 0,60960372 |
246 | 0,61400958 |
247 | 0,61839056 |
248 | 0,62274670 |
249 | 0,62707805 |
250 | 0,63138475 |
251 | 0,63566700 |
252 | 0,63992500 |
253 | 0,64415895 |
254 | 0,64836893 |
255 | 0,65255499 |
256 | 0,65671715 |
257 | 0,66085548 |
258 | 0,66497005 |
259 | 0,66906094 |
260 | 0,67312824 |
261 | 0,67717199 |
262 | 0,68119219 |
263 | 0,68518882 |
264 | 0,68916187 |
265 | 0,69311129 |
266 | 0,69703698 |
267 | 0,70093884 |
268 | 0,70481679 |
269 | 0,70867071 |
270 | 0,71250047 |
271 | 0,71630596 |
272 | 0,72008705 |
273 | 0,72384360 |
274 | 0,72757549 |
275 | 0,73128256 |
276 | 0,73496463 |
277 | 0,73862141 |
278 | 0,74225263 |
279 | 0,74585799 |
280 | 0,74943730 |
281 | 0,75299039 |
282 | 0,75651711 |
283 | 0,76001729 |
284 | 0,76349062 |
285 | 0,76693670 |
286 | 0,77035516 |
287 | 0,77374564 |
288 | 0,77710790 |
289 | 0,78044169 |
290 | 0,78374678 |
291 | 0,78702291 |
292 | 0,79026979 |
293 | 0,79348715 |
294 | 0,79667471 |
295 | 0,79983215 |
296 | 0,80295914 |
297 | 0,80605536 |
298 | 0,80912047 |
299 | 0,81215417 |
300 | 0,81515616 |
301 | 0,81812616 |
302 | 0,82106389 |
303 | 0,82396915 |
304 | 0,82684176 |
305 | 0,82968154 |
306 | 0,83248830 |
307 | 0,83526186 |
308 | 0,83800204 |
309 | 0,84070866 |
310 | 0,84338156 |
311 | 0,84602058 |
312 | 0,84862556 |
313 | 0,85119636 |
314 | 0,85373292 |
315 | 0,85623523 |
316 | 0,85870326 |
317 | 0,86113701 |
318 | 0,86353649 |
319 | 0,86590173 |
320 | 0,86823275 |
321 | 0,87052968 |
322 | 0,87279275 |
323 | 0,87502220 |
324 | 0,87721829 |
325 | 0,87938130 |
326 | 0,88151157 |
327 | 0,88360940 |
328 | 0,88567517 |
329 | 0,88770954 |
330 | 0,88971328 |
331 | 0,89168716 |
332 | 0,89363199 |
333 | 0,89554856 |
334 | 0,89743771 |
335 | 0,89930025 |
336 | 0,90113740 |
337 | 0,90295086 |
338 | 0,90474240 |
339 | 0,90651380 |
340 | 0,90826684 |
341 | 0,91000335 |
342 | 0,91172515 |
343 | 0,91343416 |
344 | 0,91513276 |
345 | 0,91682357 |
346 | 0,91850924 |
347 | 0,92019170 |
348 | 0,92187129 |
349 | 0,92354778 |
350 | 0,92522116 |
351 | 0,92688597 |
352 | 0,92852960 |
353 | 0,93013861 |
354 | 0,93169897 |
355 | 0,93319114 |
356 | 0,93458502 |
357 | 0,93587626 |
358 | 0,93694276 |
359 | 0,93825562 |
360 | 0,93882222 |
361 | 0,93910780 |
362 | 0,93944183 |
363 | 0,93981497 |
364 | 0,94021434 |
365 | 0,94062629 |
366 | 0,94103714 |
367 | 0,94144084 |
368 | 0,94184042 |
369 | 0,94223966 |
370 | 0,94264206 |
371 | 0,94304859 |
372 | 0,94345831 |
373 | 0,94387033 |
374 | 0,94428390 |
375 | 0,94469895 |
376 | 0,94511572 |
377 | 0,94553441 |
378 | 0,94595520 |
379 | 0,94637816 |
380 | 0,94680335 |
381 | 0,94723080 |
382 | 0,94766054 |
383 | 0,94809253 |
384 | 0,94852674 |
385 | 0,94896314 |
386 | 0,94940178 |
387 | 0,94984276 |
388 | 0,95028618 |
389 | 0,95073213 |
390 | 0,95118056 |
391 | 0,95163139 |
392 | 0,95208451 |
393 | 0,95253992 |
394 | 0,95299770 |
395 | 0,95345799 |
396 | 0,95392092 |
397 | 0,95438653 |
398 | 0,95485472 |
399 | 0,95532539 |
400 | 0,95579847 |
401 | 0,95627397 |
402 | 0,95675201 |
403 | 0,95723273 |
404 | 0,95771618 |
405 | 0,95820232 |
406 | 0,95869103 |
407 | 0,95918218 |
408 | 0,95967573 |
409 | 0,96017172 |
410 | 0,96067026 |
411 | 0,96117144 |
412 | 0,96167526 |
413 | 0,96218157 |
414 | 0,96269026 |
415 | 0,96320119 |
416 | 0,96371437 |
417 | 0,96422988 |
418 | 0,96474782 |
419 | 0,96526824 |
420 | 0,96579106 |
421 | 0,96631614 |
422 | 0,96684334 |
423 | 0,96737257 |
424 | 0,96790390 |
425 | 0,96843740 |
426 | 0,96897315 |
427 | 0,96951112 |
428 | 0,97005119 |
429 | 0,97059318 |
430 | 0,97113697 |
431 | 0,97168253 |
432 | 0,97222994 |
433 | 0,97277928 |
434 | 0,97333058 |
435 | 0,97388375 |
436 | 0,97443863 |
437 | 0,97499505 |
438 | 0,97555292 |
439 | 0,97611230 |
440 | 0,97667326 |
441 | 0,97723589 |
442 | 0,97780016 |
443 | 0,97836592 |
444 | 0,97893300 |
445 | 0,97950127 |
446 | 0,98007071 |
447 | 0,98064139 |
448 | 0,98121342 |
449 | 0,98178684 |
450 | 0,98236156 |
451 | 0,98293743 |
452 | 0,98351428 |
453 | 0,98409205 |
454 | 0,98467078 |
455 | 0,98525056 |
456 | 0,98583146 |
457 | 0,98641348 |
458 | 0,98699650 |
459 | 0,98758037 |
460 | 0,98816497 |
461 | 0,98875030 |
462 | 0,98933647 |
463 | 0,98992356 |
464 | 0,99051163 |
465 | 0,99110062 |
466 | 0,99169038 |
467 | 0,99228079 |
468 | 0,99287177 |
469 | 0,99346341 |
470 | 0,99405581 |
471 | 0,99464907 |
472 | 0,99524320 |
473 | 0,99583812 |
474 | 0,99643375 |
475 | 0,99702997 |
476 | 0,99762671 |
477 | 0,99822386 |
478 | 0,99882134 |
479 | 0,99941903 |
480 | 1,00058131 |
481 | 1,00118006 |
482 | 1,00177930 |
483 | 1,00237893 |
484 | 1,00297887 |
485 | 1,00357902 |
486 | 1,00417927 |
487 | 1,00477954 |
488 | 1,00537972 |
489 | 1,00597973 |
490 | 1,00657959 |
491 | 1,00717940 |
492 | 1,00777926 |
493 | 1,00837925 |
494 | 1,00897929 |
495 | 1,00957926 |
496 | 1,01017901 |
497 | 1,01077847 |
498 | 1,01137769 |
499 | 1,01197678 |
500 | 1,01257582 |
501 | 1,01317482 |
502 | 1,01377365 |
503 | 1,01437217 |
504 | 1,01497025 |
505 | 1,01556786 |
506 | 1,01616510 |
507 | 1,01676205 |
508 | 1,01735876 |
509 | 1,01795514 |
510 | 1,01855103 |
511 | 1,01914627 |
512 | 1,01974076 |
513 | 1,02033455 |
514 | 1,02092772 |
515 | 1,02152037 |
516 | 1,02211247 |
517 | 1,02270387 |
518 | 1,02329439 |
519 | 1,02388387 |
520 | 1,02447229 |
521 | 1,02505972 |
522 | 1,02564624 |
523 | 1,02623190 |
524 | 1,02681660 |
525 | 1,02740017 |
526 | 1,02798242 |
527 | 1,02856326 |
528 | 1,02914272 |
529 | 1,02972087 |
530 | 1,03029778 |
531 | 1,03087344 |
532 | 1,03144768 |
533 | 1,03202035 |
534 | 1,03259127 |
535 | 1,03316042 |
536 | 1,03372788 |
537 | 1,03429373 |
538 | 1,03485801 |
539 | 1,03542064 |
540 | 1,03598146 |
541 | 1,03654030 |
542 | 1,03709708 |
543 | 1,03765185 |
544 | 1,03820470 |
545 | 1,03875571 |
546 | 1,03930488 |
547 | 1,03985206 |
548 | 1,04039712 |
549 | 1,04093989 |
550 | 1,04148037 |
551 | 1,04201865 |
552 | 1,04255481 |
553 | 1,04308893 |
554 | 1,04362093 |
555 | 1,04415068 |
556 | 1,04467803 |
557 | 1,04520292 |
558 | 1,04572542 |
559 | 1,04624566 |
560 | 1,04676376 |
561 | 1,04727974 |
562 | 1,04779350 |
563 | 1,04830493 |
564 | 1,04881391 |
565 | 1,04932048 |
566 | 1,04982477 |
567 | 1,05032693 |
568 | 1,05082705 |
569 | 1,05132510 |
570 | 1,05182098 |
571 | 1,05231457 |
572 | 1,05280584 |
573 | 1,05329485 |
574 | 1,05378171 |
575 | 1,05426654 |
576 | 1,05474937 |
577 | 1,05523018 |
578 | 1,05570892 |
579 | 1,05618554 |
580 | 1,05666005 |
581 | 1,05713251 |
582 | 1,05760297 |
583 | 1,05807149 |
584 | 1,05853828 |
585 | 1,05900355 |
586 | 1,05946756 |
587 | 1,05993024 |
588 | 1,06039075 |
589 | 1,06084806 |
590 | 1,06130111 |
591 | 1,06175099 |
592 | 1,06220164 |
593 | 1,06265732 |
594 | 1,06312146 |
595 | 1,06358726 |
596 | 1,06403924 |
597 | 1,06446186 |
598 | 1,06484048 |
599 | 1,06516440 |
600 | 1,06527864 |
601 | 1,06498077 |
602 | 1,06470196 |
603 | 1,06425743 |
604 | 1,06372091 |
605 | 1,06311464 |
606 | 1,06246622 |
607 | 1,06179277 |
608 | 1,06110808 |
609 | 1,06042455 |
610 | 1,05974495 |
611 | 1,05906206 |
612 | 1,05836706 |
613 | 1,05765243 |
614 | 1,05691470 |
615 | 1,05615178 |
616 | 1,05536069 |
617 | 1,05454152 |
618 | 1,05370030 |
619 | 1,05284445 |
620 | 1,05198094 |
621 | 1,05111433 |
622 | 1,05024634 |
623 | 1,04937859 |
624 | 1,04851245 |
625 | 1,04764614 |
626 | 1,04677586 |
627 | 1,04589855 |
628 | 1,04501046 |
629 | 1,04410500 |
630 | 1,04317417 |
631 | 1,04221010 |
632 | 1,04120649 |
633 | 1,04016012 |
634 | 1,03906851 |
635 | 1,03792894 |
636 | 1,03674090 |
637 | 1,03550649 |
638 | 1,03422800 |
639 | 1,03290769 |
640 | 1,03154944 |
641 | 1,03015834 |
642 | 1,02873938 |
643 | 1,02729712 |
644 | 1,02583470 |
645 | 1,02435463 |
646 | 1,02285952 |
647 | 1,02135114 |
648 | 1,01982974 |
649 | 1,01829520 |
650 | 1,01674752 |
651 | 1,01518534 |
652 | 1,01360559 |
653 | 1,01200510 |
654 | 1,01038076 |
655 | 1,00872996 |
656 | 1,00705045 |
657 | 1,00533999 |
658 | 1,00359618 |
659 | 1,00181613 |
660 | 0,99999673 |
661 | 0,99813477 |
662 | 0,99622793 |
663 | 0,99427571 |
664 | 0,99227814 |
665 | 0,99023501 |
666 | 0,98815128 |
667 | 0,98603857 |
668 | 0,98390898 |
669 | 0,98177413 |
670 | 0,97964151 |
671 | 0,97751528 |
672 | 0,97539999 |
673 | 0,97329751 |
674 | 0,97119933 |
675 | 0,96909179 |
676 | 0,96696152 |
677 | 0,96479824 |
678 | 0,96259840 |
679 | 0,96036028 |
680 | 0,95808180 |
681 | 0,95576295 |
682 | 0,95340622 |
683 | 0,95101436 |
684 | 0,94859030 |
685 | 0,94614009 |
686 | 0,94367232 |
687 | 0,94119555 |
688 | 0,93871796 |
689 | 0,93624630 |
690 | 0,93378636 |
691 | 0,93134465 |
692 | 0,92892076 |
693 | 0,92649974 |
694 | 0,92406255 |
695 | 0,92159041 |
696 | 0,91907411 |
697 | 0,91651711 |
698 | 0,91392425 |
699 | 0,91130056 |
700 | 0,90865471 |
701 | 0,90599838 |
702 | 0,90334350 |
703 | 0,90069934 |
704 | 0,89806435 |
705 | 0,89543132 |
706 | 0,89279335 |
707 | 0,89014496 |
708 | 0,88748403 |
709 | 0,88480945 |
710 | 0,88211997 |
711 | 0,87941558 |
712 | 0,87669794 |
713 | 0,87396891 |
714 | 0,87123030 |
715 | 0,86848394 |
716 | 0,86573164 |
717 | 0,86297523 |
718 | 0,86021649 |
719 | 0,85745725 |
720 | 0,85474342 |
721 | 0,85193656 |
722 | 0,84911455 |
723 | 0,84627969 |
724 | 0,84343424 |
725 | 0,84058046 |
726 | 0,83772057 |
727 | 0,83485680 |
728 | 0,83199134 |
729 | 0,82912621 |
730 | 0,82626143 |
731 | 0,82339529 |
732 | 0,82052619 |
733 | 0,81765147 |
734 | 0,81476433 |
735 | 0,81185593 |
736 | 0,80891701 |
737 | 0,80594452 |
738 | 0,80294885 |
739 | 0,79994431 |
740 | 0,79694485 |
741 | 0,79396166 |
742 | 0,79100220 |
743 | 0,78807349 |
744 | 0,78518123 |
745 | 0,78231422 |
746 | 0,77944709 |
747 | 0,77655407 |
748 | 0,77361369 |
749 | 0,77062281 |
750 | 0,76758806 |
751 | 0,76451506 |
752 | 0,76141145 |
753 | 0,75828860 |
754 | 0,75515892 |
755 | 0,75203479 |
756 | 0,74892561 |
757 | 0,74583682 |
758 | 0,74277342 |
759 | 0,73974008 |
760 | 0,73673754 |
761 | 0,73376310 |
762 | 0,73081444 |
763 | 0,72788616 |
764 | 0,72496070 |
765 | 0,72201426 |
766 | 0,71902283 |
767 | 0,71596990 |
768 | 0,71285541 |
769 | 0,70968427 |
770 | 0,70646064 |
771 | 0,70319589 |
772 | 0,69991077 |
773 | 0,69662714 |
774 | 0,69336592 |
775 | 0,69013742 |
776 | 0,68694302 |
777 | 0,68378420 |
778 | 0,68066143 |
779 | 0,67757157 |
780 | 0,67450951 |
781 | 0,67147030 |
782 | 0,66844879 |
783 | 0,66543949 |
784 | 0,66243677 |
785 | 0,65943505 |
786 | 0,65642755 |
787 | 0,65340591 |
788 | 0,65036160 |
789 | 0,64728630 |
790 | 0,64417440 |
791 | 0,64102268 |
792 | 0,63782771 |
793 | 0,63458757 |
794 | 0,63130628 |
795 | 0,62799109 |
796 | 0,62464879 |
797 | 0,62128816 |
798 | 0,61792203 |
799 | 0,61456438 |
800 | 0,61122915 |
801 | 0,60792802 |
802 | 0,60466971 |
803 | 0,60146257 |
804 | 0,59831460 |
805 | 0,59522876 |
806 | 0,59220375 |
807 | 0,58923859 |
808 | 0,58632936 |
809 | 0,58346064 |
810 | 0,58061078 |
811 | 0,57775874 |
812 | 0,57488246 |
813 | 0,57195790 |
814 | 0,56896078 |
815 | 0,56586637 |
816 | 0,56266594 |
817 | 0,55937186 |
818 | 0,55599898 |
819 | 0,55256299 |
820 | 0,54909184 |
821 | 0,54562376 |
822 | 0,54219742 |
823 | 0,53884728 |
824 | 0,53559047 |
825 | 0,53243453 |
826 | 0,52938894 |
827 | 0,52645052 |
828 | 0,52358958 |
829 | 0,52076862 |
830 | 0,51795080 |
831 | 0,51510761 |
832 | 0,51222179 |
833 | 0,50927733 |
834 | 0,50625944 |
835 | 0,50317073 |
836 | 0,50002767 |
837 | 0,49685021 |
838 | 0,49364116 |
839 | 0,49048690 |
840 | 0,48726128 |
841 | 0,48404889 |
842 | 0,48090875 |
843 | 0,47783482 |
844 | 0,47481564 |
845 | 0,47184024 |
846 | 0,46889391 |
847 | 0,46595836 |
848 | 0,46301611 |
849 | 0,46005089 |
850 | 0,45705924 |
851 | 0,45404822 |
852 | 0,45102447 |
853 | 0,44799543 |
854 | 0,44497138 |
855 | 0,44196397 |
856 | 0,43898547 |
857 | 0,43604105 |
858 | 0,43312057 |
859 | 0,43020942 |
860 | 0,42729337 |
861 | 0,42436272 |
862 | 0,42141388 |
863 | 0,41844400 |
864 | 0,41545081 |
865 | 0,41244014 |
866 | 0,40942464 |
867 | 0,40641716 |
868 | 0,40342874 |
869 | 0,40046292 |
870 | 0,39751923 |
871 | 0,39459758 |
872 | 0,39169692 |
873 | 0,38881435 |
874 | 0,38594643 |
875 | 0,38308980 |
876 | 0,38024146 |
877 | 0,37739896 |
878 | 0,37455986 |
879 | 0,37172187 |
880 | 0,36888463 |
881 | 0,36604937 |
882 | 0,36321735 |
883 | 0,36038967 |
884 | 0,35756668 |
885 | 0,35474832 |
886 | 0,35193455 |
887 | 0,34912542 |
888 | 0,34632129 |
889 | 0,34352258 |
890 | 0,34072974 |
891 | 0,33794323 |
892 | 0,33516354 |
893 | 0,33239114 |
894 | 0,32962648 |
895 | 0,32686967 |
896 | 0,32412042 |
897 | 0,32137919 |
898 | 0,31864044 |
899 | 0,31588373 |
900 | 0,31309909 |
901 | 0,31028631 |
902 | 0,30745528 |
903 | 0,30462678 |
904 | 0,30180656 |
905 | 0,29899424 |
906 | 0,29619082 |
907 | 0,29339717 |
908 | 0,29061333 |
909 | 0,28783935 |
910 | 0,28507563 |
911 | 0,28232266 |
912 | 0,27958067 |
913 | 0,27684984 |
914 | 0,27413017 |
915 | 0,27142157 |
916 | 0,26872396 |
917 | 0,26603737 |
918 | 0,26336211 |
919 | 0,26069855 |
920 | 0,25804700 |
921 | 0,25540830 |
922 | 0,25278329 |
923 | 0,25017211 |
924 | 0,24757451 |
925 | 0,24498713 |
926 | 0,24240740 |
927 | 0,23983550 |
928 | 0,23727200 |
929 | 0,23471866 |
930 | 0,23217624 |
931 | 0,22964458 |
932 | 0,22712346 |
933 | 0,22461258 |
934 | 0,22211202 |
935 | 0,21962197 |
936 | 0,21714290 |
937 | 0,21467522 |
938 | 0,21221877 |
939 | 0,20977323 |
940 | 0,20733693 |
941 | 0,20490860 |
942 | 0,20248823 |
943 | 0,20007615 |
944 | 0,19767358 |
945 | 0,19528091 |
946 | 0,19289781 |
947 | 0,19052347 |
948 | 0,18815661 |
949 | 0,18579693 |
950 | 0,18344441 |
951 | 0,18110010 |
952 | 0,17876595 |
953 | 0,17644344 |
954 | 0,17413400 |
955 | 0,17183905 |
956 | 0,16956003 |
957 | 0,16729836 |
958 | 0,16505547 |
959 | 0,16283278 |
960 | 0,15990780 |
961 | 0,15776021 |
962 | 0,15563325 |
963 | 0,15352557 |
964 | 0,15143584 |
965 | 0,14936270 |
966 | 0,14730481 |
967 | 0,14526081 |
968 | 0,14322937 |
969 | 0,14120918 |
970 | 0,13919977 |
971 | 0,13720138 |
972 | 0,13521422 |
973 | 0,13323852 |
974 | 0,13127445 |
975 | 0,12932216 |
976 | 0,12738181 |
977 | 0,12545358 |
978 | 0,12353773 |
979 | 0,12163457 |
980 | 0,11974436 |
981 | 0,11786730 |
982 | 0,11600347 |
983 | 0,11415293 |
984 | 0,11231573 |
985 | 0,11049201 |
986 | 0,10868196 |
987 | 0,10688578 |
988 | 0,10510362 |
989 | 0,10333551 |
990 | 0,10158143 |
991 | 0,09984133 |
992 | 0,09811524 |
993 | 0,09640327 |
994 | 0,09470556 |
995 | 0,09302228 |
996 | 0,09135347 |
997 | 0,08969907 |
998 | 0,08805903 |
999 | 0,08643326 |
1000 | 0,08482183 |
1001 | 0,08322486 |
1002 | 0,08164249 |
1003 | 0,08007481 |
1004 | 0,07852179 |
1005 | 0,07698335 |
1006 | 0,07545938 |
1007 | 0,07394984 |
1008 | 0,07245482 |
1009 | 0,07097444 |
1010 | 0,06950883 |
1011 | 0,06805800 |
1012 | 0,06662187 |
1013 | 0,06520031 |
1014 | 0,06379324 |
1015 | 0,06240065 |
1016 | 0,06102266 |
1017 | 0,05965936 |
1018 | 0,05831084 |
1019 | 0,05697701 |
1020 | 0,05565775 |
1021 | 0,05435290 |
1022 | 0,05306239 |
1023 | 0,05178628 |
1024 | 0,05052464 |
1025 | 0,04927758 |
1026 | 0,04804510 |
1027 | 0,04682709 |
1028 | 0,04562344 |
1029 | 0,04443405 |
1030 | 0,04325893 |
1031 | 0,04209822 |
1032 | 0,04095208 |
1033 | 0,03982059 |
1034 | 0,03870371 |
1035 | 0,03760131 |
1036 | 0,03651325 |
1037 | 0,03543944 |
1038 | 0,03437987 |
1039 | 0,03333454 |
1040 | 0,03230348 |
1041 | 0,03128653 |
1042 | 0,03028332 |
1043 | 0,02929346 |
1044 | 0,02831658 |
1045 | 0,02735252 |
1046 | 0,02640127 |
1047 | 0,02546283 |
1048 | 0,02453725 |
1049 | 0,02362471 |
1050 | 0,02272547 |
1051 | 0,02183980 |
1052 | 0,02096810 |
1053 | 0,02011108 |
1054 | 0,01926957 |
1055 | 0,01844439 |
1056 | 0,01763565 |
1057 | 0,01684248 |
1058 | 0,01606394 |
1059 | 0,01529909 |
1060 | 0,01454726 |
1061 | 0,01380802 |
1062 | 0,01308092 |
1063 | 0,01236569 |
1064 | 0,01166273 |
1065 | 0,01097281 |
1066 | 0,01029671 |
1067 | 0,00963479 |
1068 | 0,00898646 |
1069 | 0,00835089 |
1070 | 0,00772725 |
1071 | 0,00711521 |
1072 | 0,00651513 |
1073 | 0,00592741 |
1074 | 0,00535249 |
1075 | 0,00479089 |
1076 | 0,00424328 |
1077 | 0,00371041 |
1078 | 0,00319271 |
1079 | 0,00268947 |
1080 | 0,00219928 |
1081 | 0,00172084 |
1082 | 0,00125271 |
1083 | 0,00079311 |
1084 | 0,00034023 |
1085 | -0,00010786 |
1086 | -0,00055144 |
1087 | -0,00098865 |
1088 | -0,00141741 |
1089 | -0,00183557 |
1090 | -0,00224010 |
1091 | -0,00262725 |
1092 | -0,00299314 |
1093 | -0,00333475 |
1094 | -0,00365250 |
1095 | -0,00394867 |
1096 | -0,00422533 |
1097 | -0,00448528 |
1098 | -0,00473278 |
1099 | -0,00497252 |
1100 | -0,00520916 |
1101 | -0,00544584 |
1102 | -0,00568360 |
1103 | -0,00592326 |
1104 | -0,00616547 |
1105 | -0,00640861 |
1106 | -0,00664914 |
1107 | -0,00688354 |
1108 | -0,00710845 |
1109 | -0,00732136 |
1110 | -0,00752022 |
1111 | -0,00770289 |
1112 | -0,00786789 |
1113 | -0,00801521 |
1114 | -0,00814526 |
1115 | -0,00825839 |
1116 | -0,00835563 |
1117 | -0,00843882 |
1118 | -0,00850996 |
1119 | -0,00857097 |
1120 | -0,00862360 |
1121 | -0,00866943 |
1122 | -0,00871004 |
1123 | -0,00874688 |
1124 | -0,00878091 |
1125 | -0,00881277 |
1126 | -0,00884320 |
1127 | -0,00887248 |
1128 | -0,00890002 |
1129 | -0,00892494 |
1130 | -0,00894641 |
1131 | -0,00896355 |
1132 | -0,00897541 |
1133 | -0,00898104 |
1134 | -0,00897948 |
1135 | -0,00896990 |
1136 | -0,00895149 |
1137 | -0,00892346 |
1138 | -0,00888519 |
1139 | -0,00883670 |
1140 | -0,00877839 |
1141 | -0,00871058 |
1142 | -0,00863388 |
1143 | -0,00854936 |
1144 | -0,00845826 |
1145 | -0,00836179 |
1146 | -0,00826124 |
1147 | -0,00815807 |
1148 | -0,00805372 |
1149 | -0,00794953 |
1150 | -0,00784572 |
1151 | -0,00774156 |
1152 | -0,00763634 |
1153 | -0,00752929 |
1154 | -0,00741941 |
1155 | -0,00730556 |
1156 | -0,00718664 |
1157 | -0,00706184 |
1158 | -0,00693107 |
1159 | -0,00679443 |
1160 | -0,00665200 |
1161 | -0,00650428 |
1162 | -0,00635230 |
1163 | -0,00619718 |
1164 | -0,00603995 |
1165 | -0,00588133 |
1166 | -0,00572169 |
1167 | -0,00556143 |
1168 | -0,00540085 |
1169 | -0,00523988 |
1170 | -0,00507828 |
1171 | -0,00491582 |
1172 | -0,00475220 |
1173 | -0,00458693 |
1174 | -0,00441953 |
1175 | -0,00424950 |
1176 | -0,00407681 |
1177 | -0,00390204 |
1178 | -0,00372581 |
1179 | -0,00354874 |
1180 | -0,00337115 |
1181 | -0,00319318 |
1182 | -0,00301494 |
1183 | -0,00283652 |
1184 | -0,00265797 |
1185 | -0,00247934 |
1186 | -0,00230066 |
1187 | -0,00212197 |
1188 | -0,00194331 |
1189 | -0,00176471 |
1190 | -0,00158620 |
1191 | -0,00140787 |
1192 | -0,00122989 |
1193 | -0,00105244 |
1194 | -0,00087567 |
1195 | -0,00069976 |
1196 | -0,00052487 |
1197 | -0,00035115 |
1198 | -0,00017875 |
1199 | -0,00000782 |
1200 | 0,00000779 |
1201 | 0,00017701 |
1202 | 0,00034552 |
1203 | 0,00051313 |
1204 | 0,00067966 |
1205 | 0,00084492 |
1206 | 0,00100873 |
1207 | 0,00117093 |
1208 | 0,00133133 |
1209 | 0,00148978 |
1210 | 0,00164611 |
1211 | 0,00180023 |
1212 | 0,00195211 |
1213 | 0,00210172 |
1214 | 0,00224898 |
1215 | 0,00239383 |
1216 | 0,00253618 |
1217 | 0,00267593 |
1218 | 0,00281306 |
1219 | 0,00294756 |
1220 | 0,00307942 |
1221 | 0,00320864 |
1222 | 0,00333502 |
1223 | 0,00345816 |
1224 | 0,00357762 |
1225 | 0,00369297 |
1226 | 0,00380414 |
1227 | 0,00391140 |
1228 | 0,00401499 |
1229 | 0,00411524 |
1230 | 0,00421242 |
1231 | 0,00430678 |
1232 | 0,00439859 |
1233 | 0,00448799 |
1234 | 0,00457487 |
1235 | 0,00465908 |
1236 | 0,00474045 |
1237 | 0,00481857 |
1238 | 0,00489277 |
1239 | 0,00496235 |
1240 | 0,00502666 |
1241 | 0,00508546 |
1242 | 0,00513877 |
1243 | 0,00518662 |
1244 | 0,00522904 |
1245 | 0,00526648 |
1246 | 0,00529956 |
1247 | 0,00532895 |
1248 | 0,00535532 |
1249 | 0,00537929 |
1250 | 0,00540141 |
1251 | 0,00542228 |
1252 | 0,00544196 |
1253 | 0,00545981 |
1254 | 0,00547515 |
1255 | 0,00548726 |
1256 | 0,00549542 |
1257 | 0,00549899 |
1258 | 0,00549732 |
1259 | 0,00548986 |
1260 | 0,00547633 |
1261 | 0,00545664 |
1262 | 0,00543067 |
1263 | 0,00539849 |
1264 | 0,00536061 |
1265 | 0,00531757 |
1266 | 0,00526993 |
1267 | 0,00521822 |
1268 | 0,00516300 |
1269 | 0,00510485 |
1270 | 0,00504432 |
1271 | 0,00498194 |
1272 | 0,00491822 |
1273 | 0,00485364 |
1274 | 0,00478862 |
1275 | 0,00472309 |
1276 | 0,00465675 |
1277 | 0,00458939 |
1278 | 0,00452067 |
1279 | 0,00445003 |
1280 | 0,00437688 |
1281 | 0,00430063 |
1282 | 0,00422062 |
1283 | 0,00413609 |
1284 | 0,00404632 |
1285 | 0,00395060 |
1286 | 0,00384863 |
1287 | 0,00374044 |
1288 | 0,00362600 |
1289 | 0,00350540 |
1290 | 0,00337934 |
1291 | 0,00324885 |
1292 | 0,00311486 |
1293 | 0,00297849 |
1294 | 0,00284122 |
1295 | 0,00270458 |
1296 | 0,00257013 |
1297 | 0,00243867 |
1298 | 0,00231005 |
1299 | 0,00218399 |
1300 | 0,00206023 |
1301 | 0,00193766 |
1302 | 0,00181460 |
1303 | 0,00168938 |
1304 | 0,00156050 |
1305 | 0,00142701 |
1306 | 0,00128831 |
1307 | 0,00114365 |
1308 | 0,00099297 |
1309 | 0,00083752 |
1310 | 0,00067884 |
1311 | 0,00051845 |
1312 | 0,00035760 |
1313 | 0,00019720 |
1314 | 0,00003813 |
1315 | -0,00011885 |
1316 | -0,00027375 |
1317 | -0,00042718 |
1318 | -0,00057975 |
1319 | -0,00073204 |
1320 | -0,00088453 |
1321 | -0,00103767 |
1322 | -0,00119192 |
1323 | -0,00134747 |
1324 | -0,00150411 |
1325 | -0,00166151 |
1326 | -0,00181932 |
1327 | -0,00197723 |
1328 | -0,00213493 |
1329 | -0,00229210 |
1330 | -0,00244849 |
1331 | -0,00260415 |
1332 | -0,00275928 |
1333 | -0,00291410 |
1334 | -0,00306879 |
1335 | -0,00322332 |
1336 | -0,00337759 |
1337 | -0,00353145 |
1338 | -0,00368470 |
1339 | -0,00383722 |
1340 | -0,00398892 |
1341 | -0,00413972 |
1342 | -0,00428967 |
1343 | -0,00443889 |
1344 | -0,00458749 |
1345 | -0,00473571 |
1346 | -0,00488366 |
1347 | -0,00503137 |
1348 | -0,00517887 |
1349 | -0,00532610 |
1350 | -0,00547302 |
1351 | -0,00561965 |
1352 | -0,00576598 |
1353 | -0,00591199 |
1354 | -0,00605766 |
1355 | -0,00620300 |
1356 | -0,00634801 |
1357 | -0,00649273 |
1358 | -0,00663727 |
1359 | -0,00678170 |
1360 | -0,00692617 |
1361 | -0,00707084 |
1362 | -0,00721583 |
1363 | -0,00736129 |
1364 | -0,00750735 |
1365 | -0,00765415 |
1366 | -0,00780184 |
1367 | -0,00795060 |
1368 | -0,00810058 |
1369 | -0,00825195 |
1370 | -0,00840487 |
1371 | -0,00855950 |
1372 | -0,00871607 |
1373 | -0,00887480 |
1374 | -0,00903596 |
1375 | -0,00919978 |
1376 | -0,00936650 |
1377 | -0,00953635 |
1378 | -0,00970931 |
1379 | -0,00988421 |
1380 | -0,01005916 |
1381 | -0,01023208 |
1382 | -0,01040130 |
1383 | -0,01056627 |
1384 | -0,01072678 |
1385 | -0,01088259 |
1386 | -0,01103348 |
1387 | -0,01117933 |
1388 | -0,01132004 |
1389 | -0,01145552 |
1390 | -0,01158573 |
1391 | -0,01171065 |
1392 | -0,01183025 |
1393 | -0,01194454 |
1394 | -0,01205352 |
1395 | -0,01215722 |
1396 | -0,01225572 |
1397 | -0,01234911 |
1398 | -0,01243749 |
1399 | -0,01252102 |
1400 | -0,01259985 |
1401 | -0,01267419 |
1402 | -0,01274437 |
1403 | -0,01281078 |
1404 | -0,01287379 |
1405 | -0,01293350 |
1406 | -0,01298972 |
1407 | -0,01304224 |
1408 | -0,01309086 |
1409 | -0,01313556 |
1410 | -0,01317644 |
1411 | -0,01321357 |
1412 | -0,01324707 |
1413 | -0,01327697 |
1414 | -0,01330334 |
1415 | -0,01332622 |
1416 | -0,01334570 |
1417 | -0,01336194 |
1418 | -0,01337510 |
1419 | -0,01338538 |
1420 | -0,01339276 |
1421 | -0,01339708 |
1422 | -0,01339816 |
1423 | -0,01339584 |
1424 | -0,01339014 |
1425 | -0,01338116 |
1426 | -0,01336903 |
1427 | -0,01335382 |
1428 | -0,01333545 |
1429 | -0,01331381 |
1430 | -0,01328876 |
1431 | -0,01326033 |
1432 | -0,01322880 |
1433 | -0,01319457 |
1434 | -0,01315806 |
1435 | -0,01311968 |
1436 | -0,01307987 |
1437 | -0,01303906 |
1438 | -0,01299769 |
1439 | -0,01295623 |
1440 | -0,01308207 |
1441 | -0,01304153 |
1442 | -0,01299802 |
1443 | -0,01295155 |
1444 | -0,01290215 |
1445 | -0,01284980 |
1446 | -0,01279450 |
1447 | -0,01273625 |
1448 | -0,01267501 |
1449 | -0,01261077 |
1450 | -0,01254347 |
1451 | -0,01247306 |
1452 | -0,01239950 |
1453 | -0,01232277 |
1454 | -0,01224304 |
1455 | -0,01216055 |
1456 | -0,01207554 |
1457 | -0,01198813 |
1458 | -0,01189829 |
1459 | -0,01180590 |
1460 | -0,01171090 |
1461 | -0,01161335 |
1462 | -0,01151352 |
1463 | -0,01141167 |
1464 | -0,01130807 |
1465 | -0,01120289 |
1466 | -0,01109626 |
1467 | -0,01098830 |
1468 | -0,01087916 |
1469 | -0,01076898 |
1470 | -0,01065793 |
1471 | -0,01054618 |
1472 | -0,01043380 |
1473 | -0,01032068 |
1474 | -0,01020670 |
1475 | -0,01009171 |
1476 | -0,00997585 |
1477 | -0,00985959 |
1478 | -0,00974338 |
1479 | -0,00962765 |
1480 | -0,00951273 |
1481 | -0,00939888 |
1482 | -0,00928634 |
1483 | -0,00917534 |
1484 | -0,00906604 |
1485 | -0,00895860 |
1486 | -0,00885313 |
1487 | -0,00874977 |
1488 | -0,00864862 |
1489 | -0,00854979 |
1490 | -0,00845337 |
1491 | -0,00835939 |
1492 | -0,00826785 |
1493 | -0,00817872 |
1494 | -0,00809195 |
1495 | -0,00800745 |
1496 | -0,00792506 |
1497 | -0,00784469 |
1498 | -0,00776588 |
1499 | -0,00768695 |
1500 | -0,00760568 |
1501 | -0,00752004 |
1502 | -0,00742875 |
1503 | -0,00733186 |
1504 | -0,00722976 |
1505 | -0,00712279 |
1506 | -0,00701130 |
1507 | -0,00689559 |
1508 | -0,00677595 |
1509 | -0,00665269 |
1510 | -0,00652610 |
1511 | -0,00639649 |
1512 | -0,00626417 |
1513 | -0,00612943 |
1514 | -0,00599252 |
1515 | -0,00585368 |
1516 | -0,00571315 |
1517 | -0,00557115 |
1518 | -0,00542792 |
1519 | -0,00528367 |
1520 | -0,00513864 |
1521 | -0,00499301 |
1522 | -0,00484693 |
1523 | -0,00470054 |
1524 | -0,00455395 |
1525 | -0,00440733 |
1526 | -0,00426086 |
1527 | -0,00411471 |
1528 | -0,00396904 |
1529 | -0,00382404 |
1530 | -0,00367991 |
1531 | -0,00353684 |
1532 | -0,00339502 |
1533 | -0,00325472 |
1534 | -0,00311618 |
1535 | -0,00297967 |
1536 | -0,00284531 |
1537 | -0,00271307 |
1538 | -0,00258290 |
1539 | -0,00245475 |
1540 | -0,00232860 |
1541 | -0,00220447 |
1542 | -0,00208236 |
1543 | -0,00196233 |
1544 | -0,00184450 |
1545 | -0,00172906 |
1546 | -0,00161620 |
1547 | -0,00150603 |
1548 | -0,00139852 |
1549 | -0,00129358 |
1550 | -0,00119112 |
1551 | -0,00109115 |
1552 | -0,00099375 |
1553 | -0,00089902 |
1554 | -0,00080705 |
1555 | -0,00071796 |
1556 | -0,00063185 |
1557 | -0,00054886 |
1558 | -0,00046904 |
1559 | -0,00039231 |
1560 | -0,00031845 |
1561 | -0,00024728 |
1562 | -0,00017860 |
1563 | -0,00011216 |
1564 | -0,00004772 |
1565 | 0,00001500 |
1566 | 0,00007600 |
1567 | 0,00013501 |
1568 | 0,00019176 |
1569 | 0,00024595 |
1570 | 0,00029720 |
1571 | 0,00034504 |
1572 | 0,00038902 |
1573 | 0,00042881 |
1574 | 0,00046456 |
1575 | 0,00049662 |
1576 | 0,00052534 |
1577 | 0,00055114 |
1578 | 0,00057459 |
1579 | 0,00059629 |
1580 | 0,00061684 |
1581 | 0,00063660 |
1582 | 0,00065568 |
1583 | 0,00067417 |
1584 | 0,00069213 |
1585 | 0,00070935 |
1586 | 0,00072545 |
1587 | 0,00074005 |
1588 | 0,00075283 |
1589 | 0,00076356 |
1590 | 0,00077209 |
1591 | 0,00077828 |
1592 | 0,00078205 |
1593 | 0,00078350 |
1594 | 0,00078275 |
1595 | 0,00077992 |
1596 | 0,00077520 |
1597 | 0,00076884 |
1598 | 0,00076108 |
1599 | 0,00075218 |
1600 | 0,00074232 |
1601 | 0,00073170 |
1602 | 0,00072048 |
1603 | 0,00070881 |
1604 | 0,00069680 |
1605 | 0,00068450 |
1606 | 0,00067201 |
1607 | 0,00065934 |
1608 | 0,00064647 |
1609 | 0,00063335 |
1610 | 0,00061994 |
1611 | 0,00060621 |
1612 | 0,00059211 |
1613 | 0,00057763 |
1614 | 0,00056274 |
1615 | 0,00054743 |
1616 | 0,00053169 |
1617 | 0,00051553 |
1618 | 0,00049897 |
1619 | 0,00048206 |
1620 | 0,00046487 |
1621 | 0,00044748 |
1622 | 0,00042996 |
1623 | 0,00041241 |
1624 | 0,00039492 |
1625 | 0,00037759 |
1626 | 0,00036049 |
1627 | 0,00034371 |
1628 | 0,00032732 |
1629 | 0,00031137 |
1630 | 0,00029587 |
1631 | 0,00028080 |
1632 | 0,00026612 |
1633 | 0,00025183 |
1634 | 0,00023789 |
1635 | 0,00022428 |
1636 | 0,00021097 |
1637 | 0,00019797 |
1638 | 0,00018530 |
1639 | 0,00017297 |
1640 | 0,00016100 |
1641 | 0,00014942 |
1642 | 0,00013827 |
1643 | 0,00012757 |
1644 | 0,00011736 |
1645 | 0,00010764 |
1646 | 0,00009841 |
1647 | 0,00008969 |
1648 | 0,00008145 |
1649 | 0,00007369 |
1650 | 0,00006641 |
1651 | 0,00005958 |
1652 | 0,00005320 |
1653 | 0,00004725 |
1654 | 0,00004171 |
1655 | 0,00003659 |
1656 | 0,00003186 |
1657 | 0,00002752 |
1658 | 0,00002357 |
1659 | 0,00002000 |
1660 | 0,00001679 |
1661 | 0,00001392 |
1662 | 0,00001140 |
1663 | 0,00000918 |
1664 | 0,00000726 |
1665 | 0,00000562 |
1666 | 0,00000424 |
1667 | 0,00000309 |
1668 | 0,00000217 |
1669 | 0,00000143 |
1670 | 0,00000088 |
1671 | 0,00000048 |
1672 | 0,00000020 |
1673 | 0,00000004 |
1674 | -0,00000004 |
1675 | -0,00000006 |
1676 | -0,00000004 |
1677 | 0,00000000 |
1678 | 0,00000002 |
1679 | 0,00000000 |
1680 | 0,00000000 |
1681 | 0,00000002 |
1682 | 0,00000000 |
1683 | -0,00000004 |
1684 | -0,00000005 |
1685 | -0,00000004 |
1686 | 0,00000004 |
1687 | 0,00000019 |
1688 | 0,00000045 |
1689 | 0,00000083 |
1690 | 0,00000134 |
1691 | 0,00000201 |
1692 | 0,00000285 |
1693 | 0,00000387 |
1694 | 0,00000510 |
1695 | 0,00000654 |
1696 | 0,00000821 |
1697 | 0,00001011 |
1698 | 0,00001227 |
1699 | 0,00001468 |
1700 | 0,00001735 |
1701 | 0,00002030 |
1702 | 0,00002352 |
1703 | 0,00002702 |
1704 | 0,00003080 |
1705 | 0,00003486 |
1706 | 0,00003918 |
1707 | 0,00004379 |
1708 | 0,00004866 |
1709 | 0,00005382 |
1710 | 0,00005924 |
1711 | 0,00006495 |
1712 | 0,00007093 |
1713 | 0,00007719 |
1714 | 0,00008373 |
1715 | 0,00009053 |
1716 | 0,00009758 |
1717 | 0,00010488 |
1718 | 0,00011240 |
1719 | 0,00012010 |
1720 | 0,00012796 |
1721 | 0,00013596 |
1722 | 0,00014406 |
1723 | 0,00015226 |
1724 | 0,00016053 |
1725 | 0,00016886 |
1726 | 0,00017725 |
1727 | 0,00018571 |
1728 | 0,00019424 |
1729 | 0,00020286 |
1730 | 0,00021156 |
1731 | 0,00022037 |
1732 | 0,00022928 |
1733 | 0,00023825 |
1734 | 0,00024724 |
1735 | 0,00025621 |
1736 | 0,00026509 |
1737 | 0,00027385 |
1738 | 0,00028241 |
1739 | 0,00029072 |
1740 | 0,00029874 |
1741 | 0,00030643 |
1742 | 0,00031374 |
1743 | 0,00032065 |
1744 | 0,00032715 |
1745 | 0,00033325 |
1746 | 0,00033895 |
1747 | 0,00034425 |
1748 | 0,00034917 |
1749 | 0,00035374 |
1750 | 0,00035796 |
1751 | 0,00036187 |
1752 | 0,00036549 |
1753 | 0,00036883 |
1754 | 0,00037194 |
1755 | 0,00037479 |
1756 | 0,00037736 |
1757 | 0,00037963 |
1758 | 0,00038154 |
1759 | 0,00038306 |
1760 | 0,00038411 |
1761 | 0,00038462 |
1762 | 0,00038453 |
1763 | 0,00038373 |
1764 | 0,00038213 |
1765 | 0,00037965 |
1766 | 0,00037621 |
1767 | 0,00037179 |
1768 | 0,00036636 |
1769 | 0,00035989 |
1770 | 0,00035244 |
1771 | 0,00034407 |
1772 | 0,00033488 |
1773 | 0,00032497 |
1774 | 0,00031449 |
1775 | 0,00030361 |
1776 | 0,00029252 |
1777 | 0,00028133 |
1778 | 0,00027003 |
1779 | 0,00025862 |
1780 | 0,00024706 |
1781 | 0,00023524 |
1782 | 0,00022297 |
1783 | 0,00021004 |
1784 | 0,00019626 |
1785 | 0,00018150 |
1786 | 0,00016566 |
1787 | 0,00014864 |
1788 | 0,00013041 |
1789 | 0,00011112 |
1790 | 0,00009096 |
1791 | 0,00007014 |
1792 | 0,00004884 |
1793 | 0,00002718 |
1794 | 0,00000530 |
1795 | -0,00001667 |
1796 | -0,00003871 |
1797 | -0,00006090 |
1798 | -0,00008331 |
1799 | -0,00010600 |
1800 | -0,00012902 |
1801 | -0,00015244 |
1802 | -0,00017631 |
1803 | -0,00020065 |
1804 | -0,00022541 |
1805 | -0,00025052 |
1806 | -0,00027594 |
1807 | -0,00030159 |
1808 | -0,00032740 |
1809 | -0,00035332 |
1810 | -0,00037928 |
1811 | -0,00040527 |
1812 | -0,00043131 |
1813 | -0,00045741 |
1814 | -0,00048357 |
1815 | -0,00050978 |
1816 | -0,00053599 |
1817 | -0,00056217 |
1818 | -0,00058827 |
1819 | -0,00061423 |
1820 | -0,00064002 |
1821 | -0,00066562 |
1822 | -0,00069100 |
1823 | -0,00071616 |
1824 | -0,00074110 |
1825 | -0,00076584 |
1826 | -0,00079036 |
1827 | -0,00081465 |
1828 | -0,00083869 |
1829 | -0,00086245 |
1830 | -0,00088590 |
1831 | -0,00090901 |
1832 | -0,00093176 |
1833 | -0,00095413 |
1834 | -0,00097608 |
1835 | -0,00099758 |
1836 | -0,00101862 |
1837 | -0,00103918 |
1838 | -0,00105924 |
1839 | -0,00107879 |
1840 | -0,00109783 |
1841 | -0,00111635 |
1842 | -0,00113434 |
1843 | -0,00115181 |
1844 | -0,00116873 |
1845 | -0,00118510 |
1846 | -0,00120091 |
1847 | -0,00121615 |
1848 | -0,00123082 |
1849 | -0,00124490 |
1850 | -0,00125838 |
1851 | -0,00127125 |
1852 | -0,00128350 |
1853 | -0,00129511 |
1854 | -0,00130610 |
1855 | -0,00131643 |
1856 | -0,00132610 |
1857 | -0,00133509 |
1858 | -0,00134334 |
1859 | -0,00135069 |
1860 | -0,00135711 |
1861 | -0,00136272 |
1862 | -0,00136768 |
1863 | -0,00137225 |
1864 | -0,00137649 |
1865 | -0,00138042 |
1866 | -0,00138404 |
1867 | -0,00138737 |
1868 | -0,00139041 |
1869 | -0,00139317 |
1870 | -0,00139565 |
1871 | -0,00139785 |
1872 | -0,00139976 |
1873 | -0,00140137 |
1874 | -0,00140267 |
1875 | -0,00140366 |
1876 | -0,00140432 |
1877 | -0,00140464 |
1878 | -0,00140461 |
1879 | -0,00140423 |
1880 | -0,00140347 |
1881 | -0,00140235 |
1882 | -0,00140084 |
1883 | -0,00139894 |
1884 | -0,00139664 |
1885 | -0,00139388 |
1886 | -0,00139065 |
1887 | -0,00138694 |
1888 | -0,00138278 |
1889 | -0,00137818 |
1890 | -0,00137317 |
1891 | -0,00136772 |
1892 | -0,00136185 |
1893 | -0,00135556 |
1894 | -0,00134884 |
1895 | -0,00134170 |
1896 | -0,00133415 |
1897 | -0,00132619 |
1898 | -0,00131784 |
1899 | -0,00130908 |
1900 | -0,00129991 |
1901 | -0,00129031 |
1902 | -0,00128031 |
1903 | -0,00126990 |
1904 | -0,00125912 |
1905 | -0,00124797 |
1906 | -0,00123645 |
1907 | -0,00122458 |
1908 | -0,00121233 |
1909 | -0,00119972 |
1910 | -0,00118676 |
1911 | -0,00117347 |
1912 | -0,00115988 |
1913 | -0,00114605 |
1914 | -0,00113200 |
1915 | -0,00111778 |
1916 | -0,00110343 |
1917 | -0,00108898 |
1918 | -0,00107448 |
1919 | -0,00105995 |
Разность | Индекс |
0 | 68 |
1 | 69 |
2 | 70 |
3 | 71 |
4 | 75 |
5 | 76 |
6 | 77 |
7 | 78 |
8 | 79 |
9 | 80 |
10 | 81 |
11 | 82 |
12 | 83 |
13 | 84 |
14 | 85 |
15 | 86 |
16 | 87 |
17 | 88 |
18 | 89 |
19 | 72 |
20 | 90 |
21 | 73 |
22 | 65 |
23 | 66 |
24 | 58 |
25 | 67 |
26 | 59 |
27 | 60 |
28 | 61 |
29 | 62 |
30 | 54 |
31 | 55 |
32 | 46 |
33 | 47 |
34 | 48 |
35 | 49 |
36 | 50 |
37 | 51 |
38 | 41 |
39 | 42 |
40 | 35 |
41 | 36 |
42 | 37 |
43 | 29 |
44 | 38 |
45 | 30 |
46 | 23 |
47 | 24 |
48 | 25 |
49 | 19 |
50 | 20 |
51 | 14 |
52 | 15 |
53 | 16 |
54 | 11 |
55 | 7 |
56 | 8 |
57 | 5 |
58 | 2 |
59 | 1 |
60 | 0 |
61 | 3 |
62 | 4 |
63 | 6 |
64 | 9 |
65 | 10 |
66 | 12 |
67 | 13 |
68 | 17 |
69 | 18 |
70 | 21 |
71 | 22 |
72 | 26 |
73 | 27 |
74 | 28 |
75 | 31 |
76 | 32 |
77 | 33 |
78 | 34 |
79 | 39 |
80 | 40 |
81 | 43 |
82 | 44 |
83 | 45 |
84 | 52 |
85 | 53 |
86 | 63 |
87 | 56 |
88 | 64 |
89 | 57 |
90 | 74 |
91 | 91 |
92 | 92 |
93 | 93 |
94 | 94 |
95 | 95 |
96 | 96 |
97 | 97 |
98 | 98 |
99 | 99 |
100 | 100 |
101 | 101 |
102 | 102 |
103 | 103 |
104 | 104 |
105 | 105 |
106 | 106 |
107 | 107 |
108 | 108 |
109 | 109 |
110 | 110 |
111 | 111 |
112 | 112 |
113 | 113 |
114 | 114 |
115 | 115 |
116 | 116 |
117 | 117 |
118 | 118 |
119 | 119 |
120 | 120 |
121 | 121 |
122 | 122 |
123 | 123 |
124 | 124 |
125 | 125 |
126 | 126 |
127 | 127 |
Разность | Индекс |
0 | 60 |
1 | 59 |
2 | 58 |
3 | 61 |
4 | 62 |
5 | 57 |
6 | 63 |
7 | 55 |
8 | 56 |
9 | 64 |
10 | 65 |
11 | 54 |
12 | 66 |
13 | 67 |
14 | 51 |
15 | 52 |
16 | 53 |
17 | 68 |
18 | 69 |
19 | 49 |
20 | 50 |
21 | 70 |
22 | 71 |
23 | 46 |
24 | 47 |
25 | 48 |
26 | 72 |
27 | 73 |
28 | 74 |
29 | 43 |
30 | 45 |
31 | 75 |
32 | 76 |
33 | 77 |
34 | 78 |
35 | 40 |
36 | 41 |
37 | 42 |
38 | 44 |
39 | 79 |
40 | 80 |
41 | 38 |
42 | 39 |
43 | 81 |
44 | 82 |
45 | 83 |
46 | 32 |
47 | 33 |
48 | 34 |
49 | 35 |
50 | 36 |
51 | 37 |
52 | 84 |
53 | 85 |
54 | 30 |
55 | 31 |
56 | 87 |
57 | 89 |
58 | 24 |
59 | 26 |
60 | 27 |
61 | 28 |
62 | 29 |
63 | 86 |
64 | 88 |
65 | 22 |
66 | 23 |
67 | 25 |
68 | 0 |
69 | 1 |
70 | 2 |
71 | 3 |
72 | 19 |
73 | 21 |
74 | 90 |
75 | 4 |
76 | 5 |
77 | 6 |
78 | 7 |
79 | 8 |
80 | 9 |
81 | 10 |
82 | 11 |
83 | 12 |
84 | 13 |
85 | 14 |
86 | 15 |
87 | 16 |
88 | 17 |
89 | 18 |
90 | 20 |
91 | 91 |
92 | 92 |
93 | 93 |
94 | 94 |
95 | 95 |
96 | 96 |
97 | 97 |
98 | 98 |
99 | 99 |
100 | 100 |
101 | 101 |
102 | 102 |
103 | 103 |
104 | 104 |
105 | 105 |
106 | 106 |
107 | 107 |
108 | 108 |
109 | 109 |
110 | 110 |
111 | 111 |
112 | 112 |
113 | 113 |
114 | 114 |
115 | 115 |
116 | 116 |
117 | 117 |
118 | 118 |
119 | 119 |
120 | 120 |
121 | 121 |
122 | 122 |
123 | 123 |
124 | 124 |
125 | 125 |
126 | 126 |
127 | 127 |
Имя файла | Содержание | Режим | Число элементов | Число векторов |
20b19s48bs | LSP | core | 20 | 64+16+2 |
VN | EN | 0 | 1 | 2 | 3 | 4 | 5 | 6 | 7 | 8 | 9 | 10 | 11 |
0 | 0 | 0,1174 | 0,2629 | 0,4047 | 0,5952 | 0,7249 | 0,8803 | 1,0465 | 1,1687 | 1,3174 | 1,4778 | 1,6125 | 1,779 |
12 | 1, 8951 | 2,0787 | 2,2225 | 2,3546 | 2,5002 | 2,6572 | 2,8355 | 2,9783 | |||||
1 | 0 | 0,1828 | 0,3386 | 0,4116 | 0,5621 | 0,721 | 0,8888 | 1,0088 | 1,1501 | 1,3288 | 1,4473 | 1,5727 | 1,7789 |
12 | 1,8824 | 2,0304 | 2,1998 | 2,3585 | 2,4955 | 2,6511 | 2,814 | 2,9605 | |||||
2 | 0 | 0,1293 | 0,3249 | 0,4623 | 0,6582 | 0,7948 | 0,9477 | 1,1068 | 1,2104 | 1,3098 | 1,4293 | 1,569 | 1,757 |
12 | 1,8739 | 2,0543 | 2,2133 | 2,363 | 2,5169 | 2,6593 | 2,8147 | 2,9676 | |||||
3 | 0 | 0,1359 | 0,3157 | 0,477 | 0,634 | 0,6863 | 0,797 | 1,0202 | 1,2062 | 1,3237 | 1,4243 | 1,571 | 1,788 |
12 | 1,9209 | 2,0588 | 2,1726 | 2,3476 | 2,5309 | 2,6718 | 2,8079 | 2,9564 | |||||
4 | 0 | 0,1311 | 0,2912 | 0,4227 | 0,6131 | 0,7523 | 0,9053 | 1,0771 | 1,2221 | 1,3648 | 1,534 | 1,6759 | 1,8169 |
12 | 1,902 | 2,0612 | 2,2039 | 2,3483 | 2,4994 | 2,6446 | 2,803 | 2,9602 | |||||
5 | 0 | 0,1264 | 0,2699 | 0,3763 | 0,581 | 0,7562 | 0,9114 | 1,0854 | 1,2163 | 1,373 | 1,5429 | 1,6488 | 1,7651 |
12 | 1,8514 | 2,0338 | 2,1947 | 2,3444 | 2,4975 | 2,6497 | 2,8091 | 2,9622 | |||||
6 | 0 | 0,1437 | 0,2588 | 0,3554 | 0,5655 | 0,7454 | 0,9205 | 1,0799 | 1,171 | 1,3025 | 1,446 | 1,5693 | 1,7406 |
12 | 1,8593 | 2,0314 | 2,1916 | 2,3495 | 2,5033 | 2,648 | 2,8094 | 2,9634 | |||||
7 | 0 | 0,1114 | 0,2943 | 0,4312 | 0,5984 | 0,7299 | 0,8952 | 1,0942 | 1,2548 | 1,3628 | 1,4482 | 1,5589 | 1,7495 |
12 | 1,8897 | 2,0738 | 2,2136 | 2,3605 | 2,5199 | 2,6703 | 2,8201 | 2,9603 | |||||
8 | 0 | 0,0948 | 0,2009 | 0,3228 | 0,52 | 0,6759 | 0,8336 | 1,0034 | 1,169 | 1,3346 | 1,4869 | 1,6169 | 1,7833 |
12 | 1,8962 | 2,0733 | 2,2408 | 2,3867 | 2,5308 | 2,6702 | 2,822 | 2,9715 | |||||
9 | 0 | 0,1354 | 0,2516 | 0,3765 | 0,5569 | 0,6437 | 0,7706 | 0,9587 | 1,1167 | 1,2847 | 1,448 | 1,5884 | 1,7576 |
12 | 1,8759 | 2,0557 | 2,2131 | 2,3606 | 2,5117 | 2,6561 | 2,8135 | 2,9681 | |||||
10 | 0 | 0,1457 | 0,3447 | 0,4823 | 0,6299 | 0,7071 | 0,8266 | 1,0111 | 1,159 | 1,3168 | 1,4711 | 1,6095 | 1,7785 |
12 | 1,8965 | 2,0814 | 2,2277 | 2,3749 | 2,5471 | 2,6981 | 2,8343 | 2,9631 | |||||
11 | 0 | 0,1308 | 0,2559 | 0,3849 | 0,5877 | 0,6716 | 0,7929 | 0,9911 | 1,1467 | 1,2875 | 1,4331 | 1,5804 | 1,7507 |
12 | 1,8768 | 2,0533 | 2,2073 | 2,3571 | 2,5075 | 2,6526 | 2,8114 | 2,9668 | |||||
12 | 0 | 0,11 | 0,2342 | 0,3655 | 0,5678 | 0,7011 | 0,8539 | 1,0156 | 1,1344 | 1,2878 | 1,4475 | 1,5857 | 1,7553 |
12 | 1,8788 | 2,0568 | 2,209 | 2,3575 | 2,5091 | 2,6533 | 2,8127 | 2,9664 | |||||
13 | 0 | 0,1276 | 0,2569 | 0,3779 | 0,5755 | 0,7111 | 0,8433 | 1,012 | 1,1497 | 1,2934 | 1,4561 | 1,5821 | 1,7393 |
12 | 1,8597 | 2,0338 | 2,1981 | 2,3514 | 2,5005 | 2,6466 | 2,8099 | 2,9643 | |||||
14 | 0 | 0,1449 | 0,2648 | 0,3846 | 0,5961 | 0,7299 | 0,8612 | 1,0124 | 1,1361 | 1,276 | 1,4033 | 1,5325 | 1,7194 |
12 | 1,8567 | 2,038 | 2,1982 | 2,3487 | 2,5037 | 2,6505 | 2,8093 | 2,9663 | |||||
15 | 0 | 0,1191 | 0,2724 | 0,3804 | 0,562 | 0,7344 | 0,8313 | 1,0047 | 1,1589 | 1,2462 | 1,4182 | 1,5826 | 1,7253 |
12 | 1,8671 | 2,0428 | 2,1839 | 2,3524 | 2,4969 | 2,6468 | 2,8092 | 2,9619 | |||||
16 | 0 | 0,1605 | 0,3428 | 0,4476 | 0,5915 | 0,7067 | 0,8606 | 1,0336 | 1,1538 | 1,3018 | 1,4734 | 1,6169 | 1,7796 |
12 | 1,9074 | 2,1093 | 2,2537 | 2,3646 | 2,5005 | 2,6536 | 2,8113 | 2,9592 | |||||
17 | 0 | 0,198 | 0,3043 | 0,3485 | 0,5137 | 0,6684 | 0,836 | 1,034 | 1,18 | 1,3348 | 1,4823 | 1,6125 | 1,7743 |
12 | 1,8685 | 2,0274 | 2,1877 | 2,3437 | 2,5005 | 2,6494 | 2,8088 | 2,966 | |||||
18 | 0 | 0,1522 | 0,2816 | 0,3968 | 0,5617 | 0,7004 | 0,8729 | 1,0133 | 1,1174 | 1,2474 | 1,4405 | 1,6196 | 1,7822 |
12 | 1,8452 | 2,0062 | 2,1803 | 2,3318 | 2,484 | 2,6414 | 2,8079 | 2,9638 | |||||
19 | 0 | 0,0838 | 0,2169 | 0,3715 | 0,6054 | 0,7642 | 0,8653 | 0,9821 | 1,1144 | 1,2896 | 1,4547 | 1,6024 | 1,7732 |
12 | 1,8876 | 2,0665 | 2,2032 | 2,3498 | 2,507 | 2,6526 | 2,8113 | 2,9673 | |||||
20 | 0 | 0,175 | 0,3555 | 0,4484 | 0,5662 | 0,6469 | 0,7965 | 1,0043 | 1,1502 | 1,302 | 1,4691 | 1,6097 | 1,774 |
12 | 1,8883 | 2,0712 | 2,2111 | 2,3544 | 2,5066 | 2,6538 | 2,813 | 2,9669 | |||||
21 | 0 | 0,1553 | 0,2518 | 0,3129 | 0,494 | 0,6681 | 0,84 | 1,0047 | 1,1351 | 1,2916 | 1,4545 | 1,6012 | 1,7689 |
12 | 1,8857 | 2,0635 | 2,2054 | 2,3529 | 2,5061 | 2,6522 | 2,8115 | 2,9686 | |||||
22 | 0 | 0,151 | 0,2829 | 0,373 | 0,5356 | 0,672 | 0,8278 | 1,0133 | 1,1413 | 1,2788 | 1,4408 | 1,5875 | 1,7644 |
12 | 1,8764 | 2,0482 | 2,1994 | 2,3476 | 2,5006 | 2,6488 | 2,8092 | 2,9658 | |||||
23 | 0 | 0,1242 | 0,2415 | 0,3427 | 0,5296 | 0,6996 | 0,8341 | 0,9758 | 1,1223 | 1,2826 | 1,4479 | 1,5923 | 1,7595 |
12 | 1,8802 | 2,0585 | 2,1987 | 2,3476 | 2,5022 | 2,6495 | 2,8098 | 2,9672 | |||||
24 | 0 | 0,137 | 0,2369 | 0,3319 | 0,4979 | 0,6176 | 0,7802 | 0,9803 | 1,1446 | 1,3162 | 1,4684 | 1,6044 | 1,7707 |
12 | 1,8874 | 2,063 | 2,2188 | 2,3651 | 2,5155 | 2,6591 | 2,8162 | 2,9694 | |||||
25 | 0 | 0,1082 | 0,2604 | 0,3933 | 0,5205 | 0,6302 | 0,8223 | 1,0015 | 1,1183 | 1,2792 | 1,4528 | 1,5918 | 1,7571 |
12 | 1,8807 | 2,0589 | 2,1995 | 2,3482 | 2,5029 | 2,6504 | 2,8099 | 2,967 | |||||
26 | 0 | 0,1655 | 0,3502 | 0,4789 | 0,6442 | 0,7489 | 0,8833 | 1,0259 | 1,1458 | 1,276 | 1,4114 | 1,5562 | 1,7398 |
12 | 1,8638 | 2,0451 | 2,2086 | 2,3589 | 2,5122 | 2,6577 | 2,8144 | 2,9662 | |||||
27 | 0 | 0,1398 | 0,2609 | 0,3662 | 0,539 | 0,6898 | 0,8598 | 1,0172 | 1,1053 | 1,2365 | 1,4228 | 1,5771 | 1,7457 |
12 | 1,8741 | 2,0544 | 2,2075 | 2,3562 | 2,5101 | 2,6536 | 2,8122 | 2,9669 | |||||
28 | 0 | 0,0999 | 0,2563 | 0,3139 | 0,4686 | 0,6594 | 0,8453 | 1,0207 | 1,155 | 1,2962 | 1,4475 | 1,5626 | 1,7421 |
12 | 1,8998 | 2,0971 | 2,2265 | 2,3679 | 2,5087 | 2,6455 | 2,7782 | 2,9457 | |||||
29 | 0 | 0,1138 | 0,2129 | 0,3229 | 0,5337 | 0,6762 | 0,8288 | 1,0247 | 1,1512 | 1,2682 | 1,4174 | 1,5696 | 1,7451 |
12 | 1,8698 | 2,0503 | 2,2105 | 2,3574 | 2,5101 | 2,6545 | 2,8123 | 2,9678 | |||||
30 | 0 | 0,1464 | 0,2629 | 0,3682 | 0,5432 | 0,6492 | 0,8349 | 1,066 | 1,1853 | 1,2746 | 1,4003 | 1,5387 | 1,7244 |
12 | 1,8658 | 2,0481 | 2,2015 | 2,3521 | 2,5052 | 2,6515 | 2,8106 | 2,967 | |||||
31 | 0 | 0,1281 | 0,2253 | 0,3181 | 0,5448 | 0,738 | 0,8919 | 1,0314 | 1,1421 | 1,2714 | 1,4252 | 1,5776 | 1,7548 |
12 | 1,8818 | 2,06 | 2,2127 | 2,3616 | 2,5133 | 2,6548 | 2,8141 | 2,9675 | |||||
32 | 0 | 0,1671 | 0,2982 | 0,3779 | 0,5418 | 0,6953 | 0,8556 | 1,0118 | 1,1498 | 1,3094 | 1,4649 | 1,6072 | 1,7726 |
12 | 1,8847 | 2,0659 | 2,2223 | 2,3653 | 2,5163 | 2,6591 | 2,8135 | 2,9657 | |||||
33 | 0 | 0,1584 | 0,313 | 0,4545 | 0,612 | 0,7032 | 0,8315 | 1,0019 | 1,0994 | 1,2239 | 1,4114 | 1,5721 | 1,7441 |
12 | 1,8778 | 2,0618 | 2,1931 | 2,3407 | 2,4986 | 2,6482 | 2,8099 | 2,9659 | |||||
34 | 0 | 0,1343 | 0,3271 | 0,4606 | 0,6457 | 0,8085 | 0,9335 | 1,0208 | 1,1017 | 1,2672 | 1,4591 | 1,6018 | 1,7899 |
12 | 1,9118 | 2,0595 | 2,2023 | 2,3582 | 2,512 | 2,6632 | 2,8272 | 2,9739 | |||||
35 | 0 | 0,1772 | 0,3363 | 0,4214 | 0,5756 | 0,727 | 0,8934 | 1,0098 | 1,0963 | 1,2554 | 1,4493 | 1,5827 | 1,7606 |
12 | 1,892 | 2,0618 | 2,1981 | 2,3514 | 2,5063 | 2,6505 | 2,8097 | 2,9658 | |||||
36 | 0 | 0,1629 | 0,3196 | 0,422 | 0,5608 | 0,6796 | 0,8588 | 1,007 | 1,1124 | 1,3047 | 1,4725 | 1,5731 | 1,7454 |
12 | 1,8934 | 2,0498 | 2,1861 | 2,3488 | 2,5041 | 2,6429 | 2,8095 | 2,9683 | |||||
37 | 0 | 0,196 | 0,3317 | 0,4323 | 0,6092 | 0,6915 | 0,8002 | 0,9693 | 1,1223 | 1,2892 | 1,4404 | 1,5735 | 1,7424 |
12 | 1,8701 | 2,0495 | 2,201 | 2,3498 | 2,5061 | 2,6522 | 2,8101 | 2,9654 | |||||
38 | 0 | 0,1468 | 0,3363 | 0,4748 | 0,6645 | 0,7704 | 0,8472 | 0,9688 | 1,1161 | 1,2929 | 1,4648 | 1,6101 | 1,7753 |
12 | 1,8918 | 2,0788 | 2,2212 | 2,3697 | 2,5156 | 2,6535 | 2,8097 | 2,9669 | |||||
39 | 0 | 0,2093 | 0,3679 | 0,4453 | 0,613 | 0,7225 | 0,8482 | 1,0341 | 1,1537 | 1,2889 | 1,4605 | 1,5785 | 1,7303 |
12 | 1,8466 | 2,0314 | 2,1931 | 2,3403 | 2,4949 | 2,6475 | 2,8109 | 2,9672 | |||||
40 | 0 | 0,099 | 0,2279 | 0,3506 | 0,5357 | 0,6608 | 0,8117 | 0,993 | 1,1395 | 1,3025 | 1,4607 | 1,5989 | 1,7658 |
12 | 1,883 | 2,062 | 2,2171 | 2,3647 | 2,5148 | 2,6583 | 2,8151 | 2,9689 | |||||
41 | 0 | 0,1526 | 0,2818 | 0,3926 | 0,5601 | 0,6776 | 0,7982 | 0,9554 | 1,0972 | 1,2681 | 1,4457 | 1,5934 | 1,7644 |
12 | 1,8867 | 2,0678 | 2,2277 | 2,3753 | 2,5217 | 2,661 | 2,8151 | 2,9671 | |||||
42 | 0 | 0,1664 | 0,2865 | 0,3753 | 0,5542 | 0,7075 | 0,8239 | 0,9482 | 1,1018 | 1,2804 | 1,4409 | 1,5888 | 1,7569 |
12 | 1,876 | 2,0564 | 2,2125 | 2,3592 | 2,5109 | 2,6547 | 2,8128 | 2,9673 | |||||
43 | 0 | 0,1497 | 0,2776 | 0,404 | 0,6093 | 0,6903 | 0,8241 | 0,9759 | 1,0756 | 1,2293 | 1,4062 | 1,564 | 1,7444 |
12 | 1,869 | 2,0471 | 2,2058 | 2,3548 | 2,5082 | 2,6541 | 2,8123 | 2,9663 | |||||
44 | 0 | 0,1856 | 0,3246 | 0,416 | 0,5572 | 0,6681 | 0,8443 | 1,0393 | 1,1434 | 1,2551 | 1,4226 | 1,5953 | 1,7619 |
12 | 1,8762 | 2,0626 | 2,2266 | 2,3616 | 2,5056 | 2,6552 | 2,8174 | 2,9657 | |||||
45 | 0 | 0,1963 | 0,3169 | 0,3824 | 0,5766 | 0,6988 | 0,8159 | 1,013 | 1,111 | 1,2497 | 1,4341 | 1,5718 | 1,7518 |
12 | 1,8737 | 2,051 | 2,2107 | 2,3543 | 2,5119 | 2,6529 | 2,812 | 2,9667 | |||||
46 | 0 | 0,1856 | 0,3454 | 0,4117 | 0,5668 | 0,7447 | 0,8623 | 0,9852 | 1,169 | 1,2915 | 1,3994 | 1,5688 | 1,7447 |
12 | 1,8442 | 2,0565 | 2,2031 | 2,3417 | 2,5085 | 2,6514 | 2,8045 | 2,9678 | |||||
47 | 0 | 0,166 | 0,2923 | 0,4013 | 0,5757 | 0,6739 | 0,8321 | 1,0109 | 1,1455 | 1,2546 | 1,3844 | 1,5564 | 1,7446 |
12 | 1,8702 | 2,0453 | 2,2067 | 2,3576 | 2,5086 | 2,6522 | 2,8103 | 2,9659 | |||||
48 | 0 | 0,1399 | 0,3315 | 0,4603 | 0,6454 | 0,7743 | 0,9153 | 1,0794 | 1,2339 | 1,3972 | 1,5176 | 1,5984 | 1,7353 |
12 | 1,8565 | 2,0569 | 2,2083 | 2,3508 | 2,5053 | 2,6524 | 2,8188 | 2,9722 | |||||
49 | 0 | 0,1288 | 0,3059 | 0,4501 | 0,6671 | 0,7666 | 0,8348 | 0,9684 | 1,1432 | 1,3353 | 1,5161 | 1,6186 | 1,7363 |
12 | 1,8551 | 2,0594 | 2,207 | 2,3614 | 2,5017 | 2,6432 | 2,8081 | 2,9672 | |||||
50 | 0 | 0,1283 | 0,3108 | 0,4497 | 0,6447 | 0,7964 | 0,8913 | 0,9786 | 1,1139 | 1,3089 | 1,4954 | 1,6582 | 1,7989 |
12 | 1,8601 | 2,0313 | 2,2017 | 2,357 | 2,5284 | 2,6688 | 2,8041 | 2,953 | |||||
51 | 0 | 0,1353 | 0,3106 | 0,4598 | 0,6512 | 0,7234 | 0,8098 | 0,9998 | 1,1857 | 1,3597 | 1,486 | 1,5771 | 1,7548 |
12 | 1,9111 | 2,1113 | 2,2261 | 2,3281 | 2,4854 | 2,6665 | 2,8452 | 2,9846 | |||||
52 | 0 | 0,1604 | 0,3143 | 0,4318 | 0,6003 | 0,7132 | 0,8728 | 1,0448 | 1,1722 | 1,3083 | 1,4632 | 1,5988 | 1,7629 |
12 | 1,8779 | 2,0539 | 2,2067 | 2,3572 | 2,5069 | 2,6503 | 2,8111 | 2,9627 | |||||
53 | 0 | 0,1028 | 0,2826 | 0,45 | 0,6391 | 0,7665 | 0,9555 | 1,1078 | 1,1585 | 1,2412 | 1,4131 | 1,5947 | 1,7693 |
12 | 1,8957 | 2,0951 | 2,2557 | 2,3628 | 2,503 | 2,6596 | 2,8153 | 2,9674 | |||||
54 | 0 | 0,1349 | 0,3392 | 0,4855 | 0,6061 | 0,6773 | 0,8411 | 1,0665 | 1,1875 | 1,2882 | 1,4453 | 1,6329 | 1,8118 |
12 | 1,8896 | 2,035 | 2,201 | 2,3721 | 2,5096 | 2,6424 | 2,8095 | 2,9693 | |||||
55 | 0 | 0,2062 | 0,3369 | 0,3912 | 0,5671 | 0,7037 | 0,8188 | 1,0099 | 1,1641 | 1,3288 | 1,4701 | 1,5703 | 1,7315 |
12 | 1,8461 | 2,022 | 2,1849 | 2,3378 | 2,497 | 2,6473 | 2,8072 | 2,9652 | |||||
56 | 0 | 0,1611 | 0,2965 | 0,3994 | 0,576 | 0,7066 | 0,8527 | 1,0117 | 1,1601 | 1,3263 | 1,4822 | 1,6103 | 1,7697 |
12 | 1,885 | 2,037 | 2,1847 | 2,3501 | 2,5087 | 2,6489 | 2,8095 | 2,963 | |||||
57 | 0 | 0,174 | 0,3077 | 0,3979 | 0,5763 | 0,6674 | 0,7658 | 0,9572 | 1,1408 | 1,3099 | 1,4713 | 1,611 | 1,7712 |
12 | 1,8662 | 2,0278 | 2,1799 | 2,3338 | 2,4943 | 2,6458 | 2,8068 | 2,9654 | |||||
58 | 0 | 0,1644 | 0,2687 | 0,3549 | 0,558 | 0,7462 | 0,8957 | 0,9979 | 1,1157 | 1,2975 | 1,4555 | 1,5783 | 1,722 |
12 | 1,8323 | 2,0177 | 2,1885 | 2,3429 | 2,5006 | 2,6499 | 2,8095 | 2,9659 | |||||
59 | 0 | 0,1396 | 0,3211 | 0,4387 | 0,591 | 0,7217 | 0,8955 | 1,059 | 1,1835 | 1,346 | 1,5024 | 1,6307 | 1,8283 |
12 | 1,9458 | 2,0646 | 2,1776 | 2,3532 | 2,5179 | 2,6556 | 2,8191 | 2,9694 | |||||
60 | 0 | 0,182 | 0,288 | 0,3636 | 0,5345 | 0,6327 | 0,7978 | 1,0031 | 1,1387 | 1,2978 | 1,4558 | 1,5979 | 1,7627 |
12 | 1,8847 | 2,061 | 2,1793 | 2,354 | 2,5294 | 2,6627 | 2,8095 | 2,9644 | |||||
61 | 0 | 0,1252 | 0,2473 | 0,3853 | 0,5624 | 0,7105 | 0,8498 | 0,9762 | 1,1477 | 1,309 | 1,4242 | 1,5993 | 1,7636 |
12 | 1,8327 | 2,0352 | 2,2026 | 2,332 | 2,5015 | 2,6514 | 2,8022 | 2,9628 | |||||
62 | 0 | 0,2073 | 0,3438 | 0,3918 | 0,5472 | 0,7194 | 0,8508 | 1,0187 | 1,176 | 1,2857 | 1,4605 | 1,6015 | 1,7364 |
12 | 1,8728 | 2,0492 | 2,1888 | 2,3526 | 2,5016 | 2,6466 | 2,8089 | 2,9626 | |||||
63 | 0 | 0,1434 | 0,2665 | 0,369 | 0,5565 | 0,6735 | 0,8049 | 1,0074 | 1,1739 | 1,3292 | 1,4451 | 1,5527 | 1,7176 |
12 | 1,8464 | 2,0366 | 2,1979 | 2,3497 | 2,5038 | 2,6518 | 2,8105 | 2,9653 | |||||
64 | 0 | 0,0561 | 0,0312 | 0,0155 | -0,0042 | 0,0325 | 0,0171 | 0,0047 | 0,0264 | 0,0483 | 0,0216 | -0,0111 | -0,0329 |
12 | 0,0229 | 0,0045 | -0,0032 | 0,0015 | 0,0081 | 0,0198 | 0,0181 | 0,0193 | |||||
65 | 0 | 0,0423 | 0,0088 | -0,0058 | -0,0414 | -0,0039 | 0,0202 | 0,0252 | 0,0543 | 0,0252 | -0,0252 | -0,009 | -0,003 |
12 | 0,0404 | 0,0114 | 0,068 | 0,1005 | 0,0661 | 0,0072 | -0,0267 | -0,0069 | |||||
66 | 0 | -0,0397 | -0,0683 | -0,0203 | -0,0272 | 0,0078 | 0,004 | -0,0156 | 0,0067 | 0,0163 | 0,0187 | 0,0435 | 0,0378 |
12 | 0,0811 | 0,0438 | -0,0306 | -0,0252 | -0,0009 | 0,0161 | 0,0134 | 0,0158 | |||||
67 | 0 | 0,02 | -0,0239 | -0,0162 | -0,01 | 0,0278 | 0,0185 | 0,0115 | 0,0347 | 0,0359 | 0,024 | 0,0296 | 0,0116 |
12 | 0,0473 | 0,0197 | 0,0079 | 0,0177 | 0,0266 | 0,043 | 0,0641 | 0,0436 | |||||
68 | 0 | -0,0128 | 0,0234 | 0,0498 | -0,0345 | -0,0268 | 0,0514 | 0,0364 | 0,0499 | 0,0485 | 0,0428 | 0,0564 | 0,0481 |
12 | 0,0919 | 0,0574 | 0,013 | 0,0282 | 0,0017 | -0,0071 | 0,0073 | 0,0156 | |||||
69 | 0 | -0,0074 | 0,0132 | 0,0242 | -0,0196 | 0,0217 | 0,0452 | 0,0326 | 0,0172 | 0,0195 | 0,0434 | 0,0361 | -0,0285 |
12 | -0,0001 | 0,0035 | 0,0074 | -0,0221 | -0,0314 | -0,0046 | 0,0049 | 0,0143 | |||||
70 | 0 | -0,0005 | -0,0231 | 0 | -0,0433 | -0,019 | -0,0067 | -0,0218 | 0,0094 | 0,0235 | 0,0337 | 0,0322 | -0,0196 |
12 | 0,0049 | -0,0037 | 0,0272 | -0,0061 | -0,0058 | 0,021 | 0,017 | 0,0165 | |||||
71 | 0 | 0,0121 | -0,0081 | 0,0233 | 0,0268 | 0,0422 | -0,0014 | -0,0065 | 0,0172 | 0,013 | 0,0054 | 0,0201 | 0,0062 |
12 | 0,0431 | 0,016 | 0,0193 | 0,0402 | 0,0449 | 0,0152 | -0,0066 | 0,0082 | |||||
72 | 0 | -0,0388 | -0,0291 | 0,0236 | -0,0205 | -0,0011 | -0,0001 | -0,0203 | 0,0054 | 0,0064 | -0,0207 | -0,0137 | -0,0211 |
12 | 0,0169 | -0,0032 | -0,0093 | -0,0004 | 0,0357 | 0,0354 | -0,0014 | -0,0013 | |||||
73 | 0 | -0,0215 | -0,0158 | 0,0584 | 0,0477 | 0,0426 | 0,0422 | 0,0241 | 0,0117 | -0,0025 | -0,0027 | 0,0182 | 0,0029 |
12 | 0,0412 | 0,0151 | 0,0549 | 0,0632 | 0,0653 | 0,0757 | 0,0695 | 0,0421 | |||||
74 | 0 | 0,0022 | 0,0325 | 0,0862 | 0,0287 | 0,0114 | 0,013 | 0,0068 | -0,0033 | -0,0203 | -0,0141 | 0,0073 | -0,0058 |
12 | 0,0333 | 0,0088 | 0,0676 | 0,0589 | 0,0051 | -0,0155 | -0,0006 | 0,0127 | |||||
75 | 0 | -0,0292 | -0,0195 | 0,0575 | 0,0156 | 0,0006 | 0,0107 | -0,0123 | 0,0147 | 0,0253 | 0,0278 | 0,0644 | 0,0385 |
12 | 0,0303 | -0,0152 | -0,0222 | 0,0136 | 0,0206 | 0,0226 | 0,0215 | 0,0208 | |||||
76 | 0 | -0,0255 | -0,0425 | 0,0049 | 0,0131 | 0,0372 | 0,039 | -0,015 | -0,0178 | 0,0075 | 0,0045 | 0,0157 | 0,002 |
12 | 0,0357 | 0,0057 | 0,0122 | 0,0176 | 0,0198 | 0,0277 | 0,0226 | 0,0208 | |||||
77 | 0 | 0,0567 | 0,052 | 0,0237 | -0,0588 | -0,0326 | -0,0352 | -0,0394 | 0,0085 | 0,0105 | 0,0036 | 0,0152 | 0,002 |
12 | 0,0395 | 0,0105 | 0,028 | 0,0407 | 0,0652 | 0,0661 | 0,0186 | -0,008 | |||||
78 | 0 | 0,032 | 0,0601 | 0,0632 | -0,0162 | -0,0058 | 0 | -0,0441 | -0,0256 | -0,0027 | -0,0019 | 0,017 | 0,0029 |
12 | 0,0321 | 0,0081 | 0,0478 | 0,026 | 0,0004 | 0,0197 | 0,0281 | 0,0243 | |||||
79 | 0 | 0,0268 | 0,0004 | 0,0397 | 0,0076 | -0,0044 | 0,0231 | 0,0238 | 0,0318 | -0,0023 | -0,0106 | 0,0283 | 0,0012 |
12 | 0,0055 | -0,0158 | 0,0285 | 0,032 | 0,0307 | 0,0348 | 0,0273 | 0,0219 | |||||
80 | 0 | 0,4987 | 0,4924 | 0,4713 | 0,4427 | 0,4144 | 0,4168 | 0,3813 | 0,3695 | 0,3672 | 0,3619 | 0,3276 | 0,3173 |
12 | 0,3115 | 0,278 | 0,3223 | 0,2951 | 0,2826 | 0,2568 | 0,2145 | 0,2527 | |||||
81 | 0 | 0,3519 | 0,3181 | 0,2607 | 0,206 | 0,1473 | 0,1563 | 0,1073 | 0,0633 | 0,0178 | 0,0178 | -0,03 | -0,0538 |
12 | -0,0466 | -0,0529 | 0,0389 | -0,024 | -0,0405 | -0,1279 | -0,1221 | 0,0012 |
Имя файла | Содержание | Режим | Число элементов | Число векторов |
20b19s48sc | LSP | enhance | 20 | 64+16+2 |
VN | EN | 0 | 1 | 2 | 3 | 4 | 5 | 6 | 7 | 8 | 9 | 10 | 11 |
0 | 0 | 0,1567 | 0,293 | 0,4518 | 0,6063 | 0,7601 | 0,9216 | 1,067 | 1,2147 | 1,3665 | 1,5191 | 1,6681 | 1,8001 |
12 | 1,9483 | 2,1034 | 2,2565 | 2,3958 | 2,5371 | 2,6784 | 2,8201 | 2,9648 | |||||
1 | 0 | 0,1363 | 0,2451 | 0,3925 | 0,524 | 0,6463 | 0,8015 | 0,9244 | 1,0729 | 1,2474 | 1,4157 | 1,5815 | 1,7372 |
12 | 1,8908 | 2,0462 | 2,2112 | 2,3506 | 2,4974 | 2,653 | 2,7995 | 2,9567 | |||||
2 | 0 | 0,1649 | 0,2806 | 0,4123 | 0,5608 | 0,7206 | 0,8699 | 0,9973 | 1,1528 | 1,3042 | 1,45 | 1,6105 | 1,7487 |
12 | 1,8897 | 2,0482 | 2,2069 | 2,3509 | 2,499 | 2,6508 | 2,7986 | 2,9581 | |||||
3 | 0 | 0,1559 | 0,2632 | 0,4053 | 0,5361 | 0,7076 | 0,8445 | 0,9292 | 1,0251 | 1,1718 | 1,3625 | 1,5449 | 1,7128 |
12 | 1,879 | 2,0404 | 2,2004 | 2,3505 | 2,5068 | 2,6627 | 2,82 | 2,9759 | |||||
4 | 0 | 0,1529 | 0,2209 | 0,3506 | 0,4867 | 0,6205 | 0,7836 | 0,8989 | 1,0645 | 1,2688 | 1,3758 | 1,4801 | 1,6433 |
12 | 1,8303 | 2 | 2,1712 | 2,3409 | 2,5026 | 2,6545 | 2,817 | 2,9744 | |||||
5 | 0 | 0,1433 | 0,2288 | 0,3578 | 0,4937 | 0,6217 | 0,7847 | 0,9273 | 1,0626 | 1,2336 | 1,3957 | 1,5397 | 1,704 |
12 | 1,8573 | 2,0034 | 2,1756 | 2,3409 | 2,5 | 2,6518 | 2,807 | 2,9664 | |||||
6 | 0 | 0,1664 | 0,2349 | 0,3465 | 0,4486 | 0,5634 | 0,7389 | 0,9071 | 1,0751 | 1,243 | 1,3872 | 1,5295 | 1,7175 |
12 | 1,8303 | 1,9659 | 2,1052 | 2,2759 | 2,4874 | 2,6327 | 2,7668 | 2,9633 | |||||
7 | 0 | 0,1458 | 0,2419 | 0,3502 | 0,4939 | 0,6698 | 0,8162 | 0,9193 | 1,0387 | 1,2036 | 1,3958 | 1,5755 | 1,7351 |
12 | 1,8583 | 1,9894 | 2,163 | 2,3414 | 2,4937 | 2,6384 | 2,7951 | 2,9633 | |||||
8 | 0 | 0,1491 | 0,2608 | 0,4017 | 0,5588 | 0,719 | 0,8763 | 1,0197 | 1,1674 | 1,3192 | 1,477 | 1,6349 | 1,7749 |
12 | 1,9286 | 2,0907 | 2,2376 | 2,3789 | 2,5253 | 2,6725 | 2,8259 | 2,975 | |||||
9 | 0 | 0,1812 | 0,2982 | 0,4199 | 0,549 | 0,6944 | 0,7986 | 0,8602 | 0,9987 | 1,2019 | 1,4017 | 1,5757 | 1,7307 |
12 | 1,8879 | 2,05 | 2,1715 | 2,319 | 2,4852 | 2,6498 | 2,8074 | 2,9718 | |||||
10 | 0 | 0,164 | 0,2604 | 0,3885 | 0,5396 | 0,6878 | 0,8403 | 0,9959 | 1,1211 | 1,2562 | 1,4133 | 1,5712 | 1,7299 |
12 | 1,8956 | 2,0557 | 2,2103 | 2,3572 | 2,5108 | 2,6634 | 2,8211 | 2,9763 | |||||
11 | 0 | 0,1566 | 0,297 | 0,4632 | 0,5803 | 0,6433 | 0,7481 | 0,9195 | 1,1048 | 1,2769 | 1,4439 | 1,6033 | 1,7564 |
12 | 1,9081 | 2,0646 | 2,2041 | 2,349 | 2,4886 | 2,6269 | 2,7689 | 2,9472 | |||||
12 | 0 | 0,1467 | 0,2153 | 0,361 | 0,5554 | 0,7325 | 0,8634 | 0,9628 | 1,1097 | 1,3069 | 1,4554 | 1,5611 | 1,6825 |
12 | 1,8505 | 2,0227 | 2,1789 | 2,3352 | 2,4982 | 2,6573 | 2,815 | 2,9725 | |||||
13 | 0 | 0,1285 | 0,2004 | 0,354 | 0,5039 | 0,6163 | 0,7581 | 0,9083 | 1,0782 | 1,2559 | 1,4238 | 1,5749 | 1,724 |
12 | 1,8709 | 2,0279 | 2,1951 | 2,3786 | 2,541 | 2,6805 | 2,8318 | 2,9801 | |||||
14 | 0 | 0,1463 | 0,2438 | 0,3903 | 0,5417 | 0,6666 | 0,7941 | 0,9412 | 1,1156 | 1,295 | 1,4665 | 1,6099 | 1,722 |
12 | 1,8562 | 2,0184 | 2,1976 | 2,3507 | 2,5054 | 2,6602 | 2,8182 | 2,9738 | |||||
15 | 0 | 0,1344 | 0,1615 | 0,2467 | 0,4187 | 0,6347 | 0,81 | 0,9542 | 1,1096 | 1,2665 | 1,4258 | 1,5829 | 1,7285 |
12 | 1,8835 | 2,0436 | 2,1891 | 2,3415 | 2,4915 | 2,6198 | 2,7569 | 2,9449 | |||||
16 | 0 | 0,187 | 0,3036 | 0,4315 | 0,535 | 0,6405 | 0,7804 | 0,9596 | 1,1519 | 1,3195 | 1,4341 | 1,5404 | 1,6821 |
12 | 1,8442 | 2,009 | 2,1585 | 2,3114 | 2,4752 | 2,6417 | 2,8005 | 2,9638 | |||||
17 | 0 | 0,1751 | 0,2719 | 0,3828 | 0,5296 | 0,7036 | 0,9034 | 1,0637 | 1,1863 | 1,3125 | 1,4169 | 1,5111 | 1,6425 |
12 | 1,8131 | 1,9929 | 2,1476 | 2,3055 | 2,4739 | 2,6423 | 2,8053 | 2,9703 | |||||
18 | 0 | 0,1547 | 0,3035 | 0,4669 | 0,5746 | 0,672 | 0,8425 | 1,033 | 1,1782 | 1,2909 | 1,4494 | 1,6306 | 1,7793 |
12 | 1,8982 | 2,038 | 2,2171 | 2,378 | 2,4998 | 2,6364 | 2,808 | 2,9789 | |||||
19 | 0 | 0,16 | 0,2923 | 0,4369 | 0,5654 | 0,6968 | 0,8422 | 0,9896 | 1,1608 | 1,3081 | 1,4465 | 1,5856 | 1,7046 |
12 | 1,8411 | 1,9932 | 2,1526 | 2,3165 | 2,4797 | 2,6425 | 2,8061 | 2,968 | |||||
20 | 0 | 0,1562 | 0,2721 | 0,4059 | 0,5534 | 0,7148 | 0,8458 | 0,9977 | 1,1582 | 1,3127 | 1,5004 | 1,6237 | 1,7315 |
12 | 1,912 | 2,0342 | 2,1649 | 2,3464 | 2,4693 | 2,6224 | 2,7995 | 2,9671 | |||||
21 | 0 | 0,0886 | 0,1482 | 0,3145 | 0,5203 | 0,7025 | 0,8746 | 1,0101 | 1,1515 | 1,3107 | 1,4647 | 1,6207 | 1,7669 |
12 | 1,9143 | 2,0666 | 2,1859 | 2,3295 | 2,4918 | 2,6541 | 2,8129 | 2,9723 | |||||
22 | 0 | 0,1526 | 0,2884 | 0,4275 | 0,5815 | 0,7543 | 0,9188 | 1,0653 | 1,2176 | 1,3491 | 1,4997 | 1,69 | 1,8325 |
12 | 1,9063 | 1,9897 | 2,1563 | 2,3462 | 2,4988 | 2,6451 | 2,7962 | 2,9644 | |||||
23 | 0 | 0,1488 | 0,2703 | 0,4265 | 0,5861 | 0,744 | 0,8934 | 1,0286 | 1,1766 | 1,3575 | 1,5352 | 1,646 | 1,6996 |
12 | 1,8178 | 2,0112 | 2,2095 | 2,3733 | 2,4985 | 2,632 | 2,7964 | 2,9644 | |||||
24 | 0 | 0,1572 | 0,2429 | 0,3593 | 0,5062 | 0,6562 | 0,8095 | 0,961 | 1,118 | 1,2825 | 1,4421 | 1,6008 | 1,7497 |
12 | 1,901 | 2,0565 | 2,208 | 2,3977 | 2,5566 | 2,6866 | 2,8352 | 2,9804 | |||||
25 | 0 | 0,1483 | 0,2405 | 0,3764 | 0,5123 | 0,6309 | 0,7726 | 0,9575 | 1,1598 | 1,2968 | 1,3939 | 1,5335 | 1,6989 |
12 | 1,8671 | 2,0255 | 2,1687 | 2,3193 | 2,4833 | 2,6474 | 2,8075 | 2,9693 | |||||
26 | 0 | 0,14 | 0,2833 | 0,4514 | 0,588 | 0,7017 | 0,838 | 1,0121 | 1,1987 | 1,3348 | 1,4524 | 1,6014 | 1,769 |
12 | 1,9371 | 2,0673 | 2,2007 | 2,3651 | 2,5405 | 2,6912 | 2,8146 | 2,9573 | |||||
27 | 0 | 0,147 | 0,2935 | 0,4763 | 0,6216 | 0,7255 | 0,8457 | 0,9767 | 1,1172 | 1,2633 | 1,4177 | 1,5811 | 1,744 |
12 | 1,8958 | 2,0268 | 2,1556 | 2,3108 | 2,476 | 2,6424 | 2,8053 | 2,9671 | |||||
28 | 0 | 0,1452 | 0,2348 | 0,3705 | 0,5244 | 0,6837 | 0,8371 | 0,9823 | 1,1497 | 1,3086 | 1,4343 | 1,5756 | 1,734 |
12 | 1,8896 | 2,043 | 2,1931 | 2,3458 | 2,5031 | 2,6589 | 2,818 | 2,9747 | |||||
29 | 0 | 0,1752 | 0,2676 | 0,3921 | 0,5289 | 0,6385 | 0,8015 | 1,0014 | 1,1711 | 1,3076 | 1,4502 | 1,5964 | 1,7216 |
12 | 1,8779 | 2,0451 | 2,1952 | 2,3347 | 2,4832 | 2,6366 | 2,7888 | 2,9543 | |||||
30 | 0 | 0,1758 | 0,2815 | 0,3937 | 0,5605 | 0,6842 | 0,7915 | 0,9867 | 1,1111 | 1,2982 | 1,4349 | 1,5369 | 1,7311 |
12 | 1,8721 | 2,0534 | 2,1813 | 2,31 | 2,4778 | 2,6298 | 2,7919 | 2,9531 | |||||
31 | 0 | 0,1484 | 0,2614 | 0,406 | 0,5621 | 0,6949 | 0,838 | 1,0034 | 1,1408 | 1,3059 | 1,4644 | 1,5745 | 1,7082 |
12 | 1,8647 | 2,0263 | 2,1836 | 2,3269 | 2,4801 | 2,6403 | 2,7939 | 2,9558 | |||||
32 | 0 | 0,1859 | 0,2648 | 0,405 | 0,5544 | 0,7034 | 0,853 | 0,9523 | 1,0875 | 1,2349 | 1,3468 | 1,4844 | 1,6538 |
12 | 1,8288 | 1,9979 | 2,1465 | 2,3027 | 2,4674 | 2,6434 | 2,8068 | 2,9675 | |||||
33 | 0 | 0,1523 | 0,2676 | 0,4172 | 0,5676 | 0,6782 | 0,7917 | 0,938 | 1,0911 | 1,2527 | 1,4017 | 1,5428 | 1,7005 |
12 | 1,8617 | 2,0219 | 2,1783 | 2,3305 | 2,4898 | 2,6492 | 2,809 | 2,9696 | |||||
34 | 0 | 0,1429 | 0,2452 | 0,3811 | 0,5172 | 0,6436 | 0,78 | 0,9157 | 1,0533 | 1,2193 | 1,3916 | 1,5431 | 1,6877 |
12 | 1,8483 | 2,0113 | 2,1709 | 2,3314 | 2,4933 | 2,6543 | 2,8159 | 2,9774 | |||||
35 | 0 | 0,1429 | 0,2755 | 0,4623 | 0,6348 | 0,7367 | 0,8006 | 0,9024 | 1,082 | 1,2703 | 1,4362 | 1,597 | 1,7439 |
12 | 1,8992 | 2,0596 | 2,2391 | 2,3879 | 2,5199 | 2,6538 | 2,8044 | 2,9714 | |||||
36 | 0 | 0,1755 | 0,2674 | 0,3797 | 0,5093 | 0,6128 | 0,768 | 0,9463 | 1,0888 | 1,2435 | 1,3842 | 1,5028 | 1,653 |
12 | 1,8138 | 1,9719 | 2,1481 | 2,3143 | 2,4863 | 2,643 | 2,8036 | 2,9727 | |||||
37 | 0 | 0,1028 | 0,2019 | 0,4564 | 0,5772 | 0,6168 | 0,7817 | 1,0249 | 1,1519 | 1,2362 | 1,3784 | 1,5467 | 1,7077 |
12 | 1,8748 | 2,0347 | 2,1629 | 2,3126 | 2,4791 | 2,633 | 2,7958 | 2,9645 | |||||
38 | 0 | 0,1552 | 0,2539 | 0,3842 | 0,4973 | 0,6185 | 0,7823 | 0,9783 | 1,2079 | 1,3287 | 1,4312 | 1,5682 | 1,6595 |
12 | 1,7912 | 1,9505 | 2,1305 | 2,3021 | 2,4812 | 2,6502 | 2,8077 | 2,973 | |||||
39 | 0 | 0,144 | 0,2506 | 0,4179 | 0,5561 | 0,6573 | 0,7961 | 0,9659 | 1,1313 | 1,2651 | 1,3966 | 1,5404 | 1,691 |
12 | 1,85 | 2,0157 | 2,1777 | 2,334 | 2,4927 | 2,6505 | 2,8105 | 2,9723 | |||||
40 | 0 | 0,1231 | 0,2362 | 0,392 | 0,5375 | 0,6822 | 0,839 | 0,9828 | 1,1363 | 1,2963 | 1,4559 | 1,6114 | 1,7592 |
12 | 1,9089 | 2,0622 | 2,2153 | 2,3634 | 2,5155 | 2,6669 | 2,8236 | 2,9771 | |||||
41 | 0 | 0,1644 | 0,3065 | 0,4254 | 0,5421 | 0,7221 | 0,8851 | 0,9748 | 1,1407 | 1,3215 | 1,4231 | 1,5704 | 1,757 |
12 | 1,8728 | 2,0114 | 2,1897 | 2,3369 | 2,4832 | 2,6524 | 2,7991 | 2,9625 | |||||
42 | 0 | 0,1541 | 0,2444 | 0,3696 | 0,4892 | 0,584 | 0,7198 | 0,9029 | 1,0817 | 1,2504 | 1,4125 | 1,5675 | 1,7227 |
12 | 1,8809 | 2,0445 | 2,2064 | 2,3566 | 2,5114 | 2,6657 | 2,8226 | 2,9783 | |||||
43 | 0 | 0,1685 | 0,2822 | 0,4073 | 0,531 | 0,678 | 0,826 | 0,9442 | 1,0943 | 1,2424 | 1,3927 | 1,5633 | 1,721 |
12 | 1,8769 | 2,0336 | 2,1866 | 2,3397 | 2,4986 | 2,6565 | 2,8165 | 2,9738 | |||||
44 | 0 | 0,1595 | 0,2721 | 0,4006 | 0,518 | 0,6605 | 0,8306 | 0,9808 | 1,1277 | 1,3003 | 1,4401 | 1,5503 | 1,6986 |
12 | 1,8766 | 2,0486 | 2,2281 | 2,3824 | 2,5148 | 2,6498 | 2,7995 | 2,9672 | |||||
45 | 0 | 0,1576 | 0,2128 | 0,3353 | 0,4837 | 0,5821 | 0,6951 | 0,8633 | 1,013 | 1,2138 | 1,4012 | 1,5417 | 1,7026 |
12 | 1,8413 | 2,004 | 2,1891 | 2,342 | 2,5054 | 2,6629 | 2,8164 | 2,9719 | |||||
46 | 0 | 0,1623 | 0,2444 | 0,3882 | 0,541 | 0,6619 | 0,8141 | 0,9687 | 1,1125 | 1,2987 | 1,4352 | 1,5293 | 1,6206 |
12 | 1,7733 | 1,9671 | 2,1671 | 2,3417 | 2,5032 | 2,6485 | 2,8044 | 2,975 | |||||
47 | 0 | 0,1645 | 0,2494 | 0,4065 | 0,5624 | 0,7081 | 0,8553 | 0,9783 | 1,117 | 1,2605 | 1,3666 | 1,5037 | 1,6825 |
12 | 1,8595 | 2,0285 | 2,2063 | 2,3573 | 2,512 | 2,6642 | 2,8209 | 2,9768 | |||||
48 | 0 | 0,1412 | 0,2599 | 0,4089 | 0,5763 | 0,7575 | 0,9404 | 1,0963 | 1,2039 | 1,2875 | 1,4104 | 1,5831 | 1,7469 |
12 | 1,9057 | 2,0655 | 2,2198 | 2,3592 | 2,5008 | 2,6519 | 2,8075 | 2,9645 | |||||
49 | 0 | 0,1506 | 0,2249 | 0,3354 | 0,4702 | 0,6394 | 0,8209 | 0,9874 | 1,1137 | 1,2158 | 1,3713 | 1,5632 | 1,7234 |
12 | 1,8511 | 2,0006 | 2,1659 | 2,3298 | 2,4952 | 2,6518 | 2,8204 | 2,9774 | |||||
50 | 0 | 0,1427 | 0,2519 | 0,4087 | 0,5698 | 0,73 | 0,8871 | 1,0136 | 1,1402 | 1,2784 | 1,4188 | 1,5715 | 1,7279 |
12 | 1,8821 | 2,0373 | 2,1915 | 2,3442 | 2,5019 | 2,6578 | 2,8168 | 2,9741 | |||||
51 | 0 | 0,1546 | 0,2464 | 0,3871 | 0,5358 | 0,6887 | 0,8628 | 1,0297 | 1,1593 | 1,2707 | 1,3877 | 1,5348 | 1,7029 |
12 | 1,8544 | 2,0102 | 2,1646 | 2,3194 | 2,485 | 2,647 | 2,8099 | 2,971 | |||||
52 | 0 | 0,1563 | 0,2624 | 0,3977 | 0,5517 | 0,7151 | 0,8666 | 0,9931 | 1,1265 | 1,2623 | 1,419 | 1,5703 | 1,7052 |
12 | 1,8638 | 2,0244 | 2,1786 | 2,333 | 2,4926 | 2,6513 | 2,8121 | 2,9714 | |||||
53 | 0 | 0,1756 | 0,3055 | 0,4336 | 0,5642 | 0,6999 | 0,8519 | 1,0053 | 1,1666 | 1,3314 | 1,4941 | 1,6493 | 1,7804 |
12 | 1,9026 | 2,041 | 2,1964 | 2,3556 | 2,5057 | 2,6603 | 2,8194 | 2,972 | |||||
54 | 0 | 0,1584 | 0,3036 | 0,4517 | 0,5956 | 0,7302 | 0,8717 | 1,0275 | 1,1963 | 1,3597 | 1,5018 | 1,6108 | 1,7443 |
12 | 1,9113 | 2,0817 | 2,223 | 2,3474 | 2,489 | 2,6508 | 2,8187 | 2,9778 | |||||
55 | 0 | 0,1863 | 0,2831 | 0,4032 | 0,5544 | 0,7006 | 0,8505 | 1,0197 | 1,1847 | 1,3216 | 1,427 | 1,5489 | 1,695 |
12 | 1,8516 | 2,0187 | 2,152 | 2,3037 | 2,4735 | 2,6409 | 2,804 | 2,9682 | |||||
56 | 0 | 0,1365 | 0,2121 | 0,3269 | 0,4585 | 0,6069 | 0,7824 | 0,9466 | 1,1138 | 1,282 | 1,4431 | 1,6006 | 1,7496 |
12 | 1,9023 | 2,0596 | 2,2231 | 2,3686 | 2,5198 | 2,6706 | 2,8259 | 2,9791 | |||||
57 | 0 | 0,1418 | 0,2012 | 0,3235 | 0,4318 | 0,5561 | 0,7305 | 0,9193 | 1,0594 | 1,2154 | 1,3873 | 1,5191 | 1,6691 |
12 | 1,8355 | 2,0049 | 2,1635 | 2,3106 | 2,4786 | 2,6498 | 2,7995 | 2,9615 | |||||
58 | 0 | 0,1298 | 0,2535 | 0,4368 | 0,6313 | 0,8039 | 0,9111 | 0,9697 | 1,0732 | 1,2481 | 1,4316 | 1,5946 | 1,7482 |
12 | 1,8986 | 2,0577 | 2,219 | 2,3698 | 2,5216 | 2,6719 | 2,829 | 2,9839 | |||||
59 | 0 | 0,164 | 0,2683 | 0,3859 | 0,5464 | 0,721 | 0,8791 | 0,9947 | 1,1248 | 1,2728 | 1,42 | 1,5777 | 1,6956 |
12 | 1,8111 | 1,9719 | 2,1449 | 2,334 | 2,5168 | 2,6671 | 2,83 | 2,982 | |||||
60 | 0 | 0,16 | 0,2608 | 0,4067 | 0,5504 | 0,6802 | 0,817 | 0,9717 | 1,1255 | 1,2888 | 1,4648 | 1,6376 | 1,8126 |
12 | 1,9239 | 2,0146 | 2,1353 | 2,3044 | 2,4523 | 2,618 | 2,7863 | 2,9651 | |||||
61 | 0 | 0,1642 | 0,2736 | 0,3797 | 0,5014 | 0,6611 | 0,8243 | 0,9655 | 1,1203 | 1,2834 | 1,4431 | 1,604 | 1,7534 |
12 | 1,9015 | 2,0469 | 2,1684 | 2,318 | 2,484 | 2,6484 | 2,8086 | 2,9696 | |||||
62 | 0 | 0,15 | 0,273 | 0,4163 | 0,5685 | 0,7419 | 0,9107 | 1,0222 | 1,1298 | 1,2903 | 1,4624 | 1,6191 | 1,7762 |
12 | 1,9303 | 2,0511 | 2,1871 | 2,3528 | 2,5078 | 2,6608 | 2,8287 | 2,9768 | |||||
63 | 0 | 0,1448 | 0,2603 | 0,3473 | 0,4684 | 0,6635 | 0,8312 | 0,9606 | 1,124 | 1,2812 | 1,3949 | 1,5717 | 1,7249 |
12 | 1,9085 | 2,0455 | 2,1565 | 2,29 | 2,4086 | 2,6323 | 2,8375 | 2,9776 | |||||
64 | 0 | 0,0383 | 0,0567 | 0,0096 | 0,0058 | 0,0176 | 0,0025 | 0,0011 | -0,0004 | 0,0199 | 0,0127 | -0,0218 | -0,0168 |
12 | 0,0079 | 0,0142 | -0,0017 | 0,0067 | 0,0106 | 0,0125 | 0,01 | 0,0094 | |||||
65 | 0 | 0,0081 | 0,0043 | -0,0335 | -0,0402 | -0,012 | 0,0213 | 0,042 | 0,0507 | 0,0238 | -0,0191 | -0,0249 | -0,0022 |
12 | 0,0109 | 0,0117 | 0,0497 | 0,0557 | 0,0464 | 0,035 | 0,0275 | 0,019 | |||||
66 | 0 | -0,0261 | -0,048 | -0,046 | -0,014 | 0,0035 | 0,0071 | 0,0125 | 0,0034 | -0,0005 | 0,0004 | 0,0096 | 0,034 |
12 | 0,0524 | 0,0495 | -0,0303 | -0,0281 | -0,008 | 0,0009 | -0,0004 | 0,0039 | |||||
67 | 0 | 0,0102 | -0,0001 | -0,0296 | -0,0006 | 0,0327 | 0,0346 | 0,0448 | 0,0414 | 0,0344 | 0,0273 | 0,0219 | 0,0264 |
12 | 0,0257 | 0,0208 | -0,012 | -0,0134 | 0,0141 | 0,0377 | 0,0392 | 0,0162 | |||||
68 | 0 | 0,0104 | 0,0071 | 0,011 | 0,0152 | -0,0102 | 0,0115 | 0,0289 | 0,0372 | 0,0476 | 0,0562 | 0,0607 | 0,0667 |
12 | 0,0618 | 0,0449 | 0,0256 | -0,0128 | -0,0182 | 0,0032 | 0,005 | 0,0107 | |||||
69 | 0 | -0,0177 | 0,0338 | 0,0173 | 0,0015 | 0,0224 | 0,0144 | 0,034 | 0,0447 | 0,0526 | 0,0358 | -0,0029 | -0,0166 |
12 | -0,0123 | -0,0052 | 0,0066 | -0,0246 | -0,0336 | -0,0143 | -0,0047 | 0,0054 | |||||
70 | 0 | -0,0163 | 0,0226 | 0,0214 | -0,0236 | -0,0324 | -0,0239 | -0,0003 | 0,0098 | -0,0045 | -0,0015 | 0,0045 | 0,0126 |
12 | 0,0129 | 0,0104 | -0,0208 | -0,0085 | 0,0011 | 0,0066 | 0,0228 | 0,0289 | |||||
71 | 0 | 0,0096 | 0,0184 | 0,0142 | 0,0422 | 0,0419 | -0,0037 | 0,015 | 0,0267 | 0,0238 | 0,0191 | 0,0134 | 0,0177 |
12 | 0,0218 | 0,0207 | 0,041 | 0,0594 | 0,0599 | 0,0113 | -0,0264 | -0,0092 | |||||
72 | 0 | -0,0428 | -0,0164 | -0,002 | -0,0084 | -0,0008 | 0,0143 | 0,0203 | 0,0009 | -0,0134 | -0,0132 | -0,0215 | -0,0289 |
12 | -0,0202 | -0,0083 | 0,0009 | 0,0297 | 0,0171 | -0,015 | -0,0062 | 0,0079 | |||||
73 | 0 | -0,0259 | 0,013 | 0,0487 | 0,0691 | 0,0466 | 0,035 | 0,0465 | 0,0052 | -0,0155 | 0,0023 | 0,0134 | 0,0146 |
12 | 0,0142 | 0,011 | 0,029 | 0,0326 | 0,0437 | 0,0669 | 0,0835 | 0,0498 | |||||
74 | 0 | -0,0035 | 0,0321 | 0,054 | 0,0382 | 0,0055 | 0,0101 | 0,0146 | -0,0031 | -0,0324 | -0,0381 | -0,0189 | 0,0044 |
12 | 0,0177 | 0,0185 | 0,0471 | 0,0252 | -0,0066 | -0,0072 | -0,0129 | -0,0052 | |||||
75 | 0 | -0,0373 | -0,0028 | 0,0375 | 0,0295 | -0,0016 | -0,0017 | -0,0022 | 0,0084 | 0,0219 | 0,0322 | 0,0421 | 0,0369 |
12 | 0,0094 | -0,0019 | 0,0096 | 0,0242 | 0,0324 | 0,031 | 0,0363 | 0,0306 | |||||
76 | 0 | -0,0433 | -0,0333 | 0,001 | 0,0338 | 0,034 | 0,0181 | -0,0051 | -0,0337 | -0,017 | 0,0115 | 0,0188 | 0,0132 |
12 | 0,011 | 0,0114 | 0,0232 | 0,025 | 0,0232 | 0,0203 | 0,015 | 0,0128 | |||||
77 | 0 | 0,0552 | 0,0672 | -0,0093 | -0,0535 | -0,022 | -0,0204 | -0,0284 | -0,0194 | -0,0177 | -0,0228 | -0,0217 | -0,0114 |
12 | -0,0043 | -0,0033 | -0,0012 | 0,0158 | 0,0533 | 0,0514 | 0,0011 | -0,0072 | |||||
78 | 0 | 0,0209 | 0,0653 | 0,0635 | 0,0541 | 0,0327 | -0,0325 | -0,0418 | -0,0221 | -0,002 | 0,0078 | 0,0096 | 0,0202 |
12 | 0,0285 | 0,0278 | 0,0574 | 0,0428 | -0,0096 | -0,011 | 0,026 | 0,0358 | |||||
79 | 0 | 0,0146 | 0,062 | 0,0578 | 0,0008 | -0,0285 | 0,0054 | 0,0183 | 0,0136 | 0,0081 | 0,001 | -0,0056 | 0,0145 |
12 | -0,0033 | -0,0204 | 0,038 | 0,0141 | 0,0198 | 0,0573 | 0,031 | -0,0055 | |||||
80 | 0 | 0,4989 | 0,4993 | 0,499 | 0,4995 | 0,4999 | 0,4985 | 0,4973 | 0,499 | 0,4977 | 0,4971 | 0,4977 | 0,4995 |
12 | 0,4969 | 0,4986 | 0,4996 | 0,4996 | 0,4999 | 0,4989 | 0,4937 | 0,4906 | |||||
81 | 0 | 0,2664 | 0,3126 | 0,3112 | 0,3132 | 0,2987 | 0,2609 | 0,2724 | 0,2535 | 0,2363 | 0,2679 | 0,2746 | 0,2536 |
12 | 0,2708 | 0,269 | 0,2831 | 0,2939 | 0,262 | 0,2428 | 0,2456 | 0,2665 |
Имя файла | Содержание | Режим | Число элементов | Число векторов |
cdmdct 0 | MDCT | Базовый длинный | 20 | 32 |
VN | EN | 0 | 1 | 2 | 3 | 4 | 5 | 6 | 7 | 8 | 9 | 10 | 11 |
0 | 0 | -165,2 | 44,8 | 83,7 | -31,8 | -54,7 | 79,8 | 104,3 | -11322,7 | -46,7 | -5,7 | 139,8 | -38,4 |
12 | -59,7 | -101,2 | -5,6 | 134,4 | 34 | 113 | -738,8 | 80,1 | |||||
1 | 0 | 17,2 | 4,2 | 148,2 | 54,7 | 54,2 | -11,9 | 74,7 | 35,2 | 73,9 | 90 | 9523,9 | 73,2 |
12 | 1,1 | -47,8 | -5,7 | -966,6 | 60 | 120,8 | -189,5 | -59,4 | |||||
2 | 0 | 395,5 | 136 | 5816,1 | -64,1 | -89,2 | 17,3 | 371,2 | -9,6 | 11,2 | -10,6 | -31,9 | 27,1 |
12 | -41,5 | 31,5 | -496,7 | -138,5 | -2108,3 | -272,2 | -99,2 | 262,8 | |||||
3 | 0 | -1136,4 | -142,9 | 73,5 | -92 | -544,9 | -28,6 | -79,1 | -85,1 | 136,3 | -5,4 | -122,4 | -81,2 |
12 | -6,2 | 5,8 | -123,2 | 11554,5 | 4,3 | -71,2 | -22,1 | -203,1 | |||||
4 | 0 | -56 | 14,4 | 30 | -2,6 | 29,7 | -150 | 96,5 | 71,3 | 24,7 | -130,8 | -7,1 | 5682,9 |
12 | -7,6 | 43,1 | 15,6 | 35,9 | -219,7 | -84,9 | -1051,1 | 647,5 | |||||
5 | 0 | 209,2 | -93,8 | -105,8 | -18,2 | 51,5 | 22,9 | -38,3 | 88 | 4,6 | -38,3 | -118,2 | 328,6 |
12 | 12156,2 | -111 | -47 | 109,5 | -3,2 | 116,4 | -156,3 | 51 | |||||
6 | 0 | 69,1 | -74,3 | 15,4 | 184,4 | -165,6 | -97,8 | 23,8 | 12,2 | -12330,6 | -72,9 | 57,2 | 42 |
12 | -55,7 | 61,3 | -107,8 | 98,3 | 167,9 | 32,8 | 146 | 6,3 | |||||
7 | 0 | 58,7 | 728 | -3068,5 | -263,4 | -353,1 | -398,7 | 2696,7 | 95,2 | -202,9 | -28,2 | -5,6 | 45,7 |
12 | 22,5 | 13,1 | -66,7 | 42 | -269,3 | -467,2 | -208,8 | 2168 | |||||
8 | 0 | 17,8 | -3857,2 | -214,1 | 221,1 | -3488,2 | 83,3 | -162,9 | -260,7 | 3,5 | -46,1 | 32,8 | -73,8 |
12 | -1 | -53 | 397,9 | 227,4 | -961,9 | 286,9 | -229 | 364,3 | |||||
9 | 0 | -7050,2 | 4,7 | 168,8 | -40,4 | 51,1 | -143,8 | -141,4 | -56,7 | -159,6 | 79,5 | -8,1 | 23,2 |
12 | 2,3 | -51,7 | 54,7 | 186,3 | 6,3 | 44,6 | -91,9 | 54,7 | |||||
10 | 0 | -329,7 | -636,1 | 207,9 | 115 | -178,2 | -103,3 | 65 | -120,6 | -4683,1 | -975,1 | -77,1 | 85,8 |
12 | 53,5 | 42 | 184,9 | -51,3 | 355,2 | -112,8 | -321,5 | 79,8 | |||||
11 | 0 | 14,4 | 32,5 | 1394,3 | -151,4 | 48,1 | -35,6 | 293,8 | 4278,1 | -118 | 173,6 | 21 | -36,7 |
12 | -7,3 | 37,1 | 975,2 | 253,8 | 213,2 | 476,8 | -1456 | -23,3 | |||||
12 | 0 | 255,3 | -5356,6 | 89 | 351 | 429,9 | 175,9 | 381,5 | 39,8 | -315,5 | 43,2 | 57,3 | 196 |
12 | 9,8 | 33,2 | 1035 | 92,4 | 1186 | 31,7 | 145,9 | -27,5 | |||||
13 | 0 | -2680,3 | 260,6 | 3250,2 | -8,1 | -326,9 | 12 | -191,2 | 237,9 | -30,4 | -41,6 | 28,7 | 10,7 |
12 | -20,2 | 11,9 | -456,6 | 146,7 | 50 | -546 | -1884,2 | 295,5 | |||||
14 | 0 | 144,6 | -204,4 | 166,4 | 6474,3 | -373,7 | 49 | 117 | -49 | -2,2 | 9,8 | -7,6 | -70,1 |
12 | 88,3 | -27,5 | 201,1 | 102,2 | 58,5 | 34 | 95,8 | 36,3 | |||||
15 | 0 | 953,3 | 23,7 | 296,6 | 91,9 | 50,3 | -338,5 | 6794,1 | 7 | 0,2 | 77,2 | 27,9 | 96,8 |
12 | 99,2 | 11,7 | -48,9 | 7,5 | 138,1 | 39,4 | 426,9 | 26 | |||||
16 | 0 | -1,2 | -408,9 | -306,6 | -234,8 | 89 | -555,9 | 22 | 106,6 | 98 | 11,5 | -4,6 | -15,3 |
12 | -52,1 | 58,4 | 11645,8 | -104,3 | -52 | -66,8 | 162,1 | -38,7 | |||||
17 | 0 | -2503 | -167,9 | -131,7 | 159,9 | 75,5 | -314,6 | 3624,7 | -25,9 | 229,1 | -144,9 | 30,6 | -191,3 |
12 | 51,7 | -35,8 | -69,2 | -178,6 | -196,6 | 202,2 | 165,9 | -165,6 | |||||
18 | 0 | 14,1 | -8789,4 | -46 | 49,4 | -14,4 | 112,4 | -30,6 | 82,4 | -160,4 | 21,3 | 74 | 50,2 |
12 | 82,7 | 53,1 | 59,1 | -15,9 | -285,9 | 91,9 | 145,8 | 240,5 | |||||
19 | 0 | -331,2 | -1859,9 | 19,9 | 343,1 | -63,4 | 3389,2 | 541,5 | 485,4 | 129,3 | 214,5 | 29,4 | 19 |
12 | 33,4 | -15,1 | -1094,3 | -528,6 | 266,3 | -185,5 | -478,7 | -185,8 | |||||
20 | 0 | -123 | 3966,6 | -17,5 | 4279,8 | -15,7 | -47,5 | 239,8 | 76,4 | 9,8 | -3,7 | -2 | 29,3 |
12 | 49,4 | -109,1 | 182,2 | -47,5 | 158 | -80,9 | 542 | -328,9 | |||||
21 | 0 | -213,5 | 492,4 | -408,5 | 2968,7 | 99,5 | -651,8 | -379,6 | 728,1 | -230,4 | 192,2 | 84,5 | -130 |
12 | -20,3 | -78,7 | -502,3 | -74 | -11514,1 | -172,9 | -882 | -26,7 | |||||
22 | 0 | -401,2 | 120,3 | 23,1 | -233,7 | 3403 | -332,7 | 47,4 | 23,8 | 190,7 | -735,1 | 131,1 | -83 |
12 | -30,7 | -147,3 | -263,5 | 306,2 | -54,8 | 11629,9 | 308,2 | -528 | |||||
23 | 0 | -308,5 | 1931,8 | 659,7 | 126 | -4247,4 | -208 | 347,9 | 207,5 | 76 | -238,6 | 184 | -58 |
12 | -52,3 | -23,7 | 194,3 | 165,8 | 46,6 | 400,7 | -1299,6 | -120,9 | |||||
24 | 0 | -3467,8 | -4196,2 | -49 | -28,7 | -107,2 | -172,7 | -355,4 | 210,5 | -72 | -118,8 | 41,6 | -159,4 |
12 | 77,6 | -97,3 | -136,3 | 47,9 | -402,7 | 132,7 | -101,5 | -288,8 | |||||
25 | 0 | -71 | 517,2 | -413,7 | -1414 | -374,7 | -86,5 | -285,7 | 322,6 | -473 | 351,9 | 436,9 | -71,8 |
12 | 62,9 | -4541,1 | -314,8 | 271,7 | 25,2 | 250,9 | -436,7 | 500,3 | |||||
26 | 0 | 94,6 | -66,5 | 311,2 | 3960,3 | 3911,6 | 528,5 | 309,7 | -213,5 | 74,9 | 52,6 | 28,3 | -52,8 |
12 | -48,6 | -101,2 | -18,1 | -283 | 671,4 | -38,7 | 282,7 | 39,6 | |||||
27 | 0 | 692,1 | -48,2 | -87,8 | 112,4 | 43,7 | 7489 | -30,8 | -63,6 | 87,2 | -13,4 | 59,8 | 25,1 |
12 | -82,8 | 4,7 | -162 | 26,4 | -94,8 | -86 | 190,6 | -353,1 | |||||
28 | 0 | -4033,6 | 182,3 | -237,9 | -49 | -181,6 | 453,2 | -508,9 | -56,1 | -86,6 | -51,4 | 90,5 | -4,4 |
12 | -19,8 | 53,4 | -97,7 | -284,1 | 180,3 | 263,8 | 3747 | 0,8 | |||||
29 | 0 | 1019,4 | -1791,3 | 15,8 | 252,2 | 83 | -3434,4 | 132,8 | -87,3 | 93,9 | 199,1 | -149,5 | -30,6 |
12 | 14,1 | 31,4 | -17,3 | 828,3 | 76,8 | -403 | 21,1 | 541,3 | |||||
30 | 0 | 7,4 | -0,4 | 10,4 | 165,8 | -24,5 | 49,6 | 54 | -88,5 | 96,7 | -12001,5 | -61,2 | 2,8 |
12 | 43,7 | -39,3 | 292,9 | -87,4 | -132,9 | -36,3 | 538,9 | 45,2 | |||||
31 | 0 | 83,6 | -75,6 | 37,8 | -16,5 | 10805,3 | 65,4 | -23,6 | 17 | 17,1 | -73,1 | 21,4 | 10,9 |
12 | 64 | 19,7 | 46 | 84,1 | -112,2 | -55,3 | 244,2 | 134,2 |
Имя файла | Содержание | Режим | Число элементов | Число векторов |
cdmdct 1 | MDCT | Базовый длинный | 20 | 32 |
VN | EN | 0 | 1 | 2 | 3 | 4 | 5 | 6 | 7 | 8 | 9 | 10 | 11 |
0 | 0 | 235,3 | 67,3 | 50,9 | -70,8 | 141 | -11826,5 | -180,2 | -63,5 | 101,1 | -67,7 | -52,8 | -26,3 |
12 | 3,1 | 9,5 | -213,3 | 91,1 | -19,6 | -208,5 | 185,1 | 155,8 | |||||
1 | 0 | -2551,4 | -264,8 | 68,9 | -3066,5 | -340,7 | 139,4 | 130,4 | 26,9 | 60,2 | 35,7 | -4,1 | 74,7 |
12 | -35,7 | 10,4 | -215,4 | -28,2 | 182,3 | 258,3 | 272,9 | -157,2 | |||||
2 | 0 | 625,1 | -205,8 | 260,9 | -388,8 | -46,3 | -37,3 | 40,9 | -162,9 | -59,8 | -66,2 | -57,3 | -204,2 |
12 | -46,2 | 54,2 | 121,4 | -154,5 | -12125 | 83,4 | 421,2 | 168,3 | |||||
3 | 0 | -209,8 | 227 | -229,9 | -47 | 6981,7 | -61,2 | 43,9 | -60,2 | -68,3 | 50,4 | 34,3 | -0,2 |
12 | 16,8 | 10,1 | -144,3 | -9,7 | -127,6 | -128,7 | -320,2 | 195,7 | |||||
4 | 0 | 3358,8 | 295,2 | -171,2 | -205,5 | -2008,6 | -196,7 | 25,4 | -112,9 | -50,6 | -304,3 | -65 | -49,7 |
12 | -54 | -35,7 | -2190 | 54,1 | -279 | 491,8 | 37,6 | -327,2 | |||||
5 | 0 | -11,3 | -341,2 | 158,5 | 133,3 | -158,6 | 2,8 | -11,8 | -38,9 | 6211,1 | -519,8 | -58,8 | -26,8 |
12 | 17,3 | -57,9 | 341,8 | -294,8 | 20,2 | 38,5 | 378,2 | 101,3 | |||||
6 | 0 | 66 | 85,5 | 1894,5 | 3096,2 | -1994,1 | 40 | -103,1 | -369,4 | -93,3 | -65,3 | 151,1 | 34 |
12 | 12,1 | -27,7 | -488,9 | -136,9 | 39,4 | 1058,2 | 385,7 | 370,2 | |||||
7 | 0 | -8 | -8,6 | -44,9 | 18,7 | -73,3 | 50,5 | -4 | -61,6 | -14,4 | 1,7 | 5132,2 | -25,8 |
12 | 147,1 | 42,4 | 18,2 | 2672,9 | 182,8 | -251,4 | -329,7 | 378,2 | |||||
8 | 0 | -4,6 | 165,2 | -55,1 | 9383,7 | 117,1 | -95,3 | -115,3 | 18,8 | -0,1 | 59,2 | 70,4 | -45,5 |
12 | 21,6 | -8,3 | 29,7 | -51,5 | 294,9 | -117,1 | -209,5 | -44,2 | |||||
9 | 0 | -214,8 | -80,8 | 47,6 | -433,9 | 371,7 | 5001,4 | -330,3 | 27,5 | 37,4 | -44 | -255,9 | -153,2 |
12 | 63,1 | -12,2 | -152,5 | 552,9 | 216,9 | -145 | -903,1 | 512,9 | |||||
10 | 0 | 1342,8 | -240,9 | -920,2 | 98,8 | -132,1 | -192,2 | -158,8 | 3771,8 | -21,2 | -158,4 | -48,4 | 107,4 |
12 | 60,7 | -10,7 | -13,8 | -227,2 | 240,3 | 478,1 | 319,2 | 496,1 | |||||
11 | 0 | 4,8 | -5600,1 | 492 | 159,7 | -55,6 | -26,9 | -318,6 | 121 | 149,8 | 91,1 | 126,5 | -130,8 |
12 | -63,2 | 89,2 | -228,1 | -49 | 132,7 | -101,9 | 95,8 | -197,4 | |||||
12 | 0 | 356,8 | 2654,8 | -358,9 | 114 | 103,3 | 85,6 | 22,1 | -37,8 | 106,3 | 1,2 | -15 | -49,8 |
12 | -72,9 | 170,8 | -66 | 36,2 | 2617,9 | -162,5 | 503,6 | 1981,6 | |||||
13 | 0 | -9,4 | 127,7 | 23,1 | -66,9 | -122,5 | -198,8 | 101,7 | 56,8 | 41,2 | 89,5 | -60,9 | 30,3 |
12 | 5664,6 | 159,7 | 213,8 | -162,9 | -59,2 | 84,3 | -33,3 | -259,1 | |||||
14 | 0 | -103,3 | 42,4 | -1 | -180,8 | 44,4 | 743,2 | 4688,1 | 28,2 | -81,9 | 51,3 | 69,5 | 61,2 |
12 | -106,5 | -11,6 | -37 | -126,5 | -27,4 | 164,2 | -136,7 | -88,4 | |||||
15 | 0 | -1042,2 | -313,7 | -154,2 | -414,9 | 650,3 | -2755,9 | -161,8 | 364,9 | 103,8 | 27,5 | -94,9 | -172,6 |
12 | -75,1 | 108,1 | -7700 | -310,2 | 161,1 | -56,1 | -341,6 | -34,1 | |||||
16 | 0 | -54,2 | -3008,6 | -3909,4 | -85,6 | -62,9 | -56,7 | 108,9 | 40 | 267,7 | -151,7 | 144,4 | -63,7 |
12 | -221,4 | -67,8 | 193,4 | 55,7 | 572,8 | -265,8 | -565,6 | -407,7 | |||||
17 | 0 | -63,3 | 231,6 | -3415,5 | 601 | 575,7 | 1192,1 | -742,8 | 47 | -427,7 | 29,6 | 58,8 | 46,8 |
12 | -87,6 | 101,1 | -843,8 | 314,8 | -1669,2 | -178,3 | -315,2 | -230,1 | |||||
18 | 0 | 558 | -233,4 | 130,9 | 5,3 | 42,9 | -227,1 | 63,8 | -7070,4 | -35,4 | 27,3 | -70,9 | -14,2 |
12 | 30,6 | 127,3 | 499,7 | 11,2 | 343,1 | 789,6 | 860,6 | 325,5 | |||||
19 | 0 | -3560,6 | 3198,6 | -27,2 | 19 | 3,2 | -363,7 | 52,9 | 257,5 | -150,4 | 128,9 | -159,8 | -58,2 |
12 | 1,2 | 17,3 | -15,3 | 28,7 | -376,5 | -186,5 | 121,6 | -72,7 | |||||
20 | 0 | -1971,3 | -21,1 | -60,6 | 3407 | -171,8 | 35,7 | -15,5 | 65,3 | 173,8 | -58,9 | 2,5 | 70,6 |
12 | -48,5 | -24,8 | 306,4 | 156,2 | 476,7 | -327,6 | -2828,6 | -905,5 | |||||
21 | 0 | -580,4 | -214,9 | -1765,9 | 76,6 | -4029,4 | -5,1 | -172,3 | -113 | 51,4 | -152 | 15 | -37,4 |
12 | 27,1 | -56,2 | 266,6 | -408 | 589,2 | 298,9 | 941,4 | -136 | |||||
22 | 0 | 297,5 | -16,5 | 62,7 | -49,7 | 3,1 | 97,1 | -11428,2 | 64,4 | 11,5 | 64 | 32,8 | -114,3 |
12 | 2,9 | 10 | -32,2 | 117,6 | -48,1 | 68,9 | 293,1 | 14,3 | |||||
23 | 0 | -49,9 | 2192,6 | 578,3 | -4411,8 | -44,1 | 134,5 | -64,7 | 55,5 | -10,8 | -3,7 | -90,7 | 3,1 |
12 | -46,5 | 92,6 | 431 | 139,3 | -407,1 | 15 | -167,1 | -108,2 | |||||
24 | 0 | 28,8 | -7,1 | 121 | -63,5 | 79,6 | -35,6 | -14 | 45,6 | -201,3 | 5649,4 | -13,3 | -12,9 |
12 | 43,6 | 26,2 | 155,9 | -306,9 | -134,7 | 22,8 | 556 | -21 | |||||
25 | 0 | 6,7 | -62,4 | -23,1 | 790,1 | 199,2 | -93,1 | 72,3 | -203,9 | -26,1 | -374,6 | -437,6 | 219,8 |
12 | -139,7 | -9142,4 | 30,3 | -176,5 | 119,9 | -146,4 | -595 | -391,8 | |||||
26 | 0 | 2816,7 | 122,3 | 3753,5 | -33,5 | 242,4 | 245,3 | 233,1 | -340 | 17,7 | -215,5 | 40,5 | -58,3 |
12 | 6,6 | 29,7 | -254,2 | -2,6 | 675,4 | -347,6 | 506,2 | 227,3 | |||||
27 | 0 | -682,7 | -375,4 | 5715,8 | 196,7 | 236,8 | 214 | 21,2 | 229,6 | -232,8 | -41,2 | -54,1 | 2,8 |
12 | -74,8 | -148,1 | -103,5 | -55,2 | 298,6 | -263,6 | 393,1 | -462,4 | |||||
28 | 0 | -10807,7 | 112,1 | -283,5 | 173,9 | 368,5 | 172,3 | 46,9 | 208 | 51,4 | 226,4 | 72,3 | 108,1 |
12 | -76,5 | 37 | 543,5 | -277,6 | -291 | -178,8 | -246 | 228,4 | |||||
29 | 0 | -58,2 | -42,1 | -36,1 | -25,6 | -78,7 | 315,2 | 193,4 | 11,3 | 47,5 | 46 | 44,7 | 12181 |
12 | -7,5 | -10 | -31,3 | 106 | 255,7 | 78,9 | 571,9 | -518,5 | |||||
30 | 0 | -102,9 | 20,3 | -9260,7 | 53,2 | 55,9 | 133,6 | 125,5 | 202,7 | -66,6 | -62,6 | -7,3 | 2,2 |
12 | -0,6 | 56,8 | -6,7 | -14,7 | -340,4 | -160,4 | -419,5 | -241,2 | |||||
31 | 0 | 5816,2 | 60,8 | -128,6 | -76,2 | 350 | 99,9 | -81,6 | 133,1 | -103,3 | -19,4 | 56 | -81 |
12 | -87,3 | -14,7 | 276,2 | 194,7 | -148,2 | 129,3 | -495,4 | -270,1 |
Имя файла | Содержание | Режим | Число элементов | Число векторов |
cdmdct 2 | MDCT | Базовый короткий | 17 | 32 |
VN | EN | 0 | 1 | 2 | 3 | 4 | 5 | 6 | 7 | 8 | 9 | 10 | 11 |
0 | 0 | 16384 | -534 | 296,2 | 242,6 | -1011,7 | -156,3 | -25,8 | -720 | 135,3 | -288,9 | -197,1 | 339,2 |
12 | 12,6 | 484,7 | 68,3 | 1615,2 | -524,1 | ||||||||
1 | 0 | -7,6 | -264,3 | -165 | 453,1- | -8874- | -37,8 | 918,3 | -257,6 | 183,8 | -144,9 | 115,8 | 63,6 |
12 | 352,4 | 137,9 | 322,3 | 630,2 | 5343 | ||||||||
2 | 0 | 15,7- | 337,7- | -1005,3 | 4231,3 | -2785,4 | 214 | -3,1 | 311,3 | -296,8 | 99,8 | -496,3 | 186,7 |
12 | 33,9 | 685,2 | 642,6 | 633,4 | 4888,4 | ||||||||
3 | 0 | 149,2 | -252,5 | -238,4- | -191,4- | 45,6 | 154,2 | -498,2 | -4264,6 | -1516,9 | 985,7 | -939,2 | -419,5 |
12 | 1279,1 | 581,1 | 1809 | 951,5 | 1015,2 | ||||||||
4 | 0 | 239- | -72- | -104,5- | 882,2 | -73,4- | 24,2 | -187,9 | 141,5 | -9608 | 337,9 | 253,2 | 433,7 |
12 | 533,1 | 1421,2 | 2313,7 | 877,7 | 1429,2 | ||||||||
5 | 0 | 233,8- | -356,3 | -704,4- | 218,4 | -766,8- | -226,7 | -7255,4 | -139,7 | 229,3 | -439,2 | -523 | 230,3 |
12 | 173,3 | 1689 | 806,6 | 2720 | 1824,9 | ||||||||
6 | 0 | -651,9 | 677,9- | -425- | -7670,7 | -637,7 | 168,6 | -751,9 | -37,3 | -471,9 | 193 | 137,8 | 293 |
12 | 367,1 | 910,5 | 542 | -4284,2 | 5243,1 | ||||||||
7 | 0 | -45,2- | 609- | -135,9 | -740,3- | 2550,1 | 3678,4 | 1197 | 774,5 | -1783,1 | 355,6 | -191,8 | -292,4 |
12 | 293,4 | 196,9 | 199,3 | 2391,9 | 429,2 | ||||||||
8 | 0 | 819,6- | -838,5- | -374,1 | -704,7 | -329,2- | 310,2 | 404 | -204,9 | 94,1 | 1035,5 | -487,3 | 1144,9 |
12 | 0,1 | 8832 | 1367,5 | 120,2 | 1549,2 | ||||||||
9 | 0 | -274,8 | -263,5 | 590,7- | 723,8 | 420,4- | -272,4 | 346,6 | -478,9 | 3294,9 | 1890,3 | -1243,6 | -200,1 |
12 | 96,6 | 232,9 | 3382,5 | 953,2 | 1167,4 | ||||||||
10 | 0 | -113,3- | -594,2 | -9768,3 | 80,5- | -315,6- | 12,5 | 281,2 | -97,8 | -37,7 | 427,1 | 310,7 | -30,2 |
12 | 90,6 | 92,8 | 909,2 | 684,6 | 954,4 | ||||||||
11 | 0 | -92,3- | 141-673 | 576,4 | -24,4- | 56,3 | -1025,6 | 115,2 | -8990,2 | 176,6 | 144,3 | 86,6 | -190,4 |
12 | 1808,1 | 452,2 | 29 | 3351,3 | |||||||||
12 | 0 | 152,2- | 2705,2 | 2093,3 | -1395,5 | 27,3- | -76,7 | 835,9 | -54,8 | -363,6 | 690,4 | -316,8 | -151,5 |
12 | 539,3 | 492,3 | 2115 | 777,4 | 3297,1 | ||||||||
13 | 0 | -266,9 | -272,8- | -464,7- | 262,5 | 0,4- | 11,9 | 441,1 | -267,7 | -33,5 | 361,3 | 4513,6 | -476,3 |
12 | 12,5 | 138,8 | 965,3 | 2941 | 760,6 | ||||||||
14 | 0 | -5805,6 | 289,6- | 469,5- | 1712,9- | -169,3 | 150,8 | -1835,6 | 734,9 | 90 | 551,8 | -236,2 | -323,6 |
12 | -172,4 | 5589,5 | 2574,5 | 1050,4 | 1301,2 | ||||||||
15 | 0 | -3543,8 | 329,1 | -598,6 | -274,4- | 1067- | 973,2 | 856,7 | 549,2 | -31,2 | -82,9 | -907,1 | 671,3 |
12 | -115,7 | 2434,7 | 2131,6 | 931,5 | 1369,2 | ||||||||
16 | 0 | -355,6 | 242,4 | -267,9 | 182,5 | 177,8 | -134 | 85,2 | 806,1 | 117,7 | -121,4 | -738,8 | -6574 |
12 | -813,8 | -615,8 | -632,4 | 390,3 | 1416,5 | ||||||||
17 | 0 | -18,8 | 247,7 | 2109,5- | -2071,1 | -3397 | 1029,1 | 474,4 | -52,4 | 620,7 | 63,1 | 518,2 | -206,5 |
12 | 288,5 | 1795,3 | 2903 | -2856,7 | 1327,6 | ||||||||
18 | 0 | 260,8 | 496,6- | 695,4- | -1262,8 | 409 | -521,2 | -2073 | 1709 | 1929,4 | 69,5 | -1172,1 | -1298,6 |
12 | 3453,2 | 77,8 | 1448,3 | 1117,8 | 1309,2 | ||||||||
19 | 0 | 3500,7 | -3781,1 | 337,1 | 350,8- | 620,7 | -166,5 | 507,2 | -305 | -15,5 | -51 | -343,1 | 310 |
12 | 21,2 | 1445,3 | 1738,2 | 576 | 1721,7 | ||||||||
20 | 0 | -32,2- | -54,2 | -1286,9 | 76,5 | -1713,8 | -455,4 | 3055,5 | 1436,6 | 345,3 | -55 | 94,7 | -580,7 |
12 | 39,9 | 1640,6 | 2128 | 625,4 | -2599,5 | ||||||||
21 | 0 | -178,5 | -715,7- | -315,2- | -671,3 | -1472,1 | 4815,1 | -753,8 | 83,8 | 317,6 | 136 | 559,3 | -192,3 |
12 | 690 | 2273,6 | 2537,7 | 1253 | -3324,6 | ||||||||
22 | 0 | 591 | -267,2 | -299,1- | -485,2 | -423,5 | -38,2 | 674,1 | -2357,8 | 1102,6 | -3306,7 | -757,9 | -302,3 |
12 | 564,8 | 2143,9 | 754,7 | 2681 | 611,6 | ||||||||
23 | 0 | -525,9- | -124,6 | -189,3- | 111,3- | 427,3- | -505,8 | -420,1 | 127,8 | -364,7 | -7157,5 | -47,4 | 226,7 |
12 | 380,5 | 195,8 | 1269 | 18,3 | 204,7 | ||||||||
24 | 0 | -492,2- | -4261,3 | 1940,7- | 1797,6- | 341,4- | 601,3 | 611,3 | 27,5 | 252,7 | 151,2 | 390,8 | -54,1 |
12 | 1216,6 | 2894,2 | 3176 | 1731,3 | 1433,6 | ||||||||
25 | 0 | -12834,3 | -93,1 | -374,5 | 287 | -1899,4 | 35,7 | -715,3 | -307,9 | 10,6 | 78,9 | 1096,8 | 34,3 |
12 | 103,6 | 2076,4 | 615,2 | 1465,3 | 758 | ||||||||
26 | 0 | 1855,5- | 683,3 | -272,6- | -279,2 | 818,5- | -796,5 | 85,7 | 57,3 | 161,8 | -7,5 | 271,7 | -197,5 |
12 | 6743 | 2581,4 | 1422,1 | 175 | 1154,1 | ||||||||
27 | 0 | -129,1- | -379,4- | -4225,6 | -2308,9 | 247,6 | 246,7 | -478,2 | 234,3 | 327,2 | -193,4 | -380,8 | 165,5 |
12 | 322,4 | 1003,3 | -706,7 | 135,4 | 2359,3 | ||||||||
28 | 0 | -8970,6 | 625,4- | 316,8 | -108,1 | 625,2 | 1014,1 | 934,6 | -815,1 | -137,6 | -365,9 | -392,8 | -204,2 |
12 | -130,7 | 195,9 | 1439,7 | 3056,3 | 603,4 | ||||||||
29 | 0 | -90- | 1303,7 | -1332,6 | 167,8 | -600,4 | 2072 | -1718,3 | 213,6 | 125 | -37,1 | 21,4 | 106,7 |
12 | 3498,4 | 2942,1 | -421,4 | 1483 | 5828,9 | ||||||||
30 | 0 | 478,7 | 7218,4 | 129,5 | 141,4 | 732,8 | 36,2 | 296,8 | -233,7 | 72,8 | 121,4 | -214,2 | -431,6 |
12 | 2,4 | 741,3 | 1486,1 | 1177,2 | 1714,4 | ||||||||
31 | 0 | -4432,8 | -852,9 | -2584,9 | -89,8- | -780,6- | -722 | -88,5 | -1466,4 | 32,9 | 161,5 | -65,6 | -642,8 |
12 | 207,1 | 735,6 | -5723,4 | 841,8 | 361,4 |
Имя файла | Содержание | Режим | Число элементов | Число векторов |
cdmdct 3 | MDCT | Базовый короткий | 17 | 32 |
VN | EN | 0 | 1 | 2 | 3 | 4 | 5 | 6 | 7 | 8 | 9 | 10 | 11 |
0 | 0 | 210,8 | -13952,3 | -184,9 | -354 | 562,2 | 506,7 | -239 | -758,3 | -199,4 | 205,1 | 32,8 | -1105,2 |
12 | -674,6 | 577,5 | -224,6 | -325,9 | -1149,9 | ||||||||
1 | 0 | -413,1 | 83,5 | -336,7 | -1688 | -1187,9 | -3898,7 | -171,5 | 897,3 | -485,8 | 695,3 | 643,6 | -319,2 |
12 | 221,8 | -3611,9 | 3212 | -1658,3 | -2700,4 | ||||||||
2 | 0 | -331,7 | 418,3 | -46,9 | 126 | 865,1 | 463,8 | -6325,3 | 271,8 | 176,6 | -314,8 | -18,7 | -555,5 |
12 | 795,3 | -474,9 | 628,7 | -2206,3 | 55,7 | ||||||||
3 | 0 | -4269 | -392,4 | 3219,7 | -539,8 | 14,4 | -774,7 | -262,6 | -302,9 | 46,9 | 70,7 | -63,6 | 120,8 |
12 | 59,4 | 811,7 | 4138,9 | -9,2 | 112,3 | ||||||||
4 | 0 | 767,6 | -710,4 | -7343,7 | 108,3 | 660,1 | -256,2 | -137,4 | -77,8 | -77,4 | 276,4 | -25 | 325,9 |
12 | 46,3 | -578,7 | 2070,7 | 1799,3 | 1214,2 | ||||||||
5 | 0 | -141,8 | 3251,9 | -1072,7 | 343,9 | -593,7 | -29 | 191,1 | 1221,3 | -369,9 | -22,8 | -530,7 | 1110,2 |
12 | -1079,3 | -47,4 | -3613,6 | -3544,2 | 1237,2 | ||||||||
6 | 0 | -241 | 877,9 | -36,2 | 125,9 | 253,3 | 8498,6 | -447,2 | -525,9 | 685,6 | 502,4 | -196,4 | 1546,3 |
12 | 755,3 | 382 | 305,2 | -797,4 | -1413 | ||||||||
7 | 0 | 849,4 | -216,3 | 375,9 | -12034,9 | -438 | -444,1 | 250,6 | 80,4 | 1147,9 | 193,8 | 413,3 | 66,6 |
12 | -56,1 | 1401 | -1495,1 | -445,3 | -475,5 | ||||||||
8 | 0 | 3884,2 | 4137,2 | 298,4 | 3,6 | 326 | 225,8 | 367,8 | -384,3 | 147 | -7,4 | 358 | -281,7 |
12 | 447,3 | 423,2 | 1928,4 | -3456,7 | -2995,4 | ||||||||
9 | 0 | 482 | 292,9 | -1031,8 | 47,7 | -3246,4 | 248,2 | 666,6 | -548,3 | -470,8 | 430,4 | -840,3 | -332 |
12 | 156,3 | -5991,7 | -387,9 | -641,7 | -316,6 | ||||||||
10 | 0 | -231,9 | -198,8 | -307,8 | 452,8 | 12,6 | -418,5 | 88,7 | -41 | 358,8 | -388,4 | -428,7 | 4450,3 |
12 | 384,5 | 737,2 | -4,5 | 4933,9 | 1082,1 | ||||||||
11 | 0 | 5421,3 | 346,1 | 127 | 3133,9 | -586,4 | 76,3 | 585,8 | -319 | 147 | -67 | -700,3 | 206,2 |
12 | 93,4 | -4386,2 | 443,2 | 682,7 | 2974 | ||||||||
12 | 0 | -303 | -58,5 | -133,6 | 609,8 | -339,1 | -79,9 | 112,4 | 577,4 | 3997,3 | -635,8 | 275 | -193,2 |
12 | 573,9 | 1187,4 | 1662,3 | 1321,8 | 527,8 | ||||||||
13 | 0 | 102,2 | -1280,8 | -539,2 | -4552,8 | -744,6 | 694,4 | -49 | 94,7 | -22 | -5,5 | -577,7 | -254,2 |
12 | 114,7 | -531,6 | -3841,1 | 900,7 | 3404,9 | ||||||||
14 | 0 | -573,8 | 117,5 | -2 | 259,8 - | -324,1 | -48,6 | -1858,6 | -3521,6 | 94,6 | -161,4 | 908,1 | -404 |
12 | -416,5 | 361,2 | -792 | 303,6 | -1569 | ||||||||
15 | 0 | 128,5 | -2026,6 | 78,6 | -476,9 | -975,5 | -358,2 | -1236,6 | 3351,7 | -75 | 44,7 | 636,2 | 67,4 |
12 | 6,3 | 2449,2 | -374,2 | -126,5 | -3959,9 | ||||||||
16 | 0 | -30,5 | -640,4 | 1339,6 | 1507,5 | -493,6 | -403,1 | 22,8 | -368,6 | -1413,1 | -2039,5 | -1884,3 | -1548,5 |
12 | -654,6 | 2228,7 | 545,6 | 1654,6 | -4512,5 | ||||||||
17 | 0 | -9067,5 | -617,7 | -460,9 | 264,7 | 1549,6 | 54,8 | -82,9 | 204,5 | 22 | 90,4 | 120,8 | 421,4 |
12 | -36,4 | -445,4 | 524,9 | 811,8 | 1014,5 | ||||||||
18 | 0 | 6359 | -1291,6 | -175,5 | -279,3 | 1966 | 183,8 | -1376,2 | -322,4 | 91,9 | 124,1 | 987,5 | -377,8 |
12 | 466 | 2217,7 | -1671,1 | -1155,7 | -88,9 | ||||||||
19 | 0 | -108,4 | -170,5 | -2132,2 | 3481,2 | -207,9 | 1148,2 | -640,2 | 202,6 | 191 | 324 | 103,3 | -949,2 |
12 | 3242,5 | -123,1 | 129,5 | -2247,7 | 125,2 | ||||||||
20 | 0 | 18,2 | -309,1 | -693,2 | -63,8 | 5058,6 | 1085,2 | 1284,9 | -674,8 | 395,6 | 253,9 | -412,8 | -290,1 |
12 | 37,7 | -810 | 1208,4 | -624,7 | -8533,2 | ||||||||
21 | 0 | 66,8 | 103,7 | 136 | 296,5 | 275,6 | 86,2 | -373,8 | -81,1 | 5 | -404,3 | 6575,4 | -38,4 |
12 | 417,6 | 183,3 | 1674,7 | -342,1 | 1390,6 | ||||||||
22 | 0 | 97,2 | -6,6 | 764,7 | 417,9 | 339,4 | -160,5 | -22 | -560,2 | 16,2 | 4354,3 | -714,5 | -186,2 |
12 | -792,8 | 5761,3 | -2868,7 | 426 | 264,2 | ||||||||
23 | 0 | -267,9 | -69,1 | 165,6 | -718,6 | -826,1 | 2625,5 | 3479,2 | 511,1 | 528,3 | 172 | 259,7 | -380,7 |
12 | 507,4 | 278,7 | 803,8 | 373,8 | 870,7 | ||||||||
24 | 0 | 598 - | -1202,7 | 5005,8 | -1061,1 | 1246,4 | 27,8 | -6,3 | 358 | -147,8 | -604,8 | -50,5 | -175,6 |
12 | 131,6 | -2995,7 | -1675,1 | -1108,7 | 1871,5 | ||||||||
25 | 0 | -2505,2 | -282,2 | 145,1 | 399,2 | 1227,1 | -1103,3 | 1568,9 | -203 | -65,6 | 104 | 427,1 | -180,8 |
12 | 102,3 | -109,7 | -2583,3 | 1662,1 | 1983,7 | ||||||||
26 | 0 | 60 | 3970,3 | 4094,5 | 844,5 | -1026,5 | 114,6 | -830,2 | -38,5 | 568,2 | -555,8 | -49,7 | 242,7 |
12 | 853,8 | -1240,9 | 151,6 | 418,9 | 485,3 | ||||||||
27 | 0 | 58,5 | 56,9 | 156 | 37,8 - | -305,9 | -437,6 | 548,6 | 651,9 | -6621,1 | 284,5 | -295,6 | -333,5 |
12 | 1616,7 | 1988 | 1497,3 | 51,3 | 2570,1 | ||||||||
28 | 0 | -275,8 | 8445,6 | -1183,1 | 849,5 | -337,1 | 48,2 | -161,5 | -270,5 | 431,1 | 24,4 | 507,4 | 17,2 |
12 | -571,8 | 580,6 | -2151,6 | 674,3 | -1505 | ||||||||
29 | 0 | -43,4 | -348,7 | 2831,3 | 459,9 - | -784,6 | 1878,2 | -188,4 | -91,6 | -819,7 | 1119,6 | 344,8 | 709,9 |
12 | 160,9 | 1134,7 | -777,8 | 431,3 | 63 | ||||||||
30 | 0 | 120,6 | -343,5 | 15,8 | -248,1 | 143,5 | 528,9 | 761,2 | -6620,7 | 476,2 | -192,8 | 669,9 | 546,6 |
12 | 467,6 | -65,3 | 2492,2 | 916,1 | -781,6 | ||||||||
31 | 0 | 1232,8 | -125,6 | -52,2 | -361,1 | 669,9 | -600,5 | 359,3 | 125 | -195,9 | -437,1 | -282,8 | 216,6 |
12 | 6506,1 | 1893,6 | -117,7 | -55,5 | 7375,8 |
Имя файла | Содержание | Режим | Число элементов | Число векторов |
scmdct 0 | MDCT | Расширенный длинный | 28 | 32 |
VN | EN | 0 | 1 | 2 | 3 | 4 | 5 | 6 | 7 | 8 | 9 | 10 | 11 |
0 | 0 | 128,3 | -932,2 | -269,6 | -417,6 | -94,2 | 340,3 | -83,8 | -8130,1 | 144,4 | 249 | 156,5 | -315,9 |
12 | -95,4 | 404,7 | -662,3 | -283,8 | 94 | 208,8 | -97,2 | -56,2 | 97,9 | 396,1 | 182 | -135 | |
24 | -38,2 | 306,2 | 91,3 | 106,5 | |||||||||
1 | 0 | 201,2 | -4276 | 1196,9 | 392,1 | -5216,8 | 598,6 | 376,6 | 131,8 | 56,3 | -2237 | 894,1 | -832,2 |
12 | -256,5 | -506,3 | 481,2 | 321,3 | 393,9 | -91,1 | 103,8 | 452 | 170,5 | 235,3 | 269 | 459 | |
24 | 166,1 | -664 | -17,3 | 339 | |||||||||
2 | 0 | 2617 | 85,4 | -167,7 | -1804,1 | 4414,1 | 498,8 | 1432,6 | -1359,2 | 632,5 | -4937,2 | -415,2 | 174,3 |
12 | -1008,8 | 300 | 112,1 | 70 | 158 | -152,1 | 275,7 | -391,9 | 50,5 | 136 | -80 | -413,4 | |
24 | 9 | 468,8 | 46,9 | 325,5 | |||||||||
3 | 0 | 301,2 | 137,9 | -1784,8 | 45,9 | -823,1 | 4,9 | 144,8 | 154 | 322,9 | 156,4 | 51,7 | -162,2 |
12 | 275,2- | 319,9 | -146,4 | -2,5 | 221,7 | 35,6 | -16,2 | 688 | 148,6 | 348,9 | 8192 | -112,7 | |
24 | 629,1 | 218,2 | 373,9 | 72,8 | |||||||||
4 | 0 | -3885,1 | -446,4 | -519,5 | 566,8 | 662,8 | -1059,8 | 5754,8 | 251,3 | -416,1 | -798,9 | -728,2 | 697,9 |
12 | -679,3- | -473,4 | -192,3 | -159,6 | -119,9 | -81,8 | -66,8 | -37,8 | -143,7 | -33,9 | -20 | 40 | |
24 | 93,6 | -47,5 | -192,2 | -117,1 | |||||||||
5 | 0 | 754 | 275,7 | -345,7 | 129 | 259,6 | -803,1 | -85,8 | 374 | -198,4 | 323,5 | 470 | 1314,9 |
12 | 956,8 | -319,2 | -30,2 | 1585,1 | -12,5 | -123,9 | -8192 | -343,6 | -109,5 | -101,9 | 130 | -686,1 | |
24 | 384 | -180,1 | -413,2 | -23,9 | |||||||||
6 | 0 | 2396,1 | 355,6 | -207,3 | 1833,8 | -10,6 | -1321,6 | 7373 | -158 | 144,5 | -284,1 | 93,2 | -317 |
12 | -545,6 | -237,8 | -271,6 | -132,6 | 91,9 | -17,1 | -94 | 374 | 460,8 | -193,5 | -409,3 | 92,1 | |
24 | -235,6 | 88,2 | 96,8 | -121,1 | |||||||||
7 | 0 | -651,8 | -2127,6 | 655,4 | 7212,4 | -323,1 | -477,9 | 1955,8 | 303,2 | -420,9 | 1250,9 | -27,1 | -552,6 |
12 | 59,2 | -45,7 | 71,2 | -178,6 | 107,9 | -89,2 | 88,7 | -236,6 | -200,7 | 253,5 | -280,3 | 265,6 | |
24 | -188 | -223,3 | -172,2 | 338,6 | |||||||||
8 | 0 | -353,3 | -490,6 | 53,3 | 1929,3 | -386 | 7211,5 | 669,8 | -267 | -1117,5 | -390,9 | -264,1 | 583,9 |
12 | 1183,9 | 1311,3 | -79,4 | -333,2 | 24,9 | 159,3 | -210,4 | 116,9 | -194,3 | 52 | -82 | -105,1 | |
24 | 239,1 | 134,9 | -69 | -116,3 | |||||||||
9 | 0 | 14,3 | 348,3 | 868,3 | -63,9 | 321,9 | -2221,2 | 53,3 | 215,6 | -7890,4 | -3,5 | 233,1 | 163,6 |
12 | 499,4 | 131 | -0,4 | -131,6 | 13,7 | -230,4 | 221,1 | -61,7 | -189,2 | -252 | 117,3 | 426,7 | |
24 | 89,1 | -323,3 | 209,5 | 16,4 | |||||||||
10 | 0 | -221 | -173,4 | 59,4 | -119,5 | 116,1 | -19,6 | 45,3 | 96,6 | 152 | -19 | 195,5 | 141,4 |
12 | 2,7 | -32,6 | 125,8 | -104,3 | -8192 | 12,6 | -132,6 | 264,3 | -136,2 | -180,6 | 76,3 | -98,8 | |
24 | 141,3 | -164,8 | -325,5 | 128,1 | |||||||||
11 | 0 | -3222,5 | 377,5 | 4063,5 | 834,4 | 1458,5 | 2100,7 | 378,5 | 73,9 | -311,6 | -200,6 | -139,7 | -125,7 |
12 | 581,7 | 259,8 | 151,5 | 82 | -30,6 | -35,4 | -247,7 | 402 | 6035,4 | -166,7 | -100,8 | -75,2 | |
24 | 284,6 | -53,3 | -318,5 | 232,8 | |||||||||
12 | 0 | 1721,7 | -4502,2 | -852,4 | 1847,9 | 46,2 | -228,1 | 1950,1 | -221 | -671,4 | 1833,4 | -4362,2 | 1558,5 |
12 | -1244,3 | 20,6 | 34,9 | 294,9 | 144 | 202 | -90,3 | -813,7 | -142,5 | 117,9 | 260,1 | -37,7 | |
24 | 1205,4 | -476 | -1403,6 | 36,6 | |||||||||
13 | 0 | -7301,4 | 1080,6 | -901,3 | 97,1 | -380,6 | 996,1 | -699,1 | 1045,8 | -514,7 | 920,1 | 283 | -1027,7 |
12 | -166,3 | 371,3 | 190,4 | 89,6 | -808,9 | -141,1 | 118,3 | 169,7 | -481,7 | -209,4 | 92,2 | 27,4 | |
24 | 374,3 | -135,2 | 477 | 15,8 | |||||||||
14 | 0 | -147,3 | 4031,9 | 1435,8 | -46,5 | -5117,2 | 81 | 885,1 | -1175,5 | -1107,2 | -887,5 | -763,1 | 504,5 |
12 | -304,1 | 419,4 | -131,7 | -258,4 | 44,3 | -169,2 | -284,9 | -656,5 | -168,8 | 249,9 | 92,2 | 434,8 | |
24 | 399,3 | 2742,8 | -2269,8 | -422,2 | |||||||||
15 | 0 | 55 | 2056,7 | 41,7 | 644,4 | -94,3 | -222,1 | 403,9 | 173,3 | 78,1 | 285,3 | 213 | -356,7 |
12 | -415,1 | -64,4 | 8192 | 27,7 | 129,3 | -171,8 | 124,2 | -475,3 | -119,8 | 553,9 | 168,1 | 405,4 | |
24 | 231,8 | -115,4 | 357,8 | -11,8 | |||||||||
16 | 0 | -4373,6 | -4707,6 | -234,2 | -154,3 | -32,1 | 544,7 | -566,6 | -793,3 | 514,2 | 542,4 | -440,2 | -49,7 |
12 | 595,3 | -94 | 102,5 | 178,9 | -85,8 | -285,5 | -218,5 | 143,9 | 31,4 | 98,4 | 180,4 | -214,9 | |
24 | 3,5 | 262,8 | -484,5 | -88 | |||||||||
17 | 0 | 290 | -8192 | -278,4 | 297,9 | 146,5 | -0,5 | -588,2 | -248,6 | -199,9 | -520,7 | 497,6 | 475,9 |
12 | 118,3 | -89 | 107,1 | -91,6 | -86,8 | 91,8 | -77,5 | 233,9 | -58,3 | 394,4 | -145,9 | -215,6 | |
24 | 265,4 | -149,4 | -72,8 | 135,5 | |||||||||
18 | 0 | -110,7 | -1113 | -290,1 | 4806,1 | 1204,9 | -730,4 | -5190 | 400,1 | -593 | -1403,1 | -340,4 | 677,9 |
12 | 29,2 | -122,1 | 20,3 | 320,7 | 79,6 | 181,3 | 373,8 | 20 | -197,5 | -354,6 | -208,2 | 129,6 | |
24 | -98,4 | 103,4 | 252,8 | -91,8 | |||||||||
19 | 0 | 378,7 | 137 | -1140 | -592,3 | -251,4 | -532,3 | 1373,9 | 238,4 | 1098,1 | -27,9 | 403,4 | 32,6 |
12 | 8140,6 | -375,4 | -137,7 | -83,2 | -147,7 | 168,8 | 57 | 360,3 | 179,8 | -195,7 | -220,1 | -226,8 | |
24 | 170,5 | 230,1 | -163 | -56,9 | |||||||||
20 | 0 | -987,2 | 30,1 | 866,7 | 526,6 | 8093,1 | 70,7 | -55,7 | -699,4 | -1164,6 | -316,1 | 1375,7 | 189 |
12 | 22,1 | -498,7 | 347,6 | -16,3 | 22,9 | -76,5 | 0,5 | 97,8 | -269,5 | 74 | -329,3 | 416,5 | |
24 | 51,1 | -208,5 | -687,8 | -355,3 | |||||||||
21 | 0 | 630,7 | -1598,8 | -450,4 | -489,3 | 168 | 1335,9 | -243,7 | 841 | -433,4 | -23,2 | 561,6 | 413,4 |
12 | 17,6 | -575,4 | 49,2 | -282,7 | -210 | -28,5 | 12,3 | 228,6 | 70,7 | 7983,5 | 43,6 | -92,4 | |
24 | -191,5 | 124,7 | -265,7 | -638,3 | |||||||||
22 | 0 | -890,3 | 548,5 | -274,7 | 1330,1 | -126 | 104,6 | 497,7 | 85,7 | 217,6 | 21,2 | 8192 | 370,7 |
12 | -722,8 | 0,7 | -477,6 | 20,6 | 1,1 | -385,2 | 46,2 | -386,8 | -204,8 | -104,7 | -154,2 | -134,7 | |
24 | 131,3 | -264,4 | -509,6 | -312,1 | |||||||||
23 | 0 | -3520,7 | 1720,9 | -920,1 | -958,3 | 633,2 | -725,3 | -1123,3 | -240,1 | 2405 | -1595,2 | -2771,2 | -464 |
12 | -995,5 | -2664,6 | -962 | -1557,6 | 529,4 | 176,4 | -432,5 | 26,9 | -311,8 | 68,5 | -222,6 | 162,7 | |
24 | 4052 | -508,5 | -260,2 | -5318,8 | |||||||||
24 | 0 | -1135,5 | -686,1 | -738,4 | 27 | 225,8 | -2268,9 | 219,7 | 608,7 | 276,7 | 586,2 | -316,9 | 43,1 |
12 | -28,4 | 8192 | 415,8 | -84,4 | 174,8 | -61,7 | -40,6 | -286,4 | 148,3 | 101,6 | -161 | -82,4 | |
24 | 110,8 | 268,8 | -79,3 | 121,3 | |||||||||
25 | 0 | -311,8 | -137,4 | -670,6 | -884,3 | 113,8 | -261,8 | -146,9 | -241,6 | -489,4 | 155,7 | -64 | 8192 |
12 | -116,1 | -97 | -146,1 | 357,8 | 7,3 | 254,2 | 220,7 | -1634,1 | 353,3 | -134,5 | -26,2 | -222,5 | |
24 | -382,3 | 4,3 | 112,5 | -157,4 | |||||||||
26 | 0 | 1862,8 | -495,5 | 6418,9 | -149,9 | 340,6 | -2238,5 | 196,6 | -164,2 | -1437,8 | 435,9 | 710,5 | -514,6 |
12 | 169,9 | -348,1 | -74 | 106 | 138,6 | -177,7 | 21,5 | 283,2 | -545,6 | 89,3 | -63,1 | 431 | |
24 | 764,4 | -249,3 | -414,9 | -587,9 | |||||||||
27 | 0 | -41,7 | 270,5 | -359,4 | -10,9 | -27,3 | -261 | 142,7 | 77,9 | 14,5 | 19,9 | 345,9 | 52 |
12 | -78,3 - | 81 | 122,3 | 102,6 | 3,7 | 8192 | -30,7 | -356,9 | -97,6 | 73,5 | -216,4 | -302,7 | |
24 | 153,8 | 42,4 | 2,2 | 98 | |||||||||
28 | 0 | -583,8 | 365 | -4062,4 | 1,6 | 1181 | 833,6 | 650,5 | -1345,9 | -5367,4 | 231,7 | 93,2 | -2805,4 |
12 | 366,5 | -317,6 | -158,5 | 116,1 | -199,2 | -92,6 | 223,6 | 817 | 174,4 | -114,9 | 17,9 | -1200,2 | |
24 | 148,8 | -180,4 | -170 | -80,1 | |||||||||
29 | 0 | -1043 | -79,6 | -359,2 | -298,3 | -661,8 | -1090,7 | 128,3 | -837,1 | -1261,5 | -8192 | 216,3 | 141,4 |
12 | -51,2 | 582,6 | 205 | 182,4 | -69,7 | 335,1 | 110,7 | 118,4 | -108 | -75,7 | 274,5 | -77,5 | |
24 | 18,7 | -89,6 | 179,5 | -99,4 | |||||||||
30 | 0 | 709,8 | -1626,7 | -165,6 | 1293,3 | 19,2 | -1666,5 | 133,5 | 138,4 | -806,8 | -440,8 | 518,5 | 696,7 |
12 | 75 | 129,9 | -23,3 | -8192 | 38,3 | -374,9 | -127,1 | -946,8 | 129,2 | -201 | -42,1 | 251,4 | |
24 | 293 | 430,6 | -511,5 | 637 | |||||||||
31 | 0 | -710,9 | 4344,6 | -134,9 | 5527,1 | -120,1 | 713,5 | 394,8 | -680,5 | 404 | 66,3 | 336,9 | 478 |
12 | -302,1 | -30,3 | 27,7 | 318 | -498,2 | 23 | 85,9 | -151,9 | -74,7 | -77,4 | -225,1 | 242,8 | |
24 | 780,9 | -393 | 656,9 | 715,2 |
Имя файла | Содержание | Режим | Число элементов | Число векторов |
scmdct 1 | MDCT | Расширенный длинный | 28 | 32 |
VN | EN | 0 | 1 | 2 | 3 | 4 | 5 | 6 | 7 | 8 | 9 | 10 | 11 |
0 | 0 | -561,2 | -713,8 | -16,7 | 1735,2 | 215 | -8119,3 | -300 | -116,6 | -321,4 | 830,9 | 355,2 | -58,3 |
12 | 280,3 | 464,6 | 167,6 | 47,9 | -11,4 | 96,1 | 137,8 | -252,5 | 137,8 | -303,4 | -98,5 | 14,5 | |
24 | -225,3 | 160,7 | -12 | -58,6 | |||||||||
1 | 0 | -775 | 315,3 | -620,2 | -992,4 | -12,8 | -1335,7 | 143,6 | -1198,4 | -1288,1 | 8015,5 | 204,3 | 158,9 |
12 | -591,5 | 731,1 - | 144,8 | 179,3 | 93,2 | 145,5 | 38,9 | 257,6 | 101,6 | -67,5 | 50,9 | 11,4 | |
24 | 99,4 | 210,4 | -40 | -58,5 | |||||||||
2 | 0 | -3915 | -782,6 | -1029,4 | 4961 | 534,9 | -181,7 | 606,6 | 369,6 | -1139,2 | -1963,3 | -426,4 | -941,3 |
12 | 259 - | 276,8 | 121,6 | 84,6 | 202 | 449,1 | 144,5 | 205,4 | -366,1 | -335,5 | 20,2 | 82,8 | |
24 | 357,4 | 119,7 | -107,2 | -358,5 | |||||||||
3 | 0 | -1610,2 | -1283,8 | -1449,3 | 437,8 | -267,9 | 5562,3 | -2744,8 | -305,7 | 278 | 2618,1 | 326,5 | -169,6 |
12 | -2019,1 | -1045,5 | 321,3 | 281,7 | -564,1 | 159,5 | 358,6 | -793,5 | -231,2 | -47,2 | 172,5 | 195,9 | |
24 | -473,5 | 609,3 | -268,5 | -18,1 | |||||||||
4 | 0 | 203,1 | 1157,9 | -332 | 8192 | 246,5 | -60,8 | -900,1 | 285,3 | 878,8 | -932,6 | 72,4 | 223,6 |
12 | 206,3 - | 117,7 | 195,7 | -205,6 | 50,3 | -217,2 | -262,4 | 197,6 | 33,2 | -89,9 | 313,1 | 270,3 | |
24 | 78,6 | 208,8 | 135,8 | -92 | |||||||||
5 | 0 | -182,8 | 3165,2 | 500,3 | -3345,9 | 631,5 | -220,1 | -219,9 | 4608,3 | -3178,4 | -399,9 | -312,2 | 378,8 |
12 | -559,3 - | 196,1 | 354,2 | 24,5 | 397,2 | 24,5 | -122,3 | -579,3 | -29,6 | -351,2 | 29 | 306 | |
24 | 518,6 | 329,2 | 259 | -361,8 | |||||||||
6 | 0 | 3560,4 | -556,8 | 901,4 | -1009,7 | -3115,6 | -1781,1 | 20,4 | -448,8 | -2473,8 | -1018,8 | -3821,8 | -655 |
12 | -247,1 - | 231,3 - | -350,5 | -76,9 | -2524,5 | -11,8 | 601,6 | -42,9 | 503,4 | 11,8 | -98,8 | 563,1 | |
24 | 855,1 | 613,3 | 877,7 | -836,3 | |||||||||
7 | 0 | 99,3 | 803,3 | -350,6 | -103,9 | 556,6 | -2584,9 | 501,2 | 24,7 | 7101,9 | 42,6 | 83,8 | -947,8 |
12 | 630,4 - | 491,2 - | -69 | 3,7 | -182,6 | -165,1 | 372,6 | 64,4 | 120,3 | -103,6 | 51,5 | 3,1 | |
24 | 483,5 | 39,7 | 254,2 | 315,2 | |||||||||
8 | 0 | -684,1 | -186,1 | 1408 | 467,3 | 516,3 | 647,9 | -1823,9 | -209,9 | -1533,2 | 214,2 | -735,8 | -223,6 |
12 | 7325,9 - | 349,4 - | 210,1 | 66,3 | 160,8 | 63,6 | -153,7 | -434,8 | -205,1 | 214 | 479,9 | 138,6 | |
24 | 90,4 | 36,2 | 260,9 | -82 | |||||||||
9 | 0 | 326 | 510,6 | 664,5 | 933,7 | -171,2 | 614,6 | 264,1 | 528,9 | 97,5 | -301,1 | 157 | 6638,7 |
12 | -70,2 | 209,6 - | 74,7 | -734,7 | 91,6 | -496,3 | -258,8 | 4242 | -162,9 | -179,7 | 101,5 | 346,6 | |
24 | 250,4 | 181,2 | 165 | -184 | |||||||||
10 | 0 | 536,5 | 1332,9 | 164 | 1325 | -231,2 | -62 | -8136,5 | 13,3 | -8,8 | -183,4 | -21,5 | -156,9 |
12 | -748,1 - | 78,5 - | -84 | -435,3 | 12,9 | -236 | -118,6 | 182,9 | -26,3 | 52,5 | -93,9 | 402,3 | |
24 | 43,3 | 265,1 | 249,3 | 96,7 | |||||||||
11 | 0 | 2532,6 | -1240,8 | 4875,4 | -395,9 | 744,2 | 4754,6 | -212,9 | 538,6 | 38,7 | -791,5 | 311,9 | -400 |
12 | -141,9 | -34,1 - | 122,9 - | 20,4 | 310,5 | 289 | -264 | 34,3 | -295,5 | 13,5 | -98,2 | 85,9 | |
24 | 155,5 | 421,3 | 420,2 | -1113,5 | |||||||||
12 | 0 | -854,1 | -4737,3 | -4964,8 | -42,6 | 36 | 271 | 402,8 | 216 | -361,4 | -1031,3 | 896,6 | 303,3 |
12 | -882,9 | 146,9 | 407,8 | -57,6 | 140,3 | -62,1 | -208,2 | -299 | 62,6 | -104 | -54 | -22 | |
24 | 125 | 541 | 167,3 | 62,6 | |||||||||
13 | 0 | -37,3 | -320,7 | -479,8 | -1002 | 6982,4 | 428,5 | 429,6 | 1185,6 | 270,6 | -38,5 | -2430 | -216,1 |
12 | -258,1 - | 1022,9 | 7,5 | 31,9 | 145,5 | -95,5 | 57,1 | -248,5 | -362,5 | 386,9 | -647,1 | -296,8 | |
24 | 215,8 | 657,7 | 158 | -170,8 | |||||||||
14 | 0 | -936,6 | -6447,3 | 1963,8 | -43,3 | 621,1 | -589,6 | 790,4 | 34,8 | 192 | -681,5 | -75,1 | -1008,5 |
12 | -592,1 - | 372,8 | -407,7 - | -232,1 | 84,5 | 48 | 735,8 | -190,7 | -189 | -36,1 | -20,3 | 69 | |
24 | 379,5 | 24,9 | 290,1 | -187,7 | |||||||||
15 | 0 | -903 | -538,2 | -466,7 | 82,9 | 323,1 | -2047,7 | 296 | 732,5 | -316,9 | 625,5 | -87,2 | 19,2 |
12 | 117 - | -8038,9 | 371,8 - | 126,6 | -22,1 | -100,3 | -177,6 | -126,4 | 260,5 | 0,5 | 0,6 | 34,8 | |
24 | 285,4 | 103,3 | 347,5 | 389,4 | |||||||||
16 | 0 | 1747,9 | 2234,3 | -277,5 | -109,8 | -171,4 | -878,5 | -34,1 | -6668,5 | -277,8 | -71,8 | -929,3 | 77,1 |
12 | -55,3 | -834,8 | 1929,4 | 4,5 | 18,3 | 59,5 | -95,9 | 305,9 | 158,7 | 59,7 | 248,2 | -149,5 | |
24 | 128 | -65,1 | -1,6 | 213,8 | |||||||||
17 | 0 | -739,1 | -212,2 | 400,8 | 70,1 | -189,8 | 683,7 | 40,3 | -532 | 3 | -695 | -1249,8 | -1958,4 |
12 | -1494 | 142,9 | -97,3 | -2738,4 | -112,9 | 159 | -7679,3 | 260,8 | -267,6 | -203,5 | 147,6 | 1002,2 | |
24 | -304,2 | 317,3 | 792,7 | 427,9 | |||||||||
18 | 0 | 3208,6 | -221,6 | -1632,8 | 444,5 | -382,3 | -171,5 | 130,6 | 5996,9 | 1416,9 | 299,8 | -641,1 | -1334,1 |
12 | -135 | -295,7 | 999,2 | -588,2 | -109,4 | 0,8 | 45,1 | 241,5 | 716 | 75,3 | 181,6 | -63,4 | |
24 | 608 | 302,1 | -2,8 | 186,6 | |||||||||
19 | 0 | -4161,7 | -205,9 | -505 | -5407 | 132,5 | 913,8 | 441,8 | -43,6 | 281,5 | -884 | 369 | 306,5 |
12 | 236,6 | 16,9 | 321,3 | -136 | -285,3 | -57 | 117,7 | 172,7 | -341,1 | -286,4 | 518,2 | -36,8 | |
24 | -165,2 | 38,2 | -128 | 2036,2 | |||||||||
20 | 0 | 4768,2 | 651,6 | -1323,6 | -21,5 | 3555,3 | 2592,6 | 672,9 | -1588,3 | 776,8 | 1531,6 | 170,8 | -1284,5 |
12 | -351,6 | 29,5 | 637,3 | -571,3 | 401,2 | -84,3 | -197,4 | -192,6 | 304,2 | -91,6 | -144,7 | -112,9 | |
24 | 135,2 | -150,4 | 49,5 | 492,3 | |||||||||
21 | 0 | 566,2 | 193,6 | -8192 | -1008,5 | 311 | -703,7 | 143,8 | -322,4 | -345,2 | 493,5 | -122,1 | -583,3 |
12 | -72,1 | 189,9 | -399,4 | -105 | 209 | -118,6 | 97,1 | 220,5 | 479,3 | -14,2 | 198,2 | -104,4 | |
24 | 202,3 | 83,1 | 12,5 | 226,3 | |||||||||
22 | 0 | -529,2 | 317,2 | -3662,3 | -2057,5 | -4863,5 | 1738 | 495,1 | 783,9 | 9,1 | 105,2 | -514,3 | 84,7 |
12 | 258,6 | 538,8 | 134 | -14,6 | 359,9 | -259,7 | -39,4 | -164,9 | 525,2 | 19,7 | -3801,9 | 78,5 | |
24 | -237,3 | -526,4 | 466,5 | 20,8 | |||||||||
23 | 0 | 1203,4 | -1301,8 | 348,1 | -1694,5 | -83,5 | -667,8 | -69,4 | -248,8 | -806,8 | -32,7 | 7341 | -343,4 |
12 | 80 | -278,2 | 174,6 | -342,1 | -312,2 | 498,4 | -382,4 | -16,3 | 252,4 | 246,8 | 1,9 | 111,2 | |
24 | 321,4 | 77,7 | 248,6 | -645,2 | |||||||||
24 | 0 | -2744 | -226,8 | 5684,9 | -3196,3 | 201 | -1143,2 | -68,9 | 48 | 625,6 | -12,2 | -1007,2 | -911,8 |
12 | -619,4 | 413,5 | -113,2 | 45,1 | 334,9 | 15,2 | -7,5 | 363,2 | -1040 | -165,1 | 230,6 | -309,3 | |
24 | 510,4 | -149,2 | -171,9 | 454,3 | |||||||||
25 | 0 | 482,8 | 2739,8 | -178,6 | 648,8 | 19,1 | -422 | 129,6 | 155,7 | -32,2 | 218,2 | 255,1 | -766,4 |
12 | -511,5 | -441,8 | -7895,9 | -95,4 | 88,4 | -507,1 | -117,5 | -160,8 | 110,5 | 478,6 | 13,8 | 375,2 | |
24 | -422,4 | -239,4 | 273 | 43,8 | |||||||||
26 | 0 | 459,8 | 2520,3 | -3700,9 | -219 | 604,4 | -398,3 | -3011,9 | -165,8 | 611 | -3859,3 | 549,1 | -468,7 |
12 | -54,6 | 378,4 | 259,5 | -6,5 | 291 | 215,1 | 225 | -25,2 | 51,5 | 94,8 | -151,8 | -382,5 | |
24 | -18,1 | -1051,7 | -4932,4 | 174,7 | |||||||||
27 | 0 | -7985,6 | -471,4 | 536,2 | -173,5 | 565,7 | 67,8 | 802,8 | -1040,1 | 832,5 | -106,7 | -361,2 | 453,6 |
12 | 40,1 | -622,4 | -140,1 | -63,5 | 383 | -80,7 | -149,3 | -162,5 | -72,1 | 84,6 | -199,5 | 84,3 | |
24 | -575,8 | -136 | 87,8 | -713,6 | |||||||||
28 | 0 | 350,8 | -1145,1 | -210,1 | 1038,6 | -18,8 | -1098 | 210,8 | 210,4 | -802,5 | -696,9 | 212,9 | 381,2 |
12 | -524,5 | 73,2 | -33,8 | 8192 | 130,9 | -435,1 | -880,7 | -549,6 | 133 | -97,3 | 76,1 | 177,6 | |
24 | -12 | 261 | -168,5 | 177,8 | |||||||||
29 | 0 | -3820,4 | 4929 | 586,4 | 357,3 | 208,7 | -1327,9 | 525,2 | -426,1 | -290 | -84,7 | -283,1 | -992,5 |
12 | -777 | 727,9 | 522,5 | -130,6 | -31,9 | 58,6 | 655,4 | -233,7 | -2,1 | 1969,1 | -24,5 | 122,3 | |
24 | -1434,3 | -529,6 | -127,7 | 399,8 | |||||||||
30 | 0 | -253,6 | 580,2 | 3009,4 | 2563,5 | -2683,8 | 34,2 | -168,6 | 349 | 322,5 | -399,6 | 626,4 | -743,8 |
12 | -938,8 | 151,5 | 8,4 | -310,6 | 199,1 | 116,5 | 181,6 | -192,6 | -90 | 93,5 | 178,1 | -6795,7 | |
24 | 77,2 | 689,1 | 269,7 | 216,1 | |||||||||
31 | 0 | -74,9 | 2728,3 | 143 | 1142,2 | 181,9 | 3492,9 | 5593,3 | 631 | -296,2 | -136,5 | 464,6 | -234,4 |
12 | 639,1 | -401,2 | 206,2 | -0,4 | 244,2 | -132,8 | 323,2 | -611,7 | -270,7 | -438 | 756,8 | 194,9 | |
24 | 30,6 | -370,5 | -55,2 | -210,9 |
Имя файла | Содержание | Режим | Число элементов | Число векторов |
scmdct 2 | MDCT | расширенный короткий | 24 | 32 |
VN | EN | 0 | 1 | 2 | 3 | 4 | 5 | 6 | 7 | 8 | 9 | 10 | 11 |
0 | 0 | 613 | -1918,4 | -968,9 | 892,6 | 419 | 79,3 | -77,8 | -240,8 | 162,1 | 493,8 | -1223,7 | 720 |
12 | 181,3 | -1005,3 | -10,1 | 1160,7 | 464,2 | -1110,3 | 138,9 | -7755,7 | -603,2 | -621 | 779,9 | -144,7 | |
1 | 0 | 199,2 | 449,8 | -147,5 | -650,1 | 474,8 | -258,1 | 635,7 | -975,8 | 768,7 | -1061,6 | 606,4 | -437,7 |
12 | -535,1 | 214,6 | -934,9 | -8192 | -104,9 | 84 | -393,5 | -261,4 | 26,9 | 1021,8 | -110,7 | -818 | |
2 | 0 | -2191,5 | 516,5 | -512,3 | -7841,8 | -1863,1 | 930,8 | 296,5 | -854,1 | 321,5 | -104,4 | 745,6 | 1428,2 |
12 | -71,9 | -406,6 | 549,5 | 1065,5 | 1224,3 | -899,9 | -418,3 | 4 | -588,7 | 125,3 | -942,3 | -1317,2 | |
3 | 0 | -5741,3 | 1175,1 | -3780,8 | -1979,1 | 3997,5 | 2363,4 | 1948,9 | -1075,8 | 270,2 | 1113,4 | -1514,8 | 36,5 |
12 | -215,7 | 1244,3 | 1454,6 | -629,9 | 526,6 | -31,9 | 960,9 | -292,7 | 1256,4 | 1770,9 | -1638,3 | -1141,1 | |
4 | 0 | 1869,4 | 1185,6 | 515,5 | -381 | -1273 | -942,5 | -988,9 | -595,9 | -954 | -663,4 | -547,1 | 731,1 |
12 | -360,1 | -93,3 | 7036,1 | -1416 | 1070,4 | -2318,2 | 314,9 | 440,7 | 72,7 | -60,8 | -1731,8 | 1086,1 | |
5 | 0 | -535,5 | -152,7 | -523,3 | 1189,4 | 100,9 | -560,4 | -269,2 | -1528,7 | -482 | -672,3 | 204,8 | -1138,3 |
12 | -85,9 | -914,3 | -266,2 | 1683,5 | -411,3 | -522,6 | 427,8 | 436,3 | 166,2 | 8119 | -1297,1 | 173,8 | |
6 | 0 | 1996,2 | 1353,1 | 2318,5 | 4260 | -3061,5 | 2192,3 | 702 | -2385,7 | 1653,8 | 1494,3 | -1128,3 | 807,4 |
12 | -1586,9 | 1139,7 | -1618,1 | 217,8 | -808,5 | 827 | -756,3 | 1528 | 493,9 | -1344,4 | -4055,4 | -118,7 | |
7 | 0 | 164 | 620,7 | -359,6 | 201,5 | -932,1 | 8192 | -101,1 | -1723,8 | -94,3 | -950,4 | 198 | 903,7 |
12 | -602,2 | -198,7 | -514,4 | 1396,4 | -756,6 | -429 | 370,1 | -249,4 | -59,5 | 221,6 | -1645,2 | 1282,2 | |
8 | 0 | -959,2 | -2799,8 | 2031,5 | 1081,8 | 3374,3 | 3582,4 | 603,2 | 777,2 | -1314 | 2646,5 | 340 | -1727,3 |
12 | 1645,3 | 173,9 | -558,3 | -807,2 | -645,4 | -2908,5 | -525,6 | 2070 | 269,2 | -86,7 | 3020,5 | -6239,7 | |
9 | 0 | -474 | -489,6 | 511,5 | -707,2 | 247,4 | 1316,2 | -45,1 | -823,5 | -8016,4 | -1546,4 | 236,2 | -143,7 |
12 | 143,7 | -385,4 | -375,3 | -1493,8 | 716,5 | 334,3 | -156,9 | 658,5 | -48,5 | -1005,8 | -2546,6 | 320,7 | |
10 | 0 | 896,7 | -1018,5 | -8192 | -1013,5 | -380,1 | 657,3 | 94,6 | -263,9 | 421,1 | -783,9 | -149 | -427,7 |
12 | 555,6 | 264,4 | 393,1 | -322,4 | 255,5 | -175 | -628,9 | 673,4 | 1279,4 | -641 | -1016,1 | -1884,3 | |
11 | 0 | -513,2 | -335,3 | -37,1 | -805,8 | 1171,8 | 262,9 | -1791,4 | -8099,1 | 815,1 | -783,7 | 296,2 | -601,5 |
12 | -192 | 86,9 | -3,9 | 974 | 2015,1 | 161,7 | -1157 | -490,5 | -1972,9 | -985,8 | 381,7 | 525,7 | |
12 | 0 | -2340,4 | -5661,8 | 4040 | -2018 | 620,7 | -1192,3 | 82,4 | -2415 | -531,9 | -408,1 | 1410,8 | -124,5 |
12 | 1669,3 | 1686 | 351,5 | -150,9 | -46,5 | 775,2 | -550 | -189,9 | 1333,1 | 33,9 | -1745,5 | -417,2 | |
13 | 0 | 65 | 22,3 | 770,3 | -610 | 1222,8 | 625,5 | 923,8 | 611,1 | 778,8 | -72,4 | -793,9 | -8138,9 |
12 | -652,8 | -443,5 | -326,3 | 372 | -835,5 | -932,2 | -438 | 636,3 | 552,6 | -645,1 | 1783,7 | -1578,1 | |
14 | 0 | -1400 | -98,5 | 3057 | 3613,4 | 2282,3 | 2572,4 | 3484,4 | -3571,9 | 481,7 | -3392,1 | 1297 | 1167,4 |
12 | 161 | -1064,2 | -313,3 | 1599,9 | -6,9 | 470,8 | 653,7 | 136,3 | 2168,9 | 1038,2 | 856,7 | 363 | |
15 | 0 | -785,2 | -384,5 | -166,7 | 305,1 | -465,8 | -565,9 | -1368,1 | -287,8 | 52,2 | 207,1 | 2756,1 | 487,7 |
12 | 422,8 | -1724,3 | -646,7 | 219,3 | 52,2 | -7309,5 | -398,8 | 871,1 | 614,9 | -965,9 | -94,9 | -1695,4 | |
16 | 0 | 3931 | -7212,4 | -30,7 | -853,7 | -141,4 | -138,3 | -196 | 295,3 | -78,4 | 364 | 388,5 | -1395,2 |
12 | -1237 | 1038,9 | 703,5 | 87,8 | 546,8 | -9,3 | -696,1 | -777,8 | -78,2 | -475,6 | 224 | -268,8 | |
17 | 0 | 2059 | 2976,1 | 2990,4 | -3869,7 | -1417 | 1535,6 | -2343,5 | -983,8 | -969,7 | 1746,4 | 149,8 | 2876,3 |
12 | -1391,5 | -262,8 | -1512,9 | 980,8 | -1948,6 | -752,1 | -564,2 | 1323,3 | 1,1 | -518,9 | 2387,7 | 617,5 | |
18 | 0 | 263,7 | 78,7 | 663,8 | -310,6 | -2441,4 | -1218,3 | -481,4 | 1743,2 | 514,8 | -483,3 | 1094,8 | 655,3 |
12 | 269,5 | 146,2 | -913 | -744,6 | 7872,2 | 2233,3 | 401,5 | 948,2 | -1182,8 | 1871,3 | 459,9 | -672,7 | |
19 | 0 | 23,6 | 461,8 | 754,2 | -411,9 | 451,3 | 245,3 | -8192 | -294,2 | -192,5 | -819,3 | -791,4 | -1601,9 |
12 | -430,8 | -131,7 | 573,7 | 1347,4 | -345,2 | 46,1 | 1877,7 | -798,3 | -42,5 | -84,7 | 96 | 1252,6 | |
20 | 0 | 381,9 | 3174,6 | -608,4 | -2156,8 | -3019,3 | 781 | 4767,2 | -1575,8 | 920,3 | -660,6 | -779,4 | -2567,7 |
12 | 1139,5 | 647,3 | 98,2 | 2453,2 | -1062,3 | -608,9 | -1438,9 | 1269,2 | -1554,3 | -979,2 | -244 | 1879,8 | |
21 | 0 | -502,3 | -843,6 | 631,9 | 843,7 | 708,5 | -992 | -471,3 | -1323,4 | 788,6 | -952,4 | 833,7 | 1104,1 |
12 | 555,9 | 27,4 | 1181,2 | -183,5 | 291 | 803,2 | -106,9 | -517 | -504,5 | 108,5 | 8192 | 2984,5 | |
22 | 0 | 433,6 | 246 | -1589,2 | -817,6 | -708,4 | -1522,4 | -1661,6 | 1227,3 | -1094,2 | -491,1 | 237 | -887,9 |
12 | 1532,3 | 1569,8 | -299,8 | -219,7 | -517,8 | 407,6 | 414,2 | 122,3 | 7957,8 | -501,4 | -406 | 202 | |
23 | 0 | -4188,3 | 247,2 | 437,9 | 1234,2 | -3749,7 | -5089,5 | -159,7 | -401 | 1524,7 | -1408 | -3081,6 | -60,8 |
12 | 1318,4 | -63 | -1692,2 | -71 | -575,4 | -1530,1 | -6,8 | 838,7 | -913,4 | -431,7 | 1032,4 | -2078,2 | |
24 | 0 | 656,5 | 1578,5 | -2239,9 | 764,9 | 1307,3 | -4063 | 2133,6 | -4375,1 | -2720,8 | -82,3 | -4,4 | 1379,8 |
12 | 1452,4 | -794,8 | -1084,7 | -720,3 | -1685,5 | -105,5 | 1770,7 | 1205,6 | -635,2 | 799,4 | 1327,4 | -776,7 | |
25 | 0 | 406 | 353,4 | 1207,9 | 100,3 | -554,4 | -363,5 | 812,3 | -219,5 | 368,2 | -818 | -1283,4 | 115,5 |
12 | 949,7 | -348,7 | 864,5 | -336,3 | 326,9 | -779,5 | 7874,7 | -142,3 | 1076,4 | -848 | -246,6 | -3475,1 | |
26 | 0 | -8192 | -3,9 | -103,4 | -300,1 | -451,7 | -318,6 | 197,6 | 139,9 | -167,5 | -386,7 | 1758,9 | 755,7 |
12 | 75,4 | -465,2 | 329,6 | 557,2 | -219 | 526,8 | 896,1 | 435,7 | -509,5 | 65,4 | -407,4 | -1614,7 | |
27 | 0 | 246,7 | -2,2 | -202 | 763,1 | -8192 | 985,9 | 776,4 | 51,7 | 74,6 | 180,7 | -360 | 463,2 |
12 | 226 | -83,2 | 1488,2 | -1249,9 | -1186,7 | 167,1 | -211,1 | -562,4 | 75,1 | 1007,6 | 400,6 | -2326,2 | |
28 | 0 | 336 | 441,6 | 215,6 | 104,9 | -216,9 | 860,4 | -1256,2 | 505,1 | 596,4 | -7828 | 542,6 | -218,9 |
12 | -1139,2 | 175,8 | -1623 | 383,9 | 66,5 | -230,2 | -732,1 | 505,2 | 417,1 | 587 | 210,5 | -1437 | |
29 | 0 | 572,1 | -128 | 823 | -312,2 | 59,7 | 100,7 | -720,4 | 695,3 | -790,7 | -1235,8 | 891,5 | 1663,5 |
12 | 347,7 | 7774,4 | -121,7 | -516,7 | -906,6 | 929,5 | -315,7 | -397,6 | -1038,2 | -1197,8 | -92,7 | -929 | |
30 | 0 | -1050,2 | -1276,6 | -428,5 | -141,9 | 88,4 | -1400,9 | 34,3 | 763,6 | -203,7 | -854,5 | -713,6 | 13,7 |
12 | -7944,3 | 265,6 | -520,4 | -532,2 | 1207,4 | -1606,8 | 480,2 | -31,7 | -2769,1 | -386,9 | -52,8 | -45,7 | |
31 | 0 | -4196,5 | -786,1 | -474,8 | 2859,1 | -3151,7 | 3652,5 | -2296 | 1179,6 | -1717,4 | 1482,6 | -2578 | -401,3 |
12 | 1222,3 | 522,7 | 124,4 | 2285,2 | -180 | -849,8 | -180,3 | 1514,7 | -1489,2 | -946 | 1162,9 | 1043,9 |
Имя файла | Содержание | Режим | Число элементов | Число векторов |
scmdct 3 | MDCT | расширенный короткий | 28 | 32 |
VN | EN | 0 | 1 | 2 | 3 | 4 | 5 | 6 | 7 | 8 | 9 | 10 | 11 |
0 | 0 | -1587,4 | -8151,2 | 466,2 | 476,5 | 1310,7 | -36,4 | -835,2 | -385,1 | -329,8 | -983,2 | -724,4 | -861,8 |
12 | -354,7 | -992,7 | 197,9 | 554,3 | -77,3 | 207,1 | -977,7 | -660 | -331,6 | 602,2 | 706,1 | -1584,4 | |
1 | 0 | -495 | 61,2 | -263,6 | 1248,6 | -1573,1 | -713,3 | 2527,9 | -6633,3 | -696,5 | 247,3 | 1391,3 | -289,7 |
12 | -324,9 | 489 | -1072 | -459,6 | -211,1 | -736 | 385,2 | -1296 | -37,3 | 1785,9 | -258,4 | -459 | |
2 | 0 | 433 | -524,1 | 264,9 | -41,6 | 7135,3 | 1978,2 | 105,5 | -52,2 | -396,5 | -306,8 | -1282,4 | 412,9 |
12 | -21,3 | 1616,7 | -46,3 | -844,6 | -1902,3 | 1368,5 | -133,6 | 211,3 | 1114,3 | 457,7 | 2710,2 | -1426,3 | |
3 | 0 | 1621,1 | -382,5 | 941,6 | 1426,9 | -4604,8 | 2534,3 | -1221,5 | 267,8 | -4996,4 | -1924,1 | 763,4 | 1417,4 |
12 | 254,9 | -620,3 | 325,2 | 358,6 | 669,7 | -799,6 | 529,5 | -319,1 | -364 | -423,1 | -2416,2 | -1041 | |
4 | 0 | -357,9 | 860,6 | 339,1 | 143,7 | -188,7 | 1506,9 | -903,6 | -898,6 | 6330,3 | -3820,3 | 829,1 | -11,5 |
12 | 220,8 | -477,8 | 1134,2 | 253 | 383 | -1115,3 | -1149,9 | 848,9 | -1113,5 | 107,8 | -868,4 | 295 | |
5 | 0 | -8192 | -591,2 | -299,6 | 524,8 | 1471,7 | 73,1 | -869,7 | -211,1 | -162,2 | 139,5 | -1121,5 | -1009,6 |
12 | 91,9 | 160 | -270,5 | 67,1 | -275,7 | -861,7 | -722,4 | -488,8 | -623,8 | 698,3 | 697,8 | -264,1 | |
6 | 0 | -818,4 | 786 | -608,1 | -61,4 | 1509,7 | 7783,9 | -37,6 | 2065,4 | -638,7 | 198,9 | 35,8 | -824,1 |
12 | 791,2 | 739 | 605,3 | -1152,7 | -372,9 | 424,6 | 1346,8 | -18,8 | -625,8 | 604,6 | -384,4 | 284,6 | |
7 | 0 | 3029,7 | -1750,6 | 4506,6 | -870 | 513,2 | 2301,4 | 927,1 | 2530,7 | 228,1 | -2474,1 | 1344,5 | -78,5 |
12 | 153,2 | -1658,2 | -537,2 | -280,5 | 642,4 | 2369,1 | 500,4 | -584,8 | -170,5 | -303,1 | 1704 | 136,9 | |
8 | 0 | -1569,8 | -1288,6 | 201,5 | -1157,1 | -466,5 | 797,8 | 371,5 | -1819,5 | 537,5 | 131,8 | -3898,4 | 5382,6 |
12 | 1775,5 | -542,9 | -1048,7 | -370,1 | -635,7 | -952,7 | -997,7 | -41,5 | 726 | 11,2 | -81,3 | 13,6 | |
9 | 0 | -2450 | 1788,6 | -1971,3 | 614,4 | -787,8 | -345,9 | -1830,9 | 4736,7 | 154,9 | 76,6 | 1477,9 | 576,4 |
12 | 1549,4 | -873,6 | -1628,5 | -5,8 | -1817,4 | 1087,2 | -119,7 | -4009,5 | -362,6 | -2510 | -3032 | -1122,4 | |
10 | 0 | 1489,3 | 5731,5 | 4239,4 | 396,9 | 1859,3 | -1909,5 | 302 | -790,5 | 1461,5 | -1084 | -510 | -1498,7 |
12 | 788,4 | -259 | 965 | -536,7 | 428,1 | 622,7 | -227,5 | -1693,9 | -98,6 | 217,7 | -852,7 | -1826,4 | |
11 | 0 | 727,1 | -471,3 | -3938 | 4596,7 | 155,4 | 2508,6 | -1160,6 | -959,7 | 1337,4 | -1124,4 | 782 | 747,3 |
12 | 169,4 | -577,7 | 2942,3 | -638,7 | 1307,7 | 1236,2 | -449,5 | -649,7 | 294,4 | 1321,4 | -699,9 | 364,8 | |
12 | 0 | -3489,7 | -557,6 | 1321 | -1750,9 | -324,9 | -704,9 | 5375,6 | 2709,4 | 343,7 | -3100,4 | -1881,5 | 172,9 |
12 | -1917 | 847,7 | 679,8 | -268,1 | 974,4 | 27,3 | -60,4 | -1128,4 | 12,1 | -2983,5 | -354,1 | 945 | |
13 | 0 | 254,3 | 1387,7 | 1209,8 | 598,9 | 277,1 | -934,4 | -7093,7 | 1923,9 | 1015,7 | -357,3 | -390,3 | 1251,3 |
12 | -946,7 | 480 | 208,4 | 1134,5 | 750 | -716,6 | -726,8 | 794,7 | -336 | 75,3 | 807 | -2576,3 | |
14 | 0 | 1188,4 | -248,5 | 718 | -1366,1 | -3130,4 | -1170,6 | -101,4 | 1117,5 | 1004,6 | 7,1 | -1020,9 | 63,7 |
12 | -483,1 | -1065 | 878,5 | -1709,5 | -6818,4 | 1088,2 | 363,8 | -686,1 | -1432,5 | -405,5 | 343,5 | -391,3 | |
15 | 0 | -945,3 | 2896,2 | 362,4 | -2761,9 | 2342,6 | 805,7 | -619,8 | 490,8 | -2910 | -798,1 | -59,8 | 409,3 |
12 | -1168,1 | 149,5 | 550,7 | 4936,1 | -563,9 | -328,6 | -320 | 616 | 1443,7 | 381,4 | -1751,2 | -738,3 | |
16 | 0 | 1408,8 | -324,5 | -250,1 | -42,1 | -718,3 | 654,3 | 608 | 324,9 | -863,8 | 596,2 | -2048,1 | -1469,7 |
12 | 1793,5 | -211,2 | -15,2 | 394,4 | 992,8 | -6976,7 | 1115,8 | -1024,9 | 823,3 | 216,9 | -1298,7 | 2454 | |
17 | 0 | -2586,3 | -2557,9 | -1035,1 | -2009,8 | -1809,3 | -5664,7 | -661,2 | -987,2 | -261,8 | -731,4 | 806,3 | 972,9 |
12 | -2113,7 | 1892 | 1078,4 | 1751,2 | -443,4 | 1183,3 | 1097,3 | 570,2 | -57,2 | -956 | -1259,4 | 53 | |
18 | 0 | 1515,5 | 941,4 | -381,6 | 1674,6 | -81,4 | 121,6 | 2131,6 | -556,5 | 1081,9 | 1872,4 | -816,3 | -1076,9 |
12 | 496,7 | 7226,8 | -416,5 | -382,9 | 508,1 | 1137,3 | -1334,6 | 790,6 | 1024,6 | 613,2 | -441,6 | -1065,9 | |
19 | 0 | -406,3 | 380,5 | 681 | -1482,5 | -2079,6 | -1901,1 | -3583,9 | -3315,9 | -447,2 | -63,2 | -691 | -1701,2 |
12 | 578,3 | -2632,7 | 663,9 | 30,6 | 1611,2 | 3718,7 | 867,1 | 1683,5 | 50 | -1270,9 | -1571,8 | -1539,7 | |
20 | 0 | 321,7 | -618,9 | 1318,2 | -2858,6 | -95,2 | 109,2 | 1145,3 | 1812 | -278,3 | 2607,3 | -359,3 | 1530,9 |
12 | -1664,7 | 678 | 2133,4 | -1815,8 | 1561,3 | 56,1 | -134,9 | -12,2 | -342,6 | 6635,7 | 2642,9 | 2408,3 | |
21 | 0 | 757,9 | -357,8 | 798,2 | 492,1 | -1311,4 | 742,9 | 4154,7 | 105,9 | 571,6 | 2169,7 | 903,3 | 334,5 |
12 | -3191,2 | -1928,7 | -1051,4 | 1526,9 | 245,2 | -1750,8 | -1104,9 | 1049,2 | 5111,9 | -1193,6 | -521,4 | -734 | |
22 | 0 | -1838,4 | 1235,6 | 1095,1 | 2725,7 | 2497,5 | -1924,5 | 1151,5 | 603,4 | -1416,1 | 2696,4 | -268,5 | -1621,3 |
12 | 399 | -529,9 | 2481,5 | -123,4 | 2178,4 | 857,2 | -991,2 | 3837 | -385,4 | -212,5 | -3028,1 | 4468,3 | |
23 | 0 | 1330,4 | 2003,6 | -5625,7 | -1541,8 | 709,1 | -203,4 | 722,3 | 468,9 | 1065,2 | 1010,1 | 1321,9 | 653,3 |
12 | -1503,7 | -890,1 | 126,5 | 595,1 | 1292 | -120,9 | 867,1 | 309 | -1041,5 | -1233,9 | 4458,3 | 1747,7 | |
24 | 0 | 3786,4 | 166,8 | 659,1 | -7165,8 | 736,4 | 760,8 | -157,3 | -832,6 | -726,2 | -558,5 | -1335,9 | -1448,4 |
12 | 1227,1 | 310,8 | -1051,7 | -528 | -791,4 | 629,3 | 33,1 | -1012,9 | -632,4 | -129,1 | -499,5 | 1025,3 | |
25 | 0 | -1451,7 | 246,9 | 244,9 | 149,8 | 5,9 | 156,5 | -51,5 | -109,4 | 478,2 | 306,5 | 7042,5 | 253,4 |
12 | 122,7 | 110,6 | -2,7 | -947,8 | -1074,1 | 318,6 | 81,2 | 44,4 | -1188,6 | 980,2 | -1001,7 | 1166,1 | |
26 | 0 | -1751,7 | 1177,9 | -1175,2 | -2322,5 | -4825,7 | 1590,5 | 258 | 229,3 | -92 | 167,1 | 71,5 | -2142,2 |
12 | -2665,3 | 1556,1 | -2104,4 | 374,6 | 1627,4 | -847,9 | 1737,1 | 110,3 | 594,9 | 1048,1 | -177,5 | -207,9 | |
27 | 0 | 121 | -145,1 | -561,2 | 420,7 | -152,6 | -871,5 | -1213,1 | -294,2 | -868,6 | 807,8 | -220,4 | 981,4 |
12 | 89,8 | -313,7 | -7218,6 | 424,1 | -315,4 | -975,3 | -199,4 | -893,3 | 283,3 | -108,3 | 775,2 | 785,3 | |
28 | 0 | 2464,9 | -3039,7 | -673,7 | 188,1 | 1483,1 | 1089,5 | -446,4 | 283 | 648,4 | 2184,9 | -1143,1 | 576,4 |
12 | 1052,9 | 281 | -2367,4 | 1505,7 | -702,3 | 628,9 | 4176,2 | 1901,7 | -1451,3 | -460 | -4274,9 | 174,8 | |
29 | 0 | 9,6 | 362,4 | 362,1 | 802,5 | 497,8 | -914,2 | -1697,2 | -45,5 | -1122,9 | 648,9 | 720,2 | 916,9 |
12 | -371,9 | 588,3 | 162,3 | -6838,7 | -849,4 | -560,4 | 316,3 | 180,4 | -229,1 | -2966,6 | -638,9 | 437,5 | |
30 | 0 | 3819,9 | 685,6 | -662,9 | 1849,7 | 1157,1 | -2943,1 | 2673 | -153,4 | -1106 | -1384,2 | 869,4 | 1226,8 |
12 | -513,6 | -352 | 1064,3 | 4032,2 | 375,9 | -824,9 | -1518,7 | 1262 | -2905,1 | 160 | -315,9 | -3058 | |
31 | 0 | -125,4 | -618,8 | 379,6 | -840,3 | -975,8 | -1430,1 | 1370,9 | 583 | -452,9 | -73 | -374,4 | -1129 |
12 | 7405 | 175,4 | 123,6 | -458,8 | 1692,4 | -318,4 | -1535,9 | 521,6 | -277,1 | -690,6 | 899,4 | 3196,9 |
Имя файла | Содержание | Режим | Число элементов | Число векторов |
FcdI | огибающий bark | Базовый расширенный | 6 | 64 |
VN | 0 | 1 | 2 | 3 | 4 | 5 |
0 | 2,59553 | 1,59708 | -0,21402 | -0,17514 | -0,09628 | -0,26982 |
1 | -0,31846 | -0,28922 | -0,32107 | 1,15714 | 1,03967 | -0,03709 |
2 | 2,80202 | -0,48079 | 2,15678 | -0,37126 | -0,36071 | -0,16559 |
3 | 0,19375 | -0,32843 | -0,30811 | 0,27793 | -0,2106 | -0,07445 |
4 | 2,2074 | -0,43946 | -0,3363 | 1,40869 | 0,0118 | 0,04888 |
5 | -0,50163 | -0,3072 | -0,34648 | -0,36553 | 0,08881 | 0,66861 |
6 | -0,5478 | 3,10285 | 2,923 | -0,42525 | -0,30431 | -0,12124 |
7 | 0,36265 | -0,59101 | -0,40694 | -0,37653 | -0,02823 | 8 |
8 | 0,6108 | -0,2944 | 0,84234 | 0,50441 | 0,15898 | -0,19708 |
9 | -0,26828 | -0,42775 | -0,55847 | 8 | 0,26906 | 0,09807 |
10 | 0,58163 | 0,69724 | -0,38205 | -0,32305 | -0,04204 | -0,18015 |
11 | -0,1531 | -0,52465 | -0,5112 | -0,46322 | 8 | 0,60858 |
12 | 8 | -0,37894 | -0,41379 | -0,57177 | -0,46141 | -0,54807 |
13 | -0,3409 | -0,46601 | -0,40139 | 2,77429 | -0,30628 | -0,29932 |
14 | -0,00875 | 1,00366 | 0,35027 | -0,14719 | -0,12343 | -0,01017 |
15 | -0,42826 | -0,25287 | 0,5889 | 0,00455 | -0,18978 | 0,72595 |
16 | -0,41718 | -0,42836 | 0,44293 | -0,26096 | 0,67149 | -0,15131 |
17 | -0,48094 | 0,40551 | 0,63479 | 0,10576 | 0,60523 | 0,00965 |
18 | 0,5875 | 0,17574 | 0,22913 | -0,07386 | -0,25141 | -0,28609 |
19 | 1,54175 | -0,38932 | -0,26886 | -0,37004 | 1,26474 | -0,04734 |
20 | -0,30997 | -0,45256 | 2,71793 | -0,29703 | -0,34868 | -0,27166 |
21 | 0,80891 | -0,39427 | -0,36544 | 1,05681 | -0,26354 | -0,07337 |
22 | 1,69802 | 0,38677 | -0,19213 | 0,04237 | -0,07601 | -0,16281 |
23 | 0,82683 | 0,70298 | 1,21216 | -0,23461 | -0,02006 | -0,24785 |
24 | -0,4438 | -0,46604 | -0,44381 | -0,40097 | 1,97582 | 0,05232 |
25 | 0,71883 | 0,61561 | -0,1844 | 0,68805 | 0,00106 | -0,01607 |
26 | -0,38766 | 8 | -0,06823 | -0,22391 | -0,52152 | -0,42881 |
27 | -0,4812 | -0,4593 | -0,4612 | 1,54307 | -0,31462 | 0,33229 |
28 | 0,72907 | -0,31141 | -0,38468 | -0,36775 | -0,3587 | 0,7 |
29 | 0,88654 | 2,10076 | -0,1964 | -0,23175 | -0,15172 | -0,15909 |
30 | -0,51999 | -0,53691 | -0,52863 | -0,4753 | 0,54786 | -0,32601 |
31 | -0,4771 | 2,06467 | 1,01919 | -0,28684 | -0,14439 | -0,05744 |
32 | -0,57224 | 0,42109 | 0,5242 | -0,2856 | -0,1884 | -0,15752 |
33 | -0,24585 | -0,44169 | 8 | -0,43055 | -0,40749 | -0,43133 |
34 | 0,20221 | -0,25994 | -0,31787 | -0,30064 | 0,6737 | 0,05431 |
35 | 0,32692 | -0,4254 | -0,45128 | -0,45458 | -0,16592 | -0,3783 |
36 | 1,42145 | -0,42477 | -0,43237 | -0,33452 | -0,32365 | -0,35176 |
37 | -0,52165 | -0,47377 | 0,32662 | -0,34749 | -0,24129 | -0,18172 |
38 | -0,46545 | 0,29674 | -0,31146 | 0,41441 | -0,12466 | -0,07952 |
39 | -0,26585 | 0,07241 | -0,26056 | -0,2953 | -0,24943 | -0,22879 |
40 | 0,34838 | -0,3777 | 0,48323 | -0,31334 | -0,0997 | -0,15367 |
41 | -0,36403 | -0,40947 | 1,43126 | -0,48284 | -0,33652 | 0,15962 |
42 | -0,50425 | -0,42948 | -0,31036 | 0,28637 | 0,32368 | 0,02942 |
43 | -0,44723 | 2,90793 | -0,35379 | -0,37063 | -0,16951 | -0,00506 |
44 | -0,41686 | -0,31531 | 0,3233 | 0,63998 | -0,13565 | -0,25397 |
45 | -0,57783 | -0,55613 | -0,52567 | -0,35549 | -0,35857 | 0,13331 |
46 | -0,5269 | 2,92107 | -0,39287 | 2,50676 | 0,83325 | -0,34838 |
47 | -0,35037 | 1,58353 | -0,14216 | -0,14513 | 1,25833 | 0,02395 |
48 | -0,54618 | -0,51853 | -0,5225 | 0,6915 | -0,34809 | -0,32408 |
49 | 0,91424 | -0,39755 | -0,23708 | 0,06298 | 0,32884 | -0,27221 |
50 | -0,26031 | -0,34193 | 1,87043 | -0,21861 | 1,45874 | -0,0149 |
51 | 2,71047 | -0,44695 | -0,35421 | -0,35093 | -0,21284 | 0,18185 |
52 | -0,54924 | -0,36134 | 2,97081 | 2,32648 | 0,01315 | 0,14583 |
53 | -0,51477 | -0,40314 | 1,23469 | 0,2071 | 0,00622 | -0,15786 |
54 | -0,37564 | 0,82963 | 0,77552 | 0,72145 | -0,21951 | -0,21676 |
55 | 1,59584 | -0,35791 | 0,89497 | -0,26614 | -0,12674 | -0,13373 |
56 | -0,42762 | 1,49492 | -0,31584 | 0,6556 | -0,06384 | -0,07354 |
57 | -0,38684 | 0,71379 | -0,43055 | -0,24995 | -0,29525 | 0,42418 |
58 | -0,55264 | -0,52329 | -0,57869 | -0,60007 | -0,61091 | -0,56922 |
59 | -0,46465 | 0,55867 | -0,28994 | -0,14188 | 0,53955 | -0,1124 |
60 | -0,40785 | -0,46448 | 1,26074 | 1,48856 | 0,10128 | -0,10592 |
61 | -0,427 | 0,70964 | -0,30237 | 1,50654 | 0,0617 | -0,27741 |
62 | -0,43966 | 1,39518 | -0,39417 | -0,44686 | -0,35716 | -0,39151 |
63 | -0,43383 | 0,9626 | 1,83882 | -0,37505 | -0,235 | -0,05237 |
Имя | Содержание | Режим | Число элементов | Число векторов |
pcdI | PPC | базовый длинный | 10 | 64+64 |
VN | 0 | 1 | 2 | 3 | 4 | 5 | 6 | 7 | 8 | 9 |
0 | 1,28888 | 0,26874 | 3,16758 | 1,37315 | 0,49535 | 0,94071 | 1,44487 | 0,37004 | -0,70932 | -0,05462 |
1 | -0,02234 | -0,20001 | 0,19604 | 0,26626 | 0,75466 | -0,81913 | 0,03708 | -0,29647 | -1,78632 | -0,18008 |
2 | -2,19075 | 0,13333 | 2,93822 | -0,22869 | 0,54111 | 0,51598 | 0,29629 | -1,60571 | 0,48978 | -0,40555 |
3 | -0,16435 | -1,43562 | 0,12102 | 0,1109 | 0,83013 | 0,16508 | -0,07873 | 2,78031 | 0,15479 | -0,28546 |
4 | 3,06554 | -1,41708 | -1,88582 | 0,14353 | -1,66046 | 0,26375 | 0,08646 | -0,41044 | -0,23005 | 0,47026 |
5 | -0,11899 | -0,14149 | 0,03797 | 0,01927 | 3,72378 | 0,16278 | 0,28207 | 0,15989 | -0,17563 | 0,48802 |
6 | -0,19166 | 0,05232 | 0,68887 | 0,24894 | -0,48014 | 0,01794 | -0,09456 | -0,03353 | -3,71716 | -0,37879 |
7 | -0,08722 | 0,69099 | 0,52234 | 0,74945 | -0,62316 | 0,58827 | 0,30028 | 1,0085 | 0,24395 | 0,06055 |
8 | 0,12958 | -0,22199 | 0,96387 | 3,13907 | -1,96687 | 0,53834 | -0,69258 | -0,04179 | -0,39869 | -0,03142 |
9 | -0,02278 | 0,45226 | -0,46875 | 0,03839 | 2,35515 | -0,02039 | -0,03662 | -0,33315 | -0,3716 | -3,22201 |
10 | 1,50588 | -0,78015 | 1,43802 | -0,42078 | -1,56427 | -0,32711 | -1,81516 | -0,1517 | -1,39942 | -0,70676 |
11 | 0,03549 | 0,97029 | 0,17778 | 2,40233 | -0,1207 | 1,79612 | -0,09612 | -3,32378 | -0,06238 | -0,47122 |
12 | 0,11414 | -0,06499 | 1,95345 | -0,03737 | -0,08911 | 1,86812 | 0,03298 | 0,3419 | -0,9445 | 0,26631 |
13 | -1,20479 | -0,70412 | 0,30736 | 1,66473 | 0,25032 | -1,62769 | 0,26336 | -2,39109 | 1,66663 | -1,01706 |
14 | 0,27057 | 0,28062 | 4,60481 | 0,14478 | -0,04332 | -0,26043 | -0,15716 | -0,52842 | 1,15402 | 0,02068 |
15 | -0,02468 | -2,63793 | -0,06035 | 2,17716 | 0,55198 | 1,33668 | 0,18469 | 0,73687 | -1,59535 | 0,47395 |
16 | 0,08763 | -1,03259 | 0,29432 | 0,23395 | -0,21428 | 0,13532 | -4,58495 | 0,5589 | 1,19783 | -1,8095 |
17 | -1,87625 | 1,93644 | 0,2355 | 0,60058 | 1,07984 | -0,13744 | -0,89547 | -0,8501 | 0,80741 | -0,42413 |
18 | 0,23718 | -1,82628 | 2,62266 | 0,48302 | 0,5773 | 0,00497 | -0,88499 | 0,11386 | 0,50195 | -1,61181 |
19 | 2,29405 | 0,76792 | 0,77194 | 0,45336 | -0,15374 | -1,68579 | 0,40538 | -0,73821 | -0,52721 | 0,27069 |
20 | 0,31311 | 0,67546 | 0,05131 | -0,53788 | 0,75649 | -1,92602 | 0,44063 | -3,20197 | 0,24121 | -1,52231 |
21 | 0,38234 | -0,34155 | -2,34677 | 0,44454 | -0,12667 | -0,01386 | 0,83684 | -3,42385 | 0,27861 | -0,62057 |
22 | -2,294 | -0,00411 | 0,10751 | -2,0974 | 0,55445 | -1,90704 | 0,46176 | -0,22817 | -1,05712 | -0,31803 |
23 | 0,08838 | 0,104 | 0,07782 | 0,28709 | 0,77533 | 0,5377 | -3,49315 | -0,15122 | -0,71822 | -0,55433 |
24 | -0,12964 | -0,15924 | 0,08426 | 4,31671 | 0,35474 | -0,3812 | 0,08329 | -0,5072 | 0,22773 | 0,10575 |
25 | 0,37323 | 0,11307 | -0,26726 | 1,19933 | -0,2052 | 3,97109 | 0,23754 | 0,42287 | -0,17526 | 1,6363 |
26 | -0,8932 | 0,98569 | -0,17186 | -0,66099 | 0,34743 | 0,31512 | 0,56153 | 0,03641 | -0,2279 | -0,32669 |
27 | 0,49296 | 1,50705 | 0,11747 | 3,64671 | -0,08886 | 0,95113 | -0,10827 | 0,24228 | -0,2188 | 0,09239 |
28 | -0,05516 | -0,36735 | 0,06542 | -0,10454 | -0,64008 | -0,07052 | -0,50515 | 2,55652 | -0,94717 | -1,30125 |
29 | 0,09405 | 0,74533 | -1,13331 | 0,37229 | -0,38024 | 0,17472 | 0,61134 | 0,20712 | -0,10988 | -0,49257 |
30 | -0,11187 | -0,17222 | -1,73824 | -0,13261 | -0,52195 | 0,62213 | -0,08559 | 0,17988 | 3,15089 | -0,24704 |
31 | 0,01548 | 3,74936 | 0,08098 | -0,20425 | -0,05489 | -0,31726 | 0,69418 | 0,32569 | -0,1634 | 0,50865 |
32 | -0,17257 | 0,28592 | 2,00649 | 0,53473 | 2,57991 | 0,33445 | -0,33589 | -0,71256 | 0,51466 | 2,46521 |
33 | -0,09483 | 1,08439 | 0,03998 | 0,11961 | 1,85047 | 0,00631 | -0,45111 | -0,71269 | 0,15621 | 1,16161 |
34 | -0,02632 | 2,00056 | -0,32356 | -0,56487 | 0,10923 | 1,26427 | -0,2674 | 2,41749 | -0,16922 | -0,8848 |
35 | -0,0544 | 0,16837 | 2,56225 | 0,1894 | -0,22447 | -0,39572 | 0,49943 | 0,11457 | 0,35493 | 0,89878 |
36 | -0,26616 | -0,43364 | 0,3558 | 0,05177 | 0,50149 | -0,24278 | 0,17047 | -0,12116 | 5,45574 | -0,15218 |
37 | 0,06203 | 0,23433 | -0,99429 | 0,12958 | -0,628 | -3,51385 | -0,24958 | 0,06293 | -0,89521 | 0,2426 |
38 | 3,72107 | 1,23981 | -0,88335 | 0,46989 | -0,3001 | -0,42813 | 0,41867 | 1,0639 | 0,31391 | -0,57627 |
39 | -1,12063 | 0,44526 | 1,91996 | 0,34752 | -0,524 | -0,6746 | -2,59639 | 0,11581 | -0,20243 | 0,28307 |
40 | -0,03832 | -0,01316 | -0,03846 | -0,007 | 0,04931 | -0,09357 | 0,06964 | -0,00049 | 0,21041 | -0,08892 |
41 | 0,10125 | -0,03012 | -0,03539 | -2,37631 | 0,28491 | 2,4899 | -0,34378 | -0,73052 | 0,52019 | -0,10068 |
42 | 1,15802 | 0,7305 | 0,86786 | -0,15069 | 2,3452 | -0,69111 | 0,57534 | 1,29397 | 0,15267 | -0,16541 |
43 | -0,12218 | -0,03125 | -0,01363 | -1,5446 | -0,27404 | -0,62664 | 0,46486 | -0,44052 | 0,17302 | 0,77978 |
44 | -0,03625 | -0,33463 | -1,59515 | -0,42669 | -0,3637 | 3,45674 | 0,35785 | 0,34057 | 0,26874 | -0,66518 |
45 | 0,12284 | 0,01668 | -0,36273 | 0,00005 | 0,05147 | -0,29728 | -0,00085 | 5,10734 | 0,41718 | -0,05075 |
46 | -0,20474 | 1,11663 | -1,4853 | -1,6009 | -0,02503 | -0,24016 | -0,09167 | 2,05302 | 0,41858 | -0,52989 |
47 | -1,22133 | -0,80464 | 3,2915 | 0,29576 | -1,01545 | 0,85362 | 0,25387 | 1,69078 | 0,05201 | -0,3414 |
48 | 0,10775 | -0,30053 | -0,19873 | 0,20553 | 0,38424 | 0,2795 | 0,33175 | 0,10667 | -0,43378 | 5,0211 |
49 | 0,06324 | -1,1164 | -0,34474 | -0,03852 | 2,47664 | 0,30992 | 0,34303 | -3,0838 | -0,26944 | -0,15003 |
50 | -3,87998 | 0,08673 | -0,92651 | -0,28277 | 0,7912 | 0,06152 | 0,05675 | -0,04378 | -0,15055 | -0,49744 |
51 | 0,06965 | -0,24747 | -0,30479 | 0,44796 | -0,38039 | 0,30899 | -2,49186 | 0,15352 | -0,07609 | 2,77728 |
52 | 0,03771 | -0,07037 | 1,44405 | -0,08627 | 0,01465 | 0,65797 | -0,20831 | -0,02516 | 3,82295 | 0,58679 |
53 | -0,28911 | 0,00076 | 2,25478 | -2,67418 | 1,08246 | 0,20249 | 0,62566 | -0,04001 | -0,20703 | -0,15767 |
54 | 1,76926 | 0,21839 | 0,4214 | -0,18353 | -0,23904 | 0,25714 | -0,23697 | 0,07767 | 0,53228 | 0,22643 |
55 | 0,19622 | -0,064 | 0,10897 | 0,79608 | -1,20257 | -1,10434 | 0,30441 | 0,49781 | 3,11769 | -0,29082 |
56 | -0,31973 | -1,36087 | 1,1628 | 0,16043 | -1,01046 | 2,64181 | -0,19644 | -0,27073 | -0,77847 | -0,42009 |
57 | 0,04065 | -2,4468 | -0,45823 | 0,51819 | 0,08004 | -1,72072 | -0,52 | 0,59359 | 0,37168 | 0,78352 |
58 | -2,06255 | 0,4418 | -1,32138 | 2,39634 | -0,89775 | 1,60514 | -1,52266 | -0,22682 | -0,10606 | -0,5798 |
59 | -3,31681 | 0,85384 | -0,27833 | 0,29965 | -1,55139 | -0,12387 | 0,08035 | -0,41261 | 0,26349 | -0,21486 |
60 | -0,91388 | -0,98165 | -1,13409 | -1,47777 | 0,23383 | 1,1217 | -0,27391 | -2,83883 | 0,37536 | -0,83449 |
61 | -0,30317 | 0,03241 | -2,27905 | 0,39328 | -0,10539 | 2,62031 | -0,21607 | -0,11414 | -3,2875 | 0,16852 |
62 | 0,05213 | 2,18937 | 0,84015 | 1,33077 | -0,05358 | 1,3409 | -0,09204 | 0,09985 | 0,93062 | 0,59825 |
63 | 0,12392 | 1,59708 | 0,9337 | -0,90451 | -0,12543 | -2,01707 | 0,37513 | 1,94555 | 0,23099 | -0,70055 |
64 | 2,13905 | 0,10191 | 1,24373 | 0,51358 | 1,63431 | -0,08351 | 0,30739 | -1,16675 | -0,35279 | -0,37096 |
65 | 0,0812 | 1,07058 | 0,15907 | -0,09428 | -0,14151 | -0,4618 | -0,21325 | 0,45456 | 0,66027 | 3,37816 |
66 | -1,32206 | -0,4821 | 1,43573 | 1,74563 | 2,01948 | -1,56545 | 0,17182 | 0,45271 | 0,0628 | -0,91456 |
67 | -2,3898 | -2,35197 | -0,22554 | 0,33998 | -0,79031 | 0,06321 | -0,01377 | 1,07176 | 1,19673 | 0,2861 |
68 | 1,24864 | -0,63868 | -1,0763 | -0,28812 | 1,14537 | 1,80661 | -0,15262 | 2,16631 | 1,67133 | -0,29882 |
69 | -0,05193 | -1,29291 | -0,85556 | -0,03597 | 4,35258 | -0,32884 | 0,79375 | 0,41554 | 0,35156 | -0,57719 |
70 | -0,1198 | -0,05545 | 0,43083 | -0,10895 | -2,37948 | -0,49303 | 2,75568 | -0,04768 | -2,33369 | -0,07613 |
71 | 0,21686 | 1,41341 | -0,42804 | -2,70242 | 0,61944 | -0,06463 | -0,43017 | -0,1903 | -2,0755 | -0,07512 |
72 | -0,02184 | 0,4818 | 0,88869 | 4,23426 | 0,32367 | -0,16813 | -0,0971 | -0,93254 | 0,52898 | 0,05603 |
73 | -0,15532 | 0,52294 | -1,60824 | -0,18328 | 3,23327 | 0,1135 | -1,45172 | -0,0493 | -0,23632 | -0,25873 |
74 | -0,05867 | -2,59416 | 0,8312 | 0,31796 | -0,30826 | 0,2373 | 2,77116 | 0,02446 | 0,55313 | -0,22707 |
75 | -0,51455 | 1,30626 | -0,77779 | 2,71737 | 0,5061 | -1,37105 | 0,15878 | 0,48821 | 0,25587 | 1,37404 |
76 | -0,12972 | 0,16455 | 2,0636 | 0,25143 | 0,28128 | 2,95291 | 0,08582 | 0,09976 | -0,25123 | -0,30165 |
77 | -0,04632 | -1,3975 | -0,14369 | 0,86661 | 0,47791 | -3,43773 | -0,08283 | 0,40818 | -0,40507 | 1,10291 |
78 | -0,0182 | -0,15582 | 1,34311 | 0,06751 | -0,14121 | -0,53351 | 0,03831 | 0,5043 | 2,10788 | -0,58678 |
79 | 0,39477 | -3,04864 | -0,45931 | 2,01978 | 0,04376 | -0,52536 | -0,31599 | -0,12492 | -0,10121 | 0,11121 |
80 | -0,03452 | -0,03057 | -0,09894 | 0,03226 | 0,01192 | -0,48283 | -4,65939 | -0,11003 | -0,3613 | 0,079 |
81 | -1,31754 | 0,0574 | -0,2971 | 0,08453 | -0,30721 | 0,86434 | 2,45968 | 2,51238 | 1,23547 | -0,50231 |
82 | 1,50294 | -0,24216 | 2,28121 | -0,90775 | 1,04895 | 0,21859 | -2,06629 | 0,08329 | 0,34822 | 0,1581 |
83 | 0,36466 | 0,70677 | -0,918 | 2,47546 | 3,79165 | -0,24031 | -0,37853 | -0,32197 | -0,37636 | -0,02901 |
84 | -0,12627 | -0,04525 | -0,82218 | -2,26543 | -0,84347 | -1,03939 | 0,26653 | -2,47079 | 1,23837 | 0,75649 |
85 | 0,24064 | -0,62543 | -2,94637 | 0,47164 | 1,58428 | 0,23203 | -0,59003 | 0,3325 | -0,13853 | 0,14422 |
86 | -0,17463 | -0,12583 | 0,85598 | -0,17722 | 1,54264 | 0,05216 | -0,08885 | 0,88151 | 0,46255 | -0,48946 |
87 | -0,06676 | 0,36942 | 0,58086 | 0,11589 | -1,18536 | -0,12857 | -2,80603 | 0,00658 | 1,06034 | -0,58457 |
88 | -0,1561 | -0,18171 | -0,63499 | 2,6653 | 0,46641 | 0,59787 | 0,30223 | -0,53096 | 1,29943 | -0,98973 |
89 | -0,00976 | 1,04356 | 0,16697 | 1,99034 | 0,23572 | 2,65679 | -0,00325 | 1,03831 | -0,0701 | -0,77931 |
90 | 0,13381 | 0,49307 | 0,04619 | -1,68299 | 0,19455 | 0,52731 | 0,14125 | 0,99717 | 0,43132 | -0,97925 |
91 | -0,1563 | 1,8791 | 0,19313 | 0,23078 | 0,30029 | 1,5847 | 0,36806 | -0,91846 | -0,10561 | 2,76858 |
92 | -0,03141 | -0,27603 | -1,25022 | 0,76867 | 0,37696 | -1,86725 | 0,45545 | 2,35843 | 0,57733 | -0,51505 |
93 | 0,19081 | -0,02002 | 0,89507 | -0,17124 | 0,07392 | 0,07283 | -0,47206 | -0,03043 | -0,34827 | -4,29424 |
94 | -0,29 | 0,04272 | -1,72027 | -0,11905 | 0,27361 | -1,60983 | 0,1195 | -0,37867 | 3,50315 | 0,36605 |
95 | -0,1328 | 4,18273 | 0,04841 | 0,61437 | 0,60526 | -0,23885 | -0,05236 | -0,82974 | -0,29851 | 0,51121 |
96 | 0,03186 | -0,24892 | 0,25614 | -0,17325 | 3,12521 | -0,12148 | 0,07243 | -0,3332 | -0,04557 | -0,77374 |
97 | -0,02997 | 2,20189 | 0,2339 | 0,05403 | 3,47503 | -0,14415 | 0,23471 | 0,75477 | 0,00188 | 0,06228 |
98 | -1,11961 | 0,43678 | 0,61581 | -3,07064 | -0,02222 | -0,20063 | -0,19664 | -0,1743 | 1,29354 | 0,31722 |
99 | 0,80714 | -0,31437 | 3,21672 | 0,05728 | 0,42811 | -0,01624 | 0,4669 | -0,14758 | 0,79094 | -0,49991 |
100 | -0,04883 | 0,18854 | -0,0422 | -0,24325 | 0,33396 | 0,58096 | 0,07173 | 0,18625 | 4,80098 | -0,04774 |
101 | 0,12902 | 0,04455 | -0,58451 | 0,22529 | 0,18288 | -3,31484 | 0,20874 | 0,1439 | -2,33226 | -0,00004 |
102 | 1,4006 | 2,53879 | 2,23308 | -0,40397 | -0,91191 | 0,30424 | -0,59309 | -0,28013 | -0,53681 | -0,72096 |
103 | 0,14981 | -0,34273 | -0,1096 | -2,08103 | -0,55452 | 1,22105 | -2,32346 | 0,71767 | -0,04973 | 0,88489 |
104 | -0,06296 | 0,00779 | 0,37141 | -0,07311 | -0,43599 | -0,69232 | 0,37183 | 0,59265 | -0,20391 | 0,76627 |
105 | -0,04811 | 0,81816 | -0,06811 | -3,60488 | -0,30926 | 1,2619 | -0,25378 | -2,67757 | 0,01421 | 0,15661 |
106 | -0,18735 | -0,29123 | -0,1443 | -0,17479 | -0,2036 | 1,97977 | -0,22341 | -0,17369 | -2,54577 | -0,41017 |
107 | -0,15575 | 0,64521 | -0,20741 | -0,06303 | 2,55173 | 0,08849 | -1,3168 | -0,0852 | -3,59554 | -0,16002 |
108 | 0,2538 | 0,42032 | -2,50621 | 0,13451 | -0,06898 | 2,41402 | 0,09969 | -0,09772 | 1,45985 | 0,45849 |
109 | 0,19057 | -0,22542 | -0,16274 | -0,19255 | -0,085 | 0,1524 | -0,06344 | 3,54373 | -0,19634 | 0,42005 |
110 | -0,00046 | 1,3075 | 0,44001 | 0,29739 | 0,12153 | 0,45681 | -0,24122 | 3,97823 | 1,01631 | -0,5718 |
111 | -1,0474 | 0,76204 | 0,79817 | 0,02734 | -0,85256 | 0,27437 | -0,36512 | 0,45476 | -0,34809 | -0,26607 |
112 | 0,39011 | -0,04813 | 0,28325 | -0,40521 | -0,26705 | 0,11646 | -1,00205 | -0,09658 | 0,39184 | 6,38045 |
113 | 0,18221 | -3,1436 | 0,56642 | -0,41265 | 2,10605 | 0,00959 | 0,32737 | -0,30618 | -0,46143 | 0,62372 |
114 | -3,41695 | -0,29748 | 0,93423 | 0,2968 | -0,22186 | -0,04393 | 0,4199 | -0,02121 | -0,0349 | 0,24145 |
115 | 0,08292 | -0,34821 | -0,98374 | 0,76693 | -2,30082 | 0,11379 | -2,00866 | 0,10299 | -1,80156 | 0,49759 |
116 | 0,09801 | 0,02398 | 0,87932 | -0,29853 | -0,23085 | 0,60271 | 0,283 | 0,17743 | -0,0655 | 0,11407 |
117 | 0,0495 | -2,7049 | 0,93988 | -0,84697 | -0,47967 | -0,45333 | -0,34552 | -0,60481 | 0,77467 | 1,79495 |
118 | 2,31525 | -1,35283 | 1,51663 | 0,46045 | -0,94423 | 0,66598 | 0,14087 | -1,23472 | 0,07825 | 0,23723 |
119 | -0,01891 | 0,01146 | 0,05543 | -0,00939 | -0,25309 | -0,05408 | -0,08464 | -0,08331 | 0,28796 | -0,23134 |
120 | 0,14456 | -1,82728 | 0,54162 | -1,45394 | 0,65876 | 2,88044 | 0,04801 | 1,52839 | 0,4177 | 0,24366 |
121 | 0,00192 | -1,51934 | -0,28914 | 0,27953 | -0,43474 | 0,3359 | 0,34038 | 0,09476 | -0,16812 | 0,55648 |
122 | 1,58963 | 0,62054 | -1,19708 | 0,95618 | -0,19293 | 0,13055 | -0,46467 | -1,08598 | 1,0294 | -0,00537 |
123 | -1,63945 | 1,27057 | 1,17362 | 0,77949 | -0,25979 | 1,31919 | 1,09939 | -0,59425 | -1,04889 | 0,33754 |
124 | -0,36973 | -1,0016 | 0,18249 | 0,95907 | 0,72926 | 2,32241 | 0,60848 | -2,12186 | -0,24255 | -0,65101 |
125 | -0,00988 | -0,04139 | -0,76083 | 0,14922 | 0,57784 | 3,97886 | -0,30668 | -0,34279 | -0,84522 | 0,11366 |
126 | -0,12785 | 1,334 | 0,11998 | 0,17243 | -1,82888 | 0,49492 | 0,09101 | -0,99747 | 0,39561 | -1,90151 |
127 | 0,1718 | 1,22115 | 0,41649 | 2,03242 | -0,20785 | -2,41295 | -0,75 | 1,09243 | 0,65831 | -2,08726 |
cband_si_type | max_cband_si_len | Наибольший cband_si | Модель, перечисленная в | ||
Нулевой cband | Другой cband | Нулевой cband | Другой cband | ||
0 | 6 | 6 | 4 | ||
1 | 5 | 6 | 6 | ||
2 | 6 | 8 | 4 | ||
3 | 5 | 8 | 6 | ||
4 | 6 | 8 | 8 | ||
5 | 6 | 10 | 4 | ||
6 | 5 | 10 | 6 | ||
7 | 6 | 10 | 8 | ||
8 | 5 | 10 | 10 | ||
9 | 6 | 12 | 4 | ||
10 | 5 | 12 | 6 | ||
11 | 6 | 12 | 8 | ||
12 | 8 | 12 | 12 | ||
13 | 6 | 14 | 4 | ||
14 | 5 | 14 | 6 | ||
15 | 6 | 14 | 8 | ||
16 | 8 | 14 | 12 | ||
17 | 9 | 14 | 14 | ||
18 | 6 | 15 | 4 | ||
19 | 5 | 15 | 6 | ||
20 | 6 | 15 | 8 | ||
21 | 8 | 15 | 12 | ||
22 | 10 | 15 | 15 | ||
23 | 8 | 16 | 12 | ||
24 | 10 | 16 | 16 | ||
25 | 9 | 17 | 14 | ||
26 | 10 | 17 | 17 | ||
27 | 10 | 18 | 18 | ||
28 | 12 | 19 | 19 | ||
29 | 12 | 20 | 20 | ||
30 | 12 | 21 | 21 | ||
31 | 12 | 22 | 22 | ||
scf_model | Наибольший дифференциальный ArModel | Модель, перечисленная в |
0 | 0 | Не используется |
1 | 3 | |
2 | 7 | |
3 | 15 | |
4 | 15 | |
5 | 31 | |
6 | 31 | |
7 | 63 |
cband_si | Плоскость MCB | Таблица, перечисленная |
0 | 0 | - |
1 | 1 | |
2 | 1 | |
3 | 2 | |
4 | 2 | |
5 | 3 | |
6 | 3 | |
7 | 4 | |
8 | 4 | |
9 | 5 | |
10 | 5 | |
11 | 6 | |
12 | 6 | |
13 | 7 | |
14 | 7 | |
15 | 8 | |
16 | 9 | |
17 | 10 | |
18 | 11 | |
19 | 12 | |
20 | 13 | |
21 | 14 | |
22 | 15 |
h | 0 | 0 | 0 | 0 | 0 | 0 | 0 | 0 | 1 | 1 | 1 | 1 | 1 | 1 | 1 | 1 | |||
g | 0 | 0 | 0 | 0 | 1 | 1 | 1 | 1 | 0 | 0 | 0 | 0 | 1 | 1 | 1 | 1 | |||
f | 0 | 0 | 1 | 1 | 0 | 0 | 1 | 1 | 0 | 0 | 1 | 1 | 0 | 0 | 1 | 1 | |||
e | 0 | 1 | 0 | 1 | 0 | 1 | 0 | 1 | 0 | 1 | 0 | 1 | 0 | 1 | 0 | 1 | |||
a | b | c | d | ||||||||||||||||
0 | x | x | x | 0 | 15 | 22 | 29 | 32 | 39 | 42 | 45 | ||||||||
1 | x | x | 0 | 1 | 16 | 23 | 30 | 46 | 53 | 56 | 59 | ||||||||
x | x | 1 | 2 | 17 | 24 | 31 | 46 | 53 | 56 | 59 | |||||||||
2 | x | 0 | 0 | 3 | 18 | 33 | 40 | 47 | 54 | 60 | 63 | ||||||||
x | 0 | 1 | 4 | 19 | 33 | 40 | 48 | 55 | 60 | 63 | |||||||||
x | 1 | 0 | 5 | 20 | 34 | 41 | 47 | 54 | 60 | 63 | |||||||||
x | 1 | 1 | 6 | 21 | 34 | 41 | 48 | 55 | 60 | 63 | |||||||||
3 | 0 | 0 | 0 | 7 | 25 | 35 | 43 | 49 | 57 | 61 | 64 | ||||||||
0 | 0 | 1 | 8 | 25 | 36 | 43 | 50 | 57 | 62 | 64 | |||||||||
0 | 1 | 0 | 9 | 26 | 35 | 43 | 51 | 58 | 61 | 64 | |||||||||
0 | 1 | 1 | 10 | 26 | 36 | 43 | 52 | 58 | 62 | 64 | |||||||||
1 | 0 | 0 | 11 | 27 | 37 | 44 | 49 | 57 | 61 | 64 | |||||||||
1 | 0 | 1 | 12 | 27 | 38 | 44 | 50 | 57 | 62 | 64 | |||||||||
1 | 1 | 0 | 13 | 28 | 37 | 44 | 51 | 58 | 61 | 64 | |||||||||
1 | 1 | 1 | 14 | 28 | 38 | 44 | 52 | 58 | 62 | 64 | |||||||||
Доступная длина | 1 | 2 | 3 | 4 | 5 | 6 | 7 | 8 | 9 | 10 | 11 | 12 | 13 |
(Шестнадцатеричный) min_p0 | 2000 | 1000 | 800 | 400 | 200 | 100 | 80 | 40 | 20 | 10 | 8 | 4 | 2 |
Доступная длина | 1 | 2 | 3 | 4 | 5 | 6 | 7 | 8 | 9 | 10 | 11 | 12 | 13 |
(Шестнадцатеричный) min_p0 | 2000 | 3000 | 38000 | 3C00 | 3E00 | 3F00 | 3F80 | 3FC0 | 3FE0 | 3FF8 | 3FFC | 3FF | 3FFE |
Размер | Кумулятивные частоты (шестнадцатеричные) | |||
4 | 752 | 3cd | 14d | 0 |
Размер | Кумулятивные частоты (шестнадцатеричные) | |||||||
8 | 112f | de7 | a8b | 7c1 | 47a | 23a | d4 | 0 |
Размер | Кумулятивные частоты (шестнадцатеричные) | |||||||
16 | 1f67 | 1c5f | 18d8 | 1555 | 1215 | eb4 | adc | 742 |
408 | 1e6 | df | 52 | 32 | 23 | c | 0 | |
Размер | Кумулятивные частоты (шестнадцатеричные) | |||||||
16 | 250f | 22b8 | 2053 | 1deb | 1b05 | 186d | 15df | 12d9 |
f77 | c01 | 833 | 50d | 245 | 8c | 33 | 0 | |
Размер | Кумулятивные частоты (шестнадцатеричные) | |||||||
32 | 8a8 | 74e | 639 | 588 | 48c | 3cf | 32e | 272 |
1bc | 13e | e4 | 97 | 69 | 43 | 2f | 29 | |
20 | 1b | 18 | 15 | 12 | f | d | c | |
a | 9 | 7 | 6 | 4 | 3 | 1 | 0 | |
Размер | Кумулятивные частоты (шестнадцатеричные) | |||||||
32 | c2a | 99f | 809 | 6ec | 603 | 53d | 491 | 40e |
394 | 30a | 2a5 | 259 | 202 | 1bc | 170 | 133 | |
102 | c9 | 97 | 73 | 4f | 37 | 22 | 16 | |
f | b | 9 | 7 | 5 | 3 | 1 | 0 | |
Размер | Кумулятивные частоты (шестнадцатеричные) | |||||||
64 | 3b5e | 3a90 | 39d3 | 387c | 3702 | 3566 | 33a7 | 321c |
2f90 | 2cf2 | 29fe | 26fa | 23e4 | 20df | 1e0d | 1ac4 | |
1804 | 159a | 131e | 10e7 | e5b | c9c | b78 | a21 | |
8fd | 7b7 | 6b5 | 62c | 55d | 4f6 | 4d4 | 44b | |
38e | 2e2 | 29d | 236 | 225 | 1f2 | 1cf | 1ad | |
19c | 179 | 168 | 157 | 146 | 135 | 123 | 112 | |
101 | f0 | df | ce | bc | ab | 9a | 89 | |
78 | 67 | 55 | 44 | 33 | 22 | 11 | 0 | |
Размер | Совокупные (шестнадцатеричные) частоты | ||||
5 | 3ef6 | 3b59 | 1b12 | 12a3 | 0 |
Размер | Совокупные (шестнадцатеричные) частоты | ||||||
7 | 3d51 | 33ae | 1cff | fb7 | 7e4 | 22b | 0 |
Размер | Совокупные (шестнадцатеричные) частоты | |||||||
9 | 3a47 | 2aec | 1e05 | 1336 | e7d | 860 | 5e0 | 44a |
0 | ||||||||
Размер | Совокупные (шестнадцатеричные) частоты | |||||||
11 | 36be | 27ae | 20f4 | 1749 | 14d5 | d46 | ad3 | 888 |
519 | 20b | 0 | ||||||
Размер | Совокупные (шестнадцатеричные) частоты | |||||||
13 | 3983 | 2e77 | 2b03 | 1ee8 | 1df9 | 1307 | 11e4 | b4d |
94c | 497 | 445 | 40 | 0 | ||||
Размер | Совокупные (шестнадцатеричные) частоты | |||||||
15 | 306f | 249e | 1f56 | 1843 | 161a | 102d | f6c | c81 |
af2 | 7a8 | 71a | 454 | 413 | 16 | 0 | ||
Размер | Совокупные (шестнадцатеричные) частоты | |||||||
23 | 31af | 2001 | 162d | 127e | f05 | c34 | b8f | a61 |
955 | 825 | 7dd | 6a9 | 688 | 55b | 54b | 2f7 | |
198 | 77 | 10 | c | 8 | 4 | 0 | ||
Размер | Совокупные (шестнадцатеричные) частоты | |||||||
23 | 3ff8 | 3ff0 | 3fe8 | 3fe0 | 3fd7 | 3f31 | 3cd7 | 3bc9 |
3074 | 2bcf | 231b | 13db | d51 | 603 | 44c | 80 | |
30 | 28 | 20 | 18 | 10 | 8 | 0 | ||
Размер | Совокупные (шестнадцатеричные) частоты | |
2 | 2CCD | 0 |
Размер | Совокупные (шестнадцатеричные) частоты | ||
4 | 3666 | 1000 | 666,0 |
Размер | Совокупные (шестнадцатеричные) частоты | |
2 | 2000 | 0 |
Размер | Совокупные (шестнадцатеричные) частоты | |||
4 | 3000 | 2000 | 1000 | 0 |
Значение | Значение вероятности символа, '0' (Шестнадцатеричный) | |||||||
1 | 3900 | 3a00 | 2f00 | 3b00 | 2f00 | 3700 | 2c00 | 3b00 |
3000 | 3600 | 2d00 | 3900 | 2f00 | 3700 | 2c00 | ||
Значение | Значение вероятности символа, '0' (Шестнадцатеричный) | |||||||
1 | 2800 | 2800 | 2500 | 2900 | 2600 | 2700 | 2300 | 2a00 |
2700 | 2800 | 2400 | 2800 | 2500 | 2600 | 2200 | ||
Значение | Декодируемые старшие биты | Значение вероятности символа, '0' (Шестнадцатеричный) | |||||||
2 | Ноль | 3d00 | 3d00 | 3300 | 3d00 | 3300 | 3b00 | 3300 | 3d00 |
3200 | 3b00 | 3100 | 3e00 | 3700 | 3c00 | 3300 | |||
1 | Ноль | 3700 | 3a00 | 2800 | 3b00 | 2600 | 2c00 | 2400 | 3a00 |
2500 | 2b00 | 2400 | 3100 | 2300 | 2900 | 2300 | 3000 | ||
2c00 | 1d00 | 2200 | 1a00 | 1c00 | 1600 | 2700 | 2200 | ||
1a00 | 1d00 | 1900 | 1c00 | 1e00 | 2c00 | 2400 | 1900 | ||
1e00 | 1f00 | 1c00 | 2b00 | 2400 | 2900 | 2700 | 2400 | ||
1300 | 1a00 | 2000 | 1800 | 2300 | 2500 | 1f00 | 2c00 | ||
2300 | 3600 | 2800 | 3100 | 2500 | 1400 | 1200 | 1800 | ||
1400 | 2100 | 2200 | 1000 | 1e00 | 3000 | 2600 | 1200 | ||
2200 | |||||||||
Ненулевой | 3100 | ||||||||
Значение | Декодируемые старшие биты | Значение вероятности символа, '0' (Шестнадцатеричный) | |||||||
2 | Ноль | 3900 | 3a00 | 2e00 | 3a00 | 2f00 | 3400 | 2a00 | 3a00 |
3000 | 3500 | 2c00 | 3600 | 2b00 | 3100 | 2500 | |||
1 | Ноль | 1e00 | 1d00 | 1c00 | 1d00 | 1c00 | 1d00 | 1b00 | 1d00 |
1e00 | 1e00 | 1a00 | 1e00 | 1c00 | 1d00 | 1b00 | 1a00 | ||
1a00 | 1800 | 1800 | 1800 | 1700 | 1700 | 1800 | 1a00 | ||
1700 | 1700 | 1900 | 1800 | 1600 | 1700 | 1600 | 1500 | ||
1700 | 1800 | 1600 | 1c00 | 1700 | 1900 | 1700 | 1500 | ||
1c00 | 1500 | 1600 | 0f00 | 1800 | 1400 | 1700 | 1a00 | ||
1a00 | 1e00 | 1800 | 1c00 | 1b00 | 1500 | 1300 | 1500 | ||
1400 | 1600 | 1500 | 1700 | 1600 | 1b00 | 1800 | 1400 | ||
1400 | |||||||||
Ненулевой | 3600 | ||||||||
Значение | Декодируемые старшие биты | Значение вероятности символа, '0' (Шестнадцатеричный) | |||||||
3 | Ноль | 3d00 | 3d00 | 3200 | 3d00 | 3300 | 3d00 | 3600 | 3d00 |
3500 | 3c00 | 3500 | 3f00 | 3b00 | 3f00 | 3d00 | |||
2 | Ноль | 3c00 | 3d00 | 2b00 | 3d00 | 2900 | 3500 | 2c00 | 3d00 |
2b00 | 3400 | 2b00 | 3800 | 2b00 | 3700 | 2a00 | 3900 | ||
3400 | 2400 | 2a00 | 1c00 | 1f00 | 1600 | 3500 | 2500 | ||
1a00 | 2a00 | 2200 | 2b00 | 2a00 | 3500 | 2600 | 1a00 | ||
2600 | 2500 | 2700 | 3500 | 2d00 | 3800 | 3200 | 2e00 | ||
1800 | 1600 | 2900 | 2500 | 3100 | 2c00 | 2300 | 3600 | ||
3000 | 3c00 | 3300 | 3b00 | 3400 | 1700 | 1a00 | 1c00 | ||
1900 | 2900 | 2a00 | 2400 | 2700 | 3c00 | 3600 | 1d00 | ||
3100 | |||||||||
Ненулевой | 3100 | ||||||||
1 | Ноль | 3400 | 3800 | 2700 | 3900 | 2700 | 2f00 | 2200 | 3800 |
2500 | 2d00 | 2000 | 3300 | 2000 | 2900 | 1e00 | 2b00 | ||
2300 | 1a00 | 1a00 | 1b00 | 1800 | 1700 | 1e00 | 1c00 | ||
1b00 | 1c00 | 1b00 | 1a00 | 1800 | 1d00 | 1b00 | 1800 | ||
1900 | 1b00 | 1a00 | 1d00 | 1e00 | 1f00 | 1b00 | 1e00 | ||
1200 | 1400 | 1a00 | 1300 | 1c00 | 1b00 | 1900 | 2000 | ||
1e00 | 3000 | 2900 | 2d00 | 2500 | 1300 | 1700 | 1400 | ||
1300 | 1e00 | 1f00 | 1100 | 1900 | 2100 | 1e00 | 1500 | ||
1a00 | |||||||||
Ненулевой | 2a00 | 2b00 | 2800 | ||||||
Значение | Декодируемые старшие биты | Значение вероятности символа, '0' (Шестнадцатеричный) | |||||||
3 | Ноль | 3800 | 3a00 | 2d00 | 3a00 | 2d00 | 3600 | 2d00 | 3a00 |
2d00 | 3600 | 2b00 | 3a00 | 2800 | 3600 | 2700 | |||
2 | Ноль | 2b00 | 3000 | 2500 | 2f00 | 2600 | 2d00 | 2400 | 3000 |
2500 | 2b00 | 2400 | 2d00 | 2500 | 2800 | 2500 | 2a00 | ||
2900 | 2300 | 2200 | 1e00 | 1b00 | 1900 | 2600 | 2300 | ||
1f00 | 1d00 | 2200 | 1b00 | 1800 | 2100 | 2100 | 1d00 | ||
1d00 | 1f00 | 1f00 | 2900 | 2600 | 2a00 | 2100 | 2300 | ||
1800 | 1a00 | 1d00 | 2000 | 1c00 | 1a00 | 1e00 | 2900 | ||
2800 | 2f00 | 2300 | 2f00 | 2600 | 1d00 | 1700 | 1d00 | ||
1c00 | 1e00 | 2100 | 1700 | 2200 | 2300 | 2300 | 1400 | ||
1a00 | |||||||||
Ненулевой | 3000 | ||||||||
1 | Ноль | 1900 | 1900 | 1900 | 1b00 | 1700 | 1b00 | 1a00 | 1000 |
1900 | 1600 | 1800 | 1e00 | 1900 | 1a00 | 1700 | 1b00 | ||
1700 | 1500 | 1500 | 1500 | 1700 | 1400 | 1900 | 1700 | ||
1600 | 1600 | 1200 | 1300 | 1200 | 1600 | 1500 | 1500 | ||
1300 | 1600 | 1600 | 1c00 | 1400 | 1700 | 1600 | 1400 | ||
1400 | 1400 | 1500 | 1400 | 1300 | 1300 | 1500 | 1800 | ||
1600 | 1f00 | 1a00 | 1e00 | 1800 | 1700 | 1600 | 1600 | ||
1300 | 1400 | 1300 | 1100 | 1500 | 1600 | 1500 | 1200 | ||
1300 | |||||||||
Ненулевой | 2b00 | 2800 | 2700 | ||||||
Значение | Декодируемые старшие биты | Значение вероятности символа, '0' (Шестнадцатеричный) | |||||||
MCB | Ноль | 3d00 | 3d00 | 3500 | 3e00 | 3500 | 3f00 | 3b00 | 3e00 |
3200 | 3f00 | 3a00 | 3f00 | 3d00 | 3f00 | 3b00 | |||
MCB-1 | Ноль | 3f00 | 3f00 | 3200 | 3f00 | 3500 | 3e00 | 3700 | 3f00 |
2d00 | 3c00 | 3000 | 3f00 | 3700 | 3e00 | 3400 | 3f00 | ||
3900 | 2600 | 2f00 | 1e00 | 2400 | 1500 | 3700 | 3100 | ||
1b00 | 2600 | 2300 | 3a00 | 3900 | 3e00 | 2b00 | 2200 | ||
2800 | 2f00 | 2500 | 3e00 | 3700 | 3e00 | 3d00 | 3900 | ||
1a00 | 3300 | 2500 | 2800 | 3c00 | 3800 | 2c00 | 3d00 | ||
3800 | 3f00 | 3b00 | 3f00 | 3a00 | 1e00 | 1b00 | 1800 | ||
1800 | 3b00 | 3a00 | 1200 | 2f00 | 3f00 | 3b00 | 1b00 | ||
3500 | |||||||||
Ненулевой | 2F00 | ||||||||
MCB-2 | Ноль | 3c00 | 3e00 | 3000 | 3e00 | 3100 | 3a00 | 3100 | 3d00 |
2c00 | 3900 | 2e00 | 3c00 | 2d00 | 3c00 | 3100 | 3d00 | ||
3100 | 2100 | 2c00 | 2600 | 2800 | 1d00 | 2b00 | 2800 | ||
2800 | 2400 | 2200 | 2100 | 2300 | 2d00 | 2500 | 1f00 | ||
2100 | 2b00 | 2700 | 3200 | 2d00 | 3400 | 2a00 | 3500 | ||
1800 | 1800 | 1f00 | 1e00 | 2e00 | 2a00 | 2400 | 3000 | ||
2b00 | 3e00 | 3d00 | 3d00 | 3a00 | 1e00 | 2b00 | 2600 | ||
1900 | 3400 | 3500 | 1c00 | 2600 | 3300 | 2a00 | 1c00 | ||
2b00 | |||||||||
Ненулевой | 2800 | 2900 | 2400 | ||||||
Другие | Ноль | 3500 | 3b00 | 2900 | 3b00 | 2a00 | 3100 | 2700 | 3b00 |
2600 | 2f00 | 2400 | 3400 | 2300 | 2d00 | 2000 | 3300 | ||
2700 | 1c00 | 2400 | 1c00 | 1c00 | 1900 | 2700 | 2800 | ||
1b00 | 1d00 | 2000 | 1b00 | 1a00 | 2300 | 1d00 | 1700 | ||
1e00 | 2400 | 2100 | 2b00 | 2100 | 2800 | 2000 | 2300 | ||
1b00 | 1500 | 1b00 | 1400 | 1a00 | 1a00 | 2000 | 2a00 | ||
2200 | 3700 | 2f00 | 3200 | 2a00 | 1700 | 1700 | 1600 | ||
1900 | 2500 | 2300 | 1500 | 1900 | 2500 | 2200 | 1400 | ||
1b00 | |||||||||
Ненулевой | 2d00 | 2500 | 2300 | 2500 | 2500 | 2600 | 2400 | ||
Значение | Декодируемые старшие биты | Значение вероятности символа, '0' (Шестнадцатеричный) | |||||||
MCB | Ноль | 3b00 | 3c00 | 3400 | 3c00 | 3400 | 3000 | 3b00 | 3c00 |
3200 | 3a00 | 3100 | 3c00 | 3000 | 3900 | 3f00 | |||
MCB-1 | Ноль | 3500 | 3800 | 2c00 | 3900 | 2c00 | 3400 | 2b00 | 3800 |
2e00 | 3400 | 2d00 | 3600 | 2a00 | 3300 | 2800 | 3100 | ||
3100 | 2600 | 2900 | 2000 | 2300 | 2c00 | 2d00 | 2600 | ||
2000 | 2600 | 2300 | 2500 | 2100 | 1f00 | 2400 | 1d00 | ||
2500 | 2400 | 2400 | 3000 | 2800 | 3000 | 2900 | 2200 | ||
1e00 | 1c00 | 2500 | 1d00 | 2300 | 2300 | 2500 | 3300 | ||
2c00 | 3700 | 2b00 | 3400 | 2c00 | 1e00 | 1c00 | 2100 | ||
1b00 | 2900 | 2a00 | 1d00 | 2600 | 3200 | 2a00 | 2000 | ||
2400 | |||||||||
Ненулевой | 3200 | ||||||||
MCB-2 | Ноль | 2900 | 2e00 | 2600 | 2f00 | 2600 | 2d00 | 2600 | 2e00 |
2500 | 2b00 | 2600 | 2f00 | 2300 | 2a00 | 2300 | 2800 | ||
2800 | 2100 | 2400 | 2000 | 2000 | 1b00 | 2400 | 1f00 | ||
1c00 | 2100 | 2200 | 1d00 | 1c00 | 1f00 | 1c00 | 1900 | ||
1e00 | 2100 | 2100 | 2900 | 2200 | 2300 | 2100 | 1c00 | ||
1a00 | 1a00 | 2100 | 2100 | 1c00 | 1c00 | 1f00 | 2700 | ||
2500 | 2d00 | 2700 | 2a00 | 2300 | 1c00 | 1d00 | 1a00 | ||
1a00 | 1b00 | 1d00 | 1800 | 2000 | 2300 | 1f00 | 1900 | ||
1c00 | |||||||||
Ненулевой | 2b00 | 2900 | 2800 | ||||||
Другие | Ноль | 1c00 | 1e00 | 1b00 | 1e00 | 1c00 | 1e00 | 1900 | 1a00 |
1f00 | 1f00 | 1900 | 2000 | 1a00 | 1f00 | 1700 | 1b00 | ||
1a00 | 1900 | 1800 | 1900 | 1800 | 1600 | 1900 | 1a00 | ||
1900 | 1700 | 1800 | 1700 | 1800 | 1600 | 1700 | 1400 | ||
1600 | 1800 | 1a00 | 1c00 | 1c00 | 1c00 | 1700 | 1700 | ||
1500 | 1500 | 1600 | 1600 | 1500 | 1400 | 1700 | 1b00 | ||
1a00 | 2300 | 1c00 | 1d00 | 1a00 | 1600 | 1600 | 1500 | ||
1400 | 1800 | 1500 | 1300 | 1700 | 1900 | 1600 | 1400 | ||
1400 | |||||||||
Ненулевой | 2800 | 2500 | 2500 | 2700 | 2500 | 2600 | 2500 | ||
Значение | Декодируемые старшие биты | Значение вероятности символа, '0' (Шестнадцатеричный) | |||||||
MCB | Ноль | 3d00 | 3e00 | 3300 | 3e00 | 3500 | 3e00 | 3700 | 3e00 |
3400 | 3e00 | 3500 | 3f00 | 3d00 | 3f00 | 3c00 | |||
MCB-1 | Ноль | Таблица вероятности BSAC 7 (Смотри таблицу А.62) | |||||||
Ненулевой | 2e00 | ||||||||
MCB-2 | Ноль | Таблица вероятности BSAC 7 (Смотри таблицу А.62) | |||||||
Ненулевой | 2900 | 2a00 | 2700 | ||||||
MCB-3 | Ноль | Таблица вероятности BSAC 7 (Смотри таблицу А.62) | |||||||
Ненулевой | 2d00 | 2500 | 2400 | 2500 | 2400 | 2500 | 2300 | ||
Другие | Ноль | Таблица вероятности BSAC 7 (Смотри Таблицу А.62) | |||||||
Ненулевой | 2800 | 2500 | 2300 | 2300 | 2200 | 2200 | 2200 | 2200 | |
2200 | 2200 | 2200 | 2100 | 2000 | 2200 | 2100 | 2000 | ||
Значение | Декодируемые старшие биты | Значение вероятности символа, '0' (Шестнадцатеричный) | |||||||
MCB | Ноль | 3b00, | 3c00, | 3400, | 3c00, | 3200, | 3900, | 2e00, | 3d00, |
3400, | 3900, | 2f00, | 3c00, | 2d00, | 3700, | 2d00 | |||
MCB-1 | Ноль | Таблица вероятности BSAC 8 (Смотри таблицу А.63) | |||||||
Ненулевой | 3100 | ||||||||
MCB-2 | Ноль | Таблица вероятности BSAC 8 (Смотри таблицу А.63) | |||||||
Ненулевой | 2b00, | 2a00, | 2900 | ||||||
MCB-3 | Ноль | Таблица вероятности BSAC 8 (Смотри таблицу А.63) | |||||||
Ненулевой | 2700, | 2600, | 2500, | 2500, | 2500, | 2200, | 2200 | ||
другие | Ноль | Таблица вероятности BSAC 8 (Смотри Таблицу А.63) | |||||||
Ненулевой | 2200, | 2300, | 2300, | 2300, | 2200, | 2300, | 2200, | 2300, | |
2200, | 2200, | 2200, | 2200, | 2200, | 2000, | 2100, | 2200 | ||
Наименование таблицы | df_env_flag | df_noise_flag | amp_res | LAV | Примечания |
0 | dc | 0 | 60 | ||
1 | dc | 0 | 60 | ||
0 | dc | 0 | 24 | ||
1 | dc | 0 | 24 | ||
0 | dc | 1 | 31 | ||
1 | dc | 1 | 31 | ||
0 | dc | 1 | 12 | ||
1 | dc | 1 | 12 | ||
dc | 0 | dc | 31 | ||
f_huffman_noise_3_0dB | dc | 1 | dc | 31 | |
dc | 0 | dc | 12 | ||
f_huffman_noise_bal_3_0dB | dc | 1 | dc | 12 | |
Примечание 2 - Таблицы Хаффмана f_huffman_noise_3_0dB и f_huffman_noise_bal_3_0dB являются такими же как f_huffman_env_3_0dB и f_huffman_env_bal_3_0dB, соответственно. | |||||
Индекс | Длина (шестнадцатеричная) | Кодовая комбинация (шестнадцатеричная) |
0 | 0x00000012 | 0x0003FFD6 |
1 | 0x00000012 | 0x0003FFD7 |
2 | 0x00000012 | 0x0003FFD8 |
3 | 0x00000012 | 0x0003FFD9 |
4 | 0x00000012 | 0x0003FFDA |
5 | 0x00000012 | 0x0003FFDB |
6 | 0x00000013 | 0x0007FFB8 |
7 | 0x00000013 | 0x0007FFB9 |
8 | 0x00000013 | 0x0007FFBA |
9 | 0x00000013 | 0x0007FFBB |
10 | 0x00000013 | 0x0007FFBC |
11 | 0x00000013 | 0x0007FFBD |
12 | 0x00000013 | 0x0007FFBE |
13 | 0x00000013 | 0x0007FFBF |
14 | 0x00000013 | 0x0007FFC0 |
15 | 0x00000013 | 0x0007FFC1 |
16 | 0x00000013 | 0x0007FFC2 |
17 | 0x00000013 | 0x0007FFC3 |
18 | 0x00000013 | 0x0007FFC4 |
19 | 0x00000013 | 0x0007FFC5 |
20 | 0x00000013 | 0x0007FFC6 |
21 | 0x00000013 | 0x0007FFC7 |
22 | 0x00000013 | 0x0007FFC8 |
23 | 0x00000013 | 0x0007FFC9 |
24 | 0x00000013 | 0x0007FFCA |
25 | 0x00000013 | 0x0007FFCB |
26 | 0x00000013 | 0x0007FFCC |
27 | 0x00000013 | 0x0007FFCD |
28 | 0x00000013 | 0x0007FFCE |
29 | 0x00000013 | 0x0007FFCF |
30 | 0x00000013 | 0x0007FFD0 |
31 | 0x00000013 | 0x0007FFD1 |
32 | 0x00000013 | 0x0007FFD2 |
33 | 0x00000013 | 0x0007FFD3 |
34 | 0x00000011 | 0x0001FFE6 |
35 | 0x00000012 | 0x0003FFD4 |
36 | 0x00000010 | 0x0000FFF0 |
37 | 0x00000011 | 0x0001FFE9 |
38 | 0x00000012 | 0x0003FFD5 |
39 | 0x00000011 | 0x0001FFE7 |
40 | 0x00000010 | 0x0000FFF1 |
41 | 0x00000010 | 0x0000FFEC |
42 | 0x00000010 | 0x0000FFED |
43 | 0x00000010 | 0x0000FFEE |
44 | 0x0000000F | 0x00007FF4 |
45 | 0x0000000E | 0x00003FF9 |
46 | 0x0000000E | 0x00003FF7 |
47 | 0x0000000D | 0x00001FFA |
48 | 0x0000000D | 0x00001FF9 |
49 | 0x0000000C | 0x00000FFB |
50 | 0x0000000B | 0x000007FC |
51 | 0x0000000A | 0x000003FC |
52 | 0x00000009 | 0x000001FD |
53 | 0x00000008 | 0x000000FD |
54 | 0x00000007 | 0x0000007D |
55 | 0x00000006 | 0x0000003D |
56 | 0x00000005 | 0x0000001D |
57 | 0x00000004 | 0x0000000D |
58 | 0x00000003 | 0x00000005 |
59 | 0x00000002 | 0x00000001 |
60 | 0x00000002 | 0x00000000 |
61 | 0x00000003 | 0x00000004 |
62 | 0x00000004 | 0x0000000C |
63 | 0x00000005 | 0x0000001C |
64 | 0x00000006 | 0x0000003C |
65 | 0x00000007 | 0x0000007C |
66 | 0x00000008 | 0x000000FC |
67 | 0x00000009 | 0x000001FC |
68 | 0x0000000A | 0x000003FD |
69 | 0x0000000C | 0x00000FFA |
70 | 0x0000000D | 0x00001FF8 |
71 | 0x0000000E | 0x00003FF6 |
72 | 0x0000000E | 0x00003FF8 |
73 | 0x0000000F | 0x00007FF5 |
74 | 0x00000010 | 0x0000FFEF |
75 | 0x00000011 | 0x0001FFE8 |
76 | 0x00000010 | 0x0000FFF2 |
77 | 0x00000013 | 0x0007FFD4 |
78 | 0x00000013 | 0x0007FFD5 |
79 | 0x00000013 | 0x0007FFD6 |
80 | 0x00000013 | 0x0007FFD7 |
81 | 0x00000013 | 0x0007FFD8 |
82 | 0x00000013 | 0x0007FFD9 |
83 | 0x00000013 | 0x0007FFDA |
84 | 0x00000013 | 0x0007FFDB |
85 | 0x00000013 | 0x0007FFDC |
86 | 0x00000013 | 0x0007FFDD |
87 | 0x00000013 | 0x0007FFDE |
88 | 0x00000013 | 0x0007FFDF |
89 | 0x00000013 | 0x0007FFE0 |
90 | 0x00000013 | 0x0007FFE1 |
91 | 0x00000013 | 0x0007FFE2 |
92 | 0x00000013 | 0x0007FFE3 |
93 | 0x00000013 | 0x0007FFE4 |
94 | 0x00000013 | 0x0007FFE5 |
95 | 0x00000013 | 0x0007FFE6 |
96 | 0x00000013 | 0x0007FFE7 |
97 | 0x00000013 | 0x0007FFE8 |
98 | 0x00000013 | 0x0007FFE9 |
99 | 0x00000013 | 0x0007FFEA |
100 | 0x00000013 | 0x0007FFEB |
101 | 0x00000013 | 0x0007FFEC |
102 | 0x00000013 | 0x0007FFED |
103 | 0x00000013 | 0x0007FFEE |
104 | 0x00000013 | 0x0007FFEF |
105 | 0x00000013 | 0x0007FFF0 |
106 | 0x00000013 | 0x0007FFF1 |
107 | 0x00000013 | 0x0007FFF2 |
108 | 0x00000013 | 0x0007FFF3 |
109 | 0x00000013 | 0x0007FFF4 |
110 | 0x00000013 | 0x0007FFF5 |
111 | 0x00000013 | 0x0007FFF6 |
112 | 0x00000013 | 0x0007FFF7 |
113 | 0x00000013 | 0x0007FFF8 |
114 | 0x00000013 | 0x0007FFF9 |
115 | 0x00000013 | 0x0007FFFA |
116 | 0x00000013 | 0x0007FFFB |
117 | 0x00000013 | 0x0007FFFC |
118 | 0x00000013 | 0x0007FFFD |
119 | 0x00000013 | 0x0007FFFE |
120 | 0x00000013 | 0x0007FFFF |
Индекс | Длина (шестнадцатеричная) | Кодовая комбинация (шестнадцатеричная) |
0 | 0x00000013 | 0x0007FFE7 |
1 | 0x00000013 | 0x0007FFE8 |
2 | 0x00000014 | 0x000FFFD2 |
3 | 0x00000014 | 0x000FFFD3 |
4 | 0x00000014 | 0x000FFFD4 |
5 | 0x00000014 | 0x000FFFD5 |
6 | 0x00000014 | 0x000FFFD6 |
7 | 0x00000014 | 0x000FFFD7 |
8 | 0x00000014 | 0x000FFFD8 |
9 | 0x00000013 | 0x0007FFDA |
10 | 0x00000014 | 0x000FFFD9 |
11 | 0x00000014 | 0x000FFFDA |
12 | 0x00000014 | 0x000FFFDB |
13 | 0x00000014 | 0x000FFFDC |
14 | 0x00000013 | 0x0007FFDB |
15 | 0x00000014 | 0x000FFFDD |
16 | 0x00000013 | 0x0007FFDC |
17 | 0x00000013 | 0x0007FFDD |
18 | 0x00000014 | 0x000FFFDE |
19 | 0x00000012 | 0x0003FFE4 |
20 | 0x00000014 | 0x000FFFDF |
21 | 0x00000014 | 0x000FFFE0 |
22 | 0x00000014 | 0x000FFFE1 |
23 | 0x00000013 | 0x0007FFDE |
24 | 0x00000014 | 0x000FFFE2 |
25 | 0x00000014 | 0x000FFFE3 |
26 | 0x00000014 | 0x000FFFE4 |
27 | 0x00000013 | 0x0007FFDF |
28 | 0x00000014 | 0x000FFFE5 |
29 | 0x00000013 | 0x0007FFE0 |
30 | 0x00000012 | 0x0003FFE8 |
31 | 0x00000013 | 0x0003FFE1 |
32 | 0x00000012 | 0x0003EEE0 |
33 | 0x00000012 | 0x0003FFE9 |
34 | 0x00000011 | 0x0001FFEF |
35 | 0x00000012 | 0x0003FFE5 |
36 | 0x00000011 | 0x0001FFEC |
37 | 0x00000011 | 0x0001FFED |
38 | 0x00000011 | 0x0001FFEE |
39 | 0x00000010 | 0x0000FFF4 |
40 | 0x00000010 | 0x0000FFF3 |
41 | 0x00000010 | 0x0000FFF0 |
42 | 0x0000000F | 0x00007FF7 |
43 | 0x0000000F | 0x00007FF6 |
44 | 0x0000000E | 0x00003FFA |
45 | 0x0000000D | 0x00001FFA |
46 | 0x0000000D | 0x00001FF9 |
47 | 0x0000000C | 0x00000FFA |
48 | 0x0000000C | 0x00000FF8 |
49 | 0x0000000B | 0x000007F9 |
50 | 0x0000000A | 0x000003FB |
51 | 0x00000009 | 0x000001FC |
52 | 0x00000009 | 0x000001FA |
53 | 0x00000008 | 0x000000FB |
54 | 0x00000007 | 0x0000007C |
55 | 0x00000006 | 0x0000003C |
56 | 0x00000005 | 0x0000001C |
57 | 0x00000004 | 0x0000000C |
58 | 0x00000003 | 0x00000005 |
59 | 0x00000002 | 0x00000001 |
60 | 0x00000002 | 0x00000000 |
61 | 0x00000003 | 0x00000004 |
62 | 0x00000004 | 0x0000000D |
63 | 0x00000005 | 0x0000001D |
64 | 0x00000006 | 0x0000003D |
65 | 0x00000008 | 0x000000FA |
66 | 0x00000008 | 0x000000FC |
67 | 0x00000009 | 0x000001FB |
68 | 0x0000000A | 0x000003FA |
69 | 0x0000000B | 0x000007F8 |
70 | 0x0000000B | 0x000007FA |
71 | 0x0000000B | 0x000007FB |
72 | 0x0000000C | 0x00000FF9 |
73 | 0x0000000C | 0x00000FFB |
74 | 0x0000000D | 0x00001FF8 |
75 | 0x0000000D | 0x00001FFB |
76 | 0x0000000E | 0x00003FF8 |
77 | 0x0000000E | 0x00003FF9 |
78 | 0x00000010 | 0x0000FFF1 |
79 | 0x00000010 | 0x0000FFF2 |
80 | 0x00000011 | 0x0001FFEA |
81 | 0x00000011 | 0x0001FFEB |
82 | 0x00000012 | 0x0003FFE1 |
83 | 0x00000012 | 0x0003FFE2 |
84 | 0x00000012 | 0x0003FFEA |
85 | 0x00000012 | 0x0003FFE3 |
86 | 0x00000012 | 0x0003FFE6 |
87 | 0x00000012 | 0x0003FFE7 |
88 | 0x00000012 | 0x0003FFEB |
89 | 0x00000014 | 0x000FFFE6 |
90 | 0x00000013 | 0x0007FFE2 |
91 | 0x00000014 | 0x000FFFE7 |
92 | 0x00000014 | 0x000FFFE8 |
93 | 0x00000014 | 0x000FFFE9 |
94 | 0x00000014 | 0x000FFFEA |
95 | 0x00000014 | 0x000FFFEB |
96 | 0x00000014 | 0x000FFFEC |
97 | 0x00000013 | 0x0007FFE3 |
98 | 0x00000014 | 0x000FFFED |
99 | 0x00000014 | 0x000FFFEE |
100 | 0x00000014 | 0x000FFFEF |
101 | 0x00000014 | 0x000FFFE0 |
102 | 0x00000013 | 0x0007FFE4 |
103 | 0x00000014 | 0x000FFFE1 |
104 | 0x00000012 | 0x0003FFEC |
105 | 0x00000014 | 0x000FFFF2 |
106 | 0x00000014 | 0x000FFFF3 |
107 | 0x00000013 | 0x0007FFE5 |
108 | 0x00000013 | 0x0007FFE6 |
109 | 0x00000014 | 0x000FFFF4 |
110 | 0x00000014 | 0x000FFFF5 |
111 | 0x00000014 | 0x000FFFF6 |
112 | 0x00000014 | 0x000FFFF7 |
113 | 0x00000014 | 0x000FFFF8 |
114 | 0x00000014 | 0x000FFFF9 |
115 | 0x00000014 | 0x000FFFFA |
116 | 0x00000014 | 0x000FFFFB |
117 | 0x00000014 | 0x000FFFFC |
118 | 0x00000014 | 0x000FFFFD |
119 | 0x00000014 | 0x000FFFFE |
120 | 0x00000014 | 0x000FFFFF |
Индекс | Длина (шестнадцатеричная) | Кодовая комбинация (шестнадцатеричная) |
0 | 0x00000010 | 0x0000FFE4 |
1 | 0x00000010 | 0x0000FFE5 |
2 | 0x00000010 | 0x0000FFE6 |
3 | 0x00000010 | 0x0000FFE7 |
4 | 0x00000010 | 0x0000FFE8 |
5 | 0x00000010 | 0x0000FFE9 |
6 | 0x00000010 | 0x0000FFEA |
7 | 0x00000010 | 0x0000FFEB |
8 | 0x00000010 | 0x0000FFEC |
9 | 0x00000010 | 0x0000FFED |
10 | 0x00000010 | 0x0000FFEE |
11 | 0x00000010 | 0x0000FFEF |
12 | 0x00000010 | 0x0000FFF0 |
13 | 0x00000010 | 0x0000FFF1 |
14 | 0x00000010 | 0x0000FFF2 |
15 | 0x00000010 | 0x0000FFF3 |
16 | 0x00000010 | 0x0000FFF4 |
17 | 0x00000010 | 0x0000FFE2 |
18 | 0x0000000C | 0x00000FFC |
19 | 0x0000000B | 0x000007FC |
20 | 0x00000009 | 0x000001FE |
21 | 0x00000007 | 0x0000007E |
22 | 0x00000005 | 0x0000001E |
23 | 0x00000003 | 0x00000006 |
24 | 0x00000001 | 0x00000000 |
25 | 0x00000002 | 0x00000002 |
26 | 0x00000004 | 0x0000000E |
27 | 0x00000006 | 0x0000003E |
28 | 0x00000008 | 0x000000FE |
29 | 0x0000000B | 0x000007FD |
30 | 0x0000000C | 0x00000FFD |
31 | 0x0000000F | 0x00007FF0 |
32 | 0x00000010 | 0x0000FFE3 |
33 | 0x00000010 | 0x0000FFF5 |
34 | 0x00000010 | 0x0000FFF6 |
35 | 0x00000010 | 0x0000FFF7 |
36 | 0x00000010 | 0x0000FFF8 |
37 | 0x00000010 | 0x0000FFF9 |
38 | 0x00000010 | 0x0000FFEA |
39 | 0x00000011 | 0x0001FFF6 |
40 | 0x00000011 | 0x0001FFF7 |
41 | 0x00000011 | 0x0001FFF8 |
42 | 0x00000011 | 0x0001FFF9 |
43 | 0x00000011 | 0x0001FFFA |
44 | 0x00000011 | 0x0001FFFB |
45 | 0x00000011 | 0x0001FFFC |
46 | 0x00000011 | 0x0001FFFD |
47 | 0x00000011 | 0x0001FFFE |
48 | 0x00000011 | 0x0001FFFF |
Индекс | Длина (шестнадцатеричная) | Кодовая комбинация (шестнадцатеричная) |
0 | 0x00000012 | 0x0003FFE2 |
1 | 0x00000012 | 0x0003EFE3 |
2 | 0x00000012 | 0x0003FFE4 |
3 | 0x00000012 | 0x0003FFE5 |
4 | 0x00000012 | 0x0003FFE6 |
5 | 0x00000012 | 0x0003FFE7 |
6 | 0x00000012 | 0x0003FFE8 |
7 | 0x00000012 | 0x0003FFE9 |
8 | 0x00000012 | 0x0003FFEA |
9 | 0x00000012 | 0x0003FFEB |
10 | 0x00000012 | 0x0003FFEC |
11 | 0x00000012 | 0x0003FFED |
12 | 0x00000012 | 0x0003FFEE |
13 | 0x00000012 | 0x0003FFEF |
14 | 0x00000012 | 0x0003FFF0 |
15 | 0x00000010 | 0x0000FFF7 |
16 | 0x00000011 | 0x0001FFF0 |
17 | 0x0000000E | 0x00003FFC |
18 | 0x0000000B | 0x000007FE |
19 | 0x0000000B | 0x000007FC |
20 | 0x00000008 | 0x000000FE |
21 | 0x00000007 | 0x0000007E |
22 | 0x00000004 | 0x0000000E |
23 | 0x00000002 | 0x00000002 |
24 | 0x00000001 | 0x00000000 |
25 | 0x00000003 | 0x00000006 |
26 | 0x00000005 | 0x0000001E |
27 | 0x00000006 | 0x0000003E |
28 | 0x00000009 | 0x000001FE |
29 | 0x0000000B | 0x000007FD |
30 | 0x0000000C | 0x00000FFE |
31 | 0x0000000F | 0x00007FFA |
32 | 0x00000010 | 0x0000FFF6 |
33 | 0x00000012 | 0x0003FFF1 |
34 | 0x00000012 | 0x0003FFF2 |
35 | 0x00000012 | 0x0003FFF3 |
36 | 0x00000012 | 0x0003FFF4 |
37 | 0x00000012 | 0x0003FFF5 |
38 | 0x00000012 | 0x0003FFF6 |
39 | 0x00000012 | 0x0003FFF7 |
40 | 0x00000012 | 0x0003FFF8 |
41 | 0x00000012 | 0x0003FFF9 |
42 | 0x00000012 | 0x0003FFFA |
43 | 0x00000012 | 0x0003FFFB |
44 | 0x00000012 | 0x0003FFFC |
45 | 0x00000012 | 0x0003FFFD |
46 | 0x00000012 | 0x0003FFFE |
47 | 0x00000013 | 0x0007FFFE |
48 | 0x00000013 | 0x0007FFFF |
Индекс | Длина (шестнадцатеричная) | Кодовая комбинация (шестнадцатеричная) |
0 | 0x00000012 | 0x0003FFED |
1 | 0x00000012 | 0x0003FFEE |
2 | 0x00000013 | 0x0007FFDE |
3 | 0x00000013 | 0x0007FFDF |
4 | 0x00000013 | 0x0007FFE0 |
5 | 0x00000013 | 0x0007FFE1 |
6 | 0x00000013 | 0x0007FFE2 |
7 | 0x00000013 | 0x0007FFE3 |
8 | 0x00000013 | 0x0007FFE4 |
9 | 0x00000013 | 0x0007FFE5 |
10 | 0x00000013 | 0x0007FFE6 |
11 | 0x00000013 | 0x0007FFE7 |
12 | 0x00000013 | 0x0007FFE8 |
13 | 0x00000013 | 0x0007FFE9 |
14 | 0x00000013 | 0x0007FFEA |
15 | 0x00000013 | 0x0007FFEB |
16 | 0x00000013 | 0x0007FFEC |
17 | 0x00000011 | 0x0001FFF4 |
18 | 0x00000010 | 0x0000FFF7 |
19 | 0x00000010 | 0x0000FFF9 |
20 | 0x00000010 | 0x0000FFF8 |
21 | 0x0000000E | 0x00003FFB |
22 | 0x0000000E | 0x00003FFA |
23 | 0x0000000E | 0x00003FF8 |
24 | 0x0000000D | 0x00001FFA |
25 | 0x0000000C | 0x00000FFC |
26 | 0x0000000B | 0x000007FC |
27 | 0x00000008 | 0x000000FE |
28 | 0x00000006 | 0x0000003E |
29 | 0x00000004 | 0x0000000E |
30 | 0x00000002 | 0x00000002 |
31 | 0x00000001 | 0x00000000 |
32 | 0x00000003 | 0x00000006 |
33 | 0x00000005 | 0x0000001E |
34 | 0x00000007 | 0x0000007E |
35 | 0x00000009 | 0x000001FE |
36 | 0x0000000B | 0x000007FD |
37 | 0x0000000D | 0x00001FFB |
38 | 0x0000000E | 0x00003FF9 |
39 | 0x0000000E | 0x00003FFC |
40 | 0x0000000F | 0x00007FFA |
41 | 0x00000010 | 0x0000FFF6 |
42 | 0x00000011 | 0x0001FFF5 |
43 | 0x00000012 | 0x0003FFEC |
44 | 0x00000013 | 0x0007FFED |
45 | 0x00000013 | 0x0007FFEE |
46 | 0x00000013 | 0x0007FFEF |
47 | 0x00000013 | 0x0007FFF0 |
48 | 0x00000013 | 0x0007FFF1 |
49 | 0x00000013 | 0x0007FFF2 |
50 | 0x00000013 | 0x0007FFF3 |
51 | 0x00000013 | 0x0007FFF4 |
52 | 0x00000013 | 0x0007FFF5 |
53 | 0x00000013 | 0x0007FFF6 |
54 | 0x00000013 | 0x0007FFF7 |
55 | 0x00000013 | 0x0007FFF8 |
56 | 0x00000013 | 0x0007FFF9 |
57 | 0x00000013 | 0x0007FFFA |
58 | 0x00000013 | 0x0007FFFB |
59 | 0x00000013 | 0x0007FFFC |
60 | 0x00000013 | 0x0007FFFD |
61 | 0x00000013 | 0x0007FFFE |
62 | 0x00000013 | 0x0007FFFF |
0x00000003 | 0x00000006 |
Индекс | Длина (шестнадцатеричная) | Кодовая комбинация (шестнадцатеричная) |
0 | 0x00000014 | 0x000FFFF0 |
1 | 0x00000014 | 0x000FFFF1 |
2 | 0x00000014 | 0x000FFFF2 |
3 | 0x00000014 | 0x000FFFF3 |
4 | 0x00000014 | 0x000FFFF4 |
5 | 0x00000014 | 0x000FFFF5 |
6 | 0x00000014 | 0x000FFFF6 |
7 | 0x00000012 | 0x0003FFF3 |
8 | 0x00000013 | 0x0007FFF5 |
9 | 0x00000013 | 0x0007FFEE |
10 | 0x00000013 | 0x0007FFEF |
11 | 0x00000013 | 0x0007FFF6 |
12 | 0x00000012 | 0x0003FFF4 |
13 | 0x00000012 | 0x0003FFF2 |
14 | 0x00000014 | 0x000FFFF7 |
15 | 0x00000013 | 0x0007FFF0 |
16 | 0x00000011 | 0x0001FFF5 |
17 | 0x00000012 | 0x0003FFF0 |
18 | 0x00000011 | 0x0001FFF4 |
19 | 0x00000010 | 0x0000FFF7 |
20 | 0x00000010 | 0x0000FFF6 |
21 | 0x0000000F | 0x00007FF8 |
22 | 0x0000000E | 0x00003FFB |
23 | 0x0000000C | 0x00000FFD |
24 | 0x0000000B | 0x000007FD |
25 | 0x0000000A | 0x000003FD |
26 | 0x00000009 | 0x000001FD |
27 | 0x00000008 | 0x000000FD |
28 | 0x00000006 | 0x0000003E |
29 | 0x00000004 | 0x0000000E |
30 | 0x00000002 | 0x00000002 |
31 | 0x00000001 | 0x00000000 |
32 | 0x00000003 | 0x00000006 |
33 | 0x00000005 | 0x0000001E |
34 | 0x00000008 | 0x000000FC |
35 | 0x00000009 | 0x000001FC |
36 | 0x0000000A | 0x000003FC |
37 | 0x0000000B | 0x000007FC |
38 | 0x0000000C | 0x00000FFC |
39 | 0x0000000D | 0x00001FFC |
40 | 0x0000000E | 0x00003FFA |
41 | 0x0000000F | 0x00007FF9 |
42 | 0x0000000F | 0x00007FFA |
43 | 0x00000010 | 0x0000FFF8 |
44 | 0x00000010 | 0x0000FFF9 |
45 | 0x00000011 | 0x0001FFF6 |
46 | 0x00000011 | 0x0001FFF7 |
47 | 0x00000012 | 0x0003FFF5 |
48 | 0x00000012 | 0x0003FFF6 |
49 | 0x00000012 | 0x0003FFF1 |
50 | 0x00000014 | 0x000FFFF8 |
51 | 0x00000013 | 0x0007FFF1 |
52 | 0x00000013 | 0x0007FFF2 |
53 | 0x00000013 | 0x0007FFF3 |
54 | 0x00000014 | 0x000FFFF9 |
55 | 0x00000013 | 0x0007FFF7 |
56 | 0x00000013 | 0x0007FFF4 |
57 | 0x00000014 | 0x000FFFFA |
58 | 0x00000014 | 0x000FFFFB |
59 | 0x00000014 | 0x000FFFFC |
60 | 0x00000014 | 0x000FFFFD |
61 | 0x00000014 | 0x000FFFFE |
62 | 0x00000014 | 0x000FFFFF |
Индекс | Длина (шестнадцатеричная) | Кодовая комбинация (шестнадцатеричная) | ||||
0 | 0x0000000D | 0x00001FF2 | ||||
1 | 0x0000000D | 0x00001FF3 | ||||
2 | 0x0000000D | 0x00001FF4 | ||||
3 | 0x0000000D | 0x00001FF5 | ||||
4 | 0x0000000D | 0x00001FF6 | ||||
5 | 0x0000000D | 0x00001FF7 | ||||
6 | 0x0000000D | 0x00001FF8 | ||||
7 | 0x0000000C | 0x00000FF8 | ||||
8 | 0x00000008 | 0x000000FE | ||||
9 | 0x00000007 | 0x0000007E | ||||
10 | 0x00000004 | 0x0000000E | ||||
11 | 0x00000003 | 0x00000006 | ||||
12 | 0x00000001 | 0x00000000 | ||||
| ||||||
32 | 0x00000002 | 0x00000002 | ||||
33 | 0x00000005 | 0x0000001E | ||||
34 | 0x00000006 | 0x0000003E | ||||
35 | 0x00000009 | 0x000001FE | ||||
36 | 0x0000000D | 0x00001FF9 | ||||
37 | 0x0000000D | 0x00001FFA | ||||
38 | 0x0000000D | 0x00001FFB | ||||
39 | 0x0000000D | 0x00001FFC | ||||
40 | 0x0000000D | 0x00001FFD | ||||
41 | 0x0000000D | 0x00001FFE | ||||
42 | 0x0000000E | 0x00003FFE | ||||
43 | 0x0000000E | 0x00003FFF | ||||
44 | ||||||
Индекс | Длина (шестнадцатеричная) | Кодовая комбинация (шестнадцатеричная) | ||||
0 | 0x0000000D | 0x00001FF7 | ||||
1 | 0x0000000D | 0x00001FF8 | ||||
2 | 0x0000000D | 0x00001FF9 | ||||
3 | 0x0000000D | 0x00001FFA | ||||
4 | 0x0000000D | 0x00001FFB | ||||
5 | 0x0000000E | 0x00003FF8 | ||||
6 | 0x0000000E | 0x00003FF9 | ||||
7 | 0x0000000B | 0x000007FC | ||||
8 | 0x00000008 | 0x000000FE | ||||
9 | 0x00000007 | 0x0000007E | ||||
10 | 0x00000004 | 0x0000000E | ||||
11 | 0x00000002 | 0x00000002 | ||||
12 | 0x00000001 | 0x00000000 | ||||
| ||||||
32 | 0x00000003 | 0x00000006 | ||||
33 | 0x00000005 | 0x0000001E | ||||
34 | 0x00000006 | 0x0000003E | ||||
35 | 0x00000009 | 0x000001FE | ||||
36 | 0x0000000C | 0x00000FFA | ||||
37 | 0x0000000D | 0x00001FF6 | ||||
38 | 0x0000000E | 0x00003FFA | ||||
39 | 0x0000000E | 0x00003FFB | ||||
40 | 0x0000000E | 0x00003FFC | ||||
41 | 0x0000000E | 0x00003FFD | ||||
42 | 0x0000000E | 0x00003FFE | ||||
43 | 0x0000000E | 0x00003FFF | ||||
44 | ||||||
Индекс | Длина (шестнадцатеричная) | Кодовая комбинация (шестнадцатеричная) |
0 | 0x0000000D | 0x00001FCE |
1 | 0x0000000D | 0x00001FCF |
2 | 0x0000000D | 0x00001FD0 |
3 | 0x0000000D | 0x00001FD1 |
4 | 0x0000000D | 0x00001FD2 |
5 | 0x0000000D | 0x00001FD3 |
6 | 0x0000000D | 0x00001FD4 |
7 | 0x0000000D | 0x00001FD5 |
8 | 0x0000000D | 0x00001FD6 |
9 | 0x0000000D | 0x00001FD7 |
10 | 0x0000000D | 0x00001FD8 |
11 | 0x0000000D | 0x00001FD9 |
12 | 0x0000000D | 0x00001FDA |
13 | 0x0000000D | 0x00001FDB |
14 | 0x0000000D | 0x00001FDC |
15 | 0x0000000D | 0x00001FDD |
16 | 0x0000000D | 0x00001FDE |
17 | 0x0000000D | 0x00001FDF |
18 | 0x0000000D | 0x00001FE0 |
19 | 0x0000000D | 0x00001FE1 |
20 | 0x0000000D | 0x00001FE2 |
21 | 0x0000000D | 0x00001FE3 |
22 | 0x0000000D | 0x00001FE4 |
23 | 0x0000000D | 0x00001FE5 |
24 | 0x0000000D | 0x00001FE6 |
25 | 0x0000000D | 0x00001FE7 |
26 | 0x0000000D | 0x000007F2 |
27 | 0x00000008 | 0x000000FD |
28 | 0x00000006 | 0x0000003E |
29 | 0x00000004 | 0x0000000E |
30 | 0x00000003 | 0x00000006 |
31 | 0x00000001 | 0x00000000 |
32 | 0x00000002 | 0x00000002 |
33 | 0x00000005 | 0x0000001E |
34 | 0x00000008 | 0x000000FC |
35 | 0x0000000A | 0x000003F8 |
36 | 0x0000000D | 0x00001FCC |
37 | 0x0000000D | 0x00001FE8 |
38 | 0x0000000D | 0x00001FE9 |
39 | 0x0000000D | 0x00001FEA |
40 | 0x0000000D | 0x00001FEB |
41 | 0x0000000D | 0x00001FEC |
42 | 0x0000000D | 0x00001FCD |
43 | 0x0000000D | 0x00001FED |
44 | 0x0000000D | 0x00001FEE |
45 | 0x0000000D | 0x00001FEF |
46 | 0x0000000D | 0x00001FF0 |
47 | 0x0000000D | 0x00001FF1 |
48 | 0x0000000D | 0x00001FF2 |
49 | 0x0000000D | 0x00001FF3 |
50 | 0x0000000D | 0x00001FF4 |
51 | 0x0000000D | 0x00001FF5 |
52 | 0x0000000D | 0x00001FF6 |
53 | 0x0000000D | 0x00001FF7 |
54 | 0x0000000D | 0x00001FF8 |
55 | 0x0000000D | 0x00001FF9 |
56 | 0x0000000D | 0x00001FFA |
57 | 0x0000000D | 0x00001FFB |
58 | 0x0000000D | 0x00001FFC |
59 | 0x0000000D | 0x00001FFD |
60 | 0x0000000D | 0x00001FFE |
61 | 0x0000000E | 0x00003FFE |
62 | 0x0000000E | 0x00003FFF |
Индекс | Длина (шестнадцатеричная) | Кодовая комбинация (шестнадцатеричная) | ||||
0 | 0x00000008 | 0x000000EC | ||||
1 | 0x00000008 | 0x000000ED | ||||
2 | 0x00000008 | 0x000000EE | ||||
3 | 0x00000008 | 0x000000EF | ||||
4 | 0x00000008 | 0x000000F0 | ||||
5 | 0x00000008 | 0x000000F1 | ||||
6 | 0x00000008 | 0x000000F2 | ||||
7 | 0x00000008 | 0x000000F3 | ||||
8 | 0x00000008 | 0x000000F4 | ||||
9 | 0x00000008 | 0x000000F5 | ||||
10 | 0x00000005 | 0x0000001C | ||||
11 | 0x00000002 | 0x00000002 | ||||
12 | 0x00000001 | 0x00000000 | ||||
| ||||||
32 | 0x00000003 | 0x00000006 | ||||
33 | 0x00000006 | 0x0000003A | ||||
34 | 0x00000008 | 0x000000F6 | ||||
35 | 0x00000008 | 0x000000F7 | ||||
36 | 0x00000008 | 0x000000F8 | ||||
37 | 0x00000008 | 0x000000F9 | ||||
38 | 0x00000008 | 0x000000FA | ||||
39 | 0x00000008 | 0x000000FB | ||||
40 | 0x00000008 | 0x000000FC | ||||
41 | 0x00000008 | 0x000000FD | ||||
42 | 0x00000008 | 0x000000FE | ||||
43 | 0x00000008 | 0x000000FF | ||||
44 | ||||||
i | c[i] |
0 | 0,0000000000 |
1 | -0,0005525286 |
2 | -0,0005617692 |
3 | -0,0004947518 |
4 | -0,0004875227 |
5 | -0,0004893791 |
6 | -0,0005040714 |
7 | -0,0005226564 |
8 | -0,0005466565 |
9 | -0,0005677802 |
10 | -0,0005870930 |
11 | -0,0006132747 |
12 | -0,0006312493 |
13 | -0,0006540333 |
14 | -0,0006777690 |
15 | -0,0006941614 |
16 | -0,0007157736 |
17 | -0,0007255043 |
18 | -0,0007440941 |
19 | -0,0007490598 |
20 | -0,0007681371 |
21 | -0,0007724848 |
22 | -0,0007834332 |
23 | -0,0007779869 |
24 | -0,0007803664 |
25 | -0,0007801449 |
26 | -0,0007757977 |
27 | -0,0007630793 |
28 | -0,0007530001 |
29 | -0,0007319357 |
30 | -0,0007215391 |
31 | -0,0006917937 |
32 | -0,0006650415 |
33 | -0,0006341594 |
34 | -0,0005946118 |
35 | -0,0005564576 |
36 | -0,0005145572 |
37 | -0,0004606325 |
38 | -0,0004095121 |
39 | -0,0003501175 |
40 | -0,0002896981 |
41 | -0,0002098337 |
42 | -0,0001446380 |
43 | -0,0000617334 |
44 | 0,0000134949 |
45 | 0,0001094383 |
46 | 0,0002043017 |
47 | 0,0002949531 |
48 | 0,0004026540 |
49 | 0,0005107388 |
50 | 0,0006239376 |
51 | 0,0007458025 |
52 | 0,0008608443 |
53 | 0,0009885988 |
54 | 0,0011250155 |
55 | 0,0012577884 |
56 | 0,0013902494 |
57 | 0,0015443219 |
58 | 0,0016868083 |
59 | 0,0018348265 |
60 | 0,0019841140 |
61 | 0,0021461583 |
62 | 0,0023017254 |
63 | 0,0024625616 |
64 | 0,0026201758 |
65 | 0,0027870464 |
66 | 0,0029469447 |
67 | 0,0031125420 |
68 | 0,0032739613 |
69 | 0,0034418874 |
70 | 0,0036008268 |
71 | 0,0037603922 |
72 | 0,0039207432 |
73 | 0,0040819753 |
74 | 0,0042264269 |
75 | 0,0043730719 |
76 | 0,0045209852 |
77 | 0,0046606460 |
78 | 0,0047932560 |
79 | 0,0049137603 |
80 | 0,0050393022 |
81 | 0,0051407353 |
82 | 0,0052461166 |
83 | 0,0053471681 |
84 | 0,0054196775 |
85 | 0,0054876040 |
86 | 0,0055475714 |
87 | 0,0055938023 |
88 | 0,0056220643 |
89 | 0,0056455196 |
90 | 0,0056389199 |
91 | 0,0056266114 |
92 | 0,0055917128 |
93 | 0,0055404363 |
94 | 0,0054753783 |
95 | 0,0053838975 |
96 | 0,0052715758 |
97 | 0,0051382275 |
98 | 0,0049839687 |
99 | 0,0048109469 |
100 | 0,0046039530 |
101 | 0,0043801861 |
102 | 0,0041251642 |
103 | 0,0038456408 |
104 | 0,0035401246 |
105 | 0,0032091885 |
106 | 0,0028446757 |
107 | 0,0024508540 |
108 | 0,0020274176 |
109 | 0,0015784682 |
110 | 0,0010902329 |
111 | 0,0005832264 |
112 | 0,0000276045 |
113 | -0,0005464280 |
114 | -0,0011568135 |
115 | -0,0018039472 |
116 | -0,0024826723 |
117 | -0,0031933778 |
118 | -0,0039401124 |
119 | -0,0047222596 |
120 | -0,0055337211 |
121 | -0,0063792293 |
122 | -0,0072615816 |
123 | -0,0081798233 |
124 | -0,0091325329 |
125 | -0,0101150215 |
126 | -0,0111315548 |
127 | -0,0121849995 |
128 | 0,0132718220 |
129 | 0,0143904666 |
130 | 0,0155405553 |
131 | 0,0167324712 |
132 | 0,0179433381 |
133 | 0,0191872431 |
134 | 0,0204531793 |
135 | 0,0217467550 |
136 | 0,0230680169 |
137 | 0,0244160992 |
138 | 0,0257875847 |
139 | 0,0271859429 |
140 | 0,0286072173 |
141 | 0,0300502657 |
142 | 0,0315017608 |
143 | 0,0329754081 |
144 | 0,0344620948 |
145 | 0,0359697560 |
146 | 0,0374812850 |
147 | 0,0390053679 |
148 | 0,0405349170 |
149 | 0,0420649094 |
150 | 0,0436097542 |
151 | 0,0451488405 |
152 | 0,0466843027 |
153 | 0,0482165720 |
154 | 0,0497385755 |
155 | 0,0512556155 |
156 | 0,0527630746 |
157 | 0,0542452768 |
158 | 0,0557173648 |
159 | 0,0571616450 |
160 | 0,0585915683 |
161 | 0,0599837480 |
162 | 0,0613455171 |
163 | 0,0626857808 |
164 | 0,0639715898 |
165 | 0,0652247106 |
166 | 0,0664367512 |
167 | 0,0676075985 |
168 | 0,0687043828 |
169 | 0,0697630244 |
170 | 0,0707628710 |
171 | 0,0717002673 |
172 | 0,0725682583 |
173 | 0,0733620255 |
174 | 0,0741003642 |
175 | 0,0747452558 |
176 | 0,0753137336 |
177 | 0,0758008358 |
178 | 0,0761992479 |
179 | 0,0764992170 |
180 | 0,0767093490 |
181 | 0,0768173975 |
182 | 0,0768230011 |
183 | 0,0767204924 |
184 | 0,0765050718 |
185 | 0,0761748321 |
186 | 0,0757305756 |
187 | 0,0751576255 |
188 | 0,0744664394 |
189 | 0,0736406005 |
190 | 0,0726774642 |
191 | 0,0715826364 |
192 | 0,0703533073 |
193 | 0,0689664013 |
194 | 0,0674525021 |
195 | 0,0657690668 |
196 | 0,0639444805 |
197 | 0,0619602779 |
198 | 0,0598166570 |
199 | 0,0575152691 |
200 | 0,0550460034 |
201 | 0,0524093821 |
202 | 0,0495978676 |
203 | 0,0466303305 |
204 | 0,0434768782 |
205 | 0,0401458278 |
206 | 0,0366418116 |
207 | 0,0329583930 |
208 | 0,0290824006 |
209 | 0,0250307561 |
210 | 0,0207997072 |
211 | 0,0163701258 |
212 | 0,0117623832 |
213 | 0,0069636862 |
214 | 0,0019765601 |
215 | -0,0032086896 |
216 | -0,0085711749 |
217 | -0,0141288827 |
218 | -0,0198834129 |
219 | -0,0258227288 |
220 | -0,0319531274 |
221 | -0,0382776572 |
222 | -0,0447806821 |
223 | -0,0514804176 |
224 | -0,0583705326 |
225 | -0,0654409853 |
226 | -0,0726943300 |
227 | -0,0801372934 |
228 | -0,0877547536 |
229 | -0,0955533352 |
230 | -0,1035329531 |
231 | -0,1116826931 |
232 | -0,1200077984 |
233 | -0,1285002850 |
234 | -0,1371551761 |
235 | -0,1459766491 |
236 | -0,1549607071 |
237 | -0,1640958855 |
238 | -0,1733808172 |
239 | -0,1828172548 |
240 | -0,1923966745 |
241 | -0,2021250176 |
242 | -0,2119735853 |
243 | -0,2219652696 |
244 | -0,2320690870 |
245 | -0,2423016884 |
246 | -0,2526480309 |
247 | -0,2631053299 |
248 | -0,2736634040 |
249 | -0,2843214189 |
250 | -0,2950716717 |
251 | -0,3059098575 |
252 | -0,3168278913 |
253 | -0,3278113727 |
254 | -0,3388722693 |
255 | -0,3499914122 |
256 | 0,3611589903 |
257 | 0,3723795546 |
258 | 0,3836350013 |
259 | 0,3949211761 |
260 | 0,4062317676 |
261 | 0,4175696896 |
262 | 0,4289119920 |
263 | 0,4402553754 |
264 | 0,4515996535 |
265 | 0,4629308085 |
266 | 0,4742453214 |
267 | 0,4855253091 |
268 | 0,4967708254 |
269 | 0,5079817500 |
270 | 0,5191234970 |
271 | 0,5302240895 |
272 | 0,5412553448 |
273 | 0,5522051258 |
274 | 0,5630789140 |
275 | 0,5738524131 |
276 | 0,5845403235 |
277 | 0,5951123086 |
278 | 0,6055783538 |
279 | 0,6159109932 |
280 | 0,6261242695 |
281 | 0,6361980107 |
282 | 0,6461269695 |
283 | 0,6559016302 |
284 | 0,6655139880 |
285 | 0,6749663190 |
286 | 0,6842353293 |
287 | 0,6933282376 |
288 | 0,7022388719 |
289 | 0,7109410426 |
290 | 0,7194462634 |
291 | 0,7277448900 |
292 | 0,7358211758 |
293 | 0,7436827863 |
294 | 0,7513137456 |
295 | 0,7587080760 |
296 | 0,7658674865 |
297 | 0,7727780881 |
298 | 0,7794287519 |
299 | 0,7858353120 |
300 | 0,7919735841 |
301 | 0,7978466413 |
302 | 0,8034485751 |
303 | 0,8087695004 |
304 | 0,8138191270 |
305 | 0,8185776004 |
306 | 0,8230419890 |
307 | 0,8272275347 |
308 | 0,8311038457 |
309 | 0,8346937361 |
310 | 0,8379717337 |
311 | 0,8409541392 |
312 | 0,8436238281 |
313 | 0,8459818469 |
314 | 0,8480315777 |
315 | 0,8497805198 |
316 | 0,8511971524 |
317 | 0,8523047035 |
318 | 0,8531020949 |
319 | 0,8535720573 |
320 | 0,8537385600 |
321 | 0,8535720573 |
322 | 0,8531020949 |
323 | 0,8523047035 |
324 | 0,8511971524 |
325 | 0,8497805198 |
326 | 0,8480315777 |
327 | 0,8459818469 |
328 | 0,8436238281 |
329 | 0,8409541392 |
330 | 0,8379717337 |
331 | 0,8346937361 |
332 | 0,8311038457 |
333 | 0,8272275347 |
334 | 0,8230419890 |
335 | 0,8185776004 |
336 | 0,8138191270 |
337 | 0,8087695004 |
338 | 0,8034485751 |
339 | 0,7978466413 |
340 | 0,7919735841 |
341 | 0,7858353120 |
342 | 0,7794287519 |
343 | 0,7727780881 |
344 | 0,7658674865 |
345 | 0,7587080760 |
346 | 0,7513137456 |
347 | 0,7436827863 |
348 | 0,7358211758 |
349 | 0,7277448900 |
350 | 0,7194462634 |
351 | 0,7109410426 |
352 | 0,7022388719 |
353 | 0,6933282376 |
354 | 0,6842353293 |
355 | 0,6749663190 |
356 | 0,6655139880 |
357 | 0,6559016302 |
358 | 0,6461269695 |
359 | 0,6361980107 |
360 | 0,6261242695 |
361 | 0,6159109932 |
362 | 0,6055783538 |
363 | 0,5951123086 |
364 | 0,5845403235 |
365 | 0,5738524131 |
366 | 0,5630789140 |
367 | 0,5522051258 |
368 | 0,5412553448 |
369 | 0,5302240895 |
370 | 0,5191234970 |
371 | 0,5079817500 |
372 | 0,4967708254 |
373 | 0,4855253091 |
374 | 0,4742453214 |
375 | 0,4629308085 |
376 | 0,4515996535 |
377 | 0,4402553754 |
378 | 0,4289119920 |
379 | 0,4175696896 |
380 | 0,4062317676 |
381 | 0,3949211761 |
382 | 0,3836350013 |
383 | 0,3723795546 |
384 | -0,3611589903 |
385 | -0,3499914122 |
386 | -0,3388722693 |
387 | -0,3278113727 |
388 | -0,3168278913 |
389 | -0,3059098575 |
390 | -0,2950716717 |
391 | -0,2843214189 |
392 | -0,2736634040 |
393 | -0,2631053299 |
394 | -0,2526480309 |
395 | -0,2423016884 |
396 | -0,2320690870 |
397 | -0,2219652696 |
398 | -0,2119735853 |
399 | -0,2021250176 |
400 | -0,1923966745 |
401 | -0,1828172548 |
402 | -0,1733808172 |
403 | -0,1640958855 |
404 | -0,1549607071 |
405 | -0,1459766491 |
406 | -0,1371551761 |
407 | -0,1285002850 |
408 | -0,1200077984 |
409 | -0,1116826931 |
410 | -0,1035329531 |
411 | -0,0955533352 |
412 | -0,0877547536 |
413 | -0,0801372934 |
414 | -0,0726943300 |
415 | -0,0654409853 |
416 | -0,0583705326 |
417 | -0,0514804176 |
418 | -0,0447806821 |
419 | -0,0382776572 |
420 | -0,0319531274 |
421 | -0,0258227288 |
422 | -0,0198834129 |
423 | -0,0141288827 |
424 | -0,0085711749 |
425 | -0,0032086896 |
426 | 0,0019765601 |
427 | 0,0069636862 |
428 | 0,0117623832 |
429 | 0,0163701258 |
430 | 0,0207997072 |
431 | 0,0250307561 |
432 | 0,0290824006 |
433 | 0,0329583930 |
434 | 0,0366418116 |
435 | 0,0401458278 |
436 | 0,0434768782 |
437 | 0,0466303305 |
438 | 0,0495978676 |
439 | 0,0524093821 |
440 | 0,0550460034 |
441 | 0,0575152691 |
442 | 0,0598166570 |
443 | 0,0619602779 |
444 | 0,0639444805 |
445 | 0,0657690668 |
446 | 0,0674525021 |
447 | 0,0689664013 |
448 | 0,0703533073 |
449 | 0,0715826364 |
450 | 0,0726774642 |
451 | 0,0736406005 |
452 | 0,0744664394 |
453 | 0,0751576255 |
454 | 0,0757305756 |
455 | 0,0761748321 |
456 | 0,0765050718 |
457 | 0,0767204924 |
458 | 0,0768230011 |
459 | 0,0768173975 |
460 | 0,0767093490 |
461 | 0,0764992170 |
462 | 0,0761992479 |
463 | 0,0758008358 |
464 | 0,0753137336 |
465 | 0,0747452558 |
466 | 0,0741003642 |
467 | 0,0733620255 |
468 | 0,0725682583 |
469 | 0,0717002673 |
470 | 0,0707628710 |
471 | 0,0697630244 |
472 | 0,0687043828 |
473 | 0,0676075985 |
474 | 0,0664367512 |
475 | 0,0652247106 |
476 | 0,0639715898 |
477 | 0,0626857808 |
478 | 0,0613455171 |
479 | 0,0599837480 |
480 | 0,0585915683 |
481 | 0,0571616450 |
482 | 0,0557173648 |
483 | 0,0542452768 |
484 | 0,0527630746 |
485 | 0,0512556155 |
486 | 0,0497385755 |
487 | 0,0482165720 |
488 | 0,0466843027 |
489 | 0,0451488405 |
490 | 0,0436097542 |
491 | 0,0420649094 |
492 | 0,0405349170 |
493 | 0,0390053679 |
494 | 0,0374812850 |
495 | 0,0359697560 |
496 | 0,0344620948 |
497 | 0,0329754081 |
498 | 0,0315017608 |
499 | 0,0300502657 |
500 | 0,0286072173 |
501 | 0,0271859429 |
502 | 0,0257875847 |
503 | 0,0244160992 |
504 | 0,0230680169 |
505 | 0,0217467550 |
506 | 0,0204531793 |
507 | 0,0191872431 |
508 | 0,0179433381 |
509 | 0,0167324712 |
510 | 0,0155405553 |
511 | 0,0143904666 |
512 | -0,0132718220 |
513 | -0,0121849995 |
514 | -0,0111315548 |
515 | -0,0101150215 |
516 | -0,0091325329 |
517 | -0,0081798233 |
518 | -0,0072615816 |
519 | -0,0063792293 |
520 | -0,0055337211 |
521 | -0,0047222596 |
522 | -0,0039401124 |
523 | -0,0031933778 |
524 | -0,0024826723 |
525 | -0,0018039472 |
526 | -0,0011568135 |
527 | -0,0005464280 |
528 | 0,0000276045 |
529 | 0,0005832264 |
530 | 0,0010902329 |
531 | 0,0015784682 |
532 | 0,0020274176 |
533 | 0,0024508540 |
534 | 0,0028446757 |
535 | 0,0032091885 |
536 | 0,0035401246 |
537 | 0,0038456408 |
538 | 0,0041251642 |
539 | 0,0043801861 |
540 | 0,0046039530 |
541 | 0,0048109469 |
542 | 0,0049839687 |
543 | 0,0051382275 |
544 | 0,0052715758 |
545 | 0,0053838975 |
546 | 0,0054753783 |
547 | 0,0055404363 |
548 | 0,0055917128 |
549 | 0,0056266114 |
550 | 0,0056389199 |
551 | 0,0056455196 |
552 | 0,0056220643 |
553 | 0,0055938023 |
554 | 0,0055475714 |
555 | 0,0054876040 |
556 | 0,0054196775 |
557 | 0,0053471681 |
558 | 0,0052461166 |
559 | 0,0051407353 |
560 | 0,0050393022 |
561 | 0,0049137603 |
562 | 0,0047932560 |
563 | 0,0046606460 |
564 | 0,0045209852 |
565 | 0,0043730719 |
566 | 0,0042264269 |
567 | 0,0040819753 |
568 | 0,0039207432 |
569 | 0,0037603922 |
570 | 0,0036008268 |
571 | 0,0034418874 |
572 | 0,0032739613 |
573 | 0,0031125420 |
574 | 0,0029469447 |
575 | 0,0027870464 |
576 | 0,0026201758 |
577 | 0,0024625616 |
578 | 0,0023017254 |
579 | 0,0021461583 |
580 | 0,0019841140 |
581 | 0,0018348265 |
582 | 0,0016868083 |
583 | 0,0015443219 |
584 | 0,0013902494 |
585 | 0,0012577884 |
586 | 0,0011250155 |
587 | 0,0009885988 |
588 | 0,0008608443 |
589 | 0,0007458025 |
590 | 0,0006239376 |
591 | 0,0005107388 |
592 | 0,0004026540 |
593 | 0,0002949531 |
594 | 0,0002043017 |
595 | 0,0001094383 |
596 | 0,0000134949 |
597 | -0,0000617334 |
598 | -0,0001446380 |
599 | -0,0002098337 |
600 | -0,0002896981 |
601 | -0,0003501175 |
602 | -0,0004095121 |
603 | -0,0004606325 |
604 | -0,0005145572 |
605 | -0,0005564576 |
606 | -0,0005946118 |
607 | -0,0006341594 |
608 | -0,0006650415 |
609 | -0,0006917937 |
610 | -0,0007215391 |
611 | -0,0007319357 |
612 | -0,0007530001 |
613 | -0,0007630793 |
614 | -0,0007757977 |
615 | -0,0007801449 |
616 | -0,0007803664 |
617 | -0,0007779869 |
618 | -0,0007834332 |
619 | -0,0007724848 |
620 | -0,0007681371 |
621 | -0,0007490598 |
622 | -0,0007440941 |
623 | -0,0007255043 |
624 | -0,0007157736 |
625 | -0,0006941614 |
626 | -0,0006777690 |
627 | -0,0006540333 |
628 | -0,0006312493 |
629 | -0,0006132747 |
630 | -0,0005870930 |
631 | -0,0005677802 |
632 | -0,0005466565 |
633 | -0,0005226564 |
634 | -0,0005040714 |
635 | -0,0004893791 |
636 | -0,0004875227 |
637 | -0,0004947518 |
638 | -0,0005617692 |
639 | -0,000552528 |
i | c[i] |
0 | 1,129580193872797e-002 |
1 | 2,353059744904218e-002 |
2 | 3,450718748721251e-002 |
3 | 4,634695977000525e-002 |
4 | 5,918677345174197e-002 |
5 | 7,325978412117062e-002 |
6 | 8,829745229234007e-002 |
7 | 1,042033024802571e-001 |
8 | 1,206924277410051e-001 |
9 | 1,376149808913910e-001 |
10 | 1,547461142258783e-001 |
11 | 1,719726384566089e-001 |
12 | 1,891590407342011e-001 |
13 | 2,062605107774960e-001 |
14 | 2,232276864673650e-001 |
15 | 2,400768261284114e-001 |
16 | 2,568176309566753e-001 |
17 | 2,734977190313227e-001 |
18 | 2,901491317310591e-001 |
19 | 3,068186515423912e-001 |
20 | 3,235298682841570e-001 |
21 | 3,403074146062977e-001 |
22 | 3,571527896130669e-001 |
23 | 3,740643974275026e-001 |
24 | 3,910243970160607e-001 |
25 | 4,080154903861317e-001 |
26 | 4,250144186334534e-001 |
27 | 4,420013942269341e-001 |
28 | 4,589582896478246e-001 |
29 | 4,758753745532750e-001 |
30 | 4,927463828072591e-001 |
31 | 5,095720854151864e-001 |
32 | 5,263554446856779e-001 |
33 | 5,430990601899994e-001 |
34 | 5,598052330684253e-001 |
35 | 5,764734796907189e-001 |
36 | 5,930981800982896e-001 |
37 | 6,096690552916387e-001 |
38 | 6,261725236758639e-001 |
39 | 6,425939632009995e-001 |
40 | 6,589148753746076e-001 |
41 | 6,751199626157149e-001 |
42 | 6,911981575264606e-001 |
43 | 7,071447728928043e-001 |
44 | 7,229599104052475e-001 |
45 | 7,386515025302785e-001 |
46 | 7,542294504292890e-001 |
47 | 7,697093346240386e-001 |
48 | 7,851012620144958e-001 |
49 | 8,004165237845137e-001 |
50 | 8,156523162880560e-001 |
51 | 8,308039608112368e-001 |
52 | 8,458450064727010e-001 |
53 | 8,607492455327098e-001 |
54 | 8,754640719350776e-001 |
55 | 8,899474405744183e-001 |
56 | 9,041286138017367e-001 |
57 | 9,179666107725365e-001 |
58 | 9,313874086278087e-001 |
59 | 9,443802853939540e-001 |
60 | 9,568885413848645e-001 |
61 | 9,690016637782843e-001 |
62 | 9,807691702375303e-001 |
63 | 9,927543720639498e-001 |
64 | 1,001463112557766e+000 |
65 | 1,006893331637123e+000 |
66 | 1,012508393574432e+000 |
67 | 1,017729040219375e+000 |
68 | 1,022470190536100e+000 |
69 | 1,026615653698808e+000 |
70 | 1,030198648769593e+000 |
71 | 1,033205850580933e+000 |
72 | 1,035694432087486e+000 |
73 | 1,037683165297586e+000 |
74 | 1,039227995800217e+000 |
75 | 1,040349586463588e+000 |
76 | 1,041086497214721e+000 |
77 | 1,041443375950143e+000 |
78 | 1,041434355650865e+000 |
79 | 1,041043184216171e+000 |
80 | 1,040262316588456e+000 |
81 | 1,039061496136853e+000 |
82 | 1,037422300157921e+000 |
83 | 1,035311720204252e+000 |
84 | 1,032712952177121e+000 |
85 | 1,029600494883906e+000 |
86 | 1,025966756910904e+000 |
87 | 1,021798805583990e+000 |
88 | 1,017100128250049e+000 |
89 | 1,011867706519706e+000 |
90 | 1,006109248754940e+000 |
91 | 9,998285752401580e-001 |
92 | 9,930379854679836e-001 |
93 | 9,857387823493258e-001 |
94 | 9,779405164766706e-001 |
95 | 9,696426101291272e-001 |
96 | 9,608519516143015e-001 |
97 | 9,515674613550604e-001 |
98 | 9,417975696327747e-001 |
99 | 9,315442093447622e-001 |
100 | 9,208194746232827e-001 |
101 | 9,096310803629866e-001 |
102 | 8,979959173503500e-001 |
103 | 8,859232320517536e-001 |
104 | 8,734366852542127e-001 |
105 | 8,605542791988831e-001 |
106 | 8,472987145504696e-001 |
107 | 8,336863467961255e-001 |
108 | 8,197387292306723e-001 |
109 | 8,054701312929008e-001 |
110 | 7,908995350037713e-001 |
111 | 7,760385598209244e-001 |
112 | 7,609051036128973e-001 |
113 | 7,455111681431031e-001 |
114 | 7,298745530879272e-001 |
115 | 7,140087729493950e-001 |
116 | 6,979336851549095e-001 |
117 | 6,816667882498023e-001 |
118 | 6,652304141388827e-001 |
119 | 6,486437667370537e-001 |
120 | 6,319284031798550e-001 |
121 | 6,151031151692835e-001 |
122 | 5,981877665956570e-001 |
123 | 5,811992722116214e-001 |
124 | 5,641522833259215e-001 |
125 | 5,470652177576862e-001 |
126 | 5,299509559653194e-001 |
127 | 5,128557121424191e-001 |
128 | -4,956175421414453e-001 |
129 | -4,782650346610896e-001 |
130 | -4,609828932783459e-001 |
131 | -4,437530233023859e-001 |
132 | -4,265950246465440e-001 |
133 | -4,095160467543179e-001 |
134 | -3,925409172155113e-001 |
135 | -3,756821671788237e-001 |
136 | -3,589626517817934e-001 |
137 | -3,423942311297658e-001 |
138 | -3,259993851088293e-001 |
139 | -3,097861805973821e-001 |
140 | -2,937724988593393e-001 |
141 | -2,779637821990255e-001 |
142 | -2,623749159488041e-001 |
143 | -2,470098299603623e-001 |
144 | -2,318815478758375e-001 |
145 | -2,169925682529340e-001 |
146 | -2,023548005388463e-001 |
147 | -1,879711746686855e-001 |
148 | -1,738542127021508e-001 |
149 | -1,600061812296078e-001 |
150 | -1,464389150679625e-001 |
151 | -1,331544923127771e-001 |
152 | -1,201628679722633e-001 |
153 | -1,074630704470568e-001 |
154 | -9,506966959632511e-002 |
155 | -8,298103104739203e-002 |
156 | -7,120356992726613e-002 |
157 | -5,973741829536090e-002 |
158 | -4,859005767016811e-002 |
159 | -3,775928110298274e-002 |
160 | -2,726484300186575e-002 |
161 | -1,711323992709580e-002 |
162 | -7,298197371320593e-003 |
163 | 2,184256929356781e-003 |
164 | 1,132324047372148e-002 |
165 | 2,012236990754980e-002 |
166 | 2,857528272530154e-002 |
167 | 3,666942822678171e-002 |
168 | 4,439683978044157e-002 |
169 | 5,177964768870787e-002 |
170 | 5,881296711410786e-002 |
171 | 6,550209046893848e-002 |
172 | 7,184073822817207e-002 |
173 | 7,783299328224960e-002 |
174 | 8,347150698567406e-002 |
175 | 8,875756217893037e-002 |
176 | 9,368651761350569e-002 |
177 | 9,826251129465624e-002 |
178 | 1,024804711677230e-001 |
179 | 1,063454554357498e-001 |
180 | 1,098551252869576e-001 |
181 | 1,130180022553412e-001 |
182 | 1,158358935177899e-001 |
183 | 1,183233335449968e-001 |
184 | 1,204854506722672e-001 |
185 | 1,223371395264402e-001 |
186 | 1,238868653862843e-001 |
187 | 1,251477258491527e-001 |
188 | 1,261262023246478e-001 |
189 | 1,268280540744526e-001 |
190 | 1,272498700590511e-001 |
191 | 1,273590703506806e-001 |
192 | 1,274567595465545e-001 |
193 | 1,275561350483646e-001 |
194 | 1,273648326872248e-001 |
195 | 1,269415772180714e-001 |
196 | 1,262995646340671e-001 |
197 | 1,254605188749804e-001 |
198 | 1,244269583009826e-001 |
199 | 1,232131583108813e-001 |
200 | 1,218183974842866e-001 |
201 | 1,202545652840080e-001 |
202 | 1,185243106889108e-001 |
203 | 1,166399102636992e-001 |
204 | 1,146042249339280e-001 |
205 | 1,124296184976912e-001 |
206 | 1,101215600923314e-001 |
207 | 1,076972053405737e-001 |
208 | 1,051641975499523e-001 |
209 | 1,025397604985405e-001 |
210 | 9,982957934346254e-002 |
211 | 9,705239536075722e-002 |
212 | 9,421624116597689e-002 |
213 | 9,133590931873967e-002 |
214 | 8,841813387276727e-002 |
215 | 8,547715661443602e-002 |
216 | 8,251962055343706e-002 |
217 | 7,955570759229536e-002 |
218 | 7,657649751612349e-002 |
219 | 7,360559211914287e-002 |
220 | 7,064948295960993e-002 |
221 | 6,771675107480543e-002 |
222 | 6,480448458935215e-002 |
223 | 6,192692754258131e-002 |
224 | 5,911363249658311e-002 |
225 | 5,637219228757212e-002 |
226 | 5,368313072045600e-002 |
227 | 5,105620793438655e-002 |
228 | 4,849284995895640e-002 |
229 | 4,599068181839981e-002 |
230 | 4,355568588898841e-002 |
231 | 4,125570251909672e-002 |
232 | 3,907137550527191e-002 |
233 | 3,696342556744636e-002 |
234 | 3,493300140502248e-002 |
235 | 3,298151059524886e-002 |
236 | 3,110861245410919e-002 |
237 | 2,931525594774175e-002 |
238 | 2,760090729801069e-002 |
239 | 2,597956638848436e-002 |
240 | 2,443433592149451e-002 |
241 | 2,296470793543091e-002 |
242 | 2,156304510969632e-002 |
243 | 2,023524610221679e-002 |
244 | 1,897505817503749e-002 |
245 | 1,778248750467421e-002 |
246 | 1,665187994388476e-002 |
247 | 1,557759513377242e-002 |
248 | 1,456208586604537e-002 |
249 | 1,361072086117313e-002 |
250 | 1,270747042064656e-002 |
251 | 1,186210743261470e-002 |
252 | 1,106958962776399e-002 |
253 | 1,033126278863177e-002 |
254 | 9,640298325700842e-003 |
255 | 8,996371481700806e-003 |
256 | -8,407748878436545e-003 |
257 | -7,876393114319395e-003 |
258 | -7,380543918629573e-003 |
259 | -6,925141135202262e-003 |
260 | -6,500502521462604e-003 |
261 | -6,109178606718115e-003 |
262 | -5,741103163221257e-003 |
263 | -5,394569608919965e-003 |
264 | -5,063851046064050e-003 |
265 | -4,754191853611012e-003 |
266 | -4,448993249380505e-003 |
267 | -4,133639756278191e-003 |
268 | -3,811612348723333e-003 |
269 | -3,505531318950422e-003 |
270 | -3,209092846617964e-003 |
271 | -2,927159436740159e-003 |
272 | -2,653818578698405e-003 |
273 | -2,396404013961463e-003 |
274 | -2,152379960589273e-003 |
275 | -1,924844672908215e-003 |
276 | -1,699160580023900e-003 |
277 | -1,480542563288228e-003 |
278 | -1,283280633901446e-003 |
279 | -1,131859661378862e-003 |
280 | -9,730460256556873e-004 |
281 | -7,677634115875747e-004 |
282 | -5,599347984905645e-004 |
283 | -3,337966579125254e-004 |
284 | -9,099722643476421e-005 |
285 | 1,498231621816041e-004 |
286 | 4,366447012116811e-004 |
287 | 6,307841647560053e-004 |
288 | 6,150316826138937e-004 |
289 | 8,990255827053560e-004 |
290 | 1,232134364570107e-003 |
291 | 1,471167206249042e-003 |
292 | 1,697652664777771e-003 |
293 | 1,985825255428654e-003 |
294 | 2,172866052963961e-003 |
295 | 1,812176023993582e-003 |
296 | 1,344657262814793e-003 |
297 | 9,373975348172919e-004 |
298 | 5,621720998949145e-004 |
299 | 2,048498552413189e-004 |
300 | -2,004822830002534e-004 |
301 | -6,169854804735951e-004 |
302 | -1,061498982103114e-003 |
303 | -1,594860949611097e-003 |
304 | -2,124647831574725e-003 |
305 | -2,621537051750861e-003 |
306 | -3,064311083207632e-003 |
307 | -3,460362845825662e-003 |
308 | -3,794425324215804e-003 |
309 | -4,091032597247918e-003 |
310 | -4,369553676668050e-003 |
311 | -4,554811297024067e-003 |
312 | -4,663276675479689e-003 |
313 | -4,722567636185647e-003 |
314 | -4,704321497976561e-003 |
315 | -4,636227793039124e-003 |
316 | -4,517190210387324e-003 |
317 | -4,351667566540186e-003 |
318 | -4,135130493071822e-003 |
319 | -3,870851645947402e-003 |
320 | -3,597475533950260e-003 |
321 | -3,318857985461042e-003 |
322 | -3,000422543655664e-003 |
323 | -2,658042081080524e-003 |
324 | -2,292813563887493e-003 |
325 | -1,914114740669928e-003 |
326 | -1,525818616748839e-003 |
327 | -1,156680209049319e-003 |
328 | -7,804546272743493e-004 |
329 | -4,268574601396473e-004 |
330 | -1,324291707264515e-004 |
331 | 1,218226450050751e-004 |
332 | 3,189336138130849e-004 |
333 | 4,749931197951235e-004 |
334 | 5,970696819774243e-004 |
335 | 6,673250213055329e-004 |
336 | 6,887783835812338e-004 |
337 | 6,766320515830324e-004 |
338 | 6,944123176012471e-004 |
339 | 7,139919634325070e-004 |
340 | 7,154123487609100e-004 |
341 | 7,376101027486600e-004 |
342 | 6,976561203768226e-004 |
343 | 5,721223454434728e-004 |
344 | 2,934875643581191e-004 |
345 | 1,092526149391273e-004 |
346 | 6,415402443848103e-004 |
347 | 1,194730618383423e-003 |
348 | 1,557112059887280e-003 |
349 | 1,891971801393744e-003 |
350 | 2,225524159129023e-003 |
351 | 2,530906981099261e-003 |
352 | 2,719749515067397e-003 |
353 | 2,729136737522100e-003 |
354 | 2,703019498899013e-003 |
355 | 2,630471852319136e-003 |
356 | 2,470456304276468e-003 |
357 | 2,239142906871446e-003 |
358 | 2,033465291493264e-003 |
359 | 1,948069005335563e-003 |
360 | 1,725029670030533e-003 |
361 | 1,417366709895927e-003 |
362 | 1,127141815310061e-003 |
363 | 8,089811988213151e-004 |
364 | 4,708009521678285e-004 |
365 | 7,882620739833088e-005 |
366 | -2,998739993995956e-004 |
367 | -4,733148292475610e-004 |
368 | -5,791145447913150e-004 |
369 | -6,754935404082003e-004 |
370 | -8,029620210721900e-004 |
371 | -9,726698841994444e-004 |
372 | -1,196637962311630e-003 |
373 | -1,292865844760059e-003 |
374 | -1,146268465739874e-003 |
375 | -1,040598055074471e-003 |
376 | -9,767709065548874e-004 |
377 | -9,294665200453614e-004 |
378 | -9,862027119530482e-004 |
379 | -1,047654674829846e-003 |
380 | -1,099000599887377e-003 |
381 | -1,151795860160292e-003 |
382 | -1,194743370333155e-003 |
383 | -1,250742797799558e-003 |
384 | 1,287819050086379e-003 |
385 | 1,263569296641556e-003 |
386 | 1,226113111394085e-003 |
387 | 1,177515087338257e-003 |
388 | 1,122503050159859e-003 |
389 | 1,089428846944533e-003 |
390 | 1,054963366189962e-003 |
391 | 9,019128558297515e-004 |
392 | 7,847839620863715e-004 |
393 | 6,205675927856794e-004 |
394 | 3,157663628445906e-004 |
395 | 2,556449844935384e-004 |
396 | 2,520606580606257e-004 |
397 | 2,346980949474655e-004 |
398 | 2,060394037017961e-004 |
399 | 1,635905995590986e-004 |
400 | 1,176237128375623e-004 |
401 | 6,193369904730005e-005 |
402 | 3,568554800150508e-005 |
403 | 2,443161189273522e-005 |
404 | 1,334090914042349e-005 |
405 | 2,853437194757816e-006 |
406 | -1,039263591111469e-004 |
407 | 5,144969377044875e-005 |
408 | 9,711681816385056e-005 |
409 | 2,472023910553232e-005 |
410 | 5,397064424090302e-005 |
411 | 6,487880719449901e-005 |
412 | -5,192444140699947e-005 |
413 | -9,204876089551197e-005 |
414 | -1,815837353167847e-004 |
415 | -3,595054179561440e-004 |
416 | -5,901617707607606e-007 |
417 | 1,831121301698088e-004 |
418 | 9,755685190624611e-005 |
419 | 6,606461762989423e-005 |
420 | 3,799971890923797e-005 |
421 | 4,150075391929448e-005 |
422 | 5,021905476506264e-005 |
423 | 5,861800137434713e-005 |
424 | 2,126364641291926e-005 |
425 | 1,181077582797280e-004 |
426 | 9,990757789944374e-005 |
427 | 1,035782617124906e-004 |
428 | 8,870181845310037e-005 |
429 | 5,533953373249822e-005 |
430 | 1,580188994455254e-005 |
431 | 1,277184430250593e-006 |
432 | 5,009913312943629e-006 |
433 | 1,499170392246774e-005 |
434 | 2,241545750231630e-005 |
435 | 3,628511258723260e-005 |
436 | 2,406516798531014e-005 |
437 | 2,515118233957011e-005 |
438 | 3,759629789955498e-005 |
439 | 5,408154543124121e-005 |
440 | 4,493916063285122e-005 |
441 | 2,806963579578946e-005 |
442 | 2,364518513682831e-005 |
443 | 1,260639764582286e-005 |
444 | -2,599467772603631e-008 |
445 | -1,774108392496017e-005 |
446 | -5,889276659458115e-006 |
447 | -4,663777919108619e-005 |
448 | -2,078886359425321e-004 |
449 | -2,131405580107761e-004 |
450 | -1,784192600231068e-004 |
451 | -1,744841754193053e-004 |
452 | -1,728672507238372e-004 |
453 | -1,885286127508226e-004 |
454 | -2,078299015661617e-004 |
455 | -2,123671573189573e-004 |
456 | -2,415166002501312e-004 |
457 | -2,217025456251449e-004 |
458 | -9,907630821710970e-005 |
459 | -8,039231481768845e-005 |
460 | -7,934509417722400e-005 |
461 | -5,874199358780108e-005 |
462 | -5,449816072329412e-005 |
463 | -4,489491034408147e-005 |
464 | -3,498285982359981e-005 |
465 | -1,748284921486958e-005 |
466 | -9,075430772832575e-006 |
467 | -1,052707430241351e-005 |
468 | -6,538878366985722e-006 |
469 | 2,206341308073472e-005 |
470 | 1,769261935287328e-004 |
471 | 6,418658561385058e-005 |
472 | -8,882305312548962e-005 |
473 | -1,721347222211949e-005 |
474 | -6,093372716385583e-005 |
475 | -7,679955330373515e-005 |
476 | 7,194151087015007e-005 |
477 | 7,245095937243279e-005 |
478 | 7,870354371072524e-005 |
479 | 5,822201682995846e-004 |
480 | 2,666444630171025e-004 |
481 | 7,872592352725688e-005 |
482 | 7,095886893185526e-005 |
483 | 5,643103068471008e-005 |
484 | 6,904415362098980e-005 |
485 | 4,694251739991356e-005 |
486 | 3,367998338617662e-005 |
487 | 6,481921021601837e-005 |
488 | 6,582328030188790e-005 |
489 | -4,256442530773449e-005 |
490 | 4,939392400898679e-005 |
491 | 5,272982009116034e-005 |
492 | 4,005269212731273e-005 |
493 | 2,461876679726978e-005 |
494 | 4,469729032194765e-006 |
495 | 3,798519731621893e-007 |
496 | 1,374896222030490e-006 |
497 | 3,965363805500215e-006 |
498 | 7,300588863934780e-006 |
499 | 1,168894474770061e-005 |
500 | 8,563819899447630e-006 |
501 | 8,975977837330335e-006 |
502 | 2,800455533708622e-005 |
503 | 2,015445311139832e-005 |
504 | 1,125134651175812e-005 |
505 | 5,869707265615299e-006 |
506 | 1,013259758329981e-005 |
507 | 1,088325131492173e-005 |
508 | 7,167101260771279e-006 |
509 | 4,840577540089826e-006 |
510 | -1,469933448634890e-005 |
511 | -8,010079089953001e-006 |
512 | -3,299004046633323e-005 |
513 | -4,373302115187172e-005 |
514 | -3,177468256997963e-005 |
515 | -2,976824036182567e-005 |
516 | -2,464228015326852e-005 |
517 | -1,606050838620834e-005 |
518 | -6,261944255489322e-006 |
519 | 4,591009581217994e-007 |
520 | 1,395220723090848e-005 |
521 | 1,622786214398703e-005 |
522 | -2,043464113212971e-006 |
523 | -1,653463907257247e-006 |
524 | -1,551250801467300e-008 |
525 | -1,907927361317977e-006 |
526 | -9,607068622268791e-007 |
527 | -4,636105364510011e-007 |
528 | -2,765649762593200e-007 |
529 | -1,922074581855119e-006 |
530 | -9,897194091136331e-007 |
531 | -7,873304717454037e-008 |
532 | 2,945239208477290e-008 |
533 | -2,757610624807679e-006 |
534 | -1,402925247695813e-005 |
535 | -9,388962780643742e-006 |
536 | 2,068297421740023e-005 |
537 | 1,496435902895210e-007 |
538 | 6,757014945674924e-009 |
539 | -2,778618354859861e-007 |
540 | -1,569003268449803e-006 |
541 | -1,089500601234349e-006 |
542 | -9,870547653835426e-007 |
543 | 3,867483283567218e-005 |
544 | -1,232693496472088e-005 |
545 | 9,464782951082177e-007 |
546 | 8,254429452094225e-007 |
547 | 4,883304950437536e-007 |
548 | -2,066961713890010e-007 |
549 | 5,158212471036245e-009 |
550 | 2,267731106642486e-007 |
551 | -4,880844550713951e-008 |
552 | 3,361682183852576e-006 |
553 | 4,677015459111491e-006 |
554 | 2,820292122791583e-008 |
555 | 5,143614846654519e-007 |
556 | 3,818588614859347e-009 |
557 | 1,737276553950212e-007 |
558 | 1,876022048145804e-007 |
559 | -2,986488593070417e-009 |
560 | -1,409927495646886e-008 |
561 | -6,977078748707401e-008 |
562 | -1,280675520205100e-008 |
563 | -2,222072007942510e-009 |
564 | -1,775191290895584e-009 |
565 | -1,686136654621906e-009 |
566 | 5,818594642226675e-006 |
567 | 2,150883991167946e-006 |
568 | 2,714879009950152e-007 |
569 | -2,567964804401197e-008 |
570 | 2,041128570435378e-006 |
571 | 3,262753594084781e-006 |
572 | 3,567581483749161e-006 |
573 | 4,083718802566134e-006 |
574 | 5,364807253588177e-006 |
575 | 4,178050149840223e-006 |
576 | 5,189086332701670e-006 |
577 | 3,357218747491756e-006 |
578 | 6,310207878018869e-006 |
579 | 5,924001540927652e-006 |
580 | 5,161606640348293e-006 |
581 | 3,377814811745950e-006 |
582 | 1,323267689777069e-006 |
583 | -1,074716688428712e-007 |
584 | -3,561585382456484e-006 |
585 | -4,518603099564185e-006 |
586 | 7,301956971603966e-007 |
587 | 5,891904775161025e-007 |
588 | 2,801882088134371e-008 |
589 | 6,322770332405526e-007 |
590 | 2,542598385847351e-007 |
591 | 1,272704908592385e-007 |
592 | 8,226599990523664e-008 |
593 | 5,433718768789140e-007 |
594 | 4,211177232106135e-007 |
595 | 3,552991527555180e-008 |
596 | -1,398913109540774e-008 |
597 | 1,356727552196146e-006 |
598 | -1,706941020342299e-005 |
599 | 1,013575160981381e-005 |
600 | -2,285562946018590e-005 |
601 | -8,908041185396514e-008 |
602 | -9,597515277415496e-009 |
603 | -3,225913527455964e-007 |
604 | 1,070242712585309e-006 |
605 | 6,293002327021578e-007 |
606 | 3,575650976036433e-007 |
607 | 2,722295965060517e-005 |
608 | 8,676848186676888e-006 |
609 | 3,428660858940255e-007 |
610 | 4,767793949944890e-007 |
611 | 3,330981930777764e-007 |
612 | 2,399696144635756e-007 |
613 | 7,326611439066549e-009 |
614 | 1,349943693297681e-007 |
615 | -5,393555749348494e-008 |
616 | 3,629067065524143e-006 |
617 | -5,690530948134642e-006 |
618 | 1,387566465624550e-008 |
619 | 2,443085172403935e-007 |
620 | 1,723217058490933e-009 |
621 | 7,391973323448250e-008 |
622 | 5,303527922331415e-008 |
623 | -8,883499047404846e-010 |
624 | -3,870536804891648e-009 |
625 | -4,846547564287500e-008 |
626 | -4,244090917065736e-009 |
627 | -4,013524925634108e-009 |
628 | -6,325664562585882e-010 |
629 | -6,025110605409611e-010 |
630 | 1,620171502086309e-006 |
631 | 5,490569954646963e-007 |
632 | 6,355303179925355e-008 |
633 | -5,426597100684762e-009 |
634 | 4,292861814894369e-007 |
635 | 6,834209542421138e-007 |
636 | 7,099633014995863e-007 |
637 | 8,109951846981774e-007 |
638 | 4,118359768898598e-007 |
639 | 6,571760029213382e-007 |
i | ![]() | ![]() |
0 | -0,99948153278296 | -0,59483417516607 |
1 | 0,97113454393991 | -0,67528515225647 |
2 | 0,14130051758487 | -0,95090983575689 |
3 | -0,47005496701697 | -0,37340549728647 |
4 | 0,80705063769351 | 0,29653668284408 |
5 | -0,38981478896926 | 0,89572605717087 |
6 | -0,01053049862020 | -0,66959058036166 |
7 | -0,91266367957293 | -0,11522938140034 |
8 | 0,54840422910309 | 0,75221367176302 |
9 | 0,40009252867955 | -0,98929400334421 |
10 | -0,99867974711855 | -0,88147068645358 |
11 | -0,95531076805040 | 0,90908757154593 |
12 | -0,45725933317144 | -0,56716323646760 |
13 | -0,72929675029275 | -0,98008272727324 |
14 | 0,75622801399036 | 0,20950329995549 |
15 | 0,07069442601050 | -0,78247898470706 |
16 | 0,74496252926055 | -0,91169004445807 |
17 | -0,96440182703856 | -0,94739918296622 |
18 | 0,30424629369539 | -0,49438267012479 |
19 | 0,66565033746925 | 0,64652935542491 |
20 | 0,91697008020594 | 0,17514097332009 |
21 | -0,70774918760427 | 0,52548653416543 |
22 | -0,70051415345560 | -0,45340028808763 |
23 | -0,99496513054797 | -0,90071908066973 |
24 | 0,98164490790123 | -0,77463155528697 |
25 | -0,54671580548181 | -0,02570928536004 |
26 | -0,01689629065389 | 0,00287506445732 |
27 | -0,86110349531986 | 0,42548583726477 |
28 | -0,98892980586032 | -0,87881132267556 |
29 | 0,51756627678691 | 0,66926784710139 |
30 | -0,99635026409640 | -0,58107730574765 |
31 | -0,99969370862163 | 0,98369989360250 |
32 | 0,55266258627194 | 0,59449057465591 |
33 | 0,34581177741673 | 0,94879421061866 |
34 | 0,62664209577999 | -0,74402970906471 |
35 | -0,77149701404973 | -0,33883658042801 |
36 | -0,91592244254432 | 0,03687901376713 |
37 | -0,76285492357887 | -0,91371867919124 |
38 | 0,79788337195331 | -0,93180971199849 |
39 | 0,54473080610200 | -0,11919206037186 |
40 | -0,85639281671058 | 0,42429854760451 |
41 | -0,92882402971423 | 0,27871809078609 |
42 | -0,11708371046774 | -0,99800843444966 |
43 | 0,21356749817493 | -0,90716295627033 |
44 | -0,76191692573909 | 0,99768118356265 |
45 | 0,98111043100884 | -0,95854459734407 |
46 | -0,85913269895572 | 0,95766566168880 |
47 | -0,93307242253692 | 0,49431757696466 |
48 | 0,30485754879632 | -0,70540034357529 |
49 | 0,85289650925190 | 0,46766131791044 |
50 | 0,91328082618125 | -0,99839597361769 |
51 | -0,05890199924154 | 0,70741827819497 |
52 | 0,28398686150148 | 0,34633555702188 |
53 | 0,95258164539612 | -0,54893416026939 |
54 | -0,78566324168507 | -0,75568541079691 |
55 | -0,95789495447877 | -0,20423194696966 |
56 | 0,82411158711197 | 0,96654618432562 |
57 | -0,65185446735885 | -0,88734990773289 |
58 | -0,93643603134666 | 0,99870790442385 |
59 | 0,91427159529618 | -0,98290505544444 |
60 | -0,70395684036886 | 0,58796798221039 |
61 | 0,00563771969365 | 0,61768196727244 |
62 | 0,89065051931895 | 0,52783352697585 |
63 | -0,68683707712762 | 0,80806944710339 |
64 | 0,72165342518718 | -0,69259857349564 |
65 | -0,62928247730667 | 0,13627037407335 |
66 | 0,29938434065514 | -0,46051329682246 |
67 | -0,91781958879280 | -0,74012716684186 |
68 | 0,99298717043688 | 0,40816610075661 |
69 | 0,82368298622748 | -0,74036047190173 |
70 | -0,98512833386833 | -0,99972330709594 |
71 | -0,95915368242257 | -0,99237800466040 |
72 | -0,21411126572790 | -0,93424819052545 |
73 | -0,68821476106884 | -0,26892306315457 |
74 | 0,91851997982317 | 0,09358228901785 |
75 | -0,96062769559127 | 0,36099095133739 |
76 | 0,51646184922287 | -0,71373332873917 |
77 | 0,61130721139669 | 0,46950141175917 |
78 | 0,47336129371299 | -0,27333178296162 |
79 | 0,90998308703519 | 0,96715662938132 |
80 | 0,44844799194357 | 0,99211574628306 |
81 | 0,66614891079092 | 0,96590176169121 |
82 | 0,74922239129237 | -0,89879858826087 |
83 | -0,99571588506485 | 0,52785521494349 |
84 | 0,97401082477563 | -0,16855870075190 |
85 | 0,72683747733879 | -0,48060774432251 |
86 | 0,95432193457128 | 0,68849603408441 |
87 | -0,72962208425191 | -0,76608443420917 |
88 | -0,85359479233537 | 0,88738125901579 |
89 | -0,81412430338535 | -0,97480768049637 |
90 | -0,87930772356786 | 0,74748307690436 |
91 | -0,71573331064977 | -0,98570608178923 |
92 | 0,83524300028228 | 0,83702537075163 |
93 | -0,48086065601423 | -0,98848504923531 |
94 | 0,97139128574778 | 0,80093621198236 |
95 | 0,51992825347895 | 0,80247631400510 |
96 | -0,00848591195325 | -0,76670128000486 |
97 | -0,70294374303036 | 0,55359910445577 |
98 | -0,95894428168140 | -0,43265504344783 |
99 | 0,97079252950321 | 0,09325857238682 |
100 | -0,92404293670797 | 0,85507704027855 |
101 | -0,69506469500450 | 0,98633412625459 |
102 | 0,26559203620024 | 0,73314307966524 |
103 | 0,28038443336943 | 0,14537913654427 |
104 | -0,74138124825523 | 0,99310339807762 |
105 | -0,01752795995444 | -0,82616635284178 |
106 | -0,55126773094930 | -0,98898543862153 |
107 | 0,97960898850996 | -0,94021446752851 |
108 | -0,99196309146936 | 0,67019017358456 |
109 | -0,67684928085260 | 0,12631491649378 |
110 | 0,09140039465500 | -0,20537731453108 |
111 | -0,71658965751996 | -0,97788200391224 |
112 | 0,81014640078925 | 0,53722648362443 |
113 | 0,40616991671205 | -0,26469008598449 |
114 | -0,67680188682972 | 0,94502052337695 |
115 | 0,86849774348749 | -0,18333598647899 |
116 | -0,99500381284851 | -0,02634122068550 |
117 | 0,84329189340667 | 0,10406957462213 |
118 | -0,09215968531446 | 0,69540012101253 |
119 | 0,99956173327206 | -0,12358542001404 |
120 | -0,79732779473535 | -0,91582524736159 |
121 | 0,96349973642406 | 0,96640458041000 |
122 | -0,79942778496547 | 0,64323902822857 |
123 | -0,11566039853896 | 0,28587846253726 |
124 | -0,39922954514662 | 0,94129601616966 |
125 | 0,99089197565987 | -0,92062625581587 |
126 | 0,28631285179909 | -0,91035047143603 |
127 | -0,83302725605608 | -0,67330410892084 |
128 | 0,95404443402072 | 0,49162765398743 |
129 | -0,06449863579434 | 0,03250560813135 |
130 | -0,99575054486311 | 0,42389784469507 |
131 | -0,65501142790847 | 0,82546114655624 |
132 | -0,81254441908887 | -0,51627234660629 |
133 | -0,99646369485481 | 0,84490533520752 |
134 | 0,00287840603348 | 0,64768261158166 |
135 | 0,70176989408455 | -0,20453028573322 |
136 | 0,96361882270190 | 0,40706967140989 |
137 | -0,68883758192426 | 0,91338958840772 |
138 | -0,34875585502238 | 0,71472290693300 |
139 | 0,91980081243087 | 0,66507455644919 |
140 | -0,99009048343881 | 0,85868021604848 |
141 | 0,68865791458395 | 0,55660316809678 |
142 | -0,99484402129368 | -0,20052559254934 |
143 | 0,94214511408023 | -0,99696425367461 |
144 | -0,67414626793544 | 0,49548221180078 |
145 | -0,47339353684664 | -0,85904328834047 |
146 | 0,14323651387360 | -0,94145598222488 |
147 | -0,29268293575672 | 0,05759224927952 |
148 | 0,43793861458754 | -0,78904969892724 |
149 | -0,36345126374441 | 0,64874435357162 |
150 | -0,08750604656825 | 0,97686944362527 |
151 | -0,96495267812511 | -0,53960305946511 |
152 | 0,55526940659947 | 0,78891523734774 |
153 | 0,73538215752630 | 0,96452072373404 |
154 | -0,30889773919437 | -0,80664389776860 |
155 | 0,03574995626194 | -0,97325616900959 |
156 | 0,98720684660488 | 0,48409133691962 |
157 | -0,81689296271203 | -0,90827703628298 |
158 | 0,67866860118215 | 0,81284503870856 |
159 | -0,15808569732583 | 0,85279555024382 |
160 | 0,80723395114371 | -0,24717418514605 |
161 | 0,47788757329038 | -0,46333147839295 |
162 | 0,96367554763201 | 0,38486749303242 |
163 | -0,99143875716818 | -0,24945277239809 |
164 | 0,83081876925833 | -0,94780851414763 |
165 | -0,58753191905341 | 0,01290772389163 |
166 | 0,95538108220960 | -0,85557052096538 |
167 | -0,96490920476211 | -0,64020970923102 |
168 | -0,97327101028521 | 0,12378128133110 |
169 | 0,91400366022124 | 0,57972471346930 |
170 | -0,99925837363824 | 0,71084847864067 |
171 | -0,86875903507313 | -0,20291699203564 |
172 | -0,26240034795124 | -0,68264554369108 |
173 | -0,24664412953388 | -0,87642273115183 |
174 | 0,02416275806869 | 0,27192914288905 |
175 | 0,82068619590515 | -0,85087787994476 |
176 | 0,88547373760759 | -0,89636802901469 |
177 | -0,18173078152226 | -0,26152145156800 |
178 | 0,09355476558534 | 0,54845123045604 |
179 | -0,54668414224090 | 0,95980774020221 |
180 | 0,37050990604091 | -0,59910140383171 |
181 | -0,70373594262891 | 0,91227665827081 |
182 | -0,34600785879594 | -0,99441426144200 |
183 | -0,68774481731008 | -0,30238837956299 |
184 | -0,26843291251234 | 0,83115668004362 |
185 | 0,49072334613242 | -0,45359708737775 |
186 | 0,38975993093975 | 0,95515358099121 |
187 | -0,97757125224150 | 0,05305894580606 |
188 | -0,17325552859616 | -0,92770672250494 |
189 | 0,99948035025744 | 0,58285545563426 |
190 | -0,64946246527458 | 0,68645507104960 |
191 | -0,12016920576437 | -0,57147322153312 |
192 | -0,58947456517751 | -0,34847132454388 |
193 | -0,41815140454465 | 0,16276422358861 |
194 | 0,99885650204884 | 0,11136095490444 |
195 | -0,56649614128386 | -0,90494866361587 |
196 | 0,94138021032330 | 0,35281916733018 |
197 | -0,75725076534641 | 0,53650549640587 |
198 | 0,20541973692630 | -0,94435144369918 |
199 | 0,99980371023351 | 0,79835913565599 |
200 | 0,29078277605775 | 0,35393777921520 |
201 | -0,62858772103030 | 0,38765693387102 |
202 | 0,43440904467688 | -0,98546330463232 |
203 | -0,98298583762390 | 0,21021524625209 |
204 | 0,19513029146934 | -0,94239832251867 |
205 | -0,95476662400101 | 0,98364554179143 |
206 | 0,93379635304810 | -0,70881994583682 |
207 | -0,85235410573336 | -0,08342347966410 |
208 | -0,86425093011245 | -0,45795025029466 |
209 | 0,38879779059045 | 0,97274429344593 |
210 | 0,92045124735495 | -0,62433652524220 |
211 | 0,89162532251878 | 0,54950955570563 |
212 | -0,36834336949252 | 0,96458298020975 |
213 | 0,93891760988045 | -0,89968353740388 |
214 | 0,99267657565094 | -0,03757034316958 |
215 | -0,94063471614176 | 0,41332338538963 |
216 | 0,99740224117019 | -0,16830494996370 |
217 | -0,35899413170555 | -0,46633226649613 |
218 | 0,05237237274947 | -0,25640361602661 |
219 | 0,36703583957424 | -0,38653265641875 |
220 | 0,91653180367913 | -0,30587628726597 |
221 | 0,69000803499316 | 0,90952171386132 |
222 | -0,38658751133527 | 0,99501571208985 |
223 | -0,29250814029851 | 0,37444994344615 |
224 | -0,60182204677608 | 0,86779651036123 |
225 | -0,97418588163217 | 0,96468523666475 |
226 | 0,88461574003963 | 0,57508405276414 |
227 | 0,05198933055162 | 0,21269661669964 |
228 | -0,53499621979720 | 0,97241553731237 |
229 | -0,49429560226497 | 0,98183865291903 |
230 | -0,98935142339139 | -0,40249159006933 |
231 | -0,98081380091130 | -0,72856895534041 |
232 | -0,27338148835532 | 0,99950922447209 |
233 | 0,06310802338302 | -0,54539587529618 |
234 | -0,20461677199539 | -0,14209977628489 |
235 | 0,66223843141647 | 0,72528579940326 |
236 | -0,84764345483665 | 0,02372316801261 |
237 | -0,89039863483811 | 0,88866581484602 |
238 | 0,95903308477986 | 0,76744927173873 |
239 | 0,73504123909879 | -0,03747203173192 |
240 | -0,31744434966056 | -0,36834111883652 |
241 | -0,34110827591623 | 0,40211222807691 |
242 | 0,47803883714199 | -0,39423219786288 |
243 | 0,98299195879514 | 0,01989791390047 |
244 | -0,30963073129751 | -0,18076720599336 |
245 | 0,99992588229018 | -0,26281872094289 |
246 | -0,93149731080767 | -0,98313162570490 |
247 | 0,99923472302773 | -0,80142993767554 |
248 | -0,26024169633417 | -0,75999759855752 |
249 | -0,35712514743563 | 0,19298963768574 |
250 | -0,99899084509530 | 0,74645156992493 |
251 | 0,86557171579452 | 0,55593866696299 |
252 | 0,33408042438752 | 0,86185953874709 |
253 | 0,99010736374716 | 0,04602397576623 |
254 | -0,66694269691195 | -0,91643611810148 |
255 | 0,64016792079480 | 0,15649530836856 |
256 | 0,99570534804836 | 0,45844586038111 |
257 | -0,63431466947340 | 0,21079116459234 |
258 | -0,07706847005931 | -0,89581437101329 |
259 | 0,98590090577724 | 0,88241721133981 |
260 | 0,80099335254678 | -0,36851896710853 |
261 | 0,78368131392666 | 0,45506999802597 |
262 | 0,08707806671691 | 0,80938994918745 |
263 | -0,86811883080712 | 0,39347308654705 |
264 | -0,39466529740375 | -0,66809432114456 |
265 | 0,97875325649683 | -0,72467840967746 |
266 | -0,95038560288864 | 0,89563219587625 |
267 | 0,17005239424212 | 0,54683053962658 |
268 | -0,76910792026848 | -0,96226617549298 |
269 | 0,99743281016846 | 0,42697157037567 |
270 | 0,95437383549973 | 0,97002324109952 |
271 | 0,99578905365569 | -0,54106826257356 |
272 | 0,28058259829990 | -0,85361420634036 |
273 | 0,85256524470573 | -0,64567607735589 |
274 | -0,50608540105128 | -0,65846015480300 |
275 | -0,97210735183243 | -0,23095213067791 |
276 | 0,95424048234441 | -0,99240147091219 |
277 | -0,96926570524023 | 0,73775654896574 |
278 | 0,30872163214726 | 0,41514960556126 |
279 | -0,24523839572639 | 0,63206633394807 |
280 | -0,33813265086024 | -0,38661779441897 |
281 | -0,05826828420146 | -0,06940774188029 |
282 | -0,22898461455054 | 0,97054853316316 |
283 | -0,18509915019881 | 0,47565762892084 |
284 | -0,10488238045009 | -0,87769947402394 |
285 | -0,71886586182037 | 0,78030982480538 |
286 | 0,99793873738654 | 0,90041310491497 |
287 | 0,57563307626120 | -0,91034337352097 |
288 | 0,28909646383717 | 0,96307783970534 |
289 | 0,42188998312520 | 0,48148651230437 |
290 | 0,93335049681047 | -0,43537023883588 |
291 | -0,97087374418267 | 0,86636445711364 |
292 | 0,36722871286923 | 0,65291654172961 |
293 | -0,81093025665696 | 0,08778370229363 |
294 | -0,26240603062237 | -0,92774095379098 |
295 | 0,83996497984604 | 0,55839849139647 |
296 | -0,99909615720225 | -0,96024605713970 |
297 | 0,74649464155061 | 0,12144893606462 |
298 | -0,74774595569805 | -0,26898062008959 |
299 | 0,95781667469567 | -0,79047927052628 |
300 | 0,95472308713099 | -0,08588776019550 |
301 | 0,48708332746299 | 0,99999041579432 |
302 | 0,46332038247497 | 0,10964126185063 |
303 | -0,76497004940162 | 0,89210929242238 |
304 | 0,57397389364339 | 0,35289703373760 |
305 | 0,75374316974495 | 0,96705214651335 |
306 | -0,59174397685714 | -0,89405370422752 |
307 | 0,75087906691890 | -0,29612672982396 |
308 | -0,98607857336230 | 0,25034911730023 |
309 | -0,40761056640505 | -0,90045573444695 |
310 | 0,66929266740477 | 0,98629493401748 |
311 | -0,97463695257310 | -0,00190223301301 |
312 | 0,90145509409859 | 0,99781390365446 |
313 | -0,87259289048043 | 0,99233587353666 |
314 | -0,91529461447692 | -0,15698707534206 |
315 | -0,03305738840705 | -0,37205262859764 |
316 | 0,07223051368337 | -0,88805001733626 |
317 | 0,99498012188353 | 0,97094358113387 |
318 | -0,74904939500519 | 0,99985483641521 |
319 | 0,04585228574211 | 0,99812337444082 |
320 | -0,89054954257993 | -0,31791913188064 |
321 | -0,83782144651251 | 0,97637632547466 |
322 | 0,33454804933804 | -0,86231516800408 |
323 | -0,99707579362824 | 0,93237990079441 |
324 | -0,22827527843994 | 0,18874759397997 |
325 | 0,67248046289143 | -0,03646211390569 |
326 | -0,05146538187944 | -0,92599700120679 |
327 | 0,99947295749905 | 0,93625229707912 |
328 | 0,66951124390363 | 0,98905825623893 |
329 | -0,99602956559179 | -0,44654715757688 |
330 | 0,82104905483590 | 0,99540741724928 |
331 | 0,99186510988782 | 0,72023001312947 |
332 | -0,65284592392918 | 0,52186723253637 |
333 | 0,93885443798188 | -0,74895312615259 |
334 | 0,96735248738388 | 0,90891816978629 |
335 | -0,22225968841114 | 0,57124029781228 |
336 | -0,44132783753414 | -0,92688840659280 |
337 | -0,85694974219574 | 0,88844532719844 |
338 | 0,91783042091762 | -0,46356892383970 |
339 | 0,72556974415690 | -0,99899555770747 |
340 | -0,99711581834508 | 0,58211560180426 |
341 | 0,77638976371966 | 0,94321834873819 |
342 | 0,07717324253925 | 0,58638399856595 |
343 | -0,56049829194163 | 0,82522301569036 |
344 | 0,98398893639988 | 0,39467440420569 |
345 | 0,47546946844938 | 0,68613044836811 |
346 | 0,65675089314631 | 0,18331637134880 |
347 | 0,03273375457980 | -0,74933109564108 |
348 | -0,38684144784738 | 0,51337349030406 |
349 | -0,97346267944545 | -0,96549364384098 |
350 | -0,53282156061942 | -0,91423265091354 |
351 | 0,99817310731176 | 0,61133572482148 |
352 | -0,50254500772635 | -0,88829338134294 |
353 | 0,01995873238855 | 0,85223515096765 |
354 | 0,99930381973804 | 0,94578896296649 |
355 | 0,82907767600783 | -0,06323442598128 |
356 | -0,58660709669728 | 0,96840773806582 |
357 | -0,17573736667267 | -0,48166920859485 |
358 | 0,83434292401346 | -0,13023450646997 |
359 | 0,05946491307025 | 0,20511047074866 |
360 | 0,81505484574602 | -0,94685947861369 |
361 | -0,44976380954860 | 0,40894572671545 |
362 | -0,89746474625671 | 0,99846578838537 |
363 | 0,39677256130792 | -0,74854668609359 |
364 | -0,07588948563079 | 0,74096214084170 |
365 | 0,76343198951445 | 0,41746629422634 |
366 | -0,74490104699626 | 0,94725911744610 |
367 | 0,64880119792759 | 0,41336660830571 |
368 | 0,62319537462542 | -0,93098313552599 |
369 | 0,42215817594807 | -0,07712787385208 |
370 | 0,02704554141885 | -0,05417518053666 |
371 | 0,80001773566818 | 0,91542195141039 |
372 | -0,79351832348816 | -0,36208897989136 |
373 | 0,63872359151636 | 0,08128252493444 |
374 | 0,52890520960295 | 0,60048872455592 |
375 | 0,74238552914587 | 0,04491915291044 |
376 | 0,99096131449250 | -0,19451182854402 |
377 | -0,80412329643109 | -0,88513818199457 |
378 | -0,64612616129736 | 0,72198674804544 |
379 | 0,11657770663191 | -0,83662833815041 |
380 | -0,95053182488101 | -0,96939905138082 |
381 | -0,62228872928622 | 0,82767262846661 |
382 | 0,03004475787316 | -0,99738896333384 |
383 | -0,97987214341034 | 0,36526129686425 |
384 | -0,99986980746200 | -0,36021610299715 |
385 | 0,89110648599879 | -0,97894250343044 |
386 | 0,10407960510582 | 0,77357793811619 |
387 | 0,95964737821728 | -0,35435818285502 |
388 | 0,50843233159162 | 0,96107691266205 |
389 | 0,17006334670615 | -0,76854025314829 |
390 | 0,25872675063360 | 0,99893303933816 |
391 | -0,01115998681937 | 0,98496019742444 |
392 | -0,79598702973261 | 0,97138411318894 |
393 | -0,99264708948101 | -0,99542822402536 |
394 | -0,99829663752818 | 0,01877138824311 |
395 | -0,70801016548184 | 0,33680685948117 |
396 | -0,70467057786826 | 0,93272777501857 |
397 | 0,99846021905254 | -0,98725746254433 |
398 | -0,63364968534650 | -0,16473594423746 |
399 | -0,16258217500792 | -0,95939125400802 |
400 | -0,43645594360633 | -0,94805030113284 |
401 | -0,99848471702976 | 0,96245166923809 |
402 | -0,16796458968998 | -0,98987511890470 |
403 | -0,87979225745213 | -0,71725725041680 |
404 | 0,44183099021786 | -0,93568974498761 |
405 | 0,93310180125532 | -0,99913308068246 |
406 | -0,93941931782002 | -0,56409379640356 |
407 | -0,88590003188677 | 0,47624600491382 |
408 | 0,99971463703691 | -0,83889954253462 |
409 | -0,75376385639978 | 0,00814643438625 |
410 | 0,93887685615875 | -0,11284528204636 |
411 | 0,85126435782309 | 0,52349251543547 |
412 | 0,39701421446381 | 0,81779634174316 |
413 | -0,37024464187437 | -0,87071656222959 |
414 | -0,36024828242896 | 0,34655735648287 |
415 | -0,93388812549209 | -0,84476541096429 |
416 | -0,65298804552119 | -0,18439575450921 |
417 | 0,11960319006843 | 0,99899346780168 |
418 | 0,94292565553160 | 0,83163906518293 |
419 | 0,75081145286948 | -0,35533223142265 |
420 | 0,56721979748394 | -0,24076836414499 |
421 | 0,46857766746029 | -0,30140233457198 |
422 | 0,97312313923635 | -0,99548191630031 |
423 | -0,38299976567017 | 0,98516909715427 |
424 | 0,41025800019463 | 0,02116736935734 |
425 | 0,09638062008048 | 0,04411984381457 |
426 | -0,85283249275397 | 0,91475563922421 |
427 | 0,88866808958124 | -0,99735267083226 |
428 | -0,48202429536989 | -0,96805608884164 |
429 | 0,27572582416567 | 0,58634753335832 |
430 | -0,65889129659168 | 0,58835634138583 |
431 | 0,98838086953732 | 0,99994349600236 |
432 | -0,20651349620689 | 0,54593044066355 |
433 | -0,62126416356920 | -0,59893681700392 |
434 | 0,20320105410437 | -0,86879180355289 |
435 | -0,97790548600584 | 0,96290806999242 |
436 | 0,11112534735126 | 0,21484763313301 |
437 | -0,41368337314182 | 0,28216837680365 |
438 | 0,24133038992960 | 0,51294362630238 |
439 | -0,66393410674885 | -0,08249679629081 |
440 | -0,53697829178752 | -0,97649903936228 |
441 | -0,97224737889348 | 0,22081333579837 |
442 | 0,87392477144549 | -0,12796173740361 |
443 | 0,19050361015753 | 0,01602615387195 |
444 | -0,46353441212724 | -0,95249041539006 |
445 | -0,07064096339021 | -0,94479803205886 |
446 | -0,92444085484466 | -0,10457590187436 |
447 | -0,83822593578728 | -0,01695043208885 |
448 | 0,75214681811150 | -0,99955681042665 |
449 | -0,42102998829339 | 0,99720941999394 |
450 | -0,72094786237696 | -0,35008961934255 |
451 | 0,78843311019251 | 0,52851398958271 |
452 | 0,97394027897442 | -0,26695944086561 |
453 | 0,99206463477946 | -0,57010120849429 |
454 | 0,76789609461795 | -0,76519356730966 |
455 | -0,82002421836409 | -0,73530179553767 |
456 | 0,81924990025724 | 0,99698425250579 |
457 | -0,26719850873357 | 0,68903369776193 |
458 | -0,43311260380975 | 0,85321815947490 |
459 | 0,99194979673836 | 0,91876249766422 |
460 | -0,80692001248487 | -0,32627540663214 |
461 | 0,43080003649976 | -0,21919095636638 |
462 | 0,67709491937357 | -0,95478075822906 |
463 | 0,56151770568316 | -0,70693811747778 |
464 | 0,10831862810749 | -0,08628837174592 |
465 | 0,91229417540436 | -0,65987351408410 |
466 | -0,48972893932274 | 0,56289246362686 |
467 | -0,89033658689697 | -0,71656563987082 |
468 | 0,65269447475094 | 0,65916004833932 |
469 | 0,67439478141121 | -0,81684380846796 |
470 | -0,47770832416973 | -0,16789556203025 |
471 | -0,99715979260878 | -0,93565784007648 |
472 | -0,90889593602546 | 0,62034397054380 |
473 | -0,06618622548177 | -0,23812217221359 |
474 | 0,99430266919728 | 0,18812555317553 |
475 | 0,97686402381843 | -0,28664534366620 |
476 | 0,94813650221268 | -0,97506640027128 |
477 | -0,95434497492853 | -0,79607978501983 |
478 | -0,49104783137150 | 0,32895214359663 |
479 | 0,99881175120751 | 0,88993983831354 |
480 | 0,50449166760303 | -0,85995072408434 |
481 | 0,47162891065108 | -0,18680204049569 |
482 | -0,62081581361840 | 0,75000676218956 |
483 | -0,43867015250812 | 0,99998069244322 |
484 | 0,98630563232075 | -0,53578899600662 |
485 | -0,61510362277374 | -0,89515019899997 |
486 | -0,03841517601843 | -0,69888815681179 |
487 | -0,30102157304644 | -0,07667808922205 |
488 | 0,41881284182683 | 0,02188098922282 |
489 | -0,86135454941237 | 0,98947480909359 |
490 | 0,67226861393788 | -0,13494389011014 |
491 | -0,70737398842068 | -0,76547349325992 |
492 | 0,94044946687963 | 0,09026201157416 |
493 | -0,82386352534327 | 0,08924768823676 |
494 | -0,32070666698656 | 0,50143421908753 |
495 | 0,57593163224487 | -0,98966422921509 |
496 | -0,36326018419965 | 0,07440243123228 |
497 | 0,99979044674350 | -0,14130287347405 |
498 | -0,92366023326932 | -0,97979298068180 |
499 | -0,44607178518598 | -0,54233252016394 |
500 | 0,44226800932956 | 0,71326756742752 |
501 | 0,03671907158312 | 0,63606389366675 |
502 | 0,52175424682195 | -0,85396826735705 |
503 | -0,94701139690956 | -0,01826348194255 |
504 | -0,98759606946049 | 0,82288714303073 |
505 | 0,87434794743625 | 0,89399495655433 |
506 | -0,93412041758744 | 0,41374052024363 |
507 | 0,96063943315511 | 0,93116709541280 |
508 | 0,97534253457837 | 0,86150930812689 |
509 | 0,99642466504163 | 0,70190043427512 |
510 | -0,94705089665984 | -0,29580042814306 |
511 | 0,91599807087376 | -0,98147830385781 |
[1] | ИСО/МЭК 14496-3:2009 | Информационные технологии. Кодирование аудиовизуальных объектов. Часть 3. Аудио (ИСО/МЭК 14496-3:2009 Information technology - Coding of audio-visual objects - Part 3: Audio) |