Главная // Актуальные документы // ГОСТ Р (Государственный стандарт)
СПРАВКА
Источник публикации
М.: Стандартинформ, 2014
Примечание к документу
Документ введен в действие с 1 сентября 2013 года.

Название документа
"ГОСТ Р 52069.0-2013. Национальный стандарт Российской Федерации. Защита информации. Система стандартов. Основные положения"
(утв. и введен в действие Приказом Росстандарта от 28.02.2013 N 3-ст)

"ГОСТ Р 52069.0-2013. Национальный стандарт Российской Федерации. Защита информации. Система стандартов. Основные положения"
(утв. и введен в действие Приказом Росстандарта от 28.02.2013 N 3-ст)


Содержание


Утвержден и введен в действие
Приказом Федерального
агентства по техническому
регулированию и метрологии
от 28 февраля 2013 г. N 3-ст
НАЦИОНАЛЬНЫЙ СТАНДАРТ РОССИЙСКОЙ ФЕДЕРАЦИИ
ЗАЩИТА ИНФОРМАЦИИ
СИСТЕМА СТАНДАРТОВ
ОСНОВНЫЕ ПОЛОЖЕНИЯ
Safety of information. System of standards. Basic principles
ГОСТ Р 52069.0-2013
Группа Э02
ОКС 01.040.01
ОКСТУ 0090
Дата введения
1 сентября 2013 года
Предисловие
1. Разработан Федеральным автономным учреждением "Государственный научно-исследовательский испытательный институт проблем технической защиты информации Федеральной службы по техническому и экспортному контролю" (ФАУ "ГНИИИ ПТЗИ ФСТЭК России").
2. Внесен Техническим комитетом по стандартизации ТК 362 "Защита информации".
3. Утвержден и введен в действие Приказом Федерального агентства по техническому регулированию и метрологии от 28 февраля 2013 г. N 3-ст.
4. Взамен ГОСТ Р 52069.0-2003.
Правила применения настоящего стандарта установлены в ГОСТ Р 1.0-2012 (раздел 8). Информация об изменениях к настоящему стандарту публикуется в ежегодном (по состоянию на 1 января текущего года) информационном указателе "Национальные стандарты", а официальный текст изменений и поправок - в ежемесячном информационном указателе "Национальные стандарты". В случае пересмотра (замены) или отмены настоящего стандарта соответствующее уведомление будет опубликовано в ближайшем выпуске ежемесячного информационного указателя "Национальные стандарты". Соответствующая информация, уведомление и тексты размещаются также в информационной системе общего пользования - на официальном сайте Федерального агентства по техническому регулированию и метрологии в сети Интернет (gost.ru).
1. Область применения
Настоящий стандарт устанавливает цель, задачи и структуру системы стандартов по защите (некриптографическими методами) информации, объекты и аспекты стандартизации в данной области.
Положения настоящего стандарта применяются при проведении работ по стандартизации в области противодействия техническим разведкам, технической защиты информации некриптографическими методами, обеспечения (некриптографическими методами) безопасности информации в ключевых системах информационной инфраструктуры.
Настоящий стандарт является основополагающим национальным стандартом Российской Федерации в области защиты (некриптографическими методами) информации.
2. Нормативные ссылки
В настоящем стандарте использованы нормативные ссылки на следующие стандарты:
ГОСТ Р 1.0-2004 Стандартизация в Российской Федерации. Основные положения
ГОСТ Р 1.2-2004 Стандартизация в Российской Федерации. Стандарты национальные Российской Федерации. Правила разработки, утверждения, обновления и отмены
ГОСТ Р 1.4-2004 Стандартизация в Российской Федерации. Стандарты организаций. Общие положения
ГОСТ Р 1.5-2004 Стандартизация в Российской Федерации. Стандарты национальные Российской Федерации. Правила построения, изложения, оформления и обозначения
ГОСТ Р 1.7-2008 Стандартизация в Российской Федерации. Стандарты национальные Российской Федерации. Правила оформления и обозначения при разработке на основе применения международных стандартов
ГОСТ Р 1.8-2004 Стандартизация в Российской Федерации. Стандарты межгосударственные. Правила проведения в Российской Федерации работ по разработке, применению, обновлению и прекращению применения
ГОСТ Р 1.10-2004 Стандартизация в Российской Федерации. Правила стандартизации и рекомендации по стандартизации. Порядок разработки, утверждения, изменения, пересмотра и отмены
ГОСТ Р 1.12-2004 Стандартизация в Российской Федерации. Термины и определения
ГОСТ Р 50922-2006 Защита информации. Основные термины и определения
ГОСТ Р 51141-98 Делопроизводство и архивное дело. Термины и определения
ГОСТ Р 53114-2008 Защита информации. Обеспечение информационной безопасности в организации. Основные термины и определения
ГОСТ 1.1-2002 Межгосударственная система стандартизации. Термины и определения
ГОСТ 1.2-2009 Межгосударственная система стандартизации. Стандарты межгосударственные, правила и рекомендации по межгосударственной стандартизации. Правила разработки, принятия, применения, обновления и отмены
ГОСТ 1.5-2001 Межгосударственная система стандартизации. Стандарты межгосударственные, правила и рекомендации по межгосударственной стандартизации. Общие требования к построению, изложению, оформлению, содержанию и обозначению
Примечание. При пользовании настоящим стандартом целесообразно проверить действие ссылочных стандартов в информационной системе общего пользования - на официальном сайте Федерального агентства по техническому регулированию и метрологии в сети Интернет или по ежегодному информационному указателю "Национальные стандарты", который опубликован по состоянию на 1 января текущего года, и по выпускам ежемесячного информационного указателя "Национальные стандарты" за текущий год. Если заменен ссылочный стандарт, на который дана недатированная ссылка, то рекомендуется использовать действующую версию этого стандарта с учетом всех внесенных в данную версию изменений. Если заменен ссылочный стандарт, на который дана датированная ссылка, то рекомендуется использовать версию этого стандарта с указанным выше годом утверждения (принятия). Если после утверждения настоящего стандарта в ссылочный стандарт, на который дана датированная ссылка, внесено изменение, затрагивающее положение, на которое дана ссылка, то это положение рекомендуется применять без учета данного изменения. Если ссылочный стандарт отменен без замены, то положение, в котором дана ссылка на него, рекомендуется применять в части, не затрагивающей эту ссылку.
3. Термины и определения
В настоящем стандарте применены термины по ГОСТ Р 1.12, ГОСТ Р 50922, ГОСТ Р 51141, ГОСТ Р 53114, ГОСТ 1.1, а также следующие термины с соответствующими определениями:
3.1. Система стандартов по защите информации: совокупность взаимосвязанных стандартов, устанавливающих характеристики продукции, правила осуществления и характеристики процессов, выполнения работ или оказания услуг в области защиты информации.
3.2. Технология: система взаимосвязанных методов, способов, приемов предметной деятельности.
3.3. Продукция: результат деятельности, представленный в материально-вещественной форме и предназначенный для дальнейшего использования в хозяйственных и иных целях.
3.4. Процесс: совокупность последовательных действий для достижения какого-либо результата.
4. Обозначения и сокращения
В настоящем стандарте применены следующие сокращения:
ЗИ - защита информации;
ОБИ в КСИИ - обеспечение безопасности информации в ключевых системах информационной инфраструктуры;
ОЗИ - объект защиты информации;
ПРНС - программа разработки национальных стандартов;
СЗИ - средство защиты информации;
СКЭЗИ - средство контроля эффективности защиты информации;
ССЗИ - система стандартов по защите информации;
ТЗИ - техническая защита информации;
ТК - технический комитет по стандартизации.
5. Общие положения
5.1. Система стандартов по защите информации является составной частью национальной системы стандартизации Российской Федерации и формируется в соответствии с программами разработки национальных стандартов.
Целью ССЗИ является достижение рациональной упорядоченности организации и содержания работ в области ЗИ, повышение эффективности ЗИ на основе установления общих правил и характеристик для их многократного использования, а также повышение эффективности работ по стандартизации за счет упорядочения структуры системы стандартов, процесса разработки стандартов, учета взаимосвязи стандартов различных систем.
5.2. Основными задачами по формированию и развитию ССЗИ являются:
- установление основополагающих принципов построения, требований к составу и содержанию системы документов в области ЗИ;
- обеспечение единства терминологии в области ЗИ;
- упорядочение объектов и аспектов стандартизации в области ЗИ;
- обеспечение единства организационных и методических подходов к проведению работ по ЗИ;
- установление системы требований по ЗИ, предъявляемых к различным видам ОЗИ, и методов контроля выполнения этих требований;
- установление общих технических требований к СЗИ и СКЭЗИ, методам их испытаний;
- установление общих требований к услугам по ЗИ;
- установление требований к методам и методикам испытаний и оценки качества СЗИ и СКЭЗИ, к методам и методикам измерений в процессе контроля эффективности мероприятий по ЗИ;
- установление требований к метрологическому, информационному и другим видам обеспечения ЗИ.
5.3. Формирование ССЗИ осуществляется во взаимосвязи с другими документами по стандартизации в области ЗИ, используемыми на территории Российской Федерации, с учетом основных принципов стандартизации, установленных ГОСТ Р 1.0, а также следующих дополнительных принципов:
- учет важности и характеристик ОЗИ при определении объектов и аспектов стандартизации в ходе планирования и разработки документов по стандартизации в области ЗИ;
- согласованность работ по стандартизации в области ЗИ, выполняемых федеральными органами исполнительной власти в пределах их компетенции и другими организациями - участниками работ в рамках отдельных систем стандартов;
- согласованность и непротиворечивость требований по ЗИ в документах по стандартизации, исключение их дублирования в различных документах, обеспечение унификации требований по ЗИ;
- комплексность охвата взаимосвязанных объектов стандартизации в области ЗИ.
5.4. Основными объектами стандартизации ССЗИ являются:
а) ЗИ как область деятельности:
- противодействие техническим разведкам;
- ТЗИ;
- ОБИ в КСИИ;
б) ОЗИ, в том числе:
- промышленные объекты, объекты науки, энергетики, жизнеобеспечения;
- объекты органов управления;
- объекты информатизации;
- продукция;
- процессы (работы, технологии);
в) угрозы безопасности информации и уязвимости ОЗИ;
г) организация и содержание работ по ЗИ;
д) методы (процессы, работы, технологии) ЗИ и методы контроля состояния ЗИ;
е) техника ЗИ, в том числе:
- СЗИ;
- СКЭЗИ;
ж) услуги по ЗИ.
Примечание. Указанные объекты стандартизации ССЗИ могут быть подразделены на классы, виды и группы. При этом используется иерархическая система классификации. На каждой ступени классификации объекта деление осуществляют по классификационным признакам: назначение, область применения, а также с учетом отношений вида "часть - целое", "причина - следствие" и др. Классификация объекта может быть завершена на различных ступенях классификационного деления в зависимости от решаемых задач по стандартизации в области ЗИ и категории стандарта.
5.5. Основными аспектами стандартизации в ССЗИ являются:
- термины и определения в области ЗИ;
- классификация в области ЗИ (ОЗИ, угроз безопасности информации, уязвимостей ОЗИ, работ и услуг по ЗИ, техники ЗИ);
- требования к системе документов в области ЗИ и ССЗИ, в том числе требования к структуре системы документов, содержанию, оформлению, порядку разработки, согласования, утверждения и отмены;
- общие технические требования по ЗИ, предъявляемые к различным ОЗИ;
- общие требования к организации и содержанию работ по ЗИ на ОЗИ;
- общие технические требования к СЗИ и СКЭЗИ и методам их испытаний;
- методы контроля организации и эффективности ЗИ, методы измерений при проведении контроля;
- общие требования к организации, содержанию работ и результатам оказания услуг по ЗИ.
В процессе разработки стандартов перечисленные аспекты стандартизации детализируются применительно к объектам стандартизации. Взаимосвязь основных объектов и аспектов стандартизации (фрагмент) показана в Приложении А.
5.6. Система стандартов по защите информации включает следующие виды документов в области стандартизации по ЗИ, используемых на территории Российской Федерации:
- национальные стандарты Российской Федерации, в том числе ограниченного распространения, государственные военные стандарты, национальные стандарты, оформленные на основе аутентичных переводов международных стандартов (гармонизированные стандарты);
- межгосударственные стандарты;
- правила стандартизации, нормы и рекомендации в области стандартизации;
- общероссийские классификаторы технико-экономической и социальной информации;
- стандарты организаций;
- предварительные национальные стандарты.
Кроме перечисленных выше документов в состав документов в области стандартизации по ЗИ могут входить:
- своды правил;
- нормативно-технические документы системы общих технических требований к видам вооружения и военной техники;
- международные стандарты, региональные стандарты, региональные своды правил, стандарты иностранных государств и своды правил иностранных государств, принятые на учет национальным органом Российской Федерации по стандартизации, и их надлежащим образом заверенные переводы на русский язык.
Примечание. В случае установления отдельных требований по ЗИ в принятых технических регламентах на территории Российской Федерации на добровольной основе могут применяться международные стандарты, региональные стандарты, региональные своды правил, стандарты иностранных государств и своды правил иностранных государств, принятые на учет национальным органом Российской Федерации по стандартизации, в интересах обеспечения соблюдения указанных требований.
5.7. Виды стандартов, разрабатываемых в области ЗИ, соответствуют ГОСТ Р 1.0.
5.8. Национальные стандарты Российской Федерации и предварительные национальные стандарты по ЗИ обеспечивают систематизацию и упорядочение предъявляемых к ним требований и не должны противоречить нормативным правовым актам Российской Федерации.
5.9. Межгосударственные стандарты по ЗИ применяются по ГОСТ 1.2 и ГОСТ Р 1.8.
5.10. Правила стандартизации, нормы стандартизации и рекомендации в области стандартизации разрабатываются на объекты, процессы ЗИ.
5.11. Общероссийские классификаторы технико-экономической и социальной информации устанавливают классификацию видов экономической деятельности и информации о них, продукции, документации, услуг.
5.12. Стандарты организаций по ЗИ разрабатываются организациями и утверждаются ими самостоятельно исходя из необходимости применения этих стандартов для целей стандартизации по ЗИ, для совершенствования производства и обеспечения качества продукции, выполнения работ, оказания услуг, а также для распространения и использования полученных в области ЗИ знаний результатов исследований (испытаний), измерений и разработок и не должны противоречить другим документам в области стандартизации по ЗИ, используемым на территории Российской Федерации.
5.13. Своды правил разрабатываются в случае отсутствия национальных стандартов применительно к отдельным требованиям технических регламентов или к объектам технического регулирования в целях обеспечения соблюдения требований технических регламентов к продукции или связанным с ними процессам проектирования (включая изыскания), производства, строительства, монтажа, наладки, эксплуатации, хранения, перевозки, реализации и утилизации.
Примечание. Своды правил по ЗИ могут разрабатываться в случае установления отдельных требований по ЗИ в принятых технических регламентах.
5.14. Нормативно-технические документы системы общих технических требований к видам вооружения и военной техники устанавливают общие требования к изделиям вооружения и военной техники по ЗИ и общие технические требования к СЗИ и СКЭЗИ, тактико-технические задания на разработку которых выдает федеральный орган исполнительной власти, уполномоченный в области обороны.
5.15. Национальные стандарты по ЗИ разрабатывают, принимают, пересматривают, вносят изменения или отменяют по ГОСТ Р 1.2, стандарты организаций - по ГОСТ Р 1.4, своды правил - в соответствии с правилами, утвержденными Постановлением Правительства Российской Федерации [1], правила, нормы стандартизации и рекомендации по стандартизации - по ГОСТ Р 1.10.
5.16. Оформление и содержание стандартов ССЗИ должны соответствовать требованиям ГОСТ Р 1.5, ГОСТ Р 1.7, ГОСТ Р 1.10, ГОСТ 1.5, а также национальных стандартов ограниченного распространения, утверждаемых Федеральным агентством по техническому регулированию и метрологии по согласованию с федеральными органами исполнительной власти, являющимися в соответствии с законодательством Российской Федерации органами защиты государственной тайны.
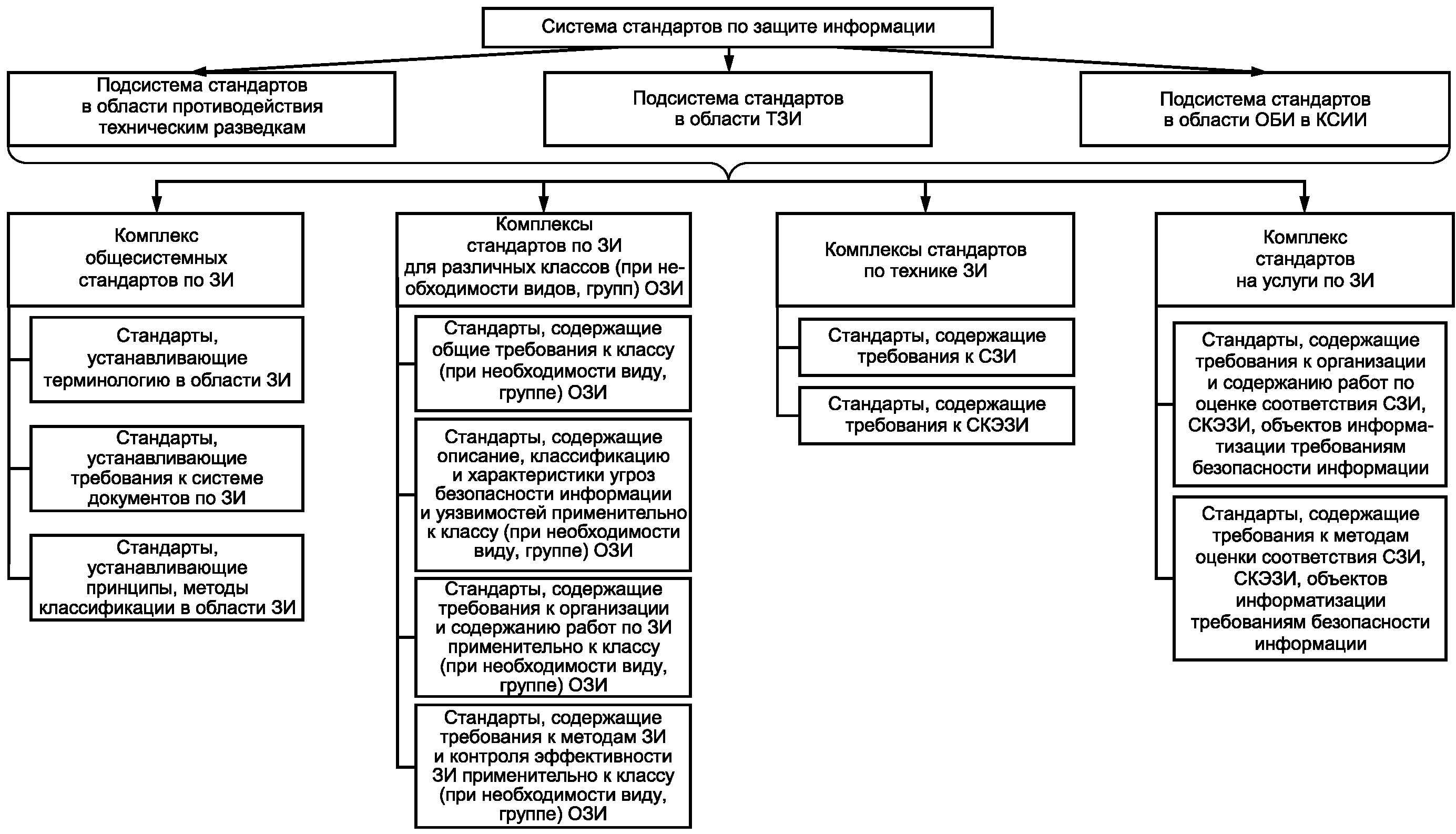
6. Структура системы стандартов по защите информации
6.1. Система стандартов по защите информации является составной частью общей системы документов в области ЗИ. Структура ССЗИ определяется объектами и аспектами стандартизации.
6.2. Система стандартов по защите информации включает подсистемы стандартов в области:
- противодействия техническим разведкам;
- ТЗИ;
- ОБИ в КСИИ.
В каждой области подсистемы стандартов ССЗИ включают следующие комплексы стандартов:
- комплекс общесистемных стандартов по ЗИ;
- комплексы стандартов по ЗИ для различных классов (видов, групп) ОЗИ;
- комплексы стандартов по технике ЗИ;
- комплекс стандартов на услуги по ЗИ.
Примечание. В зависимости от объектов стандартизации указанные комплексы стандартов могут включать документы в области стандартизации по 5.6.
Структура ССЗИ - в соответствии с Приложением Б.
6.3. Комплекс общесистемных стандартов устанавливает общие требования по ЗИ в различных областях деятельности, терминологию в области ЗИ, общие требования к системе документов по ЗИ, классификацию, структуру системы документов, требования к содержанию.
6.4. Комплексы стандартов по ЗИ для различных классов ОЗИ формируются применительно к конкретным классам (при необходимости видам, группам) ОЗИ и включают национальные стандарты, относящиеся к одному объекту стандартизации:
- стандарты, содержащие общие требования к ОЗИ;
- стандарты, содержащие описание, классификацию и характеристики угроз безопасности информации и уязвимостей применительно к классу (при необходимости виду, группе) ОЗИ;
- стандарты, содержащие требования к организации и содержанию работ по ЗИ применительно к классу (при необходимости виду, группе) ОЗИ;
- стандарты, содержащие требования к методам ЗИ и контроля эффективности ЗИ применительно к классу (при необходимости виду, группе) ОЗИ.
6.5. Комплексы стандартов по технике ЗИ включают:
- стандарты, содержащие требования к СЗИ;
- стандарты, содержащие требования к СКЭЗИ.
6.6. Комплекс стандартов на услуги по ЗИ включает стандарты, содержащие требования по организации, содержанию работ, используемым методам оценки соответствия СЗИ и СКЭЗИ, а также аттестации объектов информатизации по требованиям безопасности информации.
6.7. Отдельные требования по ЗИ, включаемые в документы в области стандартизации других систем стандартов, должны быть взаимоувязаны со стандартами ССЗИ.
Технологические схемы проведения работ по включению отдельных требований по ЗИ в разрабатываемые документы в области стандартизации, а также в действующие документы в области стандартизации приведены на рисунках В.1, В.2 Приложения В. Жирным шрифтом на рисунках показаны дополнительные (по отношению к ГОСТ Р 1.2) работы, подлежащие выполнению в интересах осуществления периодической актуализации документов в области стандартизации, содержащих отдельные требования по ЗИ.
6.8. Структура регистрационного номера стандартов ССЗИ включает в себя:
- обозначение категории стандарта;
- регистрационный номер стандарта;
- порядковый номер стандарта в комплексе (пакете) национальных стандартов ССЗИ.
6.9. Наименование стандартов в области ЗИ приводится в соответствие с требованиями ГОСТ 1.5 (подраздел 3.6) и в зависимости от его содержания имеет следующую структуру:
- заголовок и подзаголовок;
- групповой заголовок, заголовок и подзаголовок.
Примеры:
ЗАЩИТА ИНФОРМАЦИИ. Термины и определения (заголовок и подзаголовок);
Защита информации. СИСТЕМА ОБЕСПЕЧЕНИЯ КАЧЕСТВА ТЕХНИКИ ЗАЩИТЫ ИНФОРМАЦИИ. Общие положения (групповой заголовок, заголовок и подзаголовок).
Приложение А
(справочное)
ОСНОВНЫЕ ОБЪЕКТЫ И АСПЕКТЫ СТАНДАРТИЗАЦИИ В СИСТЕМЕ
СТАНДАРТОВ ПО ЗАЩИТЕ ИНФОРМАЦИИ (ФРАГМЕНТ)
Взаимосвязь основных объектов и аспектов стандартизации (фрагмент) в системе стандартов по защите информации проиллюстрирована в таблице А.1.
Таблица А.1
Основные объекты и аспекты стандартизации в системе
стандартов по защите информации
Объекты стандартизации
Аспекты стандартизации
ТЗИ как область деятельности
Общие положения по ТЗИ, термины и определения, принципы, методы классификации и кодирования информации, структура системы документов, содержание, требования к содержанию, порядку разработки, согласования, утверждения, отмены
ОЗИ
Общие положения, классификация, общие требования, виды защищаемых ресурсов, методы обоснования требований, критерии оценки безопасности
Угрозы безопасности информации и уязвимости на ОЗИ
Общие положения, классификация, характеристики угроз безопасности информации и уязвимостей информационных систем
Организация и содержание работ по ЗИ
Общие положения, порядок и содержание работ по защите информационных систем от различных видов угроз безопасности информации, по созданию систем обеспечения безопасности информации и управлению ими, основные функции должностных лиц, органов и организаций, требования к документам
Методы (процессы, работы, технологии) ЗИ и контроля состояния ЗИ
Общие положения, классификация, порядок, правила, методы оценки безопасности, критерии, методы ЗИ и контроля, требования к должностным лицам, порядок выполнения работ подразделениями и специалистами, требования к документам
Техника ЗИ, в том числе СЗИ и СКЭЗИ
Общие положения, классификация, общие требования, номенклатура СЗИ, СКЭЗИ, требования к средствам, методам испытаний, методы обоснования требований, методы контроля (проверки) выполнения требований, методы измерений, показатели качества, методы определения показателей качества техники ЗИ
Услуги по ЗИ
Общие положения, порядок предоставления услуг, требования к организации, содержанию работ, методам оценки соответствия СЗИ, СКЭЗИ, аттестации объектов информатизации на соответствие требованиям безопасности информации
Приложение Б
(обязательное)
СТРУКТУРА СИСТЕМЫ СТАНДАРТОВ ПО ЗАЩИТЕ ИНФОРМАЦИИ
Рисунок Б.1. Структура системы стандартов
по защите информации
Приложение В
(рекомендуемое)
ТЕХНОЛОГИЧЕСКИЕ СХЕМЫ
ПРОВЕДЕНИЯ РАБОТ ПО ВКЛЮЧЕНИЮ ОТДЕЛЬНЫХ ТРЕБОВАНИЙ ПО ЗАЩИТЕ
ИНФОРМАЦИИ В ДОКУМЕНТЫ ДРУГИХ СИСТЕМ СТАНДАРТИЗАЦИИ
Рисунок В.1. Технологические схемы проведения работ
по включению отдельных требований по защите информации
в разрабатываемые документы в области стандартизации
Рисунок В.2. Технологические схемы проведения работ
по включению отдельных требований по защите информации
в действующие документы в области стандартизации
БИБЛИОГРАФИЯ
[1]
Постановление Правительства Российской Федерации от 19.11.2008 N 858
О порядке разработки и утверждения сводов правил