Главная // Актуальные документы // ГОСТ Р (Государственный стандарт)СПРАВКА
Источник публикации
М.: Стандартинформ, 2014
Примечание к документу
Документ
введен в действие с 01.07.2015.
Название документа
"ГОСТ Р МЭК 60891-2013. Национальный стандарт Российской Федерации. Государственная система обеспечения единства измерений. Приборы фотоэлектрические. Методики коррекции по температуре и энергетической освещенности результатов измерения вольт-амперной характеристики"
(утв. и введен в действие Приказом Росстандарта от 22.11.2013 N 1757-ст)
"ГОСТ Р МЭК 60891-2013. Национальный стандарт Российской Федерации. Государственная система обеспечения единства измерений. Приборы фотоэлектрические. Методики коррекции по температуре и энергетической освещенности результатов измерения вольт-амперной характеристики"
(утв. и введен в действие Приказом Росстандарта от 22.11.2013 N 1757-ст)
Утвержден и введен в действие
по техническому регулированию
и метрологии
от 22 ноября 2013 г. N 1757-ст
НАЦИОНАЛЬНЫЙ СТАНДАРТ РОССИЙСКОЙ ФЕДЕРАЦИИ
ГОСУДАРСТВЕННАЯ СИСТЕМА ОБЕСПЕЧЕНИЯ ЕДИНСТВА ИЗМЕРЕНИЙ
ПРИБОРЫ ФОТОЭЛЕКТРИЧЕСКИЕ
МЕТОДИКИ КОРРЕКЦИИ ПО ТЕМПЕРАТУРЕ И ЭНЕРГЕТИЧЕСКОЙ
ОСВЕЩЕННОСТИ РЕЗУЛЬТАТОВ ИЗМЕРЕНИЯ
ВОЛЬТ-АМПЕРНОЙ ХАРАКТЕРИСТИКИ
State system for ensuring the uniformity of measurements.
Photovoltaic devices. Procedures for temperature
and irradiance corrections to measured
current voltage characteristics
IEC 60891:2009
Photovoltaic devices - Procedures for temperature
and irradiance corrections to measured I-V characteristics
(IDT)
ГОСТ Р МЭК 60891-2013
Дата введения
1 июля 2015 года
1 ПОДГОТОВЛЕН Федеральным государственным унитарным предприятием "Всероссийский научно-исследовательский институт оптико-физических измерений" (ФГУП "ВНИИОФИ") на основе аутентичного перевода на русский язык стандарта, указанного в
пункте 4
2 ВНЕСЕН Федеральным агентством по техническому регулированию и метрологии, Техническим комитетом по стандартизации ТК 206 "Эталоны и поверочные схемы"
3 УТВЕРЖДЕН И ВВЕДЕН В ДЕЙСТВИЕ
Приказом Федерального агентства по техническому регулированию и метрологии от 22 ноября 2013 г. N 1757-ст
4 Настоящий стандарт идентичен международному стандарту МЭК 60891:2009 "Приборы фотогальванические. Методики коррекции по температуре и освещенности результатов измерения вольт-амперной характеристики" (IEC 60891:2009 "Photovoltaic devices - Procedures for temperature and irradiance corrections to measured I-V characteristics")
Наименование настоящего стандарта изменено относительно наименования указанного международного стандарта для приведения в соответствие с ГОСТ Р 1.5-2004
(подраздел 3.5).
При применении настоящего стандарта рекомендуется использовать вместо ссылочных международных стандартов соответствующие им национальные стандарты Российской Федерации, сведения о которых приведены в дополнительном
приложении ДА
5 ВВЕДЕН ВПЕРВЫЕ
Правила применения настоящего стандарта установлены в ГОСТ Р 1.0-2012 (раздел 8). Информация об изменениях к настоящему стандарту публикуется в ежегодном (по состоянию на 1 января текущего года) информационном указателе "Национальные стандарты", а официальный текст изменений и поправок - в ежемесячном информационном указателе "Национальные стандарты". В случае пересмотра (замены) или отмены настоящего стандарта соответствующее уведомление будет опубликовано в ближайшем выпуске информационного указателя "Национальные стандарты". Соответствующая информация, уведомление и тексты размещаются также в информационной системе общего пользования - на официальном сайте Федерального агентства по техническому регулированию и метрологии в сети Интернет (gost.ru)
Настоящий стандарт устанавливает методики коррекции по температуре и энергетической освещенности результатов измерения вольт-амперных характеристик (ВАХ) фотоэлектрических приборов. Стандарт также устанавливает методики определения параметров, используемых при данной коррекции. Требования к измерению ВАХ фотоэлектрических приборов изложены в МЭК 60904-1.
Примечания:
1 К фотоэлектрическим приборам относят единичный солнечный элемент с защитным покрытием или без, сборка солнечных элементов и модуль. Для разных типов приборов применяются различные наборы параметров коррекции ВАХ. Несмотря на то, что температурные коэффициенты для модуля (или сборки элементов) могут быть вычислены из результатов измерений единичного элемента, следует отметить, что для модуля и сборки элементов должны быть отдельно измерены внутреннее последовательное сопротивление и коэффициент коррекции кривой.
2 Термин "испытуемый образец" используют применительно к любому из этих приборов.
3 При использовании параметров коррекции ВАХ следует учитывать, что эти параметры являются верными для того фотоэлектрического прибора, для которого они были измерены. Для изделий одной партии или изделий одного типа их значения могут быть разными.
Международные стандарты, на которые приведены ссылки, являются обязательными для применения настоящего стандарта. В отношении датированных ссылок действительно только указанное издание. В отношении недатированных ссылок действительно последнее издание публикации (включая любые изменения), на которую дается ссылка.
МЭК 60904-1:2006 Приборы фотоэлектрические. Часть 1. Измерение вольт-амперных характеристик
МЭК 60904-2:2007 Приборы фотоэлектрические. Часть 2. Требования к эталонным солнечным приборам
МЭК 60904-7:2008 Приборы фотоэлектрические. Часть 7. Расчет поправки на спектральное несоответствие при измерениях фотоэлектрических приборов
МЭК 60904-9:2007 Приборы фотоэлектрические. Часть 9. Требования к характеристикам имитаторов солнечного излучения
МЭК 60904-10:2009 Приборы фотоэлектрические. Часть 10. Методы измерения линейности
3.1 Общие положения
Для коррекции результатов измерений ВАХ к другим условиям по температуре и энергетической освещенности, например к стандартным условиям испытаний (СУИ), могут быть использованы следующие три методики.
Первая совпадает с методикой, которая изложена в первой редакции настоящего стандарта (МЭК 891:87), отличие состоит в более удобной форме записи ее уравнений.
Вторая методика является альтернативной методу алгебраической коррекции, который дает хорошие результаты при больших (> 20%) поправках на энергетическую освещенность. Реализация каждой из двух методик требует знания параметров фотоэлектрического прибора, которые необходимо определить до проведения коррекции.
Третья методика представляет собой процедуру интерполяции и не требует знания параметров коррекции.
Методику можно применять, если измерены, по меньшей мере, три кривые ВАХ испытуемого прибора. Эти три ВАХ охватывают диапазон температур и энергетических освещенностей, в котором применима данная
методика.
Все методы применимы к приборам с линейной характеристикой тока короткого замыкания согласно определению, изложенному в МЭК 60904-10.
Примечания:
1 Для проводимых при коррекции ВАХ преобразований требуется оценка точности нахождения преобразованной ВАХ при выполнении коррекции (см.
раздел 7).
2 Все фотоэлектрические приборы должны обладать линейными характеристиками в ограниченном диапазоне значений энергетической освещенности и температуры прибора. Детальное описание приведено в МЭК 61853-1.
Общим требованием для реализации всех методик является измерение ВАХ в соответствие с МЭК 60904-1.
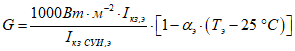
Энергетическую освещенность
G, как правило, вычисляют по измеренному току короткого замыкания
Iкз,э эталонного фотоэлектрического прибора, в соответствии с МЭК 60904-2 и его калибровочному значению
Iкз СУИ,э. при стандартных условиях испытаний (СУИ). Для учета температуры
Tэ эталонного прибора требуется введение поправки, содержащей специфический относительный температурный коэффициент эталонного прибора

(1/°C), который задается при 25 °C и 1000 Вт/м
2.

.
Спектральная характеристика эталонного фотоэлектрического прибора должна соответствовать испытуемому образцу. В противном случае должен быть выполнен расчет поправки на спектральное несоответствие согласно МЭК 60904-7. Во всем представляющем интерес диапазоне энергетической освещенности эталонный прибор должен иметь линейную характеристику тока короткого замыкания, определяемую в соответствии с МЭК 60904-10.
Коррекцию измеренной ВАХ для приведения к СУИ или другим выбранным значениям температуры и энергетической освещенности выполняют с применением следующих уравнений преобразования:

; (1)

, (2)
где I1, V1 - координаты точек на измеренной характеристике;
I2, V2 - координаты соответствующих точек на скорректированной характеристике;
G1 - энергетическая освещенность, измеренная эталонным прибором;
G2 - энергетическая освещенность при СУИ или другая требуемая энергетическая освещенность;
T1 - измеренная температура испытуемого образца;
T2 - температура при СУИ или другая требуемая температура;
Iкз - ток короткого замыкания испытуемого образца, измеренный при G1 и T1;

и

- температурные коэффициенты тока и напряжения испытуемого образца в представляющем интерес температурном диапазоне для энергетической освещенности при СУИ или другой заданной энергетической освещенности;
RП - внутреннее последовательное сопротивление испытуемого образца;
к - коэффициент коррекции кривой.
Примечания:
1 Поскольку при переходе от меньшего значения энергетической освещенности к большему точка на оси токов, изображающая напряжение холостого хода Uxx1, сместится с оси токов, следует определить смещенное значение Uxx2 путем линейной экстраполяции с использованием, по меньшей мере, трех экспериментальных точек, расположенных вблизи и ниже точки Uxx1. Другим способом является измерение исходной ВАХ достаточно далеко за пределами значения Uxx1.
2 Размерности всех параметров коррекции должны быть согласованы.
3 Если испытуемый образец представляет собой модуль, параметры коррекции ВАХ элемента могут быть найдены из схемы соединения элементов. Параметры коррекции ВАХ элемента могут быть использованы для расчета параметров коррекции ВАХ других модулей, использующих такие же элементы.
4 Для фотоэлектрических приборов из кристаллического кремния параметр

обычно принимает положительное значение, а параметр

- отрицательное.
Методики определения параметров коррекции ВАХ испытуемого образца описаны в
разделах 4 -
6.
Уравнение (1) применимо только в том случае, когда энергетическая освещенность остается постоянной в течение всего процесса измерения ВАХ. Для импульсных солнечных имитаторов с ослабевающим уровнем энергетической освещенности или любым другим видом колебаний величины энергетической освещенности в процессе измерения ВАХ
уравнение (1) в данном виде неприменимо. В этом случае корректируют каждое полученную ВАХ к эквивалентной ВАХ для неизменного значения энергетической освещенности путем введения масштабного фактора перед
Iкз. С практической точки зрения масштабный фактор удобно привязывать к значению энергетической освещенности, которая наблюдается в момент измерения
Iкз. В результате введения масштабного фактора
уравнение преобразования (1) в случае непостоянной энергетической освещенности принимает следующий вид

, (3)
где Gкз - значение энергетической освещенности в момент измерения Iкз; G'1 - значение энергетической освещенности в момент измерения ВАХ в конкретной точке (I1, V1).
Настоящая методика основана на упрощенной однодиодной модели фотоэлектрического прибора. В этом случае полуэмпирические уравнения преобразования содержат пять параметров коррекции ВАХ, которые могут быть найдены в результате измерения ВАХ в условиях различных значений температуры и энергетической освещенности. Наряду с температурным коэффициентом тока короткого замыкания

и температурным коэффициентом напряжения холостого хода

, как правило, используют дополнительный температурный коэффициент
к', который позволяет учесть изменение внутреннего последовательного сопротивления (и коэффициента заполнения ВАХ) при изменении температуры.
Настоящая методика коррекции определяется следующими уравнениями для тока и напряжения:

; (4)

, (5)
где I1, V1 - координаты точек измеренной ВАХ;
I2, V2 - координаты соответствующих точек скорректированной ВАХ;
G1 - энергетическая освещенность, измеренная эталонным прибором;
G2 - требуемая энергетическая освещенность для скорректированной ВАХ;
T1 - измеренная температура испытуемого образца;
T2 - требуемая температура испытуемого образца;
Uxx1 - напряжение холостого хода испытуемого образца при СУИ;

и

- относительный температурный коэффициент тока и относительный температурный коэффициент напряжения испытуемого образца, измеряемого при энергетической освещенности, равной 1000 Вт/м
2. Значения этих коэффициентов связаны со значениями тока короткого замыкания и напряжения холостого хода при СУИ;
a - фактор коррекции по энергетической освещенности для напряжения холостого хода, который связан с тепловым напряжением D pn-перехода диода и количеством последовательно соединенных в модуле элементов nП;
R'П - внутреннее последовательное сопротивление испытуемого образца;
к' - температурный коэффициент внутреннего последовательного сопротивления R'П.
Примечания:
1 Типичным значением фактора коррекции по освещенности является a = 0,06.
2 Следует учитывать, что численное значение для
R'П в методике 2 может отличаться от численного значения для
RП в
методике 1.
3.4. Методика коррекции 3
3.4.1. Общие замечания
Настоящая методика основана на линейной интерполяции или экстраполяции двух измеренных ВАХ. В методике используются, по меньшей мере, две ВАХ, и при этом не требуются параметры коррекции или параметры приближения. Измеренную ВАХ корректируют к СУИ или условиям с другими значениями температуры и энергетической освещенности с использованием следующих уравнений:
V3 =
V1 +
a·(
V2 -
V1); (6)
I3 =
I1 +
a·(
I2 -
I1). (7)
Пары (I1, V1) и (I2, V2) выбирают из условия: I2 - I1 = Iкз2 - Iкз1,
где I1, V1 - координаты точек на характеристике, измеренной при энергетической освещенности G1 и температуре T1;
I2, V2 - координаты точек на характеристике, измеренной при энергетической освещенности G2 и температуре T2;
I3, V3 - координаты соответствующих точек на скорректированной характеристике при энергетической освещенности G3 и температуре T3;
Iкз1, Iкз2 - измеренные токи короткого замыкания испытуемого образца;
a - постоянная интерполяции, связанная со значениями энергетической освещенности и температуры следующим образом:
G3 =
G1 +
a·(
G2 -
G1); (8)
T3 =
T1 +
a·(
T2 -
T1). (9)
Настоящая методика применима к фотоэлектрическим приборам почти всех технологий изготовления.
Уравнения (6) -
(9) могут быть использованы для коррекции по энергетической освещенности, коррекции по температуре, а также для коррекции одновременно по энергетической освещенности и температуре.
3.4.2 Коррекция по энергетической освещенности и температуре с использованием двух измеренных ВАХ
Методика коррекции ВАХ к энергетической освещенности и температуре (
G3,
T3) с использованием двух ВАХ, измеренных при освещенностях и температурах (
G1,
T1) и (
G2,
T2), заключается в следующем [
рисунки 1(a) и
1(b)].
a) Измеряют две ВАХ при значениях энергетической освещенности и температуры равных
G1,
T1 и
G2,
T2 соответственно [непрерывные кривые на
рисунке 1(a)]. Находят значения
Iкз1 и
Iкз2.
b) Находят постоянную интерполяции
a из
уравнений (8) и
(9). Например, пусть эти две ВАХ были измерены при:
G1 = 1000 Вт/м2 и T1 = 50 °C
G2 = 500 Вт/м2 и T2 = 40 °C.
Пусть представляющая интерес энергетическая освещенность
G3 = 800 Вт/м
2. Тогда из
уравнения (8) получаем значение
a, равное 0,4. Используя
уравнения (9), находим:
T3 = 46 °C.
c) Выбирают точку (
V1,
I1) на первой ВАХ. На второй ВАХ находят точку (
V2,
I2) таким образом, чтобы выполнялось соотношение:
I2 -
I1 =
Iкз2 -
Iкз1 (рисунок 1 (b).
e) Выбирают несколько точек (
V1,
I1) на первой ВАХ и для каждой из них вычисляют (
V3,
I3) в соответствии с
перечислениями c) и
d).
f) Набор найденных точек (
V3,
I3) [пунктирная кривая на
рисунке 1(b)] задает третью ВАХ при энергетической освещенности
G3 и температуре
T3.
рисунки 1(a) и
1(b) иллюстрируют пример коррекции по энергетической освещенности.
Рисунок 1(c) - пример коррекции по температуре.
Рисунок 1(d) иллюстрирует коррекцию одновременно по энергетической освещенности и температуре. В случае, когда 0 <
a < 1, методика представляет собой интерполяцию. В противном случае - экстраполяцию.
Следует отметить, что при фиксированных значениях
G1,
G2,
T1 и
T2, значения
G3 и
T3 не могут быть выбраны независимо, поскольку связаны
соотношениями (8) и
(9) (рисунок 2). Например, когда
G1 = 1000 Вт/м
2,
T1 = 20 °C,
G2 = 0 Вт/м
2 и
T2 = 60 °C ("темновая" ВАХ при 60 °C) и надо получить новую кривую при
G3 = 750 Вт/м
2, то из
уравнения (8) определяют значение фактора
a = 0,25. Следовательно, значение
T3 должно быть равным 30 °C согласно
уравнению (9).
Рисунок 1 - Пример коррекции ВАХ с применением
по энергетической освещенности, Рисунок (c) изображает
коррекцию по температуре и Рисунок (d) - коррекцию
одновременно по энергетической освещенности и температуре.
Примечания:
1 Интерполяция обычно дает лучшие результаты, нежели экстраполяция.
2 В случае, когда Iкз1 /= Iкз2 и требуется получить скорректированную ВАХ в окрестности точки, изображающей напряжение холостого хода Uxx, измеренные характеристики должны распространяться за эту точку.
3 В случае, когда отсутствуют экспериментальные точки, для которых точно выполняется соотношение I2 = I1 + (Iкз2 - Iкз1), значения V2 и I2 могут быть найдены путем интерполяции по имеющимся экспериментальным точкам второй ВАХ.
Рисунок 2 - Схематическая диаграмма соотношения значений
и
(9) для фиксированных значений
T1,
G1,
T2, и
G2.
при коррекции одновременно по энергетической освещенности
и температуре. Непрерывная прямая и пунктирная прямая
иллюстрируют диапазоны значений, в которых вычисляют
G3 и T3 путем интерполяции и экстраполяции, соответственно.
3.4.3 Коррекция к различным значениям энергетической освещенности и температуры с использованием трех ВАХ
Коррекция ВАХ к различным диапазонам энергетических освещенностей и температур возможна путем комбинирования действий по методике, приведенной в
3.4.2. Например, в случае, когда в распоряжении имеются три характеристики, измеренные при энергетических освещенностях и температурах, равных (
Ga,
Ta), (
Gb,
Tb) и (
Gc,
Tc)
[рисунок 3(a)], ВАХ при произвольных значениях энергетической освещенности и температуры (
Gn,
Tn) может быть определена следующим образом.
a) Характеристика при значениях (Gm, Tm) вычисляется при помощи характеристик при значениях (Ga, Ta) и (Gb, Tb).
b) Характеристика при значениях (Gn, Tn) вычисляется при помощи характеристик при значениях (Gm, Tm) и (Gc, Tc).
Например, когда (Ga, Ta), (Gb, Tb), (Gc, Tc) и (Gn, Tn) имеют значения (950 Вт/м2, 15 °C), (850 Вт/м2, 25 °C), (1 100 Вт/м2, 30 °C) и (1000 Вт/м2, 25 °C), тогда (Gm, Tm) принимает значения (900 Вт/м2, 20 °C).
Рисунок 3 - Схематическая диаграмма процесса коррекции
ВАХ к различным диапазонам энергетических освещенностей
и температур, основанная на использовании трех измеренных
ВАХ. Закрашенная область на рисунке (a) изображает диапазон,
достижимый только путем интерполяции. Рисунок (b)
иллюстрирует пример ВАХ, соответствующей рисунку 3(a).
3.4.4 Коррекция к различным значениям энергетической освещенности и температуры с использованием четырех ВАХ
Если известны четыре ВАХ, измеренные при энергетических освещенностях и температурах, равных (
Ga,
Ta), (
Gb,
Tb), (
Gc,
Tc) и (
Gd,
Td)
(рисунок 4), ВАХ при произвольных значениях энергетической освещенности и температуры (
Gn,
Tn) может быть получена следующим образом. Методика коррекции ВАХ применима в широком диапазоне значений энергетической освещенности и температуры. Несмотря на то, что пара ВАХ при значениях (
Gl,
Tl) и (
Gm,
Tm) не является единственной в процессе нахождения характеристики при (G
n,
Tn), получают, как правило, хорошие результаты коррекции, если выполняется соотношение: (
Ga -
Gl)/(
Ga -
Gb) = (
Gc -
Gm)/(
Gc -
Gd).
a) Характеристику при значениях (Gl, Tl) вычисляют с помощью характеристик при значениях (Ga, Ta) и (Gb, Tb).
b) Характеристику при значениях (Gm, Tm) вычисляют с помощью характеристик при значениях (Gc, Tc) и (Gd, Td).
c) Характеристику при значениях (Gn, Tn) вычисляют с помощью характеристик при значениях (Gl, Tl) и (Gm, Tm).
Например, когда (Ga, Ta), (Gb, Tb), (Gc, Tc), (Gd, Td) и (Gn, Tn) имеют значения (500 Вт/м2, 55 °C), (400 Вт/м2, 31 °C), (1 100 Вт/м2, 60 °C), (950 Вт/м2, 32 °C) и (800 Вт/м2, 45 °C), соответственно, тогда (Gl, Tl) и (Gm, Tm) принимают значения (450 Вт/м2, 43 °C) и (975 Вт/м2, 46 °C), соответственно.
ВАХ в диапазоне значений энергетической освещенности и температуры, изображенном на
рисунке 4 заштрихованной областью, могут быть получены путем интерполяции. Характеристики в другом диапазоне, не принадлежащем заштрихованной области, могут быть найдены путем экстраполяции. Однако следует учитывать, что протяженная экстраполяция может привести к плохим результатам коррекции и низкой точности коррекции.
Рисунок 4 - Схематическая диаграмма процесса коррекции ВАХ
к различным диапазонам значений энергетической освещенности
и температуры, основанном на использовании четырех
измеренных ВАХ. Заштрихованная область изображает диапазон
значений, достижимых только путем интерполяции.
4 Определение температурных коэффициентов
4.1. Общие положения
Для фотоэлектрических приборов обычно используют следующие температурные коэффициенты:

- коэффициент тока короткого замыкания,

- коэффициент напряжения холостого хода,

- коэффициент пиковой мощности, которые могут быть определены в результате измерений при естественном или искусственном солнечном освещении, и их значения являются действительными для того значения энергетической освещенности, при котором они были измерены. Для фотоэлектрических приборов с линейными характеристиками коэффициенты считаются верными в пределах +/- 30% от этого значения энергетической освещенности.
Температурные коэффициенты тонкопленочного модуля могут зависеть от энергетической освещенности, спектральной плотности энергетической освещенности и тепловой истории модуля. В этом случае для температурных коэффициентов следует указать условия и значения энергетической освещенности по тепловой истории.
Оценка температурных коэффициентов модуля при различных уровнях энергетической освещенности изложена в МЭК 60904-10.
Измерительная аппаратура должна отвечать следующим требованиям:
a) Аппаратура и приборы должны отвечать требованиям стандарта МЭК 60904-1.
b) Если в качестве источника излучения используют солнечный имитатор, то он должен соответствовать требованиям класса BBB или более высокого класса согласно МЭК 60904-9.
c) Аппаратура должна содержать необходимое оборудование для изменения температуры испытуемого образца в представляющем интерес диапазоне.
Примечание - На практике успешно используют следующее оборудование:
- вентиляторы, позволяющие охлаждать и нагревать образец потоком воздуха;
- установочные блоки с изменяемой температурой, имеющие хороший тепловой контакт с единичной ячейкой или всем модулем;
- камеры с прозрачным окном, в которых внутренняя температура может регулироваться;
- съемные затеняющие экраны при использовании естественного солнечного освещения.
d) Если испытуемый прибор представляет собой модуль, его температуру измеряют в четырех точках, изображенных на
рисунке 5 (при условии, что каждая точка измерения расположена непосредственно за элементом), и измеренные значения усредняют.
Рисунок 5 - Расположение точек измерения температуры
на элементах испытуемого модуля.
4.3 Методика, используемая при естественном солнечном освещении
Измерения при естественном солнечном освещении выполняют при следующих условиях:
- суммарная энергетическая освещенность принимает значение не ниже верхнего предела диапазона, представляющего интерес;
- изменения энергетической освещенности, вызванные кратковременными колебаниями (облака, туман, дым), остаются в пределах +/- 2% от суммарной энергетической освещенности, измеренной эталонным прибором;
- скорость ветра не превышает 2 м·с-1.
Примечания:
1 Измерения при естественном солнечном освещении выполняют насколько возможно быстро в пределах нескольких часов в течение одного дня с целью снижения эффекта изменения спектральных условий. В противном случае требуется спектральная коррекция.
2 Для модулей большой площади в случае невыполнения требования по температуре существует альтернативный подход, который заключается в использовании эквивалентной температуры элемента в соответствии с МЭК 60904-5.
a) Если испытуемый образец и эталонный прибор (МЭК 60904-2) оснащены средствами регулирования температуры, устанавливают требуемый уровень температуры.
b) Если регулирование температуры не применяют, закрывают испытуемый образец и эталонный прибор от солнца и ветра, пока их температуры не сравняются с температурой окружающего воздуха в пределах +/- 2 °C, и оставляют их при температуре установившегося равновесного состояния. В качестве другого способа допускается охлаждать испытуемый образец до температуры более низкой по сравнению с требуемой тестовой температурой и затем предоставляют модулю возможность нагреться естественным путем. Перед началом работы эталонное устройство также стабилизируют по температуре в пределах +/- 2 °C относительно равновесной температуры.
c) Регистрируют ВАХ и температуру испытуемого образца одновременно с регистрацией тока короткого замыкания и температуры эталонного прибора при требуемых температурах. При необходимости выполняют измерения немедленно после снятия затеняющего экрана. Измеряют значения тока короткого замыкания Iкз, напряжения холостого хода Uxx и пиковой мощности Pmax.
d) Устанавливают требуемую температуру прибора либо с помощью средств регулирования температуры, либо чередованием затенения и освещения испытуемого модуля добиваются достижения и поддержания требуемой температуры. Возможен естественный нагрев испытуемого прибора, который сопровождается регистрацией данных согласно
перечислению б) периодически в продолжение нагрева.
e) Обеспечивают стабилизацию температур испытуемого образца и эталонного прибора и сохранение их постоянными в пределах +/- 2 °C. Обеспечивают постоянство энергетической освещенности, измеренной эталонным прибором, в пределах +/- 1% в продолжение каждого периода регистрации данных.
f) При необходимости преобразовывают данные к уровню энергетической освещенности, для которого предоставлены температурные коэффициенты с помощью одной из методик, приведенных в настоящем стандарте. Преобразование может быть выполнено только в том диапазоне энергетической освещенности, в котором модуль сохраняет линейность характеристик в соответствии с МЭК 60904-10.
g) Повторяют действия по
перечислениям d) -
f). Установленные значения температуры модуля должны быть такими, чтобы температурный диапазон составлял, по меньшей мере, 30 °C, и его покрытие обеспечивалось, по крайней мере, четырьмя приблизительно равными приращениями.
4.4 Методика, применяемая при использовании солнечного имитатора
Методика, применяемая при использовании солнечного имитатора, заключается в следующем:
a) Нагревают или охлаждают модуль, пока его температура не установится в пределах +/- 2 °C от требуемой температуры.
Устанавливают энергетическую освещенность на требуемом уровне с помощью эталонного прибора (МЭК 60904-2).
b) Регистрируют ВАХ и температуру образца и определяют значения величин
Iкз,
Uxx и
Pmax.
c) Изменяют температуру модуля в интересующем диапазоне с шагом приблизительно 5 °C на протяжении, по меньшей мере, 30 °C, затем повторяют операции по
перечислениям a) и
b).
4.5 Вычисление температурных коэффициентов
4.5.1 На отдельных графиках приводят значения тока короткого замыкания Iкз, напряжения холостого хода Uxx и пиковой мощности Pmax. в зависимости от температуры прибора. Для каждого графика по полученным точкам строят приближенную прямую методом наименьших квадратов.
4.5.2 Определяют температурный коэффициент тока короткого замыкания

, температурный коэффициент напряжения холостого хода

и температурный коэффициент пиковой мощности

как угловые коэффициенты соответствующих прямых, полученных методом наименьших квадратов.
Примечания:
1 Проверку того, что испытуемый модуль может рассматриваться в качестве прибора с линейными характеристиками, проводят в соответствии с МЭК 60904-10.
2 Температурные коэффициенты являются достоверными только для того уровня энергетической освещенности и спектральной плотности энергетической освещенности, для которых они были измерены.
3 Относительные температурные коэффициенты могут быть определены путем деления вычисленных значений величин
, 
и

на значения тока, напряжения и пиковой мощности при 25 °C.
4 Поскольку для модуля фактор заполнения ВАХ является функцией температуры, для нахождения температурного коэффициента пиковой мощности

недостаточно использовать произведение коэффициентов

и

.
5 Определение внутренних последовательных сопротивлений RП и R'
П
5.1 Общие положения
Экспериментальные методы определения
RП и
R'
П для
методик коррекции 1 и
2 различаются, несмотря на то, что обе методики изначально используют одинаковые наборы данных по измерениям ВАХ.
RП и
R'
П могут быть определены в условиях естественного или искусственного солнечного освещения по следующей методике.
Измеряют ВАХ испытуемого образца при постоянной температуре и при трех или большем числе различных значений энергетической освещенности (
G1 ...
GN), покрывающих представляющий интерес диапазон, в пределах которого выполняется преобразование кривой. Для приборов с линейной характеристикой они могут быть вычислены по формуле:
GN =
Iкз,N/
Iкз1 x
G1. В процессе измерений ВАХ температура прибора должна быть постоянной в пределах +/- 2 °C. По измеренным ВАХ строят график
(рисунок 6a).
Примечание - Для изменения освещенности могут быть использованы сеточные фильтры большой площади с однородным пропусканием. Их можно рассматривать в качестве нейтральных сеточных фильтров в отношении спектральной плотности энергетической освещенности.
5.2.1 Предположим, что Iкз1 представляет собой ток короткого замыкания ВАХ, зарегистрированной при наибольшем значении энергетической освещенности G1. Выполняют преобразование остальных (N-1) кривых, зарегистрированных при меньших значениях энергетической освещенности (G2 .. GN), к значению G1, сначала используя значение RП = 0 Ом.
5.2.3 Выполняют преобразования кривых, изменяя
RП с шагом равным 10 мОм в положительном и отрицательном направлениях. Искомое значение величины "
RП" найдено, если отклонения максимальных значений выходной мощности преобразованных ВАХ остаются в пределах +/- 0,5%
(рисунок 6c).
a) Графики ВАХ, измеренных при различных энергетических освещенностях и постоянной температуре; b) графики скорректированных ВАХ при RП = 0 Ом; c) графики скорректированных ВАХ при найденном значении RП.
Рисунок 6 - Определение внутренних
последовательных сопротивлений.
5.3.1 Предположим, что
Iкз1 представляет собой ток короткого замыкания ВАХ, зарегистрированной при наибольшем значении энергетической освещенности
G1. Выполняют преобразование остальных (
N-1) кривых, зарегистрированных при меньших значениях энергетической освещенности (
G2 ..
GN), к значению
G1, используя значения
R'П = 0 Ом и
a = 0 в качестве начальных значений в
уравнениях (4) и
(5).
Примечание - При выполнении преобразования ВАХ для начальных значений R'П = 0 Ом и a = 0 сохраняется только значение тока короткого замыкания.
5.3.3 Выполняют преобразования кривых, увеличивая параметр "
a" в
уравнении (5) с шагом, равным 0,001, сохраняя условие
R'П = 0 Ом. Искомое значение "
a" найдено, если значения напряжений холостого хода преобразованных ВАХ совпадают в пределах +/- 0,5%
(рисунок 7c).
Примечания:
1 Если невозможно подобрать подходящий параметр для совпадения преобразованных значений напряжения холостого хода Uxx, эта методика не применима к данной технологии изготовления фотоэлектрических приборов.
2 Для приборов с линейными характеристиками фактор коррекции по энергетической освещенности для напряжения холостого хода a обычно не превышает значения 0,1.
5.3.4 Фиксируют фактор коррекции по энергетической освещенности для напряжения холостого хода "
a" равным значению, определенному в
5.3.3. Используют значение
nП/
nПр x 10 мОм в качестве оценки для внутреннего последовательного сопротивления
R'П, где
nП - количество последовательно соединенных элементов,
nПр - количество параллельно соединенных блоков в испытуемом приборе.
5.3.5 Выполняют преобразования кривых, изменяя
R'П с шагом, равным 10 мОм в положительном и отрицательном направлениях. Искомое значение величины "
R'П" найдено, если отклонения значений выходной пиковой мощности преобразованных ВАХ остаются в пределах +/- 0,5%
(рисунок 7d).
a) Графики ВАХ, измеренных при различных энергетических освещенностях и постоянной температуре; b) графики скорректированных ВАХ при a = 0 и R'П = 0 Ом; c) графики скорректированных ВАХ при найденном значении a и R'П = 0 Ом; d) графики скорректированных ВАХ при найденных значениях a и R'П.
Рисунок 7 - Определение фактора коррекции по энергетической
освещенности для напряжения холостого a и внутреннего
последовательного сопротивления R'П.
6 Определение коэффициентов коррекции кривой к и к'
6.1 Общие положения
Для определения коэффициентов коррекции кривой
к и
к', используемых в
методиках коррекции 1 и
2, соответственно применяют один и тот же экспериментальный прием. Коэффициенты могут быть определены как при естественном, так и при искусственном солнечном освещении. При этом в качестве входных величин должны быть известны температурные коэффициенты

и

.
6.2 Методика
Измеряют ВАХ испытуемого образца при постоянной энергетической освещенности и при различных значениях температуры (
T1 ...
TN), покрывающих представляющий интерес диапазон, в пределах которого выполняют преобразование кривой. В процессе измерения ВАХ изменения энергетической освещенности должны оставаться в пределах +/- 1%. Значение энергетической освещенности должно находиться в диапазоне, который использовался при определении коэффициентов коррекции по энергетической освещенности в
разделе 5 (рисунок 8a).
Примечания:
| | ИС МЕГАНОРМ: примечание. В официальном тексте документа, видимо, допущена опечатка: имеется в виду п. 4.2, а не 4.1. | |
1 Информация об оборудовании и измерительных приборах для регулирования температуры приведена в
4.1.
2 При измерении ВАХ модуля принимают меры по обеспечению постоянства температуры прибора в пределах +/- 2 °C относительно требуемого значения.
| | ИС МЕГАНОРМ: примечание. Нумерация пунктов дана в соответствии с официальным текстом документа. | |
6.2.2 Предположим, что
T1 является наименьшим из всех значений температуры прибора. Преобразовывают кривые, зарегистрированные при более высоких температурах (
T2...
TN), к кривой при температуре
T1, используя
к = 0 Ом/К в
уравнении (2) или
к' = 0 Ом/К в
уравнении (5).
6.2.4 Выполняют преобразования кривых, используя в качестве начального значения 0 мОм/К для
к или
к' с последующим их изменением с шагом 1 мОм/К в положительном и отрицательном направлениях. Искомое значение
к или
к' найдено, если отклонения значений максимальной выходной мощности преобразованных ВАХ остаются в пределах +/- 0,5%
(рисунок 8c).
a) графики ВАХ, измеренных при различных значениях температуры прибора; b) графики ВАХ, скорректированных по температуре при к = 0 Ом/К или к' = 0 Ом/К; c) графики скорректированных ВАХ при найденном значении к или к'.
Рисунок 8 - Определение коэффициента
коррекции кривой к или к'.
7 Отчетность о результатах
После коррекции ВАХ по температуре и энергетической освещенности необходимо предоставить следующее:
a) описание испытуемого прибора;
b) условия измерения энергетической освещенности и температуры. В случае применения линейной интерполяции должны быть представлены все используемые точки (Gi, Ti);
c) наименование используемой методики коррекции;
d) значения и способ нахождения параметров коррекции ВАХ;
e) уровень энергетической освещенности, которому соответствуют температурные коэффициенты;
f) оценка точности нахождения преобразованной ВАХ при выполнении коррекции.
После проведения измерений параметров коррекции ВАХ необходимо предоставить следующее:
- наименование использованного метода измерений;
- диапазоны значений энергетической освещенности и температуры прибора, которые использовались при определении параметров коррекции ВАХ;
- протокол измерений и полученные результаты, сопровождаемые при необходимости таблицами, графиками и фотографиями;
- спектральную плотность энергетической освещенности источника излучения;
- оценку точности измерения параметров коррекции ВАХ;
- определение степени линейности характеристик данного фотоэлектрического прибора в соответствии с МЭК 60904-10, а также диапазон значений энергетической освещенности и температуры, в котором справедлива линейность;
- описание температурных режимов и режимов воздействия излучением для испытуемого образца до проведения измерений (при наличии);
- любые отклонения, дополнения или исключения в отношении методик определения параметров коррекции ВАХ.
(справочное)
СВЕДЕНИЯ О СООТВЕТСТВИИ ССЫЛОЧНЫХ МЕЖДУНАРОДНЫХ СТАНДАРТОВ
НАЦИОНАЛЬНЫМ СТАНДАРТАМ РОССИЙСКОЙ ФЕДЕРАЦИИ
Таблица ДА.1
Обозначение ссылочного международного стандарта | Степень соответствия | Обозначение и наименование соответствующего национального стандарта |
МЭК 60904-1:2006 | IDT | |
МЭК 60904-2:2007 | IDT | ГОСТ Р МЭК 60904-2-2013 "Государственная система обеспечения единства измерений. Приборы фотоэлектрические. Часть 2. Требования к эталонным солнечным приборам" |
МЭК 60904-7:2008 | IDT | ГОСТ Р МЭК 60904-7-2013 "Государственная система обеспечения единства измерений. Приборы фотоэлектрические. Часть 7. Расчет поправки на спектральное несоответствие при измерениях фотоэлектрических приборов" |
| | ИС МЕГАНОРМ: примечание. В официальном тексте документа, видимо, допущена опечатка: стандарт имеет номер ГОСТ Р МЭК 60904-9-2016, а не ГОСТ Р МЭК 60904-9-2013. | |
|
МЭК 60904-9:2007 | IDT | ГОСТ Р МЭК 60904-9-2013 "Приборы фотоэлектрические. Часть 9. Требования к характеристикам имитаторов солнечного излучения" |
МЭК 60904-10:2009 | IDT | |
МЭК 60904-5:2011 | | |
МЭК 61853-1:2011 | IDT | ГОСТ Р МЭК 61853-1-2013 "Модули фотоэлектрические. Испытания рабочих характеристик и энергетической номинальной мощности. Часть 1. Измерения излучения и рабочих температурных характеристик и номинальной мощности" |
МЭК 891:87 | IDT | ГОСТ 28976-91 "Фотоэлектрические приборы из кристаллического кремния. Методика коррекции по температуре и облученности результатов измерения вольт-амперной характеристики" |
<*> Соответствующий национальный стандарт отсутствует. До его утверждения рекомендуется использовать перевод на русский язык международного стандарта. Примечание - В настоящей таблице использовано следующее условное обозначение степени соответствия стандартов: - IDT - идентичные стандарты. |
IEC 60904-5:2011 | Photovoltaic devices - Part 5: Determination of the equivalent cell temperature (ECT) of photovoltaic (PV) devices by the open-circuit voltage method |
IEC 61853-1:2011 | Photovoltaic (PV) module performance testing and energy rating - Part 1: Irradiance and temperature performance measurements and power rating1 |
IEC 891:87 | Photovoltaic devices of crystalline silicon. Procedures for temperature and irradiance corrections to measured current voltage characteristics |
УДК 621.383.51; 535.215.5; 535.215.6; 006.354 | |
Ключевые слова: приборы фотоэлектрические, вольт-амперная характеристика, энергетическая освещенность, параметры коррекции кривой |