Главная // Актуальные документы // ГОСТ Р (Государственный стандарт)СПРАВКА
Источник публикации
М.: Стандартинформ, 2015
Примечание к документу
Документ включен в
Перечень международных и региональных (межгосударственных) стандартов, а в случае их отсутствия - национальных (государственных) стандартов, в результате применения которых на добровольной основе обеспечивается соблюдение требований технического
регламента Таможенного союза "О безопасности низковольтного оборудования" (ТР ТС 004/2011) и в
Перечень международных и региональных (межгосударственных) стандартов, а в случае их отсутствия - национальных (государственных) стандартов, содержащих правила и методы исследований (испытаний) и измерений, в том числе правила отбора образцов, необходимые для применения и исполнения требований технического
регламента Таможенного союза "О безопасности низковольтного оборудования" (ТР ТС 004/2011) и осуществления оценки соответствия объектов технического регулирования (
Решение Коллегии Евразийской экономической комиссии от 11.05.2023 N 55).
Документ
введен в действие с 01.01.2016.
Название документа
"ГОСТ Р МЭК 60688-2015. Национальный стандарт Российской Федерации. Преобразователи электрические измерительные для преобразования электрических параметров переменного и постоянного тока в аналоговые и цифровые сигналы"
(утв. и введен в действие Приказом Росстандарта от 27.03.2015 N 193-ст)
"ГОСТ Р МЭК 60688-2015. Национальный стандарт Российской Федерации. Преобразователи электрические измерительные для преобразования электрических параметров переменного и постоянного тока в аналоговые и цифровые сигналы"
(утв. и введен в действие Приказом Росстандарта от 27.03.2015 N 193-ст)
Утвержден и введен в действие
по техническому регулированию
и метрологии
от 27 марта 2015 г. N 193-ст
НАЦИОНАЛЬНЫЙ СТАНДАРТ РОССИЙСКОЙ ФЕДЕРАЦИИ
ПРЕОБРАЗОВАТЕЛИ ЭЛЕКТРИЧЕСКИЕ ИЗМЕРИТЕЛЬНЫЕ
ДЛЯ ПРЕОБРАЗОВАНИЯ ЭЛЕКТРИЧЕСКИХ ПАРАМЕТРОВ ПЕРЕМЕННОГО
И ПОСТОЯННОГО ТОКА В АНАЛОГОВЫЕ И ЦИФРОВЫЕ СИГНАЛЫ
Electrical measuring transducers for converting a.c. and
d.c. electrical quantities to analogue or digital signals
IEC 60688:2012
Electrical measuring transducers for converting a.c. and
d.c. electrical quantities to analogue or digital signals
(IDT)
ГОСТ Р МЭК 60688-2015
Дата введения
1 января 2016 года
1 ПОДГОТОВЛЕН Федеральным государственным унитарным предприятием "Всероссийский научно-исследовательский институт метрологической службы" (ФГУП "ВНИИМС") на основе собственного аутентичного перевода на русский язык указанного в
пункте 4 стандарта
2 ВНЕСЕН Техническим комитетом по стандартизации ТК 445 "Метрология энергоэффективной экономики"
3 УТВЕРЖДЕН И ВВЕДЕН В ДЕЙСТВИЕ
Приказом Федерального агентства по техническому регулированию и метрологии от 27 марта 2015 г. N 193-ст
4 Настоящий стандарт идентичен международному стандарту МЭК 60688:2012 "Преобразователи электрические измерительные для преобразования электрических параметров переменного и постоянного тока в аналоговые и цифровые сигналы" (IEC 60688:2002 "Electrical measuring transducers for converting a.c. and d.c. electrical quantities to analogue or digital signals")
При применении настоящего стандарта рекомендуется использовать вместо ссылочных международных стандартов соответствующие им национальные и межгосударственные стандарты, сведения о которых приведены в дополнительном
приложении ДА
5 ВВЕДЕН ВПЕРВЫЕ
Правила применения настоящего стандарта установлены в ГОСТ Р 1.0-2012 (раздел 8). Информация об изменениях к настоящему стандарту публикуется в ежегодном (по состоянию на 1 января текущего года) информационном указателе "Национальные стандарты", а официальный текст изменений и поправок - в ежемесячном информационном указателе "Национальные стандарты". В случае пересмотра (замены) или отмены настоящего стандарта соответствующее уведомление будет опубликовано в ближайшем выпуске ежемесячного указателя "Национальные стандарты". Соответствующая информация, уведомление и тексты размещаются также в информационной системе общего пользования - на официальном сайте Федерального агентства по техническому регулированию и метрологии в сети Интернет (www.gost.ru)
Настоящий стандарт распространяется на преобразователи с электрическими входами и выходами для проведения измерений электрических величин переменного и постоянного тока. Выходной сигнал может быть в форме аналогового постоянного тока, аналогового постоянного напряжения или в цифровой форме. При этом та часть преобразователя, которая предназначена для коммуникационных целей, должна быть совместима с внешней системой.
Настоящий стандарт распространяется на преобразователи, используемые для преобразования электрических параметров переменного тока, таких как:
- ток;
- напряжение;
- активная мощность;
- реактивная мощность;
- коэффициент мощности;
- фазовый угол;
- частота;
- гармоники и полное гармоническое искажение;
- полная мощность -
в выходной сигнал.
Настоящий стандарт не распространяется на:
- измерительные трансформаторы, которые соответствуют серии публикаций МЭК 60044;
- передатчики, предназначенные для использования в промышленности, которые соответствуют серии публикаций МЭК 60770;
- работу измерительных и контрольно-измерительных устройств, которые соответствуют серии публикаций МЭК 61557-12.
В пределах диапазона измерения выходной сигнал является функцией измеряемой величины. Для работы преобразователя может потребоваться источник питания.
Настоящий стандарт применяется:
a) если номинальная частота на входе (входах) от 0 до 1500 Гц;
b) если измерительный преобразователь является частью системы, предназначенной для измерения неэлектрических величин, то этот стандарт распространяется только на преобразователь электрических величин, при этом должны выполняться остальные условия применимости стандарта;
c) для преобразователей, предназначенных для телеметрии и управления процессами в различных условиях.
Настоящий стандарт служит:
- для спецификации терминологии и определений, относящихся к преобразователям, основное применение которых - в области промышленности;
- для унификации методов испытаний, используемых для оценки характеристик преобразователей;
- для нормирования пределов точности и характеристик преобразователей.
Для применения настоящего стандарта необходимы документы, нормативные ссылки на которые представлены ниже. Для датированных документов используются ссылки только на указанное издание. Для недатированных документов ссылка распространяется на последнее издание (включая поправки и изменения).
МЭК 60051-1:1997 Приборы аналоговые, электроизмерительные, показывающие, прямого действия и части к ним. Часть 1. Определения и основные требования, общие для всех частей (IEC 60051-1:1997 Direct acting indicating analogue electrical measuring instruments and their accessories. Part 1. Definitions and general requirements common to all parts)
МЭК 60068-2-6:2007 Испытания на воздействие внешних факторов. Часть 2: Испытания. Испытание Fc: Вибрация (синусоидальная) (IEC 60068-2-6:2007 Environmental testing - Part 2-6: Tests - Test Fc: Vibration (sinusoidal))
МЭК 60068-2-27:2008 Испытания на воздействие внешних факторов. Часть 2. Испытания. Часть 2-27. Испытания. Испытание Ea и руководство. Удар (IEC 60068-2-27:2008 Environmental testing - Part 2-27: Tests - Test Ea and guidance: Shock)
МЭК 60255-151:2009 Реле измерительные и защитное оборудование. Часть 151. Функциональные требования к защите от сверхтока и/или минимального тока (IEC 60255-151:2009 Measuring relays and protection equipment - Part 151: Functional requirements for over/under current protection)
МЭК 61010 (все части) Требования к безопасности электрооборудования для проведения измерений, управления и лабораторного использования (IEC 61010 (all parts) Safety requirements for electrical equipment for measurement, control and laboratory use)
МЭК 61010-1:2010 Требования к безопасности электрооборудования для проведения измерений, управления и лабораторного использования. Часть 1. Общие требования (IEC 61010-1:2010 Safety requirements for electrical equipment for measurement, control and laboratory use - Part 1: General requirements)
МЭК 61010-2-030:2010 Требования к безопасности электрооборудования для проведения измерений, управления и лабораторного использования. Часть 2-030. Частные требования к испытательным и измерительным цепям (IEC 61010-2-030:2010 Safety requirements for electrical equipment for measurement, control and laboratory use - Part 2-030: Particular requirements for testing and measuring circuits)
МЭК 61326 (все части) Электрооборудование для измерения, управления и лабораторного использования. Требования к электромагнитной совместимости (IEC 61326 (all parts) Electrical equipment for measurement, control and laboratory use - EMC requirements)
МЭК 61326-1:2012 Электрооборудование для измерения, управления и лабораторного использования. Требования к электромагнитной совместимости. Часть 1. Общие требования (IEC 61326-1:2012 Electrical equipment for measurement, control and laboratory use - EMC requirements - Part 1: General requirements)
МЭК 61557-12:2007 Сети электрические распределительные низковольтные до 1000 В переменного тока и 1500 В постоянного тока. Безопасность. Оборудование для испытания, измерения или контроля средств защиты. Часть 12. Приборы для измерения и мониторинга рабочих характеристик (IEC 61557-12:2007 Electrical safety in low voltage distribution systems up to 1000 V a.c. and 1500 V d.c. - Equipment for testing, measuring or monitoring of protective measures - Part 12: Performance measuring and monitoring devices (PMD))
МЭК 60417 Графические обозначения, применяемые на оборудовании (IEC 60417 Graphical symbols for use on equipment)
Примечание - В
библиографии представлен перечень справочных ссылок.
В настоящем стандарте применены следующие термины с соответствующими определениями.
3.1.1 преобразователь измерительный электрический (electrical measuring transducer): Прибор для преобразования измеряемой величины переменного или постоянного тока в постоянный ток, постоянное напряжение или цифровой сигнал с целью измерений.
3.1.2 аналоговый преобразователь (analogue transducer): Прибор, предназначенный для преобразования величины переменного или постоянного тока в постоянный ток или напряжение с целью измерения.
3.1.3 цифровой преобразователь (digital transducer): Прибор, предназначенный для преобразования величины переменного или постоянного тока в цифровой сигнал с целью измерения.
3.1.4 источник питания (auxiliary supply): Источник электропитания переменного или постоянного тока (кроме измеряемой величины), который требуется для правильной работы преобразователя.
3.1.5 цепь питания (auxiliary circuit): Цепь, которая обычно запитывается от источника электропитания.
Примечание - Цепь иногда сама может запитываться от одной из входных величин.
3.1.6 преобразователь со смещенным нулем (transducer with offset zero): Преобразователь, который дает заранее установленный выходной сигнал, отличный от нуля, когда измеряемая величина равна нулю.
3.1.7 преобразователь с подавленным нулем (transducer with suppressed zero): Преобразователь, нулевой сигнал на выходе которого соответствует не нулевому значению измеряемой величины.
3.1.8 коэффициент полных искажений (total distortion factor): Отношение действующего значения суммарной составляющей полных искажений к действующему значению переменной величины.
3.1.9 выходная нагрузка (output load): Для аналогового сигнала - полное сопротивление цепей (контуров) и приборов внешнего подключения к выходам преобразователя.
3.1.10 составляющая пульсаций аналогового выходного сигнала (уровень пульсаций) (ripple content): Отношение размаха пульсаций аналогового выходного сигнала, выраженное в процентах, к базовому значению при установившемся входном сигнале.
3.1.11 выходной сигнал (output signal): Аналоговое или цифровое представление измеряемой величины.
3.1.12 выходная мощность (output power): Мощность на выходных зажимах преобразователя.
3.1.13 выходной ток/выходное напряжение (output current/output voltage): Ток (напряжение), на выходе преобразователя, являющийся аналоговой функцией измеряемой величины (для аналоговых сигналов).
3.1.14 реверсивный выходной ток/реверсивное выходное напряжение (reversible output current/reversible output voltage): Для аналогового сигнала - выходной ток (напряжение), который изменяет полярность в ответ на изменение знака или направления измеряемой величины.
3.1.15 измерительный элемент преобразователя (measuring element of a transducer): Модуль преобразователя, который преобразует измеряемую величину или ее часть, в соответствующий сигнал.
3.1.16 одноэлементный преобразователь (single element transducer): Преобразователь, имеющий один измерительный элемент.
3.1.17 многоэлементный преобразователь (multi-element transducer): Преобразователь, имеющий два или более измерительных элементов. Сигналы от отдельных измерительных элементов комбинируются для воспроизведения выходного сигнала, соответствующего измеряемой величине.
3.1.18 комбинированный преобразователь (combined transducer): Преобразователь, объединяющий несколько (два или более) независимых измерительных схем для выполнения одной или нескольких функций.
3.1.19
время отклика (response time): Время с момента определенного скачкообразного изменения измеряемой величины до момента, когда выходной сигнал достигает установившегося значения и остается на нем или в установленных пределах вблизи него.
3.1.20 выходное напряжение, лимитированное точностью (compliance voltage accuracy limiting output voltage): Граничное значение напряжения на выходных зажимах преобразователей, имеющих токовые выходы с изменяющейся выходной нагрузкой, при котором преобразователь удовлетворяет требованиям настоящего стандарта.
3.1.21 напряжение аддитивной помехи (напряжение помехи нормального вида) (output series mode interference voltage): Нежелательное переменное напряжение, возникающее между выходными зажимами и нагрузкой преобразователя.
3.1.22 напряжение синфазной помехи (напряжение помехи общего вида) (output common mode interference voltage): Нежелательное переменное напряжение, существующее между каждым из выходных зажимов преобразователя и опорной точкой.
3.1.23 условия хранения (storage conditions): Условия, определяемые диапазонами влияющих величин, такими, например, как температура или любые другие особые условия, в пределах которых необходимо хранить преобразователь (неработающий) во избежание повреждений.
3.1.24 стабильность (stability): Способность преобразователя сохранять рабочие характеристики неизменными в течение определенного времени после калибровки.
3.1.24.1 кратковременная стабильность (short-term stability): Стабильность в течение 24 часов.
3.1.24.2 долговременная стабильность (long-term stability): Стабильность в течение одного года.
3.1.25 группа применения (usage group): Группа преобразователей, которая может работать при определенном наборе условий окружающей среды.
3.2 Классификация преобразователей по измеряемой величине
3.2.1 преобразователь напряжения (voltage transducer): Преобразователь, используемый для измерения переменного напряжения.
3.2.2 преобразователь тока (current transducer): Преобразователь, используемый для измерения силы переменного тока.
3.2.3 преобразователь полной мощности (apparent power transducer): Преобразователь, используемый для измерения полной мощности.
3.2.4 преобразователь активной мощности (active power transducer): Преобразователь, используемый для измерения активной электрической мощности.
3.2.5 преобразователь реактивной мощности (reactive power (var) transducer): Преобразователь, используемый для измерения реактивной электрической мощности.
3.2.6 преобразователь частоты (frequency transducer): Преобразователь, используемый для измерения частоты электрической величины переменного тока.
3.2.7 преобразователь фазового угла (phase angle transducer): Преобразователь, используемый для измерения фазового угла между двумя электрическими величинами переменного тока с одинаковой частотой.
3.2.8 преобразователь коэффициента мощности (power factor transducer): Преобразователь, используемый для измерения коэффициента мощности в цепи переменного тока.
3.2.9 преобразователь гармоник (harmonics transducer): Преобразователь, используемый для измерения гармоник или полного гармонического искажения.
3.3 Классификация преобразователей по типу выходной нагрузки
3.3.1 преобразователь с фиксированной выходной нагрузкой (fixed output load transducer): Преобразователь, соответствующий требованиям настоящего стандарта, при выходной нагрузке, находящейся в пределах ее номинального значения при нормированных условиях применения.
3.3.2 преобразователь с изменяющейся выходной нагрузкой (variable output load transducer): Преобразователь, соответствующий требованиям настоящего стандарта, при выходной нагрузке, изменяющейся в заданных пределах при нормированных условиях применения.
3.4.1 номинальное значение (nominal value): Единственное или одно из значений, соответствующее предполагаемому использованию преобразователя.
Примечание - Более низкими и более высокими номинальными значениями измеряемой величины являются те, которые соответствуют более низкому и более высокому номинальным значениям выходного сигнала.
3.4.2 выходной диапазон (output span/span) (далее - диапазон): Алгебраическая разность между верхним и нижним номинальными значениями выходного сигнала.
3.4.3 нормирующее значение (fiducial value): Значение, на которое ссылаются, при нормировании точности преобразователя.
Примечание - Нормирующее значение обычно равно выходному диапазону, за исключением преобразователей с реверсивным и симметрическим выходным сигналом, у которых нормирующее значение может составлять половину диапазона, указанного производителем.
3.4.4 напряжение изоляции сети (circuit insulation voltage): Наибольшее сетевое напряжение, при котором преобразователь может быть использован и которое определяет уровень испытательного напряжения при проверке прочности изоляции преобразователя.
3.4.5 номинальный коэффициент мощности (nominal power factor): Коэффициент, на который умножают произведение номинального напряжения и номинального тока для получения номинальной мощности.

.
Если ток и напряжение являются синусоидальными величинами, номинальный коэффициент мощности равен

, где

является углом разности фаз между током и напряжением. Для преобразователей реактивной мощности номинальный коэффициент мощности равен

.
3.4.6 максимально допустимые значения входного тока и напряжения (maximum permissible values of input current and voltage): Значения тока и напряжения на выходе, выдерживаемые преобразователем без повреждения неограниченное время (специфицируются производителем).
3.4.7 предельное значение выходного сигнала (тока или напряжения) (limiting value of the output (current or voltage) signal): Верхний предел выходного сигнала (тока или напряжения), который не может быть намеренно превышен ни при каких условиях.
3.4.8 измерительный диапазон (measuring range): Диапазон, определяемый двумя значениями измеряемой величины, в пределах которых характеристики соответствуют требованиям настоящего стандарта.
(Источник: IEC 60051-1:1997, 2.4.3, модифицированный - изменена формулировка определения).
3.4.9 номинальное значение измеряемого напряжения (nominal value of the measured voltage): Номинальное значение напряжения внешней цепи (например, вторичной обмотки трансформатора напряжения), к которой подключена входная цепь напряжения преобразователя.
3.4.10 номинальное значение измеряемого тока (nominal value of the measured current): Номинальное значение тока внешней цепи (например, вторичной обмотки трансформатора тока) к которой подключена входная цепь тока преобразователя.
3.4.11 номинальное значение измеряемой величины (nominal value of the measurand): Для преобразователей активной и реактивной мощности - значение измеряемой величины, соответствующее номинальным значениям измеряемых напряжения и тока и их номинальному коэффициенту мощности.
3.5
пользовательская корректировка (настройка) (user adjustment): Преобразователи могут поставляться с учетом возможной корректировки (настройки) пользователем. (Следует отметить, что для этого требуются источники питания и измерительное оборудование с соответствующей стабильностью и точностью.)
К таким преобразователям применимы следующие определения.
3.5.1 калибровочное значение (calibration value): Значение величины, до которой может быть изменено номинальное значение за счет пользовательской регулировки, с целью применения преобразователя в особых условиях применения.
3.5.2 калибровочное значение измеряемого напряжения (calibration value of the measured voltage): Значение напряжения, прикладываемого к входной цепи напряжения преобразователя, являющееся для него калибровочным.
3.5.3 калибровочное значение измеряемого тока (calibration value of the measured current): Значение тока, прикладываемого к входной цепи тока преобразователя, являющееся для него калибровочным.
3.5.4 калибровочное значение измеряемой величины (calibration value of the measurand): Значение измеряемой величины, полученной по результатам пользовательской регулировки, являющееся для преобразователя калибровочным.
3.5.5 калибровочное значение выходного сигнала (calibration value of the output signal): Значение выходного сигнала преобразователя, соответствующее калибровочному значению измеряемой величины после проведенной регулировки.
3.5.6 диапазон регулирования (adjustment range): Возможный диапазон регулировки калибровочных значений тока и напряжения.
3.5.7 коэффициент преобразования (conversion coefficient): Отношение значения измеряемой величины к соответствующему значению выходного сигнала.
3.6 Влияющие величины и нормальные условия
3.6.1 влияющая величина (influence quantity): Величина (кроме измеряемой величины), которая может повлиять на характеристики преобразователя.
3.6.2 нормальные условия (reference conditions): Условия, при которых преобразователь соответствует требованиям к основным погрешностям.
Примечание - Эти условия могут быть заданы либо посредством нормального значения, либо при помощи нормального диапазона.
3.6.2.1 нормальное значение (reference value): Единичное значение влияющей величины, при котором преобразователь соответствует требованиям к основным погрешностям.
3.6.2.2 нормальный диапазон (reference range): Диапазон значений влияющей величины, в пределах которого преобразователь соответствует требованиям к основным погрешностям.
3.6.3 рабочая область значений (nominal range of use): Диапазон значений, в котором может быть допустима влияющая величина, при условии, что выходной сигнал преобразователя не превышает нормированных значений.
3.7 Погрешности и отклонения
3.7.1 погрешность (абсолютная) (error): Алгебраическая разность между фактическим значением выходного сигнала и его нормативным значением.
3.7.2 погрешность приведенная (в процентах) (error expressed as a percentage of the fiducial value): Отношение абсолютной погрешности к нормирующему значению (умноженное на сто).
3.7.3 основная погрешность (intrinsic error): Погрешность, определенная при использовании преобразователя в нормальных условиях.
3.7.4 дополнительная погрешность от влияющей величины (variation due to an influence quantity): Разница между двумя значениями выходного сигнала при одинаковом значении измеряемой величины, когда влияющая величина принимает последовательно два разных значения (абсолютная дополнительная погрешность).
3.7.5 дополнительная погрешность от влияющей величины, выраженной в процентах от нормирующего значения (variation due to an influence quantity expressed as a percentage of the fiducial value): Отношение дополнительной абсолютной погрешности к нормирующему значению, помноженное на сто (дополнительная приведенная погрешность).
3.8 Точность, класс точности, индекс класса точности
3.8.1 точность (accuracy): Значение, которое определяется пределами основной погрешности и пределами дополнительных погрешностей.
3.8.2 класс точности (accuracy class): Класс преобразователей, точность которых может быть выражена одним числом, при условии их соответствия всем требованиям настоящего стандарта.
3.8.3 индекс класса точности (class index): Число, которое обозначает класс точности.
Примечания
1 Индекс класса точности применим к основной погрешности и к дополнительным погрешностям.
2 В настоящем стандарте фраза "x% индекса класса точности" означает "x% - допустимые пределы погрешности, соответствующие индексу класса точности".
4 Индекс класса точности, допустимые пределы основной погрешности, питание и нормальные условия
4.1 Общепринятая структура преобразователя
Структура измерительной цепи: измеряемая электрическая величина может быть доступна либо сразу (без использования промежуточных устройств), что общепринято в низковольтных сетях/системах, либо с использованием измерительных датчиков, таким как датчики напряжения или токовые датчики.
На
рисунке 1 представлена общепринятая структура преобразователя.
Рисунок 1 - Структура преобразователя
4.2 Индекс класса точности
Индекс класса точности преобразователя следует выбирать из ряда, представленного в
таблице 1.
Таблица 1
Соотношение между пределами основной приведенной погрешности
и индексом класса
Индекс класса точности | 0,2 | 0,5 | 1 | 2 | 2,5 | 3 | 5 | 10 | 20 |
Пределы основной приведенной погрешности | +/- 0,2% | +/- 0,5% | +/- 1% | +/- 2% | +/- 2,5% | +/- 3% | +/- 5% | +/- 10% | +/- 20% |
Примечание - Также могут быть использованы индексы классов 0,3 и 1,5, хотя и непредпочтительны. |
Это определение индекса класса применяется только к аналоговому выходу преобразователей.
4.3 Индекс класса точности преобразователей, используемых с датчиками
Если преобразователи используются с датчиками, производитель должен указать класс точности всей системы, включающей преобразователь и датчик.
В некоторых случаях преобразователи не имеют датчиков, соответственно их неопределенности не учитываются. Если преобразователь имеет датчики, их неопределенности учитываются.
Если преобразователь находится в нормальных условиях, то погрешность в каждой точке между верхним и нижним номинальными значениями выходного сигнала не должна превышать пределов основной приведенной погрешности, указанной в
таблице 1.
Значения, указанные в таблице поправок (если таковая имеется) представляемые с преобразователем, не должны учитываться в определении основных погрешностей.
4.5 Условия при определении основной погрешности
4.5.1 При предварительной подготовке, до определения основной погрешности, должна быть проведена настройка преобразователя в соответствии с инструкциями производителя. Преобразователь должен находиться при нормальной температуре.
4.5.2 Преобразователь должен быть подключен в схему при условиях, указанных в
таблице 2.
Таблица 2
Условия подключения преобразователя
Условия | Значения |
Напряжение (вкл. питание) | Номинальное значение |
Ток | Номинальное значение |
Частота | Нормальное значение |
Коэффициент мощности | Нормальное значение |
Время с момента подключения к сети до начала определения погрешностей | 30 мин |
4.5.3 После специфицированного времени прогрева, преобразователи, имеющие настройки, доступные пользователю, должны быть настроены в соответствии с инструкциями производителя.
4.5.4 Нормальные условия и значения влияющих величин указаны в
таблице 3. Нормальные условия и значения измеряемых величин указаны в
таблице 4.
Таблица 3
Нормальные значения влияющих величин
и их допустимые отклонения для целей испытания
Влияющая величина | Нормальные значения, если не промаркировано иначе | Допустимые отклонения, отклонения принятые для целей испытания, применительно к одному нормальному значению <a> |
Температура окружающей среды Группа применения (см. 6.1.2): | Должно быть маркировано в протоколе испытаний типа | +/- 1 °C |
| K55 | - |
| K70 | - |
| | - |
Частота входной величины: - частотно-нечувствительный | Номинальное значение | +/- 2% |
- частотно-чувствительный | Должно быть маркировано | +/- 0,1% |
Форма волны входной величины | Синусоидальное, кроме преобразователей гармоник | Коэффициент искажений x 100 не должен превышать индекс класса точности, если производителем не указано иначе |
Выходная нагрузка: - фиксированная выходная нагрузка | Номинальное значение | +/- 1% |
- изменяющаяся выходная нагрузка | Среднее значение номинального диапазона | +/- 1% |
Электропитание: - напряжение переменного тока | Номинальное значение | +/- 2% |
- напряжение постоянного тока | Номинальное значение | +/- 1% |
Частота | Номинальное значение | +/- 1% |
Коэффициент искажений | 0,05 максимум | - |
Магнитное поле внешнего происхождения | Полное отсутствие | 40 А/м при частотах от постоянного тока до 65 Гц в любом направлении <b> |
<a> Если промаркирован нормальный диапазон, то отклонения недопустимы. <b> Наибольшее значение магнитного поля земли приблизительно равно 40 А/м. <c> Kx обозначает расширенные условия применения. |
Таблица 4
Нормальные значения измеряемых величин
Измеряемая величина | Нормальные значения |
Напряжение | Ток | Коэффициент мощности (активной или реактивной) |
Полная мощность | Номинальное напряжение +/- 2% | Любой ток в пределах номинального |  индуктивный или емкостной |
Активная мощность | Номинальное напряжение +/- 2% | Любой ток в пределах номинального |  индуктивный или емкостной |
Реактивная мощность | Номинальное напряжение +/- 2% | Любой ток в пределах номинального |  индуктивный или емкостной <a> |
Фазовый угол или коэффициент мощности | Номинальное напряжение +/- 2% | 40%...100% от номинального тока | - |
Частота | Номинальное напряжение +/- 2% | - | - |
Многофазные величины | Симметричные напряжения <b> | | - |
<a> Преобразователи полной, активной и реактивной мощности обычно используются вместе и подключаются к одним и тем же трансформаторам тока и напряжения. Следует отметить, что  используют здесь только для простоты испытания. <b> Разность между любыми двумя междуфазными напряжениями и между любыми двумя напряжениями между фазой и нейтралью не должна превышать 1% от среднего (междуфазного напряжения и напряжения между фазой и нейтралью соответственно). Каждый из токов на фазах должен отличаться от средних токов не более, чем на 1%. Углы между каждым из токов и соответствующими напряжениями между фазой и нейтралью (при соединении звездой) не должны отличаться более чем на 2°. Если взаимодействие между отдельными измерительными элементами многоэлементного преобразователя правильно характеризуется, допустимо однофазное испытание преобразователя. |
4.6.1 Общее
Некоторые преобразователи, соответствующие настоящему стандарту, требуют электропитания. Электропитание разделяется на две отдельные категории - источники электропитания постоянного тока и источники электропитания переменного тока.
4.6.2 Источник электропитания постоянного тока
a) Значение напряжения источника электропитания постоянного тока должно быть нормировано, как представлено в
5.1.3.
b) Аккумулятор может быть заземлен или изолирован. В преобразователе должны быть предусмотрены подходящие средства для обеспечения изоляции между источником питания и цепями на входе/выходе преобразователя (подробное описание испытаний представлено в
6.18).
c) Преобразователь должен выдерживать любые пульсации до их максимального значения, равного 10% от пика до пика, наложенные на источник электропитания постоянного тока.
d) Помехи, переданные от преобразователя по обратной связи к аккумулятору должны быть ограничены значением напряжения 100 мВ (от пика до пика) при всех частотах до 100 МГц, измеренным на нормированном сопротивлении источника.
При питании преобразователя от аккумулятора, используемого также и для питания телефонного оборудования, помехи не должны превышать 2 мВ псофометрического напряжения.
Примечание - Псофометрическая взвешенная характеристика указана в Рекомендации O.41 Международного союза электросвязи - сектора телекоммуникаций (ITU-T - International Telecommunications Union - Telecommunications sector).
4.6.3 Источник электропитания переменного тока
О номинальном значении напряжения источника электропитания переменного тока см.
5.1. Это напряжение может быть обеспечено отдельным источником или может быть получено от измеряемого напряжения или тока.
4.7 Нормы техники безопасности: безопасное расстояние и длина пути тока утечки
Преобразователи должны соответствовать нормам техники безопасности серии публикаций МЭК 61010, и дополнительно требованиям следующих разделов.
Безопасное расстояние и длина пути тока утечки должны быть выбраны исходя из:
- степени загрязнения 2;
- категории измерения III для входа измерительных цепей;
- категории перенапряжения III для токовых цепей.
Примечание 1 - Категория измерения определена в МЭК 61010-2-030.
5.1.1 Номинальные значения входного напряжения, тока, частоты и питания должны быть указаны производителем.
5.1.2 Диапазон преобразователей, настраиваемых пользователем:
a) для входного напряжения: от 80% до 120% от номинального значения;
b) для входного тока: от 60% до 130% от номинального значения.
Номинальное значение выходного сигнала может быть получено для любого настраиваемого значения измеряемой величины в пределах диапазонов, указанных выше.
5.1.3 Предпочтительные номинальные значения источников электропитания постоянного тока должны соответствовать значениям 24, 48 или 110 В.
5.2.1 Общее
Нижние и верхние номинальные значения аналогового выходного сигнала тока и напряжения следует выбирать из значений, указанных в 5.2.1 и
5.2.2 или
5.2.5.
Предпочтительным является сигнал от 4 до 20 мА.
Примечание - "0 мА" имеет особое определение (МЭК 60381-1).
Другие предпочтительные значения:
от 0 до 20 мА
от 0 до 1 мА
от 0 до 10 мА
от -1 до 1 мА
от -5 до 5 мА
от -10 до 10 мА
от -20 до 20 мА
5.2.3 Допустимое напряжение токового выхода:
10 В
15 В
5.2.4 Максимальное значение выходного напряжения
Производитель должен указать максимальное значение выходного напряжения, возникающего при любых условиях выходной нагрузки и входного сигнала. Это напряжение не должно превышать предел безопасного сверхнизкого напряжения.
5.2.5 Риск возникновения помех в зависимости от выходного тока
Следует иметь в виду, что могут возникнуть помехи, если выходной ток имеет низкое значение.
5.2.6 Выходное напряжение:
от 0 до 1 В
от 0 до 10 В
от -1 до 1 В
от -10 до 10 В
Примечание - Преобразователи, имеющие выход напряжения, являются менее предпочтительными.
5.3 Выходная передаточная функция
Для аналоговых преобразователей используемая передаточная функция должна соответствовать одной из представленных ниже кривых.
Для аналоговых преобразователей переменные x, y, y1, y2 являются изменяемыми (настраиваемыми)
Кривая A:
Кривая B:
Кривая C:
Кривая D:
Кривая E:
Кривая F (все остальные виды кривых):
Класс точности должен быть проверен в каждой точке передаточной функции согласно формуле:

.
Примечание - Для кривых F F заменяется на R во всех представленных ниже формулах.
Рисунок 2 - Кривые передаточной функции
5.4 Цифровые выходные сигналы
Вид цифровых выходных сигналов должен быть выбран таким образом, чтобы удовлетворять как требованиям точности и быстродействия (времени отклика), так и требованиям системы передачи информации.
Для цифровых выходов индекс класса точности должен соответствовать классу рабочих характеристик, описанному в МЭК 61557-12.
При наличии, выходные реле должны соответствовать МЭК 60255-151.
5.5 Пульсации (для аналоговых выходов)
Максимальная составляющая пульсаций выходного сигнала не должна превышать индекс класса точности более чем в 2 раза.
5.6.1 Перед определением времени отклика преобразователь должен быть зафиксирован в нормальных условиях в течение времени прогрева и на него должно быть подано питание (если он не запитан от одной из входных величин).
5.6.2 Время отклика должно быть указано производителем и должно быть определено подачей на вход ступенчатого сигнала, таким образом, чтобы выходной сигнал изменялся от 0 до 90% от нормирующего значения.
5.6.3 Если требуется испытание со снижением сигнала, входной ступенчатый сигнал должен производить изменение выходного сигнала от 100% до 10% от нормирующего значения.
5.6.4 Интервал (см.
3.1.19) должен быть +/- 1% от верхнего номинального значения выходного сигнала.
5.6.5 Методы испытания частотных преобразователей и преобразователей с подавленным нулем должны быть указаны производителем.
5.7 Дополнительная погрешность, обусловленная превышением диапазона измеряемой величины
Если, по соглашению с заказчиком, преобразователь должен работать с выходом до 150% от номинального значения, то разность между основной погрешностью при 100% и дополнительной погрешностью при 150% (при нормальных условиях) не должна превышать 50% от индекса класса.
Для преобразователей активной мощности и реактивной мощности, 150% выходного сигнала от номинального значения получают повышением тока при сохранении номинального значения напряжения.
5.8 Ограничение выходного сигнала
Выходной сигнал должен быть ограничен максимум удвоенным верхним номинальным значением.
Если измеряемая величина находится за нижним или верхним пределами номинальных значений, то преобразователь не должен, ни при каких условиях, например превышении тока или недостаточном напряжении, выдавать на выходе значения внутри его нижнего и верхнего пределов номинальных значений.
5.9 Ограничение условий эксплуатации
Номинальные области применения, указанные в
разделе 6, являются теми границами, в которых преобразователь соответствует требованиям настоящего стандарта. Возможно применение преобразователей вне этих границ, но пользователь должен знать, что:
- точность может не соответствовать заявленной;
- срок эксплуатации может быть меньше указанного.
Как пример, многие преобразователи могут быть заказаны для использования при температурах окружающей среды от минус 25 °C и до плюс 70 °C, тогда производителем должно быть указано ожидаемое в этом случае снижение как заявленной точности, так и указанного срока эксплуатации.
5.10 Пределы диапазона измерения
В случае, когда пределы диапазона измерения не совпадают с нижним и верхним номинальными значениями выхода, то на преобразователе должны быть промаркированы пределы диапазона измерения (см.
7.1, перечисление i)).
5.11 Условия хранения и транспортировки
Если производителем не установлено иначе, то преобразователи должны выдерживать без повреждения изменения температур в диапазоне от минус 40 °C до плюс 70 °C.
После возвращения преобразователей в нормальные условия, их характеристики должны соответствовать требованиям настоящего стандарта.
Производитель должен указывать все дополнительные ограничения условий хранения и транспортировки, необходимые для сохранения работоспособности преобразователя.
Если преобразователь опломбирован для предотвращения несанкционированной регулировки, доступ к внутренним цепям и компонентам внутри корпуса должен быть невозможен без распломбирования.
Преобразователи должны соответствовать соответствующим пределам основной погрешности, нормированным для соответствующих классов точности на период, указанный производителем, при условии, что условия применения, транспортировки и хранения, указанные производителем, находились в соответствии с заданными.
Примечание - Обычно это период не более года.
6.1.1 Определение дополнительных погрешностей
Дополнительные погрешности должны быть определены для каждой влияющей величины. Во время испытаний влияния одной величины, все другие влияющие величины должны поддерживаться в нормальных условиях.
Все влияющие величины приведены далее в соответствующих подразделах вместе с соответствующими методами испытаний, обработкой результатов и значениями допустимых дополнительных погрешностей для каждой группы применения, выраженными в процентах от индекса класса.
При испытаниях ни одна из выявленных дополнительных погрешностей не должна превышать допустимых значений.
Дополнительные погрешности должны быть определены при верхнем номинальном значении выходного сигнала и, как минимум, еще в одной точке диапазона. Для преобразователей полной, активной и реактивной мощности эти значения должны быть получены изменением значения тока при сохранении нормальных значений напряжения и коэффициента мощности.
Если влияющая величина имеет нормальную область значений, то она должна изменяться от каждой из границ этой области до любого значения из части рабочей области значений, примыкающей к выбранной границе.
6.1.2 Условия окружающей среды
Условия эксплуатации по температуре и влажности классифицируются в соответствии предписанными группами применения, согласно
таблице 5.
Таблица 5
| Преобразователи класса K55 | Преобразователи класса K70 | Преобразователи класса Kx <b> |
Группа применения | | | |
Нормальный рабочий диапазон (с указанием неопределенности) | От -5 °C до +55 °C | От -25 °C до +70 °C | Выше +70 °C или/и ниже -25 °C <a> |
Границы рабочего диапазона (исключающие неисправности приборов) | От -5 °C до +55 °C | От -25 °C до +70 °C | Выше +70 °C или/и ниже -25 °C <a> |
Границы диапазона хранения и транспортировки | От -25 °C до +70 °C | От -40 °C до +85 °C | Согласно указаниям производителя <a> |
<a> Границы определяются производителем, в зависимости от цели применения. <b> Kx обозначает расширенные условия применения. |
Для соответствия требованиям настоящего стандарта должна быть выбрана и измерена температура окружающей среды, в которой преобразователь работает нормально. Эта температура должна относиться к преобразователю, подверженному свободной циркуляции воздуха и не испытывающему значительного влияния от нагрева под воздействием прямой солнечной радиации или других источников тепла.
Влажность не считается влияющей величиной, если условия окружающей среды находятся в пределах нормированных.
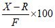
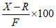
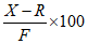
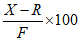
6.1.3 Обработка результатов испытаний
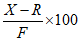
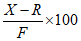
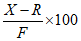
В приведенных ниже подразделах потребуется обработка результатов испытаний в соответствии с приведенной формулой. В формуле использованы следующие обозначения:
R - значение выходного сигнала при нормальных условиях;
X (или Y) - значение выходного сигнала, измеренное на одном из пределов влияющей величины;
F - нормирующее значение.
Примечание - Для кривых типа F (см.
5.3)
F заменяется на
R во всех представленных ниже формулах.
6.2 Дополнительная погрешность, обусловленная изменением напряжения питания
6.2.1 Область применения
Испытаниям должны быть подвержены преобразователи, требующие питания постоянным или переменным током, кроме случаев, когда оно получается из входного напряжения или тока.
6.2.2 Метод испытания
Следует подать на преобразователь номинальное напряжение от источника питания и зарегистрировать значение выходного сигнала (R).
При постоянном значении измеряемой величины, следует уменьшить напряжение источника питания до нижней границы, указанной в
6.2.4, и зарегистрировать значение выходного сигнала (
X). Затем следует увеличить напряжение источника питания до верхнего предела, указанного в
6.2.4, и зарегистрировать значение выходного сигнала (
Y).
6.2.3 Обработка результатов
Дополнительные погрешности определяются по формулам:
и

.
6.2.4 Допустимые значения дополнительных погрешностей
Для преобразователей с источниками электропитания переменного тока:
Группа применения | Рабочая область значений (%) | Дополнительные погрешности (% от индекса класса) |
| 90...110 | 50 |
| 80...120 | 50 |
| 80...120 | 50 |
Для преобразователей с источниками электропитания постоянного тока:
Группа применения | Рабочая область значений (%) | Дополнительные погрешности (% от индекса класса) |
| 85...125 | 50 |
| 85...125 | 50 |
| 85...125 | 50 |
6.3 Дополнительная погрешность, обусловленная изменением частоты источника питания переменного тока
6.3.1 Область применения
Испытаниям должны быть подвержены все преобразователи, требующие питания переменным током, кроме случаев, когда оно получается от входного напряжения или тока.
6.3.2 Метод испытания
Подать номинальную частоту источника питания и зарегистрировать значение выходного сигнала (
R). При постоянном значении измеряемой величины следует уменьшить частоту источника питания до нижней границы, указанной в
6.3.4, и зарегистрировать значение выходного сигнала (
X).
Затем следует увеличить частоту источника питания до верхней границы, указанной в
6.3.4, и зарегистрировать значение выходного сигнала (
Y).
6.3.3 Обработка результатов
Дополнительные погрешности определяются по формулам:
и

.
6.3.4 Допустимые значения дополнительных погрешностей
Группа применения | Рабочая область значений (%) | Дополнительные погрешности (% от индекса класса) |
| 90...110 | 50 |
| 90...110 | 50 |
| 90...110 | 50 |
6.4 Дополнительная погрешность, обусловленная изменением температуры окружающего воздуха
6.4.1 Область применения
Все преобразователи.
6.4.2 Метод испытания
При постоянном значении измеряемой величины при номинальной температуре, следует зарегистрировать значение выходного сигнала (R).
Затем следует увеличить температуру окружающего воздуха до верхней границы, указанной в
6.4.4, и выдержать преобразователь в течение времени, достаточного для прогрева (обычно достаточно 30 минут). Зарегистрировать значение выходного сигнала (
X).
Далее следует уменьшить температуру окружающего воздуха до нижней границы, указанной в
6.4.4, и выдержать преобразователь в течение времени, достаточного до стабилизации температуры. Зарегистрировать значение выходного сигнала (
Y).
6.4.3 Обработка результатов
Дополнительные погрешности определяются по формулам:
и

.
6.4.4 Допустимые значения дополнительных погрешностей
Группа применения | Рабочая область значений | Дополнительные погрешности (% от индекса класса) |
| 10°...35° | 100 |
| 0°...45° | 100 |
| -10°...55° | 100 |
6.5 Дополнительная погрешность, обусловленная изменением частоты входной величины (величин)
6.5.1 Область применения
Все преобразователи, кроме преобразователей частоты. Исключением являются частотно-чувствительные преобразователи (например, использующие цепи со сдвигом фаз), для которых всегда должна быть маркирована рабочая область значений.
6.5.2 Метод испытания
Подать номинальную входную частоту и зарегистрировать значение выходного сигнала (R).
При постоянном значении измеряемой величины следует уменьшить частоту до нижней границы, указанной в
6.5.4, и зарегистрировать значение выходного сигнала (
X).
Затем следует увеличить частоту до верхней границы, указанной в
6.5.4, и зарегистрировать значение выходного сигнала (
Y).
6.5.3 Обработка результатов
Дополнительные погрешности определяются по формулам:
и

6.5.4 Допустимые значения дополнительных погрешностей
Группа применения | Рабочая область значений (%) | Дополнительные погрешности (% от индекса класса) |
| 90...110 | 100 |
| 90...110 | 100 |
| 90...110 | 100 |
Частотно-чувствительные | Согласно маркировке | 100 |
6.6 Дополнительная погрешность, обусловленная изменением входного напряжения
6.6.1 Область применения
Все преобразователи, кроме преобразователей напряжения и тока.
6.6.2 Метод испытания
Подать номинальное входное напряжение и зарегистрировать значение выходного сигнала (R).
При постоянном значении измеряемой величины следует уменьшить напряжение до нижней границы, указанной в
6.6.4, и зарегистрировать значение выходного сигнала (
X).
Затем следует увеличить напряжение до верхней границы, указанной в
6.6.4, и зарегистрировать значение выходного сигнала (
Y).
6.6.3 Обработка результатов
Дополнительные погрешности определяются по формулам:
и

.
6.6.4 Допустимые значения дополнительных погрешностей
Группа применения | Рабочая область значений (%) | Дополнительные погрешности (% от индекса класса) |
| 90...110 | 50 |
| 80...120 | 50 |
| 80...120 | 50 |
6.7 Дополнительная погрешность, обусловленная изменением входного тока
6.7.1 Область применения
Преобразователи фазового угла и коэффициента мощности.
6.7.2 Метод испытания
Приложить номинальное значение входного тока и зарегистрировать значение выходного сигнала (R).
При постоянном значении измеряемой величины следует уменьшить входной ток до нижней границы, указанной в
6.7.4, и зарегистрировать значение выходного сигнала (
X).
Затем следует увеличить входной ток до верхней границы, указанной в
6.7.4, и зарегистрировать значение выходного сигнала (
Y).
6.7.3 Обработка результатов
Дополнительные погрешности определяются по формулам:
и

.
6.7.4 Допустимые значения дополнительных погрешностей
Группа применения | Рабочая область значений (%) | Дополнительные погрешности (% от индекса класса) |
| 20...120 | 100 |
| 20...120 | 100 |
| 20...120 | 100 |
6.8 Дополнительная погрешность, обусловленная изменением коэффициента мощности
6.8.1 Область применения
Преобразователи активной и реактивной мощности.
6.8.2 Метод испытания
Подать 50% (и 5%) от номинального значения входного тока при коэффициенте мощности 1,0, соответственно, и зарегистрировать два значения выходного сигнала (R).
При постоянном значении измеряемой величины следует увеличить входной ток до 100% (и 10%) от номинального значения и уменьшить коэффициент мощности до 0,5 инд./емк., соответственно, и зарегистрировать два значения выходного сигнала (X).
Для удобства, при испытании преобразователей реактивной мощности обычной практикой является применение эквивалентных значений

.
Преобразователи активной мощности также должны быть испытаны на погрешность при нулевом коэффициенте мощности, а преобразователи реактивной мощности - при

.
6.8.3 Обработка результатов
Дополнительные погрешности определяются по формулам:
и

.
6.8.4 Допустимые значения дополнительных погрешностей
Группа применения | Рабочая область значений | Дополнительные погрешности (% от индекса класса) |
| | 50 |
| | 50 |
| | 50 |
Для всех преобразователей погрешность при нулевом коэффициенте мощности (или

) не должна превышать 100% от индекса класса.
6.9 Дополнительная погрешность, обусловленная изменением выходной нагрузки
6.9.1 Область применения
Все преобразователи с изменяемой выходной нагрузкой.
6.9.2 Метод испытания
Подключить выходную нагрузку со средним значением номинального диапазона и регистрировать значение выходного сигнала (R).
При постоянном значении измеряемой величины следует уменьшить сопротивление нагрузки до нижней границы, указанной в
6.9.4, и зарегистрировать значение выходного сигнала (
X).
Затем следует увеличить сопротивление нагрузки до верхней границы, указанной в
6.9.4, и зарегистрировать значение выходного сигнала (
Y).
6.9.3 Обработка результатов
Дополнительные погрешности определяются по формулам:
и

.
6.9.4 Допустимые значения дополнительных погрешностей
Группа применения | Рабочая область значений (%) | Дополнительные погрешности (% от индекса класса) |
| 10...100 | 50 |
| 10...100 | 50 |
| 10...100 | 50 |
6.10 Дополнительная погрешность, обусловленная искажением входной величины (величин)
6.10.1 Область применения
Все преобразователи, предназначенные производителем для применения в системах с искаженными формами волны, кроме преобразователей гармоник.
6.10.2 Метод испытания
Подать выбранное значение входной величины без искажения и зарегистрировать значение выходного сигнала (R).
Добавить третью гармонику уровнем, указанным в
6.10.4, сохраняя постоянным действующее значение (rms), и зарегистрировать значение выходного сигнала (
X). Фазовое отношение между гармонической и основной составляющей должно быть изменено для определения наиболее неблагоприятных условий.
Для преобразователей активной и реактивной мощности испытание проводят с искаженной формой волны тока, и затем повторяют с искаженной формой волны напряжения.
Для преобразователей активной и реактивной мощности, не использующих фазорегуляторы, допустимые дополнительные погрешности указаны в
6.10.4.
Для преобразователей реактивной мощности, использующих фазорегуляторы, допустимые дополнительные погрешности должны быть указаны производителем.
6.10.3 Обработка результатов
Дополнительная погрешность определяется по формуле

.
6.10.4 Допустимые значения дополнительных погрешностей
Группа применения | Рабочая область значений (%) | Дополнительные погрешности (% от индекса класса) |
| Коэффициент искажений 0,2 | 200 |
| Коэффициент искажений 0,2 | 200 |
| Коэффициент искажений 0,2 | 200 |
6.11 Дополнительная погрешность, обусловленная наличием магнитного поля источника
6.11.1 Область применения
Все преобразователи.
6.11.2 Метод испытания
Преобразователь располагают в центре катушки с диаметром 1 м, с квадратным поперечным сечением и малой радиальной толщиной по сравнению с ее диаметром (см.
примечание). При отсутствии испытуемого преобразователя 400 ампер-витков должны производить в центре этой катушки магнитное поле напряженностью 0,4 кА/м. Магнитное поле должно быть произведено током такого же вида и частоты, которым запитывается измерительная цепь, причем комбинация его фазы и ориентации должны быть наиболее неблагоприятными. Характеристики полей переменного тока выражают в действующих значениях (rms).
Любой преобразователь с внешними размерами, превышающими 250 мм, должен быть испытан в катушке с диаметром, более чем в 4 раза превышающим максимальные размеры преобразователя. Сила магнитного поля должна оставаться такой, как описано выше.
Примечание - Другие приборы, которые производят достаточное гомогенное магнитное поле в отсутствие испытуемого трансформатора также допустимы.
При отсутствии внешнего поля зарегистрировать значение выходного сигнала (R).
При постоянном значении измеряемой величины следует применить внешнее поле и зарегистрировать значение выходного сигнала (X).
6.11.3 Обработка результатов
Дополнительная погрешность определяется по формуле

.
6.11.4 Допустимые значения дополнительных погрешностей
Группа применения | Дополнительные погрешности (% от индекса класса) |
| 100 |
| 100 |
| 100 |
6.12 Дополнительная погрешность, обусловленная наличием несбалансированных токов
6.12.1 Область применения
Многокомпонентные преобразователи активной и реактивной энергии.
6.12.2 Метод испытания
Токи должны быть сбалансированы и настроены таким образом, чтобы выходной сигнал был приблизительно в середине диапазона или, если нулевой выходной сигнал находится в пределах диапазона, в середине отрезка между нулевым и номинальным значением выходного сигнала. При этом следует зарегистрировать значение выходного сигнала (R).
Отключить один ток, обеспечивающий баланс и симметрию напряжений, настроить один из токов, поддерживая их равными, таким образом, чтобы восстановить начальное значение измеряемой величины. При этом следует зарегистрировать значение выходного сигнала (X).
6.12.3 Обработка результатов
Дополнительная погрешность определяется по формуле

.
6.12.4 Допустимые значения дополнительных погрешностей
Группа применения | Дополнительные погрешности (% от индекса класса) |
| 100 |
| 100 |
| 100 |
6.13 Дополнительная погрешность, обусловленная взаимным влиянием измерительных элементов
6.13.1 Область применения
Многоэлементные преобразователи активной и реактивной энергии, кроме тех, которые используют два измерительных элемента для измерения энергии в трехфазной несбалансированной сети с тремя токовыми цепями (иногда называемые "двух с половиной элементными") и тех преобразователей реактивной энергии, которые используют методы перекрестной связи.
6.13.2 Метод испытания
Вход напряжения одной измерительной цепи должен быть запитан номинальным значением напряжения. При этом токовый вход каждой из оставшихся измерительных цепей должен быть запитан номинальным током поочередно. Максимальное отклонение выходного сигнала (X) от значения, соответствующего нулю измеряемой величины, должно быть записано во время изменения фазового угла между напряжением и токами на 360°.
Если питание является общим для одной из входных цепей напряжения, эта цепь должна быть той, к которой прилагают напряжение.
6.13.3 Обработка результатов
Дополнительная погрешность определяется по формуле

.
6.13.4 Допустимые значения дополнительных погрешностей
Группа применения | Дополнительные погрешности (% от индекса класса) |
| 50 |
| 50 |
| 50 |
6.14 Дополнительная погрешность, обусловленная самонагревом
6.14.1 Область применения
Все преобразователи.
6.14.2 Метод испытания
Преобразователь должен находиться при температуре окружающего воздуха в отключенном состоянии в течение 4 ч. Затем следует запитать преобразователь согласно
4.5.4 (без "30-минутного" прогрева, указанного в
таблице 2), и в период от первой до третьей минуты следует определить выходной сигнал (
X).
Затем следует повторить эту процедуру, т.е. зарегистрировать выходной сигнал (R), в период от 30-й до 35-й минуты после подачи электропитания.
6.14.3 Обработка результатов
Дополнительная погрешность определяется по формуле

.
6.14.4 Допустимые значения дополнительных погрешностей
Группа применения | Дополнительные погрешности (% от индекса класса) |
| 100 |
| 100 |
| 100 |
6.15 Дополнительная погрешность, обусловленная непрерывным режимом (работы)
6.15.1 Область применения
Все преобразователи.
6.15.2 Метод испытания
Запитать преобразователь при нормальных условиях и при достижении стабилизации зарегистрировать значение выходного сигнала (R).
После подходящего периода непрерывного режима работы, например 6 ч, следует зафиксировать значение выхода (X).
6.15.3 Обработка результатов
Дополнительная погрешность определяется по формуле

.
6.15.4 Допустимые значения дополнительных погрешностей
Изменение основной погрешности допустимо, но она не должна превышать требований к классу точности преобразователя.
6.16 Дополнительная погрешность, обусловленная наличием синфазных помех
6.16.1 Область применения
Все преобразователи с аналоговым выходным сигналом.
6.16.2 Метод измерения
При постоянных значениях измеряемой величины вблизи верхнего номинального значения, следует зарегистрировать значение выходного сигнала (R).
Подать действующее напряжение 100 В (rms), при частоте от 45 до 65 Гц, между одним из контактов выхода и землей и зарегистрировать значение выхода (X).
6.16.3 Обработка результатов
Дополнительная погрешность определяется по формуле

.
6.16.4 Допустимые значения дополнительных погрешностей
Группа применения | Дополнительные погрешности (% от индекса класса) |
| 100 |
| 100 |
| 100 |
6.17 Дополнительная погрешность, обусловленная наличием аддитивных помех
6.17.1 Область применения
Все преобразователи с аналоговым токовым выходным сигналом.
6.17.2 Метод испытания
При постоянном значении измеряемой величины вблизи верхнего номинального значения и при напряжении на выходе 80% от допустимого напряжения следует зарегистрировать значение выходного сигнала (R).
От источника, включенного в цепь выхода последовательно с нагрузкой, подать действующее напряжение 1 В (rms) частотой от 45 до 65 Гц и зарегистрировать значение выхода (X).
Примечание - Внутреннее сопротивление постоянному току источника аддитивных помех, при их избытке, может повлиять на результаты, особенно для преобразователей с фиксированной выходной нагрузкой.
6.17.3 Обработка результатов
Дополнительная погрешность определяется по формуле

.
6.17.4 Допустимые значения дополнительных погрешностей
Группа применения | Дополнительные погрешности (% от индекса класса) |
| 100 |
| 100 |
| 100 |
6.17.5 Допустимая перегрузка входа
После завершения испытаний, описанных в
6.17.6 и
6.17.7, и после восстановления температурного равновесия с окружающей средой, преобразователь должен соответствовать требованиям, соответствующим его индексу класса.
6.17.6 Продолжительная перегрузка входа
Преобразователь должен выдерживать перегрузку по входу продолжительностью 24 ч.
a) Входы напряжения, включая питание, должны быть испытаны при 120% от номинального значения напряжения.
b) Токовые входы должны быть испытаны при 120% от номинального значения тока.
6.17.7 Кратковременная перегрузка входа
Испытания должны проводиться при нормальных условиях. Кратковременные перегрузки преобразователя:
a) на входы напряжения прикладывается 200% от номинального значения измеряемого напряжения в течение 1 с, испытание повторяется 10 раз с 10-секундным интервалом.
b) на токовые входы прикладывается 20-кратное номинальное значение измеренного тока в течение 1 с, испытание повторяется 5 раз с 300-секундным интервалом.
Испытательная цепь не должна иметь реактивных элементов.
После испытания внутренние характеристики преобразователя должны оставаться неизменными.
6.18 Испытания повышенным напряжением, испытания прочности изоляции и другие нормы техники безопасности
Требования к испытанию повышенным напряжением и другие нормы техники безопасности представлены в МЭК 61010-1.
6.19 Испытания импульсным напряжением
6.19.1 Пиковое испытательное напряжение значением 5 кВ, имеющее нормированную форму волны импульса 1,2/50 мкс, как положительной, так и отрицательной полярностей, должно прикладываться к преобразователям следующим образом:
- между клеммой заземления и всеми остальными входами, соединенными вместе;
- между входами каждой цепи поочередно, при заземлении всех остальных цепей.
Прикладывают три положительных и три отрицательных импульса с интервалом не менее 5 с. Любой пробой (емкостной разряд) должен считаться признаком неисправности преобразователя, если он не возникает в компоненте, предназначенном для этого (например, в защитном разряднике).
Более подробно испытания импульсным напряжением представлены в МЭК 61010-1 и МЭК 61010-2-030.
6.19.2 После завершения испытаний импульсным напряжением преобразователь должен соответствовать требованиям его индекса класса.
6.19.3 Дополнительные цепи с напряжением свыше 40 В должны быть испытаны импульсным напряжением при тех же условиях, что указаны к другим цепям.
6.20 Испытание на высокочастотные помехи
См. серию публикаций МЭК 61326.
6.21 Испытание на перегрев
Преобразователь должен быть запитан следующим образом:
- каждая токовая цепь должна быть нагружена током со значением 1,1 от номинального;
- на каждую цепь напряжения должно быть подано напряжение со значением 1,2 от номинального.
Эти условия должны поддерживаться не менее 2 часов. Во время испытания преобразователь не должен подвергаться воздействию искусственной вентиляции и прямому солнечному излучению (радиации).
Повышение температуры следующих компонентов преобразователя не должно превышать:
- для входных цепей: 60 К;
- для внешних поверхностей: 25 К.
Если, по согласованию с заказчиком, требуются другие испытания, обращайтесь к следующим публикациям:
- вибрация: МЭК 60668-2-6;
- ударопрочность: МЭК 60668-2-27;
- электромагнитная совместимость: серия публикаций МЭК 61326-1.
7 Маркировка и информация
Преобразователи должны иметь на одной из внешних поверхностей корпуса (или видимые сквозь него) маркировки, перечисленные ниже. Маркировка должна быть разборчивой и нестираемой. Символы, указанные ниже, нормированы в
таблице 7:
a) название и логотип производителя;
b) обозначение типа;
c) серийный номер или код даты изготовления;
d) версия программного обеспечения (версия программного обеспечения, которая встроена в преобразователь (если таковая имеется, только для цифровых преобразователей);
g) нижнее и верхнее номинальные значения измеряемой величины;
h) коэффициенты трансформаторов тока и трансформаторов напряжения (если имеются), для использования с которыми предназначен преобразователь;
i) диапазоны значений выходного тока (напряжения) и выходной нагрузки, в пределах которых достигается нормированная работа (только для аналоговых выходов);
j) пределы диапазона измерения, если требуется (см.
5.9);
k) серийный номер(-а) присоединенного оборудования (если применимо);
l) напряжение(-я) источника питания (если имеется);
m) символ, указывающий, что некоторая важная информация дана в отдельном документе
(символ F-33);
n) место для данных настройки (если необходимо);
q) категория перенапряжения (см. серию публикаций МЭК 61010);
r) степень загрязнения согласно серии публикаций МЭК 61010;
s) другие символы норм безопасности согласно МЭК 61010-1.
Если маркировки и символы находятся на легкоснимаемой части, такой, как крышка, то серийный номер должен быть также маркирован на корпусе преобразователя.
Преобразователи, имеющие нелинейную передаточную характеристику между входом и выходом, должны быть маркированы
символом F-33, и действительная передаточная характеристика отношения между входом и выходом должна быть описана в отдельном документе.
Примечание - Указывается, если достаточно места на корпусе, в противном случае описывается в отдельном документе.
7.2 Маркировка нормальных условий и рабочих областей значений для преобразователей
7.2.1 Если нормальные значения (или диапазоны) и рабочие области значений, отличаются от указанных в
таблицах 3 и
4 и в
разделе 6, то они должны быть маркированы на преобразователе или описаны в отдельном документе.
7.2.2 Если маркировано нормальное значение или нормальный диапазон, то оно (он) должно быть выделено подчеркиванием.
7.2.3
Таблица 6 показывает важность различной маркировки, например, для температуры.
Таблица 6
Примеры маркировки относительно нормальных условий
и рабочих областей значений по температуре
Пример | Значение |
| |
| |
| |
| Нормальное значение: 25 °C Рабочая область: от 0 °C до 40 °C |
| Нормальная область: от 20 °C до 30 °C Рабочая область: от -5 °C до 35 °C |
Примечание - Всегда должны быть указаны 3 или 4 числа. |
7.3 Обозначение соединений и клемм
Если требуется для правильного применения преобразователя, к нему должна прилагаться схема подключения или таблица соединений с четкой маркировкой правильного способа подключения.
Если клемма измерительной цепи должна быть при потенциале земли или близко к нему (например, для обеспечения целей безопасности и функциональных целей), она должна быть маркирована буквой N, если предназначена для подключения к нейтральному проводнику цепи питания переменного тока, или маркирована
символом F-45 (см.
таблицу 7) во всех других случаях.
7.4 Информация, указываемая в отдельном документе
Следующая информация должна быть указана в документе, поставляемом вместе с преобразователем:
- время отклика;
- дополнительная погрешность от магнитного поля источника;
- действительное отношение между входом и выходом (см. соответствующие обозначения согласно типу кривой, указанной в
5.3 для определения передаточной характеристики выходного тока).
Таблица 7
Символы для маркировки преобразователей
N | Элемент | Символ |
B Природа входной величины (величин) и количество измерительных цепей |
B-1 | МЭК 60417-5031: Постоянный ток Цепь постоянного тока (только для источника питания) | |
| МЭК 60417-5032: Переменный ток Цепь переменного тока (однофазная) | |
B-3 | Цепь постоянного тока и переменного тока | |
| МЭК 60417-5032-1: Трехфазный переменный ток Трехфазная цепь переменного тока (общий символ) | |
| Один измерительный элемент для трехпроводной сети | |
B-7 | МЭК 60417-5032-2: Трехфазный переменный ток с нейтральным проводником Один измерительный элемент для четырехпроводной сети | |
B-8 | Два измерительных элемента для трехпроводной сети с несбалансированной нагрузкой | |
B-9 | Два измерительных элемента для четырехпроводной сети с несбалансированной нагрузкой | |
| Три измерительных элемента для четырехпроводной сети с несбалансированной нагрузкой | |
C Безопасность (см. МЭК 61010-1) |
E Класс точности |
| Индекс класса точности (например, 1) - если опорная точка соответствует полному диапазону | |
| Индекс класса (например, 0,5) - если опорная точка соответствует половине диапазона | |
F Общие символы |
| МЭК 60417-5017: Земля; заземление. Клемма заземления (общий символ) | |
| МЭК 60417-5017: Земля; заземление. Клемма заземления (общий символ) | |
| МЭК 60417-5020: Корпус или общий вывод. Клемма, соединенная с корпусом или общим выводом | |
F-43 | МЭК 60417-5019: Защитное заземление. Клемма защитного вход заземления | |
F-44 | МЭК 60417-5018: Чистая земля; заземление без помех. Клемма заземления без помех (чистая земля) | |
| Клемма заземления измерительной цепи | |
F-46 | МЭК 60417-5005: Плюс; положительная полярность. Положительный вход | |
F-47 | МЭК 60417-5006: Минус; отрицательная полярность. Отрицательный вход | |
(справочное)
СВЕДЕНИЯ О СООТВЕТСТВИИ ССЫЛОЧНЫХ МЕЖДУНАРОДНЫХ СТАНДАРТОВ
ССЫЛОЧНЫМ НАЦИОНАЛЬНЫМ СТАНДАРТАМ РОССИЙСКОЙ ФЕДЕРАЦИИ
Таблица ДА.1
Обозначение ссылочного международного стандарта | Степень соответствия | Обозначение и наименование соответствующего национального стандарта |
МЭК 60051-1:1997 | - | |
МЭК 60068-2-6:2007 | - | |
МЭК 60068-2-27:2008 | - | |
МЭК 60255-151:2009 | IDT | ГОСТ IEC 60255-151-2014 "Реле измерительные и защитное оборудование. Часть 151. Функциональные требования к защите от сверхтоков и/или минимального тока" |
МЭК 61010-1:2010 | IDT | ГОСТ IEC 61010-1-2014 "Безопасность электрических контрольно-измерительных приборов и лабораторного оборудования. Часть 1. Общие требования" |
МЭК 61010-2-030:2010 | IDT | ГОСТ IEC 61010-2-030-2013 "Безопасность электрических контрольно-измерительных приборов и лабораторного оборудования. Часть 2-030. Частные требования к испытательным и измерительным цепям" |
МЭК 61326-1:2012 | IDT | ГОСТ Р МЭК 61326-1-2014 "Оборудование электрическое для измерения, управления и лабораторного применения. Требования электромагнитной совместимости. Часть 1. Общие требования" |
МЭК 61557-12:2007 | - | |
МЭК 60417 | - | |
<*> Соответствующий национальный стандарт отсутствует. До его утверждения рекомендуется использовать перевод на русский язык данного международного стандарта. Перевод данного международного стандарта находится в Федеральном информационном фонде технических регламентов и стандартов. Примечание - В настоящей таблице использовано следующее условное обозначение степени соответствия стандартов: - IDT - идентичные стандарты. |
IEC 60044-7:1999 | Instrument transformers - Part 7: Electronic voltage transformers (МЭК 60044-7:1999 Трансформаторы измерительные. Часть 7. Трансформаторы напряжения с электронными измерительными приборами) |
IEC 60044-8:2002 | Instrument transformers. Part 8. Electronic current transformers (МЭК 60044-8:2002 Трансформаторы измерительные. Часть 8. Электронные трансформаторы тока) |
IEC 60050-300:2001 | International Electrotechnical Vocabulary - Electrical and electronic measurements and measuring instruments - Part 311: General terms relating to measurements; Part 312: General terms relating to electrical measurements; Part 313: Types of electrical measuring instruments; Part 314: Specific terms according to the type of instrument (МЭК 60050-300:2001 Международный электротехнический словарь. Электрические и электронные измерения и измерительные приборы. Часть 311. Общие термины, относящиеся к измерениям. Часть 312. Общие термины, относящиеся к электрическим измерениям. Часть 313. Типы электрических приборов. Часть 314. Специальные термины, соответствующие типу прибора) |
IEC 60051 (all parts) | Direct acting indicating analogue electrical measuring instruments and their accessories (МЭК 60051 (все части) Приборы аналоговые показывающие электроизмерительные прямого действия и вспомогательные части к ним) |
IEC 60068-2-30:2005 | Environmental testing - Part 2-30: Tests - Test Db: Damp heat, cyclic (12 h + 12 h cycle) (МЭК 60068-2-30:2005 Испытания на воздействия внешних факторов. Часть 2. Испытания. Испытание Db и руководство: Влажное тепло, циклическое (12 + 12-часовой цикл) |
IEC 60359:2001 | Electrical and electronic measurement equipment. Expression of the performance (МЭК 60359:2001 Аппаратура измерительная электрическая и электронная. Выражение рабочих характеристик) |
IEC 60381-1:1982 | Analogue signals for process control systems. Part 1: Direct current signals (МЭК 60381-1:1982 Сигналы аналоговые для систем управления технологическими процессами. Часть 1: Сигналы постоянного тока |
IEC 60770-1:2010 | Transmitters for use in industrial-process control systems - Part 1: Methods for performance evaluation (МЭК 60770-1:2010 Датчики систем управления промышленными процессами. Часть 1. Методы оценки характеристик) |
IEC 60770-2:2010 | Transmitters for use in industrial-process control systems - Part 2: Methods for inspection and routine testing (МЭК 60770-2:2010 Датчики систем управления промышленными процессами. Часть 2: Руководство по контролю и типовым испытаниям) |
IEC 60770-3:2006 | Transmitters for use in industrial-process control systems - Part 3: Methods for performance evaluation of intelligent transmitters (МЭК 60770-3:2006 Датчики систем управления промышленными процессами. Часть 3: Методы оценивания рабочих характеристик интеллектуальных датчиков) ITU Recommendation O.41. Psophometer for use on telephone-type circuits (Рекомендации O.41 Международного союза электросвязи. Псофометр, предназначенный для использования в цепях телефонного типа). |
УДК 621.314.222.8:006.354 | | |
Ключевые слова: преобразователи электрические измерительные, параметры переменного и постоянного тока, аналоговые и цифровые сигналы |