Главная // Актуальные документы // ГОСТ Р (Государственный стандарт)СПРАВКА
Источник публикации
М.: Стандартинформ, 2015
Примечание к документу
Документ
введен в действие с 1 декабря 2015 года.
Название документа
"ГОСТ Р ИСО 17497-2-2014. Национальный стандарт Российской Федерации. Акустика. Звукорассеивающие свойства поверхностей. Часть 2. Измерение коэффициента рассеяния направленной звуковой волны в свободном звуковом поле"
(утв. и введен в действие Приказом Росстандарта от 11.11.2014 N 1546-ст)
"ГОСТ Р ИСО 17497-2-2014. Национальный стандарт Российской Федерации. Акустика. Звукорассеивающие свойства поверхностей. Часть 2. Измерение коэффициента рассеяния направленной звуковой волны в свободном звуковом поле"
(утв. и введен в действие Приказом Росстандарта от 11.11.2014 N 1546-ст)
Утвержден и введен в действие
по техническому регулированию
и метрологии
от 11 ноября 2014 г. N 1546-ст
НАЦИОНАЛЬНЫЙ СТАНДАРТ РОССИЙСКОЙ ФЕДЕРАЦИИ
АКУСТИКА
ЗВУКОРАССЕИВАЮЩИЕ СВОЙСТВА ПОВЕРХНОСТЕЙ
ЧАСТЬ 2
ИЗМЕРЕНИЕ КОЭФФИЦИЕНТА РАССЕЯНИЯ НАПРАВЛЕННОЙ ЗВУКОВОЙ ВОЛНЫ
В СВОБОДНОМ ЗВУКОВОМ ПОЛЕ
Acoustics. Sound-scattering properties of surfaces. Part 2.
Measurement of the directional diffusion coefficient
in a free field
ISO 17497-2:2012
Acoustics - Sound-scattering properties of surfaces -
Part 2: Measurement of the directional diffusion
coefficient in a free field
(IDT)
ГОСТ Р ИСО 17497-2-2014
Дата введения
1 декабря 2015 года
1. Подготовлен Открытым акционерным обществом "Научно-исследовательский центр контроля и диагностики технических систем" (АО "НИЦ КД") на основе собственного аутентичного перевода на русский язык стандарта, указанного в пункте 4.
2. Внесен Техническим комитетом по стандартизации ТК 358 "Акустика".
3. Утвержден и введен в действие
Приказом Федерального агентства по техническому регулированию и метрологии от 11 ноября 2014 г. N 1546-ст.
4. Настоящий стандарт идентичен международному стандарту ИСО 17497-2:2012 "Акустика. Звукорассеивающие свойства поверхностей. Часть 2. Измерение коэффициента рассеяния направленной звуковой волны в свободном звуковом поле" (ISO 17497-2:2012 "Acoustics - Sound-scattering properties of surfaces - Part 2: Measurement of the directional diffusion coefficient in a freefield").
При применении настоящего стандарта рекомендуется использовать вместо ссылочных международных стандартов соответствующие им национальные стандарты Российской Федерации и межгосударственные стандарты, сведения о которых приведены в дополнительном
Приложении ДА.
5. Введен впервые.
Правила применения настоящего стандарта установлены в ГОСТ Р 1.0-2012
(раздел 8). Информация об изменениях к настоящему стандарту публикуется в ежегодном (по состоянию на 1 января текущего года) информационном указателе "Национальные стандарты", а официальный текст изменений и поправок - в ежемесячном информационном указателе "Национальные стандарты". В случае пересмотра (замены) или отмены настоящего стандарта соответствующее уведомление будет опубликовано в ближайшем выпуске информационного указателя "Национальные стандарты". Соответствующая информация, уведомление и тексты размещаются также в информационной системе общего пользования - на официальном сайте Федерального агентства по техническому регулированию и метрологии в сети Интернет (gost.ru).
Интенсивность рассеяния звуковых волн при отражении от поверхностей имеет большое значение во всех областях применения акустики помещений, например в концертных залах, студиях звукозаписи, производственных помещениях и реверберационных акустических камерах. Степень рассеяния и поглощения звука в помещении являются важными параметрами его акустического качества. Настоящий стандарт описывает свойства и устанавливает методы измерения параметров звукорассеивающих поверхностей.
Коэффициент рассеяния введен в ИСО 17487-1. В настоящем стандарте рассматривается метод измерения направленного коэффициента рассеяния, который отличается от коэффициента рассеяния при случайных углах падения звуковой волны, но связан с ним. В то время как коэффициент рассеяния является грубой мерой, описывающей степень рассеяния звука, направленный коэффициент рассеяния описывает однородность рассеяния по направлениям, т.е. качество диффузной поверхности. Следовательно, обе указанные характеристики являются необходимыми и имеют различное назначение.
Настоящий стандарт устанавливает метод измерения направленного коэффициента рассеяния поверхностей.
Направленный коэффициент рассеяния характеризует однородность распределения по направлениям отраженного от поверхности звука. Он является мерой качества, необходимой производителям и пользователям изделий, поверхности которых рассеивают звук в соответствии с назначением или непреднамеренно. Стандарт предназначен также разработчикам и пользователям лучевых моделей акустики помещений. Направленный коэффициент рассеяния не может быть непосредственно использован в качестве исходной величины в алгоритме прямого лучевого моделирования акустики помещений.
В настоящем стандарте устанавливается метод свободного поля.
В настоящем стандарте использованы нормативные ссылки на следующие стандарты. Недатированную ссылку относят к последней редакции ссылочного стандарта, включая его изменения.
ИСО 266 Акустика. Предпочтительные частоты (ISO 266, Acoustics - Preferredfrequencies)
МЭК 61260 Электроакустика. Фильтры октавные и на долю октавы (IEC 61260, Electroacoustics - Octave-bandandfractional-octave-bandfilters)
В настоящем стандарте применены следующие термины с соответствующими определениями:
3.1. звуковой луч (soundray): Линия одного из возможных направлений распространения звука от источника.
3.2. зеркальное отражение (specularreflection): Отражение по закону Снеллиуса, при котором угол отражения равен углу падения.
Примечание 1. Зеркальное отражение можно получить от плоской твердой поверхности, размеры которой значительно больше длины волны падающего звука.
3.3. область зеркального отражения (specularzone): Область, заключенная между линиями, проведенными от мнимого источника, построенного относительно заданной опорной плоской поверхности через края этой поверхности к приемной дуге или полусфере, на которых расположены точки измерений.
Примечание 1. Опорная плоская поверхность является плоскостью с жесткой поверхностью и имеющей такую же форму проекции или контур, как у испытуемой звукорассеивающей поверхности.
Примечание 2. Точка пересечения звукорассеивающей поверхности с лучом, проведенным из мнимого источника в точку измерения, принимается за точку зеркального отражения (см.
рисунок 1).
--------------------------------
<*> В оригинале ISO 17497-2:2012 применен термин "геометрические модели", которому в русскоязычной научно-технической литературе соответствуют математические модели акустики помещений, основанные на принципах лучевого распространения звука в помещениях.
1 - источник, 2 - область зеркального отражения,
3 - звукорассеивающая поверхность,
4 - мнимый источник, 5 - приемная дуга
Рисунок 1. Определение области зеркального отражения
3.4. дальнее поле (farfield): Область, в которой уровень звукового давления отраженного от испытуемой звукорассеивающей поверхности звука спадает на 6 дБ при удвоении расстояния в направлении от мнимого источника.
Примечание 1. В области ближнего поля вид углового распределения звукового поля зависит от расстояния от звукорассеивающей поверхности.
3.5. одномерный диффузор (singleplanediffuser): Поверхность с анизотропными звукорассеивающими свойствами, подобная цилиндру или одномерному диффузору Шредера.
Примечание 1. Для таких поверхностей коэффициент рассеяния измеряют в плоскости максимального рассеяния.
3.6. многомерный диффузор (multiple-planediffuser): Поверхность с практически изотропными звукорассеивающими свойствами, подобная полусфере или двумерному диффузору Шредера.
Примечание 1. Для таких поверхностей общий коэффициент рассеяния получают путем измерений на полусфере. Альтернативно могут быть выполнены измерения в двух ортогональных плоскостях.
3.7. отклик в полярных координатах на полуокружности (semicircularpolarresponse): Уровень звукового давления рассеянного поверхностью звука как функция угла, отсчитываемого от нормали к поверхности в заданной плоскости, в условиях свободного или полусвободного поля на полуокружности заданного радиуса с центром в опорной точке.
Примечание 1. Отсчетной нормалью является перпендикулярный вектор, направленный наружу к внешней поверхности опорной плоскости. Опорной точкой является геометрический центр тяжести опорной плоской поверхности.
3.8. отклик в полярных координатах на полусфере (semisphericalpolarresponse): Уровень звукового давления рассеянного поверхностью звука как функция сферических координат от нормали к поверхности в условиях свободного или полусвободного поля на полусфере с центром в опорной точке.
3.9. направленный коэффициент рассеяния

(directionaldiffusioncoefficient): Мера однородности рассеяния поверхностью звука для одного положения источника.
Примечание 1. Величина

изменяется в пределах от 0 до 1. При полном рассеянии звука поверхностью направленный коэффициент рассеяния равен 1. Однако реальные диффузоры имеют коэффициент рассеяния более 0,7. Если отличное от нуля рассеянное звуковое давление принимается одним микрофоном, то коэффициент рассеяния равен нулю. Нижний индекс

обозначает угол падения относительно нормали к поверхности. Символом

обозначен азимутальный угол.
3.10. коэффициент рассеяния при случайных углах падения (реверберационный коэффициент рассеяния) (random-incidencediffusioncoefficient) d: Мера однородности рассеяния излучения представительного образца источника звука по полной полуокружности для одномерного диффузора или по всей полусфере для полусферического диффузора.
Примечание 1. Для расчета коэффициента рассеяния используют средние или взвешенные значения направленного коэффициента рассеяния для различных положений источника, как указано в
8.4. Рекомендации по обеспечению репрезентативности набора источников приведены в
6.2.2. Отсутствие индекса у символа d означает, что коэффициент рассеяния берется при случайных углах падения.
3.11. нормированный направленный коэффициент рассеяния

(normalizeddirectionaldiffusioncoefficient): Коэффициент рассеяния испытуемого образца, нормированный на коэффициент рассеяния его опорной плоскости.
3.12. нормированный коэффициент рассеяния dn (normalizeddiffusioncoefficient): Коэффициент рассеяния при случайных углах падения, рассчитанный на основе нормированного направленного коэффициента рассеяния.
3.13. масштаб 1: N (physicalscaleratio): Отношение какого-либо линейного размера масштабной физической модели к соответствующему размеру в условиях натурных испытаний.
Примечание. При акустических измерениях длина звуковой волны в физической модели преобразуется в соответствии с ее масштабом. Так, если скорость звука одинакова в модели и в объекте, то частоты, используемые при проведении измерений в модели, будут в N раз больше, чем частоты при натурных испытаниях.
4. Сущность метода измерений
Коэффициент рассеяния, как и отраженная от поверхности звуковая энергия, является пространственно распределенной величиной. Это пространственное распределение описывают уровнем звукового давления отраженного звука в полярных координатах. Для измерения уровней звука используют микрофоны, расположенные в радиальных направлениях от испытуемой поверхности, и источник звука для ее облучения. Звуковой сигнал, принятый микрофонами, используют для последующей обработки по методике, изложенной в
разделе 7. С помощью формул, приведенных в
разделе 8, на основе уровней звукового давления отраженного звука рассчитывают коэффициент рассеяния. Чтобы исключить краевые эффекты (обусловленные ограниченностью размеров испытуемого образца), вызывающие уменьшение коэффициента рассеяния с увеличением частоты, рассчитывают нормированный коэффициент рассеяния.
Точки расположения микрофона следует распределить по полуокружности, если измерения выполняют в одной плоскости, или по полусфере при измерениях на полусфере. В случае одномерных диффузоров измерения могут быть выполнены с помощью двумерного гониометра или с использованием измерения на звукоотражающей плоскости помещения (см.
рисунок 3), а также в безэховой камере. Характеристики многомерного диффузора могут быть измерены в двух ортогональных плоскостях с помощью двумерного гониометра - это самый быстрый и удобный способ. Альтернативно измерения на полусфере могут быть выполнены с помощью трехмерного гониометра (см.
рисунок 2).
Рисунок 2. Трехмерный гониометр
Рисунок 3. Способ измерений на двумерной поверхности,
в качестве которой используется звукоотражающая
плоскость помещения
Измерения в натурных условиях выполняют в третьоктавных полосах со среднегеометрическими частотами в диапазоне от 100 до 5 000 Гц в соответствии с МЭК 61260 и ИСО 266. Если измерения выполняют на физической масштабной модели с масштабом 1:N, то среднегеометрические частоты должны находиться в диапазоне от N x 100 Гц до N x 5 000 Гц.
Если в масштабной модели используется пространство, заполненное газом, в котором скорость звука отличается от скорости звука в воздухе, то частоты измерения должны быть выбраны таким способом, чтобы длина волны была преобразована в соответствии с масштабным коэффициентом 1:N.
При измерениях высокие частоты могут быть исключены, если затухание в воздухе достаточно высоко.
6. Испытательная установка
6.1. Испытательное пространство
В
Приложении А приведены требования к условиям испытаний. При этом может быть использована аттестованная безэховая камера. Пример такой установки показан на
рисунке 2. Альтернативно, если применяются специальные методы, описанные в
Приложении А, то может быть использовано достаточно большое свободное пространство, имитирующее отсутствие отражений, но реально не вполне удовлетворяющее данному требованию.
Измерения могут также быть выполнены на звукоотражающей плоскости помещения, чтобы исключить необходимость отсутствия отражений во всем пространстве, сохранив выполнение требований
Приложения А лишь в одной плоскости. Пример такой установки показан на
рисунке 3.
Для оценки коэффициента рассеяния испытуемых поверхностей могут быть использованы масштабные модели. Если скорость звука в модели будет такой же, как в реальных условиях, то частоты, используемые для модельных измерений, должны быть в N раз выше реальных частот. При использовании масштабных моделей характеристики звукопоглощения испытуемого образца поверхности на частоте модельного масштаба должны быть такими же, как у полномасштабной поверхности на эквивалентной частоте в реальных условиях. При рассмотрении звукопоглощения образцов следует учитывать вязкие потери в пограничном слое, которые могут ограничить масштаб модели.
6.2. Звуковое поле
6.2.1. Измерения в ближнем и в дальнем поле
На практике диффузоры могут применяться в ситуациях, при которых некоторые или все источники звука и микрофоны находятся в условиях ближнего поля. В таких случаях измерения с целью определения коэффициента рассеяния должны выполняться как в ближнем, так и в дальнем поле в условиях, максимально приближенных к реальным. Измерения в дальнем поле позволяют определить коэффициент рассеяния для больших расстояний, тогда как отклонения от этого значения и, в частности, эффект фокусировки должны выявляться измерениями в условиях ближнего поля.
Допускается, как исключение, выполнять измерения коэффициента рассеяния только в дальнем поле диффузора, предназначенного для использования в реальных ситуациях с источниками и микрофонами, расположенными в дальнем поле.
Чтобы избежать ошибок при сравнении испытуемых поверхностей, при обоих видах измерений должна использоваться одинаковая геометрия. В отчете об испытаниях должна быть приведена полная геометрическая информация, данные о положении источника и микрофонов, размерах и конструкции испытуемой поверхности.
6.2.2. Измерения в дальнем поле
Условия практически свободного поля могут быть достигнуты, если не менее 80% точек измерений находятся вне зоны зеркального отражения (см.
рисунок 4). Расстояние от источника до опорной точки должно быть 10 м, и радиус приемной полуокружности или полусферы должен быть примерно равен 5 м.

- коэффициент рассеяния;
r - радиус дуги приемной полуокружности, м;
a - значения радиуса, при котором 80% точек измерений
находятся вне зоны зеркального отражения;

- образец плоской поверхности шириной 1 м, частота 5 кГц,

- образец поверхности шириной 1 м
со случайным бинарным рельефом, частота 400 Гц
Рисунок 4. Изменение коэффициента рассеяния с расстоянием
до микрофона для двух рассеивающих поверхностей,
рассчитанное методом конечных элементов. Образцы облучались
фронтально источником, расположенным на расстоянии 100 м
от плоскости поверхностей
Измерения должны выполняться с максимальным разрешением 5° по углу приема (то есть

и

). Это требование может быть выполнено при использовании системы как с фиксированными в дискретных точках положениями микрофонов, так и для системы с непрерывным сканированием.
При определении коэффициента рассеяния при случайных углах падения для полусферического диффузора позиции источника на полусфере по азимуту и высоте места должны выбираться в соответствии с таблицей 1. Систему координат выбирают в соответствии с
рисунком 7. При ориентировочных измерениях используют лишь позиции с номерами 1, 8, 10 и 12 из таблицы 1.
Таблица 1
Координаты положений источника при измерениях на полусфере
Номер позиции | Угол места  , град | Азимут  , град |
1 | 0 | - |
2 | 30 | 0 |
3 | 30 | 60 |
4 | 30 | 120 |
5 | 30 | 180 |
6 | 30 | 240 |
7 | 30 | 300 |
8 | 60 | 0 |
9 | 60 | 60 |
10 | 60 | 120 |
11 | 60 | 180 |
12 | 60 | 240 |
13 | 60 | 300 |
Для измерений способом на звукоотражающей плоскости рекомендуется для источника звука использовать углы места 0°, +/- 30° и +/- 60° относительно опорной нормали.
6.2.3. Измерения в ближнем поле
Положения микрофонов и источника в ближнем поле должны быть характерны для предполагаемого назначения диффузора. Если такие положения неизвестны, то положения источника и микрофонов выбирают так, чтобы гарантировать возможность измерения эффектов фокусировки в типичных ситуациях.
6.3. Испытуемый образец
6.3.1. Одномерные диффузоры
Для того чтобы испытуемый образец был одномерным диффузором, он должен иметь постоянные в заданном направлении x структуру поверхности и акустический импеданс. Тогда одномерный коэффициент рассеяния может быть измерен в плоскости, обычно ортогональной x, чтобы определить показатель качества в плоскости максимального рассеяния. Предварительно следует визуально проверить однородность структуры поверхности и импеданса.
6.3.2. Многомерные диффузоры
Когда однородность рассеивающей поверхности не может быть определена визуально, следует провести измерения коэффициентов рассеяния в нескольких плоскостях. Обычно для определения изотропии поверхности достаточно измерений в двух ортогональных плоскостях. На основании этих измерений для улучшенного представления рассеивающих свойств поверхности выполняют измерения на полусфере или в нескольких отдельных плоскостях.
6.3.3. Выбор испытуемых образцов
При выборе части или всей поверхности в качестве испытуемого образца следует учитывать установленные настоящим стандартом способы использования данной поверхности в помещении или геометрические ограничения, в частности требование отсутствия 80% точек измерений в зоне зеркального отражения. По возможности испытуемая поверхность должна быть выбрана так, чтобы все характерные фрагменты структуры поверхности диффузора, которые будут использованы в реальном помещении, были испытаны. Такой выбор гарантирует надлежащий учет дифракции из-за шероховатости поверхности и краевых эффектов.
Для образцов больших размеров может оказаться невозможным испытать всю структуру. В таких случаях, чтобы уменьшить размер испытуемой поверхности, может быть применена следующая методика.
Для испытуемых образцов с периодической поверхностью следует использовать не менее трех и более полных периодов так, чтобы наложение результатов от повторяющихся участков позволило достичь результата, максимально близкого к действительному.
Для апериодических или случайных поверхностей следует испытывать образцы, являющиеся представительными с точки зрения шероховатости поверхности. Эти образцы должны быть достаточно большими, чтобы гарантировать преобладание вклада поверхности, а не краевых эффектов в явление рассеивания.
Геометрия испытательной установки, предложенная в настоящем стандарте, применима вплоть до частоты третьоктавной полосы 5 кГц.
7.1. Тестовые сигналы
Отклик в полярных координатах определяют по результатам измерений звукового давления отраженного звука, используя методы передаточной функции [например, метод импульсной переходной характеристики, быстрое преобразование Фурье (FFT), метод спектрометрии временных задержек (TDS), линейно частотно модулированный сигнал или метод псевдослучайных последовательностей максимальной длины (MLS) в соответствии с
[7]].
7.2. Оборудование для излучения и приема звука
Громкоговоритель должен облучать весь диффузор, как это имеет место при всенаправленном источнике. Распределение звукового давления громкоговорителя на опорной плоской поверхности не должно отличаться от той же величины для идеального всенаправленного источника более чем на +/- 2 дБ по величине и +/- 20° по фазе.
Микрофоны должны обладать одинаковой чувствительностью по всем направлениям отражений от диффузора в пределах +/- 1 дБ по величине и +/- 10° по фазе.
7.3. Измерения
Для каждой пары источник-микрофон должны быть измерены:
- импульсная переходная характеристика испытательного пространства h1(t) в присутствии испытуемой поверхности;
- импульсная переходная характеристика испытательного пространства h2(t) в отсутствие испытуемой поверхности;
- при использовании более одного микрофона или источника - импульсная переходная характеристика испытательного пространства h3(t) в отсутствие испытуемой поверхности при обращенном к микрофону источнике, акустический центр которого расположен в заданной опорной точке.
Вместо импульсной переходной характеристики может быть определена соответствующая ей передаточная функция.
7.4. Получение отклика в полярных координатах
7.4.1. Общие положения
Сущность метода состоит в измерении импульсной переходной характеристики испытательного пространства таким образом, чтобы отделить отражения от испытуемого образца от отражений, вызванных другими препятствиями. Процесс обработки данных представлен на
рисунках 5 и
6.
a) Отклик h3(t) громкоговоритель-микрофон
b) Отклик h2(t) испытательного пространства без образца
c) Отклик h1(t) помещения с образцом
d) Разность h1(t) - h2(t)
e) Восстановление отклика образца h4(t)
методом обращения свертки
f) Отклик образца, селектированный временным окном
1 - временное окно; 2 - помехи;
3 - сигнал испытуемого образца;
p - давление; t - время; ta - время (растянутый масштаб)
Рисунок 5. Последовательность обработки данных
Примечание. На всех графиках отображено относительное звуковое давление как функция времени.

- коэффициент рассеяния; f -частота;
1 - нормированный; 2 - без нормировки;
p - давление; t - время
Рисунок 6. Получение коэффициента рассеяния из импульсной
переходной характеристики: A - геометрия измерения;
B - импульсная переходная характеристика h1(t);
C - совокупность временных характеристик;
D - угловые характеристики направленности
в третьоктавных полосах;
E - коэффициент рассеяния как функция частоты
Влияние нежелательных отражений исключают путем вычитания h2(t) из h1(t).
7.4.2. Отклик громкоговоритель-микрофон
Для систем, в которых применяется более одного микрофона и громкоговоритель, отклик громкоговоритель-микрофон получают методом обращения свертки от разностной импульсной переходной характеристики в соответствии с формулой (1):

, (1)
где F - прямое преобразование Фурье;
F-1 - обратное преобразование Фурье.
7.4.3. Селекция временным окном
Импульсную переходную характеристику селектируют прямоугольным временным окном. Окно имеет единичный коэффициент усиления в интервале времени, где присутствуют отражения от испытуемого диффузора, и нулевой коэффициент усиления вне этого интервала. Окно исключает остаточные отражения, отличающиеся по времени прихода от отражений от испытуемого диффузора. Размер окна определяют с учетом наименьшего и наибольшего времени прихода отражений от испытуемой поверхности. Наименьшее время может быть рассчитано из простых геометрических соотношений. При определении наибольшего времени отражений следует учитывать отражения не только первого порядка, но и последующие отражения от поверхности, чтобы отклик от нее полностью сформировался. Для определения размера и положения окна рекомендуется проводить визуальный анализ импульсной переходной характеристики.
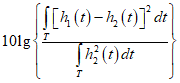
Для опорной плоской поверхности отношение "сигнал-шум" в селектированном при помощи окна отрезке импульсной переходной характеристики должно быть не менее 40 дБ. В данном случае шум обусловлен не только случайной погрешностью измерения, но также и систематическими погрешностями из-за нежелательных отражений от объектов, отличных от испытуемой поверхности. Отношение "сигнал-шум" может быть рассчитано по формуле:

, (2)
где T - длина прямоугольного окна.
Отношение "сигнал-шум" должно быть определено в каждой из третьоктавных полос диапазона измерений.
Примечание. Для облегчения визуального анализа импульсной переходной характеристики с целью определения положения и размера окна может быть применен добротный полосовой фильтр, исключающий низкие частоты из диапазона измерений.
Обращение свертки в
формуле (1) приводит к появлению прямого звука в h
4, что вызывает его отличие от h
3, и это нужно учитывать при временной селекции.
7.4.4. Преобразование Фурье
Обработанную окном импульсную переходную характеристику подвергают затем преобразованию Фурье. В результате в каждой полосе частот диапазона измерений получают третьоктавные уровни L', дБ. Среднегеометрические частоты полос должны соответствовать ИСО 266. Уровни в третьоктавных полосах частот представляют мощность в каждой полосе, полученную численным интегрированием в предположении бесконечного спада частотной характеристики фильтра на краях полосы. После преобразования Фурье по меньшей мере три спектральных точки должны попасть в каждую третьоктавную полосу. Чтобы удовлетворить этому критерию, не следует дополнять функции от времени нулевыми значениями.
Примечание. Для численного интегрирования фильтры по МЭК 61260 не используют, т.к. они для данного метода обладают избыточно высокими характеристиками.
7.4.5. Поправки
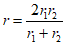
Если источник и микрофон располагаются на расстояниях r1 и r2 от точки отражения соответственно, то измеренные уровни должны быть скорректированы, чтобы учесть кривизну фронта сферической или цилиндрической звуковой волны. Корректированное расстояние r определяют по формуле

. (3)
Приведенные к стандартным расстояниям r1 = 10 м и r2 = 5 м корректированные измеренные в точке с номером i уровни определяют по формуле

, (4)
где

для цилиндрической волны;

для сферической волны.
Однако чтобы исключить изменения расстояния, измерения по возможности следует выполнять вдоль дуги. Коррекция по расстоянию в формуле (4) является приблизительной, поскольку отраженный испытуемыми поверхностями звук не формирует в точности сферические или цилиндрические волны.
8. Представление результатов
8.1. Направленный коэффициент рассеяния
Для фиксированного положения источника в каждой третьоктавной полосе направленный коэффициент рассеяния может быть вычислен по множеству уровней звукового давления Li, дБ, от n микрофонов при помощи формулы

. (5)
Формула (5) действительна при условии, что каждому положению микрофона соответствует одинаковая область измерения. Такой способ измерений получается автоматически при измерениях в одной плоскости на дуге при равных угловых интервалах между микрофонами.
Примечание. Микрофоны, расположенные в интервале углов +/- 90°, фактически составляют половину от числа всех микрофонов. При этом область, контролируемую остальными микрофонами, можно не учитывать, поскольку ее учет приводит к несущественной поправке к коэффициенту рассеяния.
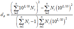
При некоторых измерениях область, контролируемая микрофоном, зависит от его положения. В этом случае должна использоваться формула

, (6)
где N
i - вычисляемый по
формуле (8) коэффициент, пропорциональный размерам области, контролируемой i-м микрофоном.
Аналогичные расчеты имеют место при измерениях на полусфере для четного числа угловых интервалов между положениями микрофонов по азимуту

и высоте места

(см.
рисунок 7).
1 - микрофон; a - опорная нормаль
Рисунок 7. Система координат
8.2. Нормированный направленный коэффициент рассеяния
Нормированный направленный коэффициент рассеяния вычисляют по формуле

, (7)
где

- направленный коэффициент рассеяния опорной плоскости.
8.3. Расчет пространственных коэффициентов
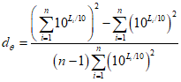
Для случая полусферы коэффициенты Ni рассчитывают по следующим вспомогательным величинам:

,

;

,

,
где

и

- угловое расстояние между соседними микрофонами по азимутальному углу и углу места, обычно равное 5°, i = 1, ..., n, n - число точек измерений. Формула (8) требует одного измерения при

.
Пространственный коэффициент Ni, связанный с i-й точкой измерения, рассчитывают по формуле

, (8)
где Amin - наименьшее из Ai.
8.4. Коэффициент рассеяния при случайных углах падения
Нормированные или ненормированные направленные коэффициенты рассеяния усредняют по всем источникам, чтобы получить нормированный или ненормированный коэффициент рассеяния при случайных углах падения. Если измерения выполнены при всех положениях источников, указанных в
6.2.2, то полученный коэффициент может быть назван коэффициентом рассеяния при случайных углах падения.
Для измерений на полусфере все положения источников усредняют с одинаковыми весовыми коэффициентами.
Для двумерных измерений усреднение выполняют с различными весовыми коэффициентами, а именно: источнику при 0° приписывают весовой коэффициент 1 и четырем положениям источника под другими углами присваивают весовой коэффициент 3.
8.5. Представление результатов
Корректированные третьоктавные отклики L
i в полярных координатах для положения источника с нормальным углом падения должны быть сведены в таблицу в зависимости от угла измерения для частотного диапазона, указанного в
разделе 5. Для измерений на полусфере в таблицу должен быть сведен отклик только под азимутальным углом падения 0°. Значения откликов должны быть округлены с точностью 0,1 дБ.
Отклики в полярных координатах должны быть представлены в графическом виде на полукруглой полярной диаграмме. Для каждой третьоктавной полосы частот при каждом положении источника должен быть представлен отдельный график, как для опорной плоской поверхности, так и для испытуемого диффузора. Точки на графике, соответствующие измерениям на каждой поверхности, должны быть соединены прямыми линиями. Единицами измерения по радиальной оси должны быть децибелы.
Коэффициент рассеяния и нормированный коэффициент рассеяния должны быть представлены в таблице для каждой третьоктавной полосы и округлены с точностью до двух десятичных разрядов.
В графическом представлении точки, соответствующие измеренным значениям, должны быть соединены прямыми линиями. По абсциссе должна быть отложена частота в логарифмическом масштабе, по ординате - результат измерений от 0 до 1 по линейной шкале. Значения по оси абсцисс должны быть эквивалентны полномасштабным значениям с указанием масштаба 1:N. Отношение расстояния по ординате от 0 до 1 к расстоянию в пять октав по абсциссе должно быть равно 2:3.
По меньшей мере следующая информация должна содержаться в протоколе испытаний:
a) ссылка на настоящий стандарт;
b) наименование организации, выполнившей испытания;
c) дата испытаний;
d) описание испытуемого образца, площади его поверхности, глубины структуры с эскизами отдельных фрагментов и фотографией;
e) масштаб испытуемого образца относительно изделия в натуральную величину;
f) координаты источника и положений микрофонов;
g) были ли измерения сделаны в единственной плоскости, в нескольких плоскостях или на полусфере, и описание измерительных плоскостей;
h) подробная методика измерений для определения откликов в полярных координатах;
i) результаты испытаний, изложенные в соответствии с
8.5.
(обязательное)
ПРОВЕРКА ИСПЫТАТЕЛЬНОГО ПРОСТРАНСТВА
А.1. Критерии для испытательного пространства
В диапазоне частот измерений и пространстве, предназначенном для выполнения измерений, измеренный уровень звукового давления от единственного громкоговорителя не должен отличаться более чем на 1 дБ от уровня звукового давления, соответствующего закону обратных расстояний (как для точечного источника).
В испытательном пространстве отношение "сигнал-шум" должно быть не менее 40 дБ в пределах прямоугольного временного окна (см.
7.4.3).
А.2. Испытательное пространство
Для испытаний может быть использована безэховая камера, в которой коэффициент отражения стен по уровню звукового давления не превышает 0,05, что эквивалентно коэффициенту звукопоглощения более 0,9975.
Для имитации пространства без отражений может быть использовано достаточно большое свободное пространство, если для исключения нежелательных отражений до преобразования Фурье к измеренной импульсной переходной характеристике применить временную селекцию с помощью прямоугольного окна или методы спектроскопии временных задержек (TDS).
А.3. Размещение микрофонов, источников звука и объекта испытаний
Микрофоны, громкоговорители и испытуемая поверхность могут быть размещены на звукоотражающей плоскости, чтобы измерения можно было провести в условиях полузаглушенной камеры или в свободном полупространстве. Плоскость должна иметь коэффициент отражения по звуковому давлению не менее 0,99. Размеры звукоотражающей плоскости должны быть достаточно большими, чтобы в пределах временного прямоугольного окна дифракционные помехи от ее границ были ниже полезного сигнала не менее чем на 40 дБ.
Источники и микрофоны должны быть достаточно близко к звукоотражающей плоскости, чтобы гарантировать отсутствие искажений от скользящих вдоль плоскости отражений на всех частотах измерений.
Примечание 1. Данное требование может быть заведомо выполнено, если элементы измерительной системы расположены от звукоотражающей плоскости на расстоянии, не превышающем

, где

- длина волны.
Примечание 2. Для измерений, выполняемых с изделиями в натуральную величину, следует учитывать возможные изменения в ходе измерений характеристик испытуемой поверхности и параметров измерительной системы. В связи с этим рекомендуется последовательно для каждой пары источник-микрофон измерить импульсные переходные характеристики h1, h2 и h3 одну за другой. Измерения характеристик h1 для всех источников и микрофонов, затем аналогично для h2 и h3 не рекомендуются.
Примечание 3. Ширина временного окна влияет на разрешение в низкочастотном участке диапазона измерений. Однако такое влияние происходит на частотах, которые значительно ниже частот, на которых большинство поверхностей проявляет заметное рассеяние.
(справочное)
СВЕДЕНИЯ О СООТВЕТСТВИИ ССЫЛОЧНЫХ МЕЖДУНАРОДНЫХ СТАНДАРТОВ
НАЦИОНАЛЬНЫМ СТАНДАРТАМ РОССИЙСКОЙ ФЕДЕРАЦИИ (И ДЕЙСТВУЮЩИМ
В ЭТОМ КАЧЕСТВЕ МЕЖГОСУДАРСТВЕННЫМ СТАНДАРТАМ)
Таблица ДА.1
Обозначение ссылочного международного стандарта | Степень соответствия | Обозначение и наименование национального стандарта |
ИСО 266 | NEQ | ГОСТ 12090-80 "Частоты для акустических измерений. Предпочтительные ряды" |
МЭК 61260 | MOD | ГОСТ Р 8.714-2010 "Государственная система обеспечения единства измерений. Фильтры полосовые октавные и на доли октавы. Технические требования и методы испытаний" |
Примечание. В настоящей таблице использовано следующее условное обозначение степени соответствия стандарта: MOD - модифицированный стандарт; NEQ - неэквивалентный стандарт. |
[1] Cox, T.J., Lam, Y.W. Evaluation of methods for predicting the scattering from simple rigid panels. Appl. Acoust. 1993, 40, pp. 123 - 140
[2] Cox, T.J., Lam, Y.W. Prediction and evaluation of the scattering from quadratic residue diffusors. J. Acoust. Soc. Am. 1994, 95, pp. 297 - 305
[3] D'Antonio, P., Konnert, J. The directional scattering coefficient: Experimental determination. J. AudioEng. Soc. 1992, 40, pp. 997 - 1017
[4] D'Antonio, P., Konnert, J.H., Kovitz, P. The disc project: Experimental measurement of the direction-alscattering properties of architectural acoustic surfaces. Wallace Clement Sabine centennial symposium, Cambridge, MA. New York, NY: Acoustical Society of America, 1994, pp. 141 - 144
[5] Hargreaves, T.J., Cox, T.J., Lam, Y.W., D'Antonio, P. Surface diffusion coefficients for room acoustics: free field measures. J. Acoust. Soc. Am. 2000, 108, pp. 1710 - 1720
[6] Cox, T.J., Dalenback, B.I., D'Antonio, P., Embrechts, J.J., Jeon, J.Y., Mommertz, E., Vorlander, M.A. Tutorial on scattering and diffusion coefficients for room acoustic surfaces. ActaAcust. Acust. 2006, 92, pp. 1 - 15
[7] ISO 18233, Acoustics - Application of new measurement methods in building and room acoustics