Главная // Актуальные документы // ГОСТ Р (Государственный стандарт)СПРАВКА
Источник публикации
М.: Стандартинформ, 2015
Примечание к документу
Документ
введен в действие с 1 марта 2016 года.
Название документа
"ГОСТ Р ИСО 13175-3-2015. Национальный стандарт Российской Федерации. Имплантаты для хирургии. Фосфаты кальция. Часть 3. Костные заменители на основе гидроксиапатита и бета-трикальций фосфата"
(утв. и введен в действие Приказом Росстандарта от 20.03.2015 N 148-ст)
"ГОСТ Р ИСО 13175-3-2015. Национальный стандарт Российской Федерации. Имплантаты для хирургии. Фосфаты кальция. Часть 3. Костные заменители на основе гидроксиапатита и бета-трикальций фосфата"
(утв. и введен в действие Приказом Росстандарта от 20.03.2015 N 148-ст)
Утвержден и введен в действие
по техническому регулированию
и метрологии
от 20 марта 2015 г. N 148-ст
НАЦИОНАЛЬНЫЙ СТАНДАРТ РОССИЙСКОЙ ФЕДЕРАЦИИ
ИМПЛАНТАТЫ ДЛЯ ХИРУРГИИ
ФОСФАТЫ КАЛЬЦИЯ
ЧАСТЬ 3
КОСТНЫЕ ЗАМЕНИТЕЛИ НА ОСНОВЕ ГИДРОКСИАПАТИТА
И БЕТА-ТРИКАЛЬЦИЙ ФОСФАТА
Implants for surgery. Calcium phosphates. Part 3.
Hydroxyapatite and beta-tricalcium phosphate bone
substitutes
ISO 13175-3:2012
Implants for surgery - Calcium phosphates -
Part 3: Hydroxyapatite and beta-tricalcium phosphate bone
substitutes
(IDT)
ГОСТ Р ИСО 13175-3-2015
Дата введения
1 марта 2016 года
1 ПОДГОТОВЛЕН Автономной некоммерческой организацией "Институт медико-биологических исследований и технологий" (АНО "ИМБИИТ") на основе собственного аутентичного перевода на русский язык международного стандарта, указанного в
пункте 4
2 ВНЕСЕН Техническим комитетом по стандартизации ТК 422 "Оценка биологического действия медицинских изделий"
3 УТВЕРЖДЕН И ВВЕДЕН В ДЕЙСТВИЕ
Приказом Федерального агентства по техническому регулированию и метрологии от 20 марта 2015 г. N 148-ст
4 Настоящий стандарт идентичен международному стандарту ИСО 13175-3:2012 "Имплантаты для хирургии. Фосфаты кальция. Часть 3. Костные заменители на основе гидроксиапатита и бета-три-кальций фосфата" (ISO 13175-3:2012 "Implants for surgery - Calcium phosphates - Part 3: Hydroxyapatite and beta-tricalcium phosphate bone substitutes").
При применении настоящего стандарта рекомендуется использовать вместо ссылочных международных стандартов соответствующие им национальные стандарты Российской Федерации, сведения о которых приведены в дополнительном
приложении ДА
5 ВВЕДЕН ВПЕРВЫЕ
Правила применения настоящего стандарта установлены в ГОСТ Р 1.0-2012
(раздел 8). Информация об изменениях к настоящему стандарту публикуется в годовом (по состоянию на 1 января текущего года) информационном указателе "Национальные стандарты", а официальный текст изменений и поправок - в ежемесячном указателе "Национальные стандарты". В случае пересмотра (замены) или отмены настоящего стандарта соответствующее уведомление будет опубликовано в ближайшем выпуске ежемесячного информационного указателя "Национальные стандарты". Соответствующая информация, уведомление и тексты размещаются также в информационной системе общего пользования - на официальном сайте Федерального агентства по техническому регулированию и метрологии в сети Интернет (www.gost.ru)
ИСО (Международная организация стандартизации) является всемирной федерацией органов национальных стандартов (организаций - членов ISO). Работа по подготовке международных стандартов обычно проводится посредством Технических комитетов ИСО. Каждая организация - член ИСО, заинтересованная в деятельности Технических комитетов, имеет право быть представленной в этом комитете. Международные организации, как государственные, так и негосударственные, также принимают участие в работе по взаимодействию с ИСО. ИСО тесно сотрудничает с Международной электротехнической комиссией (МЭК) по всем вопросам электротехнической стандартизации.
Международные стандарты разрабатываются в соответствии с правилами, приведенными в Директивах ИСО/МЭК, Часть 2.
Основной задачей технических комитетов является подготовка международных стандартов. Проекты международных стандартов, принятые Техническими комитетами, распространяются организациям - членам ИСО для голосования. Публикация в качестве международного стандарта требует одобрения не менее 75% организаций-членов с правом голоса.
Необходимо обратить внимание на возможность того, что некоторые элементы настоящего стандарта могут подвергаться патентным правам. ИСО не несет ответственности за выявление каких-либо таковых патентных прав.
ИСО 13175-3 был подготовлен Техническим комитетом ИСО/ТК 150, Хирургические имплантаты, Подкомитет SC 1, Материалы.
ИСО 13175 состоит из нескольких частей под общим наименованием "Имплантаты хирургические. Фосфаты кальция":
- Часть 3. Костные заменители на базе гидроксиапатита и бета-трикальций фосфата.
Синтетические костные заменители гидроксиапатит и

фосфат сейчас считаются адекватной альтернативой аутотрансплантатам и аллографтам. Действительно, синтетическое происхождение этих изделий гарантирует, что пациент не будет инфицирован каким-либо инфекционным заболеванием. Кроме того, было доказано, что гидроксиапатит и

фосфат являются остеокондуктивными, что означает, что они способствуют заживанию кости у поверхности материала при имплантации в костную ткань (см.
[6] и
[7]). Биосовместимость гидроксиапатита и

фосфата доказана обширной литературой (см.
[8]).
Изделия, относящиеся к области применения настоящего стандарта, подразделяют на три типа: костные заменители из синтетических монофазных гидроксиапатита или

фосфата и из двухфазного состава гидроксиапатита/

фосфата. Соотношение гидроксиапатит/

фосфат влияет на скорость растворения материала: чем выше содержание

фосфата, тем выше скорость растворения (см.
[9] -
[11]).
Процесс вживления костных заменителей зависит не только от остеокондуктивного потенциала материала, но и от пористости структуры (см.
[12] -
[16]). Необходимо, чтобы макропористость была достаточно большой и взаимосвязанной, чтобы костное врастание произошло по всему объему имплантата. Пористость также влияет на скорость резорбции керамики: чем больше число микропор, тем выше скорость растворения (см.
[14]).
Так как костные заменители не предназначены для большой нагрузки, их механические свойства не являются основными. Тем не менее, большинство блоков обрабатывается хирургом, чтобы придать им форму костной полости. Костный заменитель должен иметь достаточные механические свойства для машинной обработки.
Настоящий стандарт определяет требования для костных заменителей из монофазного гидроксиапатита, монофазного

фосфата и двухфазного гидроксиапатита/

фосфата в форме блоков или гранул.
Настоящий стандарт не применяется к наполнителям костных пустот, содержащим клеточные культуры, цементам на основе фосфата кальция или материалам, не содержащим гидроксиапатит и бета-трикальций фосфат.
В настоящем стандарте использованы нормативные ссылки на следующие стандарты. При датированной ссылке применимо только указанное издание. При ссылке без даты применимо последнее издание указанного документа, включая все поправки.
ИСО 2591-1:1988 Ситовый анализ. Часть 1. Методы с использованием лабораторных сит из тканой проволочной сетки и перфорированной металлической пластины (ISO 2591-1:1988, Test sieving - Part 1: Methods using test sieves of woven wire cloth and perforated metal plate)
ИСО 10993-1:2009 Оценка биологическая медицинских изделий. Часть 1. Оценка и испытания в рамках процесса менеджмента риска (ISO 10993-1:2009, Biological evaluation of medical devices - Part 1: Evaluation and testing within a risk management process)
ИСО 13320:2009 Гранулометрический анализ. Методы лазерной дифракции (ISO 13320:2009, Particle size analysis - Laser diffraction methods)
ИСО 13383-1:2012 Керамика тонкая (высококачественная керамика, высококачественная техническая керамика). Определение характеристик микроструктуры. Часть 1. Определение размера зерна и гранулометрического состава (ISO 13383-1:2012, Fine ceramics (advanced ceramics, advanced technical ceramics) - Microstructural characterization - Part 1: Determination of grain size and size distribution)
ИСО 13779-3:2008 Имплантаты для хирургии. Гидроксиапатит. Часть 3. Химический анализ и определение степени кристалличности и фазовой чистоты (ISO 13779-3:2008, Implants for surgery - Hydroxyapatite - Part 3: Chemical analysis and characterization of crystallinity and phase purity)
ИСО 15901-1:2005 Распределение пор по размерам и определение пористости твердых материалов с применением ртутной порозиметрии и газопоглощения. Часть 1. Ртутная порозиметрия (ISO 15901-1:2005, Pore size distribution and porosity of solid materials by mercury porosimetry and gas adsorption - Part 1: Mercury porosimetry)
ИСО 80000-1:2009 Величины и единицы. Часть 1. Общие положения (ISO 80000-1:2009, Quantities and units - Part 1: General)
3. Термины, определения и обозначения
3.1. Термины и определения
В настоящем стандарте применены следующие термины с соответствующими определениями:
3.1.1

фосфат

: Химическое соединение с кристаллографической структурой, охарактеризованной ICDD PDF <1> 09-0348.
--------------------------------
<1> Международный центр дифракционных данных, файл порошковой дифракции.
Примечание - Химическая формула Ca3(PO4)2.
3.1.2

фосфат

: Химическое соединение с кристаллографической структурой, охарактеризованной ICDD PDF 09-0169.
Примечание - Химическая формула Ca3(PO4)2.
3.1.3 костный заменитель: Изделие, предназначенное для заполнения костных пустот или промежутков, образовавшихся в результате травмы или хирургического вмешательства.
3.1.4 гидроксиапатит (HA): Химическое соединение с кристаллографической структурой, охарактеризованной ICDD PDF 09-0432 или ICDD PDF 72-1243.
Примечание - Химическая формула Ca10(PO4)6(OH)2.
3.1.5 взаимосвязанная пора: Пора, которая сообщается с одной или более порами.
3.1.6 макропора: Пора, один из параметров которой превышает 10 мкм.
3.1.7 микропора: Пора, ни один из параметров которой не превышает 10 мкм.
3.1.8 пористость: Отношение общего объема пор к объему блока или гранулы.
3.1.9 тетракальций фосфат TTCP: Химическое соединение с кристаллографической структурой, охарактеризованной ICDD PDF 25-1137 или ICDD PDF 70-1379.
Примечание - Химическая формула Ca4(PO4)2O.
3.1.10 остеокондуктивный материал: Материал, способный служить каркасом, на котором костные клетки могут прикрепляться, мигрировать (в значении двигаться или "ползать"), а также расти и делиться.
Примечание - Остеокондуктивность является пассивным свойством.
3.1.11 оксид кальция CaO: Химическое соединение с кристаллографической структурой, охарактеризованной ICDD PDF 4-0777 или ICDD PDF 82-1690.
3.1.12 плотность

фосфата

: Теоретическая плотность плотного

фосфата, равная 3,07 г см
-3.
3.1.13 плотность гидроксиапатита (dHA): Теоретическая плотность плотного гидроксиапатита, равная 3,15 г см-3.
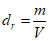
dr - общая плотность синтетического костного заменителя;
dth - теоретическая плотность синтетического костного заменителя;
m - масса синтетического костного заменителя;
V - объем синтетического костного заменителя.
Предельное содержание микропримесей для костных заменителей на основе гидроксиапатита и

фосфата приведено в таблице 1.
Таблица 1
Предельное содержание микропримесей
Элемент | Максимальное содержание, мг/кг |
Мышьяк | 3 |
Кадмий | 5 |
Ртуть | 5 |
Свинец | 30 |
Тяжелые металлы | 50 |
Для количественного определения микропримесей применяются атомно-эмиссионная спектрометрия с индуктивно-связанной плазмой (ICP/AES), масс-спектроскопия с индуктивно-связанной плазмой (ICP/MS), атомно-абсорбционная спектроскопия (AAS), или метод, приведенный в ИСО 13779-3. Необходимо указывать использованный метод.
Метод 1 Фармакопеи США "Тяжелые металлы <231>" должен применяться для количественного определения тяжелых металлов. Также возможно использовать один из описанных выше методов количественного выражения микропримесей для оценки содержания тяжелых металлов, учитывая, что общее количество тяжелых металлов является суммой следующих элементов: свинец, ртуть, висмут, мышьяк, сурьма, олово, кадмий, серебро, медь и молибден.
Необходимо указать использованный метод.
Любая примесь в пропорции более чем 1000 мг/кг должна быть идентифицирована, определена количественно, и ее влияние на костное заживание должно быть оценено. Влияние этой примеси на биосовместимость должно быть оценено в соответствии с ИСО 10993-1.
Какие-либо иные примеси должны быть идентифицированы, определены количественно, и их влияние на костное заживание и биосовместимость должно быть обосновано или оценено в соответствии с ИСО 10993-1.
4.2. Качественное и количественное определение кристаллических фаз
4.2.1 Общие положения
Состав и фазовая чистота должны контролироваться количественным выражением методом рентгенодифракции (XRD) в соответствии с ИСО 13779-3.
4.2.2 Монофазные костные заменители на основе гидроксиапатита
Массовая фракция гидроксиапатита должна составлять не менее 95% кристаллических фаз.
Массовая фракция CaO должна составлять не более чем 1% кристаллических фаз.
Массовую фракцию гидроксиапатита вычисляют согласно формуле (1)

, (1)
где MFHA - массовая фракция кристаллического HA;

- массовая фракция кристаллического

;

- массовая фракция кристаллического

;
MFTTCP - массовая фракция кристаллического TTCP;
MFCaO - массовая фракция кристаллического CaO.
Массовая фракция любой фазы считается нулевой, если ее значение ниже порога обнаружения.
4.2.3 Двухфазные костные заменители
Соотношение между гидроксиапатитом и

фосфатом должно быть указано с допустимой погрешностью +/- 5% (абсолютная) массовой фракции кристаллических фаз.
Пример - Состав из 60% HA и 40% TCP означает, что состав может быть от (65% HA и 35% TCP) до (55% HA и 45% TCP).
Качественное определение массовой доли других кристаллических фаз: если может быть обнаружен

фосфат

, эта информация должна быть включена в отчет.
4.2.4 Монофазные костные заменители на основе

фосфата
Массовая фракция

фосфата должна быть не менее 95% кристаллических фаз.
Массовую фракцию

фосфата вычисляют согласно формуле (2)

. (2)
Массовая фракция HA считается нулевой, если ее значение ниже порога обнаружения.
Качественное определение других кристаллических фаз: если может быть обнаружен

фосфат

, эта информация должна быть включена в отчет.
Наличие других фаз оценивают с помощью колебательной ИК-спектроскопии (FTIR) в соответствии с ИСО 13779-3.
Физическая форма костного заменителя (гранулы или преформированный блок) должна быть обозначена.
Размеры приводятся для всех конфигураций изделия следующим образом:
- размеры для блоков;
- размеры для гранулятов: для определения параметров гранул необходимо использовать метод лазерной дифракции в соответствии с ИСО 13320 или ситовый анализ в соответствии с ИСО 2591-1. Необходимо указать параметры D10, D50 и D90 (при лазерной дифракции) или минимальные и максимальные размеры гранул (при ситовом методе).
Объем костного заменителя должен быть указан на упаковке.
4.4.1 Общее соотношение пористости
Необходимо указать минимальное и максимальное значения степени пористости костного заменителя. Его вычисляют согласно формуле (3)

, (3)
где P - степень пористости, %.
dr - определяется измерением размеров и массы параллелепипедного костного заменителя с минимальным объемом 2 см3.
Массу определяют взвешиванием с точностью до 0,02 г, а размеры измеряют штангенциркулем с точностью не менее 0,02 мм.
Объем V костного заменителя вычисляют с использованием измеренных параметров, а затем определяют dr по формуле (4)

. (4)
dth вычисляют по формуле (5)

. (5)
Если гранулы образуются дроблением пористых блоков, необходимо измерить пористость гранул в блоках до дробления, используя описанный выше метод.
В других случаях пористость гранул оценивают методом ртутной порометрии.
4.4.2 Размеры микропор и макропор
4.4.2.1 Микропоры
Для приготовления металлографических срезов материала в некоторых случаях может быть необходимым впрессовать материал в смолу перед резкой.
Диаметр микропор должен быть определен. Его обозначают на СЕМ-микрофотографиях на участке материала одним из методов, описанных в ИСО 13383-1. Что касается случаев, когда поры соприкасаются, проводят воображаемую границу между порами.
4.4.2.2 Макропоры
4.4.2.2.1 Общие положения
4.4.2.2.2 Метод A. Сканирующая электронная микроскопия (SEM)
Для приготовления металлографических срезов материала в некоторых случаях может быть необходимым впрессовать материал в смолу перед резкой.
Измеряют диаметр макропор на сканирующем электронном микроскопе (SEM) - фотомикрографиях секции материала путем применения одного из методов, описанных в ИСО 13383-1, только к макропорам. Что касается случаев, когда поры соприкасаются, проводят воображаемую границу между порами.
4.4.2.2.3 Метод B. Микрофокусный КТ-анализ
Визуальное отображение трехмерной макропористой структуры (форма пор, толщина стен, изотропность, гомогенность), макропористость и гистограмма распределения диаметра пор могут быть определены путем микрофокусного КТ-анализа. Макропористость определяют измерением пористости поля зрения (FOV) диаметром 3 мм и высотой 1,5 мм в трехмерном анализе микрофокусных КТ-изображений. Необходимо вычислить среднее и стандартное отклонения макропористости нескольких FOV. Гистограмму диаметра поры получают путем подсчета числа пор в каждом диапазоне диаметров.
Рекомендуемое пространственное разрешение - 6 мкм/пиксель. Рекомендуемый размер образца - диаметр 5 мм и высота 10 мм.
4.4.3 Взаимосвязь
Макропоры должны быть в основном открыты и взаимосвязаны. Диаметр взаимосвязей между макропорами должен быть указан. Его определяют ртутной порометрией в соответствии с ИСО 15901-1.
Принципом данной оценки является проникновение ртути в поры образца путем применения более или менее высокого давления. Низкое давление позволяет ртути проникнуть во взаимосвязи высокого диаметра, а высокое давление позволяет проникновение во взаимосвязи низкого диаметра. Объем ртути внутри образца, таким образом, соответствует объему пор, доступных в результате взаимосвязей (размер которых зависит от примененного давления).
Необходимо определить диаметр взаимосвязей при основном пике проникновения ртути. Также определяют объем пористости, доступной путем взаимосвязей диаметром выше чем 5 мкм.
Микрофокусные КТ-изображения, включая реконструированные двух- и трехмерные изображения, могут предоставить дополнительную информацию о взаимосвязях макропор, особенно для материала со взаимосвязями более 100 мкм, когда возможности ртутной порометрии ограничены.
Если допустимая погрешность для спецификаций по пористости превышает +/- 2% для блоков, испытание проводят на образцах с более низкой и более высокой пористостью.
4.5. Растворение и изменение уровня
pH
Скорость растворения костного заменителя in vitro может быть использована для сравнения способности различных костных заменителей к резорбции in vivo, даже если in vivo будут действовать механизмы, отличные от растворения. Значительное изменение уровня pH после имплантации может ослабить остеокондукцию у поверхности костного заменителя. Целью следующих испытаний является измерение скорости растворения костных заменителей in vitro и изменение уровня pH среды растворения.
Исследуют растворение и растворимость изделия. Три образца костного заменителя помещают в три сосуда с трис-буферным раствором с уровнем pH 7,3 (+/- 0,1) при температуре (37 +/- 1) °C. Три сосуда с раствором помещают на перемешивающее устройство со скоростью вращения 200 об/мин на 24, 48 и 72 ч соответственно. Скорость растворения измеряется при условиях постоянного отношения массы начального материала к общему объему растворителя. Соотношение массы исследуемого материала к объему растворителя должно быть между 0,1 и 4,0 мг/мл.
Уровень pH измеряют через 0, 24, 48 и 72 ч погружения. Уровень pH не должен изменяться более чем на 0,3 от начального значения при испытании.
Содержание кальция в растворах анализируют с помощью атомно-эмиссионной спектрометрии с индукционно связанной плазмой (ICP/AES или AAS, или ICP/MS, или потенциометрически ионным зондом). Необходимо определить кривую соотношения концентраций и времени.
4.6. Измерение механической прочности материала
4.6.1 Общие положения
Механическую прочность костного заменителя в форме блоков оценивают методом вдавливания шарика (см. рисунок 1) и/или испытанием на сжатие (см.
рисунок 2).
1 - поршень; 2 - шарик; 3 - исследуемый образец;
4 - подставка
Рисунок 1 - Схематическая иллюстрация метода вдавливания
шарика
1 - поршень; 2 - исследуемый образец; 3 - подставка
Рисунок 2 - Схематическая иллюстрация испытания на сжатие
Для материалов с высокой пористостью (общая пористость

40%) механическую прочность костного заменителя оценивают методом вдавливания шарика.
Для материалов с высокой пористостью допустимо применять испытание на сжатие вместо испытания вдавливанием, но было доказано, что испытание методом вдавливания шарика является более воспроизводимым для материалов с высокой пористостью.
Для материалов с низкой пористостью (менее 40%) механическую прочность костного заменителя оценивают испытанием на сжатие.
4.6.2 Приборы, пробы и образцы
4.6.2.1 Приборы
4.6.2.1.1 Испытательная установка
Испытательная установка должна быть устроена таким образом, чтобы сжатие применялось к исследуемому образцу при постоянной скорости ползуна. Испытательная установка должна быть оборудована прибором, записывающим нагрузку с точностью до 1% максимальной нагрузки.
4.6.2.1.2 Шарик
Стальной шарик диаметром 9,52 мм используется в качестве индентора.
4.6.2.1.3 Поршень
Для испытания на сжатие поршень, применяющий силу к исследуемому образцу, должен быть изготовлен из стали твердостью 300 HV (твердость по Бринеллю) или выше (30 HRC - твердость по Роквеллу или выше). Толщина поршня должна быть, по меньшей мере, 10 мм, а площадь верхней поверхности поршня должна быть, по меньшей мере, в четыре раза больше площади поперечного сечения исследуемого образца. Шероховатость Ra поверхности поршня, входящей в контакт с исследуемым образцом, должна быть максимум 0,40 мкм, а параллельность должна быть максимум 0,01 мм.
Для испытания вдавливанием шарика поршень должен быть установлен так, чтобы шарик находился в центре осей поршня.
4.6.2.1.4 Подставка
Подставка под исследуемым образцом должна быть изготовлена из стали твердостью 300 HV или выше (30 HRC - твердость по Роквеллу или выше). Толщина подставки должна быть, по меньшей мере, 10 мм, а площадь верхней поверхности подставки должна быть, по меньшей мере, в четыре раза больше площади поперечного сечения исследуемого образца. Шероховатость Ra поверхности подставки, входящей в контакт с исследуемым образцом, должна быть максимум 0,40 мкм, а параллельность должна быть максимум 0,01 мм.
4.6.2.2 Процедура
4.6.2.2.1 Общие положения
Если допустимая погрешность для спецификаций по пористости превышает +/- 2%, испытание на сжатие проводят на образцах с более низкой и более высокой пористостью.
4.6.2.2.2 Метод замачивания
Фосфатно-солевой буферный раствор без кальция и магния [PBS(-)] используют в качестве раствора для замачивания.
Исследуемый образец деаэрируется вакуумным насосом в подходящий контейнер, помещенный на вакуумную камеру, и в контейнер с образцом помещают PBS(-). Количество PBS(-) должно превышать, по меньшей мере, в 10 раз видимый объем исследуемого образца. Стандартная степень вакуума (от 2 до 3) 103 Па. Время замачивания (24 +/- 1) ч при температуре (25 +/- 3) °C. Влагу с исследуемого образца вытирают перед испытанием.
Дополнительно испытания могут быть проведены при сухих условиях.
4.6.2.2.3 Позиционирование образца и методика нагружения
Исследуемый образец помещают в центре подставки. Центральные оси подставки, исследуемого образца, шарика и поршня выравнивают по прямой нагрузке.
Скорость ползуна должна составлять (0,50 +/- 0,05) мм/мин.
Нагрузку следует регистрировать от начала испытания до полного разрушения образца.
При испытании вдавливанием шарика размер вмятины на исследуемом образце должен быть меньше диаметра цилиндра или горизонтальной длины и вертикальной длины куба.
При испытании сжатием силу прикладывают к поверхности 10 x 10 мм, если используется четырехугольный параллелепипед (см.
4.6.2.4.1).
4.6.2.2.4 Повторное использование поршня, подставки и шарика
При повторном использовании поршня, подставки и шарика их необходимо осмотреть на предмет вмятин или дефектов на контактной поверхности. При наличии вмятин или дефектов на контактной поверхности, составные части не допускается использовать повторно.
4.6.2.3 Испытание вдавливанием шарика
4.6.2.3.1 Пробы и образцы
Пробу должны составлять, по меньшей мере, 10 исследуемых образцов.
Исследуемый образец должен иметь форму цилиндра. Стандартными размерами цилиндрического образца должны быть диаметр (10,0 +/- 0,1) мм и высота (10,0 +/- 0,1) мм. Тем не менее, исследуемый образец может также быть кубом со стандартными размерами сторон (10,0 +/- 0,1) мм. Параллельность между верхней и нижней поверхностями исследуемого образца не должна превышать 0,1 мм. Перпендикулярность между верхней и нижней поверхностями и боковой поверхностью исследуемого образца не должна превышать 0,1 мм.
Диаметр или диагональ квадратного основания исследуемого образца должны быть более чем в 10 раз длиннее, чем диаметр наибольшей пористости исследуемого образца. Если параметры отличаются от стандарта, это должно быть указано в отчете.
4.6.2.3.2 Результаты испытаний
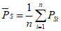
При испытании вдавливанием шарика необходимо построить кривую соотношения нагрузки и смещения от начала испытания до полного разрушения исследуемого образца. Необходимо отметить максимальную нагрузку и смещение при максимальной нагрузке на каждой кривой зависимости нагрузки и смещения.
Максимальная нагрузка
PSi будет силой вдавливания шарика. Среднее значение и стандартное отклонение силы вдавливания шарика вычисляют согласно формулам (6) и
(7) и округляют до значимых цифр.

; (6)

, (7)
где Ps - средняя нагрузка при сжатии, Н;
PSi - нагрузка вдавливания каждого исследуемого образца, Н;
SDs - стандартное отклонение нагрузки при сжатии, Н;
n - число исследуемых образцов.
4.6.2.4 Испытание на сжатие
4.6.2.4.1 Пробы и образцы
Число тестируемых образцов должно быть не менее 10.
Исследуемый образец, как правило, представляет собой цилиндр, диаметром (10,0 +/- 0,1) мм и высотой (15,0 +/- 0,1) мм. Тем не менее, исследуемый образец может также быть прямоугольным параллелепипедом с четырехугольным основанием и стандартными сторонами (10,0 +/- 0,1) мм в длину.
Перпендикулярность между верхней и нижней поверхностями и боковой поверхностью исследуемого образца не должна превышать 0,1 мм.
Диаметр или диагональ квадратного основания исследуемого образца должны быть более чем в 10 раз длиннее, чем диаметр наибольшей пористости исследуемого образца. Если параметры отличаются от стандарта, это должно быть указано в отчете.
4.6.2.4.2 Результаты испытаний
При испытании на сжатие необходимо построить кривую зависимости нагрузки от вдавливания от начала испытания до разрушения исследуемого образца. Необходимо отметить максимальную нагрузку на каждой кривой зависимости нагрузки от вдавливания.
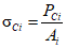
Максимальная нагрузка PCi будет использоваться для вычисления прочности при сжатии согласно формуле (8).

, (8)
где

- прочность при сжатии
i-образца, Па;
PCi - максимальная нагрузка в каждом испытании, Н;
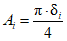
Ai - - площадь сжатия каждого исследуемого образца, м2.
Ai - вычисляют согласно формуле (9) для цилиндрических исследуемых образцов

, (9)
где

- диаметр каждого исследуемого образца, м;
или согласно формуле (10) для параллелепипедных исследуемых образцов

, (10)
где ai - грань квадратного основания каждого исследуемого образца, м.
Среднее значение и стандартное отклонение силы при сжатии вычисляют согласно формулам (11) и
(12) и округляют до значимых цифр в соответствии с ИСО 80000-1.

; (11)

, (12)
где

- средняя прочность при сжатии, Па;
SDC - стандартное отклонение средней прочности при сжатии, Па;
n - число исследуемых образцов.
Отчет об испытании должен быть составлен для каждого испытания или группы испытаний и должен включать следующее:
a) метод испытания;
b) информацию об исследуемых образцах (название, идентификатор, физическая форма исследуемого образца, параметры, если необходимо, номер партии);
c) число исследуемых образцов, использованных в каждом испытании;
d) информацию и калибровку испытательной установки;
e) наименование и сертификацию испытательной лаборатории;
f) необработанные результаты;
g) примененные методы вычисления;
h) финальные результаты и погрешности;
i) если альтернативные методы испытаний разрешены в данной части ИСО 13175, заявление, какой метод испытания был применен;
j) настройки испытательной установки;
k) характеристики компонентов, использованных в комбинации с испытательной установкой (например, размер клеток, использованных при ртутной порометрии, материал поршня, шарика и подставки в механических испытаниях);
l) наименование поставщика и номер партии расходного материала, использованного при испытаниях (например, PBS, буферный раствор); любые отклонения от методов, описанных в настоящем стандарте.
(справочное)
О СООТВЕТСТВИИ ССЫЛОЧНЫХ МЕЖДУНАРОДНЫХ СТАНДАРТОВ
НАЦИОНАЛЬНЫМ СТАНДАРТАМ РОССИЙСКОЙ ФЕДЕРАЦИИ
Таблица ДА.1
Обозначение ссылочного международного стандарта | Степень соответствия | Обозначение и наименование соответствующего национального стандарта |
ИСО 2591-1:1988 | - | |
ИСО 10993-1:2009 | - | |
ИСО 13320:2009 | - | |
ИСО 13383:2012 | - | |
ИСО 13779-3:2008 | - | |
ИСО 15901-1:2005 | - | |
ИСО 80000-1:2009 | - | |
<*> Соответствующий национальный стандарт отсутствует. До его утверждения рекомендуется использовать перевод на русский язык данного международного стандарта. Перевод данного международного стандарта находится в Федеральном информационном фонде технических регламентов и стандартов. |
[1] | ИСО 5961:1995, Качество воды. Определение содержания кадмия методом атомной абсорбционной спектрометрии |
[2] | ИСО 8288:1986, Качество воды. Определение содержания кобальта, никеля, меди, цинка, кадмия и свинца. Пламенные атомно-абсорбционные спектрометрические методы |
[3] | ИСО 13485:1996 <1> Системы качества. Медицинские изделия. Частные требования к применению стандарта ИСО 9001 |
[4] | ICDD cards 9-432, 9-348, 9-169, 25-1137, 37-1497, 9-80, 9-77, 14-1475, 5-586 X-ray diffraction standards for hydroxyapatite,  orthophosphate,  orthophosphate, tetra-calcium phosphate, calcium oxide, monetite, brushite, aragonite, calcite |
[5] | ASTM F 1185: 2003, Standard Specification for Composition of Hydroxyapatite for Surgical Implants |
| ASTM F 1088-04a, Standard Specification for Beta-Tricalcium Phosphate for Surgical Implantation |
| European Pharmacopoeia 5.0: Tribasic calcium phosphate |
| Daculsi G. et al. Spongious and Cortical bone substitution kinetics at the expense of the macroporous biphasic calcium phosphate: animal and human evidence. Bioceramics. 1999, 12 pp. 287 - 290 |
| Ransford A.O. et. al. Synthetic porous ceramic compared with autograft in scoliosis surgery, The journal of Bone and Joint Surgery (Br), 80-B, n° 1, 1998, pp. 13 - 18 |
[10] | Daculsi G. et al. Current state of the art of biphasic calcium phosphate bioceramics. J. Mater. Sci. Mater. Med. 2003, 14 pp. 195 - 200 |
| Ducheyne P. et al. The effect of calcium phosphate ceramic composition and structure on in vivo behaviour. I. Dissolution. J. Biomed. Mater. Res. 1993, 27 pp. 25 - 34 |
| Daculsi G. et al. Transformation of biphasic calcium phosphate ceramics in vivo: Ultrastructural and physicochemical characterization. J. Biomed. Mater. Res. 1989, 23 pp. 883 - 894 |
[13] | Raynaud S. et al. Calcium phosphate apatities with variable Ca/P atomic ratio. III. Mechanicals properties and degradation in solution of hot pressed ceramics. Biomaterials, 23 (4) pp. 1081 - 1089 |
| Gautier O. et al. Macroporous biphasic calcium phosphate ceramics: influence of macropore diameter and macroporosity percentage on bone ingrowth. Biomaterials. 1998, 19 pp. 133 - 139 |
[15] | Lu J.X. et al. Role of the interconnections in porous bioceramics on bone recolonization in vitro and in vivo. J. Mater. Sci. Mater. Med. 1999, 10 pp. 111 - 120 |
| Liu D.-M. Influence of porous microarchitecture on the in vitro dissolution and biological behaviour of porous calcium phosphate ceramics. Mater. Sci. Forum. 1997, 250 pp. 183 - 208 |
[17] | Bignon A. Optimisation de la structure poreuse d'implants en phosphate de calcium pour application de comblement osseux et relargage in situ d'un principe actif, Thesis, 2002 |
[18] | Bignon A. et al. Effect of micro and macroporosity of bone substitutes on their mechanical properties and cellular response. J. Mater. Sci. Mater. Med. 2003, 14 pp. 1089 - 1097 |
[19] | USP Heavy metals <231> Method 1 |
--------------------------------
<1> Заменен ИСО 13485:2003.