Главная // Актуальные документы // ГОСТ Р (Государственный стандарт)СПРАВКА
Источник публикации
М.: Стандартинформ, 2014
Примечание к документу
Документ
введен в действие с 1 июля 2015 года.
Название документа
"ГОСТ Р 56167-2014. Национальный стандарт Российской Федерации. Выбросы загрязняющих веществ в атмосферу. Метод расчета ущерба от промышленного предприятия объектам окружающей среды"
(утв. и введен в действие Приказом Росстандарта от 14.10.2014 N 1325-ст)
"ГОСТ Р 56167-2014. Национальный стандарт Российской Федерации. Выбросы загрязняющих веществ в атмосферу. Метод расчета ущерба от промышленного предприятия объектам окружающей среды"
(утв. и введен в действие Приказом Росстандарта от 14.10.2014 N 1325-ст)
Утвержден и введен в действие
агентства по техническому
регулированию и метрологии
от 14 октября 2014 г. N 1325-ст
НАЦИОНАЛЬНЫЙ СТАНДАРТ РОССИЙСКОЙ ФЕДЕРАЦИИ
ВЫБРОСЫ ЗАГРЯЗНЯЮЩИХ ВЕЩЕСТВ В АТМОСФЕРУ
МЕТОД РАСЧЕТА УЩЕРБА ОТ ПРОМЫШЛЕННОГО ПРЕДПРИЯТИЯ
ОБЪЕКТАМ ОКРУЖАЮЩЕЙ СРЕДЫ
Air pollution emissions. Method of prejudice calculation
from industrial enterprise environment objects
ГОСТ Р 56167-2014
Дата введения
1 июля 2015 года
1. Разработан Открытым акционерным обществом "Научно-исследовательский институт охраны атмосферного воздуха".
2. Внесен Техническим комитетом по стандартизации ТК 409 "Охрана окружающей природной среды".
3. Утвержден и введен в действие
Приказом Федерального агентства по техническому регулированию и метрологии от 14 октября 2014 г. N 1325-ст.
4. Введен впервые.
Правила применения настоящего стандарта установлены в ГОСТ Р 1.0-2012
(раздел 8). Информация об изменениях к настоящему стандарту публикуется в ежегодном (по состоянию на 1 января текущего года) информационном указателе "Национальные стандарты", а официальный текст изменений и поправок - в ежемесячном информационном указателе "Национальные стандарты". В случае пересмотра (замены) или отмены настоящего стандарта соответствующее уведомление будет опубликовано в ближайшем выпуске информационного указателя "Национальные стандарты". Соответствующая информация, уведомление и тексты размещаются также в информационной системе общего пользования - на официальном сайте Федерального агентства по техническому регулированию и метрологии в сети Интернет (gost.ru).
Настоящий стандарт устанавливает метод расчета ущерба, нанесенного выбросами загрязняющих веществ конкретного промышленного предприятия объектам окружающей среды, экологическим системам, строительным конструкциям, памятникам и сельскохозяйственным культурам.
Настоящий стандарт предназначен для работников подразделений по охране окружающей природной среды предприятий, специалистов научно-исследовательских, проектных и других организаций, занимающихся вопросами охраны атмосферного воздуха окружающей среды, а также органов и служб по охране окружающей среды администраций городов и регионов России.
В настоящем стандарте использованы нормативные ссылки на следующие стандарты:
ГОСТ Р 8.563-2009 Государственная система обеспечения единства измерений. Методики (методы) измерений
Примечание. При пользовании настоящим стандартом целесообразно проверить действие ссылочных стандартов в информационной системе общего пользования - на официальном сайте Федерального агентства по техническому регулированию и метрологии в сети Интернет или по ежегодному информационному указателю "Национальные стандарты", который опубликован по состоянию на 1 января текущего года, и по выпускам ежемесячного информационного указателя "Национальные стандарты" за текущий год. Если заменен ссылочный стандарт, на который дана недатированная ссылка, то рекомендуется использовать действующую версию этого стандарта с учетом всех внесенных в данную версию изменений. Если заменен ссылочный стандарт, на который дана датированная ссылка, то рекомендуется использовать версию этого стандарта с указанным выше годом утверждения (принятия). Если после утверждения настоящего стандарта в ссылочный стандарт, на который дана датированная ссылка, внесено изменение, затрагивающее положение, на которое дана ссылка, то это положение рекомендуется применять без учета данного изменения. Если ссылочный стандарт отменен без замены, то положение, в котором дана ссылка на него, рекомендуется применять в части, не затрагивающей эту ссылку.
3.1. Настоящий стандарт распространяется на следующие основные виды ущерба, наносимого окружающей среде:
- загрязнение атмосферного воздуха организованными выбросами загрязняющих веществ от стационарных источников загрязнения;
- загрязнение атмосферного воздуха неорганизованными выбросами загрязняющих веществ от стационарных источников загрязнения.
3.2. Сбор данных, необходимых для определения расчета ущерба, нанесенного выбросами загрязняющих веществ конкретного предприятия объектам окружающей среды, экологическим системам, строительным конструкциям, памятникам и сельскохозяйственным культурам, и оформление результатов осуществляют совместно со специализированными организациями, аттестованными и (или) аккредитованными в установленном порядке, а также профильными научно-исследовательскими институтами.
3.3. Превышение установленных нормативов выбросов загрязняющих веществ устанавливают следующими методами:
- инструментальным методом на основании измерений параметров выбросов загрязняющих веществ, выполненных аналитической лабораторией, техническая компетентность которой соответствует требованиям
ГОСТ ИСО/МЭК 17025 по методикам, прошедшим метрологическую аттестацию в соответствии с требованиями
ГОСТ Р 8.563;
- расчетным методом на основании методик расчета выбросов загрязняющих веществ в атмосферу, рекомендованных к применению при нормировании и определении количества выбросов загрязняющих веществ в атмосферный воздух.
3.4. Факт превышения норматива разового выброса загрязняющего вещества на источнике загрязнения считают установленным, если разность между фактической мощностью разового выброса этого загрязняющего вещества с учетом погрешности ее измерения превышает предельно допустимое значение.
3.5. Затраты, необходимые для определения величины ущерба, определяют на основе данных о стоимости основных видов работ и (или) на основании данных о фактически произведенных расходах по определению размера причиненного вреда.
К расходам, необходимым для оценки нанесенного ущерба, относят затраты на проведение следующих работ:
- отбор проб и проведение лабораторных анализов содержания компонентов в пробах;
- оценка распространения загрязняющих веществ в атмосферном воздухе;
- составление смет на выполнение работ по ликвидации нанесенного ущерба и его последствий;
- проведение оценки ущерба и подсчета убытков;
- проведение иных видов работ, выполнение которых связано с оценкой ущерба и подсчетом убытков.
4. Порядок расчета ущерба
4.1. Определение количества выбросов загрязняющих веществ в атмосферный воздух
4.1.1. При наличии разрешения на выброс загрязняющих веществ в атмосферный воздух стационарным источником загрязнения количество выброса загрязняющего вещества Mi в тоннах рассчитывают по формуле

(1)
где

- значение выброса i-го загрязняющего вещества, установленное на момент контроля за соблюдением установленных нормативов выбросов; определяют инструментальным методом, г/с;
OHBi - величина норматива допустимого выброса i-го загрязняющего вещества, установленного в разрешении на выброс загрязняющих веществ предприятия (предельно допустимый выброс, лимит на выброс (временно согласованный выброс)), г/с;
T - продолжительность выброса загрязняющего вещества с момента обнаружения и до прекращения выброса, ч;
278 - коэффициент пересчета граммов в тонны и секунд в часы.
4.1.2. При отсутствии разрешения на выброс загрязняющих веществ в атмосферный воздух количество выброса загрязняющего вещества Mi в тоннах рассчитывают по формуле
| | ИС МЕГАНОРМ: примечание. Формула (2) дана в соответствии с официальным текстом документа. | |

(2)
где

- значение разового выброса i-го загрязняющего вещества, установленное на момент контроля за соблюдением установленных нормативов выбросов, г/с;
T - продолжительность выброса загрязняющего вещества с момента обнаружения выброса и до его прекращения, ч;
278 - коэффициент пересчета граммов в тонны и секунд в часы.
| | ИС МЕГАНОРМ: примечание. В официальном тексте документа, видимо, допущена опечатка: пункт 6.1 отсутствует. | |
4.1.3. При неисправности или неиспользовании (отключении) очистных установок расчет значения выбросов загрязняющих веществ осуществляют согласно 6.1 или по входным характеристикам, указанным в паспорте на конкретное газоочистное сооружение. Неисправность очистных установок приравнивают к их нерабочему состоянию.
4.1.4. При аварийных выбросах загрязняющих веществ (выброс, осуществляемый при возникновения аварийных ситуаций) количество загрязняющего вещества

определяют как значение выброса загрязняющего вещества по
формуле (2) или как значение выброса загрязняющего вещества, установленное расчетным путем исходя из характеристик технологического оборудования и записей параметров ситуации в учетной документации природопользователя в случае ее ведения, а также с учетом продолжительности выбросов.
4.1.5. Продолжительность выброса загрязняющего вещества, включая аварийный, определяют с момента обнаружения и до момента окончания выброса.
Момент начала выброса определяют со дня установления факта сверхнормативного выброса в следующих документах:
- в акте инспекторской проверки;
- в протоколе аналитического исследования проб воздуха.
Примечание. В акте инспекторской проверки указывают сведения о соблюдении природопользователем экологических требований в области охраны окружающей среды при размещении, строительстве, реконструкции, вводе в эксплуатацию, эксплуатации, консервации и ликвидации зданий, сооружений и иных объектов.
Моментом окончания выброса считают дату регистрации в органе исполнительной власти, осуществляющем государственное управление в области охраны окружающей среды, отчета об устранении нарушений, приведших к нанесению ущерба, с предоставлением результатов аналитического исследования воздушной среды атмосферного воздуха, проведенного в тех же точках, где ранее были установлены факты нарушений, перечисленные в
4.1.
В случае повторного установления факта нанесения ущерба (выявления сверхнормативного выброса) момент окончания выброса устанавливают по данным лаборатории, привлеченной органом исполнительной власти, осуществляющим государственное управление в области охраны окружающей среды, а продолжительность выброса определяют с момента его первичного обнаружения.
5. Расчет ущерба, нанесенного выбросами
загрязняющих веществ промышленного предприятия
5.1. Расчет ущерба B, в рублях, нанесенного выбросами загрязняющих веществ конкретного предприятия объектам окружающей среды, экологическим системам, строительным конструкциям, памятникам и сельскохозяйственным культурам, рассчитывают по формуле

(3)
где Y
Зi - удельные затраты на улавливание и (или) обезвреживание i-го вещества рассчитывают по
формуле (4), руб./т;
i - загрязняющее вещество;
n - количество загрязняющих веществ, содержащихся в выбросах загрязняющих веществ в атмосферный воздух;
M
i - количество i-го загрязняющего вещества, определяемое по
формулам (1) и
(2) по каждому загрязняющему веществу, т;
З0 - затраты, необходимые для определения размера ущерба, руб.
5.2. Расчет удельных затрат на улавливание и (или) обезвреживание i-го вещества YЗi, в рублях на тонну, рассчитывают по формуле

(4)
где Ci - затраты на приобретение и установку оборудования по улавливанию и (или) обезвреживанию i-го загрязняющего вещества, определяемые по рыночным ценам на аналогичное очистное оборудование, которое используется или должно использоваться на источнике, и работы по установке оборудования, руб.;
mi - масса i-го загрязняющего вещества, улавливаемого очистным оборудованием за год, т.
5.3. При наличии очистного оборудования, предназначенного для очистки воздуха от нескольких загрязняющих веществ одновременно, расчет удельных затрат на улавливание и (или) обезвреживание i-го вещества, содержащегося в выбросах YЗi, в рублях на тонну, рассчитывают по формуле

(5)
где C - затраты на приобретение и установку оборудования, предназначенного для очистки воздуха от нескольких загрязняющих веществ одновременно, определяемые по рыночным ценам на аналогичное очистное оборудование, которое используется или должно использоваться на источнике, и работы по установке оборудования, руб.;
k - количество загрязняющих веществ, улавливаемых очистным оборудованием одновременно;
mi - масса i-го загрязняющего вещества, улавливаемого за очистным оборудованием, предназначенным для очистки воздуха от нескольких загрязняющих веществ одновременно, т;
Ki - коэффициент приведения массы i-го загрязняющего вещества к условным тоннам с учетом его относительной опасности, рассчитываемый по формуле

(6)
где ПДКi - предельно допустимая концентрация i-го загрязняющего вещества.
5.4. При отсутствии данных о рыночных ценах на аналогичное очистное оборудование, которое используется или должно использоваться на источнике, расчет ущерба, причиненного загрязнением атмосферного воздуха стационарными источниками загрязнения B, в рублях, рассчитывают по формуле

(7)
где H
i - коэффициент для вычисления размера ущерба, нанесенного выбросами загрязняющих веществ, зависящий от отрасли, к которой относится промышленное предприятие, определяемый по
таблице Б.1 Приложения Б, руб./т;
M
i - масса i-го загрязняющего вещества, определяемая по
формулам (1) и
(2) по каждому загрязняющему веществу, т;
K
It - показатель, учитывающий инфляцию, вычисляемый по
формуле (8);
З
0 - затраты на установление факта нанесения ущерба и оценку размера негативного воздействия, рассчитываемые по
формуле (9), руб.;
i - загрязняющее вещество;
n - количество загрязняющих веществ, содержащихся в выбросах загрязняющих веществ в атмосферный воздух.
Пример расчета ущерба, нанесенного в результате загрязнения атмосферного воздуха стационарными источниками загрязнения, B, приведен в
Приложении А.

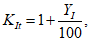
(8)
где YI - уровень инфляции, установленный на федеральном уровне на год исчисления размера ущерба.
З
0 = З
1 + З
2 + З
3 + З
4 + З
i, (9)
где З1 - затраты на отбор проб и проведение лабораторных анализов содержания компонентов в пробах, с учетом накладных расходов, руб.;
З2 - затраты, связанные с определением суммы ущерба, руб.;
З3 - затраты на оценку распространения загрязняющих веществ в атмосферном воздухе и последующего их влияния на население, основные фонды, смежные отрасли, руб.;
З4 - затраты, связанные с проведением расчетов, руб.;
Зi - прочие затраты, руб.
(справочное)
ПРИМЕР РАСЧЕТА СВЕРХНОРМАТИВНОГО ВЫБРОСА УГЛЕВОДОРОДОВ
И ОПРЕДЕЛЕНИЕ РАЗМЕРА УЩЕРБА, НАНЕСЕННОГО
СТАЦИОНАРНЫМ ИСТОЧНИКОМ ЗАГРЯЗНЕНИЯ
А.1. На предприятии в течение 30 дней осуществлялся сверхнормативный выброс углеводородов (бензола, толуола, ксилолов, этилбензола и фенола) стационарным источником.
В соответствии с
4.1 расчет сверхнормативного выброса углеводородов по
формуле (1) вычисляют следующим образом:
Таким образом, за 30 дней в атмосферный воздух поступило 6,9045 т загрязняющих веществ.
А.2. В соответствии с
5.4 расчет исчисления размера ущерба, нанесенного стационарным источником загрязнения по
формуле (7), выполняют следующим образом; при этом затраты З
0 принимают равными нулю
B = Bбензол + Bтолуол + Bксилол + Bэтилбензол + Bфенол = (172,500 x 1,7715 x 1) + (172,500 x 2,1703 x 1) + (172,500 x 1,1007 x 1) + (172,500 x 0,8831 x 1) + (172,500 x 0,9789 x 1) = 1,191,026,2 руб.
Таким образом, размер ущерба, нанесенного выбросами загрязняющих веществ конкретного предприятия объектам окружающей среды, экологическим системам, строительным конструкциям, памятникам и сельскохозяйственным культурам, без учета затрат равен 1,191,026,2 руб.
(обязательное)
КОЭФФИЦИЕНТЫ ДЛЯ РАСЧЕТА РАЗМЕРА УЩЕРБА, НАНЕСЕННОГО
ВЫБРОСАМИ ЗАГРЯЗНЯЮЩИХ ВЕЩЕСТВ, В ЗАВИСИМОСТИ ОТ ОТРАСЛИ
Таблица Б.1
| | ИС МЕГАНОРМ: примечание. В официальном тексте документа, видимо, допущена опечатка: пункт [2] в Библиографии отсутствует. | |
Коэффициент для расчета размера ущерба, нанесенного
выбросами загрязняющих веществ, в зависимости от отрасли,
к которой относится промышленное предприятие,
в тысячах рублей за 1 т [2]
Отрасли, производства | Взвешенные вещества | Группа загрязняющих веществ |
SO2 | CO | NOx | Углеводороды | Вещества I класса опасности | |
Черная металлургия | 113,0 | 232,0 | 97,0 | 157,0 | 302,0 | 7764,0 | 61,0 |
Цветная металлургия | 133,0 | 174,0 | 63,0 | 93,0 | 272,0 | 19375,0 | 99,0 |
Машиностроение, металлообрабатывающее производство | 122,0 | 282,0 | 119,0 | 179,0 | 267,0 | 6281,0 | 97,0 |
Автостроительное производство (в том числе предприятия по ремонту и обслуживанию автотранспортных средств) | 135,0 | 385,0 | 155,0 | 216,0 | 366,0 | 6560,0 | 98,0 |
Радиоэлектронное производство | 140,0 | 437,0 | 141,0 | 201,0 | 297,0 | 23736,0 | 148,0 |
Нефтеперерабатывающее производство (в том числе АЗС) | 132,0 | 176,0 | 64,0 | 94,0 | 247,0 | 39978,0 | 229,0 |
Химическое и нефтехимическое производство | 96,0 | 102,0 | 108,0 | 168,0 | 251,0 | 8513,0 | 101,0 |
Производство резинотехнических изделий | 118,0 | 321,0 | 110,0 | 170,0 | 258,0 | 17531,0 | 141,0 |
Химико-фармацевтическое и парфюмерное производство | 124,0 | 312,0 | 116,0 | 176,0 | 249,0 | 8371,0 | 106,0 |
Стекольное и керамическое производство | 114,0 | 235,0 | 110,0 | 170,0 | 258,0 | 6900,0 | 100,0 |
Производство синтетических смол и изделий из них | 101,0 | 237,0 | 102,0 | 162,0 | 247,0 | 17531,0 | 104,0 |
Пищевая промышленность | 110,0 | 192,0 | 763,0 | 823,0 | 853,0 | 5481,0 | 64,0 |
Производство табачных изделий | 124,0 | 176,0 | 100,0 | 160,0 | 859,0 | 6152,0 | 99,0 |
Текстильное и ткацкое производство | 140,0 | 212,0 | 168,0 | 228,0 | 311,0 | 19866,0 | 150,0 |
| | ИС МЕГАНОРМ: примечание. Текст дан в соответствии с официальным текстом документа. | |
|
Черная металлургия | 113,0 | 232,0 | 97,0 | 157,0 | 302,0 | 7764,0 | 61,0 |
Деревообрабатывающее и целлюлозно-бумажное производство | 96,0 | 96,0 | 63,0 | 93,0 | 92,0 | 4991,0 | 62,0 |
Производство мебели | 96,0 | 94,0 | 62,0 | 92,0 | 92,0 | 4991,0 | 62,0 |
Полиграфическое производство | 144,0 | 169,0 | 108,0 | 168,0 | 256,0 | 76798,0 | 96,0 |
Производство стройматериалов и асфальта | 93,0 | 183,0 | 183,0 | 243,0 | 326,0 | 4642,0 | 61,0 |
Сжигание мусора | 144,0 | 437,0 | 763,0 | 823,0 | 859,0 | 76798,0 | 150,0 |
Энергетические объекты (котельные, ТЭЦ, тепловые станции и др.) | 132,0 | 176,0 | 94,0 | 94,0 | - | - | - |
Другие отрасли, производства | 96,0 | 282,0 | 120,0 | 180,0 | 251,0 | 39978,0 | 97,0 |
<*> К другим веществам относят остальные загрязняющие вещества, для которых установлены предельно допустимые значения концентрации или ориентировочные безопасные уровни воздействий (ОБУВ) в атмосферном воздухе населенных мест. |
[1]
Постановление Правительства Москвы от 22.02.2005 N 94-ПП "Об утверждении Методики определения размера вреда, причиненного окружающей среде загрязнением атмосферного воздуха стационарными источниками загрязнения на территории города Москвы".