Главная // Актуальные документы // ГОСТ Р (Государственный стандарт)СПРАВКА
Источник публикации
М.: Стандартинформ, 2015
Примечание к документу
Документ
введен в действие с 1 марта 2015 года.
Название документа
"ГОСТ Р 56099-2014. Национальный стандарт Российской Федерации. Двигатели ракетные жидкостные. Методика утяжеленных испытаний"
(утв. и введен в действие Приказом Росстандарта от 09.09.2014 N 1035-ст)
"ГОСТ Р 56099-2014. Национальный стандарт Российской Федерации. Двигатели ракетные жидкостные. Методика утяжеленных испытаний"
(утв. и введен в действие Приказом Росстандарта от 09.09.2014 N 1035-ст)
Утвержден и введен в действие
Приказом Федерального агентства
по техническому регулированию
и метрологии
от 9 сентября 2014 г. N 1035-ст
НАЦИОНАЛЬНЫЙ СТАНДАРТ РОССИЙСКОЙ ФЕДЕРАЦИИ
ДВИГАТЕЛИ РАКЕТНЫЕ ЖИДКОСТНЫЕ
МЕТОДИКА УТЯЖЕЛЕННЫХ ИСПЫТАНИЙ
Engines rocket liquid. Methods of the forced test
ГОСТ Р 56099-2014
Дата введения
1 марта 2015 года
1 РАЗРАБОТАН Федеральным казенным предприятием "Научно-испытательный центр ракетно-космической промышленности"
2 ВНЕСЕН ТК 321 "Ракетная и ракетно-космическая техника"
3 УТВЕРЖДЕН И ВВЕДЕН В ДЕЙСТВИЕ Приказом Федерального агентства по техническому регулированию и метрологии от 9 сентября 2014 г. N 1035-ст
4 ВВЕДЕН ВПЕРВЫЕ
Правила применения настоящего стандарта установлены в ГОСТ Р 1.0-2012
(раздел 8). Информация об изменениях к настоящему стандарту публикуется в ежегодном (по состоянию на 1 января текущего года) информационном указателе "Национальные стандарты", а официальный текст изменений и поправок - в ежемесячном указателе "Национальные стандарты". В случае пересмотра (замены) или отмены настоящего стандарта соответствующее уведомление будет опубликовано в ближайшем выпуске ежемесячного информационного указателя "Национальные стандарты". Соответствующая информация, уведомление и тексты размещаются также в информационной системе общего пользования - на официальном сайте Федерального агентства по техническому регулированию и метрологии в сети Интернет (www.gost.ru)
Настоящий стандарт распространяется на жидкостные ракетные двигатели (далее - ЖРД) однократного использования.
Стандарт устанавливает методику проведения утяжеленных испытаний при опытно-конструкторской отработке жидкостных ракетных двигателей, цели проведения, типовые факторы, формирующие утяжеленные испытания, основные правила их выбора при решении конкретных задач, правила определения коэффициента утяжеления условий испытаний, условия использования утяжеленных испытаний жидкостных ракетных двигателей малой тяги для сокращения их продолжительности.
Настоящий стандарт применяется при создании, производстве и эксплуатации изделий космической техники по международным договорам и в ходе реализации международных проектов и программ при условии согласия всех заинтересованных сторон, а также в случаях, когда его применение предписано требованиями технического задания на выполнение работ.
2. Термины, определения и сокращения
2.1 В настоящем стандарте применены следующие термины с соответствующими определениями:
2.1.1 вероятность безотказной работы ЖРД: Вероятность пребывания ЖРД в работоспособном состоянии при работе в эксплуатационных условиях.
2.1.2 гарантийные условия испытания ЖРД: Расширенные по сравнению с эксплуатационными условия испытания ЖРД, при появлении отказа в пределах которых принимают меры по устранению его причин или подтверждают невозможность возникновения отказа в эксплуатационных условиях.
2.1.3 гарантийный коэффициент утяжеления условий испытаний ЖРД: Отношение вероятности отказа ЖРД при утяжеленных испытаниях к вероятности отказа при нормальных испытаниях в гарантийных условиях.
2.1.4 дефект: Каждое отдельное несоответствие продукции установленным требованиям.
2.1.5 доводочное испытание: Исследовательское испытание двигателя, проводимое с целью получения информации, необходимой для создания окончательного варианта конструкции.
2.1.6 жидкостный ракетный двигатель: Ракетный двигатель, работающий на жидком ракетном топливе.
2.1.7 жидкостный ракетный двигатель малой тяги: Жидкостный ракетный двигатель тягой не более 5000 Н.
2.1.8 завершающее доводочное испытание ЖРД: Предварительное испытание ЖРД окончательного варианта конструкции с целью подтверждения соответствия его характеристик требованиям технического задания и возможности представления ЖРД на приемочные испытания.
2.1.9 испытание ЖРД: Испытание с целью оценки технического состояния ЖРД или исследования протекающих в нем процессов.
2.1.10 коэффициент утяжеления условий испытаний ЖРД: Отношение вероятности отказа ЖРД при утяжеленных испытаниях к вероятности отказа при нормальных испытаниях.
2.1.11 межведомственные испытания: Испытания продукции, проводимые комиссией из представителей нескольких заинтересованных министерств и (или) ведомств, или приемочные испытания установленных видов продукции для приемки составных частей объекта, разрабатываемого совместно несколькими ведомствами.
2.1.12 наработка ЖРД: Продолжительность работы и (или) число циклов срабатывания ЖРД.
2.1.13 огневое испытание ЖРД: Испытание ЖРД со сгоранием или разложением топлива.
2.1.14 опытно-конструкторская отработка ЖРД: Отработка ЖРД, включающая:
- исследовательские испытания опытных образцов ЖРД и его агрегатов;
- уточнение конструкторской и технологической документации по результатам испытаний;
- завершающие доводочные и межведомственные испытания опытных образцов ЖРД, изготовленных по уточненной документации.
2.1.15 отказ ЖРД: Событие, заключающееся в нарушении работоспособного состояния ЖРД или выявлении неработоспособного состояния при испытании или эксплуатации.
2.1.16 параметр работоспособного состояния ЖРД: Параметр ЖРД, используемый при анализе надежности для характеристики одного из свойств ЖРД, обеспечивающих работоспособное состояние.
2.1.17 периодический контроль: Контроль, при котором поступление информации о контролируемых параметрах происходит через установленные интервалы времени.
2.1.18 периодические испытания: Контрольные испытания выпускаемой продукции, проводимые в объемах и в сроки, установленные нормативно-технической документацией, с целью контроля стабильности качества продукции и возможности продолжения ее выпуска.
2.1.19 подтверждающее периодическое испытание ЖРД: Периодическое испытание ЖРД, проводимое с целью принятия решения о проведении приемочного контроля каждого экземпляра ЖРД, изготовленного в установленный период производства.
2.1.20 предварительные испытания: Контрольные испытания опытных образцов и (или) опытных партий продукции с целью определения возможности их предъявления на приемочные испытания.
2.1.21 приемо-сдаточные испытания: Контрольные испытания продукции при приемочном контроле.
2.1.22 специальное периодическое испытание ЖРД: Периодическое испытание ЖРД, проводимое с целью оценки соответствия качества ЖРД, изготавливаемых для поставок в эксплуатацию, уровню, достигнутому при завершении опытно-конструкторской отработки.
2.1.23 структурно-функциональный элемент ЖРД: Составная часть ЖРД, условно наделенная одним из свойств, необходимых для обеспечения работоспособного состояния ЖРД.
2.1.24 условия испытания ЖРД: Совокупность режимов работы ЖРД, внешних воздействующих факторов и наработки ЖРД при проведении испытания.
2.1.25 уточняющее испытание: Исследовательское испытание двигателя, проводимое с целью определения области значений параметров, в которой двигатель находится в работоспособном состоянии.
2.1.26 утяжеленное (форсированное) испытание ЖРД: Ускоренное испытание ЖРД, основанное на интенсификации процессов, вызывающих отказы или дефекты.
2.1.27 утяжеленное ресурсное испытание ЖРД: Утяжеленное испытание ЖРД с увеличенной наработкой.
2.2 Сокращения
В настоящем стандарте применены следующие сокращения:
ВБР - вероятность безотказной работы;
ДИ - доводочное испытание;
ЖРД - жидкостный ракетный двигатель;
ЖРДМТ - жидкостный ракетный двигатель малой тяги;
ЗДИ - завершающее доводочное испытание;
КД - конструкторские документы;
КПЭО - комплексная программа экспериментальной отработки;
КТИ - контрольно-технологическое испытание;
МВИ - межведомственное испытание;
ОКР - опытно-конструкторские работы;
ППИ - подтверждающее периодическое испытание;
ПСИ - приемо-сдаточное испытание;
СПИ - специальное периодическое испытание;
СФЭ - структурно-функциональный элемент;
ТЗ - техническое задание;
ТНА - турбонасосный агрегат;
У - коэффициент утяжеления условий испытаний;
Уг - гарантийный коэффициент утяжеления условий испытаний;
УИ - уточняющие испытания.
3.1 Утяжеленные испытания ЖРД проводят при опытно-конструкторской отработке. Возможность и условия проведения утяжеленных испытаний определяет предприятие - разработчик и указывает в КПЭО.
3.2 Утяжеление условий испытаний ЖРД осуществляют путем изменения значений одного или нескольких факторов, определяемых разработчиком двигателя, до значений, приводящих к повышению вероятности отказа при сохранении механизма формирования отказов, характерных для эксплуатационных условий.
3.3 При опытно-конструкторской отработке часть УИ, ДИ, ЗДИ и МВИ могут быть утяжеленными.
3.4 В период поставок в эксплуатацию допускается проводить утяжеленные СПИ, если они установлены КД.
3.5 Утяжеленные испытания проводят с целью исследования ЖРД и его СФЭ, выделенных для анализа надежности.
3.6 Уточняющие и доводочные утяжеленные испытания проводят для ускорения поиска возможных дефектов и выявления влияния различных факторов на наработку и вероятность отказа ЖРД.
3.7 Утяжеленные ЗДИ проводят для ускорения подтверждения запасов параметров работоспособного состояния ЖРД.
3.8 Утяжеленные МВИ проводят для демонстрации запасов отдельных параметров работоспособного состояния ЖРД, достигнутых при отработке, и для сокращения наработки.
4. Номенклатура факторов, формирующих утяжеленное испытание
4.1 Факторами, с помощью которых осуществляют утяжеленное испытание, являются внешние воздействующие факторы и факторы, определяющие режимы работы ЖРД, конструкционные параметры и факторы воздействия на двигатель, предшествующие огневым испытаниям, в частности, воздействия вибраций, климатических факторов, радиационного излучения и др.
4.2 Утяжеление условий с помощью изменения значений внешних воздействующих факторов и факторов, определяющих режимы работы ЖРД, проводят при всех видах испытаний, указанных в
3.3 и
3.4. Изменение значений конструкционных параметров проводят только при УИ и ДИ.
4.3 Типовыми внешними воздействующими факторами, используемыми для реализации утяжеленного испытания ЖРД, являются следующие переменные параметры:
- давление компонентов топлива на входе в камеру двигателя;
- разность давлений компонентов топлива на входе в камеру двигателя;
- гидроудары на входе в двигатель;
- опережение подачи одного из компонентов топлива в камеру двигателя;
- температура компонентов топлива на входе в камеру двигателя;
- разность температур компонентов топлива на входе в камеру двигателя;
- газонасыщение компонентов топлива;
- содержание свободных газовых включений в компонентах топлива;
- чистота компонентов топлива;
- температура элементов конструкции ЖРД;
- уровень вибраций, имитирующих транспортные перегрузки и воздействие других ЖРД;
- энергопотребление (электрическая мощность, напряжение);
- давление окружающей среды;
- температура окружающей среды;
- радиационное воздействие.
4.4 Типовыми факторами, определяющими режимы работы двигателя при утяжеленном испытании, являются следующие переменные параметры:
- давление в камере сгорания;
- соотношение компонентов топлива;
- температура генераторного газа;
- частота вращения ротора ТНА;
- положение регулирующих органов.
4.5 Типовыми конструкционными факторами, используемыми для реализации утяжеленного испытания ЖРД, являются:
- геометрические размеры узлов, агрегатов ЖРД и допуски на них;
- распределение компонентов топлива по сечению камеры;
- гидравлические характеристики смесительных элементов;
- динамические характеристики агрегатов автоматики и системы регулирования;
- характеристики материалов.
4.6 Типовой перечень факторов, формирующих утяжеленное испытание, и СФЭ, на которые можно воздействовать изменением этих факторов, приведен в
приложении А.
5. Порядок проведения утяжеленных испытаний
5.1 Выбор СФЭ и факторов для реализации утяжеленного испытания осуществляют с учетом опыта отработки аналогичных ЖРД, особенностей конструкции разрабатываемого ЖРД и условий его работы, при использовании правил, установленных настоящим стандартом.
5.2 При утяжеленных УИ и ДИ проверке подлежат СФЭ, которые лимитируют наработку ЖРД.
5.3 При утяжеленных ЗДИ и МВИ изменяют значения внешних воздействующих факторов и (или) факторов, определяющих режимы работы СФЭ, при которых получены наименьшие значения нижней границы доверительного интервала ВБР.
5.4 Обобщенной мерой утяжеления условий испытаний является коэффициент утяжеления условий испытаний.
5.5 Коэффициент утяжеления условий испытаний при гарантийных условиях называют гарантийным коэффициентом утяжеления условий испытаний.
5.6 При отсутствии к началу испытаний априорной информации о влиянии различных факторов на техническое состояние ЖРД влияние факторов, установленных настоящим стандартом и КПЭО, проверяют при УИ и ДИ.
5.7 При утяжеленных ЗДИ и МВИ значения внешних воздействующих факторов и (или) факторов, определяющих режимы работы, изменяют таким образом, чтобы обеспечить гарантийный коэффициент утяжеления условий испытаний.
5.8 В случае проведения утяжеленных СПИ (если они установлены в КД) допускают выход за пределы одного гарантийного условия или любой совокупности гарантийных условий испытаний (в том числе и для сокращения наработки).
5.9 При проведении ПСИ выборочного контроля и ППИ утяжеление допускается осуществлять путем увеличения наработки, согласованного с головным разработчиком, при эксплуатационных значениях внешних воздействующих факторов и факторов, определяющих режимы работы ЖРД.
5.10 При утяжеленных УИ значения внешних воздействующих факторов и (или) факторов, определяющих режимы работы ЖРД, изменяют в процессе испытания одного экземпляра ЖРД от эксплуатационных до необходимых для оценки запаса соответствующих параметров работоспособного состояния.
5.11 Изменение значений конструкционных факторов при утяжеленных УИ и ДИ осуществляют не менее чем до предельных значений, указанных в КД. Такие испытания могут быть проведены до отказа или до появления дефекта, свидетельствующего о нецелесообразности продолжения испытания.
5.12 Гарантийный коэффициент утяжеления условий ЗДИ, МВИ может быть указан в КПЭО (в дополнение к гарантийным условиям испытаний) при наличии соответствующей исходной информации для его подтверждения.
5.13 Значения Уг и коэффициента утяжеления условий СПИ определяют в зависимости от требований надежности и особенностей контроля качества изготовления ЖРД.
5.14 Коэффициент утяжеления условий испытаний может быть достигнут за счет изменения значений наработки, внешних воздействующих факторов и (или) факторов, определяющих режим работы ЖРД.
Факторами, определяющими наработку ЖРД, являются:
- число включений и переключений с режима на режим;
- частота включений;
- продолжительность работы;
- пауза между включениями.
При этом выполняется соотношение

, (1)
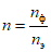
где У - общий коэффициент утяжеления условий испытаний;

- коэффициент утяжеления, определяемый изменением наработки ЖРД при испытании;
Уф - коэффициент утяжеления, определяемый изменением значений внешних воздействующих факторов и (или) факторов, определяющих режим работы ЖРД.
Значения

и У
ф могут быть определены из соотношений

, (2)

, (3)
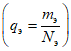
где

,

- значения наработки при испытании и при эксплуатации соответственно;

- показатель степени в уравнении Вейбулла;

- коэффициент утяжеления, определяемый одним из
l факторов;
П - произведение коэффициентов утяжеления l факторов.
Для определения коэффициента утяжеления могут быть использованы и другие зависимости, полученные по результатам отработки конкретного ЖРД.
5.15 Для СФЭ, подверженных внезапным отказам (высокочастотная и низкочастотная устойчивость камеры, кавитационная стойкость насосов и т.п.) и характеризующих способность предотвращать аномальное развитие процессов,

.
5.16 Для СФЭ, подверженных постепенным отказам (механическая прочность и жаропрочность элементов конструкции и т.п.) и характеризующих способность сопротивляться возрастающим с увеличением наработки нагрузкам, значение показателя

определяют по экспериментальным данным о наработке до отказа.
5.17 Значения

могут быть определены на основе:
- результатов специальных испытаний создаваемого ЖРД;
- результатов испытаний ЖРД исходных вариантов конструкции;
- фундаментальных научных исследований влияния факторов на техническое состояние и вероятность отказа ЖРД.
5.18 Из числа возможных способов проведения утяжеленных испытаний предпочтение следует отдавать тем, которые, обеспечивая утяжеление для одних СФЭ, не облегчают условий испытания для других.
5.19 Для ЖРД с большим эксплуатационным ресурсом путем утяжеления условий испытаний может быть сокращена продолжительность испытаний отдельных экземпляров двигателей при проведении ЗДИ и МВИ.
При этом должны быть выполнены следующие условия:
- отдельными ЗДИ, МВИ, СПИ продемонстрировано работоспособное состояние ЖРД при гарантийной наработке;
- для СФЭ, не работающих в утяжеленных условиях,

, (4)
где

- нижняя граница одностороннего доверительного интервала ВБР исследуемого СФЭ при гарантийной наработке;

- значение ВБР, требуемое ТЗ на разработку ЖРД.
Примечание - Утяжеление условий испытаний проводят для СФЭ, лимитирующих надежность ЖРД.
6. Способы проведения утяжеленных испытаний
6.1.1 Проводят испытания двух выборок по семь экземпляров ЖРД.
Испытания ЖРД первой выборки проводят при значении какого-либо из внешних воздействующих факторов или факторов, определяющих режим работы двигателя, выходящем за эксплуатационные пределы (далее - в утяжеленных условиях), до отказа или до появления дефекта, при котором дальнейшее проведение испытаний представляется нецелесообразным.
Испытания второй выборки проводят в эксплуатационных условиях (при эксплуатационных значениях внешних воздействующих факторов и режимов работы с наработкой

) с последующим переходом на утяжеленные условия аналогично испытаниям первой выборки, до отказа.
6.1.2 По результатам испытаний первой выборки определяют оценки математического ожидания

и дисперсии

наработки до отказа и на их основе - вероятность отказа при утяжеленных испытаниях с эксплуатационной наработкой

; по результатам испытаний второй выборки определяют оценку математического ожидания наработки до отказа

только в утяжеленных условиях.
По полученным данным определяют вероятность отказа.
6.1.3 Расчетные уравнения

; (5)

; (6)

; (7)

; (8)

, (9)
где nф - число испытаний первой выборки;

- наработка при
i-м испытании до отказа в первой выборке;
nо - число испытаний двигателей второй выборки;

- наработка только на утяжеленном режиме при
i-м испытании до отказа двигателей второй выборки;

- наработка в утяжеленных условиях, эквивалентная наработке в эксплуатационных условиях

;

- нижняя граница ВБР в эксплуатационных условиях с наработкой

;
Ф - символ функции нормального распределения;

- нижняя граница ВБР в утяжеленных условиях с наработкой

;
A - коэффициент, учитывающий ограниченность статистики.

, (10)
где

,

- соответственно квантили распределений Стьюдента и нормального при доверительной вероятности

;

- квантиль

.
Значения коэффициента А в зависимости от числа испытаний
n и доверительной вероятности

приведены в
приложении Б.
6.1.4 Эквивалентом наработки

считают отношение наработки при утяжеленных испытаниях к наработке при испытаниях в эксплуатационных условиях, обеспечивающее тот же коэффициент утяжеления условий испытаний (У
ф), как и при утяжеленных испытаниях

; (11)

. (12)
6.2.1 Многократно, последовательными циклами по летной программе испытывают до предельного состояния две выборки двигателей: первую из 4 - 6 экземпляров - в эксплуатационных условиях, а вторую из 8 - 12 экземпляров - в утяжеленных условиях.
6.2.2 Каждый двигатель обеих выборок испытывают при одновременном изменении на каждом цикле значений не менее двух факторов, определяющих режимы работы (например, давления и соотношения компонентов топлива в камере) со ступенчатым изменением не менее чем на +/- 2% номинала, с выдержкой на каждом уровне в течение заданного времени и при различных сочетаниях максимальных и минимальных значений.
6.2.3 Двигатели первой выборки испытывают при отклонениях значений факторов от номинала в диапазоне эксплуатационных условий, а вторую партию - в утяжеленных режимах с постепенным (от экземпляра к экземпляру) превышением максимального значения эксплуатационного отклонения от номинала по каждому из факторов, определяющих режимы работы, до уровня, при котором механизм повреждения утрачивает идентичность механизму повреждения двигателей первой партии.
6.2.4 Коэффициент утяжеления условий испытаний определяют по отношению значений внешних воздействующих факторов и факторов, определяющих режимы работы, приводящих к уменьшению наработки до предельного состояния, к эксплуатационным значениям факторов.
6.2.5 Ориентировочные значения коэффициента утяжеления условий испытаний приведены в
приложении В.
6.2.6 По полученным экспериментальным данным методом многофакторного корреляционно-регрессионного анализа устанавливают зависимость наработки ЖРД

от факторов, определяющих режимы работы X
l.
6.2.7 С помощью полученной зависимости

для различных режимов работы определяют зависимость вероятности отказа двигателя
q от заданной наработки

по формуле

, (13)
где

- точность определения наработки по уравнению регрессии.
6.2.8
Зависимость (13) используют для определения эквивалента наработки с помощью выбранного уровня изменения факторов, определяющих режимы работы ЖРД, и соотношения наработок при нормальных и утяжеленных испытаниях, при которых обеспечивается одинаковая вероятность отказа.
6.2.9 Результаты расчета эквивалента наработки

, полученные по экспериментальным данным для современного кислородно-водородного ЖРД большой тяги, приведены в таблице 1. Эквивалент наработки дан в зависимости от вероятности отказа в эксплуатационных условиях (
qэ) и относительного увеличения значения давления в камере по отношению к номинальному

.
Таблица 1
Эквивалент наработки современного кислородно-водородного ЖРД
qэ | Эквивалент наработки  при  , равном |
1,03 | 1,06 | 1,07 | 1,09 |
0,005 | 1,33 | 1,60 | 1,84 | 3,34 |
0,010 | 1,07 | 1,41 | 1,65 | 2,48 |
0,020 | 1,10 | 1,39 | 1,55 | 2,15 |
0,050 | 1,10 | 1,30 | 1,36 | 1,76 |
0,100 | 1,09 | 1,26 | 1,32 | 1,75 |
Значения

, приведенные в
таблице 1, показывают, во сколько раз можно сократить наработку ЖРД при увеличении значения давления в камере P
К. Так, увеличение значения P
К в 1,03 раза по сравнению с номинальным позволит сократить наработку в 1,33 раза при вероятности отказа в эксплуатационных условиях
qэ = 0,005, а увеличение P
К в 1,09 раза - в 3,3 раза при той же вероятности отказа.
Полученные зависимости позволяют решить и обратную задачу - назначить уровень фактора, в частности, давления в камере, в зависимости от желаемого значения сокращения наработки ЖРД при ЗДИ и МВИ и заданной вероятности отказа в эксплуатационных условиях.
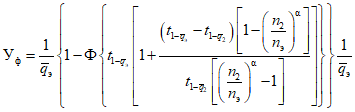
7. Способы определения коэффициента утяжеления
7.1.1 В случаях, когда при анализе надежности применен параметрический или смешанный способы расчета, для определения коэффициента утяжеления может быть использована зависимость

(14)
где

- запас параметра работоспособного состояния ЖРД по изменяемому фактору, реализуемый при утяжеленном испытании;
SZ - среднеквадратическое отклонение запаса этого параметра работоспособного состояния.
7.1.2 Если при анализе надежности ЖРД лимитирующими являются ударные нагрузки при запуске (при отсутствии достаточных данных о границах работоспособного состояния), может быть использована зависимость

(15)
где Xэ, Xф - значения параметра работоспособного состояния по изменяемому фактору в эксплуатационных и утяжеленных условиях.
При расчетах значение

принимают равным 2.
7.1.3 Для ЖРД, если его надежность лимитирует пауза между включениями, может быть использована зависимость

. (16)
Значения параметров, позволяющие осуществить уменьшение наработки ЖРД, определяют следующим образом:
- приемлемое значение

- по зависимости

;
- значение

, квадрант 4 на рисунках 1 -
3;
Рисунок 1 - Взаимосвязь между У
ф,

,

и эквивалентом
наработки

при

Рисунок 2 - Взаимосвязь между У
ф,

,

и эквивалентом
Рисунок 3 - Взаимосвязь между У
ф,

,

и эквивалентом
- значение У
ф при требуемом значении
qТЗ - по зависимости

;
| | ИС МЕГАНОРМ: примечание. В официальном тексте документа, видимо, допущена опечатка: абзац приведен дважды. | |
- значение У
ф при требуемом значении
qТЗ - по зависимости

;
- относительное изменение параметра работоспособного состояния, обеспечивающее требуемый гарантийный коэффициент утяжеления при выбранной наработке, - по зависимости

.
7.1.5 На основе анализа
рисунков 1 -
3 можно сделать следующие выводы:
- задача снижения наработки путем замены испытаний с увеличенной наработкой утяжеленными испытаниями может быть решена на основе предложенных зависимостей;
- с ростом надежности одно и то же изменение параметра работоспособного состояния ЖРД позволяет снижать наработку на большее значение, что указывает на актуальность замены утяжеленными испытаниями испытаний с увеличенной наработкой при повышении требований к надежности изделий и ресурсу;
- необходимым условием реализации утяжеленных испытаний является исследование и определение зависимости надежности от внешних воздействующих факторов и факторов, определяющих режимы работы;
- с ростом показателя

одинаковое изменение параметра работоспособного состояния позволяет снижать наработку на большее значение. Это указывает на необходимость использования в качестве параметров работоспособного состояния параметров, наиболее интенсивно влияющих на надежность.
7.2. Определение коэффициента утяжеления в зависимости от числа оборотов ротора турбонасосного агрегата
7.2.1 Можно выделить три расчетных случая по определению коэффициента утяжеления условий испытаний и эквивалента наработки в зависимости от числа оборотов ротора ТНА, отличающиеся один от другого объемом располагаемой информации.
7.2.2 Общим для всех расчетных случаев является использование в качестве параметра работоспособного состояния ЖРД суммарной амплитуды вибраций одного из насосов или турбины B и степенной зависимости ее от числа оборотов ротора ТНА

, (17)
где B - суммарная амплитуда вибраций одного из насосов или турбины;
B
о,

- постоянные коэффициенты для конкретного двигателя, определяют по результатам испытаний;

- относительное число оборотов ротора ТНА.
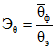
7.2.3 Эквивалент наработки Э
о с учетом
зависимости (2) может быть определен по формуле

. (18)
7.2.4 Случай 1. Имеется исчерпывающая информация по влиянию числа оборотов ротора ТНА на техническое состояние двигателя окончательного варианта конструкции:
- число оборотов ротора ТНА, оценки математического ожидания и дисперсии амплитуды вибраций в эксплуатационных условиях (nэ, Bэ);
- число оборотов ротора ТНА, оценки математического ожидания и критического значения амплитуды вибраций nкр, Bкр.
Коэффициент утяжеления в этом случае определяют по зависимости

, (19)
где

- квантиль нормального распределения, соответствующий (1 -
qэ);
Ф - символ функции нормального распределения;
qэ - вероятность отказа при эксплуатационных условиях.
7.2.5 Случай 2. Привлекается информация по результатам испытаний исходного варианта конструкции:
- оценка математического ожидания числа оборотов ротора ТНА исходного варианта конструкции в эксплуатационных условиях

;
- оценка математического ожидания числа оборотов ротора ТНА исходного варианта конструкции при утяжеленных испытаниях

;
- число отказов исходного варианта конструкции при утяжеленных испытаниях

;
- вероятность отказа в эксплуатационных условиях

;
- оценки математических ожиданий амплитуды вибраций ТНА исходного варианта конструкции при нормальных и утяжеленных испытаниях соответственно

,

;
- оценка математического ожидания числа оборотов ротора ТНА окончательного варианта конструкции в эксплуатационных условиях nэ;
- число испытаний окончательного варианта конструкции в эксплуатационных условиях Nэ;
- оценка математического ожидания амплитуды вибраций ТНА окончательного варианта конструкции в эксплуатационных условиях Bэ;
- для расчетов принимают

.
Коэффициент утяжеления в этом случае определяют по формуле

, (20)
где

- коэффициент, учитывающий погрешность принятого допущения о равенстве дисперсии критических значений вибраций исходного и окончательного вариантов конструкции

.
7.2.6 Случай 3. Отсутствует информация о непосредственных измерениях уровня вибраций, но есть априорная информация об их возможном влиянии. Исходные данные для расчетов:
- число испытаний в эксплуатационных условиях Nэ;
- число испытаний в предельно-утяжеленных условиях N2;
- оценка математического ожидания числа оборотов ТНА в эксплуатационных условиях nэ;
- число отказов в предельно-утяжеленных условиях m2.
Коэффициент утяжеления в этом случае

, (21)
где

.
7.3. Сокращение продолжительности испытаний ЖРДМТ
7.3.1 В качестве фактора, с помощью которого реализуют утяжеленное испытание и сокращают его продолжительность, принято соотношение значений давлений компонентов топлива на входе в двигатель, от которого зависят величины пиковых забросов давления в камере на запуске, лимитирующие надежность ЖРДМТ.
7.3.2 Зависимость вероятности отказа от соотношения значений давлений компонентов на входе в двигатель, полученная по результатам испытаний, имеет вид

, (22)
где

- давление окислителя на входе в двигатель;

- давление горючего на входе в двигатель.
7.3.3 Возможное сокращение продолжительности испытаний ЖРДМТ можно получить, используя
зависимость (22).
(

,

- давления на входе в насос окислителя и насос горючего соответственно).
Таблица 2
Расчет возможного сокращения
продолжительности испытаний ЖРДМТ
Исходные данные | Определяемые величины |
P тр,  , N, У г,  | | | | | |
Pтр = 0,998 | 2,12 | 0,18 | 1,00 | 5,50 | 2,35 |
| 3,00 | 0,36 | 2,00 | 2,75 | 1,66 |
Nок = 19 | 4,00 | 0,64 | 3,56 | 1,54 | 1,24 |
Уг = 5,5 | 5,00 | 1,00 | 5,56 | 99 | 0,995 |
| 6,00 | 1,44 | 8,00 | - | 0,83 |
Примечание - В настоящей таблице приняты следующие обозначения: - Pтр - вероятность безотказной работы, установленная ТЗ; -  - доверительная вероятность, принятая для анализа надежности; - Nок - число ЖРД окончательного варианта конструкции; -  - показатель степени в распределении Вейбулла; - Уг - гарантийный коэффициент утяжеления; -  - математическое ожидание наработки при форсированных испытаниях; -  - наработка, заданная в ТЗ на разработку двигателя; -  - давление на входе в насос окислителя; -  - давление на входе в насос горючего. |
7.3.4 Результаты расчетов, приведенные в
таблице 2, указывают на то, что для реализации гарантийного коэффициента утяжеления при эксплуатационном значении соотношения входных давлений наработка при испытании должна в 2,35 раза превышать эксплуатационную. С изменением (ростом) значения изменяемого фактора К
ф величина наработки при испытании уменьшается.
7.3.5 При условии, когда весь коэффициент утяжеления реализуется изменением соотношения входных давлений, наработка при утяжеленном испытании становится равной эксплуатационной и при дальнейшем росте значения этого фактора наработка становится меньше эксплуатационной.
7.3.6 В качестве примера в
приложении Г приведено определение коэффициента утяжеления условий испытаний для современных кислородно-керосиновых ЖРД больших тяг.
(справочное)
ФАКТОРОВ, ФОРМИРУЮЩИХ УТЯЖЕЛЕННОЕ ИСПЫТАНИЕ
А.1 Типовой перечень основных факторов, которые могут быть использованы для организации утяжеленных испытаний ЖРД, и наиболее типичное влияние факторов на различные СФЭ приведены в
таблице А.1.
А.2 Наиболее универсальным внешним воздействующим фактором является давление компонентов топлива на входе в двигатель, влияние которого на многие СФЭ установлено. Однако, если лимитирующим надежность ЖРД является вибростойкость ТНА и других агрегатов, выбор этого фактора будет неудачным, и следует выбрать воздействия, имитирующие транспортные нагрузки и воздействия других ступеней, в соответствии с
таблицей А.1.
А.3 Среди факторов, определяющих режимы работы, для утяжеления условий испытаний многих СФЭ может быть выбрано давление в камере или (для ЖРД с насосной системой подачи) число оборотов ротора ТНА.
А.4 При выборе конструкционных факторов предпочтения заслуживают геометрические размеры элементов конструкции и характеристики материалов, оказывающие влияние на значительную часть СФЭ (см.
таблицу А.2).
А.5 Существуют и другие факторы, кроме приведенных в
таблице А.1, которые могут быть использованы для формирования утяжеленного испытания, такие, как дисбаланс вращающихся элементов ТНА, расход компонента топлива на внутреннее охлаждение камеры, отсутствие теплозащитных покрытий и др.
Систематическое применение таких факторов для организации утяжеленных ЗДИ, МВИ, ППИ и ПСИ практически исключено. Применять их следует только при УИ и ДИ.
Таблица А.1
Воздействие типовых внешних воздействующих факторов на СФЭ
Структурно-функциональный элемент | Внешний воздействующий фактор |
Давление компонентов топлива на входе в КС | Разность давлений компонентов топлива на входе в КС | Гидроудар на входе в КС | Опережение подачи одного из компонентов топлива | Температура компонентов топлива на входе в КС | Разность температур компонентов топлива на входе в КС | Газонасыщение компонентов топлива | Содержание свободных газовых включений | Чистота компонентов топлива | Температура элементов конструкции | Транспортные нагрузки и воздействие других ЖРД | Энергопотребление | Давление окружающей среды | Температура окружающей среды | Радиационное воздействие |
Жаростойкость камеры (газогенератора) | + | + | - | + | + | - | - | - | + | + | - | - | - | - | - |
Охлаждаемость камеры (газогенератора) | + | + | - | + | + | - | - | + | + | + | - | - | + | - | - |
Равномерность температурных полей в камере (газогенераторе) | - | - | + | + | + | + | - | + | - | - | - | - | - | - | - |
Механическая прочность ЖРД и его агрегатов | + | + | + | - | - | - | - | - | - | + | + | - | + | - | + |
Герметичность внутренних полостей агрегатов | + | + | + | - | - | - | - | - | - | - | + | - | - | - | - |
Герметичность агрегатов автоматики | + | + | + | - | + | - | - | - | + | + | + | - | - | - | - |
Срабатывание агрегатов автоматики | + | + | + | - | + | - | - | - | + | + | + | + | - | + | - |
Теплоизолирующая способность магистралей | - | - | - | - | - | - | - | - | - | - | - | - | - | - | - |
Высокочастотная устойчивость камеры (газогенератора) | + | + | + | + | + | - | + | + | - | + | - | - | - | - | - |
Низкочастотная устойчивость камеры (газогенератора) | + | + | - | - | + | - | + | + | - | + | - | - | - | - | - |
Кавитационная стойкость насосов | + | + | + | - | + | - | + | + | - | - | - | - | - | - | - |
Виброустойчивость ТНА и других агрегатов | - | - | - | - | - | - | - | - | - | - | + | - | - | - | - |
Взрывобезопасность агрегатов | - | - | - | - | - | - | - | - | + | - | + | - | - | - | - |
Электроизоляционная прочность агрегатов | - | - | - | - | - | - | - | - | - | + | + | + | - | - | - |
Активность катализатора | - | - | - | - | - | - | - | - | - | + | - | - | - | - | - |
Очищаемость компонентов | - | - | - | - | - | - | - | - | + | - | - | - | - | - | - |
Воспламеняемость компонентов | - | - | - | + | + | - | - | - | - | - | - | - | - | - | - |
Энергетические и динамические параметры | + | + | - | - | - | - | - | + | - | - | - | - | - | - | - |
Работоспособность на запуске, переходных режимах | + | + | + | + | + | - | - | + | - | + | - | - | - | - | - |
Возгораемость элементов конструкции | - | - | - | - | - | - | - | - | + | - | - | - | - | - | - |
Примечание - В настоящей таблице применены следующие условные обозначения: "+" - влияние фактора на СФЭ установлено; "-" - влияние фактора на СФЭ не установлено. |
Таблица А.2
Воздействие условий испытаний и конструкционных
факторов на СФЭ
Структурно-функциональный элемент | Режим работы | Фактор наработки | Конструкционные факторы |
Давление в КС | Соотношение компонентов топлива в КС | Температура генераторного газа | Частота вращения ротора ТНА | Положение регулирующих органов | Число включений и переключений с режима на режим | Частота включений | Продолжительность работы при одном включении | Пауза между включениями | Геометрические размеры и допуски на них | Распределение компонентов топлива по сечению КС | Гидравлические характеристики смесительных элементов | Динамические характеристики агрегатов автоматики | Характеристики материалов |
Жаростойкость камеры (газогенератора) | + | + | + | - | - | + | + | + | + | + | + | + | - | + |
Охлаждаемость камеры (газогенератора) | + | + | - | - | - | - | - | + | + | + | + | + | - | + |
Равномерность температурных полей в камере (газогенераторе) | - | + | + | - | - | - | - | - | - | + | + | + | - | - |
Механическая прочность ЖРД и его агрегатов | + | - | + | - | - | + | - | + | + | + | - | - | - | + |
Герметичность внутренних полостей ЖРД | + | - | - | - | - | + | - | - | - | + | - | - | - | - |
Герметичность агрегатов автоматики | - | - | - | - | - | + | + | - | + | + | - | - | - | + |
Срабатывание агрегатов автоматики | - | - | - | - | + | + | - | - | + | + | - | - | + | + |
Теплоизолирующая способность магистралей | - | - | - | - | - | - | - | - | - | - | + | - | - | + |
Высокочастотная устойчивость камеры (газогенератора) | + | + | + | + | - | - | - | - | - | + | + | + | - | + |
Низкочастотная устойчивость камеры (газогенератора) | + | + | + | - | - | - | - | - | - | + | - | + | - | + |
Кавитационная стойкость насосов | - | - | - | - | - | - | - | - | - | + | - | - | - | + |
Вибростойкость ТНА и других агрегатов | - | - | - | + | - | - | - | - | - | + | - | - | - | + |
Взрывобезопасность агрегатов | - | - | - | - | - | - | - | - | - | + | - | - | - | + |
Электроизоляционная прочность агрегатов | - | - | - | - | - | - | - | - | - | - | - | - | - | + |
Активность катализатора | + | - | - | - | - | - | - | - | - | - | - | - | - | + |
Очищаемость компонентов топлива | - | - | - | - | - | - | - | - | - | - | - | - | - | - |
Воспламеняемость компонентов | - | + | - | - | - | - | - | - | - | - | - | - | - | - |
Энергетические и динамические параметры | - | - | - | - | - | - | + | - | - | + | + | + | + | + |
Работоспособность на запуске (переходных режимах) | + | + | - | - | - | + | + | - | - | + | + | + | - | - |
Возгораемость элементов конструкции | - | - | + | - | - | - | - | - | - | - | - | - | - | + |
Примечание - В настоящей таблице применены следующие условные обозначения: "+" - влияние фактора на СФЭ установлено; "-" - влияние фактора на СФЭ не установлено. |
(справочное)
УЧИТЫВАЮЩЕГО ПРИ ОЦЕНКЕ НАДЕЖНОСТИ ОГРАНИЧЕННОСТЬ СТАТИСТИКИ
Таблица Б.1
Значения коэффициента А
n | | |
А2 | А | А2 | А |
2 | 67,7156 | 8,229 | - | - |
3 | 10,4515 | 3,233 | 21,6910 | 4,658 |
4 | 5,6503 | 2,377 | 9,4970 | 3,082 |
5 | 4,1019 | 2,025 | 6,1976 | 2,490 |
6 | 3,3587 | 1,832 | 4,7630 | 2,183 |
7 | 2,9246 | 1,710 | 3,9696 | 1,992 |
8 | 2,6431 | 1,626 | 3,4627 | 1,861 |
9 | 2,4376 | 1,562 | 3,1255 | 1,768 |
10 | 2,2872 | 1,513 | 2,9354 | 1,713 |
11 | 2,1649 | 1,472 | 2,6836 | 1,638 |
12 | 2,0905 | 1,446 | 2,5290 | 1,590 |
13 | 1,9962 | 1,413 | 2,3951 | 1,548 |
14 | 1,9314 | 1,390 | 2,3043 | 1,518 |
15 | 1,8779 | 1,370 | 2,2265 | 1,492 |
16 | 1,8303 | 1,353 | 2,1555 | 1,468 |
17 | 1,7834 | 1,335 | 2,0920 | 1,447 |
18 | 1,7492 | 1,322 | 2,0354 | 1,427 |
19 | 1,7164 | 1,310 | 1,9884 | 1,410 |
20 | 1,6871 | 1,299 | 1,9422 | 1,394 |
21 | 1,6601 | 1,288 | 1,9036 | 1,372 |
22 | 1,6374 | 1,280 | 1,8721 | 1,368 |
23 | 1,6150 | 1,271 | 1,8350 | 1,355 |
24 | 1,5960 | 1,263 | 1,8114 | 1,345 |
25 | 1,5768 | 1,256 | 1,7858 | 1,336 |
26 | 1,5600 | 1,249 | 1,7582 | 1,326 |
27 | 1,5453 | 1,243 | 1,7375 | 1,318 |
28 | 1,5298 | 1,237 | 1,7158 | 1,310 |
29 | 1,5163 | 1,231 | 1,6940 | 1,302 |
30 | 1,5030 | 1,226 | 1,6780 | 1,295 |
31 | 1,4917 | 1,222 | 1,6599 | 1,288 |
35 | 1,4505 | 1,204 | 1,6031 | 1,266 |
37 | 1,4337 | 1,198 | 1,5789 | 1,257 |
39 | 1,4172 | 1,190 | 1,5571 | 1,248 |
40 | 1,4090 | 1,187 | 1,5471 | 1,243 |
41 | 1,4038 | 1,185 | 1,5376 | 1,240 |
43 | 1,3905 | 1,179 | 1,5212 | 1,233 |
45 | 1,3784 | 1,173 | 1,5039 | 1,227 |
47 | 1,3669 | 1,169 | 1,4847 | 1,219 |
50 | 1,3526 | 1,163 | 1,4646 | 1,210 |
51 | 1,3486 | 1,161 | 1,4596 | 1,208 |
56 | 1,3276 | 1,152 | 1,4315 | 1,197 |
60 | 1,3115 | 1,145 | 1,4161 | 1,188 |
66 | 1,2937 | 1,138 | 1,3883 | 1,178 |
71 | 1,2805 | 1,130 | 1,3682 | 1,169 |
81 | 1,2577 | 1,122 | 1,3357 | 1,156 |
91 | 1,2353 | 1,111 | 1,3136 | 1,147 |
100 | 1,2283 | 1,108 | 1,2996 | 1,140 |
200 | 1,1646 | 1,080 | 1,1449 | 1,070 |
500 | - | - | 1,1025 | 1,040 |
(справочное)
ОРИЕНТИРОВОЧНЫЕ ЗНАЧЕНИЯ КОЭФФИЦИЕНТА
УТЯЖЕЛЕНИЯ УСЛОВИЙ ИСПЫТАНИЙ
Таблица В.1
Значения гарантийного коэффициента утяжеления Уг
на этапе ОКР при отсутствии КТИ
Значения требуемой ВБР  | Значения У г при относительном числе двигателей, подвергаемых выборочному приемочному контролю,  |
0,01 | 0,02 | 0,03 | 0,05 | 0,07 | 0,10 | 0,20 | 0,33 |
0,995 | 110,0 | 49,0 | 34,0 | 23,0 | 17,0 | 12,0 | 6,8 | 5,0 |
0,990 | 62,0 | 34,0 | 25,0 | 17,0 | 14,0 | 9,0 | 4,8 | 4,0 |
0,980 | 38,0 | 29,0 | 17,0 | 13,0 | 9,0 | 7,0 | 4,8 | 3,0 |
0,970 | 36,0 | 19,0 | 13,0 | 11,0 | 8,0 | 6,3 | 4,4 | 3,0 |
0,960 | 20,0 | 11,6 | 10,2 | 8,4 | 7,3 | 5,8 | 4,4 | 2,8 |
0,950 | 15,2 | 9,6 | 9,0 | 7,8 | 6,3 | 5,3 | 4,0 | 2,6 |
Таблица В.2
Значения гарантийного коэффициента утяжеления
на этапе ОКР при наличии КТИ
Значения требуемой ВБР  | Значения У г при относительном числе двигателей, подвергаемых выборочному приемочному контролю,  |
0,01 | 0,02 | 0,03 | 0,05 | 0,07 | 0,10 | 0,20 | 0,33 |
0,995 | 74,0 | 41,0 | 27,0 | 3,0 | 0,9 | 8,4 | 4,4 | 4,4 |
0,990 | 43,0 | 23,0 | 18,5 | 9,0 | 7,3 | 5,3 | 3,2 | 2,9 |
0,980 | 19,0 | 13,7 | 8,4 | 7,8 | 6,8 | 5,3 | 3,2 | 2,6 |
0,970 | 14,0 | 11,0 | 7,8 | 7,3 | 6,3 | 4,8 | 2,9 | 2,3 |
0,960 | 9,7 | 8,4 | 7,3 | 6,8 | 5,8 | 4,4 | 2,9 | 2,3 |
0,950 | 9,0 | 7,3 | 6,3 | 5,3 | 4,4 | 2,6 | 2,3 | 2,3 |
Примечание - Для двигателей, при эксплуатации которых предполагается несколько режимов работы, коэффициент утяжеления устанавливают по отношению к самому неблагоприятному режиму. |
Таблица В.3
Значения коэффициента утяжеления при контроле качества
изготовления ЖРД в период поставок в эксплуатацию
при отсутствии КТИ
Исходные данные | Значения У при C, равном 0,01 - 0,33 |
| Nок | 0,01 | 0,02 | 0,03 | 0,05 | 0,07 | 0,10 | 0,20 | 0,33 |
0,995 | 5 | 364,0 | 182,0 | 121,0 | 72,0 | 51,0 | 36,0 | 17,6 | 10,9 |
10 | 262,0 | 130,0 | 86,5 | 51,8 | 37,2 | 26,0 | 13,0 | 7,8 |
15 | 225,0 | 112,0 | 74,0 | 44,9 | 31,4 | 22,1 | 10,9 | 6,3 |
20 | 201,0 | 100,0 | 67,2 | 41,0 | 29,2 | 20,3 | 10,2 | 5,8 |
30 | 171,0 | 86,5 | 57,8 | 34,8 | 24,0 | 16,8 | 8,4 | 5,3 |
40 | 153,8 | 75,7 | 50,4 | 30,3 | 22,4 | 15,2 | 7,8 | 4,4 |
60 | 127,0 | 64,0 | 42,3 | 25,0 | 18,5 | 13,0 | 6,3 | 4,0 |
80 | 106,0 | 53,0 | 36,0 | 22,1 | 16,0 | 10,9 | 5,8 | 3,2 |
100 | 94,0 | 46,2 | 31,4 | 19,4 | 13,7 | 9,6 | 4,8 | 2,9 |
150 | 68,0 | 34,8 | 23,0 | 14,4 | 10,2 | 7,3 | 3,6 | 2,3 |
200 | 53,0 | 26,0 | 17,6 | 10,9 | 7,8 | 5,3 | 2,9 | 2,0 |
250 | 38,0 | 19,4 | 13,0 | 7,8 | 5,8 | 4,0 | 2,3 | 1,4 |
0,990 | 5 | 310,0 | 154,0 | 102,0 | 60,8 | 43,6 | 30,3 | 15,2 | 9,0 |
10 | 213,0 | 108,0 | 70,6 | 42,3 | 30,3 | 21,2 | 10,2 | 6,3 |
15 | 179,0 | 90,3 | 59,3 | 36,0 | 25,0 | 17,6 | 9,0 | 5,3 |
20 | 156,0 | 77,4 | 51,8 | 31,4 | 23,0 | 16,0 | 7,8 | 4,8 |
30 | 126,0 | 64,0 | 42,0 | 26,0 | 18,5 | 13,0 | 7,8 | 4,0 |
40 | 110,0 | 54,8 | 36,0 | 22,1 | 16,0 | 10,9 | 7,3 | 3,2 |
60 | 84,6 | 42,0 | 28,0 | 16,8 | 12,3 | 8,4 | 5,8 | 2,6 |
80 | 65,6 | 33,6 | 22,0 | 13,7 | 9,6 | 6,8 | 3,6 | 2,3 |
100 | 51,8 | 26,0 | 17,6 | 10,9 | 7,8 | 5,3 | 2,9 | 1,7 |
150 | 27,0 | 13,7 | 9,0 | 5,8 | 4,0 | 2,9 | 1,7 | 1,2 |
200 | 9,0 | 4,8 | 3,2 | 2,0 | 1,7 | 1,2 | 0,8 | 0,6 |
0,980 | 5 | 252,0 | 125,0 | 82,0 | 50,0 | 36,0 | 25,0 | 12,3 | 7,3 |
10 | 166,0 | 82,8 | 54,8 | 33,6 | 24,0 | 15,9 | 8,4 | 4,8 |
15 | 132,0 | 67,0 | 44,9 | 27,0 | 18,5 | 13,0 | 6,8 | 4,0 |
20 | 112,0 | 56,0 | 37,0 | 23,0 | 16,0 | 11,6 | 5,8 | 3,6 |
30 | 84,0 | 42,0 | 28,0 | 16,8 | 12,3 | 8,4 | 4,5 | 2,6 |
40 | 65,0 | 32,0 | 22,0 | 13,7 | 9,6 | 6,8 | 3,6 | 2,3 |
60 | 41,0 | 20,0 | 13,7 | 8,4 | 6,3 | 4,4 | 2,3 | 1,4 |
80 | 22,0 | 11,6 | 7,8 | 4,8 | 3,6 | 2,6 | 1,4 | 1,0 |
100 | 8,4 | 4,4 | 3,2 | 2,0 | 1,4 | 1,2 | 0,8 | 0,6 |
0,970 | 5 | 225,0 | 102,0 | 74,0 | 37,2 | 31,4 | 22,11 | 10,9 | 6,3 |
10 | 139,0 | 68,9 | 46,0 | 28,1 | 20,3 | 13,7 | 6,8 | 4,0 |
15 | 106,0 | 53,0 | 36,0 | 21,2 | 15,2 | 10,9 | 5,3 | 3,2 |
20 | 86,0 | 43,0 | 29,0 | 17,6 | 12,3 | 8,4 | 4,4 | 2,6 |
30 | 59,0 | 29,0 | 20,0 | 12,3 | 8,4 | 6,3 | 3,2 | 2,0 |
40 | 41,0 | 20,0 | 13,7 | 8,4 | 6,3 | 4,4 | 2,3 | 1,4 |
60 | 26,0 | 13,7 | 9,0 | 3,2 | 2,6 | 2,0 | 1,0 | 0,8 |
0,960 | 5 | 198,0 | 100,0 | 65,0 | 53,0 | 38,0 | 27,0 | 13,0 | 7,8 |
10 | 118,0 | 59,0 | 39,0 | 24,0 | 16,8 | 11,6 | 5,8 | 3,6 |
15 | 86,0 | 44,0 | 29,0 | 17,0 | 12,3 | 9,0 | 4,4 | 2,9 |
20 | 67,0 | 33,0 | 22,0 | 13,7 | 9,6 | 6,8 | 3,6 | 2,3 |
30 | 39,0 | 20,0 | 13,0 | 8,4 | 5,8 | 4,4 | 2,3 | 1,4 |
40 | 21,0 | 10,0 | 7,3 | 4,4 | 3,2 | 2,6 | 1,4 | 1,0 |
0,950 | 5 | 179,0 | 90,0 | 59,0 | 36,0 | 26,0 | 17,6 | 9,0 | 5,3 |
10 | 104,0 | 51,0 | 34,0 | 20,0 | 14,4 | 10,2 | 5,3 | 3,2 |
15 | 72,0 | 36,0 | 24,0 | 14,0 | 10,2 | 7,3 | 3,6 | 2,3 |
20 | 53,0 | 27,0 | 17,0 | 10,0 | 7,8 | 5,3 | 2,9 | 2,0 |
30 | 26,0 | 13,0 | 9,0 | 5,3 | 4,0 | 2,9 | 1,7 | 1,0 |
40 | 8,4 | 4,0 | 2,9 | 2,0 | 1,4 | 1,2 | 0,8 | 0,6 |
Таблица В.4
Значения коэффициента утяжеления при контроле качества
изготовления ЖРД в период поставок в эксплуатацию
при наличии КТИ
Исходные данные | Значения У при C, равном 0,01 - 0,33 |
| Nок | 0,01 | 0,02 | 0,03 | 0,05 | 0,07 | 0,10 | 0,20 | 0,33 |
0,995 | 5 | 309,0 | 153,0 | 102,0 | 60,0 | 43,0 | 30,3 | 15,2 | 9,0 |
10 | 225,0 | 112,0 | 74,0 | 44,0 | 32,0 | 22,1 | 10,9 | 6,8 |
15 | 190,0 | 96,0 | 64,0 | 38,0 | 27,0 | 19,4 | 9,6 | 5,8 |
20 | 171,0 | 84,0 | 56,0 | 34,0 | 25,0 | 16,8 | 8,4 | 5,3 |
30 | 144,0 | 72,0 | 47,0 | 29,0 | 20,0 | 14,4 | 7,3 | 4,4 |
40 | 125,0 | 62,0 | 42,0 | 25,0 | 17,0 | 12,3 | 6,3 | 3,6 |
60 | 100,0 | 50,0 | 33,0 | 20,0 | 14,0 | 10,2 | 5,3 | 3,2 |
80 | 81,0 | 41,0 | 27,0 | 16,0 | 11,0 | 8,4 | 4,4 | 2,6 |
100 | 67,0 | 33,0 | 22,0 | 13,7 | 9,6 | 6,8 | 3,6 | 2,3 |
150 | 42,0 | 21,0 | 14,0 | 8,4 | 6,3 | 4,4 | 2,3 | 1,4 |
200 | 24,0 | 12,0 | 8,4 | 5,3 | 3,6 | 2,6 | 1,4 | 1,0 |
250 | 9,6 | 4,4 | 3,6 | 2,3 | 1,7 | 1,2 | 0,8 | 0,8 |
0,990 | 5 | 252,0 | 125,0 | 82,0 | 50,0 | 36,0 | 25,0 | 12,3 | 7,8 |
10 | 176,0 | 88,0 | 59,0 | 36,0 | 25,0 | 17,6 | 9,0 | 5,3 |
15 | 146,0 | 74,0 | 49,0 | 29,0 | 21,0 | 14,4 | 7,3 | 4,4 |
20 | 125,0 | 62,0 | 42,0 | 25,0 | 18,0 | 13,0 | 6,3 | 4,0 |
30 | 100,0 | 50,0 | 33,0 | 20,0 | 14,0 | 10,2 | 5,3 | 3,2 |
40 | 81,0 | 41,0 | 27,0 | 16,0 | 11,0 | 8,4 | 4,4 | 2,6 |
60 | 56,0 | 28,0 | 18,0 | 11,0 | 8,4 | 5,8 | 2,9 | 2,0 |
80 | 38,0 | 19,0 | 13,0 | 7,8 | 5,8 | 4,0 | 2,3 | 1,4 |
100 | 24,0 | 12,0 | 8,4 | 5,3 | 3,6 | 2,6 | 1,4 | 1,0 |
0,980 | 5 | 196,0 | 98,0 | 65,0 | 39,0 | 28,0 | 19,4 | 9,6 | 5,8 |
10 | 130,0 | 64,0 | 43,0 | 26,0 | 18,0 | 13,0 | 6,8 | 4,0 |
15 | 100,0 | 50,0 | 33,0 | 20,0 | 14,0 | 10,2 | 5,3 | 3,2 |
20 | 81,0 | 41,0 | 27,0 | 16,0 | 11,0 | 8,4 | 4,4 | 2,6 |
30 | 56,0 | 28,0 | 18,0 | 11,0 | 8,4 | 5,8 | 2,9 | 2,0 |
40 | 37,0 | 19,0 | 13,0 | 7,8 | 5,8 | 4,0 | 2,3 | 1,4 |
60 | 12,0 | 6,3 | 4,4 | 2,9 | 2,3 | 1,7 | 1,0 | 0,8 |
0,970 | 5 | 163,0 | 82,0 | 54,0 | 32,0 | 23,0 | 16,8 | 8,4 | 4,8 |
10 | 102,0 | 51,0 | 33,0 | 20,0 | 14,0 | 10,2 | 5,3 | 3,2 |
15 | 74,0 | 37,0 | 25,0 | 15,0 | 10,9 | 7,8 | 4,0 | 2,6 |
20 | 54,0 | 28,0 | 18,0 | 11,0 | 8,4 | 5,8 | 2,9 | 2,0 |
30 | 30,0 | 15,0 | 10,0 | 6,3 | 4,4 | 3,2 | 1,7 | 1,2 |
40 | 12,0 | 6,3 | 4,4 | 2,9 | 2,3 | 1,7 | 1,0 | 0,8 |
0,960 | 5 | 139,0 | 7,0 | 46,0 | 36,0 | 20,0 | 13,7 | 6,8 | 4,4 |
10 | 81,0 | 4,0 | 27,0 | 16,0 | 11,0 | 8,4 | 4,4 | 2,6 |
15 | 54,0 | 2,0 | 18,0 | 10,0 | 8,4 | 5,8 | 2,9 | 2,0 |
20 | 36,0 | 1,0 | 12,0 | 7,3 | 5,3 | 4,0 | 2,0 | 1,4 |
30 | 10,0 | 5,8 | 4,0 | 2,6 | 2,0 | 1,4 | 1,0 | 0,8 |
0,950 | 5 | 121,0 | 60,0 | 41,0 | 24,0 | 17,0 | 12,3 | 6,3 | 3,6 |
10 | 67,0 | 33,0 | 22,0 | 13,7 | 9,6 | 6,8 | 3,6 | 2,3 |
15 | 40,0 | 20,0 | 13,0 | 8,4 | 5,8 | 4,4 | 2,3 | 1,4 |
20 | 21,0 | 10,0 | 7,3 | 4,4 | 3,2 | 2,6 | 1,4 | 1,0 |
(справочное)
ПРИМЕР ИСПОЛЬЗОВАНИЯ ОПЫТА ОТРАБОТКИ ОТЕЧЕСТВЕННЫХ ЖРД
Г.1 Из опыта отработки отечественных ЖРД известна связь между значениями какого-либо условия испытания и определяющего параметра ЖРД, т.е. известно влияние изменения условия испытания на вероятность отказа ЖРД (коэффициент утяжеления Уф). В этом случае возможно уменьшение продолжительности испытания при изменении значений внешних воздействующих факторов и режимов работы.
Г.2 В качестве примера приведено определение коэффициента утяжеления условий испытаний для современных кислородно-керосиновых ЖРД больших тяг, для которых установлено влияние на надежность изменения числа оборотов ротора ТНА.
Г.3 В результате проведенных исследований установлено, что

,
где nф - число оборотов при форсированном испытании;
nэ - эксплуатационное число оборотов.
Г.4 В таблице Г.1 приведены значения У
ф в зависимости от относительного числа оборотов ротора ТНА

.
Таблица Г.1
Зависимость У
ф от относительного числа оборотов ротора ТНА
| 1,00 | 1,01 | 1,03 | 1,05 | 1,07 | 1,08 |
Уф | 1,00 | 1,14 | 1,50 | 1,89 | 2,41 | 2,72 |
Эо | 1,00 | 1,07 | 1,23 | 1,38 | 1,56 | 1,65 |
Г.5 В соответствии с
таблицей Г.1 увеличение числа оборотов ТНА на 3% от эксплуатационного

позволит сократить продолжительность испытания в 1,23 раза, увеличение числа оборотов ротора ТНА на 7% - в 1,56 раза.