Главная // Актуальные документы // ГОСТ Р (Государственный стандарт)СПРАВКА
Источник публикации
М.: Стандартинформ, 2015
Примечание к документу
Документ
введен в действие с 1 сентября 2015 года.
Название документа
"ГОСТ Р 56047-2014. Национальный стандарт Российской Федерации. Системы охранные телевизионные. Компрессия оцифрованных аудиоданных. Классификация. Общие требования и методы оценки алгоритмов"
(утв. и введен в действие Приказом Росстандарта от 30.06.2014 N 677-ст)
"ГОСТ Р 56047-2014. Национальный стандарт Российской Федерации. Системы охранные телевизионные. Компрессия оцифрованных аудиоданных. Классификация. Общие требования и методы оценки алгоритмов"
(утв. и введен в действие Приказом Росстандарта от 30.06.2014 N 677-ст)
Утвержден и введен в действие
агентства по техническому
регулированию и метрологии
от 30 июня 2014 г. N 677-ст
НАЦИОНАЛЬНЫЙ СТАНДАРТ РОССИЙСКОЙ ФЕДЕРАЦИИ
СИСТЕМЫ ОХРАННЫЕ ТЕЛЕВИЗИОННЫЕ
КОМПРЕССИЯ ОЦИФРОВАННЫХ АУДИОДАННЫХ
КЛАССИФИКАЦИЯ. ОБЩИЕ ТРЕБОВАНИЯ
И МЕТОДЫ ОЦЕНКИ АЛГОРИТМОВ
Video surveillance systems. Digital audio data compression.
Classification. General requirements and evaluation
algorithm methods
ГОСТ Р 56047-2014
Дата введения
1 сентября 2015 года
1 РАЗРАБОТАН Закрытым акционерным обществом "Нордавинд" и Всероссийским научно-исследовательским институтом стандартизации и сертификации в машиностроении (ВНИИНМАШ)
2 ВНЕСЕН Техническим комитетом по стандартизации ТК 234 "Системы тревожной сигнализации и противокриминальной защиты"
3 УТВЕРЖДЕН И ВВЕДЕН В ДЕЙСТВИЕ
Приказом Федерального агентства по техническому регулированию и метрологии от 30 июня 2014 г. N 677-ст
4 ВВЕДЕН ВПЕРВЫЕ
Правила применения настоящего стандарта установлены в ГОСТ Р 1.0-2012
(раздел 8). Информация об изменениях к настоящему стандарту публикуется в годовом (по состоянию на 1 января текущего года) информационном указателе "Национальные стандарты", а официальный текст изменений и поправок - в ежемесячно издаваемом информационном указателе "Национальные стандарты". В случае пересмотра (замены) или отмены настоящего стандарта соответствующее уведомление будет опубликовано в ближайшем выпуске ежемесячного информационного указателя "Национальные стандарты". Соответствующая информация, уведомление и тексты размещаются также в информационной системе общего пользования - на официальном сайте Федерального агентства по техническому регулированию и метрологии (gost.ru)
Активное применение в системах охранных телевизионных (СОТ) методов компрессии оцифрованных аудиоданных, заимствованных из мультимедийных применений телевидения, из-за низкого качества восстановленных после компрессии оцифрованных аудиоданных привело к невозможности осуществления следственных мероприятий, а также оперативных функций, с использованием отдельных СОТ.
Важной отличительной особенностью методов компрессии оцифрованных аудиоданных для СОТ является необходимость обеспечения высокого качества звука в восстановленных аудиоданных. Настоящий стандарт позволяет упорядочить существующие и разрабатываемые методы компрессии оцифрованных аудиоданных, предназначенные для применения в составе систем противокриминальной защиты.
В качестве критерия для классификации алгоритмов компрессии оцифрованных аудиоданных в настоящем стандарте установлены значения метрик качества, характеризующих степень отклонения восстановленных оцифрованных данных от соответствующих им исходных аудиоданных.
Методика классификации алгоритмов компрессии оцифрованных аудиоданных, приведенная в настоящем стандарте, основана на оценке качества восстановленных аудиоданных, с учетом психоакустических особенностей человеческого слуха. Этот подход к оценке качества восстановленных аудиоданных рекомендован Сектором радиосвязи Международного союза электросвязи (МСЭ-Р), членом которого является Российская Федерация.
Настоящий стандарт распространяется на цифровые системы охранные телевизионные (далее - ЦСОТ) и устанавливает классификацию, общие требования и методы оценки алгоритмов компрессии оцифрованных аудиоданных.
Настоящий стандарт устанавливает методику сравнения различных алгоритмов компрессии и декомпрессии оцифрованных аудиоданных.
Настоящий стандарт применяют к алгоритмам компрессии и декомпрессии аудиоданных независимо от их реализации на аппаратном уровне.
В настоящем стандарте использованы нормативные ссылки на следующие стандарты:
ГОСТ 15971 Системы обработки информации. Термины и определения
ГОСТ Р 51558 Средства и системы охранные телевизионные. Классификация. Общие технические требования. Методы испытаний
Примечание - При пользовании настоящим стандартом целесообразно проверить действие ссылочных стандартов в информационной системе общего пользования - на официальном сайте Федерального агентства по техническому регулированию и метрологии в сети Интернет или по ежегодному информационному указателю "Национальные стандарты", который опубликован по состоянию на 1 января текущего года, и по выпускам ежемесячного информационного указателя "Национальные стандарты" за текущий год. Если заменен ссылочный стандарт, на который дана недатированная ссылка, то рекомендуется использовать действующую версию этого стандарта с учетом всех внесенных в данную версию изменений. Если ссылочный стандарт отменен без замены, то положение, в котором дана ссылка на него, рекомендуется применять в части, не затрагивающей эту ссылку.
В настоящем стандарте применены термины по
ГОСТ 15971 и следующие термины с соответствующими определениями:
3.1 алгоритм быстрого преобразования Фурье (БПФ) (fast Fourier transform, FFT): Набор алгоритмов, реализация которых приводит к существенному уменьшению вычислительной сложности дискретного преобразования Фурье (ДПФ).
| | ИС МЕГАНОРМ: примечание. Обозначение сигнала дано в соответствии с официальным текстом документа. | |
Примечание - Смысл быстрого преобразования Фурье состоит в том, чтобы разбить исходный N-отсчетный сигнал x(n) на два более коротких сигнала, дискретные преобразования Фурье которых могут быть скомбинированы таким образом, чтобы получить дискретное преобразования Фурье исходного N-отсчетного сигнала.
3.2 алгоритм декомпрессии (decompression algorithm): Точный набор инструкций и правил, описывающий последовательность действий, согласно которым сжатые аудиоданные преобразуются в восстановленные, реализуемый при помощи аудио декодера.
3.3 алгоритм компрессии (compression algorithm): Точный набор инструкций и правил, описывающий последовательность действий, согласно которым исходные аудиоданные преобразуются в сжатые, реализуемый при помощи аудио кодера.
3.4 амплитудно-временная метрика (time-amplitude metric): Метрика качества, основанная на сравнении оцифрованных и восстановленных аудиоданных по форме волны.
3.5 аналого-цифровой преобразователь, АЦП (analog-to-digital converter, ADC): Устройство, преобразующее входной аналоговый аудиосигнал в оцифрованные аудиоданные.
3.6 аудио декодер (audio decoder): Программные, аппаратные или аппаратно-программные средства, с помощью которых осуществляется декомпрессия сжатых аудиоданных.
3.7 аудио кодер (audio encoder): Программные, аппаратные или аппаратно-программные средства, с помощью которых осуществляется компрессия оцифрованных аудиоданных.
3.8 аудиоданные (audio data), аудиосигнал (audio signal), моноканальный аудиосигнал (mono channel audio): Аналоговый сигнал, несущий информацию об изменении во времени амплитуды звука.
3.9 битрейт (bitrate): Выраженная в битах оценка количества сжатых аудиоданных, определенная для некоторого временного интервала и отнесенная к длительности выбранного временного интервала в секундах.
3.10 восстановленные аудиоданные (recovered audio data): Данные, полученные из сжатых аудиоданных после их декомпрессии.
3.11 декомпрессия сжатых аудиоданных (decompression of compressed digitized audio data): Восстановление оцифрованных данных из сжатых аудиоданных.
3.12 дискретное преобразование Фурье, ДПФ (discrete Fourier transform, DFT): Преобразование, ставящее в соответствие N отсчетам дискретного сигнала N отсчетов дискретного спектра сигнала.
3.13 дифференциация (differentia): Выделение частного из общей совокупности по некоторым признакам.
3.14 искаженный фрейм (distorted frame): Фрейм, для которого максимальное отношение шума к порогу маскирования превышает 1,5 дБ.
3.15 искусственная нейронная сеть (artificial neural network, ANN): Модель биологической нейронной сети, которая представляет собой сеть элементов - искусственных нейронов - связанных между собой синаптическими соединениями.
Примечание - Нейронная сеть предназначена для обработки входной информации и в процессе изменения своего состояния во времени формирует совокупность выходных сигналов.
3.16 качество восстановленных аудиоданных (decoded audio data quality): Объективная оценка соответствия восстановленных аудиоданных исходным оцифрованным аудиоданным на основе рассчитанных метрик качества.
3.17 кодек аудиоданных (audio codec): Программный, аппаратный или аппаратно-программный модуль, способный выполнять как компрессию, так и декомпрессию аудиоданных.
3.18 компрессия (сжатие) оцифрованных аудиоданных (digitzed audio data compression): Обработка оцифрованных аудиоданных с целью уменьшения их объема.
3.19 компрессия оцифрованных аудиоданных без потерь (lossless digitized audio compression): Обработка оцифрованных аудиоданных, при которой не происходит потери информации, вследствие чего восстановленные (в результате выполнения декомпрессии) оцифрованные аудиоданные не отличаются от исходных оцифрованных аудиоданных.
3.20 компрессия оцифрованных аудиоданных с потерями (lossy compression of digitized audio data): Обработка оцифрованных аудиоданных, при которой происходит потеря информации, и вследствие этого восстановленные (в результате выполнения декомпрессии) оцифрованные аудиоданные отличаются от исходных оцифрованных аудиоданных.
3.21 метод оценки алгоритма компрессии (evaluation method of compression algorithm): Метод аналитического определения значений метрик качества на соответствие требованиям, предъявляемым к алгоритмам компрессии аудиоданных.
3.22 метрика качества (quality metric): Аналитически определяемые параметры, характеризующие степень отклонения восстановленных аудиоданных от исходных оцифрованных аудиоданных.
3.23 многоканальный аудиосигнал (multi-channel audio): Аудиосигнал, состоящий из объединения определенного количества аудиосигналов (каналов), которые несут информацию об одном и том же звуке.
Примечание - Предназначен для более качественной передачи звука с учетом пространственной ориентации.
3.24 окно (window): Весовая функция, которая используется для управления эффектами, обусловленными наличием боковых лепестков в спектральных оценках (растеканием спектра).
Примечание - Имеющуюся конечную запись данных или имеющуюся конечную корреляционную последовательность удобно рассматривать как некоторую часть соответствующей бесконечной последовательности, видимую через применяемое окно.
3.25 оконное преобразование Ханна (short-time Fourier transform with Hann window): Дискретное преобразование Фурье с весовой функцией - окном Ханна.
3.26 оцифрованные аудиоданные (digitized audio data): Данные, полученные путем аналого-цифрового преобразования аудиоданных, представляющие собой последовательность байтов в некотором формате (WAV или др.).
3.27 передискретизация аудиосигнала (resampling): Изменение частоты дискретизации аудиосигнала.
3.28 пиковое отношение сигнал/шум (peak-to-peak signal-to-noise ratio): Соотношение между максимумом возможного значения сигнала и мощностью шума.
3.29 порог маскирования (masking threshold): Пороговый уровень сигнала, не различаемого человеком из-за эффекта психоакустического маскирования.
3.30 психоакустическая модель (psychoacoustics model): Модель для сжатия аудиоданных с потерями, использующая особенности восприятия звука человеческим ухом.
3.31 психоакустическое маскирование (psychoacoustics masking): Подавление (сокрытие) при определенных условиях одного звука другим звуком из-за особенностей восприятия звука человеческим ухом.
3.32 разрядность АЦП (resolution of ADC): Количество бит, которым кодируется каждый отсчет сигнала в процессе АЦП.
3.33 сжатые аудиоданные (compressed audio data): Данные, полученные путем компрессии оцифрованных аудиоданных.
3.34 спектр сигнала (frequency spectrum): Результат разложения сигнала на простые синусоидальные функции (гармоники).
3.35 спектрограмма (spectrogram): Характеристика плотности мощности сигнала в частотно-временном пространстве.
3.36 степень сжатия (compressionratio): Коэффициент сокращения объема оцифрованных аудиоданных в результате компрессии.
3.37 стереофонический двухканальный аудиосигнал (stereophonic audio signal), стерео аудиосигнал (stereo audio signal), двухканальный аудиосигнал (two-channel audio signal): Многоканальный аудиосигнал, состоящий из двух моноканальных аудиосигналов.
3.38 формат оцифрованных аудиоданных (digitized audio data format): Представление оцифрованных аудиоданных, обеспечивающее их обработку цифровыми вычислительными средствами.
3.39 фрейм (frame): Фрагмент звукового сигнала с заданным количеством значений (длиной фрейма).
3.40 частота дискретизации (sample rate): Частота взятия последовательных значений непрерывного во времени сигнала при его аналого-цифровом преобразовании в оцифрованные аудиоданные.
3.41 частотно-временная метрика (time-frequency metric): Метрика качества, основанная на сравнении спектрограмм оцифрованных и восстановленных аудиоданных.
3.42 шум (noise): Совокупность апериодических звуков различной интенсивности и частоты, не несущая полезную информацию.
4.1 Оценку качества восстановленных после сжатия аудиоданных определяют по качеству каждого отдельного звукового фрагмента восстановленных аудиоданных.
4.2 Размер звукового фрагмента определяется в секундах или количеством оцифрованных значений внутри фрагмента.
4.3 Качество звукового фрагмента восстановленных аудиоданных определяют по значениям метрик качества алгоритмов компрессии оцифрованных аудиоданных (далее - метрики качества), характеризующих степень искажения восстановленных после сжатия аудиоданных в сравнении с исходными оцифрованными аудиоданными. Описание метрик приведено в
разделе 6 настоящего стандарта, а порядок их расчета приведен в
приложении А.
4.4 Алгоритмы компрессии оцифрованных аудиоданных относят к одному из трех классов, установленных в
разделе 5 настоящего стандарта.
5.1 Класс алгоритма компрессии оцифрованных данных определяют по рассчитанным для него значениям метрик качества. Для оценки качества восстановленных аудиоданных и классификации алгоритмов компрессии используют метрики качества, указанные в таблице 1.
Таблица 1
Диапазоны значений метрик качества по классам
алгоритмов компрессии оцифрованных аудиоданных
Метрика качества | Диапазон значений метрик качества по классам алгоритмов компрессии оцифрованных аудиоданных |
Класс III | Класс II | Класс I |
Пиковое отношение сигнал/шум (PSNR), дБ | Менее 30 | [30; 40] | Свыше 40 |
Коэффициент различия форм сигналов | Более 10-4 | [10-5; 10-4] | Менее 10-5 |
Объективная оценка аудиоданных с точки зрения восприятия (PEAQ) | [-3,98; -2,3) | [-2,3; -0,62] | (-0,62; 0,22] |
Примечание - Метрики качества отражают изменения оцифрованных аудиоданных (после их обработки алгоритмами компрессии и декомпрессии), которые могут оказать критическое влияние на возможность использования восстановленных аудиоданных для установления наличия звуковых сигналов, дифференциации звуков и речи. |
5.2 В зависимости от значений метрик качества, вычисленных в ходе проведения их оценки, алгоритм компрессии оцифрованных аудиоданных относят к одному из классов:
- класс III - алгоритмы компрессии, обеспечивающие качество восстановленных аудиоданных, достаточное для установления наличия звуковых сигналов и не уступающее в этом качеству исходных аудиоданных, но создающее помехи при дифференциации звуков, понимании речи;
- класс II - алгоритмы компрессии, обеспечивающие качество восстановленных аудиоданных, достаточное для установления наличия звуковых сигналов, дифференциации звуков, речи и не уступающее в этом качеству исходных аудиоданных, но отличимое от качества исходных аудиоданных;
- класс I - полнофункциональные алгоритмы компрессии, обеспечивающие качество восстановленных аудиоданных, неотличимое от качества исходных аудиоданных.
5.3 Значения метрик качества определяют для каждого звукового фрагмента (длиной 5 с) оцифрованных аудиоданных, а в качестве результирующей оценки восстановленных аудиоданных выбирают наименьшее значение для метрик PSNR и PEAQ и наибольшее значение для коэффициента различия форм сигналов.
Для расчета метрик PSNR и коэффициента различия форм сигналов исходные и восстановленные цифровые аудиоданные должны быть представлены с частотой дискретизации 44100 Гц, 16 битами памяти на одно дискретное значение выборки и с одним звуковым каналом. Длина звукового фрагмента 5 с должна включать в себя 220500 оцифрованных значений.
Для расчета метрики PEAQ исходные и восстановленные цифровые аудиоданные должны быть представлены с частотой дискретизации 48000 Гц, 16 битами памяти на одно дискретное значение выборки и с одним или с двумя звуковыми каналами. Длина звукового фрагмента 5 с должна включать в себя 240000 оцифрованных значений для каждого канала.
Для сигналов с частотой, отличной от требуемой, необходимо предварительно выполнить передискретизацию аудиосигнала.
5.4 Алгоритмы компрессии следует различать по степени сжатия, выражаемой через коэффициент сжатия. Коэффициент сжатия определяют как отношение объема исходных несжатых данных к объему сжатых данных [порядок расчета данной метрики выполняют в соответствии с
А.4 (приложение А)].
В зависимости от значения коэффициента сжатия алгоритмы компрессии аудиоданных подразделяют на:
- алгоритмы с высокой степенью сжатия - коэффициент сжатия более 42;
- алгоритмы со средней степенью сжатия - коэффициент сжатия от 15 до 42 включительно;
- алгоритмы с низкой степенью сжатия - коэффициент сжатия менее 15.
6 Методы оценки алгоритмов компрессии
6.1 Общее описание методов оценки
Общая схема работы ЦСОТ при использовании алгоритмов компрессии и декомпрессии представлена на рисунке 1.
Рисунок 1 - Общая схема работы ЦСОТ
Аналоговые аудиоданные подвергают аналогово-цифровому преобразованию, в результате которого получают оцифрованные аудиоданные с определенной частотой дискретизации и количеством битов на одно дискретное оцифрованное значение. На компьютере оцифрованные аудиоданные следует хранить в одном из форматов хранения оцифрованных аудиоданных.
Оцифрованные аудиоданные подвергают компрессии, в результате которой формируют сжатые аудиоданные.
Сжатые аудиоданные используют для хранения архива или для передачи по сети, после чего их подвергают декомпрессии. В результате декомпрессии сжатых аудиоданных получают восстановленные аудиоданные, которые используют для воспроизведения оператору и подают на вход программным модулям анализа аудиоданных.
В соответствии с представленной общей схемой работы ЦСОТ классификацию алгоритмов компрессии оцифрованных аудиоданных осуществляют путем оценки метрик качества восстановленных аудиоданных от исходных оцифрованных аудиоданных. В зависимости от особенностей технической реализации конкретной ЦСОТ существует два метода оценки: с разделением оцифрованных аудиоданных и с разделением аудиоданных.
Перед оценкой значений метрик качества оба аудиосигнала (исходный и восстановленный) должны быть преобразованы в сигналы с частотой дискретизации 44100 и 48000 Гц. Для указанных частот количество бит, приходящееся на одно дискретное оцифрованное значение, должно быть равным 16.
6.1.1 Метод оценки алгоритма компрессии на основе разделения оцифрованных аудиоданных
Для применения данного метода техническая реализация ЦСОТ должна позволять получить оцифрованные аудиоданные до их обработки алгоритмами компрессии и декомпрессии.
Рисунок 2 - Общая схема реализации метода оценки
на основе разделения оцифрованных аудиоданных
Общая схема реализации метода оценки алгоритма на основе разделения оцифрованных аудиоданных представлена на
рисунке 2.
Оценку алгоритма выполняют в последовательности:
- на вход испытуемой ЦСОТ подают последовательные аудиоданные;
- оцифрованные и восстановленные аудиоданные сохраняют на устройствах хранения;
- выполняют расчет значений метрик качества и осуществляют классификацию алгоритма компрессии по
таблице 1. Описания метрик приведены в
6.2 -
6.5. Метрики должны быть рассчитаны в соответствии с
приложением А.
6.1.2 Метод оценки алгоритма компрессии на основе разделения аудиоданных
Метод оценки алгоритма компрессии на основе разделения аудиоданных следует применять в случае, если техническая реализация ЦСОТ не позволяет применять метод оценки на основе разделения оцифрованных аудиоданных. Применение данного метода требует наличия дополнительной ЦСОТ в составе испытательного стенда, которая предназначена для сохранения оцифрованных аудиоданных.
Общая схема реализации метода оценки на основе разделения аудиоданных представлена на
рисунке 3.
Оценку алгоритма компрессии выполняют в последовательности:
- на вход испытуемой ЦСОТ подают последовательные аудиоданные, которые автоматически дублируются на другую ЦСОТ посредством делителя аудиосигнала, являющегося элементом испытательного стенда;
- восстановленные аудиоданные сохраняют на устройствах хранения ЦСОТ;
- оцифрованные аудиоданные сохраняют на устройствах хранения с использованием возможностей второй ЦСОТ (из состава испытательного стенда);
- выполняют расчет значений метрик качества и осуществляют классификацию алгоритма компрессии по
таблице 1. Описания метрик приведены в
6.2 -
6.5. Метрики должны быть рассчитаны в соответствии с
приложением А.
Рисунок 3 - Общая схема реализации метода оценки
алгоритма компрессии на основе разделения аудиоданных
6.2.1 Метрика PEAQ предназначена для оценки качества обработанного сигнала относительно исходного с учетом слуховых особенностей человека (психоакустической модели). Метрика должна быть рассчитана в соответствии с
А.1 (приложение А).
6.2.2 Для расчета метрики PEAQ к аудиосигналам предъявляют следующие требования:
- исходный и восстановленный аудиосигналы должны иметь частоту дискретизации равную 48000 Гц. Для сигналов с частотой отличной от указанной необходимо предварительно выполнить передискретизацию аудиосигнала;
- исходный и восстановленный аудиосигналы должны иметь одинаковую длину, т.е. состоять из одного и того же количества оцифрованных значений.
6.3.1 Метрика PSNR выражает количественную характеристику отношения энергии шума (искажений), вносимого процессом кодирования, к максимально возможной энергии исходного сигнала. Значения метрики PSNR измеряют в децибелах. Метрика должна быть рассчитана в соответствии с
А.2 (приложение А).
6.3.2 Для расчета метрики PSNR к аудиосигналам предъявляют следующие требования:
- исходный и восстановленный аудиосигналы должны иметь частоту дискретизации равную 44100 Гц. Для сигналов с частотой, отличной от указанной, необходимо предварительно выполнить передискретизацию аудиосигнала;
- если исходный и восстановленный аудиосигналы многоканальные, то используют только один канал исходного аудиосигнала и соответствующий ему один канал восстановленного аудиосигнала.
6.4 Метрика "коэффициент различия форм сигналов"
6.4.1 Разница соседних последовательных значений амплитуд исходного аудиосигнала, полученных в результате импульсно-кодовой модуляции, и разница соседних последовательных значений амплитуд восстановленного аудиосигнала определяют соответственно форму исходного аудиосигнала и форму восстановленного аудиосигнала в последовательные моменты времени. Конечное значение метрики "коэффициента различия форм сигналов" подсчитывают как суммарную среднеквадратичную ошибку между формой исходного аудиосигнала и формой восстановленного аудиосигнала. Метрика должна быть рассчитана в соответствии с
А.3 (приложение А).
6.4.2 Для расчета метрики "коэффициент различия форм сигналов" к аудиосигналам предъявляют следующие требования:
- исходный и восстановленный аудиосигналы должны иметь частоту дискретизации равную 44100 Гц. Для сигналов с частотой, отличной от указанной, необходимо предварительно выполнить передискретизацию аудиосигнала;
- если исходный и восстановленный аудиосигналы многоканальные, то для расчета метрики используют только один канал исходного аудиосигнала и соответствующий ему один канал восстановленного аудиосигнала.
6.5 Метрика "коэффициент сжатия"
6.5.1 Метрика "коэффициент сжатия" предназначена для характеристики качества алгоритма компрессии с точки зрения уменьшения объема занимаемой исходными аудиоданными памяти после их обработки алгоритмом сжатия. Метрика должна быть рассчитана в соответствии с
А.4 (приложение А).
7 Методы сравнения алгоритмов компрессии оцифрованных аудиоданных
7.1 Два и более алгоритмов компрессии сравнимы друг с другом, если они принадлежат одному и тому же классу в соответствии с
таблицей 1.
7.2 Из двух и более сравниваемых алгоритмов компрессии лучшим признают алгоритм, обеспечивающий лучшие значения хотя бы двух из трех метрик, приведенных в
таблице 1. Лучшим значением метрики признают большее значение - для метрик PSNR и PEAQ и меньшее значение - для метрики "коэффициент различия форм сигналов". Если сравниваемые алгоритмы имеют одинаковые значения метрик качества, приведенных в
таблице 1, то лучшим считают алгоритм с наибольшей степенью сжатия, определяемой коэффициентом сжатия по
6.5.
(обязательное)
МАТЕМАТИЧЕСКОЕ ОПИСАНИЕ АЛГОРИТМОВ РАСЧЕТА МЕТРИК
ОЦЕНКИ КАЧЕСТВА АЛГОРИТМОВ КОМПРЕССИИ АУДИОДАННЫХ
А.1 Алгоритм расчета метрики PEAQ
А.1.1 Обозначения, используемые в алгоритме:
Fs = 48000 Гц - частота дискретизации сигналов;
NF = 2048 - количество оцифрованных значений сигнала, определяющих длину звукового фрагмента (размер фрейма);
x[
n] - оцифрованные данные фрейма, где
n - целое число, представляющее собой индекс конкретного значения амплитуды сигнала внутри звукового фрагмента (фрейма),

;
покадровый шаг вперед: NF/2 = 1024, таким образом перекрытие фреймов составляет 50%;
Fss = Fs/1024 - частота выборки кадров с учетом покадрового шага;
Nc = 109 - количество частотных полос фильтрации.
А.1.2 Расчет метрики должен состоять из пяти этапов:
I - предварительная обработка сигналов;
II - обработка образов;
III - расчет выходных значений психоакустической модели;
IV - нормирование значений выходных переменных психоакустической модели;
V - оценка качества восстановленного сигнала с помощью искусственной нейронной сети.
А.1.2.1 Предварительная обработка сигналов
А.1.2.1.1 Применение оконного преобразования
Исходные оцифрованные данные разбивают на фреймы. Оцифрованные данные каждого фрейма подвергают масштабированному оконному преобразованию Ханна, hw, по формуле

(А.1)
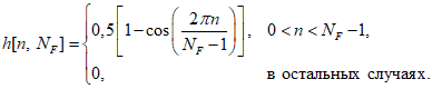
где h[n, NF] - функция, рассчитываемая по формуле

(А.2)
Переход в частотную область осуществляют путем применения дискретного преобразования Фурье (ДПФ) X[k] по формуле

(А.3)
где 0 <= k <= NF - 1;
j - мнимая единица.
А.1.2.1.2 Модель наружного и среднего уха
Частотную характеристику наружного и среднего уха W(f) вычисляют по формуле

(А.4)
| | ИС МЕГАНОРМ: примечание. Обозначение дано в соответствии с официальным текстом документа. | |
где f - частота, заданная в кГц, а AaB(f) вычисляют по формуле

(А.5)
По
формуле (А.4) вектор весовых коэффициентов
W[
k] вычисляют следующим образом:

(А.6)
где

.
Используя веса, рассчитанные по
формуле (А.6), вычисляют взвешенную энергию ДПФ |
Xw[
k]|
2 по формуле:

(А.7)
где

;
GL = 2,794·10-3.
А.1.2.1.3 Разложение критической полосы слуха
Для преобразования частоты сигнала в высоту звука используют шкалу Барка. Расчет следует производить по формуле (А.8), для обратного преобразования - по
формуле (А.9)
z = B(f) = 7 asinh (f/650), (А.8)
где z - высота звука, измеряемая в Барках.
f =
B-1(
z) = 650sinh(
z/7). (А.9)
Полосы частот определяют заданием нижней, центральной и верхней частот каждой полосы и их значение по шкале Барка определяют по формулам

(А.10)

(А.11)

(А.12)
где

;
zL = B(fL);
zU = B(fU);
fL = 80 Гц;
FU = 18 кГц.
Обратное преобразование выполняют по формулам
fl[i] = B-1(zl[i]), (А.13)
fc[i] = B-1(zc[i]), (А.14)
fu[i] = B-1(zu[i]), (А.15)
где i = 1, 2, ..., Nc = 109.
Вклад энергии от k-ой основной частоты ДПФ U[i, k] для i-й полосы частот вычисляют по формуле

(А.16)
Энергию i-й полосы частот Ea[i] вычисляют по формуле

(А.17)
где Ul[i] = U[i, kl[i]];
Uu[i] = U[i, ku[i]].
Конечную формулу энергии i-й полосы частот Eb[i] вычисляют по формуле
Eb[i] = max(Ea[i], Emin), (А.18)
где Emin = 1·10-12.
А.1.2.1.4 Внутренний шум уха
Для компенсации внутренних шумов в самом ухе, следует ввести надбавочное значение EIN[i] для энергии каждой полосы частот, E[i]:
E[
i] =
Eb[
i] +
EIN[
i], (А.19)
где внутренний шум EIN[i] моделируют следующим образом:

(А.20)
Энергии E[i] - образы высоты.
А.1.2.1.5 Энергия распространения в пределах одного фрейма
Характеристику энергии распространения в шкале Барка Es[i] рассчитывают по формуле

(А.21)
где Bs[i] - характеристика, рассчитываемая по формуле

(А.22)
где
E[
i] - надбавочные значения энергий из
(А.19);
E[0] устанавливают равным 1;
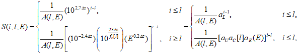
S(i, l, E) - характеристика, рассчитываемая по формуле

(А.23)
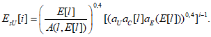
где (для упрощения записи выражения)

;

;

;

.
Тогда A-1(l, E) преобразуется по формуле

(А.24)

(А.25)
где i = Nc - 2, ..., 0.

(А.26)

(А.27)
Энергии Es[i] в дальнейшем в тексте стандарта - образы нераспространенных возбуждений.
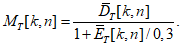
А.1.2.1.6 Фильтрация энергии
Фильтрацию энергии вычисляют по формулам

(А.28)

(А.29)
где n - индекс фрейма (фреймы проиндексированы, начиная с n = 0);

- постоянная времени для угасающей энергии. Начальное условие для фильтрации:
Ef[
i, -1] = 0;

- конечные значения (образы возбуждений в дальнейшем).
А.1.2.1.7 Постоянные времени
Постоянную времени

для фильтрации
i-й полосы вычисляют по формуле

(А.30)
где

;

.
Постоянную времени для угасающей энергии

следует вычислять по формуле

(А.31)
На
рисунке А.1 приведена схема предварительных вычислений.
Рисунок А.1 - Схема предварительных вычислений
Индексами R и T обозначают исходный и восстановленный аудиосигналы соответственно. Индексом k обозначают индекс полосы частот (всего 109 полос частот), а индексом n - номер фрейма. Для рекуррентных формул на этом этапе и этапе III всегда выбирают нулевые начальные условия.
А.1.2.2 Обработка образов
А.1.2.2.1 Обработка образов возбуждений
Входными данными для этой стадии вычислений являются образы возбуждений

и

, рассчитываемые по
формулам (А.28) и
(А.29) для исходного и восстановленного аудиосигналов соответственно.
Коррекция образов возбуждений
Сначала осуществляют фильтрацию для обоих аудиосигналов по формулам

(А.32)

(А.33)
Начальное условие для фильтрации выбирают равным 0.
Далее вычисляют коэффициент коррекции, CL[n]:

(А.34)
Образы возбуждений, ELR[k, n] и ELT[k, n], корректируют по формулам

(А.35)

(А.36)
Адаптация образов возбуждений
Используя те же постоянные времени и начальные условия, что и при коррекции образов возбуждений, выходные сигналы, рассчитанные по
формулам (А.35) и
(А.36), сглаживают в соответствии с формулами

(А.37)

(А.38)
На основе соотношения между рассчитанными в
формулах (А.37) и (А.38) значениями вычисляют пару вспомогательных сигналов:

(А.39)

(А.40)
Если в
формулах (А.39) и (А.40) числитель и знаменатель равны нулю, то необходимо выполнить действия:
RT[k, n] = RT[k-1, n] и RR[k, n] = RR[k-1, n]. (А.41)
Если k = 0, то RT[k, n] = RR[k, n] = 1. (А.42)
С целью формирования множителей для коррекции образов вспомогательные сигналы подвергают фильтрации с использованием тех же постоянных времени и начального условия, что и в
формулах (А.32) и
(А.33):

(А.43)

(А.44)
где

(А.45)

(А.46)
M1[k] = min (3, k), M2[k] = min(4, Nc - 1 - k). (А.47)
| | ИС МЕГАНОРМ: примечание. Обозначения даны в соответствии с официальным текстом документа. | |
Конечным результатом этой стадии обработки, на основе
формул (А.43) и
(А.44) получают спектрально адаптированные образы,
EPT[
k,
n] и
TPR[
k,
n], по формулам
EPT[k, n] = ELT[k, n]PCT[k, n], (А.48)
EPR[k, n] = ELR[k, n]PCR[k, n]. (А.49)
А.1.2.2.2 Обработка образов модуляции
Входными данными для этой стадии вычислений являются образы нераспространенных возбуждений
EsR[
k,
n] и
EsT[
k,
n], которые рассчитывают по
формуле (А.21) для исходного и восстановленного аудиосигналов соответственно. Вычисляют меры модуляций огибающих спектра.
Предварительно вычисляют среднюю громкость

и

по формулам

(А.50)

(А.51)
Далее необходимо вычислить разности

и

:

(А.52)

(А.53)
Постоянные времени и начальные условия используют те же самые, что и в
А.1.2.2.1.
Меры модуляции огибающих спектра вычисляют по формулам

(А.54)

(А.55)
А.1.2.2.3 Вычисление громкости
Образы громкости вычисляют в соответствии с формулами

(А.56)

(А.57)
где c = 1,07664.

(А.58)

(А.59)
EtdB(f) = 3,64·(f/1000)-0,8, (А.60)

(А.61)
Общие громкости для обоих сигналов вычисляют по формулам

(А.62)

(А.63)
А.1.2.3 Расчет выходных значений психоакустической модели
А.1.2.3.1 Общее описание процесса расчета параметров
Выходные характеристики из
А.1.2.1 используют для вычисления выходных характеристик
А.1.2.2 в соответствии со схемой, приведенной на рисунке А.2.
Рисунок А.2 - Схема обработки образов
Значения из
А.1.2.2 используют для вычисления выходных значений переменных психоакустической модели (см. таблицу А.1 и
рисунок А.3).
Рассчитывают значения 11 переменных психоакустической модели. Наименование и краткое описание переменных психоакустической модели приведены в таблице А.1.
Таблица А.1
Выходные переменные психоакустической модели
Наименования выходной переменной модели | Описание |
BandwidthRefB | Ширина полосы исходного аудиосигнала |
BandwidthTestB | Ширина полосы восстановленного аудиосигнала |
TotalNMRB | Отношение уровня шума к порогу маскирования |
WinModDiff1B | Оконная разница модуляций |
ADBB | Среднее поблочное искажение |
EHSB | Гармоническая структура ошибки |
AvgModDiff1B | Средняя разница модуляции 1 |
AvgModDiff2B | Средняя разница модуляции 2 |
RmsNoiseLoudB | Громкость шума |
MFPDB | Максимальная вероятность обнаружения искажения |
RelDistFramesB | Относительное искажение фреймов |
Рисунок А.3 - Схема вычисления значений выходных
переменных психоакустической модели
Для двухканальных аудиосигналов значения переменных для каждого канала следует рассчитывать отдельно, а затем усреднять. Значения всех переменных (кроме значений переменных ADBB и MFPDB) для каждого канала сигнала рассчитывают независимо от второго канала.
Все значения выходных переменных модели получают путем усреднения по всем фреймам функций времени и частоты, введенных на предыдущем шаге (в результате имеем скалярное значение).
Значения, которые будут усреднены, должны лежать в границах, определяемых следующим условием: начало или конец данных, которые будут подвержены усреднению, определяют как первую позицию с начала или с конца последовательности значений амплитуд аудиосигнала, для которой сумма пяти последовательных абсолютных значений амплитуд превышает 200 в любом из аудио каналов. Фреймы, которые лежат вне этих границ, следует игнорировать при усреднении. Значение порога 200 используют в случае, если амплитуды входных аудиосигналов нормализованы в диапазоне от минус 32768 до плюс 32767. В противном случае значение порога Ath вычисляют следующим образом:

(А.64)
где Amax - максимальное значение амплитуды аудиосигнала.
В дальнейшем индекс фрейма n начинается с нуля для первого фрейма, удовлетворяющего условиям проверки границ с порогом Ath, и отсчитывает число фреймов N вплоть до последнего фрейма, удовлетворяющего вышеприведенному условию.
А.1.2.3.2 Оконная разница модуляций 1 (WinModDiff1B)
Вычисляют мгновенную разницу модуляций,

, по формуле

(А.65)
Значение мгновенной разницы модуляций усредняют по всем полосам частот Nc в соответствии со следующей формулой

(А.66)
Конечное значение выходной переменной получают усреднением формулы (А.66) со скользящим окном L = 4 (85 мс, так как каждый шаг равен 1024 оцифрованных значений):

(А.67)
При этом применяют усреднение с задержкой - первые 0,5 с сигнала не участвуют в вычислениях. Количество пропускаемых фреймов составляет:

(А.68)
В формуле (А.68) операция

означает отбрасывание дробной части.
В
формуле (А.67) индекс фреймов включает только фреймы, которые идут после задержки величиной 0,5 с.
А.1.2.3.3 Средняя разница модуляций 1 (WinModDiff1B)
Значение данной выходной переменной психоакустической модели

вычисляют по формуле

(А.69)
где

(А.70)
Для вычисления этого значения также применяют усреднение с задержкой.
А.1.2.3.4 Средняя разница модуляций 2 (WinModDiff2B)
Сначала вычисляют значение мгновенной разницы модуляций по формуле

(А.71)
Затем вычисляют усредненное по полосам частот значение разности модуляций:

(А.72)
Конечное значение переменной психоакустической модели

вычисляют по формулам (А.73) и
(А.74)

(А.73)
где

(А.74)
При вычислении этого значения также применяют усреднение с задержкой.
А.1.2.3.5 Громкость шума (RmsNoiseLoudB)
Значение мгновенной громкости шума рассчитывают по формуле

(А.75)
где

(А.76)
где E0 = 1.
SR[k, n] = T0MR[k, n] + S0; (А.77)
ST[k, n] = T0MT[k, n] + S0; (А.78)

(А.79)
где

;
T0 = 0,15;
S0 = 0,5.
Если мгновенная громкость менее 0, ее устанавливают равной 0:

(А.80)
Значение конечной выходной переменной психоакустической модели NLrmsB находят усреднением мгновенной громкости по формуле (А.81):

(А.81)
Для вычисления этого значения применяют усреднение с задержкой. Совместно с усреднением с задержкой используют порог громкости для нахождения значения мгновенной громкости шума, начиная с которого выполняют процесс усреднения. Таким образом, усреднение начинают с первого значения, определяемого условием превышения порога громкости, но не позднее 0,5 с от начала сигнала (в соответствии с усреднением с задержкой).
Условие превышения порога громкости
Значения мгновенной громкости шума в начале обоих сигналов (исходного и восстановленного) игнорируют до тех пор, пока не пройдет 50 мс после того, как значение общей громкости превысит в обоих каналах одного из сигналов значение порога, равное 0,1.
Условие превышения порога имеет вид:

(А.82)
где Lt = 0,1.
Количество пропускаемых после превышения порога фреймов Noff рассчитывают по формуле (А.83)
Noff = 0,05Fss. (А.83)
А.1.2.3.6 Ширина полос исходного и восстановленного аудиосигналов (BandwidthRefB и BandwidthTestB)
Операции вычислений ширины полос исходного и восстановленного аудиосигналов описывают в терминах операций на выходных значениях ДПФ, выраженных в децибелах. Прежде всего для каждого фрейма выполняют следующие операции:
- для восстановленного сигнала: находят самую большую компоненту после частоты 21600 Гц. Это значение называют уровнем порога;
- для исходного сигнала: выполняя поиск вниз, начиная с частоты 21600 Гц, находят первое значение, которое превышает значение уровня порога на 10 дБ. Соответствующую этому значению частоту называют шириной полосы для исходного сигнала;
- для восстановленного сигнала: выполняя поиск вниз, начиная со значения ширины полосы исходного сигнала, находят первое значение, которое превышает значение уровня порога на 5 дБ. Обозначают соответствующую этому значению частоту как ширину полосы для восстановленного сигнала.
Если найденные частоты для исходного сигнала не превышают 8100 Гц, то ширину полосы для этого фрейма игнорируют.
Значения ширин полос для всех фреймов называют основными частотами ДПФ.
Основную частоту ДПФ для n-го фрейма обозначают как KR[n]для исходного сигнала и как KT[n] - для восстановленного сигнала. Вычисление конечных значений переменных психоакустической модели, значений ширин полос исходного и восстановленного сигналов необходимо выполнять по следующим формулам соответственно:

(А.84)

(А.85)
где суммирование осуществляют только для тех фреймов, в которых основная частота ДПФ превышает 8100 Гц.
А.1.2.3.7 Отношение уровня шума к порогу маскирования (TotalNMRB)
Порог маскирования M[k, n] вычисляют по формуле (А.86)

(А.86)
где

(А.87)
Уровень шума,

, вычисляют по формуле (А.88)
| | ИС МЕГАНОРМ: примечание. Формула дана в соответствии с официальным текстом документа. | |

(А.88)
где k - индекс основной частоты ДПФ.
Отношение уровня шума к порогу маскирования в k-й полосе частот выражают формулой (А.89)

(А.89)
Конечное отношение уровня шума к порогу маскирования RNMtot, дБ, вычисляют по формуле (А.90)

(А.90)
А.1.2.3.8 Относительное искажение фреймов (RelDistFramesB)
Максимальное отношение шума к порогу маскирования фрейма RN max[n] вычисляют по формуле (А.91):

(А.91)
Искаженным считают тот фрейм, в котором максимальное отношение шума к порогу маскирования более 1,5 дБ.
Конечное значение выходной переменной психоакустической модели представляет собой отношение количества искаженных фреймов к общему количеству фреймов.
А.1.2.3.9 Максимальная вероятность обнаружения искажения (MFPDB)
Сначала вычисляют асимметричное возбуждение:

(А.92)
где

(А.93)
Далее вычисляют шаг для обнаружения искажения, s[k, n], по формуле

(А.94)
где

(А.95)
Вероятность обнаружения вычисляют по формуле

(А.96)
где показатель степени b вычисляют по формуле

(А.97)
Затем вычисляют количество шагов сверх порога вероятности обнаружения, qc[k, n], по формуле

(А.98)
Характеристики по
формулам (А.96) и (А.98) вычисляют для каждого канала сигнала. Для каждой частоты и времени полную вероятность обнаружения и полное число шагов сверх порога выбирают как большее значение из всех каналов:

(А.99)

(А.100)
где индексы 1 и 2 - номера каналов.
Для одноканальных сигналов характеристики вычисляют по формулам (А.101) и (А.102):

(А.101)

(А.102)
Выполняют следующие вычисления:

(А.103)
где c0 = 0,9 и начальное условие - нулевое.
Максимальную вероятность обнаружения искажения

вычисляют по рекуррентной формуле

(А.104)
Конечное значение выходной переменной психоакустической модели MFPDB рассчитывают по формуле (А.105)

(А.105)
А.1.2.3.10 Среднее поблочное искажение (ADBB)
Сначала вычисляют сумму общего числа шагов сверх порога обнаружения Qs по формуле

(А.106)
Причем суммирование ведут для всех значений, для которых Pb[n] > 0,5.
Конечная характеристика ADBB имеет вид:

(А.107)
А.1.2.3.11 Гармоническая структура ошибки (EHSB)
Выходы ДПФ для исходного и восстановленного сигналов обозначают как XR[k] и XT[k] соответственно.
Вычисляют характеристику D[k]:

(А.108)
Формируют вектор длины M из значений D[k]:
Di = (D[i], ..., D[i + M - 1])T, (А.109)
где

.
Нормализованную автокорреляцию вычисляют по формуле (А.110)

(А.110)
где

.
При C[l] = C(l, 0) необходимо вычислить:

(А.111)
При вычислении по
формуле (А.110) в случае, если сигналы равны, необходимо установить нормализованную автокорреляцию равной единице, чтобы избежать деления на ноль.
Вводят оконную функцию:

(А.112)
К нормализованной автокорреляции применяют оконное преобразование по формуле (А.113)

(А.113)
где

(А.114)
Спектр мощности S[k] вычисляют по формуле (А.115)

(А.115)
Поиск максимального пика спектра мощности начинают с k = 1 и заканчивают при S[k] > S[k-1] или k > Lmax/2. Найденное значение максимального пика обозначают как EH max[n]. Тогда конечное значение выходной переменной психоакустической модели рассчитывают по формуле (А.116)

(А.116)
При вычислении этого значения исключают фреймы с низкой энергией. Для определения фреймов с низкой энергией вводят пороговое значение

(А.117)
где Amax = 32768 для амплитуд, хранимых в виде 16 битного целого числа.
Энергию фрейма A2 оценивают по формуле (А.118):

(А.118)
При вычислении гармонической структуры ошибки фрейм игнорируют, если:

(А.119)
А.1.2.4 Нормирование значений выходных переменных психоакустической модели
Нормирование полученных на предыдущем шаге значений выходных переменных психоакустической модели выполняют по формуле (А.120)

(А.120)
где

- значение
i-й выходной переменной психоакустической модели, а значения
amin[
i] и
amax[
i] приведены в таблице А.2.
Таблица А.2
Константы для нормирования значений выходных
переменных психоакустической модели
Индекс переменной, i | Наименование переменной | Минимальное значение amin[i] | Максимальное значение amax[i] |
0 | BandwidthRefB | 393,916656 | 921,0 |
1 | BandwidthTestB | 361,965332 | 881,131226 |
2 | TotalNMRB | -24,045116 | 16,212030 |
3 | WinModDiff1B | 1,110661 | 107,137772 |
4 | ADBB | -0,206623 | 2,886017 |
5 | EHSB | 0,074318 | 13,933351 |
6 | AvgModDiff1B | 1,113683 | 63,257874 |
7 | AvgModDiff2B | 0,950345 | 1145,018555 |
8 | RmsNoiseLoudB | 0,029985 | 14,819740 |
9 | MFPDB | 0,000101 | 1,0 |
10 | RelDistFramesB | 0,0 | 1,0 |
А.1.2.5 Оценка качества восстановленного сигнала с помощью искусственной нейронной сети
На вход нейронной сети подают значения 11 выходных переменных психоакустической модели, рассчитанных в
А.1.2.1 -
А.1.2.4. Нейронная сеть имеет 11 нейронов во входном слое, один скрытый слой с тремя нейронами и один нейрон в выходном слое. Выход нейронной сети - конечное значение метрики PEAQ рассчитывают по формуле (А.121)
PEAQ = bmin + (bmax + bmin)sig(DI), (А.121)
где bmin = -3,98 и bmax = 0,22, а функция sig(x) - асимметричная сигмоида:

(А.122)
Значение DI вычисляют следующим образом:

(А.123)
где

- нормализованное значение
i-й выходной переменной,
I - количество выходных переменных (равное 11),
J - количество нейронов в скрытом слое (равное трем), [
wx[
i,
j],
wxb[
j],
wy[
j],
wyb - значения весов и смещений нейронной сети, приведенные в таблицах А.3 -
А.5.
Таблица А.3
Веса нейронной сети
Индекс i | Вес wx[i, 0] | Вес wx[i, 1] | Вес wx[i, 2] |
0 | -0,502657 | 0,436333 | 1,219602 |
1 | 4,307481 | 3,246017 | 1,123743 |
2 | 4,984241 | 2,211189 | -0,192096 |
3 | 0,0511056 | -1,762424 | 4,331315 |
4 | 2,321580 | 1,789971 | -0,754560 |
5 | -5,303901 | -3,452257 | -10,814982 |
6 | 2,730991 | -6,111805 | 1,519223 |
7 | 0,624950 | -1,331523 | -5,955151 |
8 | 3,10288 | 0,871260 | -5,922878 |
9 | -1,051468 | -0,939882 | -0,142913 |
10 | -1,804679 | -0,503610 | 0,620456 |
Таблица А.4
Смещения нейронной сети
Bias wyb | Bias wxb[0] | Bias wxb[1] | Bias wxb[2] |
-0,307594 | -2,518254 | 0,654841 | -2,207228 |
Таблица А.5
Веса и смещения нейронной сети
Индекс j | Вес wy[j] |
0 | -3,817048 |
1 | 4,017138 |
2 | 4,629582 |
Это значение метрики (PEAQ) представляет собой вещественное число, принадлежащее отрезку [-3,98; 0,22].
А.2 Алгоритм расчета метрики PSNR
Пиковое отношение сигнал/шум между исходным аудиосигналом XR и восстановленным XT рассчитывают по формулам:

(А.124)

(А.125)
где разности значений сигналов
di и их математическое ожидание

рассчитывают по формулам:

,

, (А.126)
где

и

-
i-е оцифрованные значения исходного и восстановленного аудиосигналов соответственно,
i = 1, 2, ...,
n;
max XR - максимальное значение среди оцифрованных значений исходного аудиосигнала.
А.3 Алгоритм расчета метрики "коэффициент различия форм сигналов"
Пусть XR - исходный моноканальный аудиосигнал (либо один канал исходного многоканального аудиосигнала), а XT - восстановленный моноканальный аудиосигнал (либо один канал восстановленного многоканального аудиосигнала). Оба сигнала состоят из одинакового количества значений N.
Массивы значений амплитуд сигналов XR и XT представляют в виде относительного изменения значений амплитуд сигнала:

(А.127)

(А.128)
Значение метрики "коэффициент различия форм сигналов" K вычисляют как среднеквадратическое отклонение массивов значений амплитуд dXR и dXT

(А.129)
А.4 Алгоритм расчета коэффициента сжатия
Пусть S0 - объем памяти, который занимают исходные аудиоданные, а Sc - объем памяти, который занимают сжатые данные, тогда коэффициент сжатия k рассчитывают по формуле

(А.130)
(рекомендуемое)
ЛИСТИНГИ ПРОГРАММ РАСЧЕТА МЕТРИК КАЧЕСТВА АУДИОДАННЫХ
Б.1 Листинг программы расчета метрики PEAQ на языке Matlab
function ODG = PQevalAudio (Fref, Ftest, StartS, EndS)
% Оценка качества аудиоданных с точки зрения восприятия (Perceptual evaluation of audio quality)
% - StartS - индекс значения, соответствующего началу сигнала.
% - EndS - индекс значения, соответствующего концу сигнала.
% глобальные переменные
global MOVC PQopt
% параметры
NF = 2048;
Nadv = NF/2;
Version = 'Basic';
% настройки
PQopt.ClipMOV = 0;
PQopt.PCinit = 0;
PQopt.PDfactor = 1;
PQopt.Ni = 1;
PQopt.DelayOverlap = 1;
PQopt.DataBounds = 1;
PQopt.EndMin = NF/2;
addpath ('CB', 'MOV, 'Misc', 'Patt');
if (nargin < 3)
StartS = [0, 0];
end
if (nargin < 4)
EndS = [];
end
% вычислить количество значений и каналов для каждого входного файла
WAV(1) = PQwavFilePar (Fref);
WAV(2) = PQwavFilePar (Ftest);
% согласовать размеры файлов
PQ_CheckWAV (WAV);
if (WAV(1).Nframe ~= WAV(2).Nframe)
disp ('>>> Number of samples differ: using the minimum');
end
% границы данных
Nchan = WAV(1).Nchan;
[StartS, Fstart, Fend] = PQ_Bounds (WAV, Nchan, StartS, EndS, PQopt);
% фреймов PEAQ
Np = Fend - Fstart + 1;
if (PQopt.Ni < 0)
PQopt.Ni = ceil (Np/abs(PQopt.Ni));
end
% инициализация структуры MOV
MOVC = PQ_InitMOVC (Nchan, Np);
Nc = PQCB (Version);
for (j = 0:Nchan-1)
Fmem(j+1) = PQinitFMem (Nc, PQopt.PCinit);
end
is = 0;
for (i = -Fstart:Np-1)
% считать фрейм данных
xR = PQgetData (WAV(1), StartS(1) + is, NF); % Reference file
xT = PQgetData (WAV(2), StartS(2) + is, NF); % Test file
is = is + Nadv;
% обработка фрейма
for (j = 0:Nchan-1)
[MOVI(j+1), Fmem(j+1)] = PQeval (xR(j+1,:), xT(j+1,:), Fmem(j+1));
end
if (i >= 0)
% вывести MOV в новую структуру
PQframeMOV (i, MOVI); % выходные значения теперь в глобальной переменной MOVC
% вывод значений
if (PQopt.Ni ~= 0 & mod (i, PQopt.Ni) == 0)
% PQprtMOVCi (Nchan, i, MOVC);
end
end
end
% усреднение по времени значений MOV
if (PQopt.DelayOverlap)
Nwup = Fstart;
else
Nwup = 0;
end
MOVB = PQavgMOVB (MOVC, Nchan, Nwup);
% запуск нейронной сети
ODG = PQnNet (MOVB);
% совокупный вывод значений
% PQprtMOV (MOVB, ODG);
%----------
function PQ_CheckWAV (WAV)
% проверка файлов
Fs = 48000;
if (WAV(1).Nchan ~= WAV(2).Nchan)
error ('>>> Number of channels differ');
end
if (WAV(1).Nchan > 2)
error ('>>> Too many input channels');
end
if (WAV(1).Nframe ~= WAV(2).Nframe)
disp ('>>> Number of samples differ');
end
if (WAV(1).Fs ~= WAV(2).Fs)
error ('>>> Sampling frequencies differ');
end
if (WAV(1).Fs ~= Fs)
error ('>>> Invalid Sampling frequency: only 48 kHz supported');
end
%----------
function [StartS, Fstart, Fend] = PQ_Bounds (WAV, Nchan, StartS, EndS, PQopt)
PQ_NF = 2048;
PQ_NADV = (PQ_NF/2);
if (isempty (StartS))
StartS(1) = 0;
StartS(2) = 0;
elseif (length (StartS) == 1)
StartS(2) = StartS(1);
end
Ns = WAV(1).Nframe;
% границы данных
if (PQopt.DataBounds)
Lim = PQdataBoundary (WAV(1), Nchan, StartS(1), Ns);
fprintf ('PEAQ Data Boundaries: %ld (%.3f s) - %ld (%.3f s)\n', ...
Lim(1), Lim(1)/WAV(1).Fs, Lim(2), Lim(2)/WAV(1).Fs);
else
Lim = [StartS(1), StartS(1) + Ns - 1 ];
end
% номер первого фрейма
Fstart = floor ((Lim(1) - StartS(1))/PQ_NADV);
% номер последнего фрейма
Fend = floor ((Lim(2) - StartS(1) + 1 - PQopt.EndMin)/PQ_NADV);
%----------
function MOVC = PQ_InitMOVC (Nchan, Np)
MOVC.MDiff.Mt1B = zeros (Nchan, Np);
MOVC.MDiff.Mt2B = zeros (Nchan, Np);
MOVC.MDiff.Wt = zeros (Nchan, Np);
MOVC.NLoud.NL = zeros (Nchan, Np);
MOVC.Loud.NRef = zeros (Nchan, Np);
MOVC.Loud.NTest = zeros (Nchan, Np);
MOVC.BW.BWRef = zeros (Nchan, Np);
MOVC.BW.BWTest = zeros (Nchan, Np);
MOVC.NMR.NMRavg = zeros (Nchan, Np);
MOVC.NMR.NMRmax = zeros (Nchan, Np);
MOVC.PD.Pc = zeros (1, Np);
MOVC.PD.Qc = zeros (1, Np);
MOVC.EHS.EHS = zeros (Nchan, Np);
__________________________________________________________________
function ODG = PQnNetB (MOV)
% нейронная сеть для получения конечного значения метрики
persistent amin amax wx wxb wy wyb bmin bmax I J CLIPMOV
global PQopt
if (isempty (amin))
I = length (MOV);
if (I == 11)
[amin, amax, wx, wxb, wy, wyb, bmin, bmax] = NNetPar ('Basic');
else
[amin, amax, wx, wxb, wy, wyb, bmin, bmax] = NNetPar ('Advanced');
end
[I, J] = size (wx);
end
sigmoid = inline ('1/(1 + exp(-x))');
% Scale the MOV's
Nclip = 0;
MOVx = zeros (1, I);
for (i = 0:I-1)
MOVx(i+1) = (MOV(i+1) - amin(i+1))/(amax(i+1) - amin(i+1));
if (~ isempty (PQopt) & PQopt.ClipMOV ~= 0)
if (MOVx(i+1) < 0)
MOVx(i+1) = 0;
Nclip = Nclip + 1;
elseif(MOVx(i+1) > 1)
MOVx(i+1) = 1;
Nclip = Nclip + 1;
end
end
end
if (Nclip > 0)
fprintf ('>>> %d MOVs clipped\n', Nclip);
end
% нейронная сеть
DI = wyb;
for (j = 0:J-1)
arg = wxb(j+1);
for (i = 0:I-1)
arg = arg + wx(i+1,j+1) * MOVx(i+1);
end
DI = DI + wy(j+1) * sigmoid (arg);
end
ODG = bmin + (bmax - bmin) * sigmoid (DI);
function [amin, amax, wx, wxb, wy, wyb, bmin, bmax] = NNetPar (Version)
if (strcmp (Version, 'Basic'))
amin = ...
[393.916656, 361.965332, -24.045116, 1.110661, -0.206623, ...
0.074318, 1.113683, 0.950345, 0.029985, 0.000101, ...
0];
amax = ...
[921, 881.131226, 16.212030, 107.137772, 2.886017, ...
13.933351, 63.257874, 1145.018555, 14.819740, 1, ...
1];
wx = ...
[[-0.502657, 0.436333, 1.219602];
[ 4.307481, 3.246017, 1.123743];
[ 4.984241, -2.211189, -0.192096];
[ 0.051056, -1.762424, 4.331315];
[ 2.321580, 1.789971, -0.754560];
[-5.303901, -3.452257, -10.814982];
[ 2.730991, -6.111805, 1.519223];
[ 0.624950, -1.331523, -5.955151];
[ 3.102889, 0.871260, -5.922878];
[-1.051468, -0.939882, -0.142913];
[-1.804679, -0.503610, -0.620456]];
wxb = ...
[-2.518254, 0.654841, -2.207228];
wy = ...
[-3.817048, 4.107138, 4.629582];
wyb = -0.307594;
bmin = -3.98;
bmax = 0.22;
else
amin = ...
[ 13.298751, 0.041073, -25.018791, 0.061560, 0.024523];
amax = ...
[ 2166.5, 13.24326, 13.46708, 10.226771, 14.224874];
wx = ...
[[ 21.211773, -39.913052, -1.382553, -14.545348, -0.320899];
[-8.981803, 19.956049, 0.935389, -1.686586, -3.238586];
[ 1.633830, -2.877505, -7.442935, 5.606502, -1.783120];
[ 6.103821, 19.587435, -0.240284, 1.088213, -0.511314];
[ 11.556344, 3.892028, 9.720441, -3.287205, -11.031250]];
wxb = ...
[ 1.330890, 2.686103, 2.096598, -1.327851, 3.087055];
wy = ...
[-4.696996, -3.289959, 7.004782, 6.651897, 4.009144];
wyb = -1.360308;
bmin = -3.98;
bmax = 0.22;
end
__________________________________________________________________
function [Nc, fc, fl, fu, dz] = PQCB (Version)
% параметры критической полосы пропускания
B = inline ('7 * asinh (f/650)');
BI = inline ('650 * sinh (z/7)');
fL = 80;
fU = 18000;
if (strcmp (Version, 'Basic'))
dz = 1/4;
elseif (strcmp (Version, 'Advanced'))
dz = 1/2;
else
error ('PQCB: Invalid version');
end
zL = B(fL);
zU = B(fU);
Nc = ceil((zU-zL)/dz);
zl = zL + (0:Nc-1) * dz;
zu = min (zL + (1:Nc) * dz, zU);
zc = 0.5 *(zl + zu);
fl = BI (zl);
fc = BI (zc);
fu = BI (zu);
if (strcmp (Version, 'Basic'))
fl = [ 80.000, 103.445, 127.023, 150.762, 174.694, ...
198.849, 223.257, 247.950, 272.959, 298.317, ...
324.055, 350.207, 376.805, 403.884, 431.478, ...
459.622, 488.353, 517.707, 547.721, 578.434, ...
609.885, 642.114, 675.161, 709.071, 743.884, ...
779.647, 816.404, 854.203, 893.091, 933.119, ...
974.336, 1016.797, 1060.555, 1105.666, 1152.187, ...
1200.178, 1249.700, 1300.816, 1353.592, 1408.094, ...
1464.392, 1522.559, 1582.668, 1644.795, 1709.021, ...
1775.427, 1844.098, 1915.121, 1988.587, 2064.590, ...
2143.227, 2224.597, 2308.806, 2395.959, 2486.169, ...
2579.551, 2676.223, 2776.309, 2879.937, 2987.238, ...
3098.350, 3213.415, 3332.579, 3455.993, 3583.817, ...
3716.212, 3853.817, 3995.399, 4142.547, 4294.979, ...
4452.890, 4616.482, 4785.962, 4961.548, 5143.463, ...
5331.939, 5527.217, 5729.545, 5939.183, 6156.396, ...
6381.463, 6614.671, 6856.316, 7106.708, 7366.166, ...
7635.020, 7913.614, 8202.302, 8501.454, 8811.450, ...
9132.688, 9465.574, 9810.536, 10168.013, 10538.460, ...
10922.351, 11320.175, 11732.438, 12159.670, 12602.412, ...
13061.229, 13536.710, 14029.458, 14540.103, 15069.295, ...
15617.710, 16186.049, 16775.035, 17385.420];
fc = [ 91.708, 115.216, 138.870, 162.702, 186.742, ...
211.019, 235.566, 260.413, 285.593, 311.136, ...
337.077, 363.448, 390.282, 417.614, 445.479, ...
473.912, 502.950, 532.629, 562.988, 594.065, ...
625.899, 658.533, 692.006, 726.362, 761.644, ...
797.898, 835.170, 873.508, 912.959, 953.576, ...
995.408, 1038.511, 1082.938, 1128.746, 1175.995, ...
1224.744, 1275.055, 1326.992, 1380.623, 1436.014, ...
1493.237, 1552.366, 1613.474, 1676.641, 1741.946, ...
1809.474, 1879.310, 1951.543, 2026.266, 2103.573, ...
2183.564, 2266.340, 2352.008, 2440.675, 2532.456, ...
2627.468, 2725.832, 2827.672, 2933.120, 3042.309, ...
3155.379, 3272.475, 3393.745, 3519.344, 3649.432, ...
3784.176, 3923.748, 4068.324, 4218.090, 4373.237, ...
4533.963, 4700.473, 4872.978, 5051.700, 5236.866, ...
5428.712, 5627.484, 5833.434, 6046.825, 6267.931, ...
6497.031, 6734.420, 6980.399, 7235.284, 7499.397, ...
7773.077, 8056.673, 8350.547, 8655.072, 8970.639, ...
9297.648, 9636.520, 9987.683, 10351.586, 10728.695, ...
11119.490, 11524.470, 11944.149, 12379.066, 12829.775, ...
13294.850, 13780.887, 14282.503, 14802.338, 15341.057, ...
15899.345, 16477.914, 17077.504, 17690.045];
fu = [ 103.445, 127.023, 150.762, 174.694, 198.849, ...
223.257, 247.950, 272.959, 298.317, 324.055, ...
350.207, 376.805, 403.884, 431.478, 459.622, ...
488.353, 517.707, 547.721, 578.434, 609.885, ...
642.114, 675.161, 709.071, 743.884, 779.647, ...
816.404, 854.203, 893.091, 933.113, 974.336, ...
1016.797, 1060.555, 1105.666, 1152.187, 1200.178, ...
1249.700, 1300.816, 1353.592, 1408.094, 1464.392, ...
1522.559, 1582.668, 1644.795, 1709.021, 1775.427, ...
1844.098, 1915.121, 1988.587, 2064.590, 2143.227, ...
2224.597, 2308.806, 2395.959, 2486.169, 2579.551, ...
2676.223, 2776.309, 2879.937, 2987.238, 3098.350, ...
3213.415, 3332.579, 3455.993, 3583.817, 3716.212, ...
3853.348, 3995.399, 4142.547, 4294.979, 4452.890, ...
4643.482, 4785.962, 4961.548, 5143.463, 5331.939, ...
5527.217, 5729.545, 5939.183, 6156.396, 6381.463, ...
6614.671, 6856.316, 7106.708, 7366.166, 7635.020, ...
7913.614, 8202.302, 8501.454, 8811.450, 9132.688, ...
9465.574, 9810.536, 10168.013, 10538.460, 10922.351, ...
11320.175, 11732.438, 12159.670, 12602.412, 13061.229, ...
13536.710, 14029.458, 14540.103, 15069.295, 15617.710, ...
16186.049, 16775.035, 17385.420, 18000.000];
end
__________________________________________________________________
function Es = PQspreadCB (E, Ver)
% распространение возбуждений
% E и Es - энергии
persistent Bs Version
if (~ strcmp (Ver, Version))
Version = Ver;
Nc = length (E);
Bs = PQ_SpreadCB (ones(1,Nc), ones(1,Nc), Version);
end
Es = PQ_SpreadCB (E, Bs, Version);
%----------
function Es = PQ_SpreadCB (E, Bs, Ver);
persistent Nc dz fc aL aUC Version
e = 0.4;
if (~ strcmp (Ver, Version))
Version = Ver;
[Nc, fc, fl, fu, dz] = PQCB (Version);
end
% выделение памяти
aUCEe = zeros (1, Nc);
Ene = zeros (1, Nc);
Es = zeros (1, Nc);
% вычисление термов, зависящих от энергии
aL_= 10^(-2.7 * dz);
for (m = 0:Nc-1)
aUC = 10^((-2.4 - 23/fc(m+1)) * dz);
aUCE = aUC * E(m+1)^(0.2 * dz);
gIL = (1 - aL^(m+1))/(1 - aL);
gIU = (1 - aUCE^(Nc-m))/(1 - aUCE);
En = E(m+1)/(gIL + gIU - 1);
aUCEe(m+1) = aUCE^e;
Ene(m+1) = En^e;
end
% распространение вниз
Es(Nc-1+1) = Ene(Nc-1+1);
aLe = aL^e;
for (m = Nc-2:-1:0)
Es(m+1) = aLe * Es(m+1+1) + Ene(m+1);
end
% распространение вверх i > m
for (m = 0:Nc-2)
r = Ene(m+1);
a = aUCEe(m+1);
for (i = m+1:Nc-1)
r = r * a;
Es(i+1) = Es(i+1)+ r;
end
end
for (i = 0:Nc-1)
Es(i+1) = (Es(i+1))^(1/e)/Bs(i+1);
end
__________________________________________________________________
function Eb = PQgroupCB (X2, Ver)
% группировка вектора энергии ДПФ и критической полосы пропускания
% X2 - вектор значений, возведенных в степень 2
% Eb - вектор возбуждений
persistent Nc kl ku UI Uu Version
Emin = 1e-12;
if (~ strcmp (Ver, Version))
Version = Ver;
NF = 2048;
Fs = 48000;
[Nc, kl, ku, Ul, Uu] = PQ_CBMapping (NF, Fs, Version);
end
% выделение памяти
Eb = zeros (1, Nc);
% вычисление возбуждений в каждой полосе
for (i = 0:Nc-1)
Ea = UI(i+1) * X2(kl(i+1)+1);
for (k = (kl(i+1)+1):(ku(i+1)-1))
Ea = Ea + X2(k+1);
end
Ea = Ea + Uu(i+1) * X2(ku(i+1)+1);
Eb(i+1) = max(Ea, Emin);
end
%----------
function [Nc, kl, ku, UI, Uu] = PQ_CBMapping (NF, Fs, Version)
[Nc, fc, fl, fu] = PQCB (Version);
df = Fs/NF;
for (i = 0:Nc-1)
fli = fl(i+1);
fui = fu(i+1);
for (k = 0:NF/2)
if ((k+0.5) * df > fli)
kl(i+1) = k;
UI(i+1) = (min(fui, (k+0.5) * df) ...
- max(fli, (k-0.5) * df))/df;
break;
end
end
for (k=NF/2:-1:0)
if ((k-0.5) * df < fui)
ku(i+1) = k;
if (kl(i+1) == ku(i+1))
Uu(i+1) = 0;
else
Uu(i+1) = (min(fui, (k+0.5) * df) ...
- max(fli, (k-0.5) * df))/df;
end
break;
end
end
end
__________________________________________________________________
function [MOVI, Fmem] = PQeval (xR, xT, Fmem)
% PEAQ - обработка единичного фрейма
NF = 2048;
Version = 'Basic';
% оконное ДПФ
X2(1,:) = PQDFTFrame(xR);
X2(2,:) = PQDFTFrame (xT);
[EbN, Es] = PQ_excitCB (X2);
[Ehs(1,:), Fmem.TDS.Ef(1,:)] = PQ_timeSpread (Es(1,:), Fmem.TDS.Ef(1,:));
[Ehs(2,:), Emem.TDS.Ef(2,:)] = PQ_timeSpread (Es(2,:), Fmem.TDS.Ef(2,:));
% адаптация паттернов возбуждения
[EP, Fmem.Adap] = PQadapt (Ehs, Fmem.Adap, Version, 'FFT');
% паттерны модуляции
[M, ERavg, Fmem.Env] = PQmodPatt (Es, Fmem.Env);
% громкость
MOVI.Loud.NRef = PQloud (Ehs(1,:), Version, 'FFT');
MOVI.Loud.NTest = PQloud (Ehs(2,:), Version, 'FFT');
% разница модуляций
MOVI.MDiff = PQmovModDiffB (M, ERavg);
% громкость шума
MOVI.NLoud.NL = PQmovNLoudB (M, EP);
% полоса пропускания
MOVI.BW = PQmovBW (X2);
% отношений шума к маскированию
MOVI.NMR = PQmovNMRB (EbN, Ehs(1,:));
% вероятность обнаружения
MOVI.PD = PQmovPD (Ehs);
% ошибка гармонической структуры
MOVI.EHS.EHS = PQmovEHS (xR, xT, X2);
%----------
function [EbN, Es] = PQ_excitCB (X2)
persistent W2 EIN
NF = 2048;
version = 'Basic';
if (isempty (W2))
Fs = 48000;
f = linspace (0, Fs/2, NF/2+1);
W2 = PQWOME (f);
[Nc, Fc] = PQCB (Version);
EIN = PQIntNoise (fc);
end
% выделение памяти
XwN2 = zeros (1, NF/2+1);
% фильтрация на основе модели внешнего и среднего уха
Xw2(1,:) = W2. * X2(1,1:NF/2+1);
Xw2(2,:) = W2. * X2(2,1:NF/2+1);
for (k = 0:NF/2)
XwN2(k+1) = (Xw2(1,k+1)-2 * sqrt(Xw2(1,k+1) * Xw2(2,k+1)) ...
+ Xw2(2,k+1));
end
Eb(1,:) = PQgroupCB (Xw2(1,:), Version);
Eb(2,:) = PQgroupCB (Xw2(2,:), Version);
EbN = PQgroupCB (XwN2, Version);
E(1,:) = Eb(1,:) + EIN;
E(2,:) = Eb(2,:) + EIN;
Es(1,:) = PQspreadCB (E(1,:), Version);
Es(2,:) = PQspreadCB (E(2,:), Version);
%----------
function [Ehs, Ef] = PQ_timeSpread (Es, Ef)
persistent Nc a b
if (isempty (Nc))
[Nc, fc] = PQCB ('Basic');
Fs = 48000;
NF = 2048;
Nadv = NF/2;
Fss = Fs/Nadv;
t100 = 0.030;
tmin = 0.008;
[a, b] = PQtConst (t100, tmin, fc, Fss);
end
Ehs = zeros (1, Nc);
for (m = 0:Nc-1)
Ef(m+1) = a(m+1) * Ef(m+1) + b(m+1) * Es(m+1);
Ehs(m+1) = max(Ef(m+1), Es(m+1));
end
__________________________________________________________________
function X2 = PQDFTFrame (x)
persistent hw
NF = 2048;
if (isempty (hw))
Amax = 32768;
fc = 1019.5;
Fs = 48000;
Lp = 92;
GL = PQ_GL (NF, Amax, fc/Fs, Lp);
hw = GL * PQHannWin(NF);
end
xw = hw. * x;
X = PQRFFT(xw, NF, 1);
X2 = PQRFFTMSq (X, NF);
%----------
function GL = PQ_GL (NF, Amax, fcN, Lp)
W = NF - 1;
gp = PQ_gp (fcN, NF, W);
GL = 10^(Lp/20)/(gp * Amax/4 * W);
%----------
function gp = PQ_gp (fcN, NF, W)
df = 1/NF;
k = floor (fcN/df);
dfN = min ((k+1) * df - fcN, fcN - k * df);
dfW = dfN * W;
gp = sin(pi * dfW)/(pi * dfW * (1 - dfW^2));
__________________________________________________________________
function Lim = PQdataBoundary (WAV, Nchan, StartS, Ns)
PQ_L = 5;
Amax = 32768;
NBUFF = 2048;
PQ_ATHR = 200 * (Amax/32768);
Lim(1) = -1;
is = StartS;
EndS = StartS + Ns - 1;
while (is <= EndS)
Nf = min(EndS - is + 1, NBUFF);
x = PQgetData (WAV, is, Nf);
for (k = 0:Nchan-1)
Lim(1) = max (Lim(1), PQ_DataStart (x(k+1,:), Nf, PQ_L, PQ_ATHR));
end
if (Lim(1) >= 0)
Lim(1) = Lim(1) + is;
break
end
is = is + NBUFF -(PQ_L-1);
end
Lim(2) = -1;
is = StartS;
while (is <= EndS)
Nf = min(EndS - is + 1, NBUFF);
ie = is + Nf - 1;
js = EndS - (ie - StartS + 1) + 1;
x = PQgetData (WAV, js, Nf);
for (k = 0:Nchan-1)
Lim(2) = max(Lim(2), PQ_DataEnd (x(k+1,:), Nf, PQ_L, PQ_ATHR));
end
if (Lim(2) >= 0)
Lim(2) = Lim(2)+js;
break
end
is = is + NBUFF - (PQ_L-1);
end
if (~ ((Lim(1) >= 0 & Lim(2) >= 0)|(Lim(1) < 0 & Lim(2) < 0)))
error ('>>> PQdataBoundary: limits have difference signs');
end
if (~(Lim(1) <= Lim(2)))
error ('>>> PQdataBoundary: Lim(1) > Lim(2)');
end
if (Lim(1) < 0)
Lim(1) = 0;
Lim(2) = 0;
end
%----------
function ib = PQ_DataStart (x, N, L, Thr)
ib = -1;
s = 0;
M = min (N, L);
for (i = 0:M-1)
s = s + abs (x(i+1));
end
if (s > Thr)
ib = 0;
return
end
for (i = 1:N-L)
s = s + (abs (x(i+L-1+1)) - abs (x(i-1+1)));
if (s > Thr)
ib = i;
return
end
end
%----------
function ie = PQ_DataEnd (x, N, L, Thr)
ie = -1;
s = 0;
M = min (N, L);
for (i = N-M:N-1)
s = s + abs (x(i+1));
end
if (s > Thr)
ie = N-1;
return
end
for (i = N-2:-1:L-1)
s = s + (abs (x(i-L+1+1)) - abs (x(i+1+1))); if (s > Thr)
ie = i;
return
end
end
__________________________________________________________________
function x = PQgetData (WAV, i, N)
persistent Buff
iB = WAV.iB + 1;
if (N == 0)
Buff(iB).N = 20 * 1024; % Fixed size
Buff(iB).x = PQ_ReadWAV (WAV, i, Buff(iB).N);
Buff(iB).i = i;
end
if (N > Buff(iB).N)
error ('>>> PQgetData: Request exceeds buffer size');
end
is = i - Buff(iB).i;
if (is < 0 | is + N - 1 > Buff(iB).N - 1)
Buff(iB).x = PQ_ReadWAV (WAV, i, Buff(iB).N);
Buff(iB).i = i;
end
Nchan = WAVNchan;
is = i - Buff(iB).i;
x = Buff(iB).x(1:Nchan,is+1:is+N-1+1);
%----------
function x = PQ_ReadWAV (WAV, i, N)
Amax = 32768;
Nchan = WAV.Nchan;
x = zeros (Nchan, N);
Nz = 0;
if (i < 0)
Nz = min (-i, N);
i = i + Nz;
end
Ns = min (N - Nz, WAV.Nframe - i);
if (i >= 0 & Ns > 0)
x(1:Nchan,Nz+1:Nz+Ns-1+1) = Amax * (wavread (WAV.Fname, [i+1 i+Ns-1+1]))';
end
__________________________________________________________________
function hw = PQHannWin (NF)
hw = zeros (1, NF);
for (n = 0:NF-1)
hw(n+1) = 0.5 * (1 - cos(2 * pi * n/(NF-1)));
end
__________________________________________________________________
function Fmem = PQinitFMem (Nc, PCinit)
Fmem.TDS.Ef(1:2,1:Nc) = 0;
Fmem.Adap.P(1:2,1:Nc) = 0;
Fmem.Adap.Rn(1:Nc) = 0;
Fmem.Adap.Rd(1:Nc) = 0;
Fmem.Adap.PC(1:2,1:Nc) = PCinit;
Fmem.Env.Ese(1:2,1:Nc) = 0;
Fmem.Env.DE(1:2,1:Nc) = 0;
Fmem.Env.Eavg(1:2,1:Nc) = 0;
__________________________________________________________________
function EIN = PQIntNoise (f)
N = length (f);
for (m = 0:N-1)
INdB = 1.456 * (f(m+1)/1000)^(-0.8);
EIN(m+1) = 10^(INdB/10);
End
__________________________________________________________________
function X = PQRFFT (x, N, ifn)
if (ifn > 0)
X = fft (x, N);
XR = real(X(0+1:N/2+1));
XI = imag(X(1+1:N/2-1+1));
X = [XR XI];
else
xR = [x(0+1:N/2+1)];
xI = [0x(N/2+1+1:N-1+1)0];
x = complex ([xR xR(N/2-1+1:-1:1+1)], [xI -xI(N/2-1+1:-1:1+1)]);
X = real (ifft (x, N));
end
__________________________________________________________________
function X2 = PQRFFTMSq (X, N)
X2 = zeros (1, N/2+1);
X2(0+1) = X(0+1)^2;
for (k = 1:N/2-1)
X2(k+1) = X(k+1)^2 + X(N/2+k+1)^2;
end
X2(N/2+1) = X(N/2+1)^2;
__________________________________________________________________
function [a, b] = PQtConst (t100, tmin, f, Fs)
N = length (f);
for (m = 0:N-1)
t = tmin + (100/f(m+1)) * (t100 - tmin);
a(m+1) = exp(-1/(Fs * t));
b(m+1) = (1 - a(m+1));
end
__________________________________________________________________
function W2 = PQWOME (f)
N = length (f);
for (k = 0:N-1)
fkHz = f(k+1)/1000;
AdB = -2.184 * fkHz^(-0.8) + 6.5 * exp(-0.6 * (fkHz - 3.3)^2) ...
-0.001 * fkHz^(3.6);
W2(k+1) = 10^(AdB/10);
end
__________________________________________________________________
function WAV = PQwavFilePar (File)
persistent iB
if (isempty (iB))
iB = 0;
else
iB = mod (iB + 1, 2);
end
[size WAV.Fs Nbit] = wavread (File, 'size');
WAV.Fname = File;
WAV.Nframe = size(1);
WAV.Nchan = size(2);
WAV.iB = iB;
PQgetData (WAV, 0, 0);
__________________________________________________________________
function MOV = PQavgMOVB (MOVC, Nchan, Nwup)
Fs = 48000;
NF = 2048;
Nadv = NF/2;
Fss = Fs/Nadv;
tdel = 0.5;
tex = 0.050;
[MOV(0+1), MOV(1+1)] = PQ_avgBW(MOVC.BW);
% Total NMRB, RelDistFramesB
[MOV(2+1), MOV(10+1)] = PQ_avgNMRB (MOVC.NMR);
% WinModDiff1B, AvgModDiff1B, AvgModDiff2B
N500ms = ceil (tdel * Fss);
Ndel = max (0, N500ms - Nwup);
[MOV(3+1), MOV(6+1), MOV(7+1)] = PQ_avgModDiffB (Ndel, MOVC.MDiff);
% RmsNoiseLoudB
N50ms = ceil (tex * Fss);
Nloud = PQloudTest (MOVC.Loud);
Ndel = max (Nloud + N50ms, Ndel);
MOV(8+1) = PQ_avgNLoudB (Ndel, MOVC.NLoud);
%ADBB, MFPDB
[MOV(4+1), MOV(9+1)] = PQ_avgPD (MOVC.PD);
% EHSB
MOV(5+1) = PQ_avgEHS (MOVC.EHS);
%----------
function EHSB = PQ_avgEHS (EHS)
[Nchan, Np] = size (EHS.EHS);
s = 0;
for (j = 0:Nchan-1)
s = s + PQ_LinPosAvg (EHS.EHS(j+1,:));
end
EHSB = 1000 * s/Nchan;
%----------
function [ADBB, MFPDB] = PQ_avgPD (PD)
global PQopt
c0 = 0.9;
if (isempty (PQopt))
c1 = 1;
else
c1 = PQopt.PDfactor;
end
N = length (PD.Pc);
Phc = 0;
Pcmax = 0;
Qsum = 0;
nd = 0;
for (i = 0:N-1)
Phc = c0 * Phc + (1 - c0) * PD.Pc(i+1);
Pcmax = max (Pcmax * c1, Phc);
if (PD.Pc(i+1) > 0.5)
nd = nd + 1;
Qsum = Qsum + PD.Qc(i+1);
end
end
if (nd == 0)
ADBB = 0;
elseif (Qsum > 0)
ADBB = log10 (Qsum/nd);
else
ADBB = -0.5;
end
MFPDB = Pcmax;
%----------
function [TotalNMRB, RelDistFramesB] = PQ_avgNMRB (NMR)
[Nchan, Np] = size (NMR.NMRavg);
Thr = 10^(1.5/10);
s = 0;
for (j = 0:Nchan-1)
s = s + 10 * log10 (PQ_LinAvg (NMR.NMRavg(j+1,:)));
end
TotalNMRB = s/Nchan;
s = 0;
for (j = 0:Nchan-1)
s = s + PQ_FractThr (Thr, NMR.NMRmax(j+1,:));
end
RelDistFramesB = s/Nchan;
%----------
function [BandwidthRefB, BandwidthTestB] = PQ_avgBW (BW)
[Nchan, Np] = size (BW.BWRef);
sR = 0;
sT = 0;
for (j = 0:Nchan-1)
sR = sR + PQ_LinPosAvg (BW.BWRef(j+1,:));
sT = sT + PQ_LinPosAvg (BW.BWTest(j+1,:));
end
BandwidthRefB = sR/Nchan;
BandwidthTestB = sT/Nchan;
%----------
function [WinModDiff1B, AvgModDiff1B, AvgModDiff2B] = PQ_avgModDiffB (Ndel, MDiff)
NF = 2048;
Nadv = NF/2;
Fs = 48000;
Fss = Fs/Nadv;
tavg = 0.1;
[Nchan, Np] = size (MDiff.Mt1B);
L = floor (tavg * Fss);
s = 0;
for (j = 0:Nchan-1)
s = s + PQ_WinAvg (L, MDiff.Mt1B(j+1,Ndel+1:Np-1+1));
end
WinModDiff1B = s/Nchan;
s = 0;
for (j = 0:Nchan-1)
s = s + PQ_WtAvg(MDiff.Mt1B(j+1,Ndel+1:Np-1+1), MDiff.Wt(j+1,Ndel+1:Np-1+1));
end
AvgModDiff1B = s/Nchan;
s = 0;
for (j = 0:Nchan-1)
s = s + PQ_WtAvg(MDiff.Mt2B(j+1,Ndel+1:Np-1+1), MDiff.Wt(j+1,Ndel+1:Np-1+1));
end
AvgModDiff2B = s/Nchan;
%----------
function RmsNoiseLoudB = PQ_avgNLoudB (Ndel, NLoud)
[Nchan, Np] = size (NLoud.NL);
s = 0;
for (j = 0:Nchan-1)
s = s + PQ_RMSAvg (NLoud.NL(j+1,Ndel+1:Np-1+1));
end
RmsNoiseLoudB = s/Nchan;
%----------
function s = PQ_LinPosAvg (x)
N = length(x);
Nv = 0;
s = 0;
for (i = 0:N-1)
if (x(i+1) >= 0)
s = s + x(i+1);
Nv = Nv + 1;
end
end
if (Nv > 0)
s = s/Nv;
end
%----------
function Fd = PQ_FractThr (Thr, x)
N = length (x);
Nv = 0;
for (i = 0:N-1)
if (x(i+1) > Thr)
Nv = Nv + 1;
end
end
if (N > 0)
Fd = Nv/N;
else
Fd = 0;
end
%----------
function s = PQ_WinAvg (L, x)
N = length (x);
s = 0;
for (i = L-1:N-1)
t = 0;
for (m = 0:L-1)
t = t + sqrt(x(i-m+1));
end
s = s + (t/L)^4;
end
if (N >= L)
s = sqrt(s/(N - L + 1));
end
%----------
function s = PQ_WtAvg (x, W)
N = length (x);
s = 0;
sW = 0;
for (i = 0:N-1)
s = s + W(i+1) * x(i+1);
sW = sW + W(i+1);
end
if (N > 0)
s = s/sW;
end
%----------
function LinAvg = PQ_LinAvg (x)
N = length (x);
s = 0;
for (i = 0:N-1)
s = s + x(i+1);
end
LinAvg = s/N;
%----------
function RMSAvg = PQ_RMSAvg (x)
N = length (x);
s = 0;
for (i = 0:N-1)
s = s + x(i+1)^2;
end
if (N > 0)
RMSAvg = sqrt(s/N);
else
RMSAvg = 0;
end
__________________________________________________________________
function PQframeMOV (i, MOVI)
global MOVC
[Nchan,Nc] = size (MOVC.MDiff.Mt1B);
for (j = 1:Nchan)
% Modulation differences
MOVC.MDiff.Mt1B(j,i+1) = MOVI(j).MDiff.Mt1B;
MOVC.MDiff.Mt2B(j,i+1) = MOVI(j).MDiff.Mt2B;
MOVC.MDiff.Wt(j,i+1) = MOVI(j).MDiff.Wt;
% Noise loudness
MOVC.NLoud.NL(j,i+1) = MOVI(j).NLoud.NL;
% Total loudness
MOVC.Loud.NRef(j,i+1) = MOVI(j).Loud.NRef;
MOVC.Loud.NTest(j,i+1) = MOVI(j).Loud.NTest;
% Bandwidth
MOVC.BW.BWRef(j,i+1) = MOVI(j).BW.BWRef;
MOVC.BW.BWTest(j,i+1) = MOVI(j).BW.BWTest;
% Noise-to-mask ratio
MOVC.NMR.NMRavg(j,i+1) = MOVI(j).NMR.NMRavg;
MOVC.NMR.NMRmax(j,i+1) = MOVI(j).NMR.NMRmax;
% Error harmonic structure
MOVC.EHS.EHS(j,i+1) = MOVI(j).EHS.EHS;
end
% Probability of detection (collapse frequency bands)
[MOVC.PD.Pc(i+1), MOVC.PD.Qc(i+1)] = PQ_ChanPD (MOVI);
%----------
function [Pc, Qc] = PQ_ChanPD (MOVI)
Nc = length (MOVI(1).PD.p);
Nchan = length (MOVI);
Pr = 1;
Qc = 0;
if (Nchan > 1)
for (m = 0:Nc-1)
pbin = max (MOVI(1).PD.p(m+1), MOVI(2).PD.p(m+1));
qbin = max (MOVI(1).PD.q(m+1), MOVI(2).PD.q(m+1));
Pr = Pr * (1 - pbin);
Qc = Qc + qbin;
end
else
for (m = 0:Nc-1)
Pr = Pr * (1 - MOVI.PD.p(m+1));
Qc = Qc + MOVI.PD.q(m+1);
end
end
Pc = 1 - Pr;
__________________________________________________________________
function Ndel = PQloudTest (Loud)
[Nchan, Np] = size (Loud.NRef);
Thr = 0.1;
Ndel = Np;
for (j = 0:Nchan-1)
Ndel = min (Ndel, PQ_LThresh (Thr, Loud.NRef(j+1,:), Loud.NTest(j+1,:)));
end
%----------
function it = PQ_LThresh (Thr, NRef, NTest)
Np = length (NRef);
it = Np;
for (i = 0:Np-1)
if (NRef(i+1) > Thr & NTest(i+1) > Thr)
it = i;
break;
end
end
__________________________________________________________________
function BW = PQmovBW (X2)
persistent kx kl FR FT N
if (isempty (kx))
NF = 2048;
Fs = 48000;
fx = 21586;
kx = round (fx/Fs * NF); % 921
fl = 8109;
kl = round (fl/Fs * NF); % 346
FRdB = 10;
FR = 10^(FRdB/10);
FTdB = 5;
FT = 10^(FTdB/10);
N = NF/2; % Limit from pseudo-code
end
Xth = X2(2,kx+1);
for (k = kx+1:N-1)
Xth = max(Xth, X2(2,k+1));
end
BW.BWRef = -1;
XthR = FR * Xth;
for (k = kx-1:-1:kl+1)
if (X2(1,k+1) >= XthR)
BW.BWRef = k + 1;
break;
end
end
BW.BWTest = -1;
XthT = FT * Xth;
for (k = BW.BWRef-1:-1:0)
if (X2(2,k+1) >= XthT)
BW.BWTest = k + 1;
break;
end
end
__________________________________________________________________
function MDiff = PQmovModDiffB (M, ERavg)
persistent Nc Ete
if (isempty (Nc))
e = 0.3;
[Nc, fc] = PQCB ('Basic');
Et = PQIntNoise (fc);
for (m = 0:Nc-1)
Ete(m+1) = Et(m+1)^e;
end
end
negWt2B = 0.1;
offset1B = 1.0;
offset2B = 0.01;
levWt = 100;
s1B = 0;
s2B = 0;
Wt = 0;
for (m = 0:Nc-1)
if (M(1,m+1) > M(2,m+1))
num1B = M(1,m+1) - M(2,m+1);
num2B = negWt2B * num1B;
else
num1B = M(2,m+1) - M(1,m+1);
num2B = num1B;
end
MD1B = num1B/(offset1B + M(1,m+1));
MD2B = num2B/(offset2B + M(1,m+1));
s1B = s1B + MD1B;
s2B = s2B + MD2B;
Wt = Wt + ERavg(m+1)/(ERavg(m+1) + levWt * Ete(m+1));
end
MDiff.Mt1B = (100/Nc) * s1B;
MDiff.Mt2B = (100/Nc) * s2B;
MDiff.Wt = Wt;
__________________________________________________________________
function NL = PQmovNLoudB (M, EP)
persistent Nc Et
if (isempty (Nc))
[Nc, fc] = PQCB ('Basic');
Et = PQIntNoise (fc);
end
alpha = 1.5;
TF0 = 0.15;
S0 = 0.5;
NLmin = 0;
e = 0.23;
s = 0;
for (m = 0:Nc-1)
sref = TF0 * M(1,m+1) + S0;
stest = TF0 * M(2,m+1) + S0;
beta = exp (-alpha * (EP(2,m+1) - EP(1,m+1))/EP(1,m+1));
a = max (stest * EP(2,m+1)- sref * EP(1,m+1), 0);
b = Et(m+1) + sref * EP(1,m+1) * beta;
s = s + (Et(m+1)/stest)^e * ((1 + a/b)^e - 1);
end
NL = (24/Nc) * s;
if (NL < NLmin)
NL = 0;
end
__________________________________________________________________
function NMR = PQmovNMRB (EbN, Ehs)
persistent Nc gm
if (isempty (Nc))
[Nc, fc, fl, fu, dz] = PQCB ('Basic');
gm = PQ_MaskOffset (dz, Nc);
end
NMR.NMRmax = 0;
s = 0;
for (m = 0:Nc-1)
NMRm = EbN(m+1)/(gm(m+1) * Ehs(m+1));
s = s + NMRm;
if (NMRm > NMR.NMRmax)
NMR.NMRmax = NMRm;
end
end
NMR.NMRavg = s/Nc;
%----------
function gm = PQ_MaskOffset (dz, Nc)
for (m = 0:Nc-1)
if (m <= 12/dz)
mdB = 3;
else
mdB = 0.25 * m * dz;
end
gm(m+1) = 10^(-mdB /10);
end
__________________________________________________________________
function PD = PQmovPD (Ehs)
Nc = length (Ehs);
PD.p = zeros (1, Nc);
PD.q = zeros (1, Nc);
persistent c g d1 d2 bP bM
if (isempty (c))
c = [-0.198719 0.0550197 -0.00102438 5.05622e-6 9.01033e-11];
d1 = 5.95072;
d2 = 6.39468;
g = 1.71332;
bP = 4;
bM = 6;
end
for (m = 0:Nc-1)
EdBR = 10 * log10 (Ehs(1,m+1));
EdBT = 10 * log10 (Ehs(2,m+1));
edB = EdBR - EdBT;
if (edB > 0)
L = 0.3 * EdBR + 0.7 * EdBT;
b = bP;
else
L = EdBT;
b = bM;
end
if (L > 0)
s = d1 * (d2/L)^g ...
+ c(1) + L * (c(2) + L * (c(3) + L * (c(4) + L * c(5))));
else
s = 1e30;
end
PD.p(m+1) = 1 - 0.5^((edB/s)^b);
PD.q(m+1) = abs (fix(edB))/s;
end
__________________________________________________________________
function PQprtMOV (MOV, ODG)
N = length (MOV);
PQ_NMOV_B = 11;
PQ_NMOV_A = 5;
fprintf ('Model Output Variables:\n');
if(N == PQ_NMOV_B)
fprintf (' BandwidthRefB: %g\n', MOV(1));
fprintf (' BandwidthTestB: %g\n', MOV(2));
fprintf (' Total NMRB: %g\n', MOV(3));
fprintf (' WinModDiff1B: %g\n', MOV(4));
fprintf (' ADBB: %g\n', MOV(5));
fprintf (' EHSB: %g\n', MOV(6));
fprintf (' AvgModDiff1B: %g\n', MOV(7));
fprintf (' AvgModDiff2B: %g\n', MOV(8));
fprintf (' RmsNoiseLoudB: %g\n', MOV(9));
fprintf (' MFPDB: %g\n', MOV(10));
fprintf (' RelDistFramesB: %g\n', MOV(11));
else if (N == NMOV_A)
fprintf (' RmsModDiffA: %g\n', MOV(1));
fprintf (' RmsNoiseLoudAsymA: %g\n', MOV(2));
fprintf (' Segmental NMRB: %g\n', MOV(3));
fprintf (' EHSB: %g\n', MOV(4));
fprintf (' AvgLinDistA: %g\n', MOV(5));
else
error ('Invalid number of MOVs');
end
fprintf ('Objective Difference Grade: %.3f\n', ODG);
return;
__________________________________________________________________
function PQprtMOVCi (Nchan, i, MOVC)
fprintf ('Frame: %d\n', i);
if (Nchan == 1)
fprintf (' Ntot :%g %g\n', ...
MOVC.Loud.NRef(1,i+1), MOVC.Loud.NTest(1,i+1));
fprintf (' ModDiff: %g %g %g\n', ...
MOVC.MDiff.Mt1B(1,i+1), MOVC.MDiff.Mt2B(1,i+1), MOVC.MDiff.Wt(1,i+1));
fprintf (' NL :%g\n', MOVC.NLoud.NL(1,i+1));
fprintf (' BW :%g %g\n', ...
MOVC.BW.BWRef(1,i+1), MOVC.BW.BWTest(1,i+1));
fprintf (' NMR :%g %g\n', ...
MOVC.NMR.NMRavg(1,i+1), MOVC.NMR.NMRmax(1,i+1));
fprintf (' PD :%g %g\n', MOVC.PD.Pc(i+1), MOVC.PD.Qc(i+1));
fprintf (' EHS :%g\n', 1000 * MOVC.EHS.EHS(1,i+1));
else
fprintf (' Ntot :%g %g // %g %g\n', ...
MOVC.Loud.NRef(1,i+1), MOVC.Loud.NTest(1,i+1), ...
MOVC.Loud.NRef(2,i+1), MOVC.Loud.NTest(2,i+1));
fprintf (' ModDiff :%g %g %g // %g %g %g\n', ...
MOVC.MDiff.Mt1B(1,i+1), MOVC.MDiff.Mt2B(1,i+1), MOVC.MDiff.Wt(1,i+1), ...
MOVC.MDiff.Mt1B(2,i+1), MOVC.MDiff.Mt2B(2,i+1), MOVC.MDiff.Wt(2,i+1));
fprintf (' NL :%g//%g\n', ...
MOVC.NLoud.NL(1,i+1), ...
MOVC.NLoud.NL(2,i+1));
fprintf (' BW :%g %g // %g %g\n', ...
MOVC.BW.BWRef(1,i+1), MOVC.BW.BWTest(1,i+1), ...
MOVC.BW.BWRef(2,i+1), MOVC.BW.BWTest(2,i+1));
fprintf (' NMR :%g %g // %g %g\n',...
MOVC.NMR.NMRavg(1,i+1), MOVC.NMR.NMRmax(1,i+1), ...
MOVC.NMR.NMRavg(2,i+1), MOVC.NMR.NMRmax(2,i+1));
fprintf (' PD :%g %g\n', MOVC.PD.Pc(i+1), MOVC.PD.Qc(i+1));
fprintf (' EHS :%g//%g\n', ...
1000 * MOVC.EHS.EHS(1,i+1), ...
1000 * MOVC.EHS.EHS(2,i+1));
end
__________________________________________________________________
function EHS = PQmovEHS (xR, xT, X2)
persistent NF Nadv NL M Hw
if (isempty (NL))
NF = 2048;
Nadv = NF/2;
Fs = 48000;
Fmax = 9000;
NL = 2^(PQ_log2(NF * Fmax/Fs));
M = NL;
Hw = (1/M) * sqrt(8/3) * PQHannWin (M);
end
EnThr = 8000;
kmax = NL + M - 1;
EnRef = xR(Nadv+1:NF-1+1) * xR(Nadv+1:NF-1+1)';
EnTest = xT(Nadv+1:NF-1+1) * xT(Nadv+1:NF-1+1)';
if (EnRef < EnThr & EnTest < EnThr)
EHS = -1;
return;
end
D = zeros (1, kmax);
for (k = 0:kmax-1)
D(k+1) = log (X2(2,k+1)/X2(1,k+1));
end
C = PQ_Corr(D, NL, M);
Cn = PQ_NCorr (C, D, NL, M);
Cnm = (1/NL) * sum (Cn(1:NL));
Cw = Hw * (Cn - Cnm);
% DFT
cp = PQRFFT (Cw, NL, 1);
c2 = PQRFFTMSq (cp, NL);
EHS = PQ_FindPeak (c2, NL/2+1);
%----------
function log2 = PQ_log2 (a)
log2 = 0;
m = 1;
while (m < a)
log2 = log2 + 1;
m = 2 * m;
end
log2 = log2 - 1;
%----------
function C = PQ_Corr (D, NL, M)
NFFT = 2 * NL;
D0 = [D(1:M)zeros(1,NFFT-M)];
D1 = [D(1:M+NL-1) zeros(1,NFFT-(M+NL-1))];
d0 = PQRFFT (D0, NFFT, 1);
d1 = PQRFFT (D1, NFFT, 1);
dx(0+1) = d0(0+1) * d1(0+1);
for (n = 1:NFFT/2-1)
m = NFFT/2 + n;
dx(n+1) = d0(n+1) * d1(n+1) + d0(m+1) * d1(m+1);
dx(m+1) = d0(n+1) * d1(m+1) - d0(m+1) * d1(n+1);
end
dx(NFFT/2+1) = d0(NFFT/2+1)*d1(NFFT/2+1);
% Inverse DFT
Cx = PQRFFT (dx, NFFT, -1);
C = Cx(1:NL);
%----------
function Cn = PQ_NCorr (C, D, NL, M)
Cn = zeros (1, NL);
s0 = C(0+1);
sj = s0;
Cn(0+1) = 1;
for (i = 1:NL-1)
sj = sj + (D(i+M-1+1)^2 - D(i-1+1)^2);
d = s0 * sj;
if (d <= 0)
Cn(i+1) = 1;
else
Cn(i+1) = C(i+1)/sqrt(d);
end
end
%----------
function EHS = PQ_FindPeak (c2, N)
cprev = c2(0+1);
cmax = 0;
for (n = 1:N-1)
if (c2(n+1) > cprev) % Rising from a valley
if (c2(n+1) > cmax)
cmax = c2(n+1);
end
end
end
EHS = cmax;
__________________________________________________________________
function [EP, Fmem] = PQadapt (Ehs, Fmem, Ver, Mod)
persistent a b Nc M1 M2 Version Model
if (~strcmp (Ver, Version) | ~strcmp (Mod, Model))
Version = Ver;
Model = Mod;
if (strcmp (Model, 'FFT'))
[Nc, fc] = PQCB (Version);
NF = 2048;
Nadv = NF/2;
else
[Nc, fc] = PQFB;
Nadv = 192;
end
Version = Ver;
Model = Mod;
Fs = 48000;
Fss = Fs/Nadv;
t100 = 0.050;
tmin = 0.008;
[a b] = PQtConst (t100, tmin, fc, Fss);
[M1, M2] = PQ_M1M2 (Version, Model);
end
EP = zeros (2, Nc);
R = zeros (2, Nc);
sn = 0;
sd = 0;
for (m = 0:Nc-1)
Fmem.P(1,m+1) = a(m+1) * Fmem.P(1,m+1) + b(m+1) * Ehs(1,m+1);
Fmem.P(2,m+1) = a(m+1) * Fmem.P(2,m+1) + b(m+1) * Ehs(2,m+1);
sn = sn + sqrt (Fmem.P(2,m+1) * Fmem.P(1,m+1));
sd = sd + Fmem.P(2,m+1);
end
CL = (sn/sd)^2;
for (m = 0:Nc-1)
if (CL > 1)
EP(1,m+1) = Ehs(1,m+1)/CL;
EP(2,m+1) = Ehs(2,m+1);
else
EP(1,m+1) = Ehs(1,m+1);
EP(2,m+1) = Ehs(2,m+1) * CL;
end
Fmem.Rn(m+1) = a(m+1) * Fmem.Rn(m+1) + EP(2,m+1) * EP(1,m+1);
Fmem.Rd(m+1) = a(m+1) * Fmem.Rd(m+1) + EP(1,m+1) * EP(1,m+1);
if (Fmem.Rd(m+1) <= 0 | Fmem.Rn(m+1) <= 0)
error ('>>> PQadap: Rd or Rn is zero');
end
if (Fmem.Rn(m+1) >= Fmem.Rd(m+1))
R(1,m+1) = 1;
R(2,m+1) = Fmem.Rd(m+1)/Fmem.Rn(m+1);
else
R(1,m+1) = Fmem.Rn(m+1)/Fmem.Rd(m+1);
R(2,m+1) = 1;
end
end
for (m = 0:Nc-1)
iL = max(m - M1, 0);
iU = min (m + M2, Nc-1);
s1 = 0;
s2 = 0;
for (i = iL:iU)
s1 = s1 + R(1,i+1);
s2 = s2 + R(2,i+1);
end
Fmem.PC(1,m+1) = a(m+1) * Fmem.PC(1,m+1) + b(m+1) * s1/(iU-iL+1);
Fmem.PC(2,m+1) = a(m+1) * Fmem.PC(2,m+1) + b(m+1) * s2/(iU-iL+1);
EP(1,m+1) = EP(1,m+1) * Fmem.PC(1,m+1);
EP(2,m+1) = EP(2,m+1) * Fmem.PC(2,m+1);
end
%----------
function [M1, M2] = PQ_M1M2 (Version, Model)
if (strcmp (Version, 'Basic'))
M1 = 3;
M2 = 4;
elseif (strcmp (Version, 'Advanced'))
if (strcmp (Model, 'FFT'))
M1 = 1;
M2 = 2;
else
M1 = 1;
M2 = 1;
end
end
__________________________________________________________________
function Ntot = PQloud (Ehs, Ver, Mod)
e = 0.23;
persistent Nc s Et Ets Version Model
if (~strcmp (Ver, Version) | ~strcmp (Mod, Model))
Version = Ver;
Model = Mod;
if (strcmp (Model, 'FFT'))
[Nc, fc] = PQCB (Version);
c = 1.07664;
else
[Nc, fc] = PQFB;
c = 1.26539;
end
E0= 1e4;
Et = PQ_enThresh (fc);
s = PQ_exIndex (fc);
for (m = 0:Nc-1)
Ets(m+1) = c * (Et(m+1)/(s(m+1) * E0))^e;
end
end
sN = 0;
for (m = 0:Nc-1)
Nm = Ets(m+1) * ((1 - s(m+1) + s(m+1) * Ehs(m+1)/Et(m+1))^e - 1);
sN = sN + max(Nm, 0);
end
Ntot = (24/Nc) * sN;
%====================
function s = PQ_exIndex (f)
N = length (f);
for (m = 0:N-1)
sdB = -2 - 2.05 * atan(f(m+1)/4000) - 0.75 * atan((f(m+1)/1600)^2);
s(m+1)= 10^(sdB/10);
end
%----------
function Et = PQ_enThresh (f)
N = length (f);
for (m = 0:N-1)
EtdB = 3.64 * (f(m+1)/1000)^(-0.8);
Et(m+1) = 10^(EtdB/10);
end
__________________________________________________________________
function [M, ERavg, Fmem] = PQmodPatt (Es, Fmem)
persistent Nc a b Fss
if (isempty (Nc))
Fs = 48000;
NF = 2048;
Fss = Fs/(NF/2);
[Nc, fc] = PQCB ('Basic');
t100 = 0.050;
t0 = 0.008;
[a, b] = PQtConst (t100, t0, fc, Fss);
end
M = zeros (2, Nc);
e = 0.3;
for (i = 1:2)
for (m = 0:Nc-1)
Ee = Es(i,m+1)^e;
Fmem.DE(i,m+1) = a(m+1) * Fmem.DE(i,m+1) ...
+ b(m+1) * Fss * abs (Ee - Fmem.Ese(i,m+1));
Fmem.Eavg(i,m+1) = a(m+1) * Fmem.Eavg(i,m+1) + b(m+1) * Ee;
Fmem.Ese(i,m+1) = Ee;
M(i,m+1) = Fmem.DE(i,m+1)/(1 + Fmem.Eavg(i,m+1)/0.3);
end
end
ERavg = Fmem.Eavg(1,:);
Б.2 Листинг программы расчета метрики PEAQ на языке C
Файл: common.h
#define DEBUG
#define HANN 2048
#define BARK 109
#define DOUBLE
#if defined(DOUBLE)
#define module(x) fabs((double) x)
#define p(x,y) pow((double)x, (double)y)
#elif defined(LDOUBLE)
#define module(x) fabsl((long double) x)
#define p(x,y) powl((long double)x, (long double)y)
#endif
/************************detprob************************/
#define C1 1.0
/**************************end**************************/
/***********************harmstruct**********************/
#define AVGHANN
#define SKIPFRAME
#define GETMAX
#define Fup 18000.0
#define Flow 80.0
#define PATCH 1
/**************************end**************************/
/*************************peaqb*************************/
#define LOGVARIABLE
#ifdef LOGVARIABLE
#define LOGALLFRAMES
#endif
/**************************end**************************/
struct processing {
double fftref[HANN/2];
double ffttest[HANN/2];
double ffteref[HANN/2];
double fftetest[HANN/2];
double fnoise[HANN/2];
double pptest[BARK];
double ppref[BARK];
double ppnoise[BARK];
double E2test[BARK];
double E2ref[BARK];
double Etest[BARK];
double Eref[BARK];
double Mref[BARK];
double Modtest[BARK];
double Modref[BARK];
};
__________________________________________________________________
Файл: peaqb.h
#define LOGRESULT "analized"
#ifdef DEBUG
#define LOGFILE "debugged.txt"
#endif
#define OPT_REF 0x01
#define OPT_TEST 0x02
#define THRESHOLDDELAY 0.050
#define AVERAGINGDEALAY 0.5
__________________________________________________________________
#define B(f) 7 * asinh((double)f/650)
#define BI(z) 650 * sinh((double)z/7)
/* Function prototypes */
void fatalerr(char *,...);
void usage(char *);
void logvariable(const char *, double *, int);
void ProcessFrame(signed int *, signed int *, int, signed int *,
signed int *, int, int, int, int);
/* Prototypes end */
__________________________________________________________________
Файл: peaqb.c
#include <stdio.h>
#include <stdlib.h>
#include <string.h>
#include <stdarg.h>
#include <getopt.h>
#include <assert.h>
#include <math.h>
#include <fftw.h>
#include <common.h>
#include <wavedump.h>
#include <getframe.h>
#include <bandwidth.h>
#include <levpatadapt.h>
#include <moddiff.h>
#include <modulation.h>
#include <loudness.h>
#include <neural.h>
#include <nmr.h>
#include <detprob.h>
#include <energyth.h>
#include <harmstruct.h>
#include <boundary.h>
#include <critbandgroup.h>
#include <earmodelfft.h>
#include <noiseloudness.h>
#include <reldistframes.h>
#include <spreading.h>
#include <timespreading.h>
#include <threshold.h>
#include <peaqb.h>
extern int errno;
char *fileref, *filetest;
double hannwindow[HANN];
double Etesttmpch1[BARK], Etesttmpch2[BARK], Ereftmpch1[BARK],
Ereftmpch2[BARK], Cffttmpch1[HANN/2], Cffttmpch2[HANN/2];
int delaytime1, delaytime2;
int count = 0;
int harmsamples = 1;
fftw_plan plan, plan2;
__________________________________________________________________
/* Bark Tables */
double *fL, *fC, *fU;
int bark;
struct levpatadaptin levinch1, levinch2;
struct modulationin modintestch1, modintestch2, modinrefch1, modinrefch2;
struct moddiffin moddiffinch1, moddiffinch2;
struct bandwidthout bandwidthch1, bandwidthch2;
struct outframes processed;
int
main(int argc, char *argv[])
{
signed int ch1ref[HANN];
signed int ch2ref[HANN];
signed int ch1test[HANN];
signed int ch2test[HANN];
int opt_line = 0;
int rateref, numchref, bitsampleref, Ipref;
int ratetest, numchtest, bitsampletest, Iptest;
int boundflag, totalframes = 0;
FILE *fpref, *fptest;
struct boundaryflag boundbe = {0, 0};
struct out oveRet;
/* Parse command line */
if (argc < 3)
usage(argv[0]);
{
int c = 0;
while ((c = getopt(argc, argv, "r:t:h")) != EOF)
switch (c) {
case 'h':
usage(argv[0]);
break;
case 'r':
opt_line |= OPT_REF;
fileref = optarg;
break;
case 't':
opt_line |= OPT_TEST;
filetest = optarg;
break;
}
}
/* Input control */
if (!(opt_line & OPT_REF) || !*fileref)
fatalerr ("err: -r/-reference <arg> required");
if (!(opt_line & OPT_TEST) || !*filetest)
fatalerr ("err: -t/-test <arg> required");
__________________________________________________________________
Ipref = LevelPression(fileref);
Iptest = LevelPression(filetest);
/* Init routines */
//make Hann Window (2.1.3)
{
int k;
for(k=0;k<HANN;k++)
hannwindow[k] = 0.5*sqrt((double)8/3)*
(1 - cos((double)2*M_PI*k/(HANN -1)));
}
//make Bark tables (2.1.5)
{
int k;
double zL, zU;
double *zl, *zc, *zu;
zL = B(Flow);
zU = B(Fup);
bark = ceil((zU - zL)/dz);
fL = (double *)malloc(bark * sizeof(double));
fC = (double *)malloc(bark * sizeof(double));
fU = (double *)malloc(bark * sizeof(double));
zl = (double *)malloc(bark * sizeof(double));
zc = (double *)malloc(bark * sizeof(double));
zu = (double *)malloc(bark * sizeof(double));
assert(fL != NULL && fC != NULL && fU != NULL && zl != NULL
&& zc != NULL && zu != NULL);
for(k=0;k<bark;k++){
zl[k] = zL + k*dz;
zu[k] = zL + (k+1)*dz;
zc[k] = 0.5 * (zl[k] + zu[k]);
}
zu[bark-1] = zU;
zc[bark-1] = 0.5 * (zl[bark-1 ] + zu[bark-1]);
for(k=0;k<bark;k++){
fL[k] = BI(zl[k]);
fU[k] = BI(zu[k]);
fC[k] = BI(zc[k]);
}
free(zl);
free(zu);
free(zc);
}`
// Initialize temp var
memset(&levinch1, 0x00, sizeof(struct levpatadaptin));
memset(&levinch2, 0x00, sizeof(struct levpatadaptin));
memset(&modintestch1, 0x00, sizeof(struct modulationin));
__________________________________________________________________
memset(&modintestch2, 0x00, sizeof(struct modulationin));
memset(&modinrefch1, 0x00, sizeof(struct modulationin));
memset(&modinrefch2, 0x00, sizeof(struct modulationin));
memset(Etesttmpch1, 0x00, BARK * sizeof(double));
memset(Etesttmpch2, 0x00, BARK * sizeof(double));
memset(Ereftmpch1, 0x00, BARK * sizeof(double));
memset(Ereftmpch2, 0x00, BARK * sizeof(double));
memset(Cffttmpch1, 0x00, (HANN/2) * sizeof(double));
memset(Cffttmpch2, 0x00, (HANN/2) * sizeof(double));
memset(&moddiffinch1, 0x00, sizeof(struct moddiffin));
memset(&moddiffinch2, 0x00, sizeof(struct moddiffin));
memset(&bandwidthch1, 0x00, sizeof(struct bandwidthout));
memset(&bandwidthch2, 0x00, sizeof(struct bandwidthout));
// ref file
if ((fpref = fopen(fileref,"r")) == NULL)
fatalerr("err: %s", strerror(errno));
if ((rateref = SampleRate(fpref)) == -1)
fatalerr("err: error in WaveHeader");
if ((numchref = NumOfChan(fpref)) == -1)
fatalerr("err: error in WaveHeader");
if ((bitsampleref = BitForSample(fpref)) == -1)
fatalerr("err: error in WaveHeader");
if(FindData(fpref) == -1)
fatalerr("err: can't find Data Field");
//test file
if ((fptest = fopen(filetest,"r")) == NULL)
fatalerr("err: %s", strerror(errno));
if ((ratetest = SampleRate(fptest)) == -1)
fatalerr("err: error in WaveHeader");
if ((numchtest = NumOfChan(fptest)) == -1)
fatalerr("err: error in WaveHeader");
if ((bitsampletest = BitForSample(fptest)) == -1)
fatalerr("err: error in WaveHeader");
if(FindData(fptest) == -1)
fatalerr("err: can't find Data Field");
fprintf(stdout, "\n PEAQb Algorithm. Author Giuseppe Gottardi 'oveRet'"
" <gottardi@ailinux.org>\n");
fprintf(stdout,"\nRef File %s"
"\n - Sample Rate: %d"
"\n - Number Of Channel: %d"
"\n - Bits for Sample: %d"
"\n - Level Playback: %d\n\n", fileref, rateref,
numchref, bitsampleref, Ipref);
fprintf(stdout,"\nTest File %s"
"\n - Sample Rate: %d"
"\n - Number Of Channel: %d"
"\n - Bits for Sample: %d"
"\n - Level Playback: %d\n\n", filetest, ratetest,
numchtest, bitsampletest, Iptest);
__________________________________________________________________
// Processing
if(ratetest != rateref)
fatalerr("err: Can't process Wave Files with different Sample Rate");
if(numchref != numchtest)
fatalerr("err: Can't process Mono Wave with Stereo Wave");
// Find delaytime1 for Loudness Threshold
delaytime1 = ceilf((float)THRESHOLDDELAY*ratetest*2/HANN);
// Find delaytime2 for Delayed Averaging
delaytime2 = ceilf((float)AVERAGINGDEALAY*ratetest*2/HANN);
// make fft plan
plan = fftw_create_plan(HANN, FFTW_FORWARD, FFTW_MEASURE);
while(harmsamples < (Fup/ratetest)*(HANN/2.0)/2.0)
harmsamples *= 2;
plan2 = fftw_create_plan(harmsamples, FFTW_FORWARD, FFTW_MEASURE);
if(numchref == 1) {
if (fseek(fpref, (HANN/2)*bitsampleref/8, SEEK_CUR) == -1)
fatalerr("err: %s", strerror(errno));
if (fseek(fptest, (HANN/2)*bitsampletest/8, SEEK_CUR) == -1)
fatalerr("err: %s", strerror(errno));
#ifdef DATABOUND_BE
#undef DATABOUND_ONE
{
int i = 0, flag = 0, f1, f2;
long dataref, datatest, br1, br2;
dataref = ftell(fpref);
datatest = ftell(fptest);
while(1){
br1 = ftell(fpref);
br2 = ftell(fptest);
f1 = GetMonoFrame(fpref, (signed int *)ch1ref,
bitsampleref/8, HANN);
f2 = GetMonoFrame(fptest, (signed int*)ch1test,
bitsampletest/8, HANN);
if(f1 && f2) {
totalframes++;
if(boundary(ch1ref, ch1test, NULL, NULL, HANN) && !flag){
boundbe.begin = totalframes;
flag = 1;
}
}
else {
fseek(fptest, br1, SEEK_SET);
fseek(fpref, br2, SEEK_SET);
break;
}
}
fseek(fptest, -(HANN/2)*bitsampletest/8, SEEK_CUR);
__________________________________________________________________
fseek(fpref, -(HANN/2)*bitsampleref/8, SEEK_CUR);
while(i<totalframes){
GetMonoFrame(fpref, (signed int *)ch1ref, bitsampleref/8, HANN);
GetMonoFrame(fptest, (signed int *)ch1test, bitsampletest/8, HANN);
fseek(fptest, -2*(HANN/2)*bitsampletest/8, SEEK_CUR);
fseek(fpref, -2*(HANN/2)*bitsampleref/8, SEEK_CUR);
i++;
if(boundary(ch1ref, ch1test, NULL, NULL, HANN)) {
boundbe.end = totalframes-i;
break;
}
}
fseek(fptest, datatest, SEEK_SET);
fseek(fpref, dataref, SEEK_SET);
}
#endif
while (GetMonoFrame(fpref, (signed int *)ch1ref,
bitsampleref/8, HANN)
&& GetMonoFrame(fptest, (signed int *)ch1test,
bitsampletest/8, HANN)) {
count++;
#ifdef DATABOUND_BE
if(count >= boundbe.begin && count <= boundbe.end)
boundflag = 1;
else
boundflag = 0;
#else
boundflag = boundary(ch1ref, ch1test, NULL, NULL, HANN);
#ifdef DATABOUND_ONE
{
static int flag1 = 0, flag2 = 0;
if(boundflag && !flag1)
flag1 = 1;
if(!boundflag && flag1)
flag2 = 1;
if(flag2)
boundflag = 0;
}
#endif
#endif
ProcessFrame((signed int *)ch1ref,
(signed int *)NULL, Ipref,
(signed int *)ch1test,
(signed int *)NULL,
Iptest, rateref, boundflag, HANN);
oveRet = neural(processed);
fprintf(stdout,"\nframe: %d"
#ifdef DATABOUND_BE
"/%d"
__________________________________________________________________
"\ndata boundary: %d -> %d"
#endif
"\nBandwidthRefb: %g"
"\nBandwidthTestb: %g"
"\nTotalNMRb %g"
"\nWinModDiff1b: %g"
"\nADBb: %g"
"\nEHSb: %g"
"\nAvgModDiff1b: %g"
"\nAvgModDiff2b %g"
"\nRmsNoiseLoudb: %g"
"\nMFPDb: %g"
"\nRelDistFramesb: %g"
"\nDI: %g"
"\nODG: %g\n",
count,
#ifdef DATABOUND_BE
totalframes, boundbe.begin, boundbe.end,
#endif
processed.BandwidthRefb,
processed.BandwidthTestb, processed.TotalNMRb,
processed.WinModDiff1b, processed.ADBb,
processed.EHSb, processed.AvgModDiff1b,
processed.AvgModDiff2b,
processed.RmsNoiseLoudb, processed.MFPDb,
processed.RelDistFramesb,
oveRet.DI, oveRet.ODG);
}
{
FILE *res;
res = fopen(LOGRESULT, "a+");
fprintf(res,"\nFile: %s\n"
"\nframe: %d"
"\nBandwidthRefb: %g"
"\nBandwidthTestb: %g"
"\nTotalNMRb %g"
"\nWinModDiff1b: %g"
"\nADBb: %g"
"\nEHSb: %g"
"\nAvgModDiff1b: %g"
"\nAvgModDiff2b: %g"
"\nRmsNoiseLoudb: %g"
"\nMFPDb: %g"
"\nRelDistFramesb: %g"
"\nDI: %g"
"\nODG: %g\n",
filetest, count, processed.BandwidthRefb,
processed.BandwidthTestb, processed.TotalNMRb,
processed.WinModDiff1b, processed.ADBb,
processed.EHSb, processed.AvgModDiff1b,
processed.AvgModDiff2b,
__________________________________________________________________
processed.RmsNoiseLoudb, processed.MFPDb,
processed.RelDistFramesb,
oveRet.DI, oveRet.ODG);
fclose(res);
}
}
if(numchref == 2) {
if (fseek(fpref, HANN*bitsampleref/8, SEEK_CUR) == -1)
fatalerr("err: %s", strerror(errno));
if (fseek(fptest, HANN*bitsampletest/8, SEEK_CUR) == -1)
fatalerr("err: %s", strerror(errno));
#ifdef DATABOUND_BE
#undef DATABOUND_ONE
{
int i = 0, flag = 0, f1, f2;
long dataref, datatest, br1, br2;
dataref = ftell(fpref);
datatest = ftell(fptest);
while(1) {
br1 = ftell(fpref);
br2 = ftell(fptest);
f1 = GetStereoFrame(fpref, (signed int *)ch1ref,
(signed int *)ch2ref, bitsampleref/8, HANN)
f2 = GetStereoFrame(fptest, (signed int *)ch1test,
(signed int *)ch2test, bitsampletest/8, HANN);
if(f1 && f2) {
totalframes++;
if(boundary(ch1ref, ch1test, ch2ref, ch2test, HANN) && !flag) {
boundbe.begin = totalframes;
flag = 1;
}
}
else {
fseek(fptest, br1, SEEK_SET);
fseek(fpref, br2, SEEK_SET);
break;
}
}
fseek(fptest, -HANN*bitsampletest/8, SEEK_CUR);
fseek(fpref, -HANN*bitsampleref/8, SEEK_CUR);
while(i<totalframes) {
GetStereoFrame(fpref, (signed int *)ch1ref,
(signed int *)ch2ref, bitsampleref/8, HANN);
GetStereoFrame(fptest, (signed int *)ch1test,
(signed int *)ch2test, bitsampletest/8, HANN);
fseek(fptest, -2*HANN*bitsampletest/8, SEEK_CUR);
fseek(fpref, -2*HANN*bitsampleref/8, SEEK_CUR);
i++;
if(boundary(ch1ref, ch1test, ch2ref, ch2test, HANN)) {
boundbe.end = totalframes-i+1;
__________________________________________________________________
break;
}
}
fseek(fptest, datatest, SEEK_SET);
fseek(fpref, dataref, SEEK_SET);
}
#endif
while (GetStereoFrame(fpref, (signed int *)ch1ref,
(signed int *)ch2ref, bitsampleref/8, HANN)
&& GetStereoFrame(fptest, (signed int *)ch1test,
(signed int *)ch2test, bitsampletest/8, HANN)) {
count++;
#ifdef DATABOUND_BE
if(count >= boundbe.begin && count <= boundbe.end)
boundflag = 1;
else
boundflag = 0;
#else
boundflag = boundary(ch1ref, ch1test, ch2ref, ch2test, HANN);
#ifdef DATABOUND_ONE
{
static int flag1 = 0, flag2 = 0;
if(boundflag && !flag1)
flag1 = 1;
if(!boundflag && flag1)
flag2 = 1;
if(flag2)
boundflag = 0;
}
#endif
#endif
ProcessFrame((signed int *)ch1ref,
(signed int *)ch2ref, Ipref,
(signed int *)ch1test,
(signed int *)ch2test,
Iptest, rateref, boundflag, HANN);
oveRet = neural(processed);
fprintf(stdout,"\nframe: %d"
#ifdef DATABOUND_BE
"/%d"
"\ndata boundary: %d -> %d"
#endif
"\nBandwidthRefb: %g"
"\nBandwidthTestb: %g"
"\nTotalNMRb %g"
"\nWinModDiff1b: %g"
"\nADBb: %g"
__________________________________________________________________
"\nEHSb: %g"
"\nAvgModDiff1b: %g"
"\nAvgModDiff2b %g"
"\nRmsNoiseLoudb: %g"
"\nMFPDb: %g"
"\nRelDistFramesb: %g"
"\nDI: %g"
"\nODG: %g\n",
count,
#ifdef DATABOUND_BE
totalframes, boundbe.begin, boundbe.end,
#endif
processed.BandwidthRefb,
processed.BandwidthTestb, processed.TotalNMRb,
processed.WinModDiff1b, processed.ADBb,
processed.EHSb, processed.AvgModDiff1b,
processed.AvgModDiff2b,
processed.RmsNoiseLoudb, processed.MFPDb,
processed.RelDistFramesb,
oveRet.DI, oveRet.ODG);
}
{
FILE *res;
res = fopen(LOGRESULT,"a+");
fprintf(res,"\nFile: %s\n"
"\nframe: %d"
"\nBandwidthRefb: %g"
"\nBandwidthTestb: %g"
"\nTotalNMRb %g"
"\nWinModDiff1b: %g"
"\nADBb: %g"
"\nEHSb: %g"
"\nAvgModDiff1b: %g"
"\nAvgModDiff2b %g"
"\nRmsNoiseLoudb: %g"
"\nMFPDb: %g"
"\nRelDistFramesb: %g"
"\nDI: %g"
"\nODG: %g\n",
filetest, count, processed.BandwidthRefb,
processed.BandwidthTestb, processed.TotalNMRb,
processed.WinModDiff1b, processed.ADBb,
processed.EHSb, processed.AvgModDiff1b,
processed.AvgModDiff2b,
processed.RmsNoiseLoudb, processed.MFPDb,
processed.RelDistFramesb,
oveRet.DI, oveRet.ODG);
fclose(res);
}
}
__________________________________________________________________
fftw_destroy_plan(plan);
fclose(fpref);
fclose(fptest);
return 0;
}
void
ProcessFrame(signed int *ch1ref, signed int *ch2ref, int Ipref,
signed int *ch1test, signed int *ch2test, int Iptest,
int rate, int boundflag, int hann)
{
int k;
static int ch = 1;
double Ntotaltest, Ntotalref;
struct levpatadaptout lev;
struct moddiffout mod;
struct processing processch1, processch2;
earmodelfft(ch1ref, Ipref, hann, processch1.ffteref,
processch1.fftref);
earmodelfft(ch1test, Iptest, hann, processch1.fftetest,
processch1.ffttest);
critbandgroup(processch1.ffteref, rate, hann, processch1.ppref);
AddIntNoise(processch1.ppref);
critbandgroup(processch1.fftetest, rate, hann, processch1.pptest);
AddIntNoise(processch1.pptest);
for(k=0;k<hann/2;k++)
processch1.fnoise[k] = module(processch1.ffteref[k])
- module(processch1.fftetest[k]);
critbandgroup(processch1.fnoise, rate, hann, processch1.ppnoise);
spreading(processch1.pptest, processch1.E2test);
spreading(processch1.ppref, processch1.E2ref);
timespreading(processch1.E2test, Etesttmpch1, rate, processch1.Etest);
timespreading(processch1.E2ref, Ereftmpch1, rate, processch1.Eref);
threshold(processch1.Eref, processch1.Mref);
modulation(processch1.E2test, rate, &modintestch1, processch1.Modtest);
modulation(processch1.E2ref, rate, &modinrefch1, processch1.Modref);
//Data boundary
if(boundflag){
static int countboundary = 1;
static double RelDistFramesb = 0, nmrtmp = 0;
bandwidth(processch1.ffttest, processch1.fftref, hann,
&bandwidthch1);
processed.BandwidthRefb = bandwidthch1.BandwidthRefb;
processed.BandwidthTestb = bandwidthch1.BandwidthTestb;
processed.TotalNMRb = nmr(processch1.ppnoise, processch1.Mref,
&nmrtmp, countboundary);
processed.RelDistFramesb = reldistframes(processch1.ppnoise,
processch1.Mref,
__________________________________________________________________
&RelDistFramesb,
countboundary);
countboundary++;
//Data boundary + Energy threshold
if(energyth(ch1test, ch1ref, hann)){
static int countenergy = 1;
static double EHStmp = 0;
processed.EHSb = harmstruct(processch1.ffttest,
processch1.fftref,
&EHStmp, rate, Cffttmpch1,
harmsamples, &countenergy);
countenergy++;
}
}
//Delayed Averaging
if(count > delaytime2){
static double nltmp = 0;
static int noise = 0, internal_count = 0, loudcounter = 0;
mod = moddiff(processch1.Modtest, processch1.Modref,
(double *)&(modinrefch1.Etildetmp));
processed.WinModDiff1b = ModDiff1(mod, &moddiffinch1,
count - delaytime2);
processed.AvgModDiff1b = ModDiff2(mod, &moddiffinch1);
processed.AvgModDiff2b = ModDiff3(mod, &moddiffinch1);
Ntotaltest = loudness(processch1.Etest);
Ntotalref = loudness(processch1.Eref);
if(Ntotaltest > 0.1 || Ntotalref > 0.1){
noise = 1;
#if defined(LOUDMODO2)
internal_count = 0;
#endif
}
//Delayed Averaging + loudness threshold
if(noise && internal_count <= delaytime1){
//skip 0.05 sec (about 3 frames)
internal_count++;
loudcounter++;
}
else {
lev = levpatadapt(processch1.Etest, processch1.Eref, rate,
&levinch1, hann);
processed.RmsNoiseLoudb = noiseloudness(processch1.Modtest,
processch1.Modref,
lev, &nltmp,
count - delaytime2
- loudcounter);
}
}
__________________________________________________________________
/*{
extern double Cfft[];
extern int maxk;
FILE *fp;
logvariable("Cfftsx.txt", Cfft, 128);
fp = fopen("Cfftsxmaxpos.txt", "a+");
fprintf(fp,"%d\n",maxk);
fclose(fp);
}*/
if(*ch2ref && *ch2test){
ch = 2;
earmodelfft(ch2ref, Ipref, hann, processch2.ffteref,
processch2.fftref);
earmodelfft(ch2test, Iptest, hann, processch2.fftetest,
processch2.ffttest);
critbandgroup(processch2.ffteref, rate, hann, processch2.ppref);
AddIntNoise(processch2.ppref);
critbandgroup(processch2.fftetest, rate, hann, processch2.pptest);
AddIntNoise(processch2.pptest);
for(k=0;k<hann/2;k++)
processch2.fnoise[k] = module(processch2.ffteref[k])
- module(processch2.fftetest[k]);
critbandgroup(processch2.fnoise, rate, hann, processch2.ppnoise);
spreading(processch2.pptest, processch2.E2test);
spreading(processch2.ppref, processch2.E2ref);
timespreading(processch2.E2test, Etesttmpch2, rate,
processch2.Etest);
timespreading(processch2.E2ref, Ereftmpch2, rate,
processch2.Eref);
threshold(processch2.Eref, processch2.Mref);
modulation(processch2.E2test, rate, &modintestch2,
processch2.Modtest);
modulation(processch2.E2ref, rate, &modinrefch2,
processch2.Modref);
//Data boundary
if(boundflag){
static int countboundary = 1;
static double RelDistFramesb = 0, nmrtmp = 0;
bandwidth(processch2.ffttest, processch2.fftref, hann,
&bandwidthch2);
processed.BandwidthRefb += bandwidthch2.BandwidthRefb;
processed.BandwidthTestb += bandwidthch2.BandwidthTestb;
processed.BandwidthRefb /= 2.0;
processed.BandwidthTestb /= 2.0;
processed.TotalNMRb += nmr(processch2.ppnoise,
processch2.Mref, &nmrtmp,
__________________________________________________________________
countboundary);
processed.RelDistFramesb += reldistframes(processch2.ppnoise,
processch2.Mref,
&RelDistFramesb,
countboundary);
processed.TotalNMRb /= 2.0;
processed.RelDistFramesb /= 2.0;
countboundary++;
//Data boundary + Energy threshold
if(energyth(ch2test, ch2ref, hann)){
static int countenergy = 1;
static double EHStmp = 0;
processed.EHSb += harmstruct(processch2.ffttest,
processch2.fftref,
&EHStmp, rate, Cffttmpch2,
harmsamples, &countenergy);
processed.EHSb /= 2.0;
countenergy++;
}
}
//Delayed Averaging
if(count > delaytime2){
static double nltmp = 0;
static int noise = 0, internal_count = 0, loudcounter = 0;
mod = moddiff(processch2.Modtest, processch2.Modref,
(double *)&(modinrefch2.Etildetmp));
processed.WinModDiff1b += ModDiff1(mod, &moddiffinch2,
count - delaytime2);
processed.AvgModDiff1b += ModDiff2(mod, &moddiffinch2);
processed.AvgModDiff2b += ModDiff3(mod, &moddiffinch2);
processed.WinModDiff1b /= 2.0;
processed.AvgModDiff1b /= 2.0;
processed.AvgModDiff2b /= 2.0;
Ntotaltest = loudness(processch2.Etest);
Ntotalref = loudness(processch2.Eref);
if(Ntotaltest > 0.1 || Ntotalref > 0.1){
noise = 1;
#if defined(LOUDMODO2)
internal_count = 0;
#endif
}
//Delayed Averaging + loudness threshold
if(noise && internal_count <= delaytime1){
//skip 0.05 sec (about 3 frames)
internal_count++;
loudcounter++;
}
__________________________________________________________________
else {
lev = levpatadapt(processch2.Etest, processch2.Eref, rate,
&levinch2, hann);
processed.RmsNoiseLoudb += noiseloudness(processch2.Modtest,
processch2.Modref,
lev, &nltmp,
count - delaytime2
- loudcounter);
processed.RmsNoiseLoudb /= 2.0;
}
}
}
{
static int ndistorcedtmp = 0;
static double Ptildetmp = 0, PMtmp = 0, Qsum = 0;
if(ch == 2)
processed.ADBb = detprob(processch1.Etest, processch2.Etest,
processch1.Eref, processch2.Eref,
&Ptildetmp, &PMtmp, &Qsum,
&ndistorcedtmp, hann);
else
processed.ADBb = detprob(processch1.Etest, NULL,
processch1.Eref, NULL,
&Ptildetmp, &PMtmp, &Qsum,
&ndistorcedtmp, hann);
processed.MFPDb = PMtmp;
}
/*
#ifdef LOGVARIABLE
logvariable("fftetestsx.txt", processch1.fftetest, hann/2);
logvariable("ffterefsx.txt", processch1.ffteref, hann/2);
logvariable("ffttestsx.txt", processch1.ffttest, hann/2);
logvariable("fftrefsx.txt", processch1.fftref, hann/2);
logvariable("Etestsx.txt", processch1.Etest, bark);
logvariable("Erefsx.txt", processch1.Eref, bark);
logvariable("E2testsx.txt", processch1.E2test, bark);
logvariable("E2refsx.txt", processch1.E2ref, bark);
logvariable("pptestsx.txt", processch1.pptest, bark);
logvariable("pprefsx.txt", processch1.ppref, bark);
logvariable("ppnoisesx.txt", processch1.ppnoise, bark);
logvariable("Mrefsx.txt", processch1.Mref, bark);
logvariable("Modtestsx.txt", processch1.Modtest, bark);
logvariable("Modrefsx.txt", processch1.Modref, bark);
logvariable("fftetestdx.txt", processch2.fftetest, hann/2);
logvariable("ffterefdx.txt", processch2.ffteref, hann/2);
logvariable("ffttestdx.txt", processch2.ffttest, hann/2);
logvariable("fftrefdx.txt", processch2.fftref, hann/2);
logvariable("Etestdx.txt", processch2.Etest, bark);
logvariable("Erefdx.txt", processch2.Eref, bark);
logvariable("E2testdx.txt", processch2.E2test, bark);
logvariable("E2refdx.txt", processch2.E2ref, bark);
__________________________________________________________________
logvariable("pptestdx.txt", processch2.pptest, bark);
logvariable("pprefdx.txt", processch2.ppref, bark);
logvariable("ppnoisedx.txt", processch2.ppnoise, bark);
logvariable("Mrefdx.txt", processch2.Mref, bark);
logvariable("Modtestdx.txt", processch2.Modtest, bark);
logvariable("Modrefdx.txt", processch2.Modref, bark);
#endif
*/
/*{
extern double Cfft[];
extern int maxk;
FILE *fp;
logvariable("Cfftdx.txt", Cfft, 128);
fp = fopen("Cfftdxmaxpos.txt", "a+");
fprintf(fp,"%d\n", maxk);
fclose(fp);
}*/
return;
}
void
fatalerr(char * pattern,...)/* Error handling routine */
{
va_list ap;
va_start(ap, pattern);
fprintf(stderr,"PEAQ-");
vfprintf(stderr, pattern, ap);
fprintf(stderr,"(exit forced).\n");
va_end(ap);
exit(-1);
}
#ifdef DEBUG
void
debug(char * pattern,...) /* Debug handling routine */
{
FILE *log;
va_list ap;
va_start(ap, pattern);
log = fopen(LOGFILE,"a+");
vfprintf(log, pattern, ap);
va_end(ap);
fclose(log);
return;
}
#endif
#ifdef LOGVARIABLE
void
__________________________________________________________________
logvariable(const char *filename, double *var, int len)
{
FILE *fp;
int k;
#ifdef LOGALLFRAMES
fp = fopen(filename,"a+");
#else
fp = fopen(filename,"w");
#endif
for(k=0;k<len;k++)
fprintf(fp,"%g\n",var[k]);
fclose(fp);
return;
}
#endif
void
usage(char * name)/* Print usage */
{
fprintf(stderr, "PEAQ Algorithm.Giuseppe Gottardi 'oveRet'"
"<gottardi@ailinux.org>\n\n");
fprintf(stderr, "usage: %s <option>\n", name);
fprintf(stderr," -r reffile[:lp] (lp default = 92)\n"
" -t testfile[:lp] (lp default = 92)\n"
" -h print this help\n");
exit (0);
}
__________________________________________________________________
Файл: bandwidth.h
#define ZEROTHRESHOLD 921
#define BwMAX 346
struct bandwidthout {
double sumBandwidthRefb;
int countref;
double sumBandwidthTestb;
int counttest;
double BandwidthRefb;
double BandwidthTestb;
};
/* Function prototypes */
int bandwidth(double *, double *, int, struct bandwidthout *);
/* Prototypes end */
__________________________________________________________________
Файл: bandwidth.c
#include <stdlib.h>
#include <math.h>
#include <common.h>
#include <bandwidth.h>
int
bandwidth(double *ffttest, double *fftref, int hann,
struct bandwidthout *out)
{
int k, BwRef = 0, BwTest = 0;
double Flevtest, Flevref;
double ZeroThreshold;
ZeroThreshold = 20.0 * log10((double)ffttest[ZEROTHRESHOLD]);
for(k=ZEROTHRESHOLD;k<hann/2;k++){
Flevtest = 20.0 * log10((double)ffttest[k]);
if(Flevtest > ZeroThreshold)
ZeroThreshold = Flevtest;
}
for(k=ZEROTHRESHOLD-1;k>=0;k-){
Flevref = 20.0 * log10((double)fftref[k]);
if(Flevref >= 10.0+ZeroThreshold){
BwRef = k + 1;
break;
}
}
for(k=BwRef-1;k>=0;k-){
Flevtest = 20.0 * log10((double)ffttest[k]);
if(Flevtest >= 5.0+ZeroThreshold){
BwTest = k + 1;
break;
}
}
if(BwRef > BwMAX){
out->sumBandwidthRefb += (double)BwRef;
out->countref++;
}
if(BwTest > BwMAX){
out->sumBandwidthTestb += (double)BwTest;
out->counttest++;
}
if(out->countref == 0)
out->BandwidthRefb = 0;
else
out->BandwidthRefb = out->sumBandwidthRefb/(double)out->countref;
if(out->counttest == 0)
out->BandwidthTestb = 0;
else
out->BandwidthTestb = out->sumBandwidthTestb/(double)out->counttest;
return 0;
}
__________________________________________________________________
Файл: boundary.h
#define BOUNDWIN 5
#define BOUNDLIMIT 200
struct boundaryflag{
int begin;
int end;
};
/* Function prototypes */
int boundary(signed int *, signed int *, signed int *, signed int *, int);
/* Prototypes end */
__________________________________________________________________
Файл: boundary.c
#include <stdlib.h>
#include <math.h>
#include <common.h>
#include <boundary.h>
int
boundary(signed int *ch1ref, signed int *ch1test, signed int *ch2ref,
signed int *ch2test, int hann)
{
int k, i, sum;
int ch1t = 0, ch1r = 0, ch2t = 0, ch2r = 0;
for(k=0;k<hann-BOUNDWIN+1;k++){
if(!ch1t){
sum = 0;
for(i=0;i<BOUNDWIN;i++)
sum += abs(ch1test[k+i]);
if(sum > BOUNDLIMIT)
ch1t=1;
}
if(!ch1r){
sum = 0;
for(i=0;i<BOUNDWIN;i++)
sum += abs(ch1ref[k+i]);
if(sum > BOUNDLIMIT)
ch1r = 1;
}
if(ch1t || ch1r)// || or &&
return 1;
}
if(ch2test == NULL && ch2ref == NULL)
return 0;
for(k=0;k<hann-BOUNDWIN+1;k++){
if(!ch2t){
sum = 0;
for(i=0;i<BOUNDWIN;i++)
sum += abs(ch2test[k+i]);
if(sum > BOUNDLIMIT)
ch2t = 1;
}
if(!ch2r){
sum = 0;
for(i=0;i<BOUNDWIN;i++)
sum += abs(ch2ref[k+i]);
if(sum > BOUNDLIMIT)
ch2r=1;
}
if((ch1t || ch2t) || (ch1r || ch2r)) // || or &&
return 1;
}
return 0;
}
__________________________________________________________________
Файл: critbandgroup.h
/* Function prototypes */
int critbandgroup(double *, int, int, double *);
int AddIntNoise(double *);
/* Prototypes end */
__________________________________________________________________
Файл: critbandgroup.c
#include <stdlib.h>
#include <math.h>
#include <common.h>
#include <critbandgroup.h>
extern double *fL, *fC, *fU;
extern int bark;
int
critbandgroup(double *ffte, int rate, int hann, double *pe)
{
double fres;
int i, k;
fres = (double)rate/hann;
for(i=0;i<bark;i++){
pe[i] = 0;
for(k=0;k<hann/2;k++){
if(((double)(k-0.5)*fres) >= fL[i]
&& ((double)(k+0.5)*fres <= fU[i]))
pe[i] += p(ffte[k], 2.0);
else
if(((double)(k-0.5)*fres) < fL[i]
&& ((double)(k+0.5)*fres > fU[i]))
pe[i] += p(ffte[k], 2.0)*(fU[i]-fL[i])/fres;
else
if(((double)(k-0.5)*fres) < fL[i]
&& ((double)(k+0.5)*fres > fL[i]))
pe[i] += p(ffte[k], 2.0)*(double)((k+0.5)
*fres-fL[i])/fres;
else
if(((double)(k-0.5)*fres) < fU[i]
&& ((double)(k+0.5)*fres > fU[i]))
pe[i] += p(ffte[k], 2.0)*(fU[i]-(double)(k-0.5)
*fres)/fres;
}
if(pe[i] < p(10.0, -12.0))
pe[i] = p(10.0, -12.0);
}
return 0;
}
int
AddIntNoise(double *pe)
{
int k;
double Pthres;
for(k=0;k<bark;k++){
Pthres = p(10.0, 0.4*0.364*p(fC[k]/1000.0, -0.8));
pe[k] += Pthres;
}
return 0;
}
__________________________________________________________________
Файл: detprob.h
/* Function prototypes */
double detprob(double *, double *, double *, double *, double *,
double *, double *, int *, int);
/* Prototypes end */
__________________________________________________________________
Файл: detprob.c
#include <stdlib.h>
#include <math.h>
#include <common.h>
#include <detprob.h>
extern int bark;
double
detprob(double *Etestch1, double *Etestch2, double *Erefch1,
double *Erefch2, double *Ptildetmp, double *PMtmp,
double *Qsum, int *ndistorcedtmp, int hann)
{
int k;
double Etilderefch1, Etilderefch2, Etildetestch1, Etildetestch2;
double L, s, e, b, a, pch1, pch2, pbin,
qch1, qch2, qbin, P, c0, c1, ADBb;
double prod = 1.0, Q = 0.0;
for(k=0;k<bark;k++){
Etildetestch1 = 10.0*log10((double)Etestch1[k]);
Etilderefch1 = 10.0*log10((double)Erefch1[k]);
if(Etilderefch1 > Etildetestch1)
L = 0.3*Etilderefch1;
else
L = 0.3*Etildetestch1;
L += 0.7*Etildetestch1;
if(L > 0)
s = 5.95072*p(6.39468/L, 1.71332)+9.01033*p(10.0, -11.0)
*p(L, 4.0)+5.05622*p(10.0, -6.0)*p(L, 3.0)-0.00102438
*p(L, 2.0)+0.0550197*L-0.198719;
else
s = p(10.0, 30.0);
e = Etilderefch1 - Etildetestch1;
if(Etilderefch1 > Etildetestch1)
b = 4.0;
else
b = 6.0;
a = (double)p(10.0, log10((double)log10((double)2.0))/b)/s;
pch1 = 1.0-p(10.0, -p(a*e, b));
qch1 = abs((int)e)/s; // don't touch this
pbin = pch1;
qbin = qch1;
if(Etestch2 != NULL && Erefch2 != NULL){
Etildetestch2 = 10.0*log10((double)Etestch2[k]);
Etilderefch2 = 10.0*log10((double)Erefch2[k]);
if(Etilderefch2 > Etildetestch2)
L = 0.3*Etilderefch2;
else
L = 0.3*Etildetestch2;
L += 0.7*Etildetestch2;
if(L > 0)
s = 5.95072*p(6.39468/L, 1.71332)+9.01033*p(10.0, -11.0)
*p(L, 4.0)+5.05622*p(10.0, -6.0)*p(L, 3.0)
-0.00102438*p(L, 2.0)+0.0550197*L-0.198719;
else
s = 1.0*p(10.0, 30.0);
e = Etilderefch2 - Etildetestch2;
if(e > 0)
b = 4.0;
else
b = 6.0;
a = (double)p(10.0, log10((double)log10((double)2.0))/b)/s;
pch2 = 1.0 - p(10.0, -p(a*e, b));
qch2 = abs((int)e)/s; // don't touch this
if(pch2 > pch1)
pbin = pch2;
if(qch2 > qch1)
qbin = qch2;
}
prod *= (1.0 - pbin);
Q += qbin;
}
P = 1.0 - prod;
if(P > 0.5){
*Qsum += Q;
(*ndistorcedtmp)++;
}
if(*ndistorcedtmp == 0)
ADBb = 0;
else
if(*Qsum > 0)
ADBb = log10((double)*Qsum /(*ndistorcedtmp));
else
ADBb = -0.5;
c0 = p(0.9, hann/(2.0*1024.0));
#if !defined(C1)
c1 = p(0.99, hann/(2.0*1024.0));
#else
c1 = C1;
#endif
*Ptildetmp = (1.0 - c0)*P + (*Ptildetmp)*c0;
if(*Ptildetmp > (*PMtmp)*c1)
*PMtmp = *Ptildetmp;
else
*PMtmp = (*PMtmp)*c1;
return ADBb;
}
__________________________________________________________________
Файл: earmodelfft.h
#define NORM 11361.301063573899
#define FREQADAP 23.4375 // for 48 kHz
/* Function prototypes */
int earmodelfft(signed int *, int, int, double *, double *);
/* Prototypes end */
__________________________________________________________________
Файл: earmodelfft.c
#include <stdlib.h>
#include <math.h>
#include <fftw.h>
#include <common.h>
#include <earmodelfft.h>
extern double hannwindow[];
extern fftw_plan plan;
int
earmodelfft(signed int *ch, int lp, int hann, double *ffte, double *absfft)
{
int k;
double w, fac;
fftw_complex in[HANN], out[HANN];
fac = p(10.0, lp/20.0)/NORM;
for(k=0;k<hann;k++){
in[k].re = hannwindow[k] * (double)ch[k];
in[k].im = 0;
}
fftw_one(plan, in, out);
for(k=0;k<hann/2;k++){
out[k].re *= (double)(fac/hann);
out[k].im *= (double)(fac/hann);
absfft[k] = sqrt((double)(p(out[k].re, 2.0) + p(out[k].im, 2.0)));
w = -0.6*3.64*p(k * FREQADAP/1000.0, -0.8) +
6.5*exp((double)-0.6*p(k * FREQADAP/1000.0 - 3.3, 2.0)) -
0.001*p(k * FREQADAP/1000.0, 3.6);
ffte[k] = absfft[k]*p(10.0, w/20.0);
}
return 0;
}
__________________________________________________________________
Файл: energyth.h
#define ENERGYLIMIT 8000
/* Function prototypes */
int energyth(signed int *, signed int *, int);
/* Prototypes end */
__________________________________________________________________
Файл: energyth.c
#include <stdlib.h>
#include <math.h>
#include <common.h>
#include <energyth.h>
int
energyth(signed int *test, signed int *ref, int hann)
{
int k;
double sum;
sum = 0;
for(k=0;k<hann/2;k++){
sum += p(test[hann/2 + k], 2.0);
if(sum > ENERGYLIMIT)
return 1;
}
sum = 0;
for(k=0;k<hann/2;k++){
sum += p(ref[hann/2 + k], 2.0);
if(sum > ENERGYLIMIT)
return 1;
}
return 0;
}
__________________________________________________________________
Файл: getframe.h
#define LP 92
/* Function prototypes */
signed int GetFrameValue(FILE *, int);
int GetMonoFrame(FILE *, signed int *, int, int);
int GetStereoFrame(FILE *, signed int *, signed int *, int, int);
int LevelPression(char *);
int ReadInt(FILE *, int);
void fatalerr(char *,...);
/* Prototypes end */
__________________________________________________________________
Файл: getframe.c
#include <stdio.h>
#include <string.h>
#include <stdlib.h>
#include <getframe.h>
extern int errno;
signed int
GetFrameValue(FILE *fp, int bytes)
{
int intvalue;
if(bytes <= 0)
return 0;
intvalue = ReadInt(fp, bytes);
switch(bytes){
case 3:
if (intvalue & 0x00800000)
intvalue |= 0xff000000;
break;
case 2:
if (intvalue & 0x00008000)
intvalue |= 0xffff0000;
break;
case 1:
if (intvalue & 0x00000080)
intvalue |= 0xffffff00;
break;
}
return (signed int) intvalue;
}
int
GetMonoFrame(FILE *fp, signed int *vect, int bytes, int hann)
{
int i = 0;
if(fp == NULL)
return 0;
if (fseek(fp, (-hann/2)*bytes, SEEK_CUR) == -1)
fatalerr("err: %s", strerror(errno));
while(!feof(fp) && i < hann){
vect[i] = GetFrameValue(fp, bytes);
i++;
}
if(i < hann){
bzero(vect, hann*4);
fseek(fp, -i*bytes, SEEK_END);
return 0;
}
/* Number of samples wrote */
return i ;
}
int
GetStereoFrame(FILE *fp, signed int *sx, signed int *dx, int bytes,
int hann)
{
int i = 0, k = 0, count = 0;
if(fp == NULL)
return 0;
if(fseek(fp, -hann*bytes, SEEK_CUR) == -1)
fatalerr("err: %s", strerror(errno));
while(!feof(fp) && count < hann*2){
if(!k){
sx[i] = GetFrameValue(fp, bytes);
k = 1;
i--;
count++;
}
else {
dx[i] = GetFrameValue(fp, bytes);
k = 0;
count++;
}
i++;
}
if(count < hann*2){
bzero(sx, hann*4);
bzero(dx, hann*4);
fseek(fp, -count*bytes, SEEK_END);
return 0;
}
/* Number of samples wrote */
return count;
}
int
LevelPression(char *f)
{
int lp;
while(*f !=':' && *f)
f++;
if(*f == ':'){
lp = atoi(f + 1);
*f = '\0';
return lp;
}
else
return LP;
}
__________________________________________________________________
Файл: harmstruct.h
/* Function prototypes */
double harmstruct(double *, double *, double *, int, double *, int, int *);
void debug(char *,...);
/* Prototypes end */
__________________________________________________________________
Файл: harmstruct.c
#include <stdlib.h>
#include <math.h>
#include <string.h>
#include <fftw.h>
#include <common.h>
#include <harmstruct.h>
extern char *filetest;
extern int count;
extern fftw_plan plan2;
double Cfft[HANN/2];
int maxk;
double
harmstruct(double *ffttest, double *fftref, double *EHStmp, int rate,
double *Cffttmp, int p, int *n)
{
int k, i;
double F0[HANN/2], C[HANN/2], hannwin[HANN/2];
double num, denoma, denomb, Csum = 0;
fftw_complex in[HANN/2], out[HANN/2];
double max;
bzero(Cfft, 8 * HANN/2);
for(k=0;k<p*2-1;k++){
if(!fftref[k] || !ffttest[k]){ // skip log(0)
#if defined(SKIPFRAME) && !defined(ZERO)
(*n)-;
return 0;
#elif defined(ZERO)
if(!fftref[k]){
fftref[k] = ZERO;
#ifdef DEBUG
debug("Warning [%s:%d] in Harmstruct.c:"
"fftref[%d] is set around zero\n",
filetest, count, k, fftref[k]);
#endif
}
if(!ffttest[k]){
ffttest[k] = ZERO;
#ifdef DEBUG
debug("Warning [%s:%d] in Harmstruct.c:"
"ffttest[%d] is set around zero\n",
filetest, count, k, ffttest[k]);
#endif
}
F0[k] = log10(p(fftref[k], 2.0)) - log10(p(ffttest[k], 2.0));
#else
if(!fftref[k] && !ffttest[k])
F0[k] = 0;
else {
#ifdef DEBUG
debug("Error [%s:%d] in Harmstruct.c:"
"log(fftref[%d] = %g log(ffttest[%d] = %g\n",
filetest, count, k, fftref[k], k, ffttest[k]);
#endif
F0[k] = 0;
}
#endif
}
else
F0[k] = log10(p(fftref[k], 2.0)) - log10(p(ffttest[k], 2.0));
}
for(i=0;i<p;i++){
num = 0;
denoma = 0;
denomb = 0;
for(k=0;k<p;k++){
num += F0[k] * F0[i+k];
denoma += p(F0[k], 2.0);
denomb += p(F0[i+k], 2.0);
}
hannwin[i] = 0.5*sqrt((double)8.0/3.0)*(1.0 - cos((double)2.0
*M_Pl*i/(p-1.0)));
C[i] = num/(sqrt((double)denoma) * sqrt((double)denomb));
#if !defined(AVGHANN)
C[i] *= hannwin[i];
#endif
Csum += C[i];
}
for(i=0;i<p;i++){
C[i] -= (double)Csum/p;
#if defined(AVGHANN)
C[i] *= hannwinp[i];
#endif
in[i].im = 0;
in[i].re = C[i];
}
fftw_one(plan2, in, out);
for(k=0;k<p/2;k++){
out[k].re *=(double)(1.0/p);
out[k].im *=(double)(1.0/p);
Cfft[k] = p(out[k].re, 2.0) + p(out[k].im, 2.0);
}
#ifdef EHSMODO2
for(k=0;k<p/2;k++){
Cffttmp[k] += Cfft[k];
Cfft[k] = Cffttmp[k]/(*n);
}
#endif
#if !defined(GETMAX)
i = 0+PATCH;
while(1){
if(Cfft[i] >= Cfft[i+1]){
while(i < p/2-1 && Cfft[i] >= Cfft[i+1])
i++;
if(i < p/2-1)
break;
else {
(*n)--;
return 0;
}
}
else {
while(i < p/2-1 && Cfft[i] <= Cfft[i+1])
i++;
while(i < p/2-1 && Cfft[i] >= Cfft[i+1])
i++;
if(i < p/2-1)
break;
else {
(*n)--;
return 0;
}
}
}
#else
i = 0;
#endif
max = 0;
for(k=i+1;k<p/2;k++)
if(Cfft[k] > max){
max = Cfft[k];
maxk = k;
}
#ifdef EHSMODO2
return max*1000.0;
#endif
(*EHStmp) += max;
return ((*EHStmp)*1000.0/(*n));
}
__________________________________________________________________
Файл: levpatadapt.h
#define T100 0.05
#define Tmin 0.008
#define M 8
//if M is odd
/*
#define M1 (M-1)/2
#define M2 M1
*/
//if M is even
#define M1 M/2 - 1
#define M2 M/2
struct levpatadaptout {
double Epref[BARK];
double Eptest[BARK];
};
struct levpatadaptin {
double Ptest[BARK];
double Pref[BARK];
double PattCorrTest[BARK];
double PattCorrRef[BARK];
double Rnum[BARK];
double Rdenom[BARK];
};
/* Function prototypes */
struct levpatadaptout levpatadapt(double *, double *, int,
struct levpatadaptin *, int);
/* Prototypes end */
__________________________________________________________________
Файл: levpatadapt.c
#include <stdlib.h>
#include <math.h>
#include <common.h>
#include <levpatadapt.h>
extern int bark;
extern double *fC;
struct levpatadaptout
levpatadapt(double *Etest, double *Eref, int rate,
struct levpatadaptin *tmp, int hann)
{
int k, i, m1, m2;
double T, levcorr, numlevcorr = 0, denomlevcorr = 0, R;
double pattcoeffref, pattcoefftest;
double Elref[BARK], Eltest[BARK], Rtest[BARK], Rref[BARK], a[BARK];
struct levpatadaptout out;
for(k=0;k<bark;k++){
T = (double)Tmin + (100.0/fC[k])*(T100 - Tmin);
a[k] = exp((double)-hann/(2.0*rate * T));
tmp->Ptest[k] = tmp->Ptest[k]*a[k] + (1.0-a[k])*Etest[k];
tmp->Pref[k] = tmp->Pref[k]*a[k] + (1.0-a[k])*Eref[k];
numlevcorr += sqrt(tmp->Ptest[k]*tmp->Pref[k]);
denomlevcorr += tmp->Ptest[k];
}
levcorr = p(numlevcorr/denomlevcorr, 2.0);
for(k=0;k<bark;k++){
if(levcorr > 1.0){
Elref[k] = (double)Eref[k]/levcorr;
Eltest[k] = Etest[k];
}
else {
Eltest[k] = (double)Etest[k]*levcorr;
Elref[k] = Eref[k];
}
//Autocorrelation
tmp->Rnum[k] *= a[k];
tmp->Rdenom[k] *= a[k];
tmp->Rnum[k] += Elref[k]*Eltest[k];
tmp->Rdenom[k] += Elref[k]*Elref[k];
if(tmp->Rdenom[k] == 0 && tmp->Rnum[k] != 0){
Rtest[k] = 0;
Rref[k] = 1.0;
}
else
if(tmp->Rdenom[k] == 0 && tmp->Rnum[k] == 0){
//copy from frequency band below
if(k){
Rtest[k] = Rtest[k-1];
Rref[k] = Rref[k-1];
}
//if don't exist
else {
Rtest[k]= 1.0;
Rref[k] = 1.0;
}
}
else {
R = tmp->Rnum[k]/tmp->Rdenom[k];
if(R >= 1.0){
Rtest[k]= 1.0/R;
Rref[k] = 1.0;
}
else {
Rtest[k]= 1.0;
Rref[k] = R;
}
}
}
for(k=0;k<bark;k++){
m1 = M1;
m2 = M2;
pattcoefftest = 0;
pattcoeffref = 0;
if(m1 > k)
m1 = k;
if(m2 > bark -k -1)
m2 = bark -k -1;
for(i = -m1;i <= m2;i++){
pattcoefftest += Rtest[k+i];
pattcoeffref += Rref[k+i];
}
tmp->PattCorrTest[k] = a[k]*tmp->PattCorrTest[k] +
pattcoefftest*(1.0-a[k])/(m1+m2+1);
tmp->PattCorrRef[k] = a[k]*tmp->PattCorrRef[k] +
pattcoeffref*(1.0-a[k])/(m1+m2+1);
out.Epref[k] = Elref[k] * tmp->PattCorrRef[k];
out.Eptest[k] = Eltest[k] * tmp->PattCorrTest[k];
}
return out;
}
__________________________________________________________________
Файл: loudness.h
#define CONST 1.07664
/* Function prototypes */
double loudness(double *);
/* Prototypes end */
__________________________________________________________________
Файл: loudness.c
#include <stdlib.h>
#include <math.h>
#include <common.h>
#include <loudness.h>
extern double *fC;
extern int bark;
double
loudness(double *E)
{
int k;
double Ntot= 0;
double s, N, Ethres;
for(k=0;k<bark;k++){
s = p(10.0, (-2.0-2.05*atan((double)fC[k]/4000.0) - 0.75
*atan((double)p(fC[k]/1600.0, 2.0)))/10.0);
Ethres = p(10.0, 0.364*p(fC[k]/1000.0, -0.8));
N = (double)CONST*p(Ethres/(s*10000.0), 0.23)
*(p(1.0-s+s*E[k]/Ethres, 0.23) - 1.0);
if(N > 0)
Ntot += N;
}
Ntot *= (double)24.0/bark;
return Ntot;
}
__________________________________________________________________
Файл: moddiff.h
#define L 4
struct moddiffin {
double win;
int Lcount;
double modtmp;
double mod[L];
double num2;
double denom2;
double num3;
double denom3;
};
struct moddiffout {
double ModDiff1;
double ModDiff2;
double TempWt;
};
/* Function prototypes */
struct moddiffout moddiff(double *, double *, double *);
double ModDiff1(struct moddiffout, struct moddiffin *, int);
double ModDiff2(struct moddiffout, struct moddiffin *);
double ModDiff3(struct moddiffout, struct moddiffin *);
/* Prototypes end */
__________________________________________________________________
Файл: moddiff.c
#include <stdlib.h>
#include <assert.h>
#include <math.h>
#include <common.h>
#include <moddiff.h>
extern double *fC;
extern int bark;
struct moddiffout
moddiff(double *Modtest, double *Modref, double *Etilderef)
{
int k;
struct moddiffout out;
double Pthres;
out.ModDiff1 = 0;
out.ModDiff2 = 0;
out.TempWt = 0;
for(k=0;k<bark;k++){
//WinModDiff1B && AvgModDiff1B
out.ModDiff1 += module(Modtest[k] - Modref[k])/(1.0 + Modref[k]);
//AvgModDiff2B
if(Modtest[k] > Modref[k])
out.ModDiff2 += module(Modtest[k] - Modref[k])
/(0.01 + Modref[k]);
else
out.ModDiff2 += 0.1*module(Modtest[k] - Modref[k])
/(0.01 + Modref[k]);
Pthres = p(10.0, 0.4*0.364*p(fC[k]/1000.0, -0.8));
out.TempWt += Etilderef[k]/(Etilderef[k] + p(Pthres, 0.3)*100.0);
}
out.ModDiff1 *= (double)100.0/bark;
out.ModDiff2 *= (double)100.0/bark;
return out;
}
double
ModDiff1 (struct moddiffout in, struct moddiffin *intmp, int n)
{
int i;
intmp->mod[intmp->Lcount] = in.ModDiff1;
intmp->Lcount++;
if(intmp->Lcount == L)
intmp->Lcount = 0;
if(n < L)
return 0;
intmp->modtmp = 0;
for(i=0;i<L;i++)
intmp->modtmp += sqrt((double)intmp->mod[i]);
intmp->modtmp /= (double)L;
intmp->win += p(intmp->modtmp, 4.0);
return sqrt((double)intmp->win/(double)(n-L+1.0));
}
double
ModDiff2(struct moddiffout in, struct moddiffin *intmp)
{
intmp->num2 += in.ModDiff1 * in.TempWt;
intmp->denom2 += in.TempWt;
return (intmp->num2/intmp->denom2);
}
double
ModDiff3(struct moddiffout in, struct moddiffin *intmp)
{
intmp->num3 += in.ModDiff2 * in.TempWt;
intmp->denom3 += in.TempWt;
return (intmp->num3/intmp->denom3);
}
__________________________________________________________________
Файл: modulation.h
#define T100 0.05
#define Tmin 0.008
struct modulationin {
double Edertmp[BARK];
double E2tmp[BARK];
double Etildetmp[BARK];
};
/* Function prototypes */
int modulation(double *, int, struct modulationin *, double *);
/* Prototypes end */
__________________________________________________________________
Файл: modulation.c
#include <stdlib.h>
#include <assert.h>
#include <math.h>
#include <common.h>
#include <modulation.h>
extern int bark;
extern double *fC;
int
modulation(double *E2, int rate, struct modulationin *in, double *Mod)
{
int k;
double T, a;
for(k=0;k<bark;k++){
T = (double)Tmin + (double)(100/fC[k])*(double)(T100 - Tmin);
a = exp((double) - HANN/(2*rate * T));
in->Edertmp[k] = in->Edertmp[k]*a+(1-a)*(double)(rate/(HANN/2))
*module(p(E2[k], 0.3) - p(in->E2tmp[k], 0.3));
in->E2tmp[k] = E2[k];
in->Etildetmp[k] = a*in->Etildetmp[k]+(1-a)*p(E2[k], 0.3);
Mod[k] = in->Edertmp[k]/(1 + (in->Etildetmp[k]/0.3));
}
return 0;
}
__________________________________________________________________
Файл: neural.h
#define sig(x) (double)(1.0/(1.0 + exp((double)-(x))))
#define I 11
#define J 3
struct outframes {
double WinModDiff1b;
double AvgModDiff1b;
double AvgModDiff2b;
double RmsNoiseLoudb;
double BandwidthRefb;
double BandwidthTestb;
double TotalNMRb;
double RelDistFramesb;
double ADBb;
double MFPDb;
double EHSb;
};
struct out {
double ODG;
double DI;
};
/* Function prototypes */
struct out neural(struct outframes processed);
/* Prototypes end */
__________________________________________________________________
Файл: neural.c
#include <stdlib.h>
#include <math.h>
#include <common.h>
#include <neural.h>
double amin[11] = {393.916656, 361.965332, -24.045116, 1.110661, -0.206623,
0.074318, 1.113683, 0.950345, 0.029985, 0.000101, 0.0};
double amax[11] = {921.0, 881.131226, 16.212030, 107.137772, 2.886017,
13.933351, 63.257874, 1145.018555, 14.819740, 1.0, 1.0};
double wx[12][3] = {{-0.502657, 0.436333, 1.219602},
{4.307481, 3.246017, 1.123743},
{4.984241, -2.211189, -0.192096},
{0.051056, -1.762424, 4.331315},
{2.321580, 1.789971, -0.754560},
{-5.303901, -3.452257, -10.814982},
{2.730991, -6.111805, 1.519223},
{0.624950, -1.331523, -5.955151},
{3.102889, 0.871260, -5.922878},
{-1.051468, -0.939882, -0.142913},
{-1.804679, -0.503610, -0.620456},
{-2.518254, 0.654841, -2.207228}};
double wy[4] = {-3.817048, 4.107138, 4.629582, -0.307594};
double bmin = -3.98;
double bmax = 0.22;
struct out
neural(struct outframes processed)
{
int j, i;
struct out oveRet;
double sum1, sum2;
double x[11];
x[0] = processed.BandwidthRefb;
x[1] = processed.BandwidthTestb;
x[2] = processed.TotalNMRb;
x[3] = processed.WinModDiff1b;
x[4] = processed.ADBb;
x[5] = processed.EHSb;
x[6] = processed.AvgModDiff1b;
x[7] = processed.AvgModDiff2b;
x[8] = processed.RmsNoiseLoudb;
x[9] = processed.MFPDb;
x[10] = processed.RelDistFramesb;
//gcodcla.wav
/*x[0] = 834.117;
x[1] = 647.095;
x[2] = -14.6048;
x[3] = 6.89483;
x[4] = 0.432969;
x[5] = 0.503605;
x[6] = 7.14863;
x[7] = 24.9353;
x[8] = 0.124738;
x[9] = 0.968876;
x[10] = 0.0485208; //cosми tutto ok*/
//ccodsax.wav
/*x[0] = 853.375;
x[1] = 645.444;
x[2] = -7.94882;
x[3] = 11.4108;
x[4] = 1.41971;
x[5] = 0.491164;
x[6] = 12.6383;
x[7] = 44.7187;
x[8] = 0.21807;
x[9] = 1.15;//0.675505;
x[10] = 0.556215;*/
sum2 = 0;
for(j=0;j<J;j++){
sum1 = 0;
for(i=0;i<I;i++)
sum1 += wx[i][j]*((x[i] - amin[i])/(amax[i] - amin[i]));
sum2 += wy[j]*sig(wx[I][j] + sum1);
}
oveRet.DI = wy[J] + sum2;
oveRet.ODG = bmin + (bmax - bmin)*sig(oveRet.DI);
return oveRet;
}
__________________________________________________________________
Файл: nmr.h
/* Function prototypes */
double nmr(double *, double *, double *, int);
/* Prototypes end */
__________________________________________________________________
Файл: nmr.c
#include <stdlib.h>
#include <math.h>
#include <common.h>
#include <nmr.h>
extern int bark;
double
nmr(double *Pnoise, double *M, double *nmrtmp, int n)
{
int k;
double sum = 0;
for(k=0;k<bark;k++)
sum += Pnoise[k]/M[k];
sum *= (double)1.0/bark;
*nmrtmp += sum;
return (10.0*log10((*nmrtmp)/n));
}
__________________________________________________________________
Файл: noiseloudness.h
#define THRESFAC0 0.15
#define S0 0.5
#define E0 1.0
#define ALPHA 1.5
/* Function prototypes */
double noiseloudness(double *, double *, struct levpatadaptout,
double *, int);
/* Prototypes end */
__________________________________________________________________
Файл: noiseloudness.c
#include <stdlib.h>
#include <math.h>
#include <common.h>
#include <levpatadapt.h>
#include <noiseloudness.h>
extern int bark;
extern double *fC;
double
noiseloudness(double *Modtest, double *Modref, struct levpatadaptout lev,
double *nltmp, int n)
{
int k;
double Pthres, stest, sref, beta, num, denom;
double nl = 0;
for(k=0;k<bark;k++){
Pthres = p(10.0, 0.4*0.364*p(fC[k]/1000.0, -0.8));
stest = (double)THRESFAC0*Modtest[k] + S0;
sref = (double)THRESFAC0*Modref[k] + S0;
if(lev.Eptest[k] == 0 && lev.Epref[k] == 0)
beta = 1.0;
else
if(lev.Epref[k] == 0)
beta = 0;
else
beta = exp((double)-ALPHA*(lev.Eptest[k] - lev.Epref[k])
/lev.Epref[k]);
num = stest*lev.Eptest[k] - sref*lev.Epref[k];
denom = Pthres + sref*lev.Epref[k]*beta;
if(num < 0)
num = 0;
nl += p(Pthres/(E0*stest), 0.23)*(p(1.0 + num/denom, 0.23) -1.0);
}
nl *= (double)24.0/bark;
if(nl < 0)
nl = 0;
*nltmp += p(nl, 2.0);
return sqrt((double)*nltmp/n);
}
__________________________________________________________________
Файл: reldistframes.h
/* Function prototypes */
double reldistframes(double *, double *, double *, int);
/* Prototypes end */
__________________________________________________________________
Файл: reldistframes.c
#include <stdlib.h>
#include <math.h>
#include <common.h>
#include <reldistframes.h>
extern int bark;
double
reldistframes(double *Pnoise, double *M, double *reldisttmp, int n)
{
int k;
for(k=0;k<bark;k++){
if(10.0*log10((double)Pnoise[k]/M[k]) >= 1.5){
*reldisttmp = *reldisttmp + 1;
break;
}
}
return ((double)*reldisttmp/n);
}
__________________________________________________________________
Файл: spreading.h
#ifdef ADVANCED
#define dz 0.5
#else
#define dz 0.25
#endif
/* Function prototypes */
int spreading(double *, double *);
/* Prototypes end */
__________________________________________________________________
Файл: spreading.c
#include <stdlib.h>
#include <math.h>
#include <common.h>
#include <spreading.h>
extern double *fC;
extern int bark;
int
spreading(double *pp, double *e2)
{
int k, j, u;
double L;
double denom, sum1, sum2, Eline, Su, Sl = 27.0;
for(k=0;k<bark;k++){
sum1 = 0;
sum2 = 0;
//Eline
for(j=0;j<bark;j++){
L = 10.0*log10((double)pp[j]);
Su = -24.0-230.0/fC[j]+0.2*L;
Eline = p(10.0, L/10.0);
if(k < j)
Eline *= p(10.0, -dz*(j-k)*Sl/10.0);
else
Eline *= p(10.0, dz*(k-j)*Su/10.0);
denom = 0;
for(u=0;u<j;u++)
denom += p(10.0, -dz*(j-u)*Sl/10.0);
for(u=j;u<bark;u++)
denom += p(10.0, dz*(u-j)*Su/10.0);
Eline /= denom;
sum1 += p(Eline, 0.4);
}
//Eline (tilde)
for(j=0;j<bark;j++){
Su = -24.0-230.0/fC[j]; // L = 0
if(k < j)
Eline = p(10.0, -dz*(j-k)*Sl/10.0);
else
Eline = p(10.0, dz*(k-j)*Su/10.0);
denom = 0;
for(u=0;u<j;u++)
denom += p(10.0, -dz*(j-u)*Sl/10.0);
for(u=j;u<bark;u++)
denom += p(10.0, dz*(u-j)*(-24.0-230.0/fC[j])/10.0);
Eline /= denom;
sum2 += p(Eline, 0.4);
}
sum2 = p(sum2, 1.0/0.4);
sum1 = p(sum1, 1.0/0.4);
e2[k] = sum1/sum2;
}
return 0;
}
__________________________________________________________________
Файл: threshold.h
#ifdef ADVANCED
#define dz 0.5
#else
#define dz 0.25
#endif
/* Function prototypes */
int threshold(double *, double *);
/* Prototypes end */
__________________________________________________________________
Файл: threshold.c
#include <stdlib.h>
#include <math.h>
#include <common.h>
#include threshold.h>
extern int bark;
int
threshold(double *E, double *M)
{
int k;
double m;
for(k=0;k<bark;k++){
if((m = k * dz) <= 12)
m = 3.0;
else
m *= 0.25;
M[k] = E[k]/p(10, m/10);
}
return 0;
}
__________________________________________________________________
Файл: timespreading.h
/* Function prototypes */
int timespreading(double *, double *, int, double *);
/* Prototypes end */
__________________________________________________________________
Файл: timespreading.c
#include <stdlib.h>
#include <math.h>
#include <common.h>
#include <timespreading.h>
#define T100 0.03
#define Tmin 0.008
extern int bark;
extern double *fC;
int
timespreading(double *E2, double *Etmp, int rate, double *E)
{
int k;
double a, T;
for(k=0;k<bark;k++){
T = (double)Tmin + (double)(100.0/fC[k])*(double)(T100-Tmin);
a = exp((double)-HANN/(double)(T*2.0*rate));
Etmp[k] = Etmp[k]*a + (1.0-a)*E2[k];
if(Etmp[k] >= E2[k])
E[k] = Etmp[k];
else
E[k] = E2[k];
}
return 0;
}
__________________________________________________________________
Файл: wavedump.h
/* Function prototypes */
int HeaderDump(FILE *, const char *);
int ReadInt(FILE*, int);
int SampleRate(FILE*);
int BitForSample(FILE *);
int NumOfChan(FILE *);
int FindData(FILE *);
void fatalerr(char *,...);
/* Prototypes end */
__________________________________________________________________
Файл: wavedump.c
#include <stdio.h>
#include <string.h>
#include <stdlib.h>
#include <wavedump.h>
extern int errno;
int
HeaderDump(FILE *fp, const char*string)
{
char buff[7];
int k, offset = 0;
while (!feof(fp)){
if(!fread(buff, 7, 1, fp))
fatalerr("err: error in WaveHeader");
offset += 7;
for(k=0;k<4;k++)
if (!strncmp((char *)(buff + k), string, 4)){
fseek(fp, k-3, SEEK_CUR);
offset += k-3;
return offset;
}
fseek(fp, -3, SEEK_CUR);
offset += -3;
}
return -1;
}
int
SampleRate(FILE *fp)
{
int rate, offset;
if((offset = HeaderDump(fp,"fmt")) == -1)
return -1;
if (fseek(fp, 8, SEEK_CUR) == -1)
fatalerr("err: %s", strerror(errno));
rate = ReadInt(fp,4);
fseek(fp, -8 - offset, SEEK_CUR);
return rate;
}
int
BitForSample(FILE *fp)
{
int bit, offset;
if ((offset = HeaderDump(fp,"fmt")) == -1)
return -1;
if (fseek(fp, 18, SEEK_CUR) == -1)
fatalerr("err: %s", strerror(errno));
bit = ReadInt(fp,2);
fseek(fp, -18 - offset, SEEK_CUR);
return bit;
}
int
NumOfChan(FILE *fp)
{
int chan, offset;
if ((offset = HeaderDump(fp,"fmt")) == -1)
return -1;
if (fseek(fp, 6, SEEK_CUR) == -1)
fatalerr("err: %s", strerror(errno));
chan = ReadInt(fp,2);
fseek(fp, -6 - offset, SEEK_CUR);
return chan;
}
int
FindData(FILE *fp)
{
int offset;
if(fp == NULL)
return -1;
if((offset = HeaderDump(fp,"data")) == -1)
return -1;
if(fseek(fp, 4 + offset, SEEK_CUR) == -1)
fatalerr("err: %s", strerror(errno));
return 1;
}
#if defined(LITTLE) && !defined(BIG)
int
ReadInt(FILE *fp, int size)
{
int I;
unsigned char c;
if (size <= 0)
return 0;
c = fgetc(fp);
I = ((int) c) & 255;
I |= (ReadInt(fp, size-1) << 8);
return I;
}
#elif defined(BIG) && !defined(LITTLE)
int
ReadInt(FILE *fp, int size)
{
int I;
if (size <= 0)
return 0;
I = (ReadInt(fp, size-1) << 8);
I |= ((int) fgetc(fp)) & 255;
return I;
}
#endif
Б.3 Листинг программы расчета метрики PSNR на языке Matlab
function PSNR = calcPSNR(X, Y)
% чем больше значение PSNR, тем более похожи сигналы
m = max(X);
d = var(X-Y);
R = m/sqrt(d);
PSNR = 20*log10(R);
end
Б.4 Листинг программы расчета метрики PSNR на языке C
#include <math.h>
double var(double* arr, int size)
{
if(!arr || !size)
return 0.0;
double v = 0.0;
double avg = 0.0;
for(int i = 0; i < size; ++i)
avg+= arr[i];
avg/= size;
for(int i = 0; i < size; ++i)
{
v+= (arr[i] - avg) * (arr[i] - avg);
}
return v/(size - 1);
}
double calcPSNR(double* X, int sizeX, double* Y, int sizeY)
{
if(!X || !sizeX || !Y || !sizeY || (sizeX != sizeY))
return 0.0;
double D[sizeX];
double maxX = X[0];
for(int i = 0; i < sizeX; ++i)
{
if(X[i] > maxX)
maxX = X[i];
D[i] = X[i] - Y[i];
}
double v = var(D, sizeX);
if(v == 0)
return 0.0;
return 20 * log10(maxX/sqrt(v));
}
Б.5 Листинг программы расчета метрики "Коэффициент различия форм сигналов" на языке Matlab
function val = calcMeasureBasedOnSingalsForms(X, Y)
% чем меньше результирующее значение, тем более похожи сигналы
X = X(:,1);
Y = Y(:,1);
dX=X(2:end)-X(1:end-1);
dY=Y(2:end)-Y(1:end-1);
val = var(dX-dY);
end
Б.6 Листинг программы расчета метрики "Коэффициент различия форм сигналов" на языке C
#include <math.h>
double var(double* arr, int size)
{
if(!arr || !size)
return 0.0;
double v = 0.0;
double avg = 0.0;
for(int i = 0; i < size; ++i)
avg+= arr[i];
avg/= size;
for(int i = 0; i < size; ++i)
{
v+= (arr[i] - avg) * (arr[i] - avg);
}
return v/(size - 1);
}
double calcMeasureBasedOnSingalsForms(double* X, int sizeX, double* Y, int sizeY)
{
if(!X || !sizeX || !Y || !sizeY || (sizeX != sizeY))
return 0.0;
double dX[sizeX - 1];
double dY[sizeX - 1];
double D[sizeX - 1];
for(int i = 1; i < sizeX; ++i)
{
dX[i - 1] = X[i] - X[i - 1];
dY[i - 1] = Y[i] - Y[i - 1];
D[i - 1] = dX[i - 1] - dY[i - 1];
}
return var(D, sizeX - 1);
}