Главная // Актуальные документы // ГОСТ Р (Государственный стандарт)СПРАВКА
Источник публикации
М.: Стандартинформ, 2014
Примечание к документу
Документ
введен в действие с 01.11.2014.
Название документа
"ГОСТ Р 55975-2014. Национальный стандарт Российской Федерации. Датчики и преобразующая аппаратура ракетно-космической техники. Сравнительная оценка технического уровня и выбор по показателям качества"
(утв. и введен в действие Приказом Росстандарта от 19.03.2014 N 191-ст)
"ГОСТ Р 55975-2014. Национальный стандарт Российской Федерации. Датчики и преобразующая аппаратура ракетно-космической техники. Сравнительная оценка технического уровня и выбор по показателям качества"
(утв. и введен в действие Приказом Росстандарта от 19.03.2014 N 191-ст)
Утвержден и введен в действие
агентства по техническому
регулированию и метрологии
от 19 марта 2014 г. N 191-ст
НАЦИОНАЛЬНЫЙ СТАНДАРТ РОССИЙСКОЙ ФЕДЕРАЦИИ
ДАТЧИКИ И ПРЕОБРАЗУЮЩАЯ АППАРАТУРА
РАКЕТНО-КОСМИЧЕСКОЙ ТЕХНИКИ
СРАВНИТЕЛЬНАЯ ОЦЕНКА ТЕХНИЧЕСКОГО УРОВНЯ И ВЫБОР
ПО ПОКАЗАТЕЛЯМ КАЧЕСТВА
Sensors and transforming equipment space rocket technology.
Comparative evaluation of the technical level and choice
in terms of quality
ГОСТ Р 55975-2014
Дата введения
1 ноября 2014 года
1 РАЗРАБОТАН Открытым акционерным обществом "Научно-исследовательский институт физических измерений" (ОАО "НИИФИ")
2 ВНЕСЕН Техническим комитетом по стандартизации ТК 321 "Ракетная и ракетно-космическая техника"
3 УТВЕРЖДЕН И ВВЕДЕН В ДЕЙСТВИЕ
Приказом Федерального агентства по техническому регулированию и метрологии от 19 марта 2014 г. N 191-ст
4 ВВЕДЕН ВПЕРВЫЕ
Правила применения настоящего стандарта установлены в ГОСТ Р 1.0-2012 (раздел 8). Информация об изменениях к настоящему стандарту публикуется в ежегодном (по состоянию на 1 января текущего года) информационном указателе "Национальные стандарты", а официальный текст изменений и поправок - в ежемесячном информационном указателе "Национальные стандарты". В случае пересмотра (замены) или отмены настоящего стандарта соответствующее уведомление будет опубликовано в ближайшем выпуске ежемесячного информационного указателя "Национальные стандарты". Соответствующая информация, уведомление и тексты размещаются также в информационной системе общего пользования - на официальном сайте Федерального агентства по техническому регулированию и метрологии в сети Интернет (gost.ru).
Настоящий стандарт устанавливает единые правила проведения сравнительной оценки технического уровня и выбора по показателям качества датчиков и преобразующей аппаратуры для применения в изделиях ракетно-космической техники.
Настоящий стандарт применяется при создании, производстве и эксплуатации изделий космической техники по международным договорам и в ходе реализации международных проектов и программ при условии согласия всех заинтересованных сторон, а также в случаях, когда его применение предписано требованиям технического задания на выполнение работ.
В настоящем стандарте использована ссылка на следующий стандарт:
ГОСТ Р 15.011-96 Система разработки и постановки продукции на производство. Патентные исследования. Содержание и порядок проведения
Примечание - При пользовании настоящим стандартом целесообразно проверить действие ссылочных стандартов в информационной системе общего пользования - на официальном сайте Федерального агентства по техническому регулированию и метрологии в сети Интернет или по ежегодному информационному указателю "Национальные стандарты", который опубликован по состоянию на 1 января текущего года, и по выпускам ежемесячного информационного указателя "Национальные стандарты" за текущий год. Если заменен ссылочный стандарт, на который дана недатированная ссылка, то рекомендуется использовать действующую версию этого стандарта с учетом всех внесенных в данную версию изменений. Если заменен ссылочный стандарт, на который дана датированная ссылка, то рекомендуется использовать версию этого стандарта с указанным выше годом утверждения (принятия). Если после утверждения настоящего стандарта в ссылочный стандарт, на который дана датированная ссылка, внесено изменение, затрагивающее положение, на которое дана ссылка, то это положение рекомендуется применять без учета данного изменения. Если ссылочный стандарт отменен без замены, то положение, в котором дана ссылка на него, рекомендуется применять в части, не затрагивающей эту ссылку.
В настоящем стандарте применены следующие термины с соответствующими определениями:
3.1 датчики и преобразующая аппаратура: Технические средства с нормируемыми метрологическими или точностными характеристиками, служащие для преобразования измеряемой величины в другую величину или измерительный сигнал, удобный для обработки, хранения, дальнейших преобразований, индикации или передачи.
3.2
свойство продукции: Объективная особенность продукции, которая может проявляться при ее создании, эксплуатации или потреблении. |
3.3 технические характеристики: Количественные показатели изделия, определяющие его свойства и возможности применения по назначению.
3.4 показатель качества продукции: Присущая продукции количественная характеристика одного или нескольких свойств, рассматриваемая применительно к определенным требованиям.
3.5
единичный показатель качества продукции: Показатель качества продукции, характеризующий одно из ее свойств. |
3.6
комплексный показатель качества продукции: Показатель качества продукции, характеризующий несколько ее свойств. |
3.7 определяющий показатель качества продукции: Показатель качества продукции, по которому принимают решение о возможности ее применения.
3.8
коэффициент весомости показателя качества продукции: Количественная характеристика значимости данного показателя качества продукции среди других показателей ее качества. |
3.9
базовое значение показателя качества продукции: Значение показателя качества продукции, принятое за основу при сравнительной оценке ее качества. |
3.10
относительное значение показателя качества продукции: Отношение значения показателя качества оцениваемой продукции к базовому значению этого показателя. |
3.11
технический уровень продукции: Относительная характеристика качества продукции, основанная на сопоставлении значений показателей, характеризующих техническое совершенство оцениваемой продукции, с базовыми значениями соответствующих показателей. |
3.12 оценка технического уровня продукции: Совокупность операций, включающая в себя выбор номенклатуры показателей, характеризующих техническое совершенство оцениваемой продукции, определение значений этих показателей и сопоставление их с базовыми.
3.13 дифференциальный метод оценки: Метод оценки технического уровня продукции, основанный на использовании единичных показателей качества.
3.14 комплексный метод оценки: Метод оценки технического уровня, основанный на использовании комплексных показателей качества.
В настоящем стандарте использованы следующие сокращения:
АЦП - аналого-цифровой преобразователь;
ДПА - датчики и преобразующая аппаратура;
НИОКР - научно-исследовательские и опытно-конструкторские работы;
НИР - научно-исследовательская работа;
ОНТД - отчетная научно-техническая документация;
ПЛИС - программируемая логическая интегральная схема (электронный компонент, используемый для создания цифровых интегральных схем);
РКТ - ракетно-космическая техника.
5.1 Оценка технического уровня ДПА осуществляется при:
- выборе наилучшего из существующих ДПА для конкретных задач и условий применения в РКТ;
- планировании основных показателей качества ДПА и направлений их совершенствования в целях обеспечения перспективных задач развития отечественной РКТ;
- проведении патентных исследований по
ГОСТ Р 15.011 (исследование технического уровня ДПА, выявление тенденций, обоснование прогноза их развития);
- проведении экспертизы технического задания на разработку ДПА (определяется степень соответствия задаваемых требований к ДПА мировому уровню, делается вывод о целесообразности разработки новых или модернизации существующих ДПА);
- проведении и оценке результатов НИОКР по созданию ДПА (определяется степень технического совершенства создаваемого типа ДПА на мировом уровне и в соотношении с требованиями к определяющим показателям качества ДПА РКТ).
5.2 Сравнительный анализ технического уровня вновь создаваемых ДПА проводится на этапах: НИР, технического предложения, эскизного проекта, технического проекта, разработки рабочей документации. Результаты оценки технического уровня включаются в ОНТД на соответствующих этапах НИОКР.
5.3 Процесс оценки технического уровня состоит из следующих этапов:
- формирование перечня аналогов для каждого образца ДПА, технический уровень которого оценивается;
- формирование показателей качества базового образца для сравнительной оценки;
- определение относительных значений единичных показателей качества (дифференциальный метод);
- комплексная оценка технического уровня.
Общая схема определения технического уровня ДПА приведена в
приложении А.
6 Выбор аналогов для сравнения
6.1 В качестве аналогов оцениваемых ДПА выбираются независимо от принципа действия лучшие по техническим характеристикам из известных ДПА зарубежного или отечественного производства, аналогичные по назначению и срокам разработки (разница в сроках разработки оцениваемых ДПА и аналогов не должна превышать 5 лет). Количество аналогов должно быть не менее двух и целесообразно от различных ведущих фирм.
6.2 Оцениваемые образцы ДПА должны сравниваться с аналогами по одинаковой номенклатуре технических характеристик. Единицы измерений для характеристик аналогов и оцениваемых ДПА должны быть идентичными.
6.3 Основными источниками информации о технических характеристиках аналогов могут служить:
- технические условия и эксплуатационные документы;
- отчеты об испытаниях образцов;
- каталоги и проспекты;
- интернет-ресурсы.
Допускается использовать обзорную информацию, статьи из научно-технических журналов и другие источники.
6.4 При отсутствии в источниках информации некоторых данных, необходимых для оценки технического уровня, прогнозируются или назначаются лучшие технические характеристики образцов-аналогов из реально достигнутых в образцах ДПА отечественного и зарубежного производства.
7 Оценка технического уровня
7.1 Номенклатура используемых для оценки технического уровня показателей качества образца ДПА должна наиболее полно характеризовать точностные свойства, условия эксплуатации, надежность, затраты энергетических ресурсов при эксплуатации, функциональные возможности ДПА. Состав единичных показателей качества для оценки сравнения может быть выбран из числа показателей, приведенных в
таблице Б.1 (приложение Б).
В обоснованных случаях с учетом специфики ДПА взамен или в дополнение к предлагаемым могут быть использованы другие показатели с соответствующими коэффициентами весомости.
7.2 Для проведения сравнительной оценки технического уровня формируется виртуальный базовый образец ДПА.
В зависимости от задач оценки (см.
5.1) технические характеристики (показатели качества) базового образца определяются одним из следующих способов:
- значения определяющих показателей качества ДПА устанавливаются с учетом перспективных требований к ДПА РКТ, превышающих характеристики существующих аналогов, остальные показатели принимаются равными лучшим из показателей существующих аналогов;
- значения показателей качества базового образца принимаются лучшими из показателей сравниваемых ДПА (оцениваемого типа ДПА и выбранных аналогов). При этом в качестве базового образца может быть принят реально существующий аналог.
7.3 Дифференциальный метод оценки технического уровня предусматривает оценку относительных значений показателей качества ДПА по формулам:

(1)

(2)
где Pj - значение j-го единичного показателя оцениваемого образца ДПА;
Pju - значение j-го единичного показателя базового образца.
Формула (1) применяется для определения значений стимуляторов - показателей ДПА, увеличение значений которых приводит к повышению технического уровня, а
формула (2) - для определения значений дестимуляторов - показателей ДПА, уменьшение значений которых приводит к повышению технического уровня ДПА.
Если, начиная с определенного значения единичного показателя, дальнейшее его изменение не приводит к заметному росту технического уровня, вместо
формул (1) и
(2) следует воспользоваться формулами:

(3)

(4)

(5)

(6)
Расчет относительных значений единичных показателей качества ДПА рекомендуется проводить по формулам, приведенным в
таблице Б.1 (приложение Б).
7.4 В результате оценки технического уровня ДПА по единичным показателям (дифференциальный метод оценки) определяются:
- какие показатели наиболее сильно отличаются от показателей качества базового образца (аналога);
- соответствие оцениваемого образца мировому уровню и перспективным требованиям к ДПА РКТ.
Технический уровень оцениваемого изделия:
1) превышает высшие мировые достижения, если значение каждого из единичных показателей качества, выбранных для сравнения, превышает соответствующие значения показателей базового образца;
2) соответствует мировому уровню, если значения параметров оцениваемого образца находятся в пределах +/- 10% относительно базового;
3) не соответствует мировому уровню, если по всем параметрам относительные значения единичных показателей качества составляют менее 0,9 от соответствующих показателей базового образца.
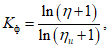
7.5 Комплексный показатель технического уровня образца (типа) ДПА определяется с учетом относительных значений единичных показателей, коэффициентов весомости единичных показателей и показателя функциональных возможностей по формуле
| | ИС МЕГАНОРМ: примечание. Формула дана в соответствии с официальным текстом документа. | |

(7)
где qj - относительное значение j-го единичного показателя;
Mj - коэффициент весомости j-го единичного показателя;
n - число учитываемых при оценке единичных показателей;
Kф - показатель функциональных возможностей (уровень интеграции функций и интеллектуализации ДПА).
Рекомендуемые значения коэффициентов весомости единичных показателей для видов ДПА приведены в
таблице В.1 (приложение В).
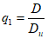
Показатель функциональных возможностей оценивается по формуле

(8)
где

- число интегрируемых структурных элементов и "интеллектуальных" функций, реализуемых в образце ДПА;

- число интегрируемых структурных элементов и "интеллектуальных" функций, реализуемых в базовом образце, при проведении сравнительной оценки технического уровня ДПА с мировым уровнем значение

для базового образца рекомендуется принимать равным 25.
Перечень интегрируемых структурных элементов и функций приведен в
таблице Г.1 (приложение Г).
7.6 По результатам оценки должны быть сделаны выводы о соответствии технического уровня лучшим отечественным и зарубежным достижениям по критериям
7.4.
Расчетная (количественная) оценка технического уровня должна быть дополнена анализом причин, обусловивших получение низких (высоких) показателей в сравнении с аналогом.
Для проведения такого анализа могут быть дополнительно определены комплексные показатели технического совершенства по группам показателей качества, характеризующих отдельные свойства ДПА (метрологические свойства, надежность, устойчивость в условиях эксплуатации, энергомассовые характеристики), по формуле

(9)
(рекомендуемое)
ОПРЕДЕЛЕНИЯ ТЕХНИЧЕСКОГО УРОВНЯ
┌─────────────────────────────────────────┐
│Формирование состава аналогов для каждого│
│образца ДПА, технический уровень которого│
│ подвергается оценке │
└──────────────────────┬──────────────────┘
v
┌─────────────────────────────────────────┐
│ Формирование базового образца │
│ для анализируемых ДПА │
└──────────────────────┬──────────────────┘
v
┌─────────────────────────────────────────┐
│ Определение относительных значений │
│ единичных показателей качества │
└──────────────────────┬──────────────────┘
v
┌─────────────────────────────────────────┐
│ Комплексная оценка технического уровня │
└─────────────────────────────────────────┘
(рекомендуемое)
НОМЕНКЛАТУРА
ЕДИНИЧНЫХ ПОКАЗАТЕЛЕЙ КАЧЕСТВА
Свойства, характеризуемые показателями | Наименование и обозначение показателей | Формулы для расчета относительных значений показателей качества |
Метрологические свойства | Диапазон измерений D |  , где  - соотношение наибольшего ( Xmax) и наименьшего ( Xmin) значений верхних пределов измерений параметрического ряда ДПА. Для типа ДПА, не составляющего параметрический ряд, D = Xmax - верхний предел измерений |
Основная погрешность  | |
Частотный диапазон fmax | |
Изменение погрешности во времени (стабильность характеристик) S | |
Надежность | Вероятность безотказной работы P | |
Назначенный ресурс H | |
Устойчивость к внешним факторам | Допускаемая амплитуда виброускорений G | |
Температурный диапазон T | где  Tmax, Tmin - границы температурного диапазона, °C; tср - средняя точка диапазона, К |
Чувствительность к вибрации <*> Sg | |
Чувствительность к температуре (коэффициент влияния) <*> St | |
Энергомассовые характеристики | Выходной сигнал на верхнем пределе измерений U | |
Потребляемая мощность, W | |
Масса, m | |
<*> Показатели характеризуют также метрологические свойства. Примечание - В формулах таблицы показатели базового образца (базовые показатели) обозначены символом "u". |
(рекомендуемое)
КОЭФФИЦИЕНТЫ ВЕСОМОСТИ ЕДИНИЧНЫХ ПОКАЗАТЕЛЕЙ КАЧЕСТВА
Наименование показателей | Обозначение коэффициентов весомости | Значения коэффициентов весомости Mj для видов ДПА |
АД | ИД | ПД | ЛУ | С | П | Другие виды |
Диапазон измерений D | M1 | 0,08 | 0,08 | 0,08 | 0,08 | 0,05 | 0,10 | 0,08 |
Основная погрешность  | M2 | 0,11 | 0,11 | 0,11 | 0,11 | 0,15 | 0,11 | 0,11 |
Частотный диапазон fmax | M3 | 0,03 | 0,06 | 0,10 | 0,00 | 0,09 | 0,06 | 0,06 |
Изменение погрешности во времени (стабильность характеристик) S | M4 | 0,09 | 0,09 | 0,09 | 0,09 | 0,09 | 0,09 | 0,09 |
Вероятность безотказной работы P | M5 | 0,09 | 0,09 | 0,09 | 0,09 | 0,09 | 0,09 | 0,09 |
Назначенный ресурс H | M6 | 0,09 | 0,06 | 0,06 | 0,06 | 0,06 | 0,06 | 0,06 |
Допускаемая амплитуда виброускорений G | M7 | 0,08 | 0,08 | 0,08 | 0,08 | 0,08 | 0,08 | 0,08 |
Температурный диапазон T | M8 | 0,10 | 0,10 | 0,10 | 0,10 | 0,10 | 0,08 | 0,10 |
Чувствительность к вибрации Sg | M9 | 0,09 | 0,09 | 0,11 | 0,09 | 0,09 | 0,09 | 0,09 |
Чувствительность к температуре (коэффициент влияния) St | M10 | 0,10 | 0,10 | 0,10 | 0,10 | 0,10 | 0,10 | 0,10 |
Выходной сигнал на верхнем пределе измерений U | M11 | 0,04 | 0,04 | 0,01 | 0,04 | 0,04 | 0,04 | 0,04 |
Потребляемая мощность W | M12 | 0,04 | 0,04 | 0,01 | 0,08 | 0,04 | 0,04 | 0,04 |
Масса m | M13 | 0,06 | 0,06 | 0,06 | 0,08 | 0,02 | 0,06 | 0,06 |
Примечание - Использованы следующие обозначения видов ДПА:
АД - датчики абсолютного давления;
ИД - датчики избыточного давления;
ПД - датчики быстропеременного и акустического давления;
ЛУ - датчики линейных ускорений (низкочастотные акселерометры);
С - датчики силы, деформации, крутящего момента;
П - датчики линейных и угловых перемещений.
(рекомендуемое)
ПЕРЕЧЕНЬ
СТРУКТУРНЫХ ЭЛЕМЕНТОВ И РЕАЛИЗУЕМЫХ ФУНКЦИЙ,
УЧИТЫВАЕМЫХ ПРИ ОЦЕНКЕ ФУНКЦИОНАЛЬНЫХ ВОЗМОЖНОСТЕЙ
Наименование | | Примечание |
Интегрируемые структурные элементы |
Первичный преобразователь основной измеряемой величины в электрический сигнал или параметр электрической цепи (чувствительный элемент) | | Базовый элемент датчика |
Дополнительный измерительный канал по основной измеряемой величине | +1 | |
Дополнительные чувствительные элементы многофункционального датчика (в том числе для измерения влияющих величин) | +n | n - число дополнительно измеряемых величин |
Преобразователь электрической величины в унифицированный выходной сигнал | +1 | Базовый элемент нормализующего преобразователя  |
Обратный преобразователь | +1 | |
Формирователь тестового (калибровочного) сигнала, диагностирующее устройство | +1 | |
АЦП | +1 | |
ПЛИС, запоминающее устройство | +1 | |
Микропроцессор | +1 | |
Функции повышения точности измерительной информации |
Аналоговая коррекция по влияющей величине | +1 | |
Управление функцией преобразования (установка нуля, изменений коэффициента преобразований, линеаризация) | +2 | |
Цифровая обработка информации по дополнительным каналам, ввод поправок | +2 | |
Функции повышения достоверности измерительной информации |
Диагностический контроль элементов или параметров измерительного канала | +1 | |
Автокалибровка измерительного канала | +2 | |
Формирование сигнала о техническом состоянии (отказе) измерительного канала | +1 | |
Самовосстановление (устранение метрологических отказов) | +3 | |
Функции управления процессами измерений и обработки информации |
Переключение режимов работы, последовательный опрос измерительных каналов и устройств (по программе) | +1 | |
Запоминание данных | +1 | |
Извлечение данных из памяти | +1 | |
Сравнение данных | +1 | |
УДК 621.316.992:006.354 | |
Ключевые слова: датчики и преобразующая аппаратура, ракетно-космическая техника, сравнительная оценка, технический уровень, показатели качества |