Главная // Актуальные документы // ГОСТ Р (Государственный стандарт)СПРАВКА
Источник публикации
М.: Стандартинформ, 2016
Примечание к документу
Документ
введен в действие с 1 июля 2014 года.
Название документа
"ГОСТ Р 55898-2013. Национальный стандарт Российской Федерации. Технические средства радиосвязи. Взаимные радиопомехи в локальной группировке. Методы расчета"
(утв. и введен в действие Приказом Росстандарта от 09.12.2013 N 2225-ст)
"ГОСТ Р 55898-2013. Национальный стандарт Российской Федерации. Технические средства радиосвязи. Взаимные радиопомехи в локальной группировке. Методы расчета"
(утв. и введен в действие Приказом Росстандарта от 09.12.2013 N 2225-ст)
Утвержден и введен в действие
агентства по техническому
регулированию и метрологии
от 9 декабря 2013 г. N 2225-ст
НАЦИОНАЛЬНЫЙ СТАНДАРТ РОССИЙСКОЙ ФЕДЕРАЦИИ
ТЕХНИЧЕСКИЕ СРЕДСТВА РАДИОСВЯЗИ
ВЗАИМНЫЕ РАДИОПОМЕХИ В ЛОКАЛЬНОЙ ГРУППИРОВКЕ
МЕТОДЫ РАСЧЕТА
Technical means of radio communication. Mutual radio
interferences in local group. Calculation methods
ГОСТ Р 55898-2013
Дата введения
1 июля 2014 года
1 РАЗРАБОТАН Федеральным государственным образовательным бюджетным учреждением высшего профессионального образования "Санкт-Петербургский государственный университет телекоммуникаций им. проф. М.А. Бонч-Бруевича" (СПбГУТ) и ООО "Научно-производственная компания "СвязьСервис" (НПК "СвязьСервис")
2 ВНЕСЕН Техническим комитетом по стандартизации ТК 480 "Связь"
3 УТВЕРЖДЕН И ВВЕДЕН В ДЕЙСТВИЕ
Приказом Федерального агентства по техническому регулированию и метрологии от 9 декабря 2013 г. N 2225-ст
4 В настоящем стандарте учтены основные нормативные положения следующих рекомендаций Международного союза электросвязи (МСЭ) (сектор стандартизации в области радиосвязи):
- МСЭ-Р SM.337-6 (2008) Частотный и территориальный разнос (Frequency and distance separations);
- МСЭ-Р SM.1134-1 (2007) Расчет интермодуляционных помех в сухопутной подвижной службе (Intermodulation interference calculations in the land-mobile service);
- МСЭ-Р F.699-5 (2006) Эталонные диаграммы направленности антенн фиксированных беспроводных систем для использования при изучении вопросов координации и оценке помех в полосе частот от 100 МГц до примерно 70 ГГц (Reference radiation patterns for fixed wireless system antennas for use in coordination studies and interference assessment in the frequency range from 100 MHz to about 70 GHz)
5 ВВЕДЕН ВПЕРВЫЕ
6 ПЕРЕИЗДАНИЕ. Октябрь 2016 г.
Правила применения настоящего стандарта установлены в статье 26 Федерального закона "О стандартизации в Российской Федерации". Информация об изменениях к настоящему стандарту публикуется в ежегодном (по состоянию на 1 января текущего года) информационном указателе "Национальные стандарты", а официальный текст изменений и поправок - в ежемесячном информационном указателе "Национальные стандарты". В случае пересмотра (замены) или отмены настоящего стандарта соответствующее уведомление будет опубликовано в ближайшем выпуске информационного указателя "Национальные стандарты". Соответствующая информация, уведомление и тексты размещаются также в информационной системе общего пользования - на официальном сайте Федерального агентства по техническому регулированию и метрологии в сети Интернет (www.gost.ru)
Настоящий стандарт распространяется на технические средства радиосвязи, размещенные в локальной группировке, работающие в полосе частот от 27 МГц до 40 ГГц.
Стандарт устанавливает методы расчета параметров радиопомех от передатчиков группировки приемникам группировки, для которых рассматриваемые передатчики не являются корреспондентами.
Учитывается воздействие излучений передатчиков через антенну на приемники по антенному порту.
Не учитываются влияния передатчиков, расположенных вне группировки, на приемники группировки; не учитывается электромагнитный шум, в том числе индустриальные радиопомехи.
Методы расчета, установленные в настоящем стандарте, применяют на стадиях проектирования объектов связи и навигации. Методы учитывают топографию проектируемого объекта и технические характеристики оборудования.
В настоящем стандарте использованы нормативные ссылки на следующие стандарты:
ГОСТ Р 50397-2011 Совместимость технических средств электромагнитная. Термины и определения
ГОСТ 23611-79 Совместимость радиоэлектронных средств электромагнитная. Термины и определения
ГОСТ 23872-79 Совместимость радиоэлектронных средств электромагнитная. Номенклатура параметров и классификация технических характеристик
Примечание - При пользовании настоящим стандартом целесообразно проверить действие ссылочных стандартов и классификаторов в информационной системе общего пользования - на официальном сайте национального органа Российской Федерации по стандартизации в сети Интернет или по ежегодно издаваемому информационному указателю "Национальные стандарты", который опубликован по состоянию на 1 января текущего года, и по выпускам ежемесячно издаваемого информационного указателя "Национальные стандарты" за текущий год. Если заменен ссылочный документ, на который дана недатированная ссылка, то рекомендуется использовать действующую версию этого документа с учетом всех внесенных в данную версию изменений. Если заменен ссылочный документ, на который дана датированная ссылка, то рекомендуется использовать версию этого документа с указанным выше годом утверждения (принятия). Если после утверждения настоящего стандарта в ссылочный документ, на который дана датированная ссылка, внесено изменение, затрагивающее положение, на которое дана ссылка, то это положение рекомендуется применять без учета данного изменения. Если ссылочный документ отменен без замены, то положение, в котором дана ссылка на него, рекомендуется применять в части, не затрагивающей эту ссылку.
3 Термины, определения, обозначения и сокращения
3.1 Термины, определения
3.1.1 техническое средство радиосвязи: Оборудование электросвязи, включающее радиопередатчик и/или радиоприемник.
3.1.2 локальная группировка ТС РС: Совокупность технических средств радиосвязи, размещенных в ограниченном пространстве (на радиотелевизионной башне, крыше здания и т.п.).
3.1.3 электромагнитный шум: Изменяющееся во времени электромагнитное явление, которое не содержит информации и может налагаться на полезный сигнал или объединяться с полезным сигналом.
3.1.4 оценка радиопомехи: Классификация радиопомехи по признаку - "допустимая", "недопустимая".
3.1.5 затронутый приемник: Приемник, на который по антенному порту действует радиопомеха.
3.1.6 пораженный приемник: Приемник, на который по антенному порту действует недопустимая радиопомеха.
3.1.7 мешающий передатчик: Передатчик, излучение которого является недопустимой радиопомехой приемнику, для которого рассматриваемый передатчик не является корреспондентом.
3.1.8 блокирование: Изменение отклика на полезный радиосигнал при наличии на входе приемного устройства хотя бы одной недопустимой радиопомехи.
3.1.9 соседний радиоканал: Полоса частот, ширина которой равна ширине полосы пропускания приемника, а средняя частота отстоит от частоты настройки приемника на ширину основного канала приема.
3.1.10 интермодуляционный продукт: Отклик в тракте приемника в результате взаимодействия на его нелинейных элементах двух или более радиопомех.
3.2 Обозначения и сокращения
АД | - абонентский доступ; |
АЧХ | - амплитудно-частотная характеристика; |
БС | - базовая станция; |
ГКРЧ | - Государственная комиссия по радиочастотам; |
ДН | - диаграмма направленности антенны; |
МСЭ | - Международный союз электросвязи; |
МШУ | - малошумящий усилитель; |
ПРД | - передатчик; |
ПРМ | - приемник; |
РРС | - радиорелейная станция; |
ТС РС | - техническое средство радиосвязи; |
СПС | - сухопутная подвижная служба; |
УВЧ | - усилитель высокой частоты; |
УПЧ | - усилитель промежуточной частоты. |
4 Исходные данные и блок-схема алгоритма расчета параметров радиопомех
4.1 Состав локальной группировки
n - число ПРД (i = 1, 2, ... n);
m - число ПРМ (j = 1, 2, ... m).
4.2 Характеристики передатчиков локальной группировки
Для каждого ПРД:
fПРД - рабочая частота передачи, МГц;
PТ - максимальная мощность излучения, дБВт;
BТ-3, BТ-30, BТ-X - ширина полосы частот излучения, МГц, на уровнях -3, -30 и X, дБ;
AГ - относительный уровень побочного радиоизлучения, дБ;

- потери в фидере на передачу, дБ;
G0Т - коэффициент усиления антенны, дБи;
ДН в горизонтальной плоскости (от 0 до 360 град) и ДН в вертикальной плоскости (от -90 до +90 град);
x, y, h - координаты антенны ПРД в прямоугольной системе координат относительно выбранного центра, м.
4.3 Характеристики приемников локальной группировки
Для каждого ПРМ:
fПРМ - частота настройки ПРМ, МГц;
fГЕТ - частота гетеродина, МГц;
fПЧ - промежуточная частота, МГц;
PПРМ - реальная чувствительность приемника, дБВт;
A0 - защитное отношение, дБ;
BУВЧ-3, BУВЧ-30, BУВЧ-X - ширина полосы пропускания УВЧ, МГц, на уровнях -3, -30 и X, дБ;
BУПЧ-3, BУПЧ-30, BУПЧ-X - ширина полосы пропускания УПЧ, МГц, на уровнях -3, -30 и X, дБ;
DБЛ - динамический диапазон по блокированию, дБ;
DИМ - динамический диапазон по интермодуляции, дБ;
DПК - динамический диапазон по побочному каналу приема, дБ;

- потери в фидере на прием, дБ;
GOR - коэффициент усиления антенны, дБи;
ДН антенны в горизонтальной плоскости (от 0 до 360 град) и ДН в вертикальной плоскости (от -90 до +90 град);
x, y, h - координаты антенны ПРМ в прямоугольной системе координат относительно выбранного центра, м.
Примечание - Характеристики передатчиков, приемников и антенн приводятся в
форме N 1 ГКРЧ "Тактико-технические данные".
4.4 Блок-схема алгоритма расчета параметров радиопомех
Рисунок 4.1 - Блок-схема алгоритма
расчета параметров радиопомех
5 Расчет и оценка параметров радиопомех, действующих по основному и соседним каналам приема
Расчет и оценку параметров радиопомех проводят в порядке, указанном ниже.
5.1 Из ТС РС, принадлежащих локальной группировке, формируют пары ТС РС, включающие один приемник и один передатчик. Число пар в локальной группировке N = nm.
Для каждой из этих пар выполняют расчет в следующем порядке.
5.2 Рассчитывают допустимый уровень радиопомехи на входе ПРМ PДОП.ОСК, дБВт, по формуле
PДОП.ОСК = PПРМ - A0 - Z, (5.1)
где Z, дБ - коэффициент, зависящий от типа ТС РС.
5.3 Рассчитывают мощность радиопомехи на входе ПРМ, PПОМ.ВХ, дБВт:

(5.2)
где GТ - коэффициент усиления антенны ПРД в направлении на антенну ПРМ на частоте fПРД, дБи;
GR - коэффициент усиления антенны ПРМ в направлении на антенну ПРД на частоте fПРД, дБи;
L0 - ослабление радиопомехи при распространении между точками фазовых центров антенн ПРД и ПРМ, дБ, рассчитывают по формуле
L0 = -27,55 + 20 lg fПРД + 20 lg R, (5.3)
где R - расстояние между точками фазовых центров антенн ПРД и ПРМ, м,

(5.4)
Примечание - Рекомендуемые значения коэффициентов усиления антенн приведены в
Приложении Б.
5.4 Рассчитывают приведенную мощность радиопомехи на входе ПРМ,
PПОМ.ОСК, дБВт (с учетом ослабления помехи за счет частотного разноса

и несовпадения полосы пропускания ПРМ с полосой частот радиоизлучения ПРД):

(5.5)
где

- коэффициент ослабления радиопомехи, дБ, определяют по формуле

(5.6)
где P(f) - спектральная плотность мощности радиопомехи (Вт/Гц);
H(f) - амплитудно-частотная характеристика ПЧ приемника.
5.5 Помеху от ПРД считают недопустимой, а ПРМ - пораженным помехой по основному и соседним каналам приема, при выполнении условия
PПОМ.ОСК > PДОП.ОСК. (5.7)
6 Расчет и оценка параметров радиопомех, создающих блокирование
Расчет и оценку параметров радиопомех проводят в порядке, указанном ниже.
6.1 Из ТС РС, принадлежащих локальной группировке, формируют пары ТС РС, включающие один приемник и один передатчик. Число пар в локальной группировке N = nm.
Для каждой из этих пар выполняют расчет в следующем порядке.
6.2 Допустимый уровень радиопомехи на входе ПРМ PДОП.БЛ, дБВт, определяют по формуле
PДОП.БЛ = DБЛ + PПРМ. (6.1)
6.3 Рассчитывают мощность радиопомехи на выходе фильтра предварительной селекции (МШУ или УВЧ)
PПОМ.БЛ, дБВт:
PПОМ.БЛ = PПОМ.ВХ + H1, (6.2)
H1, дБ (
H1 < 0) - ослабление фильтра предварительной селекции на частоте
fПРД, вычисляемое по данным массива АЧХ в соответствии с
Приложением В.
6.4 Помеху от ПРД считают недопустимой, а ПРМ - пораженным помехой, создающей блокирование, при выполнении условия
PПОМ.БЛ > PДОП.БЛ. (6.3)
7 Расчет и оценка параметров радиопомех, создающих интермодуляцию
Расчет и оценку параметров радиопомех проводят в порядке, указанном ниже.
7.1 Из ТС РС, принадлежащих локальной группировке, формируют группы двух типов:
1) "приемник - два передатчика",
2) "приемник - три передатчика".
Число групп двух типов в локальной группировке определяется формулой

(7.1)
где

,

- число сочетаний из
n по 2 и 3 соответственно.
Для каждой группы выполняют расчет в следующем порядке.
7.2 Из
N1 групп отбирают те группы, для которых выполняется одно из условий (7.2), определяющих положение полосы частот интермодуляционного продукта относительно полосы пропускания ПРМ
(рисунок 7.1):

(7.2)
где Fmin, Fmax - нижняя и верхняя границы полосы пропускания ПРМ, МГц,

(7.3)
FИМ.Н, FИМ.В - нижняя и верхняя границы полосы частот интермодуляционного продукта, МГц,
FИМ - центральная частота полосы частот интермодуляционного продукта, МГц,

- для группы ТС РС "приемник - два передатчика",

- для группы ТС РС "приемник - три передатчика";
fПРД-1, fПРД-2, fПРД-3 - рабочие частоты 1-го, 2-го и 3-го передатчиков, МГц;

,

,

- целые числа (1, 2, ..., 6);
BИМ - ширина полосы частот интермодуляционного продукта, МГц,

- для группы ТС РС "приемник - два передатчика",

- для группы ТС РС "приемник - три передатчика";
BТ1-30, BТ2-30, BТ3-30 - ширина полосы частот радиоизлучения 1-го, 2-го и 3-го ПРД на уровне -30 дБ, МГц.
| | ИС МЕГАНОРМ: примечание. Рисунок дан в соответствии с официальным текстом документа. | |
Отобранные по
условию (7.2) группы классифицируют как "группы ТС РС, в ПРМ которых возможна интермодуляция, создаваемая радиопомехами от двух или трех ПРД".
Для каждой из этих групп проводят расчет в следующем порядке.
7.3 Вычисляют ослабление фильтра предварительной селекции ПРМ -
H1, дБ (
H1 < 0) на рабочих частотах ПРД
fПРД-1,
fПРД-2,
fПРД-3 по данным массива АЧХ
(Приложение В).
7.4 Рассчитывают мощность радиопомехи PПОМ.1, PПОМ.2, PПОМ.3, дБВт, на выходе фильтра предварительной селекции ПРМ на частотах fПРД-1, fПРД-2, fПРД-3, соответственно:

(7.4)
7.5 Рассчитывают мощность интермодуляционного продукта на выходе нелинейного каскада ПРМ (УВЧ, МШУ), PПЭ, дБВт (с учетом ослабления УПЧ) по формулам:

- для группы ТС РС "приемник - два передатчика",

- для группы ТС РС "приемник - три передатчика",
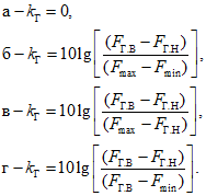
где
kИМ, дБ - коэффициент, зависящий от положения полосы частот интермодуляционного продукта относительно полосы пропускания ПРМ, для 4-положений
(7.2), определяемый по формулам:
7.6 Рассчитывают мощность интермодуляционного продукта,
PП0, дБВт, на выходе нелинейного каскада ПРМ при воздействии на вход ПРМ радиопомех, уровни которых равны значению уровня восприимчивости к интермодуляции ПРМ, по формулам:

- для группы ТС РС "приемник - два передатчика",

- для группы ТС РС "приемник - три передатчика",
где PДОП.ИМ, дБВт - уровень восприимчивости ПРМ к интермодуляции определяют по формуле
PДОП.ИМ = PПРМ + DИМ. (7.5)
7.7 Помехи считают недопустимыми, а приемник пораженным помехами, создающими интермодуляцию, при выполнении условия
PПЭ >= PП0. (7.6)
8 Расчет и оценка параметров радиопомех, действующих по побочным каналам приема
Расчет и оценку параметров радиопомех проводят в порядке, указанном ниже.
8.1 Из ТС РС, принадлежащих локальной группировке, формируют пары ТС РС, включающие один приемник и один передатчик. Число пар в локальной группировке - N = nm.
8.2 Из
N пар ТС РС отбирают те, для которых выполняется одно из условий (8.1), определяющих положение полосы частот излучения ПРД относительно полосы пропускания побочного канала приема ПРМ
(рисунок 8.1):

(8.1)
где FПКmin, FПКmax - нижняя и верхняя границы полосы частот побочного канала приема ПРМ, МГц, определяемые формулами:
fПК - центральная частота побочного канала приема,
q, g - целые числа (1, 2, ..., 5);
Ft.Н, Ft.В - нижняя и верхняя границы полосы частот излучения передатчика, МГц, определяемые формулами:

(8.2)
Рисунок 8.1 - Положение полосы частот излучения ПРД
относительно полосы пропускания побочного канала приема ПРМ
Отобранные пары ТС РС классифицируют как "пары ПРМ - ПРД, в которых возможны помехи по побочным каналам приема, создаваемые излучением ПРД".
Для каждой из этих пар выполняют расчет в следующем порядке.
8.3 Рассчитывают допустимый уровень радиопомехи на входе ПРМ, PДОП.ПК, дБВт:
PДОП.ПК = DПК + PПРМ. (8.3)
8.4 Рассчитывают мощность радиопомехи на входе ПРМ,
PПОМ.ПК, дБВт:
PПОМ.ПК = PПОМ.ВХ - kПК,
kПК - коэффициент, зависящий от положения помехи относительно полосы пропускания побочного канала приема, дБ, для 4-положений
(8.2), определяемый по формулам:
8.5 Помеху от ПРД считают недопустимой, а приемник - пораженным помехой по побочному каналу приема при выполнении условия
PПОМ.ПК > PДОП.ПК. (8.4)
9 Расчет и оценка параметров радиопомех, создаваемых радиоизлучением на гармониках
Расчет и оценку параметров радиопомех проводят в порядке, указанном ниже.
9.1 Из ТС РС, принадлежащих локальной группировке, формируют пары ТС РС, включающие один приемник и один передатчик. Число пар в локальной группировке - N = nm.
9.2 Из
N пар отбирают те, для которых выполняется одно из условий (9.1), определяющих положение полосы частот радиоизлучения на гармонике относительно полосы пропускания приемника
(рисунок 9.1):

(9.1)
где
Fmin,
Fmax - нижняя и верхняя границы полосы пропускания ПРМ, МГц, определяемые
формулами (7.3);
FГ.Н, FГ.В - нижняя и верхняя границы полосы частот радиоизлучения на гармонике, МГц, определяемые формулами:

(9.2)
где FГО - центральная частота полосы частот радиоизлучения на гармонике, МГц,
FГО = rГfПРД;
BГ - ширина полосы частот радиоизлучения на гармонике, МГц, BГ = rГBТ-30;
rГ - целое число (2, 3, ..., 10).
Рисунок 9.1 - Положение полосы частот радиоизлучения
на гармонике относительно полосы пропускания приемника
Для каждой из этих пар выполняют расчет в следующем порядке.
9.3 Рассчитывают допустимый уровень радиопомехи на входе ПРМ, PДОП.ГР, дБВт:
PДОП.ГР = PПРМ - A0 + Z, (9.3)
9.4 Рассчитывают мощность радиопомехи на входе ПРМ, PПОМ.ГР, дБВт:
PПОМ.ГР = PПОМ.ВХ - kГ - AГ, (9.4)
kГ - коэффициент, зависящий от положения полосы частот радиоизлучения на гармонике относительно полосы пропускания приемника, дБ, для 4-положений
(9.2), определяемый по формулам:
9.5 Помеху от ПРД считают недопустимой, а приемник - пораженным помехой, обусловленной радиоизлучением на гармонике, при выполнении условия
PПОМ.ГР > PДОП.ГР. (9.5)
10 Оценка радиопомех в локальной группировке
| | ИС МЕГАНОРМ: примечание. В официальном тексте документа, видимо, допущена опечатка: пункт 5.7 отсутствует. | |
10.1 По результатам оценки радиопомех по 5.7,
6.3,
7.6,
8.4,
9.5 определяют группы несовместимых ТС РС, в состав которых входит пораженный ПРМ.
10.2 Формируют перечень несовместимых ТС РС. По каждой группе несовместимых ТС РС в таблицу результатов заносят данные о ТС РС.
Таблица 10.1
Перечень несовместимых ТС РС
Номер группы, содержащей пораженный ПРМ |
Номер пораженного ПРМ | Номера ПРД, входящих в группу | Тип помехи |
| | |
| | |
| | |
10.3 Считают, что ТС РС, входящие в состав локальной группировки, являются совместимыми, если группировка не содержит пораженных ПРМ.
(справочное)
Таблица А.1
Значение параметра Z
Тип ТС РС | Z, дБ |
РРС | -6 |
АД, СПС | 0 |
(справочное)
КОЭФФИЦИЕНТЫ УСИЛЕНИЯ АНТЕННЫ
Коэффициенты усиления антенны GТ (GR) для неосновных направлений излучений на частотах в диапазоне антенны и вне диапазона антенны приведены в таблице Б.1.
Таблица Б.1
Коэффициенты усиления антенны
Тип антенны | Частота | GТ(GR), дБ |
высоконаправленная G0Т(G0R) > 25 дБ | В диапазоне антенны | -10 |
Вне диапазона антенны | -10 |
средненаправленная 10 < G0Т(G0R) < 25 дБ | В диапазоне антенны | -10 |
Вне диапазона антенны | -10 |
слабонаправленная G0Т(G0R) < 10 дБ | В диапазоне антенны | 0 |
Вне диапазона антенны | -3 |
(справочное)
РАСЧЕТ ОСЛАБЛЕНИЯ ПОМЕХИ В ФИЛЬТРЕ ПРЕДВАРИТЕЛЬНОЙ СЕЛЕКЦИИ
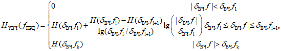
АЧХ фильтра предварительной селекции описывается шириной полосы пропускания при ослаблении 3, 30 и X дБ.
Ослабление фильтра H1 (fПРД) на частоте мешающего передатчика fПРД вычисляют по данным АЧХ (при наличии МШУ - до фильтра МШУ включительно, при отсутствии МШУ - до фильтра УВЧ включительно) по следующим формулам:
где

- отстройка частоты мешающего передатчика от центральной частоты фильтра МШУ
fМШУ;

- заданные значения уровня пропускания МШУ при заданных отстройках

;

;
i = 1, 2, ..., k - 1; k - количество заданных значений;

- отстройка частоты мешающего передатчика от центральной частоты фильтра УВЧ
fУВЧ;

- заданные значения уровня пропускания УВЧ при заданных отстройках

;

.
Примечание - Фильтром предварительной селекции для РРС является МШУ, для БС СПС и АД - УВЧ.
(рекомендуемое)
МЕРОПРИЯТИЯ ПО СНИЖЕНИЮ УРОВНЕЙ РАДИОПОМЕХ
ОТ ТС РС В ЛОКАЛЬНОЙ ГРУППИРОВКЕ
При наличии пораженных ПРМ в локальной группировке ТС РС проводят поиск условий, при которых недопустимые радиопомехи будут снижены или исключены. Процедура поиска условий включает следующие мероприятия:
- выбор рабочих частот ПРД и ПРМ, при которых исключаются помехи;
- изменение территориальных разносов между антеннами конфликтующих ТС РС;
- применение дополнительных фильтров внеполосных и побочных излучений на выходах мешающих ПРД;
- применение антенн с повышенным подавлением боковых лепестков диаграммы направленности;
- использование дополнительных экранов (в том числе конструктивных элементов опор);
- применение на входе ПРМ дополнительных фильтров (полосовых, режекторных), подавляющих мешающий сигнал.