Главная // Актуальные документы // ГОСТ Р (Государственный стандарт)СПРАВКА
Источник публикации
М.: Стандартинформ, 2016
Примечание к документу
Документ
введен в действие с 1 октября 2016 года.
Название документа
"ГОСТ Р МЭК 62555-2015. Национальный стандарт Российской Федерации. Государственная система обеспечения единства измерений. Мощность ультразвука в жидкостях. Общие требования к методикам измерений терапевтических преобразователей и систем высокой интенсивности"
(утв. и введен в действие Приказом Росстандарта от 06.11.2015 N 1706-ст)
"ГОСТ Р МЭК 62555-2015. Национальный стандарт Российской Федерации. Государственная система обеспечения единства измерений. Мощность ультразвука в жидкостях. Общие требования к методикам измерений терапевтических преобразователей и систем высокой интенсивности"
(утв. и введен в действие Приказом Росстандарта от 06.11.2015 N 1706-ст)
Утвержден и введен в действие
агентства по техническому
регулированию и метрологии
от 6 ноября 2015 г. N 1706-ст
НАЦИОНАЛЬНЫЙ СТАНДАРТ РОССИЙСКОЙ ФЕДЕРАЦИИ
ГОСУДАРСТВЕННАЯ СИСТЕМА ОБЕСПЕЧЕНИЯ ЕДИНСТВА ИЗМЕРЕНИЙ
МОЩНОСТЬ УЛЬТРАЗВУКА В ЖИДКОСТЯХ
ОБЩИЕ ТРЕБОВАНИЯ К МЕТОДИКАМ ИЗМЕРЕНИЙ ТЕРАПЕВТИЧЕСКИХ
ПРЕОБРАЗОВАТЕЛЕЙ И СИСТЕМ ВЫСОКОЙ ИНТЕНСИВНОСТИ
State system for ensuring the uniformity of measurements.
Ultrasonic power in liquids. General requirements
to measurement methods of therapeutic transducers
and systems with high intensity
IEC 62555:2013,
Ultrasonics - Power measurement - High intensity
therapeutic ultrasound (HITU) transducers and systems,
(IDT)
ГОСТ Р МЭК 62555-2015
Дата введения
1 октября 2016 года
1 ПОДГОТОВЛЕН Всероссийским научно-исследовательским институтом физико-технических и радиотехнических измерений (ФГУП "ВНИИФТРИ") на основе собственного аутентичного перевода на русский язык стандарта, указанного в
пункте 4
2 ВНЕСЕН Управлением метрологии Федерального агентства по техническому регулированию и метрологии, Техническим комитетом по стандартизации ТК 206, ПК 206.14 "Эталоны и поверочные схемы в области измерений акустических, гидроакустических и гидрофизических величин"
3 УТВЕРЖДЕН И ВВЕДЕН В ДЕЙСТВИЕ
Приказом Федерального агентства по техническому регулированию и метрологии от 06 ноября 2015 г. N 1706-ст
4 Настоящий стандарт идентичен стандарту МЭК 62555:2013 "Ультразвук. Измерение мощности. Терапевтические ультразвуковые аппараты и системы высокой интенсивности (HITU)" (IEC 62555:2013 "Ultrasonics - Power measurement - High intensity therapeutic ultrasound (HITU) transducers and systems", IDT).
Наименование настоящего стандарта изменено относительно наименования указанного международного стандарта для приведения в соответствие с ГОСТ Р 1.5-2004
(подраздел 3.5).
При применении настоящего стандарта рекомендуется использовать вместо ссылочных международных стандарта и документа соответствующие им национальные стандарты Российской Федерации, сведения о которых приведены в дополнительном
приложении ДА
5 ВВЕДЕН ВПЕРВЫЕ
Правила применения настоящего стандарта установлены в ГОСТ Р 1.0-2012 (раздел 8). Информация об изменениях к настоящему стандарту публикуется в ежегодном (по состоянию на 1 января текущего года) информационном указателе "Национальные стандарты", а официальный текст изменений и поправок - в ежемесячном информационном указателе "Национальные стандарты". В случае пересмотра (замены) или отмены настоящего стандарта соответствующее уведомление будет опубликовано в ближайшем выпуске ежемесячного указателя "Национальные стандарты". Соответствующая информация, уведомление и тексты размещаются также в информационной системе общего пользования - на официальном сайте Федерального агентства по техническому регулированию и метрологии сети Интернет (www.gost.ru)
Настоящий стандарт распространяется на методики измерений мощности ультразвукового излучения терапевтических преобразователей и систем высокой интенсивности, в том числе:
устанавливает общие принципы, относящиеся к измерению мощности ультразвуковых терапевтических полей высокой интенсивности (HITU) <*> при использовании систем уравновешивания радиационной силы, в которых преграда (мишень) пересекает измеряемое ультразвуковое поле;
--------------------------------
<*> Здесь и далее по тексту настоящего стандарта выделение слова или словосочетания полужирным шрифтом означает, что это слово или словосочетание определено в
разделе 3 настоящего стандарта.
рассматривает калориметрический метод определения акустической мощности, излучаемой ультразвуковыми преобразователями, основанный на измерении теплового расширения мишени, заполненной жидкостью;
устанавливает требования к электрической мощности ультразвуковых преобразователей;
дает рекомендации по устранению акустической кавитации в процессе измерений;
дает рекомендации по измерению HITU преобразователей различной конструкции и геометрии, в том числе преобразователей с коллимированным, расходящимся и сходящимся пучками, а также многоэлементных преобразователей;
дает рекомендации по выбору наиболее подходящего метода измерений;
предлагает методы оценки суммарной неопределенности измерений.
Настоящий стандарт применим для измерений ультразвуковой мощности, излучаемой HITU оборудованием в пределах до 500 Вт и в частотном диапазоне от 0,5 до 5 МГц. HITU оборудование может излучать сходящиеся, коллимированные и даже расходящиеся поля. На частотах ниже 500 кГц эти методы не могут обеспечить верность результатов измерений, и пользователю рекомендуется самостоятельно оценивать связанные с ними неопределенности.
Настоящий стандарт не применим для аппаратов ультразвуковой терапии, литотриптеров или аппаратов, снимающих боль.
В настоящем стандарте использованы ссылки на следующие международные стандарты. В случае датированных ссылок следует применять только указанные стандарты, для недатированных ссылок - последнее издание ссылочного стандарта (включая любые изменения).
IEC 61161:2013 Ультразвук - Измерение мощности - Системы уравновешивания радиационной силы и требования к исполнению;
IEC/TR 62781 Ультразвук - Подготовка воды для ультразвуковых измерений.
В настоящем стандарте применены следующие термины с соответствующими определениями:
3.1
акустическая эффективность 
: Отношение акустической
выходной мощности ультразвукового преобразователя к его
электрической мощности.
3.2 акустическое течение: Объемное перемещение жидкости под действием звукового поля (см. МЭК 61161).
3.3 чувствительность к плавучести S, Н·Дж-1: Отношение силы плавучести, воздействующей на расширяющуюся мишень, к количеству поглощенной ею энергии при отсутствии тепловых потерь.
Примечания
1 Это отношение может зависеть от температуры.
2 Для
расширяющейся мишени, погруженной в воду,
чувствительность к плавучести заполненной жидкостью
расширяющейся мишени наиболее удобно и точно может быть определена при калибровке с помощью электрического нагревания (см.
7.2.9 настоящего стандарта). Она может быть также вычислена как произведение
коэффициента расширения, плотности воды и ускорения свободного падения, но на практике это приводит к большой неопределенности.
3 В связи с тем, что большинство весов показывают вес в граммах или миллиграммах, чувствительность к плавучести часто более удобно выражать в единицах, эквивалентных массе, таких например, как мг·Дж-1.
3.4 коэффициент расширения Rv, м3·Дж-1: Отношение увеличения объема расширяющейся мишени к количеству поглощенной ею энергии при отсутствии тепловых потерь.
Примечание - С определенными допущениями чувствительность к плавучести заполненной жидкостью расширяющейся мишени может быть вычислена из отношения объемного расширения жидкости к ее объемной теплоемкости. Это отношение может зависеть от температуры.
3.5 расширяющаяся мишень: Заполненное жидкостью устройство, специально разработанное, чтобы перекрыть и поглотить существенно большую часть ультразвукового поля, подвергаясь тем самым тепловому расширению.
3.6 свободное поле: Звуковое поле в гомогенной изотропной среде, границы которой оказывают пренебрежимо малое воздействие на звуковые волны (см. словарь МЭК 60050 (801)).
3.7 ультразвуковое терапевтическое оборудование высокой интенсивности HITU: Оборудование для излучения ультразвука и введения его в тело пациента с лечебными целями для разрушения или изменения живых тканей или элементов внутри них (например, жидкостей, пузырьков, микрокапсул) и которое усиливает лечение с помощью механического, теплового, физического, химического или биохимического эффектов ультразвукового воздействия (см. МЭК 60601-2-62).
Примечания
1 Оборудование HITU включает генератор электрической высокочастотной мощности и преобразователь для преобразования электрической энергии в ультразвук. В большинстве случаев в это оборудование включают также устройство нацеливания и мониторинга.
2 Хотя оборудование HITU вызывает гипертермию в качестве побочного эффекта, его не следует путать с теми лечебными средствами, которые сопровождаются гораздо более медленным и слабым нагревом (в общем случае от 42 до 50 °C за интервал времени от 0,2 до 120 мин). Оборудование HITU обычно вызывает повышение температуры до значений, превышающих 55 °C и за более короткое время, также оно может вызывать биологические эффекты нетеплового характера.
3 Это определение не применимо к ультразвуковому оборудованию для физиотерапии, литотрипсии и устройствам облегчения боли.
3.8 воздействующая мощность Pi, Вт: Усредненная во времени ультразвуковая мощность, проходящая через какую-либо заданную плоскость или поверхность после ее излучения ультразвуковым преобразователем в приблизительно свободном поле при каких-либо заданных условиях в какой-либо заданной среде, предпочтительно воде.
3.9 многоэлементный преобразователь: Источник ультразвука, содержащий два или более пространственно разделенных ультразвуковых преобразователей.
Примечание - В этом контексте одиночный пьезоэлектрический элемент фазированной решетки следует считать ультразвуковым преобразователем.
3.10 нелинейные потери: Потери энергии ультразвукового пучка, вызванные поглощением гармонических составляющих из-за эффектов нелинейности распространения.
Примечание - В общем случае нелинейные потери неодинаковы в ультразвуковом поле, они возникают преимущественно там, где амплитуды давления наиболее высоки, вызывая тем самым изменения распределения ультразвуковой энергии в поле.
3.11 выходная мощность P, Вт: Усредненная во времени ультразвуковая мощность излучения ультразвукового преобразователя в условиях свободного поля и в какой-либо определенной среде, предпочтительно в воде (см. МЭК 61161).
3.12 радиационная проводимость (излучательная способность) G, С: Отношение акустической выходной мощности к квадрату эффективного (среднеквадратичного) электрического напряжения на входе преобразователя (см. МЭК 61161).
Примечания
1 Эту величину используют для определения параметров электроакустического преобразования ультразвуковых преобразователей.
2 Эффективное (среднеквадратичное) электрическое напряжение (а не мгновенное значение напряжения, или пиковые значения) используют потому, что на это значение гораздо меньше влияют искажения формы сигнала.
3 Этот термин не является тем же самым, что реальная часть проводимости преобразователя.
3.13 радиационная сила (акустическая радиационная сила) F, Н: Усредненная во времени сила, приложенная к телу при воздействии на нее ультразвукового поля, за исключением составляющих, связанных с акустическими течениями (см. МЭК 61161).
Примечание - В более общем смысле усредненная во времени сила (за исключением составляющих, связанных с акустическими течениями) в звуковом поле, проявляющаяся на границе раздела двух сред с различными акустическими свойствами.
3.14 мишень для радиационной силы: Устройство, специально разработанное для существенного перекрытия всего ультразвукового поля и являющееся объектом воздействия на него радиационной силы.
3.15 мишень: Устройство, специально разработанное для существенного перекрытия всего ультразвукового поля.
3.16 электрическая мощность преобразователя Pel, Вт: Скорость преобразования ультразвуковым преобразователем усредненной во времени электрической энергии в энергию другого типа (обычно в тепло или энергию ультразвукового поля).
Примечание - Электрическая мощность, отражаемая от преобразователя, не считается частью электрической мощности преобразователя.
3.17 ультразвуковой преобразователь: Устройство, способное преобразовывать электрическую энергию в механическую в ультразвуковом диапазоне частот и/или механическую энергию в электрическую.
Примечание - Ультразвуковой преобразователь может включать соединительные кабели и компоненты для электрического согласования.
a - радиус круглого ультразвукового преобразователя-излучателя;
bx, by - половина ширины и длины прямоугольного ультразвукового преобразователя-излучателя в направлении x и y соответственно (так что его ширина и длина равны 2bx и 2by соответственно);
B - изменение силы плавучести, действующей на расширяющуюся мишень, погруженную в среду распространения звука (обычно воду);
c - скорость звука (обычно в воде);
dx, dy - геометрические фокусные расстояния фокусирующего ультразвукового преобразователя в плоскостях x-z и y-z соответственно;
d - геометрическое фокусное расстояние фокусирующего ультразвукового преобразователя, измеренное от излучающей поверхности преобразователя, в случае, если dx = dy = d;
C - объемная теплоемкость;
E - коэффициент объемного расширения;
F - радиационная сила, воздействующая на мишень в направлении падающей ультразвуковой волны;
g - ускорение свободного падения;
G - радиационная проводимость;
hd - половина диагонали прямоугольного преобразователя: hd = (bx2 + by2)1/2;
hh - среднее гармоническое значений bx и by: hh = 2/(1/bx + 1/by);
k - волновое число

;
L - часть энергии акустического течения, перекрываемая мишенью;
M - изменяющийся во времени вес мишени или расширяющейся мишени, измеряемый весами, на которых она подвешена (обычно в единицах, эквивалентных массе);
P - выходная мощность ультразвукового преобразователя;
Pel - электрическая мощность преобразователя;
Pi - воздействующая мощность (воздействующая на мишень или расширяющуюся мишень);
Rc - радиус кривизны фокусирующего преобразователя в виде сферического сегмента;
Rv - коэффициент расширения расширяющейся мишени;
s - нормированное расстояние от
ультразвукового преобразователя 
;
S - чувствительность к плавучести расширяющейся мишени;
t0 - длительность облучения;
z - расстояние между мишенью и излучающей поверхностью ультразвукового преобразователя, измеренное вдоль оси пучка;

- амплитудный коэффициент затухания плоских волн в среде (обычно воде);

и

- фокальные полууглы фокусирующего
ультразвукового преобразователя в плоскостях
x-z и
y-z соответственно;

,

, если преобразователь плоский и фокусные расстояния отсчитаны от плоской поверхности преобразователя;

- фокальный полуугол круглого фокусирующего
ультразвукового преобразователя;

, если преобразователь сферический и фокусное расстояние отсчитано от "дна" сферической "чаши";

, если фокусное расстояние отсчитано от плоскости обода активной части "чаши" или если преобразователь плоский;

-
акустическая эффективность ультразвукового преобразователя;

- угол между направлением падения ультразвуковой волны и нормалью к поверхности
мишени;

- угол между направлением падения ультразвуковой волны и осью чувствительности (обычно вертикалью) системы уравновешивания (весов);

- длина ультразвуковой волны в среде распространения (обычно воде);

- плотность среды распространения (обычно воды).
Примечание - Под упоминаемым выше для
F и

направлением падения звуковой волны понимают в общем случае направление оси поля (пучка).
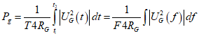
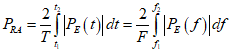
5 Измерение мощности HITU оборудования
Измерение
выходной мощности достаточно обосновано для коллимированных (и слабо сфокусированных или немного расходящихся) ультразвуковых полей (пучков) мощностью до 20 Вт с использованием метода уравновешивания
радиационной силы в соответствии с МЭК 61161. Содержание раздела 6 настоящего стандарта базируется на положениях МЭК 61161, однако в него внесены некоторые изменения, касающиеся
HITU оборудования, генерирующего в общем случае неколлимированные поля с гораздо более высокой
выходной мощностью. В МЭК 61161 указано, что измерения следует проводить при установке
мишени возможно ближе к преобразователю. Однако для сильно фокусирующих преобразователей это не всегда возможно, и бывают случаи, когда более правильно измерять
воздействующую мощность, которая достигает какой-либо определенной поверхности, расположенной на некотором солидном расстоянии от преобразователя (эта поверхность, например, может представлять собой кожу тела пациента). Такое существенное расстояние может стать причиной значительных
нелинейных потерь при распространении ультразвука в воде. Именно поэтому в настоящем стандарте в качестве первичной измеряемой величины рассматривают
воздействующую мощность, а не
выходную мощность преобразователя. Конечно,
воздействующая мощность может служить основой для определения
выходной мощности при использовании соответствующей модели, влекущей однако дополнительные источники погрешности (см.
приложение E). Несмотря на то что метод изменения плавучести определяет усредненную по времени мощность, воздействующую на мишень за весь период ее ультразвукового облучения, метод уравновешивания
радиационной силы будет определять мощность только во время включения и выключения возбуждения преобразователя. Полученные при включении и выключении значения могут отличаться друг от друга, и среднее из этих значений необязательно будет равным усредненной во времени мощности. В общем случае время облучения должно выбираться с учетом определенных ограничений для каждого устройства.
6 Радиационная сила, воздействующая на мишень
Уравновешивание радиационной силы следует осуществлять на мишени, связанной с системой уравновешивания (весами). Ультразвуковой пучок должен быть направлен на мишень вертикально вверх или вниз (или горизонтально), и радиационная сила, оказывающая давление на мишень, должна быть измерена с помощью весов. Воздействующую ультразвуковую мощность следует определить по разнице веса мишени при воздействии ультразвукового облучения и без него. Калибровку весов можно провести с помощью небольших грузиков с точно известной массой.
Мишень должна быть выбрана такой, чтобы наиболее точно соответствовать одному из крайних случаев, т.е. быть идеальным отражателем или идеальным поглотителем.
Для плоской падающей волны акустическую
воздействующую мощность Pi от ультразвукового преобразователя следует вычислять по составляющей
радиационной силы F, воздействующей на мишень в направлении распространения из соответствующих выражений (1) или
(2):
для идеальной поглощающей мишени
Pi =
c·
F; (1)
для идеальной отражающей мишени

, (2)
где c - скорость звука в среде распространения (обычно в воде);

- угол между направлением падения ультразвуковой волны и нормалью к отражающей поверхности.
Примечание - Под упоминаемым выше направлением падения звуковой волны понимают в общем случае направление оси поля (пучка).
Соотношение между радиационной силой и воздействующей мощностью зависит в принципе от допущений об излучаемом поле и его взаимодействии с мишенью и измерительным баком. Для некоторых неплоских волн (например, в случае сфокусированного или расходящегося пучков или при одновременном излучении множества источников), следует установить правильное соотношение между радиационной силой и воздействующей мощностью. При этом следует оценить неопределенность значения воздействующей мощности из-за отклонения ультразвукового поля от условий плоской волны.
В некоторых случаях воздействующие на
мишень акустические течения могут быть сравнимы с
радиационной силой. В этих случаях для определения величины
радиационной силы следует провести корректирующие измерения с внесением теоретических поправок или с использованием пленки вблизи
мишени. Соответствующие рекомендации даны в
приложении E настоящего стандарта. Следует оценить неопределенность измерения
воздействующей мощности, вызванную влиянием
акустических течений.
Примечание - Соответствующие формулы для некоторых идеализированных преобразователей простой конфигурации приведены в
приложении C.
Воздействующую мощность рекомендуется измерять с преобразователем, возбуждаемым в режиме, сходном с его клиническим применением (например, в режиме непрерывной волны или в тонально-импульсном режиме, согласованном, однако, с временем отклика системы уравновешивания).
При необходимости использования различных параметров импульсного режима, чтобы не допустить повреждения мишени или преобразователя, необходимо исследовать эффекты воздействия на выходную мощность преобразователя различных тепловых нагрузок.
Более подробную информацию о требованиях, изложенных в последующих пунктах раздела 6, можно найти в приложении A МЭК 61161:2013.
6.2 Требования к оборудованию
6.2.1 Тип мишени
6.2.1.1 Общие положения
Рекомендуется использовать поглощающую мишень. Применение конической отражающей мишени в общем случае нежелательно, однако в некоторых ситуациях она может оказаться необходимой.
Акустические свойства мишени должны быть известны, что важно для правильного использования соотношения между ультразвуковой мощностью и радиационной силой (см. также приложение A МЭК 61161:2013).
6.2.1.2 Поглощающая
мишень
Поглощающая мишень должна иметь:
- амплитудный коэффициент отражения менее 5%;
- поглощение акустической энергии внутри мишени не менее 98%.
Для измерений мощности коллимированных преобразователей поглощающую мишень рекомендуется ориентировать под небольшим углом к оси симметрии преобразователя, чтобы минимизировать когерентные отражения.
Поглощающий материал и конструкция мишени должны быть выбраны таким образом, чтобы снизить риск ее постепенного нагрева или механического повреждения при длительном ультразвуковом облучении. Временные изменения амплитудного коэффициента отражения или поглощения акустической энергии должны быть такими, чтобы их воздействие на измеряемую мощность не превышали 2%. В противном случае следует вводить поправки.
6.2.1.3 Отражающая мишень
Амплитудный коэффициент отражения отражающей мишени должен превышать 99%.
Следует рассмотреть возможность отражения части ультразвуковой энергии от мишени обратно к преобразователю и выбрать такую форму мишени, которая бы соответствовала геометрии преобразователя.
В общем случае коническая отражающая мишень не пригодна для измерений фокусированных или расходящихся пучков и ее не рекомендуется применять для измерения мощности фокусирующих или многоэлементных преобразователей, или преобразователей с ka < 17,4, пока в этом нет острой необходимости. Если же без использования конической отражающей мишени обойтись нельзя, то следует оценить правильность использования соотношения между ультразвуковой мощностью и радиационной силой и связанную с этим неопределенность.
Примечание - Точное значение радиуса a зависит от различных обстоятельств. Для преобразователей, применяемых на практике, это эффективный радиус преобразователя. При вычислениях в предположении, что преобразователь - поршневого типа, это значение геометрического радиуса преобразователя.
6.2.2 Диаметр мишени
Диаметр
мишени должен быть большим настолько, чтобы улавливать не менее 98% ультразвуковой энергии, достигающей измерительной плоскости. Формулы для оценки требуемого диаметра
мишени приведены в
приложении B настоящего стандарта.
Примечание - Для определения минимального диаметра мишени какой-либо конкретной конструкции можно использовать и другие методы, например, моделирование или измерения с помощью гидрофона.
6.2.3 Система уравновешивания радиационной силы/весы
Системой уравновешивания радиационной силы могут быть гравиметрические весы, и в этом случае ультразвуковой пучок должен быть ориентирован вертикально. Альтернативой им может быть система с силовой обратной связью, и тогда пучок может быть направлен горизонтально. Если весы откалиброваны в единицах массы, то изготовителем или самим пользователем должен быть обеспечен их перевод в единицы силы.
Примечание - Калибровку системы с горизонтальной ориентацией пучка можно выполнить с помощью соответствующего рычажного приспособления на весах или специальных излучателей с известной акустической мощностью.
Используемые весы должны иметь существенную разрешающую способность по мощности (см. также приложение A МЭК 61161).
6.2.4 Измерительный бак
При использовании отражающей мишени стенки измерительного бака должны быть покрыты поглощающим материалом так, чтобы влияние отражений от них на измеряемую мощность не превышало 2%.
6.2.5 Устройства поддержания мишени
В компенсационных весах элементы, поддерживающие мишень и передающие воздействие радиационной силы через поверхность раздела вода/воздух, должны быть сконструированы так, чтобы снизить эффекты поверхностного натяжения и изменений плавучести из-за флуктуаций уровня водной поверхности до значений, не превышающих 2% измеряемой мощности.
6.2.6 Установка преобразователя
Устройство для установки преобразователя должно обеспечивать его стабильное и воспроизводимое размещение относительно мишени таким образом, чтобы связанные с этим изменения измеряемой мощности не превышали 2%.
6.2.7 Пленки для защиты от акустических течений
Влияние акустических течений на мишень должно быть устранено с помощью специальной пленки или таким построением процесса измерений, чтобы это влияние не превышало 2% от измеряемой мощности. В противном случае в результаты измерений необходимо вводить поправки.
При использовании пленки, защищающей от влияния акустических течений, она должна быть установлена вблизи мишени и не быть параллельной поверхности ультразвукового преобразователя. Коэффициент пропускания пленки должен быть известен из измерений, и если ее влияние на измеряемую мощность превышает 2%, то следует вводить соответствующие поправки.
Примечание - На практике отклонение пленки от параллельности к преобразователю на величину от 5° до 10° находят достаточным.
6.2.8 Акустическая связь с преобразователем
Ультразвуковой преобразователь должен быть акустически связан с измерительным устройством так, чтобы потери в измеряемой мощности не превышали 2%. В противном случае следует вводить поправки (см. также приложение A МЭК 61161).
6.2.9 Калибровка и стабильность результатов
Система уравновешивания радиационной силы должна быть откалибрована как прибор для измерения силы с помощью небольших грузиков известной массы.
Изменение чувствительности системы уравновешивания радиационной силы по ультразвуковой мощности следует проверять при помощи ультразвукового излучателя с известной выходной мощностью. Такую проверку проводят ежегодно или более часто, если есть подозрения, что эта чувствительность изменилась.
Примечание - Чувствительность по ультразвуковой мощности может измениться из-за деградации материала мишени вследствие тепловых или кавитационных воздействий.
6.3 Требования к условиям измерений
6.3.1 Расположение мишени относительно оси пучка
Поперечное положение мишени относительно оси пучка должно оставаться постоянным в процессе измерений и воспроизводимым настолько, чтобы влияние смещений не превышало 2% от измеряемой мощности.
6.3.2 Расстояние между преобразователем и мишенью
Расстояния между поверхностью ультразвукового преобразователя и мишенью или пленкой (при ее использовании) и мишенью должны быть известны и воспроизводимы настолько, чтобы возможные изменения измеряемой мощности не превышали 2%.
6.3.3 Вода
В системах уравновешивания радиационной силы в качестве измерительной среды должна быть использована вода.
При измерении значений выходной мощности, превышающих 1 Вт, следует применять только дегазированную воду. Дегазирование воды должно быть хорошо отлаженным процессом, как это изложено в МЭК 62781. Вода должна быть дегазирована настолько, чтобы исключить образование видимых пузырьков воздуха как в воде, так и на поверхностях мишени и преобразователя. Результаты измерений не признают, если при их проведении наблюдались какие-либо пузырьки воздуха. Рекомендуется, чтобы количество растворенного газа в воде не превышало 2 мг/л в процессе всех измерений, а в некоторых случаях и меньше.
Использование дегазированной воды следует рекомендовать также и при измерении выходной мощности ниже 1 Вт. В насыщенной газом воде пузырьки воздуха могут появляться на поверхностях при повышении температуры воды. Образование пузырьков может вызывать и ультразвук мощностью меньше 1 Вт, если поперечная площадь пучка достаточно мала. В связи с этим рекомендуется проверять наличие пузырьков на поверхностях преобразователя и мишени как до измерений, так и во время их проведения, а также по окончании каждого измерения.
Примечания
1 Уровень газосодержания, требуемый для образования пузырьков, будет зависеть от многих факторов, включая частоту акустического воздействия и максимум акустического давления разрежения. Изменения или флуктуация радиационной силы могут свидетельствовать об образовании пузырьков.
2 Методы химической дегазации (например, при применении Na2SO3), которые удаляют из воды только один или несколько газообразных компонентов, не приводят к положительным результатам для HITU полей. Использование более общих методов дегазации и контроль за содержанием кислорода обеспечивают более надежное поддержание качества воды.
3 Фильтрация воды может помочь устранить или снизить влияние кавитации, так как она удаляет частички примесей, которые могут являться ядрами возникновения кавитационных пузырьков.
6.3.4 Контакт с водой
Перед началом измерений следует убедиться, что все воздушные пузырьки удалены с активных поверхностей. По завершении измерений следует вновь осмотреть эти поверхности. Если на них будут обнаружены воздушные пузырьки, то результаты измерений следует признать некорректными.
6.3.5 Условия окружающей среды
Измерительное устройство должно иметь хорошую тепловую изоляцию, или сам процесс измерения, включающий индикацию и сохранение результатов, должен быть таким, чтобы влияние теплового дрейфа и других возмущений во время измерений не вносило существенных изменений (более 2%) в измеряемую мощность.
Измерительное устройство должно быть защищено от вибраций и воздушных потоков, которые могли бы вызвать искажение показаний измеряемой мощности более чем на 2%.
6.3.6 Тепловой дрейф
При использовании поглощающей мишени следует оценить влияние тепловых эффектов, связанных с поглощением ею звуковой энергии и изменением плавучести в результате ее расширения. Эта оценка должна быть сделана путем сравнения измеряемого сигнала (отсчета весов) как до включения напряжения возбуждения ультразвукового преобразователя, так и после его выключения.
6.4 Неопределенность результатов измерений
6.4.1 Общие положения
Суммарную неопределенность результатов измерений следует оценивать для каждого измерительного устройства в соответствии с Руководством ИСО
[5]. Такая оценка должна включать рассмотренные ниже составляющие.
6.4.2 Несоответствие плосковолновому приближению
Следует оценить неопределенность результатов измерения
воздействующей мощности, связанную с отклонением структуры поля от плосковолнового приближения. Пока не предложено лучшей оценки, эту неопределенность рекомендуется оценивать как 50% разности
воздействующей мощности (вычисленной, например, в соответствии с
приложением C) и значением, полученным из
выражений (1) или
(2) для плосковолнового приближения.
6.4.3 Система уравновешивания с устройством подвеса мишени
Систему уравновешивания следует проверять или калибровать с помощью небольших грузиков известной массы в полностью собранном состоянии, пригодном для проведения измерений радиационной силы, в том числе и с подвешенной мишенью.
Эту процедуру следует повторять несколько раз с каждым грузиком для того, чтобы получить случайный разброс результатов. Оценку неопределенности калибровочного коэффициента следует находить по результатам калибровки и с учетом неопределенности значения массы используемых грузиков.
Результаты таких проверок следует сохранять, чтобы обеспечить оценку долговременной стабильности калибровочного коэффициента.
6.4.4 Линейность и разрешающая способность системы уравновешивания
Линейность системы уравновешивания следует проверять не реже 1 раза в шесть месяцев, используя следующие процедуры.
Измерения, указанные в
6.4.3, следует проводить не менее чем с 3 грузиками различной массы в требуемом динамическом диапазоне системы уравновешивания. Отсчет результатов взвешивания в зависимости от массы грузиков может быть представлен графически, как это показано на рисунке 1. Точки с результатами на этом графике в идеале должны располагаться на прямой линии, проходящей через начало координат. Если имеются какие-либо отклонения от прямой линии, то их следует рассматривать как источник дополнительной неопределенности.
Рисунок 1 - Проверка линейности отсчета
весов как функции входной величины
Примечание - Если линейность проверяют с помощью небольших грузиков известной массы, то входной величиной является масса используемых грузиков. Если линейность проверяют приложением радиационной силы пучка, излучаемого ультразвуковым преобразователем с известными характеристиками, то входной величиной является выходная мощность преобразователя.
В связи с трудностями обращения с грузиками, масса которых меньше 10 мг, линейность системы можно проверить с помощью
ультразвукового преобразователя с известными характеристиками, возбуждая его напряжением различной амплитуды и создавая тем самым
радиационную силу различного уровня. В этом случае аргументом, представленным абсциссой на
рисунке 1, будет
выходная мощность преобразователя, неопределенность воспроизведения которой тоже необходимо учесть.
Ограничения в разрешающей способности системы уравновешивания тоже являются источником неопределенности измерения мощности, и его вклад в суммарную неопределенность необходимо учесть.
6.4.5 Экстраполяция к моменту включения ультразвукового преобразователя
Чтобы получить значение радиационной силы при использовании электронных весов, выходной сигнал с весов обычно записывают в виде функции от времени и экстраполируют его назад к моменту включения ультразвукового преобразователя. Такая экстраполяция содержит источник неопределенности, зависящий в основном от разбросов выходного сигнала, определяемых отношением сигнал/шум. Неопределенность экстраполяции следует оценить посредством стандартных математических процедур при использовании алгоритма регрессии.
6.4.6 Несовершенство мишени
Влияние несовершенства мишени необходимо оценивать, используя плосковолновое приближение, как это указано в приложении A МЭК 61161:2013.
Оценку неопределенности из-за изменений свойств
мишени следует определять по результатам исследований стабильности с помощью излучателя с известной мощностью в соответствии с
6.2.9. Результаты таких проверок следует сохранять, чтобы обеспечить оценку долговременной стабильности чувствительности системы к ультразвуковой мощности.
6.4.7 Геометрия отражающей мишени
Следует оценить и учесть в суммарной неопределенности системы влияние геометрии отражающей мишени.
6.4.8 Боковые поглотители при использовании отражающей мишени
Следует оценить и учесть в суммарной неопределенности системы несовершенства боковых поглотителей для измерений с отражающей мишенью.
6.4.9 Несоосность мишени
Следует оценить и учесть в суммарной неопределенности системы несоосность мишени относительно ультразвукового преобразователя.
6.4.10 Ориентация ультразвукового преобразователя
Следует оценить и учесть в суммарной неопределенности системы неправильное относительное расположение ультразвукового преобразователя (см. приложение A МЭК 61161:2013).
6.4.11 Температура воды
Следует оценить и учесть в суммарной неопределенности системы неопределенность, связанную с температурой воды (см. приложение A МЭК 61161:2013).
6.4.12 Затухание ультразвука и акустические течения
Следует оценить и учесть в суммарной неопределенности системы неопределенность, связанную с затуханием ультразвука и акустическими течениями (см. приложение A МЭК 61161:2013).
6.4.13 Свойства пленки
При применении пленки для акустической связи или для экранирования от акустических течений необходимо измерить или оценить потери ультразвука на ее прохождение, учесть эти потери, а также влияние отражений от нее на ультразвуковой преобразователь. Эти эффекты являются источниками неопределенности, каждый из них следует оценить и учесть в суммарной неопределенности системы.
6.4.14 Конечные размеры мишени
Следует оценить и учесть в суммарной неопределенности системы влияние конечности размера мишени (см. приложение A МЭК 61161:2013).
6.4.15 Влияние условий окружающей среды
Следует оценить и учесть в суммарной неопределенности системы влияние вибраций, воздушных потоков и изменения температуры (см. приложение A МЭК 61161:2013).
6.4.16 Измерение напряжения возбуждения
Если измеряют напряжение возбуждения ультразвукового преобразователя и его значение влияет на результаты измерения мощности, то неопределенность измерений напряжения следует оценить и учесть в суммарной неопределенности системы (см. приложение A МЭК 61161:2013).
6.4.17 Температура ультразвукового преобразователя
При необходимости сравнения значений ультразвуковой мощности, измеренных при различных температурах, следует определить зависимость выходной мощности преобразователя от температуры и учесть эту зависимость при вычислении результатов (см. приложение A МЭК 61161).
6.4.18 Нелинейность
При необходимости следует оценить и учесть в суммарной неопределенности системы потенциальное влияние таких эффектов, как:
a) линейность системы уравновешивания вместе с подвеской мишени;
b) нелинейные эффекты из-за недостаточной дегазации воды;
c) затухание ультразвука и акустическое течение;
d) несовершенство теоретических соотношений для радиационной силы
(см. приложение A МЭК 61161:2013).
6.4.19 Другие источники неопределенности
Следует периодически контролировать, не появляются ли какие-либо другие источники случайного разброса показаний, влияющие на суммарную неопределенность измерений (см. приложение A МЭК 61161).
6.5 Вычисление выходной мощности
Если требуется знать выходную мощность, то ее следует определять по значениям воздействующей мощности с учетом эффектов затухания, нелинейных потерь и акустических течений при прохождении ультразвука через воду от преобразователя до мишени.
Примечание - Заметим, что отношение
выходной мощности к
воздействующей мощности в общем случае будет зависеть от расстояния, частоты и геометрии
мишени. При наличии нелинейности распространения оно будет зависеть также от напряжения возбуждения преобразователя. Более конкретные указания приведены в
приложении E настоящего стандарта.
7 Изменение плавучести мишени
Метод расширения
[6],
[7] реализуют при измерении изменения плавучести
расширяющейся мишени, вызванного тепловым расширением жидкости, находящейся внутри мишени, подвешенной в сосуде с водой. Изменение объема пропорционально воздействующей энергии и не зависит от фокусировки поля или угла падения.
Система уравновешивания должна содержать расширяющуюся мишень, подвешенную на весах, чувствительных к вертикальным нагрузкам. Ультразвуковой пучок должен быть направлен на расширяющуюся мишень через ее входное окно, а изменение ее плавучести должно быть измерено с помощью весов.
Примечание - При использовании гравитационных весов может оказаться удобным ориентировать преобразователь так, чтобы он излучал вертикально вверх или вниз; это одновременные измерения радиационной силы и теплового расширения.
Усредненную во времени воздействующую мощность следует определять, используя выражение

, (3)
где S - чувствительность к плавучести;
B - изменение выталкивающей силы (плавучести);
t0 - длительность облучения.
В некоторых случаях силы, действующие на
мишень в результате
акустических течений, могут быть сравнимы с эффектами изменения ее плавучести. Для определения величины изменения плавучести необходимо провести корректирующие измерения, предусматривающие теоретический учет поправок или использование экранирующей пленки вблизи
мишени. Рекомендации по этой методике даны в
приложении E настоящего стандарта. Вклад
акустических течений в неопределенность результатов измерения
действующей мощности следует обязательно оценить.
Воздействующую мощность рекомендуется измерять при возбуждении преобразователя в режиме, сходном с тем, который используют при его клиническом применении (например, в непрерывно-волновом или тонально-импульсном режимах).
Примечание - Во избежание повреждения системы или для обеспечения согласования с временем ее отклика на воздействие необязательно использовать все тонально-импульсные режимы.
Более подробную информацию о требованиях, изложенных в последующих пунктах раздела 7, можно найти в приложении A стандарта МЭК 61161:2013.
7.2 Требования к оборудованию
7.2.1 Тип мишени
7.2.1.1 Общие сведения о конструкции
Пример конструкции
расширяющейся мишени рассмотрен в
приложении D.
Расширяющаяся мишень должна состоять из контейнера, заполненного жидкостью, поглощающей ультразвук и расширяющейся при нагреве. Одна из частей контейнера должна представлять входное окно, прозрачное для ультразвука в требуемом диапазоне частот. Остальная часть контейнера должна быть такой, чтобы уменьшить теплопередачу в поглощающую жидкость или от нее. Расширяющаяся мишень должна быть пригодной для погружения в воду и должна быть связана с весами. Входное окно может быть расположено вертикально, горизонтально или иметь другую удобную ориентацию.
Размеры и форма
мишени должны быть выбраны соответствующими испытуемому преобразователю. Особое внимание рекомендуется уделить тому, чтобы длина
мишени соответствовала требованиям
7.2.1.3 в заданном диапазоне частот и чтобы количество энергии, проходящей через боковые стенки
мишени, также позволяло выполнить требования
7.2.1.3.
Примечание - Часто применяют цилиндрическую мишень с входным окном на одном из торцов, но для преобразователей некоторых конфигураций можно или требуется применять и мишени другой геометрии.
7.2.1.2 Поглощающая жидкость
Удельный акустический импеданс жидкости должен быть в пределах между 1,33·106 и 1,63·106 кг·м-2·с-1. Коэффициент теплового расширения должен быть известен и постоянен в пределах 2% в диапазоне температур от 10 °C до 60 °C.
Примечания
1 Такой диапазон значений удельного акустического импеданса соответствует значениям амплитудного коэффициента отражений, меньшим 5%, что соответствует требованиям
6.2.1.2 для измерений
радиационной силы.
2 В
приложении D настоящего стандарта приведен пример выбора жидкости, удовлетворяющий этим требованиям.
7.2.1.3 Поглощенная энергия
Расширяющаяся мишень должна поглощать не менее 98% энергии, поступающей в нее через входное окно; в противном случае следует вводить поправки.
Поглощающий материал и конструкция мишени должны быть выбраны такими, чтобы уменьшить риск их теплового и механического повреждения при ультразвуковом облучении. Изменения со временем амплитудного коэффициента отражения или поглощения должны быть такими, чтобы их влияние на измеряемую мощность не превышало 2%; в противном случае следует вводить поправки.
7.2.1.4 Отраженная энергия
Входное окно должно иметь коэффициент отражения (по энергии) менее 2% в требуемом диапазоне частот. При испытаниях нефокусирующих преобразователей входное окно рекомендуется ориентировать под небольшим углом к оси симметрии преобразователя, чтобы минимизировать когерентные отражения.
7.2.1.5 Тепловые потери
Расширяющаяся мишень должна быть снабжена теплоизоляцией, или процесс измерений, включающий сбор и сохранение результатов, должен быть таким, чтобы влияние тепловых потерь поглощающей жидкости в воду и другие внутренние части мишени не превышало 2% измеряемой мощности; в противном случае следует вводить поправки.
Примечание - Нагрев поглощающей жидкости вблизи входной мембраны повышается с ростом частоты и может оказаться существенным на частотах выше 3 МГц. Может потребоваться введение поправок на тепловые потери за период облучения и после него
[7].
7.2.2 Диаметр входного окна
Входное окно должно быть достаточно большим, чтобы уловить не менее 98% ультразвуковой энергии в плоскости измерения. Формулы для оценки требуемого диаметра мишени приведены в
приложении B, хотя, строго говоря, они применимы к измерениям
радиационной силы.
7.2.3 Система уравновешивания силы/весы
Весы должны быть чувствительны к силам, действующим в вертикальном направлении, и иметь достаточную разрешающую способность для измерения изменения плавучести мишени.
Примечание - Более длительный период облучения будет вызывать большие изменения плавучести и уменьшать тем самым неопределенность, связанную с разрешающей способностью весов. Однако может возрастать неопределенность, связанная с тепловыми потерями и экстраполяцией.
7.2.4 Измерительный бак
Применение поглощающей мишени устраняет необходимость использования поглощающих покрытий стенок сосуда.
7.2.5 Устройство подвеса мишени
В компенсационных весах элементы, поддерживающие мишень и передающие воздействие радиационной силы через поверхность раздела вода/воздух, должны быть сконструированы так, чтобы снизить эффекты поверхностного натяжения и изменений плавучести из-за флуктуаций уровня водной поверхности до значений, не превышающих 2% измеряемой мощности.
7.2.6 Установка преобразователя
Устройство для установки преобразователя должно обеспечивать его стабильное и воспроизводимое размещение относительно мишени таким образом, чтобы связанные с этим изменения измеряемой мощности не превышали 2%.
7.2.7 Пленки для защиты от акустических течений
Расширяющаяся мишень должна быть защищена от влияния сил, вызванных акустическими течениями, посредством пленки, или методика измерения должна быть спланирована так, чтобы это влияние не приводило к неопределенности более чем 2%; в противном случае в результаты измерения мощности необходимо вносить поправку.
При использовании пленки, защищающей от влияния акустических течений, она должна быть установлена вблизи мишени и не быть параллельной поверхности ультразвукового преобразователя. Коэффициент пропускания пленки должен быть известен из измерений, и если ее влияние на измеряемую мощность превышает 2%, то следует вводить соответствующие поправки.
Примечание - На практике отклонение пленки от параллельности на величину от 5° до 10° находят достаточным.
7.2.8 Акустическая связь с преобразователем
Ультразвуковой преобразователь должен быть акустически связан с измерительным устройством так, чтобы потери в измеряемой мощности не превышали 2%. В противном случае следует вводить поправки.
Система уравновешивания расширения мишени должна быть откалибрована как устройство измерения силы с помощью небольших грузиков известной массы.
Чувствительность к плавучести следует определять или с помощью коллимированного ультразвукового излучателя с известной выходной мощностью, имеющего ka > 30, или с помощью электрического нагревательного элемента с известной теплоотдачей, помещаемого внутрь мишени. В том и другом случае чувствительность к плавучести следует проверять ежегодно или чаще, если возникли подозрения, что чувствительность системы к ультразвуковой мощности изменилась, а также в случае, если свойства поглощающей жидкости изменились со временем из-за поглощения воды, окисления, роста микробов и пр.
Примечания
1 Выходная мощность коллимированного преобразователя с ka > 30 может быть измерена системой уравновешивания радиационной силы с неопределенностью, не превышающей 5%.
2 Более подробную информацию об определении
чувствительности к плавучести можно найти в
приложении D настоящего стандарта, а также в
[6] и
[7].
7.3 Требования к условиям измерений
7.3.1 Расположение мишени относительно оси пучка
Поперечное (относительно оси пучка) положение мишени в процессе измерений должно быть неизменным и воспроизводимым настолько, чтобы связанные с этим изменения не влияли на измеряемую мощность более чем на 2%.
7.3.2 Расстояние между преобразователем и мишенью
Расстояния между поверхностью ультразвукового преобразователя и мишенью или пленкой (при ее использовании) и мишенью должны быть известны и воспроизводимы настолько, чтобы возможные изменения измеряемой мощности не превышали 2%.
7.3.3 Вода
В системах уравновешивания радиационной силы в качестве измерительной среды должна быть использована вода.
При измерении значений выходной мощности, превышающих 1 Вт, следует применять только дегазированную воду. Дегазирование воды должно быть хорошо отлаженным процессом, как это изложено в МЭК 62781. Вода должна быть дегазирована настолько, чтобы исключить образование видимых пузырьков воздуха как в воде, так и на поверхностях мишени и преобразователя. Результаты измерений не признают, если при их проведении наблюдались какие-либо пузырьки воздуха. Рекомендуется, чтобы количество растворенного газа в воде не превышало 2 мг/л в процессе всех измерений, а в некоторых случаях и меньше.
Использование дегазированной воды следует рекомендовать также и при измерении выходной мощности ниже 1 Вт. В насыщенной газом воде пузырьки воздуха могут появляться на поверхностях при повышении температуры воды. Образование пузырьков может вызывать и ультразвук мощностью меньше 1 Вт, если поперечная площадь пучка достаточно мала. В связи с этим рекомендуется проверять наличие пузырьков на поверхностях преобразователя и мишени как до измерений, так и во время их проведения, а также по окончании каждого измерения.
Примечания
1 Уровень газосодержания, требуемый для образования пузырьков, будет зависеть от многих факторов, включая частоту акустического воздействия и максимум акустического давления разрежения. Изменения или флуктуация радиационной силы могут свидетельствовать об образовании пузырьков.
2 Методы химической дегазации (например, при применении Na2SO3), которые удаляют из воды только один или несколько газообразных компонентов, не приводят к положительным результатам для HITU полей. Использование более общих методов дегазации и контроль за содержанием кислорода обеспечивают более надежное поддержание качества воды.
3 Фильтрация воды может помочь устранить или снизить влияние кавитации, так как она удаляет частички примесей, которые могут являться ядрами возникновения кавитационных пузырьков.
7.3.4 Контакт с водой
Перед началом измерений следует убедиться, что все воздушные пузырьки удалены с активных поверхностей. По завершении измерений следует вновь осмотреть эти поверхности. Если на них будут обнаружены воздушные пузырьки, то результаты измерений следует признать некорректными.
7.3.5 Условия окружающей среды
Измерительное устройство должно иметь хорошую тепловую изоляцию, или сам процесс измерения, включающий индикацию и сохранение результатов, должен быть таким, чтобы влияние теплового дрейфа и других возмущений во время измерений не вносило существенных изменений (более 2%) в измеряемую мощность.
Измерительное устройство должно быть защищено от вибраций и воздушных потоков, которые могли бы вызвать искажение показаний измеряемой мощности более чем на 2%.
7.3.6 Тепловой дрейф
При использовании поглощающей мишени следует оценить влияние тепловых эффектов, связанных с поглощением ею звуковой энергии и изменением плавучести. Эта оценка должна быть сделана путем сравнения измеряемого сигнала (отсчета весов) как до включения напряжения возбуждения ультразвукового преобразователя, так и после его выключения.
7.4 Неопределенность результатов измерений
7.4.1 Общие положения
Суммарную неопределенность результатов измерений следует оценивать для каждого измерительного устройства в соответствии с Руководством ИСО
[5]. Такая оценка должна включать рассмотренные в 7.4.2 -
7.4.15 составляющие.
7.4.2 Чувствительность к плавучести
Следует оценить неопределенность измерения чувствительности к плавучести. Источники этой неопределенности будут зависеть от метода определения этой чувствительности.
7.4.3 Несоответствие плосковолновому приближению
Метод расширения не основан на плосковолновом предположении, поэтому отсутствуют неопределенности, связанные с отсутствием плоской волны.
7.4.4 Система уравновешивания с устройством подвеса мишени
Систему уравновешивания следует проверять или калибровать с помощью небольших грузиков известной массы в полностью собранном состоянии, пригодном для проведения измерений радиационной силы, в том числе и с подвешенной мишенью.
Эту процедуру следует повторять несколько раз с каждым грузиком для того, чтобы получить случайный разброс результатов. Оценку неопределенности калибровочного коэффициента следует находить по результатам калибровки и с учетом неопределенности массы используемых грузиков.
Результаты таких проверок следует сохранять, чтобы обеспечить оценку долговременной стабильности калибровочного коэффициента.
7.4.5 Линейность и разрешающая способность системы уравновешивания
Линейность системы уравновешивания следует проверять не реже 1 раза в шесть месяцев, используя следующие процедуры.
Измерения, указанные в
7.4.4, следует проводить не менее чем с тремя грузиками различной массы в требуемом динамическом диапазоне системы уравновешивания. Отсчет результатов взвешивания в зависимости от массы грузиков может быть представлен графически, как это показано на
рисунке 1. Точки с результатами на этом графике в идеале должны располагаться на прямой линии, проходящей через начало координат. Если имеются какие-либо отклонения от прямой линии, то их следует рассматривать как источник дополнительной неопределенности.
В связи с трудностями обращения с грузиками, масса которых меньше 10 мг, линейность системы можно проверить с помощью
ультразвукового преобразователя с известными характеристиками, возбуждая его напряжением различной амплитуды и излучая тем самым
радиационную силу различного уровня. В этом случае аргументом, представленным абсциссой на
рисунке 1, будет
выходная мощность преобразователя, неопределенность воспроизведения которой тоже необходимо учесть.
Ограничения в разрешающей способности системы уравновешивания тоже являются источником неопределенности измерения мощности, и его вклад в суммарную неопределенность необходимо учесть.
7.4.6 Экстраполяция к моменту включения ультразвукового преобразователя
Чтобы получить значение радиационной силы при использовании электронных весов, выходной сигнал с весов обычно записывают в виде функции от времени и экстраполируют его назад к моменту включения ультразвукового преобразователя. Такая экстраполяция содержит источник неопределенности, зависящий в основном от разбросов выходного сигнала, определяемых отношением сигнал/шум. Неопределенность экстраполяции следует оценить посредством стандартных математических процедур при использовании алгоритма регрессии.
7.4.7 Температура воды
Следует оценить и учесть в суммарной неопределенности системы неопределенность, связанную с температурой воды.
7.4.8 Затухание ультразвука и акустические течения
Следует оценить и учесть в суммарной неопределенности системы неопределенность, связанную с затуханием ультразвука и акустическими течениями.
Примечание - В общем случае затухание вносит неопределенность в результаты определения выходной мощности, измеряемой по изменению плавучести, но не действующей мощности. Акустические течения могут быть источником неопределенности как для выходной, так и для действующей мощности. Вклад влияния акустических течений можно оценить, например, путем использования пленки, устанавливаемой вблизи мишени, и сравнением результатов измерения "с пленкой" и без нее.
7.4.9 Свойства пленки
При применении пленки для акустической связи или для экранирования от акустических течений необходимо измерить или оценить потери ультразвука на ее прохождение, учесть эти потери, а также влияние отражений от нее на ультразвуковой преобразователь. Эти эффекты являются источниками неопределенности, каждый из них следует оценить и учесть в суммарной неопределенности системы.
7.4.10 Конечность размера мишени
Следует оценить и учесть в суммарной неопределенности системы влияние конечных размеров мишени.
7.4.11 Влияние условий окружающей среды
Следует оценить и учесть в суммарной неопределенности системы влияние вибраций, воздушных потоков и изменения температуры.
7.4.12 Измерение напряжения возбуждения
Если измеряют напряжение возбуждения ультразвукового преобразователя и его значение влияет на результаты измерения мощности, то неопределенность измерений напряжения следует оценить и учесть в суммарной неопределенности системы.
7.4.13 Температура ультразвукового преобразователя
При необходимости сравнения значений ультразвуковой мощности, измеренных при различных температурах, следует определить зависимость выходной мощности преобразователя от температуры и учесть эту зависимость при вычислении результатов.
При необходимости следует оценить и учесть в суммарной неопределенности системы потенциальное влияние таких эффектов, как:
a) линейность системы уравновешивания вместе с подвеской мишени;
b) нелинейные эффекты из-за недостаточной дегазации воды;
c) затухание ультразвука и акустические течения;
d) увеличенные потери тепла мишени из-за повышенного нагрева поглощающей жидкости вблизи входного окна мишени.
7.4.15 Другие источники неопределенности
Следует периодически контролировать, не появляются ли какие-либо другие источники случайного разброса показаний, влияющие на суммарную неопределенность измерений, кроме перечисленных в
7.4.2 -
7.4.14.
7.5 Вычисление выходной мощности
Если требуется знать выходную мощность, то ее следует определять по значениям воздействующей мощности с учетом эффектов затухания, нелинейных потерь и акустических течений при прохождении ультразвука через воду от преобразователя до мишени.
Примечание - Отношение
выходной мощности к
воздействующей мощности в общем случае будет зависеть от расстояния, частоты и геометрии
мишени. При наличии нелинейности распространения оно будет зависеть также от напряжения возбуждения преобразователя. Более конкретные указания приведены в
приложении E настоящего стандарта.
8 Электрические характеристики
8.1 Электрический импеданс
Электрический импеданс ультразвукового преобразователя зависит от частоты и имеет комплексный характер. Его, как правило, измеряют с помощью измерителя импеданса (измерителя амплитудно-частотных характеристик) и представляют в виде реальной и мнимой частей или в виде амплитуды и фазы. Значения могут быть представлены на какой-либо одной частоте или даны в виде таблицы или графика для диапазона частот.
Электрический импеданс ультразвукового преобразователя следует измерять при его погружении в воду. Для минимизации акустических отражений следует использовать акустические поглотители. Влияние отражений на импеданс рекомендуется проверить, перемещая ультразвуковой преобразователь или поглотители в резервуаре на расстояния в несколько длин волн. Следует зарегистрировать частоту и точку измерения электрического импеданса (например, на конце кабеля преобразователя).
Примечание - Импеданс может зависеть от температуры, и поэтому из-за самопрогрева преобразователя на импеданс может влиять уровень электрической мощности преобразователя и длительность возбуждения.
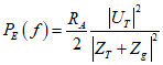
8.2 Радиационная проводимость (излучательная способность)
Радиационная проводимость ультразвукового преобразователя зависит от частоты излучения. Как правило, ее вычисляют из выходной мощности, деленной на квадрат среднеквадратического (эффективного) значения напряжения, измеренного в какой-либо оговоренной точке электрической цепи. Ее значения дают, как правило, для какой-либо заданной частоты либо в табличном или графическом виде в заданном диапазоне частот. Ее можно применить и к многоэлементному преобразователю, если все его элементы возбуждают одним и тем же напряжением и в том же режиме, как и при клиническом применении преобразователя.
Если требуется знать значение радиационной проводимости, то среднеквадратическое (эффективное) значение напряжения возбуждения следует измерять за то же самое время и при тех же условиях, при которых определяют выходную мощность. Должны быть оговорены частота и точка в электрической цепи, в которой измеряют среднеквадратическое напряжение возбуждения (например, на конце кабеля какой-либо определенной длины). Не рекомендуется предполагать заранее, что напряжение возбуждения имеет синусоидальный характер: среднеквадратическое напряжение возбуждения часто не равно 0,707 амплитуды напряжения.
Примечания
1 Среднеквадратическое напряжение возбуждения (а не пиковые напряжения, например) используют потому, что на него меньше воздействуют искажения электрического сигнала.
2 Радиационная проводимость может зависеть от температуры, и поэтому из-за самопрогрева преобразователя на нее может влиять уровень электрической мощности преобразователя и длительность возбуждения.
3 Радиационная проводимость - это не реальная часть проводимости ультразвукового преобразователя или его элемента.
4 На эффективность электроакустического преобразования влияют электрические потери при согласовании электрических компонентов, а также акустические потери в элементах преобразователя: подложке и линзе.
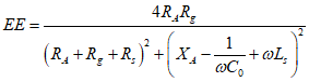
Определение акустической эффективности ультразвукового преобразователя связано как с акустическими, так и с электрическими измерениями. Как правило, ее представляют на какой-либо определенной частоте, а также в диапазоне частот в табулированном или графическом виде. Ее можно применить и к многоэлементному преобразователю, если все его элементы возбуждают так же, как и в клиническом применении преобразователя (например, при непрерывно-волновом возбуждении или в режиме тональных импульсов). Если требуется знать акустическую эффективность, то ее усредненное во времени значение определяют из:

, (4)
где P - выходная мощность;
Pel - усредненная во времени электрическая мощность преобразователя.
При проведении электрических измерений ультразвуковой преобразователь должен находиться в том же положении и при тех же условиях, которые имели место при измерениях выходной мощности. Должны быть установлены частота и точка в электрической цепи, в которой измеряют среднеквадратическое напряжение возбуждения (например, на конце кабеля какой-либо определенной длины).
Как акустическую, так и электрическую мощности следует измерять при одинаковом возбуждении преобразователя, сходном с его клиническим применением (например, при непрерывно-волновом возбуждении или в режиме тональных импульсов).
Примечание - Эффективность может зависеть от температуры, и поэтому из-за самопрогрева преобразователя на нее может влиять уровень электрической мощности преобразователя и длительность возбуждения.
Многие приборы для измерения электрической мощности применяют с определенной нагрузкой (сопротивлением). Импеданс большинства ультразвуковых преобразователей, как правило, отличается от значения этой нагрузки. Поэтому рекомендуется выбирать метод измерения электрической мощности, наиболее подходящий к импедансу конкретного испытуемого ультразвукового преобразователя.
Имеются и некоторые другие способы определения эффективности
ультразвукового преобразователя или HITU систем. Некоторые из них могут оказаться полезными при различных обстоятельствах и рассмотрены в
приложении G.
(справочное)
ДРУГИЕ МЕТОДЫ ИЗМЕРЕНИЯ
A.1 Радиационная сила на преобразователе
Для HITU оборудования может быть предложена возможность измерения силы отдачи на преобразователе. В настоящем стандарте нет каких-либо рекомендаций или требований для этого метода. Такие рекомендации или требования могут быть включены в будущие версии настоящего стандарта.
A.2 Калориметрия
Для измерения мощности HITU оборудования в принципе можно использовать удобный калориметрический метод. В настоящем стандарте нет каких-либо рекомендаций или требований для этого метода. Такие рекомендации или требования могут быть включены в будущие версии настоящего стандарта.
A.3 Плоское сканирование гидрофоном
В принципе мощность HITU оборудования можно измерить методом плоского сканирования гидрофоном. В настоящем стандарте нет каких-либо рекомендаций или требований для этого метода. Такие рекомендации или требования могут быть включены в будущие версии настоящего стандарта.
(справочное)
B.1 Нефокусирующий преобразователь
Ниже приведена оценочная формула [выражение (B.1] для минимального значения радиуса
b мишени, улавливающей не менее 98%
радиационной силы, воздействующей на мишень бесконечных поперечных размеров (т.е. с погрешностью меньше 2%)
[10]. Это выражение верно для круглой поглощающей
мишени, находящейся в поле непрерывно излучающего ультразвукового преобразователя радиусом
a в виде экранированного круглого плоского поршня в непоглощающей среде. Оно неприменимо достаточно строго для измерений, основанных на изменении плавучести, но может быть использовано как разумная предварительная оценка требуемого диаметра мишени, и пользователю рекомендуется оценивать ее применимость для своих конкретных измерений.

(B.1)
с
где z - расстояние между мишенью и ультразвуковым преобразователем;
l - длина ультразвуковой волны в среде распространения;

- волновое число;

- расстояние между
мишенью и
ультразвуковым преобразователем, нормированное к протяженности
ближнего поля.
Уравнение (B.1) может быть решено и для
s, если необходимо получить максимальное значение нормированного расстояния между
ультразвуковым преобразователем и
мишенью заданного радиуса
b. Влияние поглощения и
акустических течений рассматривается отдельно.
В порядке предосторожности
b никогда не должно быть меньшим 1,5
a, даже если это допускает
формула (B.1).
Строго говоря, приведенные выше выражения применяют для поглощающей мишени, но их также можно использовать, чтобы определить, подходит ли отражающая мишень для измерений в случае расходящегося пучка. Под b следует понимать радиус наибольшего поперечного сечения мишени (для конусного выпуклого отражателя это будет основание конуса), а под z - расстояние от этого поперечного сечения до преобразователя.
B.2 Фокусирующий преобразователь
В этом случае процедура оценки минимального значения радиуса
r поглощающей круглой мишени отличается от изложенной в
B.1 [11]. Критерием оценки вновь будет то же минимальное значение радиационной силы - 98% от воздействующей на мишень бесконечных поперечных размеров.
Для сферического криволинейного преобразователя фокусное расстояние и расстояние до мишени вычисляют от "дна чаши", а d и z здесь используют для вычисления глубины "чаши".
Эта оценка верна для расстояний от z/d = 0 до z/d = 2. Требуемый радиус мишени r/a, нормированный к радиусу преобразователя, приведен для четырех дистанций z/d в виде:
где a - радиус круглого ультразвукового преобразователя;
d - геометрическое фокусное расстояние фокусирующего ультразвукового преобразователя, измеренное от плоскости края активной части преобразователя;
k - волновое число

;
z - расстояние между ультразвуковым преобразователем и мишенью, измеренное от плоскости края активной части преобразователя;

- фокальный угол (полуугол) круглого фокусирующего
ультразвукового преобразователя.
Если реальное расстояние до мишени находится между какими-либо двумя приведенными выше значениями z/d, то r/a вычисляют линейной интерполяцией.
Примечание - Приведенная выше оценка неприменима для преобразователей, имеющих центральное отверстие.
(справочное)
ФОРМУЛЫ ДЛЯ РАДИАЦИОННОЙ СИЛЫ
Формулы, приведенные в настоящем приложении, могут быть использованы для оценки мощности Pi, воздействующей на поглощающую мишень, но они применимы только для идеальных преобразователей простых типов. Нет гарантии, что реальный преобразователь будет подобен его идеальному двойнику, и это обстоятельство является основным источником неопределенности при использовании метода радиационной силы для определения воздействующей мощности. Пользователю рекомендуется самому определить правильное соотношение между воздействующей мощностью и радиационной силой для испытуемого преобразователя каждой конкретной конструкции, и это соотношение может отличаться от приведенных ниже.
В настоящем стандарте рекомендовано использовать поглощающие мишени, поэтому формулы для отражающих мишеней не рассматривают.
C.2 Соотношения для фокусирующих преобразователей
C.2.1 Преобразователь с одиночным сферическим сегментом

, (C.1)
где Pi - акустическая воздействующая мощность;
F - радиационная сила, действующая на поглощающую мишень;
c - скорость звука в воде;

- фокальный полуугол фокусирующего преобразователя,

.
C.2.2 Одиночный преобразователь со сферической зоной (с одиночным сферическим сегментом, имеющим круглое отверстие в центре)

(C.2)
где

- половина угла схождения пучка на внешней апертуре преобразователя;

- половина угла схождения пучка на апертуре отверстия преобразователя.
C.3 Соотношения для многоэлементных преобразователей
C.3.1 Фокусирующая решетка из круглых элементов поршневого типа. Если N идентичных элементов преобразователя в виде плоских дисков расположены на общей сферической поверхности, то все оси пучков этих элементов сходятся в центре сферической поверхности, что и обеспечивает фокусировку. Если каждый элемент излучает одинаковую акустическую мощность, то суммарная акустическая мощность P решетки может быть вычислена по следующей формуле:

, (C.3)
где F - суммарная радиационная сила, действующая на поглощающую мишень;

- угол между главной осью пучка всей решетки и осью пучка
j-го элемента преобразователя, т.е. угол падения оси пучка
j-го элемента преобразователя на поглощающую
мишень;
corr - поправочный коэффициент для плоской волны, учитывающий расхождение пучка одиночного преобразователя поршневого типа, т.е. Pi/cF, равный

, (C.4)
где k - волновое число;
a - радиус одиночного преобразователя;
J - обозначение функции Бесселя;
J0() - функция Бесселя нулевого порядка;
J1() - функция Бесселя первого порядка.
Поправочный коэффициент в зависимости от ka графически представлен на рисунке C.1.
Рисунок C.1 - Поправочный коэффициент для акустического
поля плоской волны, излучаемого круглым преобразователем
поршневого типа, в зависимости от произведения
волнового числа на радиус преобразователя
C.3.2 Фокусирующая решетка из круглых фокусирующих элементов
Эта решетка состоит из N идентичных элементов преобразователя в виде чашечек, расположенных на общей сферической поверхности, и все фокусы этих элементов совпадают с центром общей сферической поверхности, т.е. они имеют общий фокус, расположенный на фокусном расстоянии от каждого элемента. Если каждый элемент решетки излучает одинаковую акустическую мощность, то суммарная акустическая мощность P решетки может быть вычислена по следующей формуле:

, (C.5)
где F - суммарная радиационная сила, действующая на поглощающую мишень;

- фокальный (полу)угол самофокусирующего элемента преобразователя;

- угол между главной осью пучка всей решетки и осью пучка
j-го элемента преобразователя, т.е. угол падения оси пучка
j-го элемента преобразователя на поглощающую
мишень (в градусах или радианах).
C.4 Соотношения для управляемых фазированных решеток
Для пучка с плоской волной, распространяющегося от управляемой фазированной решетки

, (C.6)
где F - суммарная радиационная сила, действующая на поглощающую мишень;

- угол между осью пучка и направлением чувствительности устройства с поглощающей
мишенью, т.е. регулируемый угол.
Для сферически сфокусированного пучка, распространяющегося от управляемой фазированной решетки

(C.7)
где

- фокальный (полу)угол самофокусирующего элемента преобразователя.
C.5 Соотношения для перемещающегося излучателя или излучателя с модуляцией
В настоящем стандарте не даны какие-либо соотношения для перемещающегося преобразователя. Отклик мишени на изменение мощности или угла падения зависит от скорости этого изменения по сравнению с временем отклика системы уравновешивания (весов), которое составляет обычно (1 - 3) с. Если время изменения существенно короче времени уравновешивания, то радиационная сила, измеряемая при включении или выключении излучения, будет приближаться к усредненной во времени силе. Если же время изменения существенно больше времени уравновешивания, то радиационная сила, измеряемая при включении или выключении излучения, будет приближаться к мгновенному значению силы в момент включения или выключения излучения.
В некоторых особых случаях, когда пучок постоянной мощности перемещается по поверхности мишени, не выходя за ее пределы и не меняя направления угла падения, вводить какие-либо поправки не требуется до тех пор, пока мишень перекрывает не менее 98% энергии, которую бы воспринимала бесконечная мишень.
C.6 Соотношения для пересекающихся пучков
Для
N сфокусированных перекрещивающихся пучков, каждый из которых имеет свой индивидуальный фокальный угол

, угол наклона

и акустическую мощность
Pj, суммарная радиационная сила
F равна

, (C.8)
где j = 1, 2 ...N;
F - суммарная радиационная сила, действующая на поглощающую мишень;

- угол между осью пучка и направлением чувствительности системы уравновешивания с поглощающей
мишенью, т.е. регулируемый угол наклона;

- фокальный (полу)угол самофокусирующего элемента преобразователя.
В общем случае суммарную мощность

невозможно вычислить по суммарной
радиационной силе. Однако если составляющая
bj суммарной мощности каждого пучка известна, то можно вычислить суммарную воздействующую мощность

как

. (C.9)
C.7 Соотношения для нефокусирующих преобразователей
Для нефокусирующего преобразователя с одиночным элементом:

, (C.10)
которая может быть аппроксимирована как

. (C.11)
C.8 Преобразователи другой геометрии
Информация о преобразователях другой геометрии (например, цилиндр, излучающий внутрь или наружу) в настоящее время отсутствует.
(справочное)
В этом приложении рассмотрены принципы, положенные в основу метода расширения, источники неопределенности и пример
расширяющейся мишени, опубликованные Shaw
[6]. В
[7] такие измерения проводили до 10 МГц, при этом подробно изложены процедура определения
чувствительности к плавучести при электрическом нагреве, а также поправки на влияние тепловых потерь через входную мембрану, которые также рассмотрены в этом приложении.
Пример расширяющейся мишени схематично показан на рисунке D.1. В этом примере преобразователь и заполненная маслом мишень погружены в емкость с водой, при этом преобразователь излучает сверху на мембрану мишени. Мишень подвешена на весах и расположена так, чтобы перекрыть все ультразвуковое поле, излучаемое преобразователем.
1 - внешние стенки мишени; 2 - входная мембрана;
3 - внутренняя камера (открытая); 4 - касторовое
масло; 5 - поглотитель
Рисунок D.1 - Схема расширяющейся мишени
Примечание - При конструировании установки рекомендуется предусмотреть возможность установки экранирующей течения пленки вблизи мишени, хотя она и не используется в
[6] и
[7].
На рисунке D.2 показано изменение веса со временем для воздействующей мощности около 15 Вт: ультразвук поглощается и производит мгновенную радиационную силу, а также постепенный нагрев касторового масла. Этот нагрев вызывает объемное расширение или увеличение внутреннего давления.
Мишень снабжена тонкой входной мембраной, проводящей ультразвук и эластичной настолько, что давление масла остается неизменным и увеличивается только объем
мишени. По принципу Архимеда это расширение вызывает добавочную силу, выталкивающую
мишень вверх, и эта сила регистрируется весами как уменьшение веса
мишени. Ступенчатое уменьшение этого веса после каждого включения преобразователя можно определить по его временной зависимости. В
[6] значения изменения веса для каждого периода включения были вычислены по участкам непосредственно перед включением преобразователя и после его выключения (спустя некоторое время для уравновешивания мишени после воздействия большой
радиационной силы). Оба участка были затем экстраполированы к средней точке каждого периода облучения как это показано на рисунке D.2. Методика обработки полученных данных обсуждается в
D.4.

Рисунок D.2 - Пример изменения веса со временем
Из этого
рисунка видно, что возбуждение преобразователя было включено на 40-й секунде и продолжалось 10 с. Затемненные квадратики показывают массу, экстраполированную вперед от предыдущего периода выключения; кружки показывают массу, экстраполированную назад от следующего периода выключения. Изменение плавучести для каждого отдельного периода определяется разницей между каждой парой символов.
Чувствительность к плавучести S, определяемая по изменению плавучести, деленному на поглощенную энергию, не зависит от объема мишени и выражается как

, (D.1)
где B - изменение силы выталкивания (плавучести);
Pa - поглощенная акустическая энергия;
t0 - длительность облучения;

- плотность воды;
E - коэффициент объемного расширения масла;

- плотность масла;
C - объемная теплоемкость масла.
Итак, для известного периода облучения изменение массы прямо пропорционально мощности ультразвука при следующих допущениях:
a) Отношение E/rC постоянно в диапазоне температур внутри мишени во время измерения изменения ее плавучести под действием облучения. Это не относится к локальному перегреву, который может временно превышать диапазон температур с постоянным отношением E/rC.
b) Потери тепла из масла в контейнер и окружающую воду много меньше поглощенной энергии.
c) Другие источники нагрева много меньше поглощенной энергии.
d) Ультразвуковая энергия, воздействующая на мишень, полностью поглощается в масле.
e) Бак с водой сохраняет постоянную температуру и плотность.
f) Давление масла остается приблизительно неизменным.
g) Для измерения мощности выходная мощность преобразователя должна быть постоянной.
Было показано
[6], что эти допущения могут иметь место на частотах до 3 МГц. В
[7] показано также, что выше 3 МГц наблюдается увеличение потерь тепла из-за нагрева масла вблизи мембраны, которая пропускает тепло в воду. На такие потери необходимо вводить поправку (см.
D.4).
D.3 Пример расширяющейся мишени
Мишень представляет собой цилиндр из оргстекла внутренним диаметром 12 см и высотой 15 см, заполненный лабораторным касторовым маслом (удельный коэффициент поглощения 0,8 дБ·см-1·МГц-1,7). Верхний торец цилиндра, обращенный к преобразователю, герметизирован пластиковой мембраной толщиной 10 мкм, а дно - пластиной из оргстекла толщиной 5 мм. Измеренное отражение ультразвука от входной мембраны не превышало минус 30 дБ на 2 МГц и минус 22 дБ на 5 МГц. Для создания дополнительной теплоизоляции между нагретым маслом и стенками мишени внутрь цилиндра помещают открытую сверху тонкостенную камеру. На дно этой камеры помещают две пластины акустического поглотителя толщиной 2,5 мм каждый: измеренные на 1 МГц отражения от этого поглотителя не превышали минус 25 дБ, а потери на поглощение составляли минус 23 дБ·см-1. Эти поглотители в касторовом масле обеспечивали быстрое выравнивание температуры в масле. Мишень в целом может быть подвешена к весам или к специальной рамке, обеспечивающей размещение преобразователя сверху мишени. Используют весы с разрешением 1 мг и максимальной взвешиваемой массой 1200 г, показания весов выводились на компьютер через интерфейс RS232. Для обеспечения отрицательной плавучести и стабильности положения мишени, на ее нижний торец был подвешен груз. Термометр с ЖКИ был укреплен на внешней стороне внутренней камеры, для считывания температуры масла.
Были измерены мощности до 350 Вт. В таких экстремальных условиях могут образовываться воздушные пузырьки, но они были отмечены только на частоте 0,8 МГц при уровне мощности выше 300 Вт в фокальной области внутри мишени и при температуре масла выше 35 °C. При этих условиях возникали потоки пузырьков, но они исчезали при охлаждении масла в мишени. Каких-либо долговременных изменений свойств мишени не наблюдалось. Во всяком случае эти условия не рекомендуется воспроизводить на практике, а фокус следует располагать в глубине масляной камеры. Повреждений входной мембраны не наблюдалось, но этого можно ожидать при длительном облучении и нахождении фокуса вблизи мембраны.
D.4 Определение чувствительности к плавучести
Свойства одного из сортов касторового масла приведены в
таблицах D.1 и
D.2. Чувствительность может изменяться со временем и зависеть от сорта масла. Однако она не будет зависеть от температуры. Коэффициент поглощения может также изменяться со временем и зависеть от сорта масла.
Чувствительность при некоторых температурах можно определить достаточно просто экспериментально путем измерения скорости изменения веса контейнера с касторовым маслом, нагреваемого электричеством и подвешенного в баке с водой. Это нагрев можно, например, обеспечить, пропуская ток через нихромовую проволоку длиной 30 см сопротивлением около 33 Ом·м
-1 при комнатной температуре. Концы проволоки были подсоединены к двум контактам диаметром 2 мм вилки, а проволока свита в спираль. Были применены два метода анализа. Первый из них основан на вычислении наклона (тангенса угла спадания) измеренной массы и получении разности наклонов по точкам до и после каждого периода включения (в середине периода - см.
рисунок D.2), а затем и усреднения этих двух наклонов. Этот метод, примененный Shaw
[6], имеет то преимущество, что не нужно контролировать время нагрева и он менее чувствителен к кратковременным изменениям электрического возбуждения. Второй метод основан на общем изменении массы мишени. Этот метод сходен с методом измерения акустической мощности, но для вычисления скорости изменения здесь необходимо точно знать период нагрева. В некоторых случаях следует вводить поправку на тепловую энергию, оставшуюся в нагревательном элементе
[7].
В
таблице D.1 приведены значения плотности воды, плотности и удельной теплоемкости касторового масла (

Organics) в диапазоне температур от 10 °C до 60 °C, вычисленные коэффициенты объемного расширения, массовой (МТ) и объемной (ОТ) теплоемкости, увеличения объема на джоуль поглощенной энергии, увеличения плавучести в воде на джоуль поглощенной энергии при температуре 23 °C на джоуль поглощенной энергии. В последнем столбце приведены значения повышения плавучести в воде на джоуль поглощенной энергии при температуре касторового масла. В
нижней строке даны значения неопределенности при 95% уровне вероятности.
Примечание - Сорт касторового масла

Organics является примером коммерчески доступного. Эта информация дана лишь для удобства пользователя настоящим стандартом и не носит рекламных целей со стороны МЭК.
Температура °C | Плотность воды г/мл | Плотность масла г/мл | МТ Дж·г·К | Объемное расширение 1/К | ОТ Дж·мл·К | Увеличение объема мл/Дж | Чувствительность к плавучести при 23 °C мг/Дж | Чувствительность к плавучести при T мг/Дж |
10 | 0,9997 | 0,9659 | 2,073 | 7,02·10-4 | 2,003 | 3,507·10-4 | 0,3496 | 0,3505 |
15 | 0,9991 | 0,9625 | 2,088 | 7,05·10-4 | 2,010 | 3,507·10-4 | 0,3496 | 0,3501 |
20 | 0,9982 | 0,9591 | 2,103 | 7,07·10-4 | 2,017 | 3,506·10-4 | 0,3495 | 0,3497 |
25 | 0,9970 | 0,9557 | 2,119 | 7,10·10-4 | 2,025 | 3,506·10-4 | 0,3495 | 0,3493 |
30 | 0,9956 | 0,9524 | 2,134 | 7,12·10-4 | 2,032 | 3,506·10-4 | 0,3495 | 0,3489 |
35 | 0,9939 | 0,9490 | 2,149 | 7,15·10-4 | 2,039 | 3,506·10-4 | 0,3495 | 0,3484 |
40 | 0,9921 | 0,9456 | 2,164 | 7,17·10-4 | 2,046 | 3,506·10-4 | 0,3496 | 0,3478 |
45 | 0,9900 | 0,9422 | 2,179 | 7,20·10-4 | 2,053 | 3,507·10-4 | 0,3496 | 0,3473 |
50 | 0,9877 | 0,9388 | 2,194 | 7,23·10-4 | 2,060 | 3,508·10-4 | 0,3497 | 0,3467 |
55 | 0,9853 | 0,9354 | 2,209 | 7,25·10-4 | 2,067 | 3,510·10-4 | 0,3499 | 0,3460 |
60 | 0,9826 | 0,9320 | 2,224 | 7,28·10-4 | 2,073 | 3,511·10-4 | 0,3500 | 0,3453 |
| | | | | | | среднее 0,3495 | |
| 0,1% | 1,0% | 3,4% | 1,0% | 3,5% | 3,7% | 3,7% | 3,7% |
D.5 Алгоритм сглаживания кривых
На частотах до 3 МГц для определения веса
мишени при выключении излучения можно применить линейное сглаживание (графической зависимости). Выше 3 МГц для сглаживания предпочтительнее экспоненциальная функция (см.
рисунок D.3) в виде
y = a·ebx + c,
где y - последовательность кажущихся (наблюдаемых) масс;
x - время после выключения излучения;
a - амплитуда в мг;
b - показатель ослабления в с-1;
c - смещение экспоненциальной функции в мг.
Параметры a, b, и c в этом выражении являются определяемыми. Чтобы избежать неправильных результатов из-за помех при измерениях малых значений мощности, экспериментально подбираемый параметр b был выбран в диапазоне от 0,07 до 0,125 с-1 на основании наблюдений кривых спадания при более высоких значениях выходной мощности. Верхняя и нижняя границы для c были произвольными. Для подбора экспоненциальной кривой брали данные, получаемые обычно в течение 15 - 20 с, начиная через несколько секунд после выключения излучения. Подобранная экспоненциальная зависимость была затем использована для экстраполяции по времени к моменту выключения преобразователя, чтобы затем определить кажущуюся массу мишени и скорость ее изменения.
Представленные на рисунке D.3 графики инвертированы по сравнению с представленными на
рисунке D.2, так как в этом случае преобразователь был установлен под мишенью и излучал снизу вверх, а не сверху вниз, как на
рисунке D.2.
Рисунок D.3 - Изменение со временем кажущейся массы мишени
с касторовым маслом для различных частот ультразвукового
облучения мощностью около 1 Вт в течение 10 с
Таблица D.2
Температурная зависимость удельного коэффициента
поглощения в касторовом масле
Температура, °C | Удельный коэффициент поглощения в касторовом масле на 1 МГц, дБ·см-1·МГц-1,7 |
10 | 1,38 |
20 | 0,83 |
30 | 0,50 |
40 | 0,32 |
D.6 Поправка на тепловые потери
Если тепловой поток между мишенью и окружающей ее водой после ультразвукового облучения существенно отличается от теплового потока до этого облучения, то может оказаться необходимым введение поправки к параметрам теплового потока, существующего в процессе облучения. Изменение теплового потока, скорее всего, связано с постепенно возрастающей температурой поглощающей жидкости, однако это может быть вызвано и изменением условий окружающей среды или тем обстоятельством, что начальная температура мишени существенно отличается от температуры воды.
В
[7] показано, что поправка к выталкивающей силе плавучести (в децибелах) может быть рассчитана по скорости изменения веса или показываемой на весах массы
M непосредственно перед облучением и сразу после него, а также длительности облучения
t0 как

.
Примечание - Другим пояснением формы зависимости изменения веса после окончания облучения, рассмотренного в
[7], будет то, что некоторые или все изменения связаны с акустическими течениями, нарастающими во время облучения, а затем спадающими. Тем не менее это будет означать и то, что действительное изменение плавучести близко к линейной аппроксимации, представленной данными таблицы 1 в
[7], а анализ этих данных дает оценку измеряемой мощности, завышенную по сравнению с ее действительным значением примерно на 20% на частоте 9,151 МГц. Тем не менее не исключено, что
акустические течения существенно влияют на изменения со временем веса мишени и являются поэтому источником неопределенности. Эту неопределенность можно существенно снизить, если использовать экранирующую пленку на частотах выше 3 МГц. Другим решением этой проблемы является горизонтальное расположение преобразователя с его излучением в боковое окно
расширяющейся мишени. Тогда весы не будут реагировать на горизонтальные силы воздействия
акустических течений.
Неопределенность результатов измерения
воздействующей мощности зависит от частоты, уровня мощности, геометрии преобразователя и конструкции
мишени. В качестве примера в
[7] приведены результаты оценки неопределенности для 1 МГц фокусирующего преобразователя в виде чаши диаметром 60 мм с радиусом кривизны 120 мм; мишень диаметром 12 см и высотой 15 см с поглотителем толщиной 5 мм на задней поверхности мишени; расстояние между
мишенью и преобразователем равно 30 мм. После каждого периода облучения мощностью 50 Вт в течение 10 с передаваемая за период облучения энергия в 50 Дж приводит к изменению плавучести в 170 мг. Суммарная неопределенность была оценена как +/- 3,4%. В результаты измерений были введены поправки, учитывающие вклад некоторых источников неопределенности.
(справочное)
ВЛИЯНИЕ ЗАТУХАНИЯ И АКУСТИЧЕСКИХ ТЕЧЕНИЙ
НА ОПРЕДЕЛЕНИЕ ВОЗДЕЙСТВУЮЩЕЙ И ВЫХОДНОЙ МОЩНОСТИ
В общем случае из-за влияния затухания, нелинейных потерь и акустических течений в среде распространения ультразвука от преобразователя к мишени воздействующая мощность отличается от выходной мощности. Отношение выходной мощности к воздействующей мощности в общем случае будет зависеть от расстояния, частоты и геометрии мишени; если имеется нелинейное распространение, то это отношение будет также зависеть от напряжения возбуждения.
Если необходимо определить выходную мощность, то мишень устанавливают, как правило, насколько можно ближе к преобразователю, чтобы минимизировать эти систематические эффекты и связанную с ними неопределенность измерений. Будет также предпочтительнее не применять пленок, защищающих от акустических течений, но являющихся потенциальным источником неопределенности из-за отражений и потерь на прохождение.
E.2 Линейное распространение
E.2.1 Общие положения
При линейном распространении плоской волны воздействующая мощность Pi уменьшается с расстоянием по логарифмическому закону

, (E.1)
где P - выходная мощность;
z - расстояние от излучающей поверхности преобразователя до мишени вдоль оси пучка;

- амплитудный коэффициент затухания плоской волны в воде;
f - акустическая частота.
Примечание -
Выражение (E.1) с определенными оговорками достаточно верно и для других преобразователей с немного расходящимися или сходящимися пучками и поэтому использовано в последней части этого раздела для иллюстрации принципа
определения выходной мощности.
Поток импульса p волны на расстоянии z дается выражением

, (E.2)
где c - скорость звука в воде.
Полный поток сохраняется, а его потери из-за затухания преобразуются в импульс силы воды в форме акустических течений вдоль пути распространения волны. Для установившихся течений их поток импульса pstr на расстоянии z выражается как

. (E.3)
E.2.2 Метод уравновешивания радиационной силы
В системах уравновешивания радиационной силы воздействующую мощность определяют по изменению действующей на мишень силы при включении и выключении облучения. Это изменение вызвано комбинацией акустического потока импульса и потока импульса течения, проходящих через мишень. Для идеальной поглощающей мишени акустический поток импульса проходящей через нее волны снижается до нуля, а поток импульса течения тоже снижается, но, в общем случае, не до нуля. Поэтому мишень можно рассматривать как перекрывающую только часть L потока импульса течения, а совокупная сила Ftot, действующая на мишень, является суммой радиационной силы F и силы акустического течения Fstr:

. (E.4)
В принципе возможно, что весь поток импульса течения будет перекрыт
мишенью и это приведет к тому, что совокупная сила не будет зависеть от расстояния. Но на практике наблюдается уменьшение силы с расстоянием. Если

, то
выражение (E.4) можно разложить в ряд Тейлора как

. (E.5)
Поэтому L можно определить экспериментально по измерениям снижения совокупной силы как функции расстояния z (при этом важно проверить ее изменения в масштабе долей длины волны, вызванные акустическими отражениями).
Примечание - Для плоской поглощающей мишени, диаметр которой много больше диаметра коллимированного круглого преобразователя, значения L лежат в диапазоне от 0,6 до 0,8.
Существуют три подхода к определению воздействующей и выходной мощности при измерении совокупной силы:
a) используя
мишень, для которой
L известно заранее, вычислить
выходную мощность из значения совокупной силы по
выражению (E.4):
воздействующая мощность может быть рассчитана из
выражения (E.1);
b) уменьшить дистанцию
z так, чтобы

была близка к 1,0 и затуханием можно было пренебречь: в этом случае
радиационная сила будет равна совокупной силе и
воздействующая мощность может быть вычислена из
выражения (E.1);
c) измерить
Ftot как функцию расстояния
z так, чтобы вычислить ее значение на нулевой дистанции (где

) путем экстраполяции и пренебрежения затуханием: в этом случае
радиационная сила будет равна совокупной силе на нулевой дистанции, а
воздействующая мощность может быть вычислена из
выражения (E.1);
d) уменьшить
L до 0, поместив вблизи мишени экранирующую пленку:
воздействующая мощность может быть вычислена по измеренной радиационной силе F, а
выходная мощность - из
выражения (E.1).
При линейном распространении волны от фокусирующего преобразователя целесообразно применить такой же подход, но нужно еще ввести поправку на фокусировку. Для преобразователей с расходящимся пучком
мишень может перекрывать лишь небольшую часть пучка, особенно на больших расстояниях; в этом случае
выражение (E.4) неприменимо.
E.2.3 Метод изменения плавучести
Метод изменения плавучести не реализует измерения изменений потока импульса. Изменение выталкивающей силы (плавучести)
B позволяет определить
воздействующую мощность, а выходную мощность можно вычислить по
выражению (E.1).
Тем не менее наличие
радиационной силы и силы акустических течений оказывает влияние на вес мишени и поэтому затрудняет определение
B.
Радиационная сила приблизительно в 20 раз больше силы, обусловленной изменением плавучести за 10 с облучения: она исчезает немедленно после выключения облучения, хотя
мишень может продолжать колебаться еще некоторое время. Величина силы акустических течений оценивается потоком импульса из
выражения (E.3) и зависит от расстояния и акустической частоты: ее точное представление недоступно, но она начинает уменьшаться после выключения облучения и исчезает только через несколько секунд. Воздействие силы течения можно устранить с помощью экранирующей пленки.
Примечание - Изменение индицируемого веса, вызванное ослаблением течения, можно спутать с изменением, вызванным тепловыми потерями масла через входное окно
расширяющейся мишени. Оба эффекта могут действовать одновременно, но если акустические течения оказывают преобладающее влияние над тепловыми потерями, то действительное изменение плавучести можно определить после того, как акустические течения остановятся (например через 10 - 20 с после окончания облучения); однако если доминируют тепловые потери, то действительным изменением плавучести будет то его значение, которое определяют непосредственно после окончания облучения (но даже и в этот момент некоторая часть энергии будет потеряна). Следовательно, в первом случае индицируемый вес приближается к его действительному значению через некоторое время после облучения, а во втором - он все более расходится с действительным значением. Эти соображения согласуются с анализом результатов в
[7] и доказывают, что для рассмотренного здесь коллимированного преобразователя небольшой мощности влияние тепловых потерь доминирует над эффектами
акустических течений.
E.3 Нелинейное распространение
E.3.1 Общие положения
Коэффициент поглощения воды изменяется пропорционально квадрату частоты, в связи с чем энергия гармонических составляющих поглощается больше, чем энергия на основной частоте. Следовательно, как энергия, так и поток импульса акустической волны будут уменьшаться с расстоянием более быстро, чем при линейном распространении. Когда ультразвуковая волна распространяется в существенно нелинейной среде, то в некоторых местах пучка (обычно в фокальной зоне, но может быть и в других местах) возникает акустический "удар". В этом случае энергия волны теряется очень быстро, а мощность может уменьшаться с расстоянием более чем на 10% на сантиметр.
E.3.2 Метод уравновешивания радиационной силы
В отсутствие пленки, предотвращающей воздействие
акустических течений, большая часть энергии, теряемой волной на акустические течения, будет перехвачена мишенью и воспринята ею как сила. Тем не менее, поскольку часть энергии гармоник возрастает по мере удаления от источника, что зависит также и от акустического давления, не существует простого общего способа точно определить методом уравновешивания
радиационной силы как
воздействующую, так и
выходную мощность, кроме как размещение экранирующей (течения) пленки вблизи мишени. Использование пленки позволяет определить
воздействующую мощность, а затем по
выражению (E.1) оценить
выходную мощность при условии, что расстояние
z было достаточно малым, чтобы значительная часть энергии не "ушла" в гармоники в процессе распространения волны.
Поэтому желательно минимизировать эффекты нелинейного распространения при измерении, располагая мишень как можно ближе к преобразователю. На расстояниях, где нелинейные потери не слишком велики, лучшая оценка выходной мощности может быть получена путем измерения в небольшом диапазоне расстояний (например, от 3 до 10 мм) и экстраполяции результатов к нулевому расстоянию. Это даст также оценку неопределенности, связанной с нелинейными потерями.
E.3.3 Метод изменения плавучести
Метод изменения плавучести не основан на измерении изменений потока импульса. Изменение выталкивающей силы (плавучести)
B позволяет определить
воздействующую мощность по
выражению (E.3), а
выходную мощность можно вычислить по
выражению (E.1).
Здесь применима та же аргументация, которая изложена в
E.2.3, за исключением того, что силы акустического течения при нелинейном распространении могут быть больше, а тепловые потери через входное окно будут возрастать из-за того, что вблизи его поглощается больше энергии.
(справочное)
УСТРАНЕНИЕ КАВИТАЦИИ
F.1 Общие положения
Методы дегазации при подготовке воды к ультразвуковым измерениям изложены в отчете IEC/TR 62781. Для измерений HITU систем воду предпочтительно дегазировать методом вакуумирования.
Для предотвращения образования пузырьков требуемый уровень содержания газа в воде будет зависеть от многих факторов, включая частоту акустического воздействия и максимальное акустическое давление разрежения. Рекомендуется, чтобы при всех измерениях общее количество растворенного в воде газа не превышало 2 мг/л, а в некоторых случаях еще ниже. Изменение или флуктуация радиационной силы может свидетельствовать об образовании пузырьков. Рекомендуется использовать дегазированную воду при измерении любых уровней мощности. При повышении температуры воды, содержащей газ, пузырьки могут образовываться на поверхностях. Пузырьки могут образовываться и под влиянием ультразвукового облучения мощностью менее 1 Вт, если излучающая поверхность ультразвукового преобразователя достаточно мала. Поэтому перед измерениями, в процессе их проведения и по их окончании рекомендуется проверять отсутствие пузырьков на поверхностях преобразователя и мишени. Методы химической дегазации (например, с использованием соли Na2SO3), которые удаляют только один или несколько компонентов газа, в общем случае непригодны для HITU измерений. Использование любого метода дегазации должно сопровождаться мониторингом содержания кислорода в воде как простого способа получения информации об эффективности дегазации и последующем насыщении воды газом. Концентрация растворенного кислорода в дегазированной воде в открытом резервуаре со временем растет.
(справочное)
ЭФФЕКТИВНОСТЬ ПРЕОБРАЗОВАТЕЛЯ
Рассмотренное в
разделе 8 определение
акустической эффективности включает в себя измерения как усредненной во времени
электрической мощности преобразователя, так и его (ультразвуковой)
выходной мощности. Значение
электрической мощности преобразователя Pel может быть получено из измерений амплитудного значения тока
I, протекающего через преобразователь, амплитуды напряжения
U на нем и фазы

между ними стандартными инженерными методами как

, а также с использованием усредненных (в одинаковых промежутках времени) или среднеквадратичных значений.
В настоящем приложении рассмотрены альтернативные подходы определения эффективности ультразвуковых преобразователей и HITU оборудования. Эти подходы не рассматриваются как обязательные требования настоящего стандарта, но они могут оказаться полезными для его пользователей.
Усредненная во времени электроакустическая эффективность может быть определена из отношения усредненной по времени акустической выходной мощности, измеренной в соответствии с рекомендациями настоящего стандарта, к усредненной во времени мощности, получаемой от источника возбуждения преобразователя. В наиболее простом случае для генератора электрического напряжения, работающего на частоте f, мощность передается к реальной части импеданса преобразователя. Электрическая эффективность может быть записана в терминах активной мощности, отдаваемой действительной части импеданса преобразователя, деленной на максимальную мощность генератора, как это рассмотрено ниже. Затем эта отдаваемая электрическая мощность преобразуется в акустическую мощность, излучаемую преобразователем в заданном направлении распространения. Для определения электроакустической эффективности требуется измерить усредненную во времени акустическую выходную мощность. Эта ситуация может быть осложнена включением между генератором и преобразователем какой-либо согласующей цепочки и кабеля. Ниже будут рассмотрены и некоторые специальные случаи таких измерений.
G.2 Термины и их определения
В дополнение к терминам, изложенным в
разделе 3 настоящего стандарта, в этом приложении используются следующие термины.
G.2.1 эффективность излучения AE: Отношение акустической выходной мощности к мощности излучения.
Примечание - Эффективность излучения является безразмерной величиной.
G.2.2 электрическая эффективность EE: Отношение мощности излучения к опорной мощности
Примечание - Электрическая эффективность является безразмерной величиной.
G.2.3 электроакустическая эффективность EA: Отношение акустической выходной мощности к опорной мощности. Она является также произведением двух величин: усредненной во времени электрической эффективности EE и усредненной во времени эффективности излучения AE.
Примечание - Электроакустическая эффективность является безразмерной величиной.
G.2.4 импеданс излучения ZA, Ом: Акустический импеданс ультразвукового преобразователя с реальной RA и мнимой XA частями.
G.2.5 мощность излучения PRA, Вт: Усредненная во времени мощность, передаваемая на сопротивление излучения импеданса преобразователя.
G.2.6 сопротивление излучения RA, Ом: Реальная часть акустического импеданса излучения ультразвукового преобразователя.
G.2.7 опорная мощность Pg, Вт: Максимальная усредненная во времени мощность, передаваемая от источника возбуждения ультразвукового преобразователя, когда опорный импеданс Zg является комплексной величиной, а нагрузка является сопряженной Zg* и реальной частью Zg является Rg.
G.2.8 опорный импеданс Zg, Ом: Импеданс источника, обеспечивающий опорную мощность.
G.2.9 импеданс преобразователя ZT, Ом: Электрический импеданс ультразвукового преобразователя, состоящий из реальной (сопротивление излучения) и мнимой частей.
G.3 Электроакустическая эффективность
Измерения параметров преобразователя обычно выполняют как их зависимости от частоты или времени в контролируемых условиях. Целью этих измерений является описание отклика прибора независимо от формы возбуждающего сигнала. Измерения частотной зависимости (или комплексного спектра) прибора или его импульсной характеристики проводят так, чтобы в линейных условиях измеренный отклик прибора мог бы быть использован для определения его реакции на другую нагрузку или другую форму возбуждающего сигнала в предположении, что отклик прибора остается линейным
[15]. Результаты измерений позволяют также сравнить отклик прибора с характеристиками других подобных устройств.
Несмотря на то что для HITU преобразователей применимы обычные методы измерений, будет все-таки удобнее воспользоваться изложенным здесь упрощенным подходом к измерениям электроакустической эффективности с использованием усредненных во времени параметров. Электроакустическую эффективность определяют как
EA = PA/Pg, (G.1)
где PA - усредненная во времени акустическая выходная мощность;
Pg - усредненная во времени полная опорная мощность, передаваемая от генератора.
Здесь рассматривается стандартная ситуация в условиях, близких к линейным. Другие варианты будут рассмотрены ниже.
Как показано на
рисунке G.1-a, если генератор с известным напряжением согласован с импедансом источника, то полная мощность, передаваемая генератором, представляет собой усредненную во времени
опорную мощность.
где Ug - напряжение источника;
PA - усредненная во времени выходная мощность.
Обычно импеданс источника - это реальное сопротивление
Rg. Если импеданс источника носит комплексный характер, т.е. равен
Zg, то нагрузка будет комплексно сопряженной
Zg*, а реальная часть
Zg будет равна
Rg, как это показано на
рисунке G.1 a). Заметим, что в качестве источника для этих целей можно использовать генератор стандартных сигналов. Ниже будут рассмотрены более сложные ситуации и источники.
В обычной конфигурации источник подключен к преобразователю, как это показано на
рисунке G.1 b). Усредненная во времени
электроакустическая эффективность - это также произведение двух величин: усредненной во времени
электрической эффективности EE и усредненной во времени
эффективности излучения AE
EA = EE·AE (G.3)
EA = [
PRA/
Pg]·[
PA/
PRA] (G.4)
Поэтому электрическая эффективность EE является отношением усредненной во времени мощности излучения PRA, которая передается к реальной части (сопротивлению излучения RRA) импеданса преобразователя ZT, к усредненной во времени опорной мощности Pg. Эффективность излучения AE - это отношение усредненной во времени акустической выходной мощности PA к усредненной во времени мощности излучения PRA, которая передается к реальной части (сопротивлению излучения PRA) импеданса преобразователя.
G.4 Внедрение метода измерений электрической эффективности
В связи с тем, что акустические волны, генерируемые преобразователем, возникают в результате пьезоэлектрического эффекта, на электрический импеданс на входе преобразователя влияет акустическая нагрузка. Для расчета этого воздействия к емкостному сопротивлению преобразователя добавляют импеданс излучения ZA так, чтобы электрический импеданс его эквивалентной электрической схемы составил

. (G.6)
Здесь
ZA - импеданс излучения, в котором
PA и
XA - реальная и мнимая части;
C0 - емкость преобразователя, а

- круговая частота. Импеданс преобразователя может быть представлен в виде эквивалентной схемы, показанной на
рисунке G.2 a). Эта схема, будучи электрической, не описывает акустических характеристик преобразователя; поэтому она не заменяет более общую модель, рассматриваемую ниже. Импеданс преобразователя может быть измерен с использованием измерителя импеданса.
Первым шагом является определение усредненной во времени реальной части электрической мощности, поступающей на преобразователь при приложенном напряжении U и токе I на заданной частоте f, как
PE(
f) =
I(
f)·
I(
f)·
RA(
f)/2 (G.7)
PE(
f)=
U(
f)·
UI(
f)/2
RA(
f), (G.8)
где I - ток, протекающий через преобразователь;
U - напряжение на сопротивлении излучения преобразователя.
Наиболее простой конфигурацией является преобразователь, непосредственно подключенный к генератору напряжения. На
рисунке G.2 a) показан немного более сложный вариант со схемой регулировки между источником и преобразователем. В этом случае импеданс цепи справа от источника больше не
RA. Истинное значение электрической эффективности не может больше определяться напрямую, потому что активная мощность, передаваемая направо от источника, не будет больше равна
PE, задаваемой
выражениями G.7 и
G.8.
При более общем варианте излучения эта схема станет сложнее и может включать в себя кабель, как это показано на
рисунке G.2 b). Эта схема представлена четырехполюсником (матрицей) ABCD
[14],
[15]. Если элементы схемы известны, то по правилам электротехники можно определить и
PE. Однако если нужно измерить
электроакустическую эффективность, то определять
PE нет необходимости.
Эти методы основаны на линейных приближениях и стандартных измерениях, поэтому их легко реализовать и повторить в различных лабораторных условиях. При определенных условиях можно определить и усредненную во времени электроакустическую эффективность преобразователя, подключенного к нелинейному источнику HITU. В этом случае импеданс источника и его напряжение могут быть нелинейными и/или изменяться со временем, и рассмотренные здесь методы могут применяться лишь в качестве оценки. Основной трудностью является определение среднего значения импеданса источника за время возбуждения. Если напряжение во время возбуждения изменяется, то для обеспечения повторяемости результатов измерений необходимо тщательно документировать форму сигнала, уровень возбуждения и параметры излучателя.
G.5 Применение метода измерений эффективности излучения
Как указано выше,
электроакустическая эффективность является произведением
электрической эффективности EE и
эффективности излучения AE. Обычный пьезоэлектрический преобразователь излучает звук в двух направлениях, назовем их "направо" (на внешнюю сторону) и "налево" (на внутреннюю сторону). Следует также учесть акустическое поглощение и другие внутренние потери, влияющие на количество акустической мощности, излучаемой правой (или внешней) поверхностью преобразователя. Усредненную во времени эффективность излучения из
выражения (G.4) можно представить как
AE = PA/PRA, (G.9)
где
PA - усредненная во времени выходная мощность, излучаемая правой или внешней стороной преобразователя и измеряемая методом уравновешивания
радиационной силы или другим методом, рассмотренным в настоящем стандарте, а
PRA - мощность излучения, рассмотренная в
предыдущем разделе. Это ключевое выражение показывает, что
AE является отношением акустической мощности, излучаемой "направо", и мощности, поступающей на сопротивление излучения. В этом заключается необходимость определения мощности на сопротивлении излучения при расчете электроакустической эффективности преобразователя. Разделение акустической мощности на обе стороны преобразователя показано на
рисунке G.3.
Для преобразователя, задняя сторона которого "оперта на воздух", в идеальных условиях AE = 1 или PA = PRA. Однако из-за внутренних потерь в согласующих слоях и линзах AE на практике будет меньше 1.
G.6 Измерение электроакустической интенсивности
Измерения рекомендуется проводить с преобразователем, установленным в систему уравновешивания радиационной силы. Это обеспечивает неизменность его акустической нагрузки как при акустических измерениях, так и при измерениях электрических параметров.
Для расчета
опорной мощности, максимально доступной от генератора, источник нагружают сопряженным импедансом. В случае если реальная часть
Rg импеданса источника известна или предварительно измерена, можно воспользоваться
выражением (G.2). В противном случае в
выражение (G.2) нужно подставить напряжение на согласованной нагрузке. Измерения проводят для выбранного режима возбуждения.
Наиболее простым является прямое подключение преобразователя к источнику напряжения. Характеристики источника опорного сигнала или известны, или должны быть измерены. Импеданс источника Zg может быть указан изготовителем или измерен в виде зависимости от частоты с помощью измерителя импеданса. Напряжение Ug можно определить по измерениям в режиме холостого хода.
Для определения усредненной во времени
опорной мощности как при акустических, так и электрических измерениях выбирают один и тот же режим возбуждения источника. Если требуется определить эффективность только на одной частоте, то для расчета усредненной во времени мощности источник может возбуждаться как непрерывным, так и длительным тонально-импульсным сигналом с учетом его скважности. Для тонального режима усредненную во времени мощность получают из квадрата среднеквадратичного значения напряжения, так что

в
выражении (G.2). Если требуется определить
электроакустическую эффективность в диапазоне частот, то ее можно измерить отдельно на каждой частоте требуемого диапазона. В общем случае при наличии сложной временной зависимости напряжения возбуждения, если источник нагружен, как описано ниже, то напряжение на реальной части импеданса этой нагрузки усредняют во времени и подставляют в
выражение (G.2).
Опорная мощность в диапазоне частот может быть определена как

, (G.10)
где T = t2 - t1, т.е. время конца и начала временной зависимости, а F = f2 - f1 - частоты, ограничивающие спектр волновой формы возбуждения.
Усредненную во времени акустическую
выходную мощность измеряют методом уравновешивания
радиационной силы или другим методом, изложенным в настоящем стандарте, в том же самом режиме возбуждения. Затем из
выражения (G.5) вычисляют
электроакустическую эффективность как
EA = PA/Pg.
G.7 Измерения электрической эффективности и эффективности излучения
Эти измерения связаны с определением мощности излучения или реальной мощности, переданной на реальную часть импеданса преобразователя
PRA в соответствии с
выражением (G.4). В связи с тем, что сопротивление излучения измеряют как функцию частоты, мощность излучения также более удобно определять в виде частотной зависимости в соответствии с
выражением (G.8), где
U(
f) - напряжение, падающее на сопротивлении излучения. В связи с тем, что можно измерить только напряжение
UT на преобразователе в целом, получим для
PE:

. (G.11)
Это выражение применяют при тональном возбуждении. В общем случае усредненное во времени значение мощности излучения может быть найдено как

. (G.12)
В случае если источник подключен к преобразователю не напрямую, промежуточную схему можно представить так, чтобы найти мощность на сопротивлении излучения стандартными методами расчета, используемыми в электротехнике и рассмотренными выше. Например, для четырехполюсника ABCD и источника с импедансом Rg на каждой частоте

. (G.13)
| | ИС МЕГАНОРМ: примечание. В официальном тексте документа, видимо, допущена опечатка: имеется в виду рисунок G.2 a), а не рисунок G.3 a). | |
В примере с подстраиваемой индуктивностью, показанной на
рисунке G.3 a), эта величина будет выражаться как

(G.14)
a - генератор источника нагружен на сопряженную нагрузку;
b - генератор источника нагружен преобразователем
Рисунок G.1 - Источник электрического напряжения
при различных условиях нагрузки
a - последовательное включение индуктивности
и сопротивления; b - четырехполюсник ABCD для более
общей цепи. AET, BET, CET и DET - элементы матрицы
Рисунок G.2 - Источник электрического напряжения
со схемой электрического согласования и эквивалентная
схема преобразователя
Рисунок G.3 - Схема, иллюстрирующая электрические потери
На этой схеме электрические потери определены как мощность на сопротивлении излучения, деленная на мощность источника, а акустические потери - как мощность на акустической нагрузке "направо", т.е. PA = PRIN, деленная на мощность на сопротивлении излучения PRA.
(справочное)
СВЕДЕНИЯ О СООТВЕТСТВИИ ССЫЛОЧНЫХ МЕЖДУНАРОДНЫХ СТАНДАРТОВ
И ДОКУМЕНТОВ НАЦИОНАЛЬНЫМ СТАНДАРТАМ РОССИЙСКОЙ ФЕДЕРАЦИИ
Таблица ДА.1
Обозначение ссылочного международного стандарта, документа | Степень соответствия | Обозначение и наименование соответствующего национального стандарта |
IEC 61161:2013 | - | |
IEC/TR 62781:2007 | - | |
<*> Соответствующий национальный стандарт отсутствует. До его утверждения рекомендуется использовать перевод на русский язык данного международного стандарта. Перевод данного международного стандарта находится в Федеральном информационном фонде технических регламентов и стандартов. |
[1] | O'BRIEN, W.D. Ultrasonic dosimetry, in: Ultrasound: Its Application in Medicine and Biology, Editor Fry, F.J., Elsevier Scientific Publishing Company, 1978, pp. 343 - 397 |
[2] | STEWART, H.F. Ultrasonic measuring techniques, in: Fundamental and Applied Aspects of Nonionizing Radiation, Editors Michaelson, S.M., et al., Plenum Press, New York, 1975, pp. 59 - 89 |
[3] | ZIENIUK, J., and CHIVERS, R.C. Measurement of ultrasonic exposure with radiation force and thermal methods. Ultrasonics 14, 1976, pp. 161 - 172 |
[4] | IEC/TR 62649:2010 Requirements for measurement standards for high intensity therapeutic ultrasound (HITU) devices |
| ISO/IEC Guide 98-3:2008, Uncertainty of measurement - Part 3: Guide to the expression of uncertainty in measurement (GUM:1995) |
| SHAW, A. A buoyancy method for the measurement of total ultrasound power generated by HIFU transducers. Ultrasound in Med. & Biol., Vol. 34, No. 8, 2008, pp. 1327 - 1342 |
| RAJAGOPAL, S and SHAW, A. Buoyancy method - a potential new primary ultrasound power standard. Metrologia, 2012, Vol. 49, pp 327 - 339 |
[8] | IEC/TS 625563, Surgical systems - Specification and measurement of field parameters for high intensity therapeutic ultrasound (HITU) transducers and systems |
[9] | IEC 62127-2, Ultrasonics - Hydrophones - Part 2: Calibration for ultrasonic fields up to 40 MHz |
| BEISSNER, K. Minimum target size in radiation force measurements. J. Acoust. Soc. Am. 76, pp., 1984, pp. 1505 - 15010 |
| BEISSNER, K. Minimum radiation force target size for power measurements in focused ultrasonic fields with circular symmetry. J. Acoust. Soc. Am., 2010, 128, pp. 3355 - 3362 |
[12] | SHOU, Wende, HUANG, Xiaowei, DUAN, Shimei, XIA, Rongmin, SHI, Zhonglong GENG, Xiaoming, LI, Faqi. Acoustic power measurement of high intensity focused ultrasound in medicine based on radiation force. Ultrasonics, 2006, 44, pp. 17 - 20 |
[13] | MARUVADA, Subha, HARRIS, Gerald R., HERMAN, Bruce A. and KING, Randy L. Acoustic power calibration of high-intensity focused ultrasound transducers using a radiation force technique. J. Acoust. Soc. Am., 2007, 121 (3), pp 1434 - 1439 |
| SITTIG, E.K. Transmission parameters of thickness-driven piezoelectric transducers arranged in multilayer configurations. IEEE Trans Sonics Ultrasonics, 1967, SU-14: pp. 167 - 174 |
| SZABO, T.L. Diagnostic Ultrasound Imaging: Inside Out. Elsevier Science, August 2004 |
[16] | SZABO, T.L., KARBEYAZ, B.U., CLEVELAND, R.O. and MILLER, E.L. Determining the pulse-echo electromechanical characteristic of a transducer using flat-plates and point targets. J. Acoust. Soc. Am., July 2004, 116:90-96 |
[17] | IEC 60050 (all parts), International electrotechnical Vocabulary (available at <http://www.electropedia.org>) |
[18] | IEC 60601-2-62:-4, Medical electrical equipment - Part 2-62: Particular requirements for basic safety and essential performance of high intensity therapeutic ultrasound (HITU) equipment |