Главная // Актуальные документы // ГОСТ Р (Государственный стандарт)СПРАВКА
Источник публикации
М.: Стандартинформ, 2016
Примечание к документу
Документ
введен в действие с 1 ноября 2016 года.
Название документа
"ГОСТ Р МЭК 61988-2-1-2015. Национальный стандарт Российской Федерации. Панели дисплейные плазменные. Часть 2-1. Методы измерений. Оптические и оптоэлектрические"
(утв. и введен в действие Приказом Росстандарта от 10.09.2015 N 1334-ст)
"ГОСТ Р МЭК 61988-2-1-2015. Национальный стандарт Российской Федерации. Панели дисплейные плазменные. Часть 2-1. Методы измерений. Оптические и оптоэлектрические"
(утв. и введен в действие Приказом Росстандарта от 10.09.2015 N 1334-ст)
Утвержден и введен в действие
агентства по техническому
регулированию и метрологии
от 10 сентября 2015 г. N 1334-ст
НАЦИОНАЛЬНЫЙ СТАНДАРТ РОССИЙСКОЙ ФЕДЕРАЦИИ
ПАНЕЛИ ДИСПЛЕЙНЫЕ ПЛАЗМЕННЫЕ
ЧАСТЬ 2-1
МЕТОДЫ ИЗМЕРЕНИЙ
ОПТИЧЕСКИЕ И ОПТОЭЛЕКТРИЧЕСКИЕ
Plasma display panels. Part 2-1. Measuring methods.
Optical and optoelectrical
IEC 61988-2-1:2012
Plasma display panels - Part 2-1: Measuring
methods - Optical and opto-electrical
(IDT)
ГОСТ Р МЭК 61988-2-1-2015
Дата введения
1 ноября 2016 года
1 ПОДГОТОВЛЕН Автономной некоммерческой организацией "Научно-технический центр сертификации электрооборудования" "ИСЭП" (АНО "НТЦСЭ "ИСЭП") на основе собственного аутентичного перевода на русский язык международного стандарта, указанного в
пункте 4
2 ВНЕСЕН Техническим комитетом по стандартизации ТК 452 "Безопасность аудио-, видео-, электронной аппаратуры, оборудования информационных технологий и телекоммуникационного оборудования"
3 УТВЕРЖДЕН И ВВЕДЕН В ДЕЙСТВИЕ
Приказом Федерального агентства по техническому регулированию и метрологии от 10 сентября 2015 г. N 1334-ст
4 Настоящий стандарт идентичен международному стандарту МЭК 61988-2-1:2012 "Панели дисплейные плазменные. Часть 2-1. Методы измерений. Оптические и оптоэлектрические" (IEC 61988-2-1:2012 "Plasma display panels - Part 2-1: Measuring methods - Optical and optoelectrical").
При применении настоящего стандарта рекомендуется использовать вместо ссылочных международных стандартов соответствующие им национальные стандарты Российской Федерации, сведения о которых приведены в дополнительном
приложении ДА
5 ВВЕДЕН ВПЕРВЫЕ
Правила применения настоящего стандарта установлены в ГОСТ Р 1.0-2012 (раздел 8). Информация об изменениях к настоящему стандарту публикуется в ежегодном (по состоянию на 1 января текущего года) информационном указателе "Национальные стандарты", а официальный текст изменений и поправок - в ежемесячном информационном указателе "Национальные стандарты". В случае пересмотра (замены) или отмены настоящего стандарта соответствующее уведомление будет опубликовано в ближайшем выпуске ежемесячного информационного указателя "Национальные стандарты". Соответствующая информация, уведомление и тексты размещаются также в информационной системе общего пользования - на официальном сайте Федерального агентства по техническому регулированию и метрологии в сети Интернет (www.gost.ru)
1) Международная электротехническая комиссия (МЭК) является международной организацией по стандартизации, объединяющей все национальные электротехнические комитеты (национальные комитеты МЭК). Задачей МЭК является продвижение международного сотрудничества во всех вопросах, касающихся стандартизации в области электротехники и электроники. Результатом этой работы и в дополнение к другой деятельности МЭК является издание международных стандартов, технических требований, технических отчетов, публично доступных технических требований (ТТОД) и руководств (в дальнейшем именуемых "публикации МЭК"). Их подготовка поручена техническим комитетам. Любой национальный комитет МЭК, заинтересованный в объекте рассмотрения, может участвовать в этой предварительной работе. Международные, правительственные и неправительственные организации, кооперирующиеся с МЭК, также участвуют в этой подготовке. МЭК близко сотрудничает с Международной организацией по стандартизации (ИСО) в соответствии с условиями, определенными соглашением между этими двумя организациями.
2) Формальные решения или соглашения МЭК означают выражение положительного решения технических вопросов, практически международный консенсус в соответствующих областях, так как у каждого технического комитета есть представители от всех заинтересованных национальных комитетов МЭК.
3) Публикации МЭК имеют форму рекомендаций для международного использования и принимаются национальными комитетами МЭК в этом качестве. Приложены максимальные усилия для того, чтобы гарантировать правильность технического содержания публикаций МЭК, однако МЭК не может отвечать за порядок их использования или за любое неверное толкование любым конечным пользователем.
4) В целях содействия международной гармонизации национальные комитеты МЭК обязуются применять публикации МЭК в их национальных и региональных публикациях с максимальной степенью приближения к исходным. Любые расхождения между любой публикацией МЭК и соответствующей национальной или региональной публикацией должно быть четко обозначено в последней.
5) МЭК не устанавливает процедуры маркировки знаком одобрения и не берет на себя ответственность за любое оборудование, о котором заявляют, что оно соответствует публикации МЭК.
6) Все пользователи должны быть уверены, что они используют последнее издание этой публикации.
7) МЭК или его директора, служащие или агенты, включая отдельных экспертов и членов его технических комитетов и национальных комитетов МЭК, не несут никакой ответственности и не отвечают за любые причиненные телесные повреждения, материальный ущерб или другое повреждение любой природы вообще, как прямое, так и косвенное, или за затраты (включая юридические сборы) и расходы, проистекающие из использования публикации МЭК, или ее разделов, или любой другой публикации МЭК.
8) Следует обратить внимание на нормативные ссылки, указанные в настоящем стандарте. Использование ссылочных международных стандартов является обязательным для правильного применения настоящего стандарта.
9) Следует обратить внимание на то, что имеется вероятность того, что некоторые из элементов настоящего стандарта могут быть предметом патентного права. МЭК не несет ответственности за идентификацию любых таких патентных прав.
МЭК 61988-2-1 подготовлен Техническим комитетом МЭК ТК 110 "Электронные устройства отображения".
Настоящая вторая редакция отменяет и заменяет первую редакцию, опубликованную в 2002 г. Настоящая редакция представляет собой технический пересмотр.
Настоящая редакция включает следующие существенные технические изменения относительно предыдущей редакции: первая редакция МЭК 61988-2-1 и МЭК 61988-2-2 были объединены и реструктурированы в данный документ.
Текст настоящего стандарта основан на следующих документах:
Окончательный проект международного стандарта | Отчет о голосовании |
110/337/FDIS | 110/352/RVD |
Полную информацию о голосовании по одобрению настоящих технических требований можно найти в вышеуказанном отчете о голосовании.
Настоящая публикация разработана в соответствии с Директивами ИСО/МЭК, часть 2.
Перечень всех частей стандартов серии МЭК 61988 под общим наименованием "Панели дисплейные плазменные" можно найти на сайте МЭК.
Комитет принял решение, что содержание настоящего стандарта останется без изменений до конечной даты сохранения, указанной на сайте МЭК с адресом http://webstore.iec.ch, в данных, касающихся конкретного стандарта. На это время стандарт будет:
- подтвержден заново;
- аннулирован;
- заменен пересмотренным изданием или
- изменен.
Настоящий стандарт устанавливает методы измерений следующих функциональных характеристик плазменных дисплейных модулей (PDP-модулей):
a) яркость 4%-ного окна;
b) равномерность яркости;
c) степень контрастности изображения в темном помещении;
d) степень контрастности изображения в освещенном помещении - 100/70;
e) цветность белого и однородность/равноконтрастность цветности;
f) цветовая гамма в центральном прямоугольнике;
g) мощность потребления и потребляемый ток модуля;
h) мощность потребления модуля при использовании видеосигнала;
i) световая отдача модуля;
j) световая отдача панели.
Для применения настоящего стандарта необходимы следующие ссылочные документы. Для датированных ссылок применяется только указанное издание ссылочного документа, для недатированных ссылок применяют последнее издание ссылочного документа (включая все его изменения).
МЭК 60068-1 Климатические испытания. Часть 1. Общие требования и руководства (IEC 60068-1, Environmental Testing - Part 1: General and guidance)
МЭК 60107-1 Методы измерений параметров приемника телевизионного вещания. Часть 1. Общие положения. Измерения на радио- и видеочастотах (IEC 60107-1, Methods of measurement on receivers for television broadcast transmissions - Part 1: General considerations - Measurements at radio and video frequencies)
МЭК 61988-1 Панели дисплейные плазменные. Часть 1. Терминология и буквенные символы (IEC 61988-1, Plasma display panels - Part 1: Terminology and letter symbols)
МЭК 62087 Методы измерения потребляемой мощности аудио-, видео- и относящегося к ним оборудования (IEC 62087, Methods of measurement for the power consumption of audio, video and related equipment)
МКО 15:2004 Колориметрия (CIE 15:2004, Colorimetry).
В настоящем стандарте применены термины с соответствующими определениями, установленные МЭК 61988-1, МЭК 60068-1 и МЭК 60107-1, а также следующие термины и соответствующие определения.
3.1
световая отдача панели в 4%-ном окне 
(4% window panel luminous efficacy,

): Световая отдача панели, измеряемая путем отображения испытательных сигналов/шаблонов 4%-ного окна белого и полноэкранного черного.
Примечание - Омические (активные) потери меньше потерь световой отдачи полноэкранной панели (см.
3.4).
3.2
световая отдача полноэкранной панели 
(full screen panel luminous efficacy,

): Световая отдача панели, измеряемая путем отображения испытательных сигналов/шаблонов полноэкранного белого и полноэкранного черного.
Примечание - Омические (активные) потери больше потерь световой отдачи панели в 4%-ном окне (см.
3.4).
3.3 устройство проверки панели (panel checker): Система, используемая для запуска и испытания плазменной дисплейной панели (PDP).
Примечание - Устройство проверки панели имеет такие же или эквивалентные электрические схемы, что и модуль PDP.
3.4
световая отдача панели, световая отдача 
(panel luminous efficacy, luminous efficacy,

): Отношение нарастающего светового потока (измеряемого как разность светового потока отображения белого и светового потока отображения черного) к прирастающей входной мощности, подаваемой на драйвер горения при работающей панели (измеряемую как разность мощности при отображении белого и мощности при отображении черного).
Примечание - Выражается в люмен/ваттах.
4 Состав измерительного оборудования
Структурные схемы и/или условия управления измерительным оборудованием должны соответствовать требованиям, установленным для измерения каждой конкретной функциональной характеристики.
5 Стандартные условия измерений
5.1 Условия окружающей среды
Измерения проводят в стандартных условиях окружающей среды, т.е. при температуре (25 +/- 3) °C, относительной влажности от 25% до 85% и давлении от 86 до 106 кПа. Если условия окружающей среды отличаются от стандартных, их следует указать в протоколе испытаний.
5.2 Установочные начальные условия
Необходимо использовать приведенные ниже стандартные установочные режимы. При использовании режимов, отличающихся от стандартных, каждый режим указывают в соответствующих спецификациях (технических условиях).
5.2.2.1 Общие положения
Измерения следует проводить при использовании стандартной схемы измерения, приведенной на
рисунке 1. При использовании другой схемы измерения ее необходимо указать в протоколе испытаний.
lx0 - стандартное измерительное расстояние,
равное 2,5V, где V - высота экрана или длина
короткой боковой стороны экрана
Рисунок 1 - Схема измерения (вид сбоку)
5.2.2.2 Размещение устройства измерения света/фотометра
Устройство измерения света следует устанавливать перпендикулярно площади, измеряемой на экране модуля плазменной дисплейной панели (PDP).
5.2.2.3 Стандартное измерительное расстояние
Стандартное измерительное расстояние lx0 составляет 2,5V, где V - высота экрана или длина короткой боковой стороны экрана. Измерительное расстояние должно находиться в пределах от 1,6 до 2,8V. Измерительное расстояние должно быть указано в протоколе испытаний.
5.2.2.4 Угловая апертура (апертурный угол) устройства измерения света
Устройство измерения света следует устанавливать при должной угловой апертуре, которая должна быть равна 2 градусам или меньше, и измерять площадь, по крайней мере, 500 пикселей, размер которой по вертикали менее 10% высоты экрана. Эта площадь отвечает требованию относительно круговой площади измерения, диаметр которой включает не менее чем 26 строк, в случае дисплейной панели с пикселем широкоформатного кадра, состоящим из трех субпикселей. Если указанную апертуру установить затруднительно, измерительное расстояние и угловую апертуру настраивают таким образом, чтобы обеспечить площадь обзора больше 500 пикселей с размером по вертикали менее 10% от высоты экрана. Такое отклонение от стандартных условий должно быть указано в протоколе испытаний.
5.2.3 Частота полей
Стандартная частота полей оборудования, формирующего сигнал запуска, должна составлять 60 Гц, если не предполагается использование модуля при частоте, значительно отличающейся от стандартной. В любом случае используемая частота полей должна быть указана в протоколе испытания.
5.2.4 Настройка модулей PDP
Для настройки контраста модулей PDP следует настроить контраст на максимальное значение при стандартных условиях окружающей среды.
Функции автоматического управления, такие как автоматическое управление мощностью (APC), функция предотвращения послеизображения и т.п., с помощью которых можно менять яркость дисплея во время измерения, должны быть отключены, или активация таких функций должна быть обеспечена при помощи некоторых процедур измерения, указанных ниже.
Если отображаемая яркость может меняться с помощью некоторых автоматических функций управления, входящих в модуль PDP, а выключение этих функций неудобно, необходимо использовать процедуру с последовательным изменением входных изображений или процедуру с использованием последовательности "включение-измерение-выключение".
При процедуре последовательного изменения входных изображений входные сигналы должны меняться непосредственно перед изменением яркости дисплея, а измерения следует проводить при отображении измеряемого изображения. Входной сигнал, за исключением измеряемого изображения, должен быть любым подходящим сигналом, который блокирует указанные выше автоматические функции управления.
При процедуре с последовательностью "включение-измерение-выключение" модуль PDP должен последовательно выключаться и включаться непосредственно перед изменением отображаемой яркости. Измерения проводят при отображении измеряемого изображения.
Отображаемая яркость в обеих указанных выше процедурах обычно остается постоянной в течение нескольких минут, что вполне достаточно для стабильного измерения с помощью устройства измерения света/фотометра.
5.2.5 Режим прогревания модулей PDP
Время прогревания должно быть больше 30 мин с установкой входного сигнала на 15% шкалы яркости полного экрана без гамма-коррекции, если не используют другие установленные методы измерения. При использовании других режимов прогревания они должны быть указаны в протоколе испытания.
5.3.1 Условия темного помещения
На экране модуля PDP освещенность должна быть меньше 1 лк. Если такая освещенность существенно влияет на измерение уровня черного, следует использовать метод вычитания фона. При использовании другой освещенности или метода вычитания фона это должно быть указано в протоколе испытания.
5.3.2 Условия освещенного помещения
5.3.2.1 Общие положения
Лампа должна быть настроена таким образом, чтобы условия освещенности в центре вертикально установленной панели были удовлетворительными в вертикальной и горизонтальной плоскостях. Точность установки освещенности должна быть +/- 5%, а измеренная освещенность - четко указана в протоколе испытания. При использовании другой освещенности ее следует указать в протоколе испытания.
5.3.2.2 Освещенность на поверхности панели
a) Освещенность в вертикальной плоскости: 100 лк.
b) Освещенность в горизонтальной плоскости: 70 лк.
5.3.2.3 Источник освещения
Следует использовать люминесцентные лампы белого дневного света в виде прямых трубок с индексом цветопередачи AAA (JIS Z 9112-1990 типа N-EDL). Если используют лампы другого типа, это следует указать в протоколе испытаний и привести подробную информацию о лампе. Если условия освещенности невозможно обеспечить при использовании одной лампы, можно применить группу ламп. Допускается использовать лампы с настройкой яркости.
Люминесцентную(ые) лампу(ы) следует использовать в рекомендованных рабочих условиях: например, после 100-часового периода старения, но до истечения 2000 ч их использования. К подробной информации следует отнести фотоспектр применяемых ламп.
5.3.2.4 Размещение источника освещения и дисплея
Панель монтируют в вертикальной плоскости. Длинная ось лампы должна быть горизонтальна полу и параллельна плоскости панели. Центр лампы должен находиться в пределах стандартной вертикальной плоскости, перпендикулярной лицевой панели и под углом к центру панели (см.
рисунок 2).
Примечание - Информация в круглых скобках приведена только в качестве примера.
Рисунок 2 - Пример условий освещенного помещения
5.3.2.5 Настройка освещенности
Освещение следует настраивать (при помощи настройки выхода источника освещения и/или настройкой позиции лампы (ламп), и/или путем перемещения дисплейной панели) так, чтобы выполнялись условия освещенности вертикальной и горизонтальной плоскости. При измерении освещенности дисплей должен перемещаться от позиции измерения в целях предотвращения отражения света от дисплея.
5.3.2.6 Разное
Стены должны быть завешены черной тканью или не должны иметь окон и быть окрашены в серый цвет с коэффициентом отражения не более 20%. Пол также должен быть серым и иметь коэффициент отражения не более 20%.
Необходимо также уделять внимание цвету и местоположению измерительной системы, включая стены, пол, потолок и проводящих измерения специалистов, чтобы отраженный свет не влиял на измеряемую освещенность. Для уменьшения отраженного света без затенения панели следует применять черную экранную пластину. При включении источника света освещенность настраивают после достижения им достаточной стабильности. Пример измерительной комнаты показан на
рисунке 2.
6.1 Методы измерения яркости 4%-ного окна
6.1.1 Цель
Целью настоящего метода является измерение яркости 4%-ного окна модуля PDP.
6.1.2 Измерительное оборудование
Должно быть использовано следующее оборудование:
a) источник мощности запуска (возбуждения);
b) оборудование для формирования сигнала запуска;
c) устройство измерения света/фотометр.
6.1.3 Измерение
Модуль PDP должен быть установлен в темной комнате при стандартных условиях измерения. Схема измерения приведена на
рисунке 1. На модуль PDP подают сигнал белого с уровнем 100% в 4%-ное окно (
H/5 x
V/5) в центре экрана и измеряют
яркость 4%-ного окна
LDR0,04 в центре
P0 окна белого
A0, как показано на
рисунке 3.
Рисунок 3 - Схема измерения яркости 4%-ного окна
6.2 Метод измерения равномерности яркости
6.2.1 Цель
Целью настоящего метода является измерение равномерности яркости модуля PDP.
6.2.2 Измерительное оборудование
Должно быть использовано следующее оборудование:
a) источник мощности запуска (возбуждения);
b) оборудование для формирования сигнала запуска;
c) устройство измерения света/фотометр.
6.2.3 Измерение
Модуль PDP должен быть установлен в темной комнате при стандартных условиях измерения. Схема измерения приведена на
рисунке 1. На модуль PDP подают полноэкранный сигнал белого с уровнем 100% и измеряют яркость
Li в указанных точках
Pi (где
i меняется от 0 до 8 или от 0 до 4) на экране дисплея. Измерение следует проводить в пяти или девяти точках. В случае экрана дисплея, показанного на
рисунке 4, точки измерения выбирают от
P0 до
P4 или от
P0 до
P8 при пяти или девяти точках соответственно.
Примечание - P0 - P8 - точки измерения;
V - вертикаль, H - горизонталь
Рисунок 4 - Точки измерения
Неравномерность яркости в Pi, %, вычисляют по формуле
где отклонение яркости

, кд/м
2, вычисляют по формуле
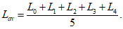
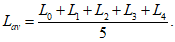
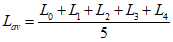
Среднюю яркость Lav, кд/м2, для пяти точек вычисляют по формуле
или среднюю яркость Lav, кд/м2, для девяти точек вычисляют по формуле
Результаты измерения должны регистрировать, как показано в таблице 1.
Таблица 1
Пример измерения неравномерности яркости
Точка измерения | Яркость Li, кд/м2 | Неравномерность яркости  , % |
P0 | 110 | +1,6 |
P1 | 107 | -1,1 |
P2 | 109 | +0,7 |
P3 | 106 | -2,1 |
P4 | 104 | -3,9 |
P5 | 111 | +2,6 |
P6 | 113 | +4,4 |
P7 | 105 | -3,0 |
P8 | 109 | +0,7 |
Средняя яркость Lav: 108 кд/м2. |
6.3 Метод измерения степени контрастности изображения в темном помещении
6.3.1 Цель
Целью настоящего метода является измерение степени контрастности изображения модуля PDP в темном помещении.
6.3.2 Измерительное оборудование
Используют следующее оборудование:
a) источник мощности запуска (возбуждения);
b) оборудование для формирования сигнала запуска;
c) устройство измерения света/фотометр.
6.3.3 Измерение
6.3.3.1 Общие установки
Модуль PDP должен быть установлен в темной комнате при стандартных условиях измерения. Схема измерения приведена на
рисунке 1.
6.3.3.2 Измерение яркости 4%-ного окна
На модуль PDP подают испытательный входной сигнал, отображающий 4%-ное окно
A0 с размером
H/5 x
V/5 (см.
рисунок 3), от оборудования, формирующего сигнал запуска. Устанавливают входной испытательный сигнал таким, чтобы получить максимальную яркость (100%) в 4%-ном окне и минимальную яркость (0%, черный экран) на оставшейся части экрана. Следует измерить яркость 4%-ного окна
LDR0,04 в центре белого окна.
6.3.3.3 Измерение минимальной яркости
На модуль PDP подают от оборудования, формирующего сигнал запуска, испытательный входной сигнал, отображающий по одному каждое из четырех окон белого от
A1 до
A4, показанных на
рисунке 5. Испытательные входные сигналы устанавливают такими, чтобы получить максимальную яркость (100%) в белом окне и минимальную яркость (0%, черный экран) на оставшейся части экрана. Измеряют яркость
LDRimin (где
i меняется от 1 до 4) в "позиции измерения яркости"
P0, указанной на рисунке 5 (та же позиция, что и на
рисунке 3), когда
Ai (где
i меняется от 1 до 4) светится с максимальной яркостью. Минимальную яркость
LDRmin, кд/м
2, вычисляют по формуле
Примечание - В данный момент времени светится одно окно.
Рисунок 5 - Схема измерения минимальной яркости
Если приведенные выше четыре результата измерения LDRimin (где i меняется от 1 до 4) достаточно однородны (отклонения менее 5%), допускается измерять только одну яркость (например, LDR1min) в качестве минимальной яркости LDRmin. В этом случае шаблон измеренного изображения должен быть приведен в протоколе испытания.
Если побочное свечение от A1 до A4 влияет на измерение минимальной яркости, следует использовать черный экран.
6.3.3.4 Процедура определения степени контрастности в темном помещении
Степень контрастности в темном помещении DRCR вычисляют по формуле
DRCR = LDR0,04/LDRmin.
6.4 Метод измерения степени контрастности изображения 100/70 в освещенном помещении
6.4.1 Общие положения
Степень контрастности изображения 100/70 в освещенном помещении (BRCR-100/70) - это величина, установленная при условии, что освещенность вертикальной плоскости составляет 100 лк, а горизонтальной - 70 лк.
6.4.2 Цель
Целью настоящего метода является измерение степени контрастности изображения 100/70 модуля PDP в освещенном помещении.
6.4.3 Измерительное оборудование
Должно быть использовано следующее оборудование:
a) источник мощности запуска (возбуждения);
b) оборудование для формирования сигнала запуска;
c) устройство измерения света/фотометр.
6.4.4 Измерение
6.4.4.1 Общие установки
Модуль PDP должен быть установлен в освещенной комнате при стандартных условиях измерения. Схема измерения приведена на
рисунках 1 и
2.
6.4.4.2 Измерение яркости в 4%-ном окне
На модуль PDP подают испытательный входной сигнал, отображающий 4%-ное окно
A0 с размером
H/5 x
V/5 (см.
рисунок 3), от оборудования, формирующего сигнал запуска. Входной испытательный сигнал устанавливают таким, чтобы получить максимальную яркость (100%) в 4%-ном окне и минимальную яркость (0%, черный экран) на оставшейся части экрана.
Следует измерить яркость 4%-ного окна LBR0,04 в центре белого окна.
6.4.4.3 Измерение минимальной яркости
На модуль PDP подают от оборудования, формирующего сигнал запуска, испытательный входной сигнал, отображающий по одному каждое из четырех окон белого (от
A1 до
A4) с размером
H/5 x
V/5, показанных на
рисунке 5. Испытательные входные сигналы устанавливают такими, чтобы получить максимальную яркость (100%) в белом окне и минимальную яркость (0%, черный экран) на оставшейся части экрана. Измеряют яркость
LBRimin (где
i меняется от 1 до 4) в "позиции измерения яркости"
P0, указанной на
рисунке 5 (та же позиция, что и на
рисунке 3), когда
Ai (где
i меняется от 1 до 4) светится с максимальной яркостью. Минимальную яркость
LBRmin, кд/м
2, вычисляют по формуле
Если приведенные выше четыре результата измерения LBRimin (где i меняется от 1 до 4) достаточно однородны (отклонения менее 5%), допускается измерять только одну яркость (например, LBR1min) в качестве минимальной яркости LBRmin. В этом случае шаблон измеренного изображения должен быть приведен в протоколе испытания.
6.4.4.4 Процедура определения степени контрастности изображения 100/70 в освещенном помещении
Степень контрастности изображения 100/70 в освещенном помещении BRCR-100/70 вычисляют по формуле
BRCR-100/70 = LBR0,04/LBRmin.
В протоколе испытаний должно быть указано об отсутствии люминесцентной лампы дневного света в виде прямых трубок с индексом цветопередачи AAA (JIS Z 9112-1990 типа N-EDL) и использовании в качестве источника освещенности лампы другого типа и приведена подробная информация относительно используемой лампы.
6.5 Метод измерения цветности белого и однородности/равноконтрастности цветности
6.5.1 Цель
Целью настоящего метода является измерение цветности белого и однородности/равноконтрастности цветности (определяемой как отклонение цветности) поверхности дисплея модуля PDP.
6.5.2 Измерительное оборудование
Должно быть использовано следующее оборудование:
a) источник мощности запуска (возбуждения);
b) оборудование для формирования сигнала запуска;
c) устройство измерения света/фотометр.
6.5.3 Измерение
Модуль PDP должен быть установлен в темной комнате при стандартных условиях измерения. Схема измерения приведена на
рисунке 1. На модуль PDP подают полноэкранный сигнал белого с уровнем 100% и измеряют цветность белого
C(
x,
y) в указанных точках измерения на экране дисплея. Параметры
x и
y являются координатами цветности МКО 1931, указанные в МКО 15. Измерение проводят в одной точке (только при измерении цветности белого), в пяти или девяти точках. В случае экрана дисплея, показанного на
рисунке 4, точки измерения выбирают
P0, от
P0 до
P4 или от
P0 до
P8 при одной точке, пяти или девяти точках соответственно. Цветность белого, измеренную в
Pi, определяют как
Ci(
xi,
yi). Когда каждая цветность белого, соответствующая
P0,
P1, ...,
P8, составляет
C0(
x0,
y0),
C1(
x1,
y1), ...,
C8(
x8,
y8), каждое отклонение цветности

,

будет задано формулами:
где i меняется от 1 до 8.
Измеренные результаты должны быть зарегистрированы, как указано в
таблице 2.
Примечание - Допускается использование следующего отклонения цветности

,

в каждой точке измерения
Pi после преобразования координат цветности
x,
y в координаты
u',
v'.
где i меняется от 1 до 8. Координаты u' и v' - это координаты равноконтрастного цветового графика МКО 1976, приведенного в документе МКО 15, где u' = 4x/(3 - 2x + 12y), v' = 9y/(3 - 2x + 12y).
Таблица 2
Пример измерения цветности
Точка измерения | xi | | yi | |
P0 | 0,282 | 0,000 | 0,282 | 0,000 |
P1 | 0,280 | -0,002 | 0,283 | +0,001 |
P2 | 0,278 | -0,004 | 0,280 | -0,002 |
P3 | 0,279 | -0,003 | 0,285 | +0,003 |
P4 | 0,282 | 0,000 | 0,283 | +0,001 |
P5 | 0,277 | -0,005 | 0,279 | -0,003 |
P6 | 0,274 | -0,008 | 0,276 | -0,006 |
P7 | 0,283 | +0,001 | 0,282 | 0,000 |
P8 | 0,280 | -0,002 | 0,285 | +0,003 |
6.6 Метод измерения цветовой гаммы
6.6.1 Цель
Целью настоящего метода является измерение цветовой гаммы модуля PDP.
6.6.2 Измерительное оборудование
Должно быть использовано следующее оборудование:
a) источник мощности запуска (возбуждения);
b) оборудование для формирования сигнала запуска;
c) устройство измерения света/фотометр.
6.6.3 Измерение
Модуль PDP должен быть установлен в темной комнате при стандартных условиях измерения. Схема измерения приведена на
рисунке 1. На модуль PDP подают сигналы 4%-ного окна (
H/5 x
V/5) с 100%-ным уровнем, соответствующие сигналу яркости R (красный), G (зеленый) и B (синий) (см.
рисунок 3). Следует подать сигнал R и затем измерить координаты цветности по МКО 1931 (
xR,
yR) (см. МКО 15) в центре окна. Аналогичным образом следует измерить координаты цветности (
xG,
yG) для сигнала G и координаты цветности (
xB,
yB) для сигнала B. Следует соединить прямыми линиями три точки (
xR,
yR), (
xG,
yG) и (
xB,
yB) на графике цветности. Пример результатов измерения показан на
рисунке 6.
Примечание - Допускается использование следующих координат цветности u', v' из равноконтрастного цветового графика МКО 1976 (см. МКО 15), преобразованных из координат цветности x, y, задаваемых как:
u' = 4x/(3 - 2x + 12y) v' = 9y/(3 - 2x + 12y)
Рисунок 6 - Пример измерения цветовой гаммы
6.7 Метод измерения мощности потребления и потребляемого тока модуля
6.7.1 Цель
Целью настоящего метода является измерение мощности потребления и потребляемого тока модуля PDP.
6.7.2 Измерительное оборудование
Должно быть использовано следующее оборудование:
a) источник мощности запуска (возбуждения);
b) оборудование для формирования сигнала запуска;
c) вольтметр переменного тока;
d) измеритель мощности переменного тока/ваттметр;
e) амперметр постоянного тока;
f) вольтметр постоянного тока;
g) любое другое оборудование, необходимое для измерения максимальной мощности.
Тип или номер модели вольтметра переменного тока, ваттметра переменного тока, амперметра постоянного тока и вольтметра постоянного тока, используемых для измерения, следует регистрировать в протоколе измерения с указанием подробной информации о любом оборудовании, необходимом для измерения максимальной мощности.
6.7.3 Измерение
6.7.3.1 Общие положения
Модуль PDP должен быть установлен в стандартных испытательных условиях. Мощность, подаваемая на модуль, должна быть измерена следующим образом (в качестве примера см.
рисунок 7). Измеряют мощность как переменного, так и постоянного тока, которые подаются на модуль от внешних источников питания. Регистрируют значения напряжения, тока и мощности и предполагаемое использование мощности (для примера см.
таблицы 3 и
4) для каждого из источников питания. Сумму мощностей, поставляемых источниками питания, принимают в качестве полной потребляемой мощности модуля. Напряжение, подаваемое на каждую схему, должно быть стандартным напряжением, установленным в соответствующей спецификации.
Рисунок 7 - Пример схемы измерения мощности и тока
Таблица 3
Пример измерений мощности и тока
(для модуля с входным сигналом переменного тока)
при отображении полноэкранного белого
Номер | Источники питания | Напряжение, В | Ток, А | Мощность, Вт | Примечания |
1 | Система переменного тока 100 В | 112,5 | - | P1 | 50 Гц |
2 | Система постоянного тока 5 В | 5,10 | 3,13 | P2 (5,10 x 3,13) | Обработка сигнала и т.п. |
3 | | E3 | I3 | P3 (E3 x I3) | |
| | | | | |
Итог | Полная потребляемая мощность Pm | - | - | P1 + P2 + P3 + ... + ... | |
Таблица 4
Пример измерений мощности и тока (для модуля
только с входными сигналами постоянного тока)
при отображении полноэкранного белого
Номер | Источники питания | Напряжение, В | Ток, А | Мощность, Вт | Примечания |
1 | Система 160 В | 161 | 1,53 | P1 (161 x 1,53) | Горение |
2 | Система 70 В | 71,0 | 1,13 | P2 (71,0 x 1,13) | Адресация, плавающая |
3 | Система 40 В | E3 | I3 | P3 (E3 x I3) | Адресное/информационное смещение |
| | | | | |
Итог | Полная потребляемая мощность Pm | - | - | P1 + P2 + P3 + ... + ... | |
6.7.3.2 Измерение мощности и тока при полноэкранном отображении белого
Для получения полноэкранного белого изображения необходимо подать на все пиксели модуля PDP входной сигнал белого с уровнем 100%. Измерения проводят после стабилизации токов и напряжений.
6.7.3.3 Измерение мощности и тока при полноэкранном отображении черного
Для получения полноэкранного черного изображения необходимо подать на все пиксели модуля PDP входной сигнал черного с уровнем 0%. Измерения проводят после стабилизации токов и напряжений.
6.7.3.4 Измерение максимальной мощности потребления и максимального потребляемого тока
Если из-за конструкции модуля сигнал отображения, отражающий максимальную мощность потребления, отличается от указанного выше полноэкранного отображения белого, измерения следует проводить при условиях, когда мощность потребления максимальна. Условия максимальной мощности потребления и суть метода измерения должны указывать в каждой спецификации (перечне технических требований).
Так как максимальная мощность потребления модулем PDP будет меняться в соответствии с конструкцией схем защиты и ограничения мощности модуля и т.п., изображение, отображаемое при максимальной мощности потребления, также будет меняться. В модуль PDP обычно входят схемы, которые при отображении фиксированного изображения постепенно уменьшают яркость дисплея и, следовательно, мощность потребления, а это означает, что максимальную мощность потребления невозможно измерить в достаточно стабильных условиях. Поэтому измерения должны выполнять в условиях, при которых обеспечена максимальная мощность потребления при данной конструкции модуля. Следует принять оптимальный метод измерения при заданной конструкции модуля, и используемый метод необходимо указать в каждой спецификации (технических требованиях).
6.8 Метод измерения мощности потребления модуля с использованием видеосигнала
6.8.1 Общие положения
Целью настоящего метода является измерение средней мощности потребления модуля с использованием видеосигнала. Этот метод является модифицированным для измерения модуля методом "Мощности потребления в режиме включения (по среднему)" для телевизионного приемника, установленного в МЭК 62087.
6.8.2 Измерительное оборудование
Должно быть использовано указанное ниже оборудование. Измерительное оборудование переменного тока, указанное в
e) и
f), используют, когда некоторые или все источники питания встроены в модуль и модуль получает питание по переменному току. Если все источники питания модуля являются источниками по постоянному току, следует проводить только измерения постоянного тока. В состав оборудования входят:
a) источник мощности запуска (возбуждения);
b) оборудование видеосигнала:
b-1) устройство воспроизведения видеосигнала (например, DVD-плеер),
b-2) карта обработки изображения (если требуется, см.
6.8.4), и т.д.;
c) амперметр постоянного тока (включая интегрирующее устройство);
d) вольтметр постоянного тока;
e) счетчик электроэнергии переменного тока;
f) вольтметр переменного тока.
6.8.3 Подаваемый цифровой видеосигнал
Необходимо подавать динамический видеосигнал с вещательным контентом, установленный в МЭК 62087. Видеосигнал должен генерироваться устройством воспроизведения видеосигнала (например, DVD-плеером). Для измерения используют цифровой видеосигнал. Если цифровой видеосигнал не отвечает установленным требованиям, можно использовать аналоговый видеосигнал. Подробная характеристика аналогового видеосигнала должна быть указана в соответствующих спецификациях (технических требованиях), а уровни видеосигнала должны быть откалиброваны до соответствующих уровней.
Примечание - Время воспроизведения динамического видеосигнала с вещательным контентом составляет 10 мин. В конце воспроизведения видеосигнала его повторяют с момента старта при продолжении прогревания или измерения.
6.8.4 Карта обработки изображения
В случае модуля PDP с картой обработки изображения входными сигналами этой карты должны быть видеосигналы. В случае модуля PDP без карты обработки изображения следует использовать такую карту, характеристики которой, особенно гамма y, должны быть определены в соответствующих спецификациях (технических требованиях), или необходимо использовать карту обработки изображения, поставляемую производителем устройства.
Если в карте обработки изображения есть функция выбора видеорежима (четкий/динамический, стандартный, "театр" и т.п.), следует установить функцию в четкий/динамический или стандартный режим, как установлено в соответствующих спецификациях (технических требованиях), и указать выбор режима в протоколе испытания. Подробная информация о выбранном режиме должна быть установлена в соответствующих спецификациях.
Примечание - Режим четкий/динамический относится к режиму яркости модуля.
6.8.5 Измерение
6.8.5.1 Общие установки
Модуль PDP должен находиться в стандартных условиях измерения. Выбор видеорежима, указанный в
6.8.4, производят согласно соответствующим спецификациям (техническим требованиям).
Модуль PDP необходимо установить в режим "размер экрана" так, чтобы активная площадь входного видеосигнала заполняла весь экран.
Мощность, подаваемую на модуль, должны измерять, как показано на
рисунке 7. Используют амперметр(ы) постоянного тока с интегрирующим устройством, а ваттметр(ы) переменного тока заменяют счетчиком(ами) электроэнергии переменного тока. Для каждого источника питания необходимо зарегистрировать значения напряжения и средней мощности и предполагаемое использование средней мощности (пример - см. таблицу 5). Сумма средних мощностей, обеспечиваемых источниками питания, является мощностью потребления модуля при использовании видеосигнала.
Таблица 5
Пример результатов измерения мощности потребления модуля
при использовании видеосигнала в стандартном режиме
Номер | Источники питания | Напряжение, В | Интегральный ток, А·ч | Интегральная мощность, Вт·ч | Средняя мощность <1> модуля, Вт | Примечания |
1 | Система переменного тока 100 В | 112,5 | - | W1 | W1·60/10 | 50 Гц |
2 | Система постоянного тока 5 В | 5,01 | 0,522 | W2 (5,01·0,522) | W2·60/10 | Обработка последовательности и т.п. |
3 | | E3 | Q3 | W3 (E3·Q3) | W3·60/10 | |
| | | | | | |
Итог | Потребляемая мощность модуля при использовании видеосигнала: Pvideo | Pvideo = (W1 + W2 + W3 + ... + ...)·60/10 |
Примечание - Карта обработки изображения отсутствует. Используемая карта изображения: ## <1> Так как время воспроизведения равно 10 мин, потребляемая мощность модуля при использовании видеосигнала составляет шесть (60/10) интегральных мощностей ( W1 + W2 + W3 + ... + ...). |
Напряжение, подаваемое на каждую схему, должно быть стандартным напряжением, указанным в соответствующих спецификациях (технических требованиях).
6.8.5.2 Режим прогревания модуля PDP
Измерения следует проводить после выхода модуля PDP в стабильный режим работы по мощности потребления с учетом следующего:
a) измерения должны проводиться по окончании временной выдержки модуля, состоящей из периода не менее 1 ч в выключенном состоянии или в режиме отсоединения от сети и сразу следующим периодом не менее 1 ч во включенном режиме, и должны быть завершены до истечения не более 3 ч нахождения модуля во включенном режиме;
b) динамический видеосигнал с вещательным контентом должен отображаться в течение всего периода режима включения;
c) для модулей PDP, которые входят в стабильный режим в течение 1 ч, эти интервалы времени можно сократить при условии, что можно показать, что результаты измерений будут в пределах 2% от результатов, которые могут быть получены при указанных выше интервалах времени.
6.8.5.3 Процедура измерения
Следует подать видеосигнал с вещательным контентом, включить модуль PDP и отобразить видеосигнал. После достижения модулем PDP стабильного режима проводят измерение мощности в течение 10 мин. Следует измерить интегральную мощность всей программы видео данного сигнала. При условии, когда есть предварительное подтверждение, что значения потребляемой мощности первого воспроизведения аналогичны значениям второго воспроизведения (в пределах допускаемого отклонения 2%), измерения можно проводить при первом воспроизведении.
Потребляемая мощность модуля при использовании видеосигнала Pvideo определяется как частное от деления суммарной добавки интегральной мощности за все время воспроизведения сигнала на время воспроизведения.
6.9 Метод измерения световой отдачи модуля
6.9.1 Цель
Целью настоящего метода является измерение световой отдачи модуля плазменного дисплея.
6.9.2 Измерительное оборудование
Должно быть использовано указанное ниже оборудование. Измерительное оборудование переменного тока, указанное в
f) и
g), используют, когда некоторые или все источники питания встроены в модуль и снабжаются переменным током. Если все источники питания модуля являются источниками постоянного тока, следует проводить только измерения постоянного тока. В состав оборудования входят:
a) источник мощности запуска (возбуждения);
b) оборудование, формирующее сигнал запуска;
c) устройство измерения света/фотометр;
d) амперметр постоянного тока;
e) вольтметр постоянного тока;
f) ваттметр переменного тока;
g) вольтметр переменного тока.
6.9.3 Измерение
6.9.3.1 Условия измерения
Модуль PDP не должен содержать в своем составе фронтальный светофильтр с эффектом селективного пропускания. Если панель имеет встроенный фильтр, это должно быть четко указано. Модуль PDP должен быть установлен в стандартные режимы/условия измерения и помещен в темную комнату. Схема измерения показана на
рисунке 1. На все пиксели модуля PDP следует подать входной сигнал белого с уровнем 100%.
6.9.3.2 Точки измерения яркости и цветности
Яркость измеряют в пяти или девяти точках измерения. При пяти точках измерения проводят в точках от
P0 до
P4, показанных на экране дисплея на
рисунке 4. При использовании девяти точек измерения проводят в точках от
P0 до
P8. Цветность
C0(
x0,
y0) измеряют в точке
P0.
Среднюю яркость Lav, кд/м2, вычисляют по следующим формулам, где яркость в точке Pi (i меняется от 0 до 4 или от 0 до 8) равна Li.
При измерениях в пяти точках:
При измерениях в девяти точках:
6.9.3.3 Измерение потребляемой мощности модуля
Следует измерять как мощность переменного тока, подаваемую на встроенный источник питания, предусмотренный спецификацией модуля, так и мощность, подаваемую от внешних источников питания постоянного тока, как показано на примере, приведенном на
рисунке 7. Для каждого источника питания необходимо зарегистрировать значения напряжения, тока и мощности и предполагаемое использование мощности (для примера см.
таблицы 3 и
4). Сумму мощностей, поставляемых внешними источниками питания, берут в качестве полной потребляемой мощности модуля. Напряжение, подаваемое на каждую схему, должно быть стандартным напряжением, указанным в спецификации (технических требованиях).
6.9.3.4 Расчет световой отдачи модуля
Световую отдачу модуля

, лм/Вт, плазменного дисплея вычисляют по формуле
где Lav - яркость без фронтального светофильтра на эффекте селективного пропускания, кд/м2;
S - площадь излучающей части, м2;
Pm - потребляемая мощность модуля, Вт.
6.9.3.5 Регистрация результатов измерений
В протокол измерений необходимо внести следующие позиции:
a) яркость и цветность во время измерений световой отдачи модуля;
b) мощность потребления каждого источника питания во время измерений световой отдачи модуля.
6.10 Метод измерения световой отдачи панели
6.10.1 Цель
Целью настоящего метода является измерение полноэкранной световой отдачи панели и световой отдачи панели 4%-ного окна плазменной дисплейной панели.
Примечание - В световой отдаче панели учитывают эффекты газового разряда, люминофор и потери в электрической линии панели. В ней не учитывают потери мощности в схеме поддержания горения.
6.10.2 Измерительное оборудование
6.10.2.1 Общие положения
Должно быть использовано указанное ниже оборудование:
a) источник мощности запуска (возбуждения);
b) оборудование, формирующее сигнал запуска;
c) драйверы горения (-
x и -
y);
d) вольтметр постоянного тока;
e) амперметр постоянного тока;
f) устройство измерения света/фотометр;
g) осциллограф;
h) любое другое необходимое оборудование.
На
рисунке 8 представлена примерная схема системы измерения мощности горения.
Рисунок 8 - Схема системы измерения
мощности запуска (горения)
6.10.2.2 Использование устройства проверки панели
Вместо оборудования, указанного в
b) и
c), можно использовать устройство проверки панели с последующим использованием генератора испытательных сигналов. Устройство проверки имеет такие же эквивалентные электрические схемы, как и модуль, и должно работать так же, как модуль.
6.10.2.3 Использование модуля PDP
Световую отдачу панели, собранной в модуле PDP, измеряют путем наблюдения тока и напряжения, подаваемых на драйверы горения модуля. Если в модуле нет источника питания постоянного тока, следует использовать соответствующий внешний источник питания постоянного тока. Если источник питания постоянного тока в модуле не подходит для измерения, следует использовать соответствующий внешний источник питания постоянного тока. При необходимости модуль следует перекомпоновать (доработать) для наблюдения тока и напряжения. При необходимости в модуле используют дополнительное устройство управления или дополнительную программу управления для поддержания условия запуска горения при фиксированной структуре субполя, когда меняется испытательный сигнал дисплея, например, с полноэкранного белого до полноэкранного черного.
6.10.3 Режимы панели
Плазменная дисплейная панель не должна содержать фронтального светофильтра на эффекте селективного пропускания. При наличии на панели встроенного фильтра это должно быть четко указано.
Все электроды горения имеют электрическое соединение с драйвером(ами) горения x, а все сканирующие электроды имеют электрическое соединение с драйвером(ами) горения y. Все адресные (информационные) электроды должны находиться под постоянным импульсным или неимпульсным напряжением. Это можно обеспечить за счет заземления всех адресных (информационных) электродов данных или подключения их к адресным (информационным) драйверам. Способ подключения и форма сигнала напряжения адресных (информационных) электродов должны быть указаны в протоколе испытания.
6.10.4 Форма сигнала запуска
Драйверы горения генерируют импульсную форму сигнала напряжения горения, которая должна быть аналогична форме сигнала в модуле PDP. Для уменьшения яркости панели и суммарной мощности до уровня реального модуля следует подавать пачку импульсов горения с помощью оборудования, формирующего сигнал запуска, как показано на
рисунке 9, где частота следования пачек импульсов горения должна быть 50 Гц или выше. Оборудование, формирующее сигнал запуска, генерирует частоту горения, коэффициент заполнения пачки импульсов и частоту следования пачки импульсов, как показано на
рисунке 9.
Примечания
1 Если форма сигнала влияет на световую отдачу панели, должна быть приведена подробная информация о форме сигнала.
2 Коэффициент пачки импульсов - это длительность пачки импульсов и длительность цикла.
Рисунок 9 - Система запуска и форма сигнала
При использовании устройства проверки панели его переменные параметры должны быть установлены в значения, принятые на практике или на предварительно установленные значения, указанные в соответствующих спецификациях (технических требованиях), а форма сигнала запуска должна быть аналогичной форме сигнала в модуле.
При использовании модуля его переменные параметры должны быть установлены в значения, принятые на практике или на предварительно установленные значения, указанные в соответствующих спецификациях (технических требованиях).
Параметры сигнала импульса горения должны быть измерены и зарегистрированы в протоколе испытаний. В протоколе испытаний должны быть указаны частота горения (цикл горения), скорость и частота следования пачек импульсов. При использовании другой формы сигнала это необходимо указать в протоколе испытаний. При использовании модуля PDP или устройства проверки панели соответствующие значения должны быть указаны в протоколе испытаний.
6.10.5 Используемые испытательные сигналы дисплея
Должны быть выбраны следующие испытательные сигналы для дисплея:
a) полноэкранный белый;
c) полноэкранный черный.
6.10.6 Измерение
6.10.6.1 Общие установки
Плазменная дисплейная панель должна быть установлена в стандартные режимы/условия измерения и размещена в темной комнате. Схема измерения приведена на
рисунке 1, где вместо модуля PDP установлена панель. Электронные схемы запуска и устройства измерения мощности установлены согласно
рисунку 8.
При использовании устройства проверки панели вместо модуля на устройство проверки должна быть установлена плазменная дисплейная панель.
При использовании модуля PDP он должен быть установлен в положение, указанное на
рисунке 1.
6.10.6.2 Точки измерения яркости и цветности
6.10.6.2.1 Точки измерения на полноэкранном отображении белого
Яркость измеряют в пяти или девяти точках измерения. При пяти точках измерения проводят в точках от
P0 до
P4, показанных на экране дисплея на
рисунке 4. При использовании девяти точек измерения проводят в точках от
P0 до
P8. Цветность
C0(
x0,
y0) измеряют в точке
P0.
Среднюю яркость Lav, кд/м2, вычисляют с использованием следующих формул, где яркость в точке Pi (i меняется от 0 до 4 или от 0 до 8) равна Li.
При измерениях в пяти точках:
При измерениях в девяти точках:
6.10.6.2.2 Точка измерения 4%-ного окна белого
Яркость L0 и цветность C0(x0, y0) измеряют в центре 4%-ного окна.
6.10.6.3 Измерение во включенном состоянии (ВКЛ)
Следует установить испытательный сигнал на полноэкранный белый или 4%-ное белое окно. Затем необходимо установить частоту горения, частоту следования пачек импульсов и коэффициент заполнения пачек импульсов в соответствии со спецификацией (техническими требованиями) или на подходящие значения для обеспечения необходимой яркости при каждом испытательном сигнале.
Необходимо подать сигнал запуска с входным уровнем 0 В постоянного тока от источника мощности запуска (возбуждения). Следует увеличить напряжение постоянного тока до уровня, когда последняя ячейка начнет излучать свет (дефектные ячейки не учитывают). Если мощность потребления, особенно драйверов горения, превышает их предел, следует уменьшить коэффициент заполнения пачки импульсов, чтобы мощность потребления вошла в пределы диапазона. Необходимо уменьшить напряжение постоянного тока до уровня, указанного в соответствующих спецификациях (технических требованиях), который должен быть таким же, как напряжение, подаваемое на модуль. При подаче сигнала с уменьшенным коэффициентом заполнения пачки импульсов необходимо вернуть его на указанное значение. Когда наблюдаемый ток стабилизируется, необходимо измерить и зарегистрировать яркость в указанных точках экрана, цветность - в центре экрана, а также ток и напряжение, подаваемые на драйверы горения.
При использовании модуля PDP или устройства проверки панели необходимо ввести полноэкранный сигнал белого с уровнем 100% или сигнал 4%-ного белого окна с уровнем 100% в окружении черного экрана с уровнем 0%. Когда наблюдаемый ток стабилизируется, необходимо измерить и зарегистрировать яркость в указанных точках экрана, цветность - в центре экрана или в центре 4%-ного окна, а также ток и напряжение, подаваемые на драйвер(ы) горения, пока яркость адресации достаточно мала и не учитывается.
6.10.6.4 Измерение в выключенном состоянии (ВЫКЛ)
После измерения в включенном состоянии, напряжение уменьшают до значения, когда все ячейки перестают испускать свет. Затем необходимо снова увеличить напряжение до такого уровня, при котором проводят измерения во включенном состоянии. Необходимо убедиться в том, что ни одна из ячеек не излучает свет (нет ячейки с разрядом), и провести измерение тока и напряжения. Если какие-либо ячейки (включая дефектные) находятся в состоянии разряда, измерение необходимо провести еще раз, начиная со старта измерения в выключенном состоянии. Если при этом измерении в выключенном состоянии не удается избежать наличия какой-либо ячейки с разрядом, необходимо еще раз повторить измерение со старта измерения во включенном состоянии (см.
6.10.6.3) при сниженном рабочем напряжении.
При использовании модуля PDP или устройства проверки панели необходимо ввести полноэкранный сигнал черного с уровнем 0%. Необходимо убедиться в том, что ни одна из ячеек не излучает свет (отсутствуют ячейки с разрядом), и провести измерение тока и напряжения, поступающих на драйвер(ы) горения, когда структура субполя, особенно количество импульсов горения и напряжение горения, должна сохранять свои значения, соответствующие значениям при измерении во включенном состоянии. При наличии автоматического управления мощностью модуля/устройства проверки для обеспечения измерения истинного значения автоматическое управление мощностью необходимо отключить. Если это невозможно, необходимо использовать дополнительное устройство управления или дополнительную программу управления, чтобы сохранить условие запуска горения при определенном фиксированном напряжении запуска и фиксированной структуре субполя, когда меняется испытательный сигнал дисплея.
6.10.6.5 Расчет световой отдачи панели
Световую отдачу панели при полном экране

, лм/Вт, и световую отдачу панели в 4%-ном окне

, лм/Вт, вычисляют по следующим формулам:
где S - площадь экрана панели, м;
P - потребляемая мощность при излучении, Вт, т.е. разность между мощностью горения при белом PsusW и мощностью горения при черном PsusB;
P = PsusW - PsusB,
Lav - средняя яркость панели, кд/м2
и
где S0,04 - площадь 4%-ного окна панели, м2, которая должна измеряться фактически;
P - потребляемая мощность при излучении, Вт, т.е. разность между мощностью горения при 4%-ном окне белого Psus0,04 и мощностью горения при полноэкранном черном PsusB;
P = Psus0,04 - PsusB,
L0,04 - яркость 4%-ного белого окна, кд/м2.
6.10.6.6 Регистрация результатов измерений
В протокол измерений необходимо внести следующие позиции:
a) световую отдачу панели

и/или

;
b) яркость и цветность во время измерений световой отдачи панели;
c) мощность потребления источника мощности запуска горения во время измерений световой отдачи панели;
d) использование встроенного фильтра и его спектральная прозрачность при наличии в панели;
e) напряжение горения;
f) форма импульсов горения, частота горения (цикл горения), скорость и частота следования пачек импульсов. Следует использовать фотокопии или распечатки их формы с осциллографа;
g) использование устройства проверки панели/модуля PDP.
(справочное)
ПЕРЕКРЕСТНЫЕ ССЫЛКИ МЕЖДУ ПРЕДЫДУЩИМИ РЕДАКЦИЯМИ
МЭК 61988-2-1:2002, МЭК 61988-2-2:2003
И НАСТОЯЩИМ СТАНДАРТОМ
А.1 Предыдущие редакции МЭК 61988-2-1:2002 и МЭК 61988-2-2:2003
Настоящий стандарт является пересмотренной редакцией МЭК 61988-2-1:2002 и МЭК 61988-2-2:2003 с добавлением двух новых разделов, касающихся измерений:
a) МЭК 61988-2-1 Плазменные дисплейные панели. Часть 2-1. Методы измерения. Оптические;
b) МЭК 61988-2-2 Плазменные дисплейные панели. Часть 2-2. Методы измерения. Оптоэлектрические;
c) дополнительные разделы, относящиеся к измерениям:
1) метод измерения потребляемой мощности модуля при использовании видеосигнала;
2) метод измерения светоотдачи панели.
А.2 Таблица перекрестных ссылок по разделам
В таблице А.1 отражено соответствие разделов настоящего стандарта и предыдущих редакций стандарта.
Таблица А.1
Перекрестные ссылки на разделы
Разделы настоящего стандарта | МЭК 61988-2-1:2002 | МЭК 61988-2-2:2003 |
Раздел | Наименование | Раздел | Наименование |
| 1 | Область применения | 1 | Область применения |
| 2 | Нормативные ссылки | 2 | Нормативные ссылки |
| 3 | Определение терминов | 3 | Определения |
| 4 | Состав измерительного оборудования | 4 | Состав измерительного оборудования |
| 5 | Стандартные условия измерений | 5 | Стандартные условия измерений |
| 5.1 | Стандартные условия окружающей среды при измерениях | 5.1 | Условия окружающей среды |
| 5.2 | Стандартные условия освещения | 5.2 | Условия освещения |
| 5.2.1 | Условие темного помещения | 5.2.1 | Условия темного помещения |
| - | - | 5.2.2 | Условия освещенного помещения |
| 5.3 | Стандартные установочные условия | 5.3 | Установочные условия |
| 5.3.1 | Настройка модулей цветного плазменного дисплея | 5.3.1 | Настройка модулей цветного плазменного дисплея |
| 5.3.2 | Стартовые условия измерений | 5.3.2 | Режим прогревания модуля цветного плазменного дисплея |
| 5.3.3 | Режимы измерительного оборудования | 5.3.3 | Режимы измерительного оборудования |
| 6 | Методы измерений | 6 | Методы измерений |
| 6.1 | Методы измерения яркости 4%-ного окна | - | - |
| 6.2 | Метод измерения равномерности яркости | - | - |
| 6.3 | Метод измерения степени контрастности | - | - |
| 6.4 | Метод измерения цветности белого и равномерности цветности | - | - |
| 6.5 | Метод измерения цветовой гаммы в центральном прямоугольнике | - | - |
| - | - | 6.1 | Метод измерения степени контрастности 100/70 освещенного помещения |
| - | - | 6.2 | Методы измерения потребляемой мощности и потребляемого тока модуля |
| - | - | 6.3 | Метод измерения световой отдачи модуля |
| - | - | - | - |
| - | - | - | - |
(справочное)
СВЕДЕНИЯ О СООТВЕТСТВИИ ССЫЛОЧНЫХ МЕЖДУНАРОДНЫХ СТАНДАРТОВ
НАЦИОНАЛЬНЫМ СТАНДАРТАМ РОССИЙСКОЙ ФЕДЕРАЦИИ (И ДЕЙСТВУЮЩИМ
В ЭТОМ КАЧЕСТВЕ МЕЖГОСУДАРСТВЕННЫМ СТАНДАРТАМ)
Таблица ДА.1
Обозначение ссылочного международного стандарта и/или документа | Степень соответствия | Обозначение и наименование соответствующего национального стандарта |
МЭК 60068-1 | - | |
МЭК 60107-1 | - | |
МЭК 61988-1 | IDT | |
МЭК 62087 | IDT | ГОСТ Р МЭК 62087-2010 "Методы измерения потребляемой мощности аудио-, видео- и относящегося к ним оборудования" |
МКО 15:2004 | - | |
<*> Соответствующий национальный стандарт отсутствует. До его утверждения рекомендуется использовать перевод на русский язык данного международного стандарта. Перевод данного международного стандарта находится в Федеральном информационном фонде технических регламентов и стандартов. Примечание - В настоящей таблице использовано следующее условное обозначение степени соответствия стандартов: - IDT - идентичные стандарты. |
МЭК 61988-2-1 | Плазменные дисплейные панели - Часть 2-1. Методы измерения - Оптические |
(IEC 61988-2-1) | (Plasma display panel - Part 2: Measuring methods - Optical) |
МЭК 61988-2-2 | Плазменные дисплейные панели - Часть 2-2. Методы измерения - Оптоэлектрические |
(IEC 61988-2-2) | (Plasma display panel - Part 2: Measuring methods - Optoelectrical) |
МКО 44-1979 | Абсолютные методы измерения отражений |
(CIE 44-1979) | (Absolute methods for reflection measurements) |