Главная // Актуальные документы // ГОСТ Р (Государственный стандарт)СПРАВКА
Источник публикации
М.: Стандартинформ, 2016
Примечание к документу
Документ
введен в действие с 1 июня 2016 года.
Название документа
"ГОСТ Р МЭК 61603-8-1-2015. Национальный стандарт Российской Федерации. Передача аудио- и/или видео- и сопутствующих сигналов с использованием инфракрасного излучения. Часть 8-1. Цифровые аудиосигналы и сопутствующие сигналы"
(утв. и введен в действие Приказом Росстандарта от 15.06.2015 N 650-ст)
"ГОСТ Р МЭК 61603-8-1-2015. Национальный стандарт Российской Федерации. Передача аудио- и/или видео- и сопутствующих сигналов с использованием инфракрасного излучения. Часть 8-1. Цифровые аудиосигналы и сопутствующие сигналы"
(утв. и введен в действие Приказом Росстандарта от 15.06.2015 N 650-ст)
Утвержден и введен в действие
агентства по техническому
регулированию и метрологии
от 15 июня 2015 г. N 650-ст
НАЦИОНАЛЬНЫЙ СТАНДАРТ РОССИЙСКОЙ ФЕДЕРАЦИИ
ПЕРЕДАЧА АУДИО- И/ИЛИ ВИДЕО- И СОПУТСТВУЮЩИХ СИГНАЛОВ
С ИСПОЛЬЗОВАНИЕМ ИНФРАКРАСНОГО ИЗЛУЧЕНИЯ
ЧАСТЬ 8-1
ЦИФРОВЫЕ АУДИОСИГНАЛЫ И СОПУТСТВУЮЩИЕ СИГНАЛЫ
Transmission of audio and/or video
and related signals using infra-red radiation.
Part 8-1. Digital audio and related signals
IEC 61603-8-1:2003
Transmission of audio and/or video
and related signals using infra-red radiation -
Part 8-1: Digital audio and related signals
(IDT)
ГОСТ Р МЭК 61603-8-1-2015
Дата введения
1 июня 2016 года
1 ПОДГОТОВЛЕН Автономной некоммерческой организацией "Научно-технический центр сертификации электрооборудования" "ИСЭП" (АНО "НТЦСЭ "ИСЭП") на основе собственного аутентичного перевода на русский язык стандарта, указанного в
пункте 4
2 ВНЕСЕН Техническим комитетом по стандартизации ТК 452 "Безопасность аудио-, видео-, электронной аппаратуры, оборудования информационных технологий и телекоммуникационного оборудования"
3 УТВЕРЖДЕН И ВВЕДЕН В ДЕЙСТВИЕ
Приказом Федерального агентства по техническому регулированию и метрологии от 15 июня 2015 г. N 650-ст
4 Настоящий стандарт идентичен международному стандарту МЭК 61603-8-1:2003 "Передача аудио- и/или видео- и сопутствующих сигналов с использованием инфракрасного излучения. Часть 8-1. Цифровые аудиосигналы и сопутствующие сигналы" (IEC 61603-8-1:2003 "Transmission of audio and/or video and related signals using infra-red radiation - Part 8-1: Digital audio and related signals").
При применении настоящего стандарта рекомендуется использовать вместо ссылочных международных стандартов соответствующие им национальные стандарты Российской Федерации, сведения о которых приведены в дополнительном
приложении ДА
5 ВВЕДЕН ВПЕРВЫЕ
Правила применения настоящего стандарта установлены в ГОСТ Р 1.0-2012 (раздел 8). Информация об изменениях к настоящему стандарту публикуется в ежегодном (по состоянию на 1 января текущего года) информационном указателе "Национальные стандарты", а официальный текст изменений и поправок - в ежемесячном информационном указателе "Национальные стандарты". В случае пересмотра (замены) или отмены настоящего стандарта соответствующее уведомление будет опубликовано в ближайшем выпуске ежемесячного информационного указателя "Национальные стандарты". Соответствующая информация, уведомление и тексты размещаются также в информационной системе общего пользования - на официальном сайте Федерального агентства по техническому регулированию и метрологии в сети Интернет (www.gost.ru)
1) Международная электротехническая комиссия (МЭК) является международной организацией по стандартизации, объединяющей все национальные электротехнические комитеты (национальные комитеты МЭК). Задача МЭК - продвижение международного сотрудничества во всех вопросах, касающихся стандартизации в области электротехники и электроники. Результатом этой работы и в дополнение к другой деятельности МЭК является издание международных стандартов, технических требований, технических отчетов, публично доступных технических требований (PAS) и руководств (в дальнейшем именуемых "Публикации МЭК"). Их подготовка поручена техническим комитетам. Любой национальный комитет МЭК, заинтересованный в объекте рассмотрения, с которым имеет дело, может участвовать в предварительной работе. Международные, правительственные и неправительственные организации, сотрудничающие с МЭК, также принимают участие в этой подготовке. МЭК близко сотрудничает с Международной организацией по стандартизации (ИСО) в соответствии с условиями, определенными соглашением между этими двумя организациями.
2) В формальных решениях или соглашениях МЭК выражено положительное решение технических вопросов, практически на международном уровне консенсуса в соответствующих областях, так как у каждого технического комитета есть представители национальных комитетов МЭК.
3) Публикации МЭК принимаются национальными комитетами МЭК в качестве рекомендаций. Приложены максимальные усилия для того, чтобы гарантировать правильность технического содержания публикаций МЭК, однако МЭК не может отвечать за порядок их использования или за неверное толкование конечным пользователем.
4) В целях содействия международной гармонизации национальные комитеты МЭК обязуются применять публикации МЭК в их национальных и региональных публикациях с максимальной степенью приближения к исходным. Любые расхождения между любой публикацией МЭК и соответствующей национальной или региональной публикацией должно быть четко обозначено в последней.
5) МЭК не устанавливает процедуры маркировки знаком одобрения и не берет на себя ответственность за любое оборудование, о котором заявляют, что оно соответствует публикации МЭК.
6) Все пользователи должны быть уверены, что они используют последнее издание этой публикации.
7) МЭК или его директора, служащие или агенты, включая отдельных экспертов и членов его технических комитетов и национальных комитетов МЭК, не несут никакой ответственности и не отвечают за любые причиненные телесные повреждения, материальный ущерб или другое повреждение любой природы вообще, как прямое так и косвенное, или за затраты (включая юридические сборы) и расходы, проистекающие из использования публикации МЭК, или ее разделов, или другой публикации МЭК.
8) Следует обратить внимание на нормативные ссылки, указанные в настоящем стандарте. Использование ссылочных международных стандартов является обязательным для правильного применения настоящего стандарта.
9) Следует обратить внимание на то, что имеется вероятность того, что некоторые из элементов настоящего стандарта могут быть предметом патентного права. МЭК не несет ответственности за идентификацию любых таких патентных прав.
Настоящий стандарт подготовлен техническим подкомитетом 3 "Системы инфракрасного излучения и их применение" Технического комитета 100 "Аудио-, видео- и мультимедийные системы и оборудование".
Настоящий стандарт заменяет пункт 6.8.3 МЭК 61603-2.
Текст настоящего стандарта основан на следующих документах:
Окончательный проект международного стандарта | Отчет о голосовании |
100/628/FDIS | 100/706/RVD |
Полную информацию о голосовании по одобрению настоящего стандарта можно найти в приведенном выше отчете о голосовании.
Настоящий стандарт подготовлен в соответствии с Директивами ИСО/МЭК, часть 2.
По решению технического комитета, содержание настоящего стандарта будет актуальным до даты результата пересмотра, указанной на сайте IEC http://webstore.iec.ch, в отношении данных, связанных с настоящим стандартом. На эту дату стандарт будет:
- подтвержден;
- аннулирован;
- заменен пересмотренным изданием; или
- изменен.
Настоящий стандарт устанавливает характеристики и методы измерения систем передачи цифровых аудио сигналов, использующих инфракрасное излучение с поднесущей в частотных полосах от 3 до 6 МГц.
Настоящий стандарт описывает системы различного практического применения (использования), обеспечивающие минимальные помехи и максимальную совместимость в соответствии с их реальной пропускной способностью (шириной полосы пропускания).
Для применения настоящего стандарта необходимы следующие ссылочные документы. Для датированных ссылок применяется только указанное издание ссылочного документа, для недатированных ссылок применяют последнее издание ссылочного документа (включая все его изменения).
В настоящем стандарте использованы нормативные ссылки на следующие стандарты:
МЭК 60958-1 Интерфейс цифровой звуковой. Часть 1. Общие положения (IEC 60958-1, Digital audio interface - Part 1: General)
МЭК 60958-3 Интерфейс цифровой звуковой. Часть 3. Применение для бытовой аппаратуры (IEC 60958-3, Digital audio interface - Part 3: Consumer applications)
МЭК 60958-4 Интерфейс цифровой звуковой. Часть 4. Применение для профессиональной аппаратуры (IEC 60958-4, Digital audio interface - Part 3: Professional applications)
МЭК 61603-1:1997 Передача аудио и/или видео- и сопутствующих сигналов с использованием инфракрасного излучения. Часть 1. Общие положения (IEC 61603-1:1997, Transmission of audio and/or video and related signals using infra-red radiation - Part 1: General)
МЭК 61603-2:1997 Передача аудио и/или видео- и сопутствующих сигналов с использованием инфракрасного излучения. Часть 2. Системы передачи широкополосных аудиосигналов и сопутствующих сигналов (IEC 61603-2:1997, Transmission of audio and/or video and related signals using infra-red radiation - Part 2: Transmission systems for audio wide band and related signals)
МЭК 61937:2000 Цифровые звуковые сигналы. Интерфейс для нелинейных битовых потоков аудиосигналов с ИКМ кодированием с учетом МЭК 60958 (IEC 61937:2000, Digital audio - Interface for non-linear PCM encoded audio bitstreams applying IEC 60958)
МЭК 61938 Аудио- и аудиовизуальные системы. Межсоединения и согласуемые значения. Предпочтительные согласуемые значения аналоговых сигналов (IEC 61938, Audio and audiovisual systems - Interconnections and matching values - Preferred matching values of analogue signals)
3 Термины, определения и сокращения
3.1 Термины и определения
В настоящем стандарте применены термины и определения, установленные МЭК 61603-1, а также следующие термины и определения:
3.1.1 исходный поток (source stream): Поток исходных блоков (source_block) с соответствующим потоком исходной информации (source_info) и потоком информации передачи (transmission_info).
3.1.2 структура блока (block_structure): Структура данных и частей для передачи.
3.1.3 Tr_секция передачи (Tr_section): Чередующийся поток от структуры блока.
3.2 Сокращения
В настоящем стандарте используют следующие сокращения:
IR - инфракрасный (ИК) (см. МЭК 61603-1);
PD - фотодиод;
O/E - оптический/электрический;
T - передатчик/излучатель;
Rx - приемник;
QPSK - квадратурная фазовая манипуляция (4ФМ);
DQPSK - квадратурная фазовая манипуляция с дифференциальным кодированием;
Transmission_info - информация передачи (информация по получению);
CRC - проверка избыточным циклическим кодом;
Source_info - исходная информация;
Sync Gen. - эталонный генератор синхросигнала;
Header Gen. - генератор заголовка;
GF - поле Галуа;
RS - код Рида-Соломона;
ECC - код коррекции ошибки.
Настоящий стандарт определяет (устанавливает) использование цифровых аудиосигналов на основе цифрового аудиоинтерфейса для профессионального и бытового применения согласно соответствующим стандартам серии МЭК 60958, в том числе способность передавать нелинейные ИКМ (PCM) данные, форматированные согласно МЭК 61937.
Системы передачи битовых потоков цифровых аудиосигналов, на которые распространяется настоящий стандарт, характеризуются следующими параметрами:
- использование для интерфейса с ИК-излучением;
- гармонизация с МЭК 60958;
- гармонизация с МЭК 61937;
- применение при многоканальной передаче в будущем;
- наличие структуры блоков сигналов;
- наличие коррекции ошибки;
- частотный диапазон - от 3 до 6 МГц;
- наличие канального кодирования;
- наличие низкого уровня паразитных помех (полосовой фильтр).
В настоящем стандарте приведены подробные технические требования к цифровой передаче аудиосигнала. Цифровую передачу аудиосигналов в инфракрасном диапазоне, как установлено в МЭК 61603-2, применяют в полосе частот от 3 до 6 МГц. Эту полосу частот также используют системы аналоговой передачи аудиосигналов, поэтому необходимо принимать меры по недопущению помех от какой-либо из этих систем при их одновременной работе.
Такая система поддерживает режим полной полосы, при котором все данные переносятся по интерфейсу, соответствующему одному из стандартов серии МЭК 60958, при частоте дискретизации 48 кГц и ниже. Система также поддерживает режим половины полосы, когда переносится два потока, каждый из которых состоит из двух 16-битовых аудиоканалов без достаточной пропускной способности для передачи всех соответствующих данных о достоверности, данных пользователя или данных о статусе канала, установленных МЭК 60958. Некоторые из этих данных передаются в системе иным путем.
В зависимости от используемой битовой скорости можно иметь две разные ширины полосы каналов. Одну полосу называют режимом полной полосы, когда переносятся два канала, 32-слотовый битовый поток с шириной полосы 3 МГц, а другую - режимом половины полосы, когда переносятся два канала, 16-слотовый битовый поток с шириной полосы 1,5 МГц.
Оба режима полной и половинной полосы основаны на МЭК 60958-1, МЭК 60958-3, МЭК 60958-4 и МЭК 61937.
Концепция системы представлена на рисунке 1.
Рисунок 1 - Концепция системы
Такую систему цифровой передачи аудиосигнала с использованием ИК-излучения применяют, главным образом, для передачи звуковых цифровых сигналов от CD-плеера, DAT-плеера или MD-плеера и т.п. на головные телефоны, громкоговорители и ИК-приемники и т.п.
Согласно МЭК 61603-2 распределение полосы для высокого качества передачи аудиосигналов находится в диапазоне от 2 до 6 МГц, как показано на рисунке 2.
Рисунок 2 - Распределение полосы согласно МЭК 61603
Полоса для высокого качества содержит восемь каналов, обозначенных с H1 до H8, для аналоговых аудиосигналов согласно установленному в таблице 1.
Таблица 1
Распределение аналоговых аудиоканалов
Обозначение | Поднесущая частота, МГц |
H1 | 2,3 |
H2 | 2,8 |
H3 | 3,2 |
H4 | 3,7 |
H5 | 4,3 |
H6 | 4,8 |
H7 | 5,2 |
H8 | 5,7 |
В общем случае беспроводные громкоговорители или системы головных телефонов используют H1 и H2 для левых и правых каналов, поэтому при таком формате цифровые аудиосигналы используют распределение каналов от H3 до H8.
На рисунке 3 показано распределение каналов для такого цифрового аудиоформата совместно с распределением аналоговых каналов.
Рисунок 3 - Распределение полосы
5 Основные характеристики
5.1 Рабочие условия окружающей среды
Условия окружающей среды для функционирования оборудования, определяются, главным образом, в соответствующих стандартах на конкретные устройства. Однако если не установлено иное, оборудование должно работать, по крайней мере, в следующих диапазонах температуры и относительной влажности:
- температура - от 5 °C до 40 °C;
- относительная влажность - от 25% до 75%.
Системы и аппаратуру, соответствующие настоящему стандарту, используют в основном в помещениях при условии, что при работе более одной системы помехи в соседних помещениях отсутствуют.
5.2 Разделение функций между элементами систем
Оборудование конструируют в виде разных комбинаций функциональных блоков, в зависимости от его применения в помещениях разных размеров. Для использования в быту желательно иметь только несколько блоков небольшого размера и с низкой стоимостью установки.
Структурная схема передатчика, приведенного на
рисунке 1, показана на рисунке 4. Структурная схема блока канального кодирования приведена на
рисунке 5. Сигнал от генератора синхросигналов, генератора заголовка и
Tr_секции передачи мультиплексируются в поток передачи.
Рисунок 4 - Передатчик
Рисунок 5 - Блок канального кодирования
6.2 Входной и выходной сигналы
Цифровые аудиосигналы на входе и выходе должны соответствовать МЭК 61938.
Для несущей должны быть использованы длины волн ИК-излучения от 800 до 900 нм.
Поднесущая модулирует несущую ИК-излучения. В таком формате передачи полоса поднесущих имеет диапазон от 3 до 6 МГц.
6.5 Распределение каналов
6.5.1 Общие положения
Распределение каналов цифровой передачи аудиосигналов с использованием ИК-излучения с частотами каждой поднесущей показано на
рисунке 6. Сигнал имеет двойную модуляцию. ИК-сигнал модулируется по интенсивности поднесущей, которая модулирована цифровыми аудиосигналами по методу квадратурной фазовой манипуляции с дифференциальным кодированием
DQPSK.
Значения частоты поднесущей приведены в таблице 2.
Таблица 2
Частота поднесущей
Код деления Divcode | Количество каналов | Частота поднесущей fsub-carrier, МГц |
0 | 1 | 4,5 |
1 | 2 | 3,75 5,25 |
На рисунке 6 представлено два вида назначения каналов передачи.
Рисунок 6 - Распределение каналов
6.5.3 Скорость передачи (битовая)
Максимальная скорость передачи исходного потока представлена в таблице 3.
Таблица 3
Максимальная скорость передачи исходного потока
Код деления Divcode | Скорость, Мбит/с | Количество каналов |
0 | 3,072 | 1 |
1 | 1,536 | 2 |
Скорость передачи цифрового аудиосигнала приведена в таблице 4 для справки.
Таблица 4
Скорость передачи цифрового аудиосигнала
Скорость передачи, Мбит/с | Цифровой аудиосигнал |
3,072 | 48 кГц, 32 бита, 2 канала |
1,536 | 48 кГц, 16 бит, 2 канала |
2,8224 | 44,1 кГц, 32 бита, 2 канала |
1,4112 | 44,1 кГц, 16 бит, 2 канала |
2,048 | 32 кГц, 32 бита, 2 канала |
1,024 | 32 кГц, 16 бит, 2 канала |
Преобразование исходного потока (source stream) в Tr_секцию передачи (Tr_section) основано на структуре блока, представленной на рисунке 7. Каждый символ в этой структуре имеет размер в 1 байт.
Рисунок 7 - Структура блока
Brn,cn,
где rn - номер строки;
cn - номер столбца.
На
рисунке 7 верхний левый угол - это байт
B0,0, а нижний правый угол - байт
B32,57.
6.7.1 Общие положения
Исходный поток (source stream) состоит из потока исходных блоков (source_block stream) с соответствующим потоком исходной информации (source_info stream) и потоком информации передачи (transmission_info stream).
Рисунок 8 - Исходный поток
6.7.2 Поток исходных блоков (source_block stream)
Частота синхронизации данных в потоке исходных блоков (source_block stream) должна быть кратна одной из следующих частот:
48 кГц, 44,1 кГц, 32 кГц.
Например, при передаче CD-звуковых сигналов синхронизация будет 44,1 x 32.
Поток исходных блоков (source_block stream) состоит из ряда непрерывных исходных блоков (source_blocks), каждый из которых состоит из 1536 байт.
Этот формат представлен на рисунке 9.
Рисунок 9 - Поток исходных блоков (source_block stream)
Порядок каждого байта в исходном блоке имеет следующий вид:
B0,0 B0,1 B0,2... B0,47 B1,0 B1,1 ... B31,47
6.7.3 Поток исходной информации (source_info stream)
Поток исходной информации (source_info stream) состоит из непрерывных source_info размером в 40 байт.
Формат source_info stream представлен на рисунке 10.
Рисунок 10 - Поток исходной информации (source_info stream)
Порядок каждого байта в source_info имеет следующий вид:
B32,0 B32,1 B32,2 ... B32,38 B32,39
6.7.4 Поток информации передачи (transmission_info stream)
Поток информации передачи (transmission_info stream) состоит из непрерывных transmission_info по 8 байт.
Каждый байт transmission_info определен в таблице 5.
Таблица 5
Значения байтов в transmission_info
B32.cn | Значение по умолчанию | Смысловое значение |
40 | 0 | Резерв |
41 | 0 | Резерв |
42 | 0 | Резерв |
43 | 0 | Резерв |
44 | 0 | Резерв |
45 | 0 | Резерв |
46 - 47 | - | Идентификатор секции |
Идентификатор ID секции - это порядковый номер, с модулем 0 x 10000 (65536), возрастающий с каждым исходным блоком (source_block) для отображения серийного номера source_block.
6.7.5 Размещение блоков
Размещение исходного блока (source_block), исходной информации (source_info) и информации передачи (transmission_info) в структуре блока (block_structure) показано на рисунке 11.
Рисунок 11 - Размещение в структуре блока (block_structure)
6.7.6 Код с упреждающей коррекцией ошибок
Для коррекции ошибок в данном формате выбрана методика упреждающей коррекции ошибок, т.к. информация обратной связи отсутствует.
В качестве кода с коррекцией ошибок выбран код Рида-Соломона в поле Галуа GF (28).
Таблица 6
Параметры кода Рида-Соломона
Параметр | Описание |
Примитивный полином | p(x) = x8 + x4 + x3 + x2 + 1 |
Образующий полином | |
Примитивный (базисный) элемент | [00000010] <*> MSB - самый старший разряд <**> LSB - самый младший разряд |
Кодовая длина (разрядность) | 58 |
Длина проверки на четность | 10 |
Матрица проверки на четность HP, используемая в структуре блока (block_structure) приведена на рисунке 12.
HP·VP = [0]
Рисунок 12 - Матрица проверки на четность
Размещение блоков кода коррекции ошибок в структуре блоков (block_structure) представлено на рисунке 13.
Рисунок 13 - Блок кода коррекции ошибки
6.8.1 Отношение данных потока передачи к данным потока исходного блока (source_block)
Отношение R данных потока передачи (transmission stream) к данным потока исходных блоков (source_block stream) выражают формулой

,
где R - отношение данных потока передачи к данным потока исходных блоков;
B_ts - количество байтов в структуре блока потока передачи;
B_sb - количество байтов в структуре блока потока исходных блоков.
6.8.2 Формат потока передачи
6.8.2.1 Общие положения
Формат потока передачи приведен на рисунке 14.
Рисунок 14 - Поток передачи
Битовый поток: непрерывные разделы
Раздел: синхрослово (Sync) + заголовок + Tr_секция передачи (Tr_section)
Синхрослово: битовая комбинация ("01111011 01111011 01111011 01111011")
Заголовок: параметр битового поля (16 бит)
Tr_секция передачи (Tr_section): 1914 байт (= 15312 бит)
Раздел "Заголовок" не имеет защиты кодом с коррекцией ошибок.
6.8.2.2 Синхрослово
"Синхрослово" (Sync) - это комбинация из 32 бит (4 байта). Синхрослово является началом раздела.
6.8.2.3 Заголовок
Параметр битового поля заголовка приведен в таблице 7.
Таблица 7
Битовое поле заголовка
Контенты (содержание) | Разрядность, бит | Битовая комбинация по умолчанию | Смысловое значение |
Резерв | 7 | 0000000 | - |
Код деления | 1 | - | Код деления: 0 - 1 |
Резерв | 7 | 0000000 | - |
Номер канала | 1 | - | Номер канала |
Для определения соответственно кода деления и номера канала поднесущей при передаче с частотным уплотнением каналов используют "код деления" (divcode) и "номер канала" (chnum).
При divcode = 0 режим передачи называют "режим полной полосы", а при divcode = 1 - "режим половины полосы". Эти режимы приведены в
6.5.2.
6.8.2.4 Tr_секция передачи (Tr_section)
Tr_секция передачи (Tr_section) состоит из 1914 байт и формирует структуру блока.
Порядок байтов в Tr_секции передачи (Tr_section) будет иметь вид:
B0,0 B1,0 B2,0 ... B32,0 B0,1 B1,1 B2,1 ...
B30,57 B31,57 B32,57
На рисунке 15 показан порядок байтов в Tr_секции передачи (Tr_section).
Рисунок 15 - Порядок байт в Tr_секции передачи (Tr_section)
6.9.1.1 Общие положения
Блок модуляции показан на рисунке 16.
Рисунок 16 - Блок модуляции
Блок модуляции имеет функцию преобразования байтов в символы, а также скремблер, дифференциальный кодер и модулятор QPSK (квадратурной фазовой манипуляции). Модуляторы QPSK состоят из фильтров преобразования сигналов и фильтров основной полосы.
6.9.1.2 Преобразование байта в символ
Поток передачи состоит из байтов, и поэтому для подачи на модулятор QPSK должен быть переведен в 2-битные пары (символы). На рисунке 17 показано, как происходит конвертация байта потока передачи в 2-битовый символ.
MSB - самый старший разряд; LSB - самый младший разряд
Рисунок 17 - Преобразование байта в символ
Обозначение
b7 на
рисунке 17 - это самый старший двоичный разряд (
MSB) байта, а
b0 - самый младший разряд
LSB байта. Поэтому
b7 байт конвертируется в
x1 символа.
6.9.1.3 Скремблер
Скремблер используют для смешивания/скремблирования комбинации символов при дифференциальной квадратурной фазовой манипуляции DQPSK для получения формы спектра. Выбирают именно DQPSK, чтобы гарантировать достаточные бинарные переходы-перемещения для восстановления синхронизации.
Скремблер состоит из логических элементов "исключающих ИЛИ" (XOR), показанных на рисунке 18, и генератора шаблона скремблера, состоящего из генератора псевдослучайной бинарной последовательности
PRBS и счетчика, приведенного на
рисунке 19.
Рисунок 18 - Логические элементы "исключающие ИЛИ" (XOR)
Рисунок 19 - Задающий генератор скремблера
Длина псевдослучайной бинарной последовательности PRBS составляет 17 битов, и она инициализируется при каждом заголовке раздела. Полином генератора PRBS имеет вид:
1 + x3 + x17,
а исходная кодограмма/кодовая комбинация следующая: "10101010101010101".
Счетчик является 3-битовым устройством и инициализируется как "0" при каждом заголовке раздела.
Таким образом, первым выходным символом генератора шаблона скремблера после инициализации будет "01", а следующим будет "10".
К синхрослову Sync скремблирование не применяют, чтобы не допустить путаницы кодовых комбинаций.
6.9.1.4 Дифференциальный кодер
Для получения набора состояний
QPSK, не чувствительного к повороту на

, используют дифференциальное кодирование.
Правило кодирования определяют следующим образом:

.
6.9.1.5 Топография сигнала
Топография сигнала QPSK выражается как

.
Отображение сигнала QPSK приведено на рисунке 20. "I" и "Q" - ортогональные оси.
Рисунок 20 - Представление/топография QPSK
6.9.1.6 Фильтр основной полосы
Фильтр основной полосы блока модуляции приведен на
рисунке 16.
Этот фильтр имеет теоретическую функцию, определяемую как:
где H(f) - амплитуда сигнала;
fN = 1/(2Ts) - частота Найквиста;
Ts - межсимвольный интервал/длительность символа;
(1/Ts) = 0,625·битовая скорость;

- коэффициент сглаживания.
Амплитудная характеристика фильтра основной полосы представлена на рисунке 21.
Рисунок 21 - Характеристики фильтра основной полосы
Фильтр должен иметь линейную фазу в пределах полосы пропускания (f <= fN), а мерцание групповой задержки должно быть менее 0,1Ts.
Методом модуляции данного формата является модуляция несущей по интенсивности с использованием QPSK.
6.9.2.1 Поднесущая
Частота поднесущей в режиме полной полосы должна быть 4,5 МГц, а в режиме половины полосы - 3,75 или 5,25 МГц.
6.9.2.2 Точность частоты
Точность частоты поднесущей должна быть в пределах +/- 0,1%.
6.9.2.3 Занимаемая ширина полосы
Занимаемая ширина полосы определяется как
ширина полосы (Гц) = 0,8125·битовая скорость (бит/с)
Пример
В МЭК 60958 определены 32-битовые слоты:
3,072·0,8125 = 2,496 МГц (в случае частоты выборки 48 кГц);
2,8224·0,8125 = 2,34195 МГц (в случае частоты выборки 44,1 кГц);
2,048·0,8125 = 1,664 МГц (в случае частоты выборки 32 кГц).
7 Характеристики и измерения
Температура: от 15 °C до 35 °C.
Относительная влажность: от 45% до 75%.
Освещенность: 500 - 1000 лк (на поверхности приемника).
Следует использовать обычные (т.е. не работающие на высокой частоте) люминесцентные лампы.
7.2 Место проведения испытаний
Для испытания следует использовать достаточно просторное помещение, чтобы отражение инфракрасного излучения от стен пола и потолка было пренебрежимо малым. Если производить коррекцию на отражение, то можно использовать место, изображенное на
рисунке 23.
В приемнике или передатчике используют поглощающий оптический фильтр [фильтр нейтральной плотности (ND)]. Важно обеспечить следующее:
- учесть корреляцию между поглощением фильтра и дальностью передачи;
- при измерении направленности настроить фильтр в направлении передатчика;
- поддерживать освещенность: 500 - 1000 лк (у приемника).
7.3 Дальность передачи и направленность
7.3.1 Дальность передачи
7.3.1.1 Общие положения
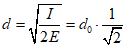
Рассчитать дальность передачи
d0, м, (см.
рисунок 24) по оптической оси из указанной силы излучения
I, мВт/ср, и величины облученности
E, мВт/м
2, используя следующее уравнение:

. (1)
Дальность передачи
d, м, при таком угле "полуоптической" силы излучения, как
H1,
H2,
V1 и
V2 (см.
рисунок 25), будет

. (2)
Настоящий стандарт не устанавливает номинальную дальность передачи.
7.3.1.2 Подлежащие определению характеристики передатчика
Силу излучения
I, мВт/ср, на оптической оси (см.
рисунок 26) следует измерять с использованием методов МЭК 61603-1.
7.3.1.3 Подлежащие определению характеристики приемника
Минимальную требуемую облученность
E, мВт/м
2, при коэффициенте битовых ошибок не более 10
-9 следует измерять при следующих условиях (см.
рисунок 27):
- направление: оптическая ось (0°);
- сигнал: источник цифрового аудиосигнала 1 кГц при воспроизведении сигнала синусоидальной волны, записанного при уровне на 12 дБ ниже цифрового аудиосигнала, записанного при "полной шкале".
Определение "полной шкалы" приведено в 6.2 МЭК 61938.
Примечание - Если в приемнике (линия
B-
C на
рисунке 22) совмещены другие функции, например функция телевизора, помимо основных характеристик, приведенных в МЭК 61603-1, может потребоваться определить и другие характеристики.
7.3.2 Максимальная дальность передачи
При другом методе максимальную дальность передачи при коэффициенте битовых ошибок не более 10-9 при условиях по 7.3.3 можно измерить путем выравнивания оптических осей передатчика и приемника без измерения силы излучения передатчика и облученности приемника. Пока выполняется это условие, дальность передачи не уменьшается/увеличивается.
7.3.3 Направленность
7.3.3.1 Подлежащие определению характеристики передатчика
Для измерения силы излучения на оптической оси "
AB" (см.
рисунок 28) используют оптический измеритель мощности. Измеряют силу излучения при разных вертикальных и горизонтальных углах

и

согласно
7.3.1.2. Затем определяют направленность передатчика путем регулирования силы излучения
I, мВт/ср, при разных углах

и

у передатчика до максимальных значений (см.
рисунок 29).
Характеристики направленности дальности передачи рассчитывают из указанных выше характеристик направленности и облученности
E приемника (см.
7.3.1.3), используя
уравнение (1) 7.3.1.1.
7.3.3.2 Подлежащие определению характеристики направленности приемника
Выбирают передатчик с наибольшим отношением сигнал/шум и устанавливают подлежащий измерению приемник на оптической оси (0°) (см.
рисунок 30).
Измеряют минимальную требуемую облученность
E, мВт/м
2, при коэффициенте битовых ошибок не более 10
-9 при условиях
7.3.1.3 путем изменения расстояния между эталонным передатчиком и приемником.
Определяют минимальную требуемую облученность
E, мВт/м
2, в направлении "
AB" (см.
рисунок 30) путем измерения облученности при вертикальных и горизонтальных углах

и

приемника. Определяют характеристики направленности при минимальной требуемой облученности
E приемника путем измерения при разных углах

и

(см.
рисунок 31).
Характеристику направленности при дальности передачи рассчитывают из приведенных выше характеристик направленности и силы излучения
I, мВт/ср, передатчика (см.
7.3.1.2), используя
уравнение (1) 7.3.1.1.
Если указаны передатчик и приемник, характеристику направленности при дальности передачи можно рассчитать с помощью аналогичного метода.
7.4 Уровень паразитных сигналов
В результирующем сигнале могут быть энергетические составляющие, выходящие за пределы используемого канала, вызванные применяемой процедурой модуляции, при этом может происходить паразитное воздействие на другие системы.
Рекомендуется, чтобы для частот от 10 кГц до 1000 МГц уровень частоты несущей цифрового звукового сигнала относительно уровня паразитного сигнала (высшие гармоники и сигнал с поперечной модуляцией) в других полосах был 30 дБ или более при измерении при следующих условиях:
- отсутствие модуляции;
- размах полосы измерения: 0 - 100 МГц;
7.5 Точность частоты контроля передачи
Точность частоты синхронизации передачи должна быть +/- 0,1% или выше.
8 Маркировка и содержание технических требований (спецификаций)
Маркировка данных, отмеченных в
таблице 8 как "
X", является рекомендуемой.
8.2 Содержание технических требований (спецификаций)
В спецификациях (технических условиях) на изделие должны быть приведены все данные, обозначенные в таблице 8 символом "X" и таким же символом в таблице МЭК 61603-1. Указание данных, обозначенных символом "R", в любой из таблиц является не обязательным, но рекомендуемым.
Таблица 8
Маркировка и содержание спецификаций (технических условий)
Раздел | Характеристика | Степень обязательности |
| Дальность и направленность передачи | R |
| Уровень паразитных сигналов | R |
| Входной и выходной сигнал | X |
| Длина волны несущей | X |
| Частота поднесущей | X |
| Источник сигнала | X |
| Модуляция | R |
X - обязательные; R - рекомендуемые. |
Рисунок 22 - Канал передачи
IRED - ИК-светодиод; PD - фотодиод
Рисунок 23 - Размещение при измерении
TX - передатчик/излучатель; RX - приемник
Рисунок 24 - Дальность передачи
Рисунок 25 - Угол максимальной дивергенции
при половине силы оптического излучения
TX - передатчик/излучатель; RX - приемник
Примечание - На рисунке показана оптическая ось. Метод измерения установлен в МЭК 61603-1.
Рисунок 26 - Оптическая ось передатчика
TX - передатчик/излучатель; RX - приемник
Примечание - На рисунке показана оптическая ось. Метод измерения установлен в МЭК 61603-1.
Рисунок 27 - Оптическая ось приемника
Рисунок 28 - Характеристики передатчика
Рисунок 29a - Направленность по горизонтали
Рисунок 29b - Направленность по вертикали
Примечание - Рисунки 29a и 29b являются иллюстративными.
Рисунок 29 - Характеристики направленности передатчика
Рисунок 30 - Характеристики приемника
Рисунок 31a - Направленность по горизонтали
Рисунок 31b - Направленность по вертикали
Рисунок 31 - Характеристики направленности приемника
Рисунок 32 - Система измерения паразитного излучения
(обязательное)
ПРИМЕНЕНИЕ СИСТЕМ ПЕРЕДАЧИ ЦИФРОВЫХ АУДИОСИГНАЛОВ
И СОПУТСТВУЮЩИХ СИГНАЛОВ С ИСПОЛЬЗОВАНИЕМ ИК-ИЗЛУЧЕНИЯ
ДЛЯ БЫТОВОГО ПРИМЕНЕНИЯ
A.1.1 Синтаксическая структура режима полной полосы
A.1.1.1 Исходная информация (source_info)
Структура исходной информации (source_info) приведена на рисунке A.1.
Рисунок A.1 - Структура исходной информации (source_info)
Функция исходной информации имеет вид:
Source_info ( )
{
crc_flag 1 бит
valid_flag 1 бит
data_type 2 бита
coading_mode 4 бита
mode_extension_code 8 бит
if ((data_type ==00) && (coding_mode == 0000)
&& (mode_extension_code == 0x00)) {
pro_flag = 0 1 бит
pcm_id 1 бит
copyright_flag 1 бит
emphasis 1 бит
fs_code 2 бита
reserved 2 бита
category_code 8 бит
ancillary data ( ) 34 байта
}
else {
rsv bits) 36 байт
}
if (crc_flag) { 16 бит
crc
}
else {
padding_bits 16 бит
}
}
A.1.1.2 Исходный блок (Source_block)
Если в поле типа данных (data_type) стоят "00", в режиме кодирования (coding_mode) - "0000" и в поле кода расширения режима (mode_extension_code) - "0x00", исходный блок (Source_block) будет
Source_block ( )
{
for (n = 0; n < 192; n++) {
frame [n] 8 байт
}
}
A.1.1.3 Кадр и субкадр
Если в поле типа данных (data_type) стоят "00", в режиме кодирования (coding_mode) - "0000" и в поле кода расширения режима (mode_extension_code) - "0x00", кадр и субкадр будут:
frame [n]
{
sub-frame [0] /* L ch */ 4 бита
sub-frame [1] /* R ch */ 4 бита
}
sub-frame [i] /* i = 0,1 */
{
free_field 4 бита
24_bit_audio_sample_word_field (LSB first) 24 бита
V_field 1 бит
U_field 1 бит
C_field 1 бит
P_field 1 бит
}
- L ch: левый канал
- R ch: правый канал
A.1.2 Семантическая структура режима полной полосы
A.1.2.1 Исходная информация (source_info)
A.1.2.1.1 Признак проверки циклическим избыточным кодом (crc_flag)
Данный 1-битовый признак, приведенный в таблице A.1, показывает, есть ли установка-добавление проверки циклическим избыточным кодом (CRC) в исходный блок (source_block) и в поле исходной информации (source_info). Если этот бит равен "0", то проверка CRC не введена. Если этот бит равен "1", то проверка CRC установлена.
Таблица A.1
Признак проверки циклическим избыточным кодом (crc_flag)
Признак проверки циклическим избыточным кодом (crc_flag) | Проверка циклическим избыточным кодом CRC |
0 | Не введена |
1 | Введена |
A.1.2.1.2 Признак достоверности (valid_flag)
Данный признак, приведенный в таблице A.2, используют для указания того, есть ли ошибки в исходном блоке (source_block). Если считается, что source_block свободен от ошибок, значение этого признака должно устанавливаться на "0". Если в source_block есть некоторые ошибки, этот признак должен быть установлен на "1". Использование такого признака в приемниках является опционным.
Таблица A.2
Признак достоверности (valid_flag)
Признак достоверности (valid_flag) | Достоверность исходного блока (source_block) |
0 | Нет ошибок |
1 | Есть некоторые ошибки |
A.1.2.1.3 Тип данных (data_type)
Данный 2-битовый признак, приведенный в таблице A.3, показывает тип данных источника.
Таблица A.3
Тип данных (data_type) | Тип данных источника |
00 | Аудиоданные |
Другие значения | Резерв |
A.1.2.1.4 Режим кодирования (coding_mode)
Данный 4-битовый признак обозначает метод кодирования (см. таблицу A.4).
Таблица A.4
Режим кодирования (coding_mode)
Режим кодирования (coding_mode) | Метод |
0000 | Линейная ИКМ |
Другие значения | Резерв |
A.1.2.1.5 Код расширения режима (mode_extension_code)
Данный 8-битовый код дает подробную информацию об исходном блоке (source_block) (см. таблицу A.5).
Таблица A.5
Код расширения режима (mode_extension_code)
Тип данных (data_type) | Режим кодирования (coding_mode) | Код расширения режима (mode_ extension_code) | Режим (mode) |
00 | 0000 | 0x00 | Режим по МЭК 60958 |
Другие значения | Резерв |
A.1.2.1.6 Признак применения (pro_flag)
Если данный признак, приведенный в таблице A.6, имеет значение "0", тогда поле source_info относится к бытовому применению. Если данный признак pro_flag = 1, то следует использовать
приложение B.
Таблица A.6
Признак применения (pro_flag)
Признак использования (pro_flag) | Использование исходной информации (source_info) |
0 | Бытовое применение |
1 | Профессиональное применение |
A.1.2.1.7 Идентификатор импульсно-кодовой модуляции (ИКМ) (pcm_id)
Если этот бит равен "0", слово выборки аудиоданных представляет пример с ИКМ. Если этот бит равен "1", слово выборки аудиоданных используют в других целях.
Таблица A.7
Идентификатор импульсно-кодовой модуляции (ИКМ) (pcm_id)
Идентификатор ИКМ (pcm_id) | Контенты |
0 | Линейная ИКМ |
1 | Другие цели |
A.1.2.1.8 Признак авторского права (copyright_flag)
Данный 1-битовый признак, приведенный в таблице A.8, указывает на информацию об авторском праве.
Таблица A.8
Признак авторского права (copyright_flag)
Признак авторского права (copyright_flag) | Авторское право |
0 | Программное обеспечение, на которое распространяется авторское право |
1 | Программное обеспечение, на которое не распространяется авторское право |
A.1.2.1.9 Предыскажения (emphasis)
Данный 1-битовый признак, приведенный в таблице A.9, указывает на наличие или отсутствие предыскажений.
Таблица A.9
Предыскажения | Установленные предыскажения |
0 | Нет |
1 | 50/15 мкс |
A.1.2.1.10 Код частоты дискретизации (fs_code)
Данный 2-битовый код, приведенный в таблице A.10, указывает частоту дискретизации.
Таблица A.10
Код частоты дискретизации (fs_code)
Код частоты дискретизации (fs_code) | Частота дискретизации |
00 | 44,1 кГц |
01 | 48 кГц |
10 | Резерв |
11 | 32 кГц |
A.1.2.1.11 Код категории (category_code)
Код категории (category_code), который указывает определенный в МЭК 60958-3 код категории, должен копироваться из источника.
A.1.2.1.12 Дополнительные данные (ancillary_data)
Значением по умолчанию поля дополнительных данных (ancillary_data) будет "0".
A.1.2.1.13 Проверка циклическим избыточным кодом (
CRC)
CRC - это 16-битовое слово CRC, полученное из данных в 1574 байта, как показано на рисунке A.2.
Рисунок A.2 - Область проверки циклическим
избыточным кодом (crc_area)
Полином генератора CRC имеет вид:
x16 + x15 + x2 + 1
при исходном состоянии со всеми нулями.
CRC может выполняться регистром сдвига с линейной обратной связью. Пример схемы такого регистра при указанном выше полиноме генератора приведен на рисунке A.3.
Рисунок A.3 - Схема регистра сдвига
с линейной обратной связью
A.1.2.1.14 Резервные биты (padding_bits)
Каждый бит из разряда резервных должен быть установлен на "0".
A.1.2.2 Исходный блок (source_block)
Исходный блок (source_block) соответствует блоку, установленному в соответствующем стандарте серии МЭК 60958.
На рисунке A.4 представлена структура субкадра. Эта структура аналогична структуре субкадра, приведенной в соответствующем стандарте серии МЭК 60958.
LSB - младший разряд; MSB - старший разряд
Рисунок A.4 - Структура субкадра режима полной полосы
Использование свободного поля (free_field) в данном стандарте не определено.
Структура субкадра:
- субкадр состоит из 4 байтов;
- субкадр [0] включает слово выборки аудиоданных левого канала;
- субкадр [1] включает слово выборки аудиоданных правого канала;
- 24-битовое слово выборки аудиоданных, признак достоверности V, данные пользователя U, статус канала C и бит проверки четности P копируют из декодированного по МЭК 60958 субкадра и помещают в поле 24_bit_audio_sample_word_field, поле V_field, поле U_field, поле C_field и поле P_field соответственно.
A.2 Режим половины полосы
A.2.1 Синтаксическая структура режима половины полосы
A.2.1.1 Исходная информация (source_info)
Структура source_info режима половины полосы аналогична структуре режима полной полосы (см.
рисунок A.1).
Функция source_info режима половины полосы аналогична функции режима полной полосы.
A.2.1.2 Исходный блок (source_block)
Если в поле типа данных (data_type) стоят "00", в режиме кодирования (coding_mode) - "00" и в поле кода расширения режима (mode_extension_code) - "0x00", исходный блок (source_block) будет
Source_block ()
{
for (n = 0; n < 384; n++) {
frame [n] 4 бита
}
}
A.2.1.3 Кадр и субкадр (frame, sub-frame)
Если в поле типа данных (data_type) стоят "00", в режиме кодирования (coding_mode) - "00" и в поле кода расширения режима (mode_extension_code) - "0x00", кадр и субкадр будут:
frame [n]
{
sub-frame [0] /* L ch */ 2 бита
sub-frame [1] /* R ch */ 2 бита
}
sub-frame [i]
{
16_bit_audio_sample_word_field (LSB first) 16 бит
}
A.2.2 Семантическая структура режима полной полосы
A.2.2.1 Исходная информация (source_info)
A.2.2.1.1 Признак проверки циклическим избыточным кодом (crc_flag)
Признак проверки циклическим избыточным кодом (crc_flag) режима половины полосы аналогичен признаку режима полной полосы (см.
таблицу A.1).
A.2.2.1.2 Признак достоверности (valid_flag)
Признак достоверности valid_flag режима половины полосы аналогичен признаку режима полной полосы (см.
таблицу A.2).
A.2.2.1.3 Тип данных (data_type)
Тип данных data_type режима половины полосы аналогичен типу данных режима полной полосы (см.
таблицу A.3).
A.2.2.1.4 Режим кодирования (coding_mode)
Режим кодирования coding_mode режима половины полосы аналогичен режиму кодирования режима полной полосы (см.
таблицу A.3).
A.2.2.1.5 Код расширения режима (mode_extension_code)
Код расширения режима - 8-битовый код дает подробную информацию о исходном блоке (source_block) (см.
таблицу A.4).
Таблица A.11
Код расширения режима (mode_extension_code)
Тип данных (data_type) | Режим кодирования (coding_mode) | Код расширения режима (mode_extension_code) | Режим (mode) |
00 | 0000 | 0x00 | Режим 16-битовой ИКМ |
Другие значения | Резерв |
A.2.2.1.6 Признак применения (pro_flag)
Признак применения pro_flag режима половины полосы аналогичен признаку режима полной полосы (см.
таблицу A.6).
A.2.2.1.7 Идентификатор ИКМ (pcm_id)
Идентификатор ИКМ pcm_id режима половины полосы аналогичен идентификатору режима полной полосы (см.
таблицу A.7).
A.2.2.1.8 Признак авторского права (copyright_flag)
Признак авторского права copyright_flag режима половины полосы аналогичен признаку режима полной полосы (см.
таблицу A.8).
A.2.2.1.9 Предыскажения (emphasis)
Предыскажения режима половины полосы аналогичны предыскажениям режима полной полосы (см.
таблицу A.9).
A.2.2.1.10 Код частоты дискретизации (fs_code)
Код частоты дискретизации fs_code режима половины полосы аналогичен коду режима полной полосы (см.
таблицу A.10).
A.2.2.1.11 Код категории (category_code)
Код категории category code режима половины полосы аналогичен коду режима полной полосы (см.
A.1.2.1.11).
A.2.2.1.12 Дополнительные данные (ancillary_data)
Дополнительные данные ancillary_data режима половины полосы аналогичны данным режима полной полосы (см.
A.1.2.1.12).
A.2.2.1.13 Проверка циклическим избыточным кодом CRC
Проверка
CRC режима половины полосы аналогична проверке режима полной полосы (см.
A.1.2.1.13).
A.2.2.1.14 Резервные биты (padding_bits)
Резервные биты padding_bits режима половины полосы аналогичны битам режима полной полосы (см.
A.1.2.1.14).
A.2.2.1.15 Исходный блок (source_block)
Исходный блок source_block соответствует двум последовательным блокам установленным в соответствующем стандарте серии МЭК 60958.
- субкадр состоит из 2 байтов;
- субкадр [0] включает слово выборки аудиоданных левого канала;
- субкадр [1] включает слово выборки аудиоданных правого канала.
LSB - младший разряд; MSB - старший разряд
Рисунок A.5 - Структура субкадра режима половины полосы
(обязательное)
ПРИМЕНЕНИЕ СИСТЕМ ПЕРЕДАЧИ ЦИФРОВЫХ АУДИОСИГНАЛОВ
И СОПУТСТВУЮЩИХ СИГНАЛОВ С ИСПОЛЬЗОВАНИЕМ ИК-ИЗЛУЧЕНИЯ
ДЛЯ ПРОФЕССИОНАЛЬНОГО ПРИМЕНЕНИЯ
Настоящее приложение применяют к оборудованию, соответствующему МЭК 60958-4.
B.1.1 Синтаксическая структура режима полной полосы
B.1.1.1 Исходная информация (source_info)
Структура исходной информации (source_info) приведена на рисунке B.1.
Рисунок B.1 - Структура исходной информации
Source_info ()
{
crc_flag 1 бит
valid_flag 1 бит
data_type 2 бита
coading_mode 4 бита
mode_extension_code 8 бит
if ((data_type ==00) && (coding_mode == 0000)
&& (mode_extension_code == 0x00)) {
pro_flag = 1 1 бит
pcm_id 1 бит
emphasis 2 бита
fs_code 2 бита
reserved 2 бита
ancillary_data () 35 байт
}
else {
rsv_bits 36 байт
}
if (crc_flag) { 16 бит
crc
}
else {
padding_bits 16 бит
}
}
B.1.1.2 Исходный блок (Source_block)
Если в поле типа данных (data_type) стоят "00", в режиме кодирования (coding_mode) - "0000" и в поле кода расширения режима (mode_extension_code) - "0x00", исходный блок (Source_block) будет
Source_block ()
{
for (n = 0; n < 192; n++) {
frame [n] 8 байт
}
}
B.1.1.3 Кадр и субкадр
Если в поле типа данных (data_type) стоят "00", в режиме кодирования (coding_mode) - "0000" и в поле кода режима (mode_code) - "0x00", кадр и субкадр будут:
frame [n]
{
sub-frame [0] /* L ch */ 4 байта
sub-frame [1] /* R ch */ 4 байта
}
sub-frame [i] /* i = 0,1 */
{
free_field 4 бита
24_bit_audio_sample_word_field (LSB first) 24 бита
V_field 1 бит
U_field 1 бит
C_field 1 бит
P_field 1 бит
}
- L ch: левый канал
- R ch: правый канал
B.1.2 Семантическая структура режима полной полосы
B.1.2.1 Исходная информация (Source_info)
B.1.2.1.1 Признак проверки циклическим избыточным кодом (crc_flag)
Данный 1-битовый признак показывает, есть ли установка-добавление проверки циклическим избыточным кодом CRC в исходный блок (source_block) и в поле исходной информации (source_info). Если этот бит равен "0", то проверка CRC не введена. Если этот бит равен "1", то проверка CRC установлена.
Таблица B.1
Признак проверки циклическим избыточным кодом (crc_flag)
Признак проверки циклическим избыточным кодом (crc_flag) | Проверка циклическим избыточным кодом (CRC) |
0 | Не введена |
1 | Введена |
B.1.2.1.2 Признак достоверности (valid_flag)
Данный признак, приведенный в таблице B.2, используют для указания того, есть ли ошибки в исходном блоке (source_block). Если считается, что source_block свободен от ошибок, значение этого признака должно устанавливаться на "0". Если в source_block есть некоторые ошибки, этот признак должен быть установлен на "1". Использование такого признака в приемниках является опционным.
Таблица B.2
Признак достоверности (valid_flag)
Признак достоверности (valid_flag) | Достоверность исходного блока (source_block) |
0 | Нет ошибок |
1 | Есть некоторые ошибки |
B.1.2.1.3 Тип данных (data_type)
Данный 2-битовый признак, приведенный в таблице B.3, показывает тип исходных данных.
Таблица B.3
Тип данных (data_type) | Тип исходных данных |
00 | Аудиоданные |
Другие значения | Резерв |
B.1.2.1.4 Режим кодирования (coding_mode)
| | ИС МЕГАНОРМ: примечание. В официальном тексте документа, видимо, допущена опечатка: имеется в виду таблица B.4, а не таблица A.4. | |
Данный 4-битовый признак обозначает метод кодирования (см. таблицу A.4).
Таблица B.4
Режим кодирования (coding_mode)
Режим кодирования (coding_mode) | Метод |
0000 | Линейная ИКМ |
Другие значения | Резерв |
B.1.2.1.5 Код расширения режима (mode_extension_code)
Данный 8-битовый код дает подробную информацию об исходном блоке (source_block) (см. таблицу B.5).
Таблица B.5
Код расширения режима (mode_extension_code)
Тип данных (data_type) | Режим кодирования (coding_mode) | Код расширения режима (mode_extension_code) | Режим (mode) |
00 | 0000 | 0x00 | Режим по МЭК 60958 |
Другие значения | Резерв |
B.1.2.1.6 Признак применения (pro_flag)
Если данный признак имеет значение "1", тогда поле Source_info относится к профессиональному применению. Если данный признак pro_flag = 0, то следует использовать
приложение A.
Таблица B.6
Признак применения (pro_flag)
Признак применения (pro_flag) | Использование исходной информации (Source_info) |
0 | Бытовое применение |
1 | Профессиональное применение |
B.1.2.1.7 Идентификатор импульсно-кодовой модуляции (ИКМ) (pcm_id)
Данный 1-битовый код, представленный в таблице B.7, обозначает идентификатор ИКМ.
Таблица B.7
Идентификатор импульсно-кодовой модуляции (ИКМ) (pcm_id)
Идентификатор ИКМ (pcm_id) | Контенты |
0 | Линейная ИКМ |
1 | Другие цели |
Если этот бит равен "0", слово выборки аудиоданных представляет пример с ИКМ. Если этот бит равен "1", слово выборки аудиоданных используют в других целях.
B.1.2.1.8 Предыскажения (emphasis)
Данный 2-битовый признак, приведенный в таблице B.8, указывает на наличие или отсутствие предыскажений.
Таблица B.8
Предыскажения | Указанные предыскажения |
00 | Не указаны |
01 | Нет |
10 | 50/15 мкс |
11 | по МСЭ-Т J.17 |
B.1.2.1.9 Код частоты дискретизации (fs_code)
Данный 2-битовый код, приведенный в таблице B.9 указывает частоту дискретизации.
Таблица B.9
Код частоты дискретизации (fs_code)
Код частоты дискретизации (fs_code) | Частота дискретизации |
00 | Не указана |
01 | 48 кГц |
10 | 44,1 кГц |
11 | 32 кГц |
B.1.2.1.10 Дополнительные данные (ancillary_data)
Значением по умолчанию поля дополнительных данных (ancillary_data) будет "0".
B.1.2.1.11 Проверка циклическим избыточным кодом
CRC
CRC - это 16-битовое слово CRC, полученное из данных в 1574 байта, как показано на рисунке B.2.
Рисунок B.2 - Область проверки циклическим избыточным кодом
Полином генератора CRC имеет вид:
x16 + x15 + x2 + 1
при исходном состоянии со всеми нулями.
CRC может выполняться регистром сдвига с линейной обратной связью. Пример схемы такого регистра при указанном выше полиноме генератора приведен на рисунке B.3.
Рисунок B.3 - Схема регистра сдвига
с линейной обратной связью
B.1.2.1.12 Резервные биты (padding_bits)
Каждый бит из разряда резервных должен быть установлен на "0".
B.1.2.2 Исходный блок (Source_block)
Исходный блок (Source_block) соответствует блоку, установленному в соответствующем стандарте серии МЭК 60958.
На рисунке B.4 представлена структура субкадра. Эта структура аналогична структуре субкадра, приведенной в соответствующем стандарте серии МЭК 60958.
LSB - младший разряд; MSB - старший разряд
Рисунок B.4 - Структура субкадра режима полной полосы
Использование свободного поля (free_field) в данном стандарте не определено. Данная область выделена для использования пользователем.
Структура субкадра:
- субкадр состоит из 4 байтов;
- субкадр [0] включает слово выборки аудиоданных левого канала;
- субкадр [1] включает слово выборки аудиоданных правого канала;
- 24-битовое слово выборки аудиоданных, признак достоверности V, данные пользователя U, статус канала C и бит проверки четности P копируют из декодированного по МЭК 60958 субкадра и помещают в поле 24_bit_audio_sample_word_field, поле V_field, поле U_field, поле C_field и поле P_field соответственно.
B.2 Режим половины полосы
B.2.1 Синтаксическая структура режима половины полосы
B.2.1.1 Исходная информация (source_info)
Структура source_info режима половины полосы аналогична структуре режима полной полосы (см.
рисунок B.1).
Функция source_info режима половины полосы аналогична функции режима полной полосы.
B.2.1.2 Исходный блок (source_block)
Если в поле типа данных (data_type) стоят "00", в режиме кодирования (coding_mode) - "00" и в поле кода расширения режима (mode_extension_code) - "0x00", исходный блок (source_block) будет
Source_block ()
{
for (n = 0; n < 384; n++) {
frame [n] 4 байта
}
}
B.2.1.2.1 Кадр и субкадр (frame, sub-frame)
Если в поле типа данных (data_type) стоят "00", в режиме кодирования (coding_mode) - "00" и в поле кода расширения режима (mode_extension_code) - "0x00", кадр и субкадр будут:
frame [n]
{
sub-frame [0] /* L ch */ 2 байта
sub-frame [1] /* R ch */ 2 байта
}
sub-frame [i]
{
16_bit_audio_sample_word_field (LSB first) 16 бит
}
B.2.2 Семантическая структура режима полной полосы
B.2.2.1 Исходная информация (source_info)
B.2.2.1.1 Признак проверки циклическим избыточным кодом (crc_flag)
Признак проверки циклическим избыточным кодом (crc_flag) режима половины полосы аналогичен признаку режима полной полосы (см.
таблицу B.1).
B.2.2.1.2 Признак достоверности (valid_flag)
Признак достоверности valid_flag режима половины полосы аналогичен признаку режима полной полосы (см.
таблицу B.2).
B.2.2.1.3 Тип данных (data_type)
Тип данных data_type режима половины полосы аналогичен типу данных режима полной полосы (см.
таблицу B.3).
B.2.2.1.4 Режим кодирования (coding_mode)
Режим кодирования coding_mode режима половины полосы аналогичен режиму кодирования режима полной полосы (см.
таблицу B.4).
B.2.2.1.5 Код расширения режима (mode_extension_code)
Данный 8-битовый код дает подробную информацию о блоке источника (source_block) (см. таблицу B.10).
Таблица B.10
Код расширения режима (mode_extension_code)
Тип данных (data_type) | Режим кодирования (coding_mode) | Код расширения режима (mode_extension_code) | Режим (mode) |
00 | 0000 | 0x00 | Режим 16-битовой ИКМ |
Другие значения | Резерв |
B.2.2.1.6 Признак применения (pro_flag)
Признак применения pro_flag режима половины полосы аналогичен признаку режима полной полосы (см.
таблицу B.6).
B.2.2.1.7 Идентификатор ИКМ (pcm_id)
Идентификатор pcm_id режима половины полосы аналогичен идентификатору режима полной полосы (см.
таблицу B.7).
B.2.2.1.8 Предыскажения (emphasis)
Предыскажения emphasis режима половины полосы аналогичны предыскажениям режима полной полосы (см.
таблицу B.8).
B.2.2.1.9 Код частоты выборки (fs_code)
Код частоты выборки fs_code режима половины полосы аналогичен коду режима полной полосы (см.
таблицу B.9).
B.2.2.1.10 Дополнительные данные (ancillary_data)
Дополнительные данные ancillary_data режима половины полосы аналогичны данным режима полной полосы (см.
B.1.2.1.10).
B.2.2.1.11 Проверка циклическим избыточным кодом CRC
Проверка
CRC режима половины полосы аналогична проверке режима полной полосы (см.
B.1.2.1.11).
B.2.2.1.12 Резервные биты (padding_bits)
Резервные биты padding_bits режима половины полосы аналогичны битам режима полной полосы (см.
B.1.2.1.12).
B.2.2.1.13 Исходный блок (Source_block)
Исходный блок source_block соответствует двум последовательным блокам, установленным соответствующим стандартом серии МЭК 60958.
- субкадр состоит из 2 байтов;
- субкадр [0] включает слово выборки аудиоданных левого канала;
- субкадр [1] включает слово выборки аудиоданных правого канала.
LSB - младший разряд; MSB - старший разряд
Рисунок B.5 - Структура субкадра режима половины полосы
(справочное)
СВЕДЕНИЯ О СООТВЕТСТВИИ ССЫЛОЧНЫХ МЕЖДУНАРОДНЫХ СТАНДАРТОВ
НАЦИОНАЛЬНЫМ СТАНДАРТАМ РОССИЙСКОЙ ФЕДЕРАЦИИ И ДЕЙСТВУЮЩИМ
В ЭТОМ КАЧЕСТВЕ МЕЖГОСУДАРСТВЕННЫМ СТАНДАРТАМ
Таблица ДА.1
Обозначение ссылочного международного стандарта | Степень соответствия | Обозначение и наименование соответствующего национального стандарта |
МЭК 60958-1 | IDT | |
МЭК 60958-3 | IDT | |
МЭК 60958-4 | IDT | |
МЭК 61603-1:1997 | IDT | ГОСТ IEC 61603-1-2014 "Передача аудио- и/или видео- и сопутствующих сигналов с использованием инфракрасного излучения. Часть 1. Общие положения" |
МЭК 61603-2:1997 | IDT | ГОСТ Р МЭК 61603-2-2015 "Передача аудио- и/или видео- и сопутствующих сигналов с использованием инфракрасного излучения. Часть 2. Системы передачи широкополосных аудиосигналов и сопутствующих сигналов" |
МЭК 61937:2000 | - | |
МЭК 61938 | - | |
<*> Соответствующий национальный стандарт отсутствует. До его утверждения рекомендуется использовать перевод на русский язык данного международного стандарта. Перевод данного международного стандарта находится в Федеральном информационном фонде технических регламентов и стандартов. Примечание - В настоящей таблице использовано следующее условное обозначение степени соответствия стандартов: - IDT - идентичные стандарты. |