Главная // Актуальные документы // ГОСТ Р (Государственный стандарт)СПРАВКА
Источник публикации
М.: Стандартинформ, 2015
Примечание к документу
Документ
введен в действие с 1 декабря 2016 года.
Название документа
"ГОСТ Р ИСО 3951-1-2015. Национальный стандарт Российской Федерации. Статистические методы. Процедуры выборочного контроля по количественному признаку. Часть 1. Требования к одноступенчатым планам на основе AQL при контроле последовательных партий по единственной характеристике и единственному AQL"
(утв. и введен в действие Приказом Росстандарта от 06.10.2015 N 1467-ст)
"ГОСТ Р ИСО 3951-1-2015. Национальный стандарт Российской Федерации. Статистические методы. Процедуры выборочного контроля по количественному признаку. Часть 1. Требования к одноступенчатым планам на основе AQL при контроле последовательных партий по единственной характеристике и единственному AQL"
(утв. и введен в действие Приказом Росстандарта от 06.10.2015 N 1467-ст)
Утвержден и введен в действие
по техническому регулированию
и метрологии
от 6 октября 2015 г. N 1467-ст
НАЦИОНАЛЬНЫЙ СТАНДАРТ РОССИЙСКОЙ ФЕДЕРАЦИИ
СТАТИСТИЧЕСКИЕ МЕТОДЫ
ПРОЦЕДУРЫ ВЫБОРОЧНОГО КОНТРОЛЯ ПО КОЛИЧЕСТВЕННОМУ ПРИЗНАКУ
ЧАСТЬ 1
ТРЕБОВАНИЯ К ОДНОСТУПЕНЧАТЫМ ПЛАНАМ НА ОСНОВЕ AQL
ПРИ КОНТРОЛЕ ПОСЛЕДОВАТЕЛЬНЫХ ПАРТИЙ ПО ЕДИНСТВЕННОЙ
ХАРАКТЕРИСТИКЕ И ЕДИНСТВЕННОМУ AQL
Statistical methods. Sampling procedures for inspection by
variables. Part 1. Specification for single sampling plans
indexed by AQL for lot-by-lot inspection for a single
quality characteristic and a single AQL
(ISO 3951-1:2013, IDT)
ГОСТ Р ИСО 3951-1-2015
Группа Т59
Дата введения
1 декабря 2016 года
1 ПОДГОТОВЛЕН Открытым акционерным обществом "Научно-исследовательский центр контроля и диагностики технических систем" (АО "НИЦ КД") на основе собственного аутентичного перевода на русский язык международного стандарта, указанного в
пункте 4
2 ВНЕСЕН Техническим комитетом по стандартизации ТК 125 "Применение статистических методов"
3 УТВЕРЖДЕН И ВВЕДЕН В ДЕЙСТВИЕ
Приказом Федерального агентства по техническому регулированию и метрологии от 6 октября 2015 г. N 1467-ст
4 Настоящий стандарт идентичен международному стандарту ИСО 3951-1:2013 "Процедуры выборочного контроля по количественному признаку. Часть 1. Требования к одноступенчатым планам на основе предельно допустимого уровня несоответствий (AQL) при контроле последовательных партий по единственной характеристике и единственному AQL" (ISO 3951-1:2013 Sampling procedures for inspection by variables - Part 1: Specification for single sampling plans indexed by acceptance quality limit (AQL) for lot-by-lot inspection for a single quality characteristic and a single AQL, IDT).
Наименование настоящего стандарта изменено относительно наименования указанного международного стандарта для приведения в соответствие с ГОСТ Р 1.5
(подраздел 3.5).
При применении настоящего стандарта рекомендуется использовать вместо ссылочных международных стандартов соответствующие им национальные стандарты Российской Федерации, сведения о которых приведены в дополнительном
приложении ДА
Правила применения настоящего стандарта установлены в ГОСТ Р 1.0-2012
(раздел 8). Информация об изменениях к настоящему стандарту публикуется в ежегодном (по состоянию на 1 января текущего года) информационном указателе "Национальные стандарты", а текст изменений и поправок - в ежемесячном информационном указателе "Национальные стандарты". В случае пересмотра (замены) или отмены настоящего стандарта соответствующее уведомление будет опубликовано в ежемесячном информационном указателе "Национальные стандарты". Соответствующая информация, уведомление и тексты размещаются также в информационной системе общего пользования - на официальном сайте Федерального агентства по техническому регулированию и метрологии в сети Интернет (www.gost.ru)
В настоящем стандарте установлена система статистического приемочного контроля с одноступенчатыми планами контроля по количественному признаку на основе предельно допустимого уровня несоответствий (AQL). Стандарт ориентирован на пользователей, предъявляющих к продукции простые требования. (Более всестороннее и детальное описание приведено в ИСО 3951-2.) Настоящий стандарт дополняет ИСО 2859-1.
Целью методов, установленных настоящим стандартом, является обеспечение высокой вероятности приемки партии приемлемого качества и максимальной из реально возможных вероятности неприемки партий продукции низкого качества. Это достигается с помощью правил переключения, которые обеспечивают:
a) автоматическую защиту потребителя (переключением на усиленный контроль или прекращением выборочного контроля) при обнаружении ухудшения качества;
b) стимулирование (по усмотрению уполномоченной стороны) к сокращению затрат на контроль за счет перехода на меньший объем выборки, если достигнуто последовательно высокое качество (низкий уровень несоответствий).
Согласно настоящему стандарту приемлемость партии определяют на основе оценки доли несоответствующих единиц продукции процесса по случайной выборке из партии.
Настоящий стандарт предназначен для применения в случае непрерывной серии партий отдельных единиц продукции, поставляемых одним изготовителем, использующим один и тот же процесс производства. При существовании различных поставщиков или процессов производства настоящий стандарт следует применять к каждому изготовителю или процессу отдельно.
Настоящий стандарт предназначен для применения к единственной характеристике качества, которую можно измерить по непрерывной шкале. Для двух или более характеристик качества следует применять ИСО 3951-2.
В соответствии с настоящим стандартом предполагается, что погрешность измерений является незначительной (см. ИСО 10576-1). Для учета погрешностей см.
приложение O, которое основано на
[20].
Для двух заданных границ поля допуска в настоящем стандарте рассмотрен объединенный контроль. Методы контроля других типов установлены в ИСО 3951-2.
ПРЕДОСТЕРЕЖЕНИЕ - Процедуры, изложенные в настоящем стандарте, не должны быть применены к партиям, которые прошли предварительную разбраковку с заменой несоответствующих единиц продукции.
Контроль по количественному признаку при контроле процента несоответствующих единиц продукции в соответствии с настоящим стандартом предусматривает несколько способов и их комбинаций, в том числе:
- неизвестное или первоначально неизвестное стандартное отклонение, оцениваемое с необходимой точностью, или известное к началу контроля;
- контроль единственной границы поля допуска или объединенный контроль двух границ поля допуска;
- нормальный контроль, усиленный контроль или ослабленный контроль.
Таблица 1 в определенной степени позволяет упростить использование настоящего стандарта. В ней указаны разделы, пункты, а также таблицы и графики, соответствующие различным ситуациям. Таблица 1 относится к
разделам 16,
17,
21,
22 и
23. Однако в каждом конкретном случае следует руководствоваться требованиями, изложенными не только в указанных выше, но и в других разделах настоящего стандарта.
Таблица 1
Обзорная таблица методов настоящего стандарта
Тип контроля | Единственная граница поля допуска | Две границы поля допуска |
s-метод | | s-метод | |
Раздел, подраздел | Таблицы, приложения | График | Раздел, подраздел | Таблицы, приложения | График | Раздел, подраздел | Таблицы, приложения | График | Раздел, подраздел | Таблицы приложения | График |
Нормальный контроль | | | | | | | | | | | | |
Переключение с нормального на усиленный контроль | | | | | | | | | | | | |
Переключение с нормального на ослабленный контроль | | | | | | | | | | | | |
Переключение с усиленного контроля на прекращение контроля | | | | | | | | | | | | |
Переключение с s-метода на  | | | | | | | | | | | | |
|
В стандарт включено пятнадцать приложений. В
приложениях A -
I приведены необходимые таблицы. В
приложении I показано, как определить выборочное стандартное отклонение s и предполагаемое известное стандартное отклонение процесса

. В
приложении K приведена статистическая теория, на которой основано вычисление уровня качества, соответствующего заданному значению риска потребителя, а также таблицы уровней качества для нормального, усиленного и ослабленного контроля для s-метода и

.
Приложение L включает аналогичную информацию для риска поставщика. В
приложении M приведена общая формула оперативной характеристики для

. В
приложении N приведена статистическая теория, на которой основано определение оценки доли несоответствующих единиц продукции для s-метода и объемов выборки 3 и 4, которая отличается от аналогичных методов для других объемов выборки. В
приложении O приведены процедуры, учитывающие неопределенность измерений.
Настоящий стандарт разработан для применения в следующих ситуациях:
a) если на контроль представлена непрерывная серия партий отдельных единиц продукции, поставляемых одним изготовителем, использующим один и тот же процесс производства;
b) при наличии единственной характеристики качества продукции x, которую можно измерить по непрерывной шкале;
c) если производство устойчиво (находится в состоянии статистической управляемости) и распределение характеристики качества продукции x нормальное или близкое к нормальному распределению <1>;
--------------------------------
<1> Далее в тексте стандарта при требовании нормальности распределения для осуществления определенного метода анализа исследуемых характеристик подразумевают возможность рассмотрения опытного распределения, имеющего закон распределения, близкий к теоретическому нормальному закону. Анализ близости распределения к нормальному рассмотрен, например, в
ГОСТ Р ИСО 5479.
d) если контракт или стандарт (технические условия) устанавливают верхнюю границу поля допуска U, нижнюю границу поля допуска L или обе эти границы, при этом единицу продукции квалифицируют как соответствующую тогда и только тогда, когда ее характеристика качества x удовлетворяет одному из следующих неравенств:
1)
x >=
L (нижняя граница поля допуска не нарушена);
2)
x <=
U (верхняя граница поля допуска не нарушена);
3)
x >=
L и
x <=
U (ни нижняя, ни верхняя границы поля допуска не нарушены).
Неравенства, приведенные в
1) и
2), относятся к случаям с единственной границей поля допуска, а неравенство в
3) относится к случаю с двумя границами поля допуска.
Для случая двух рассматриваемых границ поля допуска в настоящем стандарте принято предположение, что соответствие обеим границам поля допуска является одинаково важным для качества продукции. В таком случае следует применять единственный предельно допустимый уровень несоответствий (AQL) к объединенному проценту несоответствующих единиц продукции, находящихся вне этих двух границ поля допуска. Эта процедура называется объединенным контролем.
В настоящем стандарте использованы нормативные ссылки на следующие международные стандарты:
ИСО 2859-1 Процедуры выборочного контроля по альтернативному признаку. Часть 1. Планы выборочного контроля последовательных партий на основе предельно допустимого уровня несоответствий AQL (ISO 2859-1, Sampling procedures for inspection by attributes - Part 1: Sampling schemes indexed by acceptance quality limit (AQL) for lot-by-lot inspection)
ИСО 2859-2 Процедуры выборочного контроля по альтернативному признаку. Часть 2. Планы выборочного контроля отдельных партий на основе предельного качества LQ (ISO 2859-2, Sampling procedures for inspection by attributes - Part 2: Sampling plans indexed by limiting quality (LQ) for isolated lot inspection)
ИСО 3534-1 Статистика. Словарь и условные обозначения. Часть 1. Общие статистические термины и термины, используемые в вероятностных задачах (ISO 3534-1, Statistics - Vocabulary and symbols - Part 1: General statistical terms and terms used in probability)
ИСО 3534-2 Статистика. Словарь и условные обозначения. Часть 2. Прикладная статистика (ISO 3534-2, Statistics - Vocabulary and symbols - Part 2: Applied statistics)
ИСО 3951-2 Процедуры выборочного контроля по количественному признаку. Часть 2. Общие требования к одноступенчатым планам выборочного контроля на основе предела приемлемого качества (AQL) при контроле последовательных партий по независимым характеристикам качества (ISO 3951-2, Sampling procedures for inspection by variables - Part 2: General specification for single sampling plans indexed by acceptance quality limit (AQL) for lot-by-lot inspection of independent quality characteristics)
В настоящем стандарте применены следующие термины с соответствующими определениями:
3.1 контроль по количественному признаку (inspection variables): Контроль на основе результатов измерений характеристики качества единицы продукции.
[ИСО 3534-2]
3.2 выборочный контроль (sampling inspection): Контроль отобранной для исследования группы единиц продукции.
[ИСО 3534-2]
3.3 статистический приемочный контроль, приемочный контроль (acceptance sampling inspection, acceptance sampling): Выборочный контроль
(3.2), проводимый для принятия решения о приемке или отклонении партии или другого количества продукции, материала или услуг.
[ИСО 3534-2]
3.4 статистический приемочный контроль по количественному признаку (acceptance sampling inspection by variables): Статистический приемочный контроль
(3.3), при котором решение о приемке или отклонении продукции процесса принимают на основе результатов измерений установленной характеристики качества каждой единицы продукции в выборке, отобранной из партии.
3.5 доля несоответствующих единиц продукции процесса (process fraction nonconforming): Количество несоответствующих единиц продукции, изготовленных процессом, в некотором специально выделенном количестве единиц продукции, изготовленных процессом.
3.6 предельно допустимый уровень несоответствий, предел приемлемого качества <1>, AQL (acceptance quality limit, AQL): Предельно допустимая доля несоответствующих единиц продукции процесса
(3.5), если на статистический приемочный контроль
(3.3) представлена непрерывная серия партий.
--------------------------------
<1> Термин заменяет ранее применяемый в стандартах термин "приемлемый уровень качества" (acceptance quality level).
3.7 уровень качества, уровень несоответствий (quality level): Значение степени соответствия характеристики требованиям, выражаемым в долях несоответствующих единиц продукции.
3.8 предельное качество, LQ (limiting quality, LQ): Для целей статистического приемочного контроля
(3.3) уровень несоответствий
(3.7), при котором вероятность приемки при рассмотрении отдельной партии мала.
[ИСО 3534-2]
Примечание 2 - В настоящем стандарте рассмотрена только вероятность приемки 10%.
3.9 несоответствие (nonconformity): Невыполнение требования.
3.10 несоответствующая единица продукции (nonconforming unit): Единица продукции с одним или более несоответствиями.
[ИСО 3534-2]
3.11 план статистического приемочного контроля для s-метода (s-method acceptance sampling plan): План статистического приемочного контроля
(3.3) по количественному признаку, использующий выборочное стандартное отклонение.
[ИСО 3534-2]
3.12 план статистического приемочного контроля для s-метода (s-method acceptance sampling plan): План статистического приемочного контроля
(3.3) по количественному признаку, использующий предполагаемое значение стандартного отклонения процесса.
[ИСО 3534-2]
3.13 граница поля допуска (specification limit): Установленное предельно допустимое значение характеристики.
[ИСО 3534-2]
3.14 нижняя граница поля допуска,
L (lower specification limit,
L): Граница поля допуска
(3.13), определяющая нижнее предельно допустимое значение характеристики.
[ИСО 3534-2]
3.15 верхняя граница поля допуска,
U (upper specification limit,
U): Граница поля допуска
(3.13), определяющая верхнее предельно допустимое значение.
[ИСО 3534-2]
3.16 объединенный контроль (combined control): Контроль, согласно которому для характеристики качества заданы верхняя и нижняя границы поля допуска, а AQL
(3.6) относится к общему проценту несоответствующих единиц продукции вне обеих границ поля допуска.
Примечание 2 - При использовании объединенного контроля предполагают, что несоответствия, связанные с выходом за границы поля допуска
(3.13), равно ответственны (опасны) для качества продукции.
3.17 контрольный норматив,
k (acceptability constant,
k): Постоянная, зависящая от установленного значения предельно допустимого уровня несоответствий
(3.6) и объема выборки, используемая в критерии приемки партии и установленная в плане статистического приемочного контроля по количественному признаку
(3.3).
[ИСО 3534-2]
3.18 статистика качества,
Q (quality statistic,
Q): Функция границ поля допуска
(3.13), выборочного среднего и стандартного отклонения выборки или процесса, используемая для принятия решения о приемке (отклонении) партии.
[ИСО 3534-2]
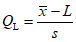
Примечание 1 - В случае единственной границы поля допуска
(3.13) решение о приемке партии может быть принято по результатам сравнения
Q с контрольным нормативом
(3.17) k.
3.19 нижняя статистика качества,
QL (lower quality statistic,
QL): Функция нижней границы поля допуска
(3.14), выборочного среднего и стандартного отклонения выборки или процесса.
Примечание 1 - Для единственной нижней границы поля допуска
(3.14) решение о соответствии партии принимают по результатам сравнения
QL с контрольным нормативом
(3.17) k.
[ИСО 3534-2]
3.20 верхняя статистика качества,
QU (upper quality statistic,
QU): Функция верхней границы поля допуска
(3.15), выборочного среднего и стандартного отклонения выборки или процесса.
Примечание 1 - Для единственной верхней границы поля допуска
(3.15) решение о приемке партии принимают по результатам сравнения
QU с контрольным нормативом
(3.17) k.
[ИСО 3534-2]
3.21 максимальное выборочное стандартное отклонение; MSSD,
smax (maximum sample standard deviation; MSSD,
smax): Наибольшее значение выборочного стандартного отклонения для данного кода объема выборки, жесткости контроля и предельно допустимого уровня несоответствий
(3.6), при котором возможно выполнение критерия приемки объединенного контроля с двумя границами поля допуска
(3.13), когда дисперсия процесса неизвестна.
3.22 максимальное стандартное отклонение процесса; MPSD,

(maximum process standard deviation; MPSD,

): Наибольшее значение стандартного отклонения процесса для данного кода объема выборки и предельно допустимого уровня несоответствий
(3.6), при котором возможно выполнение критерия приемки объединенного контроля с двумя границами поля допуска и AQL
(3.6) при усиленном контроле, когда дисперсия процесса известна.
[ИСО 3534-2]
3.23 правило переключения (switching rule): Установленное в статистическом приемочном контроле
(3.3) правило перехода от одного плана контроля
(3.3) к другому с большей или меньшей жесткостью контроля на основании истории качества предыдущей партии.
[ИСО 3534-2]
Примечание 1 - Нормальный, усиленный или ослабленный контроль и прекращение контроля являются примерами контроля с большей или меньшей жесткостью.
3.24 измерения (measurement): Набор операций, используемых для определения значения некоторой величины.
[ИСО 3534-2]
В настоящем стандарте применены следующие обозначения:
cU - коэффициент, используемый при определении верхней контрольной границы для выборочного стандартного отклонения (см.
приложение H);
fs - коэффициент, связывающий максимальное выборочное стандартное отклонение с разностью
U и
L (см.
приложение D);

- коэффициент, связывающий максимальное стандартное отклонение процесса при усиленном контроле с разностью
U и
L (см.
приложение E);
k - контрольный норматив формы
k при использовании единственной характеристики качества и единственной границы поля допуска (см.
приложение C для

и
приложение B для s-метода);
L - нижняя граница поля допуска (как индекс переменной, обозначает ее значение в точке нижней границы поля допуска);

- среднее процесса (истинное);
N - объем партии (количество единиц продукции в партии);
n - объем выборки (количество единиц продукции в выборке);

- оценка доли несоответствующих единиц продукции процесса;

- оценка доли несоответствующих единиц продукции процесса ниже нижней границы поля допуска;

- оценка доли несоответствующих единиц продукции процесса выше верхней границы поля допуска;
p* - максимальное приемлемое значение оценки доли несоответствующих единиц продукции процесса;
Pa - вероятность приемки;
Q - статистика качества;
QL - нижняя статистика качества.
Примечание - Статистика
QL равна

, если стандартное отклонение процесса неизвестно, и равна

, если его предполагают известным;
QU - верхняя статистика качества.
Примечание - Статистика
QU равна

, если стандартное отклонение процесса неизвестно, и равна

, если его предполагают известным;
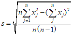
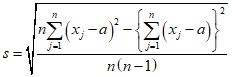
s - выборочное стандартное отклонение результатов измерений характеристики качества (а также оценка стандартного отклонения процесса)
smax - максимальное выборочное стандартное отклонение (MSSD);

- стандартное отклонение процесса, который находится в состоянии статистической управляемости (истинное).
Примечание -

- квадрат стандартного отклонения процесса или дисперсия процесса;

- максимальное стандартное отклонение процесса (MPSD);
U - нижняя граница поля допуска (как индекс переменной, обозначает ее значение в точке нижней границы поля допуска);
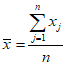
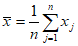
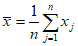
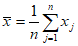
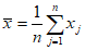
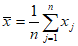
xj - результат измерения характеристики качества для j единицы продукции в выборке;

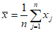
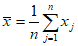
- среднее арифметическое значений характеристики качества единиц продукции в выборке

.
5. Предельно допустимый уровень несоответствий
AQL - уровень несоответствий, представляющий собой предельно допустимую долю несоответствующих единиц продукции процесса, если на статистический приемочный контроль представлена непрерывная серия партий. Хотя отдельные партии с таким уровнем несоответствий, как AQL, могут быть приняты с довольно высокой вероятностью, AQL не является целевым уровнем несоответствий. Схемы выборочного контроля, приведенные в настоящем стандарте, вместе с правилами переключения и прекращения выборочного контроля стимулируют поставщиков к постоянной поддержке доли несоответствующих единиц продукции процесса менее соответствующего AQL. В противном случае существует высокий риск, что нормальный контроль будет переключен на усиленный контроль, при котором критерии приемки партии становятся более жесткими. Усиленный контроль сохраняется, пока не предприняты действия по улучшению процесса. В ожидании такого улучшения может вступить в силу правило по прекращению выборочного контроля.
AQL вместе с кодом объема выборки используют для обозначения планов выборочного контроля, приведенных в настоящем стандарте.
5.3. Выбор и назначение AQL
Используемый AQL должен быть указан в технических условиях (стандарте) на продукцию, контракте или установлен уполномоченной стороной. При наличии верхней и нижней границ поля допуска в настоящем стандарте рассмотрен только случай применения общего AQL для совокупного процента несоответствующих единиц продукции вне обеих границ, т.е. случай "объединенного контроля" (см. настоящий стандарт для "индивидуального" и "сложного" контроля при наличии двух границ поля допуска).
5.4. Предпочтительный AQL
В настоящем стандарте использовано шестнадцать значений AQL - от 0,01 до 10% несоответствующих единиц продукции, рекомендованных как предпочтительные AQL. Эти значения AQL являются предпочтительными, поскольку эти значения используют в таблицах и картах <1>. Если для продукции или услуг указан другой предпочтительный AQL, то настоящий стандарт в этом случае не применим (см.
14.2).
--------------------------------
<1> Примеры соответствующих таблиц представлены в
разделе 24.
Из приведенного в
5.1 определения AQL следует, что желательная защита потребителя может быть обеспечена только в случае контроля непрерывной серии партий.
Назначение AQL не предусматривает, что поставщик может сознательно поставлять несоответствующие единицы продукции.
6. Правила переключения на нормальный, усиленный и ослабленный контроль
Правила переключения являются одним из стимулов для изготовителя избегать уровней несоответствий больше AQL. Настоящий стандарт предусматривает в этом случае переключение на усиленный контроль, если результаты контроля показывают, что AQL превышен. Правило переключения предусматривает прекращение выборочного контроля, если не произошло быстрого улучшения процесса производства.
Усиленный контроль и правила прекращения контроля являются неотъемлемой частью и обязательной процедурой настоящего стандарта.
Настоящий стандарт предусматривает также возможность переключения на ослабленный контроль, если результаты контроля указывают, что уровень несоответствий устойчиво и надежно держится на уровне менее AQL. Однако эта практика является дополнительной, представленной на усмотрение уполномоченной стороны.
Если имеется достаточно свидетельств на основе контрольных карт (см.
20.1), что изменчивость невелика и процесс находится в области статистической управляемости, необходимо рассмотреть возможность перехода на

. Если это выгодно, то последовательные значения
s (выборочное стандартное отклонение) следует брать в качестве значения

(см.
раздел 23).
Если необходимо прекратить статистический приемочный контроль, контроль в соответствии с настоящим стандартом не должен быть возобновлен, пока изготовитель не провел действия по улучшению качества продукции.
a) Настоящий стандарт дополняет ИСО 2859-1. Эти два стандарта имеют общую философию и максимально близки по процедурам и терминам.
b) Оба стандарта используют AQL для обозначения планов выборочного контроля, а предпочтительные значения, используемые в настоящем стандарте, идентичны данным для процента несоответствующих единиц продукции в ИСО 2859-1 (т.е. от 0,01 до 10%).
c) В обоих стандартах объем партии и уровень контроля (уровень контроля II при отсутствии указаний) определяют код объема выборки. Затем общие таблицы дают объем выборки и критерий приемки, соответствующие коду объема выборки и AQL. Отдельные таблицы приведены для s-метода и

, а также нормального, усиленного и ослабленного контроля.
d) Правила переключения эквивалентны.
a) Решение о приемке (отклонении) партии. При использовании плана выборочного контроля по альтернативному признаку по ИСО 2859-1 для принятия решения определяют число несоответствующих единиц продукции в выборке. При использовании плана выборочного контроля по количественному признаку решение основано на определении расстояния между оценкой среднего процесса и границей поля допуска с учетом оценки или предполагаемого значения стандартного отклонения процесса. В настоящем стандарте рассмотрено два метода: s-метод, если стандартное отклонение процесса

предполагают неизвестным, и

, если стандартное отклонение процесса известно. В случае единственной границы поля допуска решение о приемке (отклонении) партии принимают в соответствии с формулами (см.
16.2 и
17.2), но для s-метода решение можно принять на основе графического метода (см.
16.3). В случае объединенного контроля с двумя границами поля допуска для s-метода настоящим стандартом установлен только графический метод (см.
16.4); в случае объединенного контроля с двумя границами поля допуска для

представлен числовой метод.
b) Нормальность. В ИСО 2859-1 отсутствуют требования относительно распределения контролируемых характеристик. Однако в соответствии с настоящим стандартом для эффективной работы планов выборочного контроля необходимо предположение о том, что измеряемые величины подчиняются нормальному или близкому к нормальному распределению.
c) Кривые оперативных характеристик (кривые OC <1>). Кривые OC планов контроля по количественному признаку настоящего стандарта не идентичны таковым для соответствующих планов контроля по альтернативному признаку по ИСО 2859-1. Кривые для неизвестного стандартного отклонения процесса должны быть подобраны путем минимизации области между кривыми, представляющими квадраты значений OC. Метод уделяет большое внимание совпадению высших точек кривых OC столь близко, что во многих практических ситуациях кривые OC для количественных и альтернативных данных можно считать идентичными. Планы в случае известного стандартного отклонения процесса определены путем минимизации области между квадратами функций OC при сохранении контрольного норматива формы p*, как и для соответствующего случая с неизвестным стандартным отклонением, т.е. только объем выборки мог быть изменен, так что общее совпадение было менее полным.
--------------------------------
<1> OC - Operating Characteristic.
d) Риск изготовителя. Для процесса с уровнем несоответствий, равным AQL, риск изготовителя, т.е. вероятность того, что партия не будет принята, имеет тенденцию убывать с увеличением на единицу объема выборки и уменьшением на единицу AQL, т.е. вниз по диагонали основных таблиц, идущей из правого верхнего угла к основанию. Изменения вероятностей аналогичны, но не идентичны описанным в ИСО 2859-1.
Примечание - Риск изготовителя для планов контроля приведен в
приложении L.
e) Объемы выборки. Объемы выборки при контроле по количественному признаку, соответствующие данному коду и AQL, обычно меньше, чем соответствующие объемы выборки при контроле по альтернативному признаку (для тех же самых кодов объема выборки). Это особенно характерно для

. Кроме того, вследствие метода, с помощью которого получены планы для контроля количественных данных, эти объемы выборок изменяются быстрее AQL для данного кода объема выборки.
f) Двухступенчатые планы выборочного контроля. Двухступенчатые планы выборочного контроля представлены в ИСО 3951-3.
g) Многоступенчатые планы выборочного контроля. Многоступенчатые планы выборочного контроля для количественных данных приведены в настоящем стандарте.
h) Предел среднего выходного качества (AOQL <2>). Понятие AOQL применяют при выполнении сплошного контроля и переделке непринятых партий. Из этого следует, что AOQL не может быть применен при разрушающих или дорогостоящих испытаниях. Поскольку планы контроля по количественному признаку обычно используют именно в этих ситуациях, таблицы AOQL не включены в настоящий стандарт.
--------------------------------
<2> AOQL - Average Outgoing Quality Limit.
8.1. Использование индивидуальных планов
Настоящий стандарт применяют к системам, использующим усиленный, нормальный и ослабленный контроль, в случае непрерывной серии партий для обеспечения защиты потребителя, гарантируя изготовителю большую вероятность приемки партии, если уровень несоответствий продукции меньше AQL.
Некоторые пользователи могут выбрать отдельные планы из настоящего стандарта и использовать их без правил переключения. Например, покупатель может использовать планы только в целях верификации. На это непредусмотренное применение системы, приведенной в настоящем стандарте, не следует ссылаться как "на контроль в соответствии с ИСО 3951-1". В этом случае настоящий стандарт следует рассматривать как собрание отдельных планов, индексированных по AQL. Кривые оперативных характеристик и другие показатели планов должны быть оценены самостоятельно по приведенным таблицам.
8.2. Таблицы уровня несоответствий, соответствующего значению риска потребителя
Если серия партий недостаточно длинная для применения правил переключения, может возникнуть необходимость ограничить набор планов выборочного контроля планами, связанными с определенным значением AQL, которому соответствует качество риска потребителя (CRQ) не хуже, чем указанное предельное качество. Планы выборочного контроля с этой целью могут быть отобраны на основе качества риска потребителя и соответствующего риска потребителя. В
приложении K приведены значения качества риска потребителя для s-метода и

, соответствующие риску потребителя 10%.
Однако применение настоящего стандарта к отдельным партиям не рекомендуется, поскольку теория выборочного контроля по количественному признаку относится к непрерывному производству длинной серии партий. Для отдельных партий или короткой серии партий более эффективным является использование планов контроля по альтернативному признаку, таких как в ИСО 2859-2 (см. также
[5]).
8.3. Таблицы риска изготовителя
В
приложении L приведены значения вероятности неприемки по s-методу и

для партий, у которых доля несоответствующих единиц продукции процесса равна AQL. Эту вероятность называют риском изготовителя.
8.4. Кривые оперативных характеристик
Таблицы значений качества риска потребителя и риска изготовителя дают информацию только о двух точках оперативных характеристик. Степень защиты потребителя, обеспечиваемая индивидуальным планом выборочного контроля для любого уровня несоответствий процесса, может быть оценена с помощью кривой оперативной характеристики (OC). Кривые OC для планов нормального контроля s-методом в соответствии с настоящим стандартом приведены на
графиках B -
R, которые следует учитывать при выборе плана контроля. Те же данные приведены в таблицах качества процесса для девяти стандартных вероятностей приемки и всех планов выборочного контроля s-метода, приведенных в настоящем стандарте.
Эти кривые и таблицы OC относятся к единственной границе поля допуска для s-метода. Большинство из них также дает хорошее приближение для

и случая объединенного контроля с двумя границами поля допуска, особенно для больших объемов выборки. Если требуются более точные значения OC для

, рекомендуется использовать
приложение M.
9. Учет неопределенности измерений
Основные таблицы настоящего стандарта основаны на предположении, что характеристика качества
X единиц продукции в партиях подчиняется нормальному распределению с неизвестным средним процесса

и известным или неизвестным стандартным отклонением процесса

. Кроме того, сделано предположение о том, что результаты измерений
X не включают ошибку измерений, т.е. результат измерения характеристики единицы продукции
xi представляет собой истинное значение характеристики
xi. Однако основные таблицы могут быть также использованы с соответствующими поправками при наличии погрешности измерений.
Если стандартное отклонение методики выполнения измерений не превышает 10% стандартного отклонения изучаемого процесса, неопределенность методики выполнения измерений можно не учитывать. В противном случае, когда стандартное отклонение методики выполнения измерений превышает 10% стандартного отклонения процесса, объем выборки необходимо увеличить, хотя контрольный норматив остается тем же. Кроме того, если ни стандартное отклонение методики выполнения измерений, ни стандартное отклонение процесса неизвестны, необходимо сделать более одного измерения на каждой единице продукции из выборки, а из общей изменчивости измерений должны быть выделены компоненты, соответствующие методике выполнения измерений и процессу.
Выбор наиболее подходящего плана контроля по количественному признаку, (если он существует), требует опыта, анализа и некоторого знания статистики и контролируемой продукции.
Разделы 11 -
13 настоящего стандарта помогают ответственному специалисту при выборе плана выборочного контроля. В этих разделах указаны факторы, которые должны быть учтены при выборе плана контроля по количественному признаку из соответствующих стандартных планов.
11. Выбор между контролем по количественному и альтернативному признакам
Первое, что необходимо решить при выборе плана контроля, - определить, какой план контроля (по количественному или альтернативному признаку) следует использовать. При этом необходимо учесть следующее:
a) с позиции экономики следует сравнить выборочный контроль относительно большого количества единиц продукции при применении схемы контроля по альтернативному признаку с более сложной в общем случае процедурой контроля по количественному признаку, которая обычно отнимает много времени и требует больших затрат;
b) контроль по количественному признаку позволяет получить более точную информацию о качестве продукции. Он обеспечивает раннее обнаружение снижения качества;
c) схема контроля по альтернативному признаку может быть более понятной и приемлемой. Например, на первых порах может быть трудно признать, что при контроле по количественному признаку партия может быть отклонена на основе результатов измерений элементов выборки, которая не содержит несоответствующих единиц продукции (см. примеры в
16.4.2 и
16.4.4);
d) сравнение объема требуемой выборки для одного и того же AQL в соответствии со стандартными планами контроля по альтернативному признаку (по ИСО 2859-1) и стандартными планами настоящего стандарта показывает, что наименьшего объема выборки требует

(используемый, когда стандартное отклонение процесса предполагают известным). Объемы выборки s-метода (используемого, когда стандартное отклонение процесса неизвестно) также существенно меньше, чем при контроле по альтернативному признаку;
e) контроль по количественному признаку является особенно подходящим в сочетании с использованием контрольных карт;
f) выборочный контроль по количественному признаку имеет существенное преимущество, когда процесс контроля является дорогостоящим, например, в случае разрушающих испытаний;
g) схема контроля по количественному признаку становится относительно более сложной при увеличении количества измерений, выполняемых на каждой единице продукции. Настоящий стандарт не применим для двух или более характеристик качества, см. ИСО 3951-2;
h) настоящий стандарт применим только в случае, когда можно считать, что распределение результатов измерений характеристики качества является нормальным. В случае сомнений необходимо консультироваться с уполномоченной стороной.
Примечание 1 - Процедура проверки отклонения от нормального распределения установлена в ИСО 5479.
Примечание 2 - Отклонение от нормального распределения может быть вызвано наличием выбросов, анализ и обработка которых установлены в ИСО 16269-4.
12. Выбор между s-методом и

При использовании контроля по количественному признаку необходимо определить, какой метод (s-метод или

) следует применять. Самым экономичным по объему выборки является

, но до его применения должно быть установлено значение

.
Необходимо начинать с s-метода. По согласованию с уполномоченной стороной, если качество продукции остается удовлетворительным, стандартные правила допускают переключение на ослабленный контроль и использование меньшего объема выборки.
Затем следует решить вопрос о возможности перехода на

<1>, если изменчивость находится внутри контрольных границ и приемка партий продолжается. Объем выборки для s-метода меньше, и критерий приемки является более простым (см.
17.2). С другой стороны, все еще необходимо вычислять стандартное отклонение выборки
s для отчета и применять контрольные карты (см.
раздел 20). Вычисление
s может представляться сложным, но эта трудность при наличии калькулятора или компьютера в большей мере кажущаяся, чем реальная. Методы определения
s и

приведены в
приложении J.
--------------------------------
13. Выбор уровня контроля и AQL
Для стандартного плана выборочного контроля уровень контроля вместе с объемом партии и AQL определяют объем выборки и управляют жесткостью контроля. Соответствующая кривая OC (см.
рисунки B -
R или
таблицы B -
R) показывает риск, соответствующий такому плану.
На выбор уровня контроля и AQL влияет множество факторов, но главным образом баланс между общими затратами на контроль и затратами, связанными с несоответствующими единицами продукции.
В
таблице A.1 приведено три уровня контроля I, II и III. Обычно используют уровень контроля II, если специально не установлено, что другой уровень контроля является более приемлемым. Уровень I может быть использован при необходимости наименьшей дискриминации, а уровень III - когда необходима большая дискриминация. В
таблице A.1 также приведены четыре дополнительных специальных уровня: S-1, S-2, S-3 и S-4, которые могут быть использованы, когда необходим относительно небольшой объем выборки и допустимы большие значения рисков.
Стандартная процедура может быть применена только при непрерывном производстве.
Эта стандартная процедура, использующая уровень контроля II и начинающаяся с s-метода, для заданного объема партии позволяет определить объем выборки и таким образом выбрать план выборочного контроля. Но все это справедливо при условии, что сначала определяют AQL, затем - объем выборки и лишь потом - предельное качество.
В системе применены правила переключения, которые защищают потребителя (см.
разделы 21,
22 и
23). Эти правила повышают жесткость контроля и прекращают контроль (см.
раздел 22), если качество процесса сохраняется на уровне хуже AQL.
Примечание - Предельное качество - это уровень несоответствий, которому соответствует вероятность приемки 0,1. На практике риск потребителя зависит от вероятности представления на контроль продукции такого низкого качества.
Однако в некоторых случаях предельное качество имеет более высокий приоритет, чем объем выборки. В этой ситуации подходящий план в соответствии с настоящим стандартом может быть подобран с помощью
графика A. Для этого необходимо построить вертикальную линию через приемлемое значение предельного качества и горизонтальную линию через желательное качество с вероятностью приемки 0,95 (т.е. приблизительно равное AQL). Точка пересечения этих двух линий попадает на или под линию, индексированную кодом объема выборки стандартного плана нормального контроля, который отвечает указанным требованиям. Это необходимо проверить с помощью кривой OC по
графикам B -
R в соответствии с указанным кодом объема выборки и AQL.
Однако использование этого метода не следует применять к отдельной партии и короткой серии партий (см.
8.2).
Пример - Приемлемое значение предельного уровня качества составляет 6,0% несоответствующих единиц продукции, а желательное качество с вероятностью приемки 0,95 равно 2,0% несоответствующих единиц продукции. Вертикальная линия на графике A
(рисунок 4) для 6,0% несоответствующих единиц продукции и горизонтальная линия для 2,0% несоответствующих единиц продукции пересекаются ниже наклонной линии, обозначенной буквой L. Анализ кривой L показывает, что план с кодом объема выборки L и AQL, равным 1,5%, соответствует требованиям.
Если линии пересекаются в точке выше линии, обозначенной буквой R на
графике A, это означает, что требования не могут быть выполнены ни одним из планов настоящего стандарта.
Если стандартные планы являются неприемлемыми, необходимо разработать специальный план. Затем следует решить, какая комбинация AQL, предельного качества и объема выборки является наиболее подходящей, учитывая, что эти величины являются зависимыми (выбор двух из них определяет значение третьей).
Этот выбор не является полностью свободным. То, что объем выборки является обязательно целым числом, налагает некоторые ограничения. Если необходима специальная схема, ее следует разработать только с помощью специалиста, имеющего опыт в области математической статистики и контроля качества.
15. Предварительные действия
До начала контроля по количественному признаку необходимо проверить следующее:
a) является ли производство непрерывным и можно ли считать распределение характеристики качества нормальным.
Примечание 1 - Для проверки отклонений от нормального распределения см. ИСО 5479.
Примечание 2 - Если до проведения статистического приемочного контроля была проведена разбраковка партии с заменой несоответствующих единиц продукции, то распределение изменится и настоящий стандарт не применим;
b) возможность использования первоначально s-метода и постоянство стандартного отклонения при известном значении

, если должен быть использован

;
c) определен ли уровень контроля (в противном случае необходимо использовать уровень контроля II);
d) равную значимость несоответствий вне каждой границы поля допуска для характеристики качества с двумя границами поля допуска (в противном случае необходимо использовать ИСО 3951-2);
e) значение AQL определено и является одним из предпочтительных AQL в соответствии с настоящим стандартом (в противном случае таблицы не применимы).
16. Стандартная процедура s-метода
16.1. Определение плана выборочного контроля и предварительные вычисления
Процедура определения и выполнения плана:
a) в соответствии с уровнем контроля (обычно это уровень II) и объемом партии по
таблице A.1 определяют код объема выборки;
b) для единственной границы поля допуска по
таблицам B.1,
B.2 или
B.3 в соответствии с этим кодом и AQL определяют объем выборки
n и контрольный норматив
k. Для объединенного контроля с двумя границами поля допуска и с объемом выборки не менее пяти находят соответствующую кривую приемки по
графикам s-D -
s-R;
c) отбирают случайную выборку объема
n, измеряют характеристику качества
x для каждой единицы продукции в выборке, а затем вычисляют выборочное среднее

и выборочное стандартное отклонение
s (см.
приложение J). Если

лежит вне границ поля допуска, партия может быть признана несоответствующей даже без вычисления
s. Однако вычисление
s необходимо для отчета.
16.2. Критерии приемки при наличии одной границы поля допуска
Если задана односторонняя граница поля допуска, вычисляют статистику качества

(1)
или

. (2)
Затем сравнивают статистику качества (
QU или
QL) с контрольным нормативом
k, определенным по
таблицам B.1,
B.2 или
B.3 для нормального, усиленного или ослабленного контроля соответственно. Если статистика качества больше контрольного норматива или равна ему, партию принимают. В противном случае партию отклоняют.
Таким образом, если задана только верхняя граница поля допуска U, партию принимают, если QU >= k, и отклоняют, если QL < k. Если задана только нижняя граница поля допуска L, партию принимают, если QL >= k, и отклоняют, если QL < k.
Пример 1 - Единственная верхняя граница поля допуска.
Максимальная температура процесса для устройства установлена равной 60 °C. Из предварительных данных известно, что рабочая температура подчиняется нормальному распределению. Производство контролируют партиями по 100 единиц продукции. Применяют уровень контроля II, нормальный контроль с AQL = 2,5%. В соответствии с
таблицей A.1 код объема выборки - F. В соответствии с
таблицей B.1 необходимый объем выборки равен 13, а контрольный норматив
k равен 1,426. Результаты измерений составили 53 °C; 57 °C; 49 °C; 58 °C; 59 °C; 54 °C; 58 °C; 56 °C; 50 °C; 50 °C; 55 °C; 54 °C; 57 °C. Необходимо определить соответствие продукции установленным требованиям.
Необходимая информация | Полученные значения |
Объем выборки n | 13 |
Выборочное среднее  | 54,62 °C |
| | ИС МЕГАНОРМ: примечание. Здесь и далее по тексту, видимо, допущены опечатки: имеется в виду пункт J.1.2, а не K.1.2. | |
|
Выборочное стандартное отклонение | 3,330 °C |
Граница поля допуска (верхняя) U | 60 °C |
Верхняя статистика качества  | 1,617 |
| 1,426 |
Критерий приемки QU >= k | 1,617 > 1,405 |
Поскольку критерий приемки выполняется, партию принимают.
Пример 2 - Единственная нижняя граница поля допуска (использование стрелки в основной таблице).
Пиротехнический механизм имеет заданное минимальное время задержки 4,0 с. Продукцию контролируют в партиях по 1000 единиц продукции с уровнем контроля II и при нормальном контроле с AQL, равным 0,1% для нижней границы. В соответствии с
таблицей A.1 код объема выборки -
J. Однако в
таблице B.1 для кода объема выборки
J и AQL 0,1% находится стрелка, указывающая на клетку ниже. Это означает, что полностью подходящий план недоступен, а следующий лучший план имеет код объема выборки
K, т.е. объем выборки составляет 28 и контрольный норматив
k = 2,580. Отобрана случайная выборка объема 28. Времена задержки в секундах для механизмов в выборке следующие:
6,95 | 6,04 | 6,68 | 6,63 | 6,65 | 6,52 | 6,59 |
6,40 | 6,44 | 6,34 | 6,04 | 6,15 | 6,29 | 6,63 |
6,44 | 7,15 | 6,70 | 6,59 | 6,51 | 6,80 | 5,94 |
6,35 | 7,17 | 6,83 | 6,25 | 6,96 | 7,00 | 6,38 |
Необходимо определить соответствие продукции требованиям критерия приемки.
Необходимая информация | Полученные значения |
Объем выборки n | 28 |
Выборочное среднее  | 6,551 с |
Выборочное стандартное отклонение | 0,3251 с |
Нижняя граница поля допуска L | 4,0 с |
Нижняя статистика качества  | 7,847 |
| 2,580 |
Критерий приемки: QL >= k | Да (7,847 > 2,580) |
Поскольку критерии приемки выполнен, партию принимают.
16.3. Графический метод для единственной границы поля допуска
При использовании графического критерия на миллиметровой бумаге строят прямую

(для верхней границы) или

(для нижней границы), соответственно, с

в качестве вертикальной оси и
s в качестве горизонтальной оси. При контроле с заданной нижней границей поля допуска зоной приемки является область ниже линии. При контроле с заданной верхней границей поля допуска зоной приемки является область выше линии. На график наносят точку (
s,

). Если эта точка находится в зоне приемки, партию принимают; в противном случае партию отклоняют.
Пример - Графический метод в случае верхней границы поля допуска.
Для применения графического метода к данным примера 1 из
16.2 на вертикальной оси

следует отметить точку
U = 60 и провести через эту точку прямую с угловым коэффициентом (-
k). Поскольку
k = 1,426, прямая проходит через точки (
s = 1,

), (
s = 2,

), (
s = 3,

) и т.д. Выбирают подходящую точку и проводят прямую линию через эту точку и точку (
s = 0,

), т.е. точку (0,
U). Зоной приемки является область под этой прямой.
Значения s и

составляют 3,330 и 54,62. Точка (s,

) в соответствии с рисунком 1 находится в зоне приемки, поэтому партию принимают. График должен быть подготовлен до начала контроля серии партий. Тогда, изображая на графике точку (s,

), для каждой партии можно легко принимать решение о приемке или отклонении партии.
Рисунок 1 - Пример использования приемочной карты <1>
для единственной границы поля допуска и s-метода
--------------------------------
<1> См. ИСО 3534-2.
16.4. Критерий приемки для объединенного контроля с двумя границами поля допуска
16.4.1 Общие положения
Для s-метода при объединенном контроле с двумя (верхней и нижней) границами поля допуска, т.е. общим AQL, заданным в виде доли единиц продукции процесса, не попадающих в границы поля допуска, настоящий стандарт устанавливает графический метод принятия решения о приемке партии для всех объемов выборки, за исключением объемов выборки 3 и 4 (ИСО 3951-2 устанавливает только расчетные методы). Чем больше изменчивость выборки, тем меньше вероятность выполнения требований. Если значение
s превышает значение максимального стандартного отклонения выборки (MSSD), полученного в соответствии с
таблицами D.1,
D.2 или
D.3, дальнейшие вычисления или работа с графиками не требуются, так как партия должна быть немедленно отклонена.
Численные методы приведены для объединенного контроля с двумя границами поля допуска и объемами выборки 3 и 4.
16.4.2 Процедура для объема выборки 3
В
приложении B рассмотрены три случая, когда необходимый объем выборки равен трем для s-метода с кодом объема выборки B при нормальном контроле для AQL 4% и с кодом объема выборки B при усиленном контроле для AQL 6,5% и с кодом объема выборки B - D при ослабленном контроле для AQL 1,5%.
Для объема выборки 3 после вычисления выборочного среднего

и стандартного отклонения
s находят значение коэффициента
fs из
таблиц D.1,
D.2 или
D.3. Определяют максимальное выборочное стандартное отклонение (т.е. допустимый максимум) по формуле:
MSSD = smax = (U - L)fs. (3)
Затем сравнивают
s с
smax. Если
s больше
smax, то партию отклоняют без дальнейших вычислений. В противном случае определяют значения

и

, умножают
QU и
QL на

(т.е. приблизительно на 0,866) и используют
таблицу F.1 для определения оценок

и

доли несоответствующих единиц продукции процесса вне верхней и нижней границ поля допуска.
Примечание 1 - Отрицательное значение
Q соответствует оценкам доли несоответствующих единиц продукции процесса выше 0,5 и соответствующей границы поля допуска, следовательно, приводит согласно требованиям настоящего стандарта к отклонению партии. Однако при вычислении этого значения для отчета оценка доли несоответствующих единиц продукции процесса может быть получена путем определения по
таблице F.1 (приложение F) для абсолютного значения величины

с последующим вычитанием этого значения из 1,0. Например, если
QU = -0,156, то

.
Таблица F.1 для 0,135 дает значение 0,4569. Вычитание этого значения из 1,0 дает

.
Примечание 2 - Теоретическое обоснование
таблицы F.1 приведено в
приложении K. Вместо использования
таблицы F.1 оценку доли несоответствующих единиц продукции процесса вне границ поля допуска при
n = 3 можно вычислить непосредственно:

(4)
Оценка

является суммой

и

, т.е.

. Если

не превышает максимального значения
p*, приведенного в
таблице G.1, партию принимают. В противном случае партию отклоняют.
Пример - Объединенный контроль с двумя границами поля допуска, когда объем выборки равен трем.
Торпеды, поставляемые в партиях по 100 шт., контролируют на точность попадания по горизонтали. Положительные или отрицательные угловые ошибки одинаково недопустимы. Таким образом, применяют объединенный контроль с двумя границами поля допуска. Границы поля допуска равны 10 м в любую сторону от цели на расстоянии 1 км с AQL, равным 4%. Поскольку испытания являются разрушающими и очень дорогостоящими, между изготовителем и уполномоченной стороной было достигнуто соглашение, что должен быть использован специальный уровень контроля S-2. В соответствии с
таблицей A.1 (приложение A) код объема выборки - B. В соответствии с
таблицей B.1 (приложение B) объем выборки равен трем. Испытания трех торпед дали отклонения: минус 5,0; 6,7 и 8,8 м. Необходимо определить соответствие торпед установленным требованиям при нормальном контроле.
Необходимая информация | Полученное значение |
Объем выборки n | 3 |
Выборочное среднее  | 3,5 м |
Стандартное отклонение выборки | 7,436 м |
| 0,475 |
smax = (U - L) fs = [10 - (-10)] x 0,475 | 9,50 |
Так как s = 7,436 < smax = 9,50, партию принимают.
Результаты вычислений:
| 0,8741 |
| 1,815 |
| 0,757 |
| 1,572 |
| 0,2267 |
| 0,0000 |
| 0,2267 |
| 0,1924 |
Так как

, партию отклоняют.
Примечание - Эта партия не может быть принята, несмотря на то что все контролируемые единицы продукции лежат внутри границ поля допуска.
16.4.3 Процедура для объема выборки 4
Для s-метода с объемом выборки
L после вычисления выборочного среднего

и выборочного стандартного отклонения
s находят значение коэффициента
fs по
таблицам D.1,
D.2 или
D.3 (приложение D). Максимальное стандартное отклонение выборки (т.е. допустимый максимум) определяют по формуле:
MSSD = smax = (U - L)fs. (5)
Затем сравнивают s с smax. Если s больше MSSD, то партия может быть отклонена без дальнейших вычислений.
В противном случае определяют значения

и

. Вычисляют:

(6)

(7)
Оценка

является суммой

и

. Если

не превышает максимально допустимое значение
p*, определенное по
таблице G.1, партию принимают. В противном случае партию отклоняют.
Пример - Продукцию изготовляют партиями по 25 шт. Нижняя и верхняя границы поля допуска на диаметры составляют 82 и 84 мм соответственно. Единицы продукции со слишком большими диаметрами являются несоответствующими, как и единицы продукции со слишком маленькими диаметрами, поэтому контролируют общую долю несоответствующих единиц продукции с AQL = 2,5% и уровнем контроля II. Сначала применяют нормальный контроль, в соответствии с
таблицей A.1 код объема выборки
C. По
таблице B.1 объем выборки равен четырем. Диаметры четырех единиц продукции первой партии составляют 82,4; 82,2; 83,1 и 82,3 мм. Необходимо проверить соответствие продукции установленным требованиям при нормальном контроле.
Необходимая информация | Полученное значение |
Объем выборки n | n = 4 |
Выборочное среднее  | 82,50 мм |
Стандартное отклонение выборки | 0,4082 мм |
Верхний предел поля допуска U | 84,0 мм |
Нижний предел поля допуска L | 82,0 мм |
| 0,365 |
smax = (U - L) fs = (84 - 82) x 0,376 | 0,730 мм |
Так как s = 0,4082 < smax = 0,730, партию принимают.
Результаты вычислений
| 3,6747 |
| 1,2249 |
| 0,0000 |
| 0,0917 |
| 0,0917 |
| 0,0860 |
Так как

, партию принимают.
16.4.4 Процедура для объема выборки больше четырех
После вычисления выборочного среднего

и стандартного отклонения выборки
s находят значение
fs по
таблицам D.1,
D.2 или
D.3 (приложение D). Определяют максимальное стандартное отклонение выборки по формуле:
MSSD = smax = (U - L)fs.
Затем сравнивают s с smax. Если s больше smax, то партию можно отклонить без дальнейших вычислений.
В противном случае используют схемы s-D - s-R, выбирая график, соответствующий коду объема выборки, и выбирают кривую приемки с AQL, установленным для двух границ поля допуска.
Затем вычисляют значения
s/(
U -
L) и

и изображают на графике точку, соответствующую этим значениям. Если точка лежит с внутренней стороны кривой, партию принимают. Если точка лежит с внешней стороны кривой, партию отклоняют.
Для большего удобства рекомендуется до начала контроля построить кривые приемки для нормального, усиленного и ослабленного контроля. Масштаб по осям должен быть такой, чтобы
s и

могли быть изображены на графике (т.е. верхняя граница поля допуска соответствовала 1,0, а нижняя граница поля допуска соответствовала 0,0 на вертикальной оси).
Затем изображают на графике точку с координатами s и

, соответствующими выборке. Если точка лежит с внутренней стороны кривой, партию принимают. Если точка лежит с внешней стороны кривой, партию отклоняют.
Пример - Определение приемлемости партии при объединенном контроле с двумя границами поля допуска, когда объем выборки 5 или более.
Минимальная температура функционирования устройства равна 60 °C, а максимальная температура равна 70 °C. Продукцию контролируют партиями по 80 единиц продукции. Используют уровень контроля II, нормальный контроль с AQL = 1,5%. По
таблице A.1 кодом объема выборки является
E. В соответствии с
таблицей B.1 (приложение B) объем выборки равен 13. В соответствии с
таблицей D.1 (приложение D), значение
fs для MSSD при нормальном контроле равно 0,274. Полученные результаты измерений составили: 63,5 °C; 61,9 °C; 65,2 °C; 61,7 °C; 68,4 °C; 67,1 °C; 60,0 °C; 66,4 °C; 62,8 °C; 68,0 °C; 63,4 °C; 60,7 °C; 65,8 °C. Необходимо принять решение о приемке или отклонении партии.
Необходимая информация | Полученное значение |
Объем выборки n | 13 |
Выборочное среднее  | 64,223 °C |
Стандартное отклонение выборки (см. K.1.2, приложение K) | 2,7899 °C |
Верхняя граница поля допуска | 70,0 °C |
Нижняя граница поля допуска | 60,0 °C |
Значение fs для MSSD ( smax) ( таблица D.1, нормальный контроль) | 0,274 |
MSSD = smax = (U - L)fs = (70 - 60) x 0,274 | smax = 2,74 °C |
Поскольку значение s превышает smax, партию отклоняют.
Примечание - Эту партию отклоняют несмотря на то, что все контролируемые единицы продукции находятся в пределах поля допуска.
Предположим, что AQL = 2,5%, а не 1,5%. В этом случае fs = 0,285, smax = (70 - 60) 0,285 = 2,85 °C. Поскольку теперь s меньше smax, невозможно принять решение о приемке или отклонении партии.
Соответствующая кривая приемки взята из схемы
s-E. Если, как на рисунке 2, масштаб подобран в соответствии с реальными результатами измерений, на нем можно изобразить точку (
s = 2,79;

). Она не находится внутри кривой для AQL = 2,5%. Таким образом, партия не может быть принята.
Рисунок 2 - Пример использования приемочной карты
для объединенного контроля с двумя границами поля допуска
s-метода в масштабе реальных результатов измерений
Для выбора масштаба по осям графика в соответствии со значениями
s и

, необходимы следующие дополнительные вычисления:
стандартизованное выборочное среднее:

;
стандартизованное стандартное отклонение выборки s/(U - L) = 2,79/(70 - 60) = 0,279.
Точка (0,279, 0,422) изображена на
рисунке 3. Поскольку она не находится внутри кривой приемки для AQL = 2,5%, партия не может быть принята.
17. Стандартная процедура

17.1. Определение плана, отбор выборки и предварительные вычисления

предназначен для использования только в том случае, когда есть основание считать стандартное отклонение процесса

постоянным с известным значением.
По
таблице A.1 (приложение A) определяют код объема выборки. Затем в зависимости от жесткости контроля по
таблицам C.1,
C.2 или
C.3 в соответствии с кодом объема выборки и указанным AQL определяют объем выборки
n и контрольный норматив
k.
Рисунок 3 - Пример использования приемочной карты
для объединенного контроля с двумя границами поля допуска
s-метода в масштабе [0, 1]
Отбирают случайную выборку объема
n, измеряют контролируемую характеристику
x для всех единиц продукции в выборке и вычисляют выборочное среднее

. Стандартное отклонение выборки
s также необходимо вычислять, но только для проверки стабильности стандартного отклонения процесса во времени (см.
раздел 20).
17.2. Критерии приемки в случае единственной границы поля допуска
Критерий приемки может быть найден в соответствии с процедурой, приведенной для s-метода.
Сначала необходимо заменить
s, полученное по отдельным выборкам, на предполагаемое известным значение стандартного отклонения процесса

и затем сравнить расчетное значение
Q со значением контрольного норматива
k, полученным по
таблицам C.1,
C.2 или
C.3.
При этом критерий приемки

в случае, когда задана только верхняя граница поля доступа, может быть записан как

. Так как значения
U,
k и

известны заранее, приемочное значение

должно быть определено до начала контроля.
При заданной верхней границе поля допуска партию принимают, если

и отклоняют, если

.
Аналогично для нижней границы поля допуска партию принимают, если

и отклоняют, если

.
Пример - Определение приемлемости партии в случае единственной границы поля допуска для

.
Установленный минимальный предел текучести для стальных брусков составляет 400 Н/мм
2. На контроль представлена партия из 500 единиц продукции. При этом уровень контроля II, нормальный контроль, AQL = 0,65%, установлено

. В соответствии с
таблицей A.1 (приложение A) код объема выборки
H. Тогда по
таблице C.1 (приложение C) для AQL = 1,05% объем выборки
n = 11, а контрольный норматив
k = 2,046. Предел текучести элементов выборки составил: 431; 417; 469; 407; 450; 452; 427; 411; 429; 420; 400 Н/мм
2. Необходимо принять решение о приеме/отклонении партии
Необходимая информация | Полученное значение |
Контрольный норматив k | 2,046 |
Известно  | 21 Н/мм2 |
Произведение k  | 42,97 Н/мм2 |
Предел поля допуска L | 400 Н/мм2 |
Приемочное значение  | 442,97 Н/мм2 |
Сумма результатов измерений  | 4713 Н/мм2 |
Объем выборки n | 11 |
Выборочное среднее  | 428,5 Н/мм2 |
Критерий приемки  | 428,5 < 442,97 |
Выборочное среднее партии не удовлетворяет критерию приемки, таким образом партия отклонена.
17.3. Критерий приемки для объединенного контроля с двумя границами поля допуска
Для объединенного контроля с верхней и нижней границами поля допуска, т.е. при наличии общего AQL для процента выходов процесса за границы поля допуска, рекомендуется следующая процедура:
a) до отбора выборки по
таблице E.1 (приложение E) для заданного AQL определяют значение

;
b) вычисляют максимально допустимое значение стандартного отклонения процесса, используя формулу

для MPSD;
c) сравнивают стандартное отклонение процесса

с

. Если

превышает

, изменчивость процесса является недопустимо большой, выборочный контроль проводить бессмысленно, пока не будет продемонстрировано, что изменчивость процесса уменьшена;
d) если

, используют объем партии и заданный уровень контроля для определения кода объема выборки по
таблице A.1 (приложение A);
e) в соответствии с кодом объема выборки и жесткостью контроля (нормальный, усиленный или ослабленный контроль) определяют объем выборки
n и контрольный норматив
k по
таблицам C.1,
C.2 или
C.3 (приложение C) соответственно;
f) вычисляют верхнюю допустимую границу

по формуле

и нижнюю допустимую границу по формуле

;
g) отбирают случайную выборку размера
n из партии и вычисляют выборочное среднее

. Критерий приемки: если

, партию принимают; если

или

, партию отклоняют.
| | ИС МЕГАНОРМ: примечание. Абзац дан в соответствии с официальным текстом документа. | |
Примечание - Если

,

и

близко к

или

, необходимо отдавать предпочтение точному методу, приведенному в 17.3 ИСО 3951-2.
Пример - Определение приемлемости партии объединенным контролем

.
Требования к электрическому сопротивлению детали составляют (520 +/- 50) Ом. Контролируемая партия состоит из 1000 единиц продукции. При этом уровень контроля II, нормальный контроль, с единственным AQL 1,5% для этих двух границ поля допуска (470 и 570 Ом). Значение

известно и равно 18,5 Ом.
Необходимая информация | Полученное значение |
| 0,194 |
Верхняя граница поля допуска U | 570 Ом |
Нижняя граница поля допуска L | 470 Ом |
Максимальное стандартное отклонение процесса  | 19,4 Ом |
Известно  | 18,5 Ом |
(Поскольку

меньше, чем

, выполняют дальнейший анализ)
В соответствии с
таблицей A.1 (приложение A) для заданного объема партии и уровня контроля определяют код объема выборки
J. В соответствии с
таблицей C.1 объем выборки для нормального контроля формы
k n = 19,
k = 1,677. Значения сопротивления в омах для элементов выборки составили: 515; 491; 479; 513; 521; 536; 483; 509; 514; 507; 484; 526; 532; 499; 530; 512; 492; 522; 488.
Необходимо определить приемлемость партии.
| 19 |
| 1,677 |
Верхняя граница  :  | 538,9 Ом |
Нижняя граница  :  | 501,1 Ом |
Сумма результатов измерений  | 10,160 Ом |
Выборочное среднее  | 508,0 Ом |
Так как значение

находится между приемочными границами 501,1 и 538,9 Ом, партию принимают.
Примечание 1 - Хотя

,

находится между

и

. Поэтому приближенный метод применим.
Примечание 2 - Все вычисления, кроме последних двух строк, должны быть выполнены до отбора выборки.
Примечание 3 - Если бы

было равно 20, то

превысило бы MPSD и выборочный контроль даже не следовало бы проводить.
18. Процедура непрерывного контроля
Поскольку план выборочного контроля по количественному признаку предназначен для ситуации:
a) когда контролируемая характеристика подчиняется нормальному распределению;
b) когда ведутся записи;
c) когда применимы правила переключения,
необходимо обеспечить выполнение этих требований.
19. Соответствие нормальному распределению и выбросы
19.1. Соответствие нормальному распределению
Уполномоченная сторона должна проверить нормальность распределения характеристики качества до отбора выборки. При сомнениях необходимо следовать рекомендациям статистика о возможности применения контроля по количественному признаку и необходимости использования специальных критериев для выявления отклонения от нормального распределения в соответствии с ИСО 5479 или раздела 2 ИСО 5725-2.
Выброс (или удаленное наблюдение) - это значение, которое заметно отличается от других наблюдений в выборке. Единственный выброс, даже находящийся в пределах поля допуска, приводит к увеличению выборочной дисперсии и изменению значения выборочного среднего и, как следствие, может привести к неприемке партии (см., например, ИСО 16269-4). Если обнаружены выбросы, решение о том, как следует распоряжаться партией, должно быть согласовано и принято продавцом и покупателем.
Одно из преимуществ контроля по количественному признаку состоит в том, что могут быть выявлены тенденции изменения характеристики качества продукции и приняты необходимые меры, прежде чем будет достигнут недопустимый уровень несоответствий продукции. Однако это возможно только при ведении и поддержке адекватных записей.
Независимо от используемого метода (s-метода или

) необходимо вести и поддерживать записи значений

и
s, предпочтительно в форме контрольных карт (см. ИСО 7870 и ИСО 8258).
Эта процедура должна быть применена (особенно при использовании

) для подтверждения того, что значение
s, полученное по выборке, находится в пределах установленных границ значения

.
Для объединенного контроля с двумя границами поля допуска значения MSSD, приведенные в
таблицах D.1,
D.2 или
D.3 (приложение D), должны быть отмечены на контрольной карте
s как индикатор недопустимого значения.
Примечание - Контрольные карты используют для обнаружения тенденции изменения параметров. Окончательное решение относительно приемки отдельной партии принимают в соответствии с процедурой, приведенной в
разделах 15 и
16.
Особенно аккуратно следует выполнять записи о непринятых партиях. Записи должны отражать применение правил переключения. Любая партия, не принятая в соответствии с планом выборочного контроля, не должна быть повторно представлена на контроль ни полностью, ни частично без разрешения уполномоченной стороны.
21. Выполнение правил переключения
Стандартные правила переключения состоят в следующем:
21.1 Нормальный контроль используют в начале контроля (если иначе не определено) и до тех пор, пока не появится необходимость в использовании усиленного или ослабленного контроля.
21.2 Усиленный контроль должен быть использован в том случае, когда при первоначальном нормальном контроле не приняты две партии из пяти или меньшего количества последовательных партий.
При переходе на усиленный контроль увеличивается значение контрольного норматива
k. Значения
k приведены в
таблице B.2 (приложение B) для s-метода и в
таблице C.2 (приложение C) для

.
21.3 Усиленный контроль должен быть ослаблен, если пять последовательно контролируемых партий при первом предъявлении были приняты при усиленном контроле. В этом случае должен быть восстановлен нормальный контроль.
21.4 Ослабленный контроль может быть установлен после того, как десять последовательных партий были приняты при нормальном контроле, при условии, что эти партии были бы приняты, даже если в качестве AQL было бы использовано предыдущее меньшее значение (например, 0,65% вместо 1%);
- производство находится в состоянии статистической управляемости;
- ослабленный контроль уполномоченная сторона считает желательным.
При ослабленном контроле объем выборки намного меньше, чем при нормальном контроле, значение контролируемого норматива также меньше. Значения
n и
k для ослабленного контроля приведены в
таблице B.3 (приложение B) для s-метода и в
таблице C.3 (приложение C) для

.
Если предыдущие 10 партий были приняты при первоначальном контроле, ослабленный контроль может быть установлен без выполнения условия, указанного в
первом перечислении 21.4, при условии одобрения уполномоченной стороной.
21.5 Ослабленный контроль прекращают и переходят на нормальный контроль, если происходит хотя бы одно из следующих событий:
a) партия не принята;
b) в производстве появляется простой или отклонение от установленных требований;
c) ответственное руководство больше не считает ослабленный контроль предпочтительным.
22. Прекращение и возобновление контроля
Если общее количество непринятых последовательных партий при первоначальном усиленном контроле достигнет пяти, то процедуры приемки в соответствии с настоящим стандартом должны быть прекращены.
Контроль согласно условиям настоящего стандарта не должен быть возобновлен, пока поставщиком не будут выполнены действия по улучшению качества контролируемой продукции или услуги, а уполномоченная сторона не будет удовлетворена эффективностью этих действий. В этом случае должен быть использован усиленный контроль в соответствии с
21.2.
23. Переключения между s-методом и

23.1. Оценка стандартного отклонения процесса
При применении настоящего стандарта необходимо периодически вычислять квадратный корень средневзвешенных значений
s как оценку стандартного отклонения процесса

как в s-методе, так и в

[см.
J.2 (приложении J)]. Значение

должно быть повторно оценено в интервалах из пяти партий, если уполномоченная сторона не определяет другой интервал. Оценка должна быть основана на предшествующих 10 партиях, если уполномоченная сторона не определит другое количество партий для оценки.
23.2. Состояние статистической управляемости
Вычисляют верхнюю границу контроля для каждой из этих 10 партий или другого количества партий, определенного уполномоченной стороной по формуле

, где
cU - коэффициент, зависящий от объема выборки
n и приведенный в
таблице H.1 (приложение H). Если ни одно из стандартных отклонений выборки
sj не превышает соответствующую границу контроля, то можно считать, что процесс находится в состоянии статистической управляемости. В противном случае полагают, что процесс не находится в состоянии статистической управляемости.
Примечание 1 - Если объемы выборок всех партий равны, то значение

является общим для всех партий.
Примечание 2 - Если объем выборки для каждой партии свой, нет необходимости вычислять

для тех партий, у которых стандартное отклонение выборки
si меньше или равно

.
23.3. Переключение с s-метода на

Если процесс находится в состоянии статистической управляемости и применяют s-метод, то может быть назначен

с использованием последнего значения
s для

.
Примечание - Это переключение выполняют в соответствии с распоряжением уполномоченной стороны.
23.4. Переключение с

на
s-метод
Рекомендуется сохранять контрольную карту для
s даже при выполнении

. Как только процесс выходит из состояния статистической управляемости (т.е.
s превышает

), контроль должен быть переключен на
s-метод.
p10 - уровень несоответствий с вероятностью приемки 0,10
(в процентах несоответствующих единиц продукции);
p95 - уровень несоответствий с вероятностью приемки 0,95
(в процентах несоответствующих единиц продукции)
Рисунок 4 - График A. Код объема выборки стандартных
одноступенчатых планов для заданных уровней несоответствий
с вероятностями приемки 0,10 и 0,95
24. Графики B - R. Графики и таблицы значений оперативных характеристик для одноступенчатых планов, нормальный контроль, s-метод
24.1 График и таблица значений оперативных характеристик для кода объема выборки B, s-метод
X - уровень несоответствия в процентах
несоответствующих единиц продукции;
Y - средний процент принятых партий (100Pa)
Рисунок 5 - График B. Кривые оперативных характеристик
для одноступенчатых планов контроля. Нормальный контроль
Таблица 2
Значения кривых оперативных характеристик
для одноступенчатых планов контроля (AQL дан в процентах)
100Pa | AQL (нормальный контроль), код объема выборки B | 100Pa |
4,0 | | 6,5 | 10,0 | |
99,0 | 0,458 | 1,34 | 2,06 | 3,35 | 13,65 | 99,0 |
95,0 | 1,94 | 3,73 | 5,11 | 7,37 | 20,19 | 95,0 |
90,0 | 3,73 | 5,98 | 7,80 | 10,64 | 24,33 | 90,0 |
75,0 | 9,32 | 11,85 | 14,40 | 18,18 | 32,15 | 75,0 |
50,0 | 20,49 | 21,92 | 25,10 | 29,57 | 41,87 | 50,0 |
25,0 | 36,55 | 35,40 | 38,75 | 43,34 | 52,11 | 25,0 |
10,0 | 53,01 | 49,17 | 52,27 | 56,44 | 61,22 | 10,0 |
5,0 | 62,60 | 57,47 | 60,26 | 64,00 | 66,43 | 5,0 |
1,0 | 78,03 | 71,75 | 73,82 | 76,56 | 75,33 | 1,0 |
| 6,5 | | 10,0 | | | |
| AQL (усиленный контроль), код объема выборки B | |
| 1,5 | 2,5 | 4,0 | 6,5 | 10,0 | |
| AQL (ослабленный контроль), код объема выборки D | |
24.2 График и таблица значений кривых оперативных характеристик для кода объема выборки C, s-метод
X - уровень несоответствия в процентах
несоответствующих единиц продукции;
Y - средний процент принятых партий (100Pa)
Рисунок 6 - График C. Кривые оперативных характеристик
для одноступенчатых планов выборочного контроля.
Нормальный контроль
Таблица 3
Значения кривых оперативных характеристик
для одноступенчатых планов выборочного контроля
(AQL дан в процентах)
100Pa | AQL (нормальный контроль), код объема выборки C | 100Pa |
2,5 | | 4,0 | 6,5 | 10,0 | |
99,0 | 0,224 | 0,827 | 1,20 | 1,87 | 4,91 | 15,80 | 99,0 |
95,0 | 1,02 | 2,25 | 2,99 | 4,22 | 9,38 | 22,38 | 95,0 |
90,0 | 2,03 | 3,60 | 4,61 | 6,20 | 12,72 | 26,44 | 90,0 |
75,0 | 5,45 | 7,23 | 8,72 | 10,98 | 19,96 | 33,97 | 75,0 |
50,0 | 13,04 | 13,79 | 15,82 | 18,73 | 30,33 | 43,14 | 50,0 |
25,0 | 25,31 | 23,30 | 25,69 | 29,01 | 42,51 | 52,70 | 25,0 |
10,0 | 39,48 | 34,03 | 36,51 | 39,88 | 54,11 | 61,19 | 10,0 |
5,0 | 48,59 | 41,10 | 43,52 | 46,77 | 60,93 | 66,05 | 5,0 |
1,0 | 65,06 | 54,73 | 56,84 | 59,65 | 72,67 | 74,43 | 1,0 |
| 4,0 | | 6,5 | 10,0 | | | |
| AQL (усиленный контроль), код объема выборки C | |
| 1,0 | 1,5 | 2,5 | 4,0 | 6,5 | 10,0 | |
| AQL (ослабленный контроль), код объема выборки E | |
24.3 График и таблица значений кривых оперативных характеристик для кода объема выборки D, s-метод.
X - уровень несоответствия в процентах
несоответствующих единиц продукции;
Y - средний процент принятых партий (100Pa)
Рисунок 7 - График D. Кривые оперативных характеристик
для одноступенчатых планов выборочного контроля.
Нормальный контроль
Таблица 4
Значения кривых оперативных характеристик
для одноступенчатых планов выборочного контроля
(AQL дан в процентах)
100Pa | AQL (нормальный контроль), код объема выборки D | 100Pa |
1,5 | | 2,5 | 4,0 | 6,5 | 10,0 | |
99,0 | 0,194 | 0,488 | 0,828 | 1,23 | 2,23 | 6,34 | 14,51 | 99,0 |
95,0 | 0,746 | 1,35 | 1,97 | 2,69 | 4,84 | 11,05 | 20,81 | 95,0 |
90,0 | 1,40 | 2,18 | 2,98 | 3,93 | 6,99 | 14,39 | 24,74 | 90,0 |
75,0 | 3,53 | 4,49 | 5,56 | 6,95 | 12,05 | 21,33 | 32,10 | 75,0 |
50,0 | 8,24 | 8,89 | 10,11 | 12,01 | 20,07 | 30,92 | 41,18 | 50,0 |
25,0 | 16,26 | 15,70 | 16,75 | 19,08 | 30,50 | 41,97 | 50,76 | 25,0 |
10,0 | 26,37 | 23,94 | 24,51 | 27,08 | 41,37 | 52,48 | 59,36 | 10,0 |
5,0 | 33,48 | 29,70 | 29,85 | 32,49 | 48,20 | 58,72 | 64,32 | 5,0 |
1,0 | 47,88 | 41,62 | 40,84 | 43,42 | 60,87 | 69,71 | 72,95 | 1,0 |
| 2,5 | | 4,0 | 6,5 | 10,0 | | | |
| AQL (усиленный контроль), код объема выборки D | |
| 0,65 | 1,0 | 1,5 | 2,5 | 4,0 | 6,5 | 10,0 | |
| AQL (ослабленный контроль), код объема выборки F | |
24.4 График и таблица значений оперативных характеристик для кода объема выборки E, s-метод
X - уровень несоответствия в процентах
несоответствующих единиц продукции;
Y - средний процент принятых партий (100Pa)
Рисунок 8 - График E. Кривые оперативных характеристик
для одноступенчатых планов контроля. Нормальный контроль
Таблица 5
Значения кривых оперативных характеристик
для одноступенчатых планов выборочного контроля
(AQL дан в процентах)
100Pa | AQL (нормальный контроль), код объема выборки E | 100Pa |
1,0 | % | 1,5 | 2,5 | 4,0 | 6,5 | 10,0 | |
99,0 | 0,168 | 0,313 | 0,549 | 0,785 | 1,36 | 3,79 | 7,26 | 18,19 | 99,0 |
95,0 | 0,552 | 0,839 | 1,25 | 1,68 | 2,92 | 6,70 | 11,44 | 23,93 | 95,0 |
90,0 | 0,975 | 1,35 | 1,87 | 2,44 | 4,22 | 8,83 | 14,25 | 27,36 | 90,0 |
75,0 | 2,28 | 2,77 | 3,46 | 4,31 | 7,36 | 13,40 | 19,89 | 33,57 | 75,0 |
50,0 | 5,13 | 5,56 | 6,30 | 7,51 | 12,55 | 20,06 | 27,50 | 41,03 | 50,0 |
25,0 | 10,08 | 10,05 | 10,58 | 12,16 | 19,74 | 28,31 | 36,27 | 48,83 | 25,0 |
10,0 | 16,68 | 15,80 | 15,84 | 17,70 | 27,80 | 36,81 | 44,82 | 55,90 | 10,0 |
5,0 | 21,59 | 20,02 | 19,62 | 21,62 | 33,22 | 42,23 | 50,06 | 60,05 | 5,0 |
1,0 | 32,44 | 29,31 | 27,87 | 30,01 | 44,13 | 52,64 | 59,79 | 67,51 | 1,0 |
| 1,5 | | 2,5 | 4,0 | 6,5 | 10,0 | | | |
| AQL (усиленный контроль), код объема выборки E | |
| 0,40 | 0,65 | 1,0 | 1,5 | 2,5 | 4,0 | 6,5 | 10,0 | |
| AQL (ослабленный контроль), код объема выборки G | |
24.5 График и таблица значений оперативных характеристик для кода объема выборки F, s-метод
X - уровень несоответствия в процентах
несоответствующих единиц продукции;
Y - средний процент принятых партий (100Pa)
Рисунок 9 - График F. Кривые оперативных характеристик
для одноступенчатых планов выборочного контроля.
Нормальный контроль
Таблица 6
Значения кривых оперативных характеристик
для одноступенчатых планов выборочного контроля
(AQL дан в процентах)
100Pa | AQL (нормальный контроль), код объема выборки F | 100Pa |
0,65 | % | 1,0 | 1,5 | 2,5 | 4,0 | 6,5 | 10,0 | |
99,0 | 0,102 | 0,231 | 0,365 | 0,552 | 0,940 | 2,57 | 4,67 | 10,19 | 13,02 | 99,0 |
95,0 | 0,339 | 0,584 | 0,821 | 1,14 | 1,95 | 4,43 | 7,33 | 14,24 | 17,73 | 95,0 |
90,0 | 0,605 | 0,918 | 1,22 | 1,63 | 2,79 | 5,79 | 9,13 | 16,76 | 20,63 | 90,0 |
75,0 | 1,45 | 1,84 | 2,25 | 2,84 | 4,81 | 8,72 | 12,84 | 21,60 | 26,06 | 75,0 |
50,0 | 3,35 | 3,63 | 4,13 | 4,92 | 8,21 | 13,09 | 18,00 | 27,80 | 32,84 | 50,0 |
25,0 | 6,82 | 6,57 | 7,04 | 8,01 | 13,05 | 18,71 | 24,25 | 34,73 | 40,23 | 25,0 |
10,0 | 11,70 | 10,45 | 10,74 | 11,79 | 18,74 | 24,78 | 30,70 | 41,44 | 47,19 | 10,0 |
5,0 | 15,50 | 13,39 | 13,48 | 14,54 | 22,71 | 28,83 | 34,86 | 45,58 | 51,41 | 5,0 |
1,0 | 24,31 | 20,15 | 19,69 | 20,67 | 31,17 | 37,07 | 43,08 | 53,43 | 59,23 | 1,0 |
| 1,0 | | 1,5 | 2,5 | 4,0 | 6,5 | 10,0 | | | |
| AQL (усиленный контроль), код объема выборки F | |
| 0,25 | 0,40 | 0,65 | 1,0 | 1,5 | 2,5 | 4,0 | 6,5 | 10,0 | |
| AQL (ослабленный контроль), код объема выборки H | |
24.6 График и таблица значений кривых оперативных характеристик для кода объема выборки G, s-метод
X - уровень несоответствия в процентах
несоответствующих единиц продукции;
Y - средний процент принятых партий (100Pa)
Рисунок 10 - График G. Кривые оперативных характеристик
для одноступенчатых планов выборочного контроля.
Нормальный контроль
Таблица 7
Значения кривых оперативных характеристик
для одноступенчатых планов выборочного контроля
(AQL дан в процентах)
100Pa | AQL (нормальный контроль), код объема выборки G | 100Pa |
0,40 | % | 0,65 | 1,0 | 1,5 | 2,5 | 4,0 | 6,5 | | 10,0 | |
99,00 | 0,0772 | 0,144 | 0,231 | 0,335 | 0,601 | 1,58 | 2,88 | 6,02 | 7,85 | 9,85 | 11,96 | 99,0 |
95,0 | 0,236 | 0,362 | 0,514 | 0,697 | 1,23 | 2,73 | 4,51 | 8,54 | 10,76 | 13,12 | 15,56 | 95,0 |
90,0 | 0,406 | 0,568 | 0,762 | 1,00 | 1,75 | 3,57 | 5,63 | 10,16 | 12,59 | 15,13 | 17,74 | 90,0 |
75,0 | 0,932 | 1,14 | 1,41 | 1,76 | 3,00 | 5,41 | 7,97 | 13,34 | 16,09 | 18,93 | 21,79 | 75,0 |
50,0 | 2,10 | 2,28 | 2,60 | 3,10 | 5,16 | 8,24 | 11,32 | 17,57 | 20,65 | 23,75 | 26,84 | 50,0 |
25,0 | 4,25 | 4,21 | 4,49 | 5,14 | 8,32 | 11,99 | 15,53 | 22,53 | 25,86 | 29,16 | 32,40 | 25,0 |
10,0 | 7,37 | 6,85 | 6,97 | 7,73 | 12,17 | 16,21 | 20,04 | 27,56 | 31,05 | 34,46 | 37,76 | 10,0 |
5,0 | 9,86 | 8,90 | 8,86 | 9,67 | 14,96 | 19,12 | 23,06 | 30,81 | 34,34 | 37,78 | 41,09 | 5,0 |
1,0 | 15,94 | 13,82 | 13,30 | 14,13 | 21,13 | 25,29 | 29,30 | 37,26 | 40,81 | 44,22 | 47,47 | 1,0 |
| 0,65 | | 1,0 | 1,5 | 2,5 | 4,0 | 6,5 | | 10,0 | | | |
| AQL (усиленный контроль), код объема выборки G | |
| 0,15 | 0,25 | 0,40 | 0,65 | 1,0 | 1,5 | 2,5 | 4,0 | 6,5 | | 10,0 | |
| AQL (ослабленный контроль), код объема выборки J | |
24.7 График и таблица значений кривых оперативных характеристик для кода объема выборки H, s-метод
X - уровень несоответствия в процентах
несоответствующих единиц продукции;
Y - средний процент принятых партий (100Pa)
Рисунок 11 - График H. Кривые оперативных характеристик
для одноступенчатых планов выборочного контроля.
Нормальный контроль
Таблица 8
Значения кривых оперативных характеристик
для одноступенчатых планов выборочного контроля
(AQL дан в процентах)
100Pa | AQL (нормальный контроль), код объема выборки H | 100Pa |
0,25 | % | 0,40 | 0,65 | 1,0 | 1,5 | 2,5 | 4,0 | | 6,5 | | 10,0 |
99,0 | 0,0478 | 0,0966 | 0,153 | 0,225 | 0,398 | 1,01 | 1,85 | 3,85 | 5,03 | 6,22 | 7,49 | 10,21 | 99,0 |
95,0 | 0,146 | 0,237 | 0,334 | 0,457 | 0,797 | 1,73 | 2,88 | 5,43 | 6,85 | 8,29 | 9,77 | 12,90 | 95,0 |
90,0 | 0,253 | 0,368 | 0,492 | 0,650 | 1,13 | 2,26 | 3,60 | 6,46 | 8,01 | 9,57 | 11,18 | 14,51 | 90,0 |
75,0 | 0,586 | 0,734 | 0,901 | 1,13 | 1,92 | 3,45 | 5,09 | 8,49 | 10,25 | 12,03 | 13,82 | 17,49 | 75,0 |
50,0 | 1,35 | 1,47 | 1,67 | 1,98 | 3,31 | 5,29 | 7,27 | 11,24 | 13,22 | 15,22 | 17,21 | 21,21 | 50,0 |
25,0 | 2,79 | 2,72 | 2,90 | 3,30 | 5,38 | 7,80 | 10,06 | 14,55 | 16,71 | 18,91 | 21,07 | 25,34 | 25,0 |
10,0 | 4,96 | 4,47 | 4,54 | 5,01 | 7,96 | 10,71 | 13,14 | 18,01 | 20,28 | 22,64 | 24,92 | 29,37 | 10,0 |
5,0 | 6,75 | 5,87 | 5,82 | 6,30 | 9,87 | 12,76 | 15,24 | 20,30 | 22,61 | 25,04 | 27,38 | 31,91 | 5,0 |
1,0 | 11,27 | 9,32 | 8,90 | 9,36 | 14,25 | 17,25 | 19,72 | 24,99 | 27,34 | 29,87 | 32,28 | 36,89 | 1,0 |
| 0,40 | | 0,65 | 1,0 | 1,5 | 2,5 | 4,0 | 6,5 | | | 10,0 | | |
| AQL (усиленный контроль), код объема выборки H | |
| 0,10 | 0,15 | 0,25 | 0,40 | 0,65 | 1,0 | 1,5 | 2,5 | 4,0 | | 6,5 | 10,0 | |
| AQL (ослабленный контроль), код объема выборки K | |
24.8 График и таблица значений кривых оперативных характеристик для кода объема выборки J, s-метод
X - уровень несоответствия в процентах
несоответствующих единиц продукции;
Y - средний процент принятых партий (100Pa)
Рисунок 12 - График J. Кривые оперативных характеристик
для одноступенчатых планов выборочного контроля.
Нормальный контроль
Таблица 9
Значения кривых оперативных характеристик
для одноступенчатых планов выборочного контроля
(AQL дан в процентах)
100Pa | AQL (нормальный контроль), код объема выборки J | 100Pa |
0,15 | % | 0,25 | 0,40 | 0,65 | 1,0 | 1,5 | 2,5 | | 4,0 | | 6,5 | | 10,0 |
99,0,0 | 0,0334 | 0,0625 | 0,102 | 0,144 | 0,251 | 0,645 | 1,15 | 2,39 | 3,11 | 3,84 | 4,62 | 6,30 | 8,06 | 9,86 | 99,0 |
95,0 | 0,0971 | 0,150 | 0,216 | 0,288 | 0,498 | 1,09 | 1,79 | 3,37 | 4,24 | 5,12 | 6,04 | 7,96 | 9,95 | 11,97 | 95,0 |
90,0 | 0,164 | 0,232 | 0,315 | 0,408 | 0,701 | 1,42 | 2,23 | 4,01 | 4,97 | 5,93 | 6,92 | 8,97 | 11,08 | 13,21 | 90,0 |
75,0 | 0,372 | 0,459 | 0,569 | 0,707 | 1,20 | 2,16 | 3,17 | 5,29 | 6,39 | 7,48 | 8,60 | 10,86 | 13,16 | 15,46 | 75,0 |
50,0 | 0,841 | 0,915 | 1,04 | 1,24 | 2,07 | 3,31 | 4,56 | 7,05 | 8,30 | 9,54 | 10,79 | 13,27 | 15,75 | 18,24 | 50,0 |
25,0 | 1,74 | 1,71 | 1,81 | 2,08 | 3,39 | 4,90 | 6,37 | 9,20 | 10,59 | 11,97 | 13,34 | 16,00 | 18,65 | 21,30 | 25,0 |
10,0 | 3,11 | 2,84 | 2,86 | 3,18 | 5,09 | 6,78 | 8,41 | 11,51 | 12,99 | 14,48 | 15,94 | 18,74 | 21,52 | 24,29 | 10,0 |
5,0 | 4,27 | 3,76 | 3,68 | 4,03 | 6,37 | 8,13 | 9,84 | 13,06 | 14,59 | 16,14 | 17,64 | 20,50 | 23,34 | 26,17 | 5,0 |
1,0 | 7,27 | 6,08 | 5,70 | 6,09 | 9,38 | 11,16 | 12,93 | 16,32 | 17,91 | 19,53 | 21,10 | 24,04 | 26,96 | 29,89 | 1,0 |
| 0,25 | | 0,40 | 0,65 | 1,0 | 1,5 | 2,5 | 4,0 | | | 6,5 | | 10,0 | | |
| AQL (усиленный контроль), код объема выборки J | |
| 0,065 | 0,10 | 0,15 | 0,25 | 0,40 | 0,65 | 1,0 | 1,5 | 2,5 | | 4,0 | 6,5 | | | |
| AQL (ослабленный контроль), код объема выборки L | |
24.9 График и таблица значений кривых оперативных характеристик для кода объема выборки K, s-метод
X - уровень несоответствия в процентах
несоответствующих единиц продукции;
Y - средний процент принятых партий (100Pa)
Рисунок 13 - График K. Кривые оперативных характеристик
для одноступенчатых планов выборочного контроля.
Нормальный контроль
Таблица 10
Значения кривых оперативных характеристик
для одноступенчатых планов выборочного контроля
(AQL дан в процентах)
100Pa | AQL (нормальный контроль), код объема выборки K | 100Pa |
0,10 | % | 0,15 | 0,25 | 0,40 | 0,65 | 1,0 | 1,5 | | 2,5 | | 4,0 | | 6,5 | | 10,0 |
99,0 | 0,0227 | 0,0422 | 0,0664 | 0,0944 | 0,169 | 0,420 | 0,741 | 1,53 | 1,98 | 2,45 | 2,94 | 3,99 | 5,09 | 6,22 | 8,64 | 10,49 | 99,0 |
95,0 | 0,0640 | 0,0988 | 0,139 | 0,187 | 0,328 | 0,703 | 1,14 | 2,15 | 2,70 | 3,27 | 3,84 | 5,06 | 6,30 | 7,57 | 10,23 | 12,25 | 95,0 |
90,0 | 0,107 | 0,151 | 0,202 | 0,263 | 0,457 | 0,912 | 1,43 | 2,56 | 3,16 | 3,78 | 4,40 | 5,71 | 7,03 | 8,37 | 11,16 | 13,27 | 90,0 |
75,0 | 0,239 | 0,295 | 0,364 | 0,453 | 0,772 | 1,38 | 2,02 | 3,38 | 4,08 | 4,78 | 5,48 | 6,93 | 8,38 | 9,84 | 12,83 | 15,09 | 75,0 |
50,0 | 0,539 | 0,585 | 0,667 | 0,794 | 1,32 | 2,12 | 2,92 | 4,52 | 5,32 | 6,11 | 6,91 | 8,51 | 10,09 | 11,69 | 14,88 | 17,29 | 50,0 |
25,0 | 1,12 | 1,09 | 1,16 | 1,33 | 2,17 | 3,15 | 4,10 | 5,93 | 6,83 | 7,71 | 8,59 | 10,33 | 12,04 | 13,76 | 17,14 | 19,68 | 25,0 |
10,0 | 2,01 | 1,82 | 1,85 | 2,05 | 3,27 | 4,39 | 5,45 | 7,46 | 8,45 | 9,39 | 10,33 | 12,18 | 13,98 | 15,81 | 19,33 | 21,98 | 10,0 |
5,0 | 2,78 | 2,43 | 2,39 | 2,61 | 4,10 | 5,29 | 6,41 | 8,50 | 9,53 | 10,51 | 11,49 | 13,39 | 15,24 | 17,12 | 20,72 | 23,43 | 5,0 |
1,0 | 4,83 | 3,98 | 3,75 | 3,99 | 6,11 | 7,35 | 8,53 | 10,73 | 11,82 | 12,84 | 13,88 | 15,87 | 17,79 | 19,76 | 23,47 | 26,27 | 1,0 |
| 0,15 | | 0,25 | 0,40 | 0,65 | 1,0 | 1,5 | 2,5 | | | 4,0 | | 6,5 | | 10,0 | | |
| AQL (усиленный контроль), код объема выборки K | |
| 0,04 | 0,065 | 0,10 | 0,15 | 0,25 | 0,40 | 0,65 | 1,0 | 1,5 | | 2,5 | 4,0 | | | | | |
| AQL (ослабленный контроль), код объема выборки M | |
24.10 График и таблица значений кривых оперативных характеристик для кода объема выборки L, s-метод
X - уровень несоответствия в процентах
несоответствующих единиц продукции;
Y - средний процент принятых партий (100Pa)
Рисунок 14 - График L. Кривые оперативных характеристик
для одноступенчатых планов выборочного контроля.
Нормальный контроль, лист 1
Таблица 11
Значения кривых оперативных характеристик
для одноступенчатых планов выборочного контроля
(AQL дан в процентах)
100Pa | AQL (нормальный контроль), код объема выборки L | 100Pa |
0,065 | % | 0,10 | 0,15 | 0,25 | 0,40 | 0,65 | 1,0 | | 1,5 | | 2,5 | | 4,0 | | 6,5 |
99,0 | 0,0149 | 0,0266 | 0,0432 | 0,0610 | 0,108 | 0,264 | 0,470 | 0,959 | 1,24 | 1,53 | 1,84 | 2,48 | 3,15 | 3,86 | 5,34 | 6,47 | 99,0 |
95,0 | 0,0410 | 0,0618 | 0,0890 | 0,119 | 0,207 | 0,440 | 0,720 | 1,34 | 1,68 | 2,03 | 2,40 | 3,14 | 3,91 | 4,70 | 6,33 | 7,58 | 95,0 |
90,0 | 0,0680 | 0,0944 | 0,128 | 0,166 | 0,287 | 0,570 | 0,894 | 1,60 | 1,97 | 2,35 | 2,75 | 3,55 | 4,37 | 5,21 | 6,92 | 8,23 | 90,0 |
75,0 | 0,150 | 0,184 | 0,229 | 0,285 | 0,483 | 0,862 | 1,27 | 2,11 | 2,54 | 2,98 | 3,42 | 4,32 | 5,22 | 6,14 | 7,99 | 9,39 | 75,0 |
50,0 | 0,336 | 0,367 | 0,418 | 0,497 | 0,827 | 1,33 | 1,82 | 2,83 | 3,32 | 3,83 | 4,32 | 5,32 | 6,31 | 7,32 | 9,31 | 10,82 | 50,0 |
25,0 | 0,697 | 0,690 | 0,729 | 0,835 | 1,36 | 1,98 | 2,57 | 3,73 | 4,28 | 4,85 | 5,39 | 6,50 | 7,57 | 8,66 | 10,78 | 12,39 | 25,0 |
10,0 | 1,27 | 1,16 | 1,16 | 1,29 | 2,06 | 2,78 | 3,43 | 4,72 | 5,31 | 5,94 | 6,52 | 7,71 | 8,85 | 10,00 | 12,24 | 13,93 | 10,0 |
5,0 | 1,76 | 1,56 | 1,51 | 1,65 | 2,60 | 3,37 | 4,04 | 5,40 | 6,02 | 6,67 | 7,27 | 8,50 | 9,68 | 10,87 | 13,16 | 14,91 | 5,0 |
1,0 | 3,11 | 2,60 | 2,39 | 2,54 | 3,92 | 4,72 | 5,42 | 6,87 | 7,52 | 8,22 | 8,84 | 10,16 | 11,39 | 12,64 | 15,03 | 16,85 | 1,0 |
| 0,10 | | 0,15 | 0,25 | 0,40 | 0,65 | 1,0 | 1,5 | | | 2,5 | | 4,0 | | 6,5 | | |
| AQL (усиленный контроль), код объема выборки L | |
| 0,025 | 0,04 | 0,065 | 0,10 | 0,15 | 0,25 | 0,40 | 0,65 | 1,0 | | 1,5 | 2,5 | | | | | |
| AQL (ослабленный контроль), код объема выборки N | |
24.11 График и таблица значений кривых оперативных характеристик для кода объема выборки M, s-метод
X - уровень несоответствия в процентах
несоответствующих единиц продукции;
Y - средний процент принятых партий (100Pa)
Рисунок 15 - График M. Кривые оперативных характеристик
для одноступенчатых планов выборочного контроля.
Нормальный контроль
Таблица 12
Значения кривых оперативных характеристик
для одноступенчатых планов выборочного контроля
(AQL дан в процентах)
100Pa | AQL (нормальный контроль), код объема выборки M | 100Pa |
0,04 | % | 0,065 | 0,10 | 0,15 | 0,25 | 0,40 | 0,65 | | | | 1,5 | | 2,5 | | 4,0 |
99,0 | 0,0097 | 0,0172 | 0,0278 | 0,0391 | 0,0685 | 0,170 | 0,299 | 0,610 | 0,787 | 0,973 | 1,17 | 1,58 | 2,00 | 2,44 | 3,36 | 4,09 | 99,0 |
95,0 | 0,0263 | 0,0395 | 0,0568 | 0,0755 | 0,131 | 0,282 | 0,457 | 0,85 | 1,07 | 1,29 | 1,52 | 1,99 | 2,48 | 2,98 | 4,00 | 4,79 | 95,0 |
90,0 | 0,0434 | 0,0601 | 0,0816 | 0,106 | 0,181 | 0,364 | 0,567 | 1,01 | 1,25 | 1,49 | 1,74 | 2,25 | 2,77 | 3,30 | 4,38 | 5,20 | 90,0 |
75,0 | 0,0952 | 0,117 | 0,145 | 0,180 | 0,305 | 0,548 | 0,803 | 1,34 | 1,61 | 1,89 | 2,17 | 2,74 | 3,31 | 3,89 | 5,06 | 5,95 | 75,0 |
50,0 | 0,213 | 0,233 | 0,265 | 0,315 | 0,524 | 0,842 | 1,16 | 1,80 | 2,11 | 2,43 | 2,75 | 3,38 | 4,02 | 4,65 | 5,92 | 6,87 | 50,0 |
25,0 | 0,444 | 0,439 | 0,465 | 0,532 | 0,868 | 1,26 | 1,64 | 2,37 | 2,73 | 3,09 | 3,44 | 4,13 | 4,84 | 5,52 | 6,89 | 7,89 | 25,0 |
10,0 | 0,813 | 0,746 | 0,743 | 0,826 | 1,33 | 1,77 | 2,19 | 3,02 | 3,40 | 3,79 | 4,17 | 4,91 | 5,68 | 6,39 | 7,85 | 8,91 | 10,0 |
5,0 | 1,14 | 1,00 | 0,97 | 1,06 | 1,68 | 2,16 | 2,60 | 3,46 | 3,86 | 4,27 | 4,66 | 5,43 | 6,23 | 6,97 | 8,47 | 9,55 | 5,0 |
1,0 | 2,04 | 1,69 | 1,55 | 1,65 | 2,57 | 3,05 | 3,51 | 4,44 | 4,85 | 5,29 | 5,70 | 6,51 | 7,37 | 8,14 | 9,73 | 10,86 | 1,0 |
| 0,065 | | 0,10 | 0,15 | 0,25 | 0,40 | 0,65 | 1,0 | | | 1,5 | | 2,5 | | 4,0 | | |
| AQL (усиленный контроль), код объема выборки M | |
| 0,015 | 0,025 | 0,04 | 0,065 | 0,10 | 0,15 | 0,25 | 0,40 | 0,65 | | 1,0 | 1,5 | | | | | |
| AQL (ослабленный контроль), код объема выборки P | |
24.12 График и таблица значений кривых оперативных характеристик для кода объема выборки N, s-метод
X - уровень несоответствия в процентах
несоответствующих единиц продукции;
Y - средний процент принятых партий (100Pa)
Рисунок 16 - График N. Кривые оперативных характеристик
для одноступенчатых планов выборочного контроля.
Нормальный контроль
Таблица 13
Значения кривых оперативных характеристик
для одноступенчатых планов выборочного контроля
(AQL дан в процентах)
100Pa | AQL (нормальный контроль), код объема выборки N | 100Pa |
0,025 | % | 0,04 | 0,065 | 0,10 | 0,15 | 0,25 | 0,40 | | 0,65 | | 1,0 | | 1,5 | | 2,5 |
99,0 | 0,0064 | 0,0111 | 0,0176 | 0,0250 | 0,0445 | 0,109 | 0,190 | 0,387 | 0,497 | 0,614 | 0,735 | 0,991 | 1,26 | 1,54 | 2,12 | 2,57 | 99,0 |
95,0 | 0,0169 | 0,0251 | 0,0358 | 0,0480 | 0,0837 | 0,178 | 0,289 | 0,538 | 0,673 | 0,813 | 0,956 | 1,25 | 1,56 | 1,87 | 2,51 | 3,01 | 95,0 |
90,0 | 0,0276 | 0,0380 | 0,0513 | 0,0668 | 0,115 | 0,230 | 0,358 | 0,639 | 0,787 | 0,940 | 1,10 | 1,41 | 1,74 | 2,07 | 2,75 | 3,27 | 90,0 |
75,0 | 0,0602 | 0,0737 | 0,0912 | 0,114 | 0,193 | 0,345 | 0,506 | 0,842 | 1,01 | 1,19 | 1,37 | 1,72 | 2,08 | 2,45 | 3,19 | 3,74 | 75,0 |
50,0 | 0,134 | 0,146 | 0,167 | 0,198 | 0,330 | 0,531 | 0,730 | 1,13 | 1,33 | 1,53 | 1,73 | 2,13 | 2,53 | 2,93 | 3,73 | 4,33 | 50,0 |
25,0 | 0,280 | 0,277 | 0,293 | 0,335 | 0,547 | 0,796 | 1,03 | 1,50 | 1,72 | 1,95 | 2,17 | 2,61 | 3,05 | 3,48 | 4,35 | 4,98 | 25,0 |
10,0 | 0,515 | 0,473 | 0,471 | 0,521 | 0,836 | 1,12 | 1,39 | 1,91 | 2,15 | 2,40 | 2,64 | 3,12 | 3,58 | 4,05 | 4,97 | 5,64 | 10,0 |
5,0 | 0,725 | 0,640 | 0,618 | 0,671 | 1,06 | 1,37 | 1,65 | 2,20 | 2,45 | 2,71 | 2,96 | 3,45 | 3,94 | 4,42 | 5,37 | 6,06 | 5,0 |
1,0 | 1,32 | 1,09 | 1,00 | 1,05 | 1,63 | 1,95 | 2,25 | 2,83 | 3,10 | 3,38 | 3,64 | 4,16 | 4,67 | 5,18 | 6,19 | 6,91 | 1,0 |
| 0,04 | | 0,065 | 0,10 | 0,15 | 0,25 | 0,40 | 0,65 | | | 1,0 | | 1,5 | | 2,5 | | |
| AQL (усиленный контроль), код объема выборки N | |
| 0,01 | 0,015 | 0,025 | 0,04 | 0,065 | 0,10 | 0,15 | 0,25 | 0,40 | | 0,65 | 1,0 | | | | | |
| AQL (ослабленный контроль), код объема выборки Q | |
24.13 График и таблица значений кривых оперативных характеристик для кода объема выборки P, s-метод
X - уровень несоответствия в процентах
несоответствующих единиц продукции;
Y - средний процент принятых партий (100Pa)
Рисунок 17 - График P. Кривые оперативных характеристик
для одноступенчатых планов выборочного контроля.
Нормальный контроль
Таблица 14
Значения кривых оперативных характеристик
для одноступенчатых планов выборочного контроля
(AQL дан в процентах)
100Pa | AQL (нормальный контроль), код объема выборки P | 100Pa |
0,015 | % | 0,025 | 0,04 | 0,065 | 0,10 | 0,15 | 0,25 | | 0,40 | | 0,65 | | 1,0 | | 1,5 |
99,0 | 0,0041 | 0,0070 | 0,0113 | 0,0158 | 0,0286 | 0,0682 | 0,119 | 0,243 | 0,312 | 0,385 | 0,461 | 0,620 | 0,787 | 0,960 | 1,32 | 1,60 | 99,0 |
95,0 | 0,0108 | 0,0158 | 0,0227 | 0,0301 | 0,0531 | 0,112 | 0,180 | 0,337 | 0,421 | 0,509 | 0,598 | 0,783 | 0,973 | 1,17 | 1,57 | 1,88 | 95,0 |
90,0 | 0,0175 | 0,0239 | 0,0323 | 0,0419 | 0,0728 | 0,143 | 0,223 | 0,399 | 0,492 | 0,588 | 0,685 | 0,883 | 1,09 | 1,29 | 1,72 | 2,04 | 90,0 |
75,0 | 0,0378 | 0,0461 | 0,0573 | 0,0710 | 0,121 | 0,215 | 0,316 | 0,526 | 0,634 | 0,743 | 0,854 | 1,08 | 1,30 | 1,53 | 1,99 | 2,34 | 75,0 |
50,0 | 0,0838 | 0,0914 | 0,104 | 0,124 | 0,206 | 0,331 | 0,456 | 0,705 | 0,831 | 0,956 | 1,08 | 1,33 | 1,58 | 1,83 | 2,33 | 2,70 | 50,0 |
25,0 | 0,175 | 0,173 | 0,183 | 0,210 | 0,341 | 0,498 | 0,647 | 0,936 | 1,08 | 1,22 | 1,36 | 1,63 | 1,91 | 2,18 | 2,72 | 3,12 | 25,0 |
10,0 | 0,323 | 0,297 | 0,296 | 0,328 | 0,522 | 0,705 | 0,873 | 1,19 | 1,35 | 1,50 | 1,66 | 1,95 | 2,25 | 2,54 | 3,11 | 3,53 | 10,0 |
5,0 | 0,456 | 0,404 | 0,389 | 0,423 | 0,665 | 0,862 | 1,04 | 1,38 | 1,54 | 1,70 | 1,86 | 2,17 | 2,47 | 2,78 | 3,36 | 3,80 | 5,0 |
1,0 | 0,836 | 0,694 | 0,632 | 0,668 | 1,03 | 1,24 | 1,42 | 1,78 | 1,95 | 2,12 | 2,30 | 2,62 | 2,94 | 3,27 | 3,88 | 4,35 | 1,0 |
| 0,025 | | 0,04 | 0,065 | 0,10 | 0,15 | 0,25 | 0,40 | | | 0,65 | | 1,0 | | 1,5 | | |
| AQL (усиленный контроль), код объема выборки P | |
| | 0,01 | 0,015 | 0,025 | 0,04 | 0,065 | 0,10 | 0,15 | 0,25 | | 0,40 | 0,65 | | | | | |
| AQL (ослабленный контроль), код объема выборки R | |
24.14 График и таблица значений кривых оперативных характеристик для кода объема выборки Q, s-метод
X - уровень несоответствия в процентах
несоответствующих единиц продукции;
Y - средний процент принятых партий (100Pa)
Рисунок 18 - График Q. Кривые оперативных характеристик
для одноступенчатых планов выборочного контроля.
Нормальный контроль
Таблица 15
Значения кривых оперативных характеристик
для одноступенчатых планов выборочного контроля
(AQL дан в процентах)
100Pa | AQL (нормальный контроль), код объема выборки Q | 100Pa |
0,01 | % | 0,025 | 0,04 | 0,065 | 0,10 | 0,15 | 0,25 | | 0,40 | | 0,65 | | 1,0 |
99,0 | 0,0027 | 0,0073 | 0,0102 | 0,0184 | 0,0440 | 0,0767 | 0,156 | 0,246 | 0,295 | 0,396 | 0,504 | 0,614 | 0,845 | 1,02 | 99,0 |
95,0 | 0,0070 | 0,0146 | 0,0193 | 0,0341 | 0,0715 | 0,116 | 0,216 | 0,325 | 0,383 | 0,500 | 0,622 | 0,747 | 1,00 | 1,20 | 95,0 |
90,0 | 0,0113 | 0,0207 | 0,0269 | 0,0467 | 0,0919 | 0,143 | 0,256 | 0,376 | 0,438 | 0,565 | 0,695 | 0,827 | 1,10 | 1,30 | 90,0 |
75,0 | 0,0242 | 0,0366 | 0,0455 | 0,0775 | 0,138 | 0,202 | 0,336 | 0,476 | 0,546 | 0,689 | 0,833 | 0,978 | 1,27 | 1,49 | 75,0 |
50,0 | 0,0536 | 0,0667 | 0,0795 | 0,132 | 0,212 | 0,292 | 0,451 | 0,613 | 0,693 | 0,853 | 1,01 | 1,17 | 1,49 | 1,73 | 50,0 |
25,0 | 0,112 | 0,117 | 0,135 | 0,219 | 0,319 | 0,415 | 0,599 | 0,782 | 0,872 | 1,05 | 1,22 | 1,40 | 1,74 | 2,00 | 25,0 |
10,0 | 0,208 | 0,190 | 0,212 | 0,336 | 0,453 | 0,562 | 0,766 | 0,968 | 1,06 | 1,26 | 1,44 | 1,63 | 2,00 | 2,27 | 10,0 |
5,0 | 0,294 | 0,250 | 0,274 | 0,430 | 0,555 | 0,670 | 0,883 | 1,10 | 1,20 | 1,40 | 1,59 | 1,79 | 2,16 | 2,44 | 5,0 |
1,0 | 0,544 | 0,410 | 0,435 | 0,669 | 0,799 | 0,920 | 1,14 | 1,37 | 1,48 | 1,70 | 1,90 | 2,11 | 2,50 | 2,80 | 1,0 |
| 0,015 | 0,025 | 0,04 | 0,065 | 0,10 | 0,15 | 0,25 | | 0,40 | | 0,65 | | 1,0 | | |
| AQL (усиленный контроль), код объема выборки Q | |
24.15 График и таблица значений кривых оперативных характеристик для кода объема выборки R, s-метод
X - уровень несоответствия в процентах
несоответствующих единиц продукции;
Y - средний процент принятых партий (100Pa)
Рисунок 19 - График R. Кривые оперативных характеристик
для одноступенчатых планов выборочного контроля.
Нормальный контроль
Таблица 16
Значения кривых оперативных характеристик
для одноступенчатых планов выборочного контроля
(AQL дан в процентах)
100Pa | AQL (нормальный контроль), код объема выборки R | 100Pa |
| % | 0,015 | 0,025 | 0,04 | 0,065 | 0,10 | 0,15 | | 0,25 | | 0,40 | | 0,65 |
99,0 | 0,0070 | 0,0046 | 0,0065 | 0,0115 | 0,0277 | 0,0482 | 0,0976 | 0,312 | 0,155 | 0,461 | 0,249 | 0,315 | 0,384 | 0,528 | 99,0 |
95,0 | 0,0158 | 0,0092 | 0,0122 | 0,0212 | 0,0449 | 0,0726 | 0,135 | 0,421 | 0,204 | 0,598 | 0,313 | 0,389 | 0,467 | 0,627 | 95,0 |
90,0 | 0,0239 | 0,0130 | 0,0168 | 0,0290 | 0,0576 | 0,0897 | 0,160 | 0,492 | 0,235 | 0,685 | 0,353 | 0,434 | 0,517 | 0,686 | 90,0 |
75,0 | 0,0461 | 0,0229 | 0,0285 | 0,0482 | 0,0862 | 0,126 | 0,210 | 0,634 | 0,297 | 0,854 | 0,430 | 0,521 | 0,611 | 0,795 | 75,0 |
50,0 | 0,0914 | 0,0416 | 0,0496 | 0,0824 | 0,132 | 0,182 | 0,282 | 0,831 | 0,382 | 1,08 | 0,533 | 0,633 | 0,732 | 0,932 | 50,0 |
25,0 | 0,173 | 0,073 | 0,084 | 0,137 | 0,200 | 0,259 | 0,376 | 1,08 | 0,489 | 1,36 | 0,656 | 0,766 | 0,873 | 1,09 | 25,0 |
10,0 | 0,297 | 0,119 | 0,132 | 0,212 | 0,284 | 0,352 | 0,481 | 1,35 | 0,605 | 1,66 | 0,786 | 0,906 | 1,02 | 1,25 | 10,0 |
5,0 | 0,404 | 0,157 | 0,172 | 0,272 | 0,349 | 0,420 | 0,556 | 1,54 | 0,685 | 1,86 | 0,874 | 0,999 | 1,12 | 1,35 | 5,0 |
1,0 | 0,694 | 0,259 | 0,274 | 0,426 | 0,505 | 0,579 | 0,723 | 1,95 | 0,861 | 2,30 | 1,06 | 1,20 | 1,32 | 1,57 | 1,0 |
| 0,010 | 0,015 | 0,025 | 0,04 | 0,065 | 0,10 | 0,15 | | 0,25 | | 0,40 | | 0,65 | | |
| AQL (усиленный контроль), код объема выборки R | |
25. Графики s-D - s-R. Приемочные кривые для объединенного контроля с двумя границами поля допуска, s-метод
Рисунок 20 - График s-D. Приемочные кривые для объединенного
контроля с двумя границами поля допуска для кода объема
выборки D при нормальном и усиленном контроле и для кода
объема выборки F при ослабленном контроле
Рисунок 21 - График s-E. Приемочные кривые для объединенного
контроля с двумя границами поля допуска для кода объема
выборки E при нормальном и усиленном контроле и для кода
объема выборки G при ослабленном контроле
Рисунок 22 - График s-F. Приемочные кривые для объединенного
контроля с двумя границами поля допуска для кода объема
выборки F при нормальном и усиленном контроле и для кода
объема выборки H при ослабленном контроле
Рисунок 23 - График s-G. Приемочные кривые для объединенного
контроля с двумя границами поля допуска для кода объема
выборки G при нормальном и усиленном контроле и для кода
объема выборки J при ослабленном контроле
Рисунок 24 - График s-H. Приемочные кривые для объединенного
контроля с двумя границами поля допуска для кода объема
выборки H при нормальном и усиленном контроле и для кода
объема выборки K при ослабленном контроле
Рисунок 25 - График s-J. Приемочные кривые для объединенного
контроля с двумя границами поля допуска для кода объема
выборки J при нормальном и усиленном контроле и для кода
объема выборки L при ослабленном контроле
Рисунок 26 - График s-K. Приемочные кривые для объединенного
контроля с двумя границами поля допуска для кода объема
выборки K при нормальном и усиленном контроле и для кода
объема выборки M при ослабленном контроле
Рисунок 27 - График s-L. Приемочные кривые для объединенного
контроля с двумя границами поля допуска для кода объема
выборки L при нормальном и усиленном контроле и для кода
объема выборки N при ослабленном контроле
Рисунок 28 - График s-M. Приемочные кривые для объединенного
контроля с двумя границами поля допуска для кода объема
выборки M при нормальном и усиленном контроле и для кода
объема выборки P при ослабленном контроле
Рисунок 29 - График s-N. Приемочные кривые для объединенного
контроля с двумя границами поля допуска для кода объема
выборки N при нормальном и усиленном контроле и для кода
объема выборки Q при ослабленном контроле
Рисунок 30 - График s-P. Приемочные кривые для объединенного
контроля с двумя границами поля допуска для кода объема
выборки P при нормальном и усиленном контроле и для кода
объема выборки R при ослабленном контроле
Рисунок 31 - График s-Q. Приемочные кривые для объединенного
контроля с двумя границами поля допуска для кода объема
выборки Q при нормальном и усиленном контроле
Рисунок 32 - График s-R. Приемочные кривые для объединенного
контроля с двумя границами поля допуска для кода объема
выборки R при нормальном и усиленном контроле
(обязательное)
ТАБЛИЦА ДЛЯ ОПРЕДЕЛЕНИЯ КОДА ОБЪЕМА ВЫБОРКИ
Таблица A.1
Коды объема выборки и уровни контроля
Объем партии | Специальные уровни контроля | Общие уровни контроля |
S-1 | S-2 | S-3 | S-4 | I | II | III |
От 2 до 8 включ. | B | B | B | B | B | B | B |
От 9 до 15 включ. | B | B | B | B | B | B | C |
От 16 до 25 включ. | B | B | B | B | B | C | D |
От 26 до 50 включ. | B | B | B | C | C | D | E |
От 51 до 90 включ. | B | B | C | C | C | E | F |
От 91 до 150 включ. | B | B | C | D | D | F | G |
От 151 до 280 включ. | B | C | D | E | F | G | H |
От 281 до 500 включ. | B | C | D | E | F | H | J |
От 501 до 1200 включ. | C | C | E | F | G | J | K |
От 1201 до 3200 включ. | C | D | E | G | H | K | L |
От 3201 до 10 000 включ. | C | D | F | G | J | L | M |
От 10 001 до 35 000 включ. | C | D | F | H | K | M | N |
От 35 001 до 150 000 включ. | D | E | G | J | L | N | P |
От 150 001 до 500 000 включ. | D | E | G | J | M | P | Q |
Свыше 500 000 | D | E | H | K | N | Q | R |
Примечание - Коды объема выборки и уровни контроля настоящего стандарта соответствуют приведенным в ИСО 2859-1 и ИСО 3951-2. |
(обязательное)
ОПРЕДЕЛЕНИЕ
k ДЛЯ ОДНОСТУПЕНЧАТЫХ ПЛАНОВ, s-МЕТОД
Таблица B.1
Одноступенчатые планы формы
k
для нормального контроля, s-метод
Таблица B.2
Одноступенчатые планы формы
k
для усиленного контроля, s-метод
Таблица B.3
Одноступенчатые планы формы
k
для ослабленного контроля, s-метод
(обязательное)
ОПРЕДЕЛЕНИЕ
k ДЛЯ ОДНОСТУПЕНЧАТЫХ ПЛАНОВ,

Таблица C.1
Одноступенчатые планы формы
k
для нормального контроля,

Таблица C.2
Одноступенчатые планы формы
k усиленного контроля,

Таблица C.3
Одноступенчатые планы формы
k
для ослабленного контроля,

(обязательное)
ЗНАЧЕНИЯ
fs ДЛЯ МАКСИМАЛЬНОГО
ВЫБОРОЧНОГО СТАНДАРТНОГО ОТКЛОНЕНИЯ (MSSD)
Таблица D.1
Значения
fs для максимального выборочного стандартного
отклонения при объединенном контроле двух границ поля
допуска, нормальный контроль, s-метод
Таблица D.2
Значения
fs для максимального выборочного стандартного
отклонения при объединенном контроле с двумя границами поля
допуска, усиленный контроль, s-метод
Таблица D.3
Значения
fs для выборочного максимального стандартного
отклонения при объединенном контроле с двумя границами поля
допуска, ослабленный контроль, s-метод
(обязательное)
ЗНАЧЕНИЯ

ДЛЯ МАКСИМАЛЬНОГО
СТАНДАРТНОГО ОТКЛОНЕНИЯ ПРОЦЕССА (MPSD)
Таблица E.1
Значения

для максимального стандартного отклонения
процесса при объединенном контроле
с двумя границами поля допуска,

AQL (% несоответствующих единиц продукции) | |
0,0107 | 0,125 |
0,015 | 0,129 |
0,025 | 0,132 |
0,040 | 0,137 |
0,065 | 0,141 |
0,10 | 0,147 |
0,15 | 0,152 |
0,25 | 0,157 |
0,40 | 0,165 |
0,65 | 0,174 |
1,0 | 0,184 |
1,5 | 0,194 |
2,5 | 0,206 |
4,0 | 0,223 |
6,5 | 0,243 |
10,0 | 0,271 |
Примечание - MPSD получают, умножая  на разность между верхней границей поля допуска U и нижней границей поля допуска L, т.е.  . MPSD указывает наибольшее допустимое значение стандартного отклонения процесса для планов объединенного контроля с двумя границами поля допуска, когда изменчивость процесса известна. Если стандартное отклонение процесса меньше MPSD, т.е. возможность (но не уверенность), что партия может быть принята. |
(обязательное)
ОЦЕНКА ДОЛИ НЕСООТВЕТСТВУЮЩИХ ЕДИНИЦ ПРОДУКЦИИ ПРОЦЕССА
ДЛЯ ОБЪЕМА ВЫБОРКИ 3, s-МЕТОД
В таблице F.1 приведены значения оценки доли несоответствующих единиц продукции процесса.
Таблица F.1
Оценка доли несоответствующих единиц продукции процесса
как функция статистики качества Q
Первые два десятичных знака  | Третий десятичный знак  |
0,000 | 0,001 | 0,002 | 0,003 | 0,004 | 0,005 | 0,006 | 0,007 | 0,008 | 0,009 |
|
0,00 | 0,5000 | 0,4997 | 0,4994 | 0,4990 | 0,4987 | 0,4984 | 0,4981 | 0,4978 | 0,4975 | 0,4971 |
0,01 | 0,4968 | 0,4965 | 0,4962 | 0,4959 | 0,4955 | 0,4952 | 0,4949 | 0,4946 | 0,4943 | 0,4940 |
0,02 | 0,4936 | 0,4933 | 0,4930 | 0,4927 | 0,4924 | 0,4920 | 0,4917 | 0,4914 | 0,4911 | 0,4908 |
0,03 | 0,4904 | 0,4901 | 0,4898 | 0,4895 | 0,4892 | 0,4889 | 0,4885 | 0,4882 | 0,4879 | 0,4876 |
0,04 | 0,4873 | 0,4869 | 0,4866 | 0,4863 | 0,4860 | 0,4857 | 0,4854 | 0,4850 | 0,4847 | 0,4844 |
0,05 | 0,4841 | 0,4838 | 0,4834 | 0,4831 | 0,4828 | 0,4825 | 0,4822 | 0,4818 | 0,4815 | 0,4812 |
0,06 | 0,4809 | 0,4806 | 0,4803 | 0,4799 | 0,4796 | 0,4793 | 0,4790 | 0,4787 | 0,4783 | 0,4780 |
0,07 | 0,4777 | 0,4774 | 0,4771 | 0,4767 | 0,4764 | 0,4761 | 0,4758 | 0,4755 | 0,4751 | 0,4748 |
0,08 | 0,4745 | 0,4742 | 0,4739 | 0,4735 | 0,4732 | 0,4729 | 0,4726 | 0,4723 | 0,4720 | 0,4716 |
0,09 | 0,4713 | 0,4710 | 0,4707 | 0,4704 | 0,4700 | 0,4697 | 0,4694 | 0,4691 | 0,4688 | 0,4684 |
0,10 | 0,4681 | 0,4678 | 0,4675 | 0,4672 | 0,4668 | 0,4665 | 0,4662 | 0,4659 | 0,4656 | 0,4652 |
0,11 | 0,4649 | 0,4646 | 0,4643 | 0,4640 | 0,4636 | 0,4633 | 0,4630 | 0,4627 | 0,4624 | 0,4620 |
0,12 | 0,4617 | 0,4614 | 0,4611 | 0,4607 | 0,4604 | 0,4601 | 0,4598 | 0,4595 | 0,4591 | 0,4588 |
0,13 | 0,4585 | 0,4582 | 0,4579 | 0,4575 | 0,4572 | 0,4569 | 0,4566 | 0,4563 | 0,4559 | 0,4556 |
0,14 | 0,4553 | 0,4550 | 0,4546 | 0,4543 | 0,4540 | 0,4537 | 0,4534 | 0,4530 | 0,4527 | 0,4524 |
0,15 | 0,4521 | 0,4518 | 0,4514 | 0,4511 | 0,4508 | 0,4505 | 0,4501 | 0,4498 | 0,4495 | 0,4492 |
0,16 | 0,4489 | 0,4485 | 0,4482 | 0,4479 | 0,4476 | 0,4472 | 0,4469 | 0,4466 | 0,4463 | 0,4459 |
0,17 | 0,4456 | 0,4453 | 0,4450 | 0,4447 | 0,4443 | 0,4440 | 0,4437 | 0,4434 | 0,4430 | 0,4427 |
0,18 | 0,4424 | 0,4421 | 0,4417 | 0,4414 | 0,4411 | 0,4408 | 0,4404 | 0,4401 | 0,4398 | 0,4395 |
0,19 | 0,4392 | 0,4388 | 0,4385 | 0,4382 | 0,4379 | 0,4375 | 0,4372 | 0,4369 | 0,4366 | 0,4362 |
0,20 | 0,4359 | 0,4356 | 0,4353 | 0,4349 | 0,4346 | 0,4343 | 0,4340 | 0,4336 | 0,4333 | 0,4330 |
0,21 | 0,4327 | 0,4323 | 0,4320 | 0,4317 | 0,4314 | 0,4310 | 0,4307 | 0,4304 | 0,4300 | 0,4297 |
0,22 | 0,4294 | 0,4291 | 0,4287 | 0,4284 | 0,4281 | 0,4278 | 0,4274 | 0,4271 | 0,4268 | 0,4265 |
0,23 | 0,4261 | 0,4258 | 0,4255 | 0,4251 | 0,4248 | 0,4245 | 0,4242 | 0,4238 | 0,4235 | 0,4232 |
0,24 | 0,4229 | 0,4225 | 0,4222 | 0,4219 | 0,4215 | 0,4212 | 0,4209 | 0,4206 | 0,4202 | 0,4199 |
0,25 | 0,4196 | 0,4192 | 0,4189 | 0,4186 | 0,4183 | 0,4179 | 0,4176 | 0,4173 | 0,4169 | 0,4166 |
0,26 | 0,4163 | 0,4159 | 0,4156 | 0,4153 | 0,4150 | 0,4146 | 0,4143 | 0,4140 | 0,4136 | 0,4133 |
0,27 | 0,4130 | 0,4126 | 0,4123 | 0,4120 | 0,4117 | 0,4113 | 0,4110 | 0,4107 | 0,4103 | 0,4100 |
0,28 | 0,4097 | 0,4093 | 0,4090 | 0,4087 | 0,4083 | 0,4080 | 0,4077 | 0,4073 | 0,4070 | 0,4067 |
0,29 | 0,4063 | 0,4060 | 0,4057 | 0,4053 | 0,4050 | 0,4047 | 0,4043 | 0,4040 | 0,4037 | 0,4033 |
0,30 | 0,4030 | 0,4027 | 0,4023 | 0,4020 | 0,4017 | 0,4013 | 0,4010 | 0,4007 | 0,4003 | 0,4000 |
0,31 | 0,3997 | 0,3993 | 0,3990 | 0,3987 | 0,3983 | 0,3980 | 0,3977 | 0,3973 | 0,3970 | 0,3967 |
0,32 | 0,3963 | 0,3960 | 0,3956 | 0,3953 | 0,3950 | 0,3946 | 0,3943 | 0,3940 | 0,3936 | 0,3933 |
0,33 | 0,3930 | 0,3926 | 0,3923 | 0,3919 | 0,3916 | 0,3913 | 0,3909 | 0,3906 | 0,3902 | 0,3899 |
0,34 | 0,3896 | 0,3892 | 0,3889 | 0,3886 | 0,3882 | 0,3879 | 0,3875 | 0,3872 | 0,3869 | 0,3865 |
0,35 | 0,3862 | 0,3858 | 0,3855 | 0,3852 | 0,3848 | 0,3845 | 0,3841 | 0,3838 | 0,3835 | 0,3831 |
0,36 | 0,3828 | 0,3824 | 0,3821 | 0,3818 | 0,3814 | 0,3811 | 0,3807 | 0,3804 | 0,3800 | 0,3797 |
0,37 | 0,3794 | 0,3790 | 0,3787 | 0,3783 | 0,3780 | 0,3776 | 0,3773 | 0,3770 | 0,3766 | 0,3763 |
0,38 | 0,3759 | 0,3756 | 0,3752 | 0,3749 | 0,3745 | 0,3742 | 0,3739 | 0,3735 | 0,3732 | 0,3728 |
0,39 | 0,3725 | 0,3721 | 0,3718 | 0,3714 | 0,3711 | 0,3707 | 0,3704 | 0,3701 | 0,3697 | 0,3694 |
0,40 | 0,3690 | 0,3687 | 0,3683 | 0,368 | 0,3676 | 0,3673 | 0,3669 | 0,3666 | 0,3662 | 0,3659 |
0,41 | 0,3655 | 0,3652 | 0,3648 | 0,3645 | 0,3641 | 0,3638 | 0,3634 | 0,3631 | 0,3627 | 0,3624 |
0,42 | 0,3620 | 0,3617 | 0,3613 | 0,3610 | 0,3606 | 0,3603 | 0,3599 | 0,3596 | 0,3592 | 0,3589 |
0,43 | 0,3585 | 0,3582 | 0,3578 | 0,3575 | 0,3571 | 0,3567 | 0,3564 | 0,356 | 0,3557 | 0,3553 |
0,44 | 0,3550 | 0,3546 | 0,3543 | 0,3539 | 0,3536 | 0,3532 | 0,3528 | 0,3525 | 0,3521 | 0,3518 |
0,45 | 0,3514 | 0,3511 | 0,3507 | 0,3504 | 0,3500 | 0,3496 | 0,3493 | 0,3489 | 0,3486 | 0,3482 |
0,46 | 0,3478 | 0,3475 | 0,3471 | 0,3468 | 0,3464 | 0,3461 | 0,3457 | 0,3453 | 0,3450 | 0,3446 |
0,47 | 0,3443 | 0,3439 | 0,3435 | 0,3432 | 0,3428 | 0,3424 | 0,3421 | 0,3417 | 0,3414 | 0,3410 |
0,48 | 0,3406 | 0,3403 | 0,3399 | 0,3395 | 0,3392 | 0,3388 | 0,3385 | 0,3381 | 0,3377 | 0,3374 |
0,49 | 0,3370 | 0,3366 | 0,3363 | 0,3359 | 0,3355 | 0,3352 | 0,3348 | 0,3344 | 0,3341 | 0,3337 |
0,50 | 0,3333 | 0,3330 | 0,3326 | 0,3322 | 0,3319 | 0,3315 | 0,3311 | 0,3308 | 0,3304 | 0,3300 |
0,51 | 0,3296 | 0,3293 | 0,3289 | 0,3285 | 0,3282 | 0,3278 | 0,3274 | 0,3270 | 0,3267 | 0,3263 |
0,52 | 0,3259 | 0,3256 | 0,3252 | 0,3248 | 0,3244 | 0,3241 | 0,3237 | 0,3233 | 0,3229 | 0,3226 |
0,53 | 0,3222 | 0,3218 | 0,3214 | 0,3211 | 0,3207 | 0,3203 | 0,3199 | 0,3196 | 0,3192 | 0,3188 |
0,54 | 0,3184 | 0,3180 | 0,3177 | 0,3173 | 0,3169 | 0,3165 | 0,3161 | 0,3158 | 0,3154 | 0,3150 |
0,55 | 0,3146 | 0,3142 | 0,3139 | 0,3135 | 0,3131 | 0,3127 | 0,3123 | 0,3120 | 0,3116 | 0,3112 |
0,56 | 0,3108 | 0,3104 | 0,3100 | 0,3096 | 0,3093 | 0,3089 | 0,3085 | 0,3081 | 0,3077 | 0,3073 |
0,57 | 0,3069 | 0,3066 | 0,3062 | 0,3058 | 0,3054 | 0,3050 | 0,3046 | 0,3042 | 0,3038 | 0,3034 |
0,58 | 0,3031 | 0,3027 | 0,3023 | 0,3019 | 0,3015 | 0,3011 | 0,3007 | 0,3003 | 0,2999 | 0,2995 |
0,59 | 0,2991 | 0,2987 | 0,2983 | 0,29879 | 0,2975 | 0,2972 | 0,2968 | 0,2964 | 0,2960 | 0,2956 |
0,60 | 0,2952 | 0,2948 | 0,2944 | 0,2940 | 0,2936 | 0,2932 | 0,2928 | 0,2924 | 0,2920 | 0,2916 |
0,61 | 0,2912 | 0,2908 | 0,2904 | 0,2900 | 0,2896 | 0,2892 | 0,2888 | 0,2883 | 0,2879 | 0,2875 |
0,62 | 0,2871 | 0,2867 | 0,2863 | 0,2859 | 0,2855 | 0,2851 | 0,2847 | 0,2843 | 0,2839 | 0,2835 |
0,63 | 0,2831 | 0,2826 | 0,2822 | 0,2818 | 0,2814 | 0,2810 | 0,2806 | 0,2802 | 0,2798 | 0,2793 |
0,64 | 0,2789 | 0,2785 | 0,2781 | 0,2777 | 0,2773 | 0,2769 | 0,2764 | 0,2760 | 0,2756 | 0,2752 |
0,65 | 0,2748 | 0,2743 | 0,2739 | 0,2735 | 0,2731 | 0,2727 | 0,2722 | 0,2718 | 0,2714 | 0,2710 |
0,66 | 0,2706 | 0,2701 | 0,2697 | 0,2693 | 0,2689 | 0,2684 | 0,2680 | 0,2676 | 0,2672 | 0,2667 |
0,67 | 0,2663 | 0,2659 | 0,2654 | 0,2650 | 0,2646 | 0,2641 | 0,2637 | 0,2633 | 0,2628 | 0,2624 |
0,68 | 0,2620 | 0,2615 | 0,2611 | 0,2607 | 0,2602 | 0,2598 | 0,2594 | 0,2589 | 0,2585 | 0,2580 |
0,69 | 0,2576 | 0,2572 | 0,2567 | 0,2563 | 0,2558 | 0,2554 | 0,2550 | 0,2545 | 0,2541 | 0,2536 |
0,70 | 0,2532 | 0,2527 | 0,2523 | 0,2518 | 0,2514 | 0,2509 | 0,2505 | 0,2500 | 0,2496 | 0,2491 |
0,71 | 0,2487 | 0,2482 | 0,2478 | 0,2473 | 0,2469 | 0,2464 | 0,2460 | 0,2455 | 0,2451 | 0,2446 |
0,72 | 0,2441 | 0,2437 | 0,2432 | 0,2428 | 0,2423 | 0,2418 | 0,2414 | 0,2409 | 0,2405 | 0,2400 |
0,73 | 0,2395 | 0,2391 | 0,2386 | 0,2381 | 0,2377 | 0,2372 | 0,2367 | 0,2362 | 0,2358 | 0,2353 |
0,74 | 0,2348 | 0,2344 | 0,2339 | 0,2334 | 0,2329 | 0,2324 | 0,2320 | 0,2315 | 0,2310 | 0,2305 |
0,75 | 0,2301 | 0,2296 | 0,2291 | 0,2286 | 0,2281 | 0,2276 | 0,2272 | 0,2267 | 0,2262 | 0,2257 |
0,76 | 0,2252 | 0,2247 | 0,2242 | 0,2237 | 0,2232 | 0,2227 | 0,2222 | 0,2217 | 0,2213 | 0,2208 |
0,77 | 0,2203 | 0,2198 | 0,2193 | 0,2188 | 0,2183 | 0,2177 | 0,2172 | 0,2167 | 0,2162 | 0,2157 |
0,78 | 0,2152 | 0,2147 | 0,2142 | 0,2137 | 0,2132 | 0,2127 | 0,2121 | 0,2116 | 0,2111 | 0,2106 |
0,79 | 0,2101 | 0,2096 | 0,2090 | 0,2085 | 0,2080 | 0,2075 | 0,2069 | 0,2064 | 0,2059 | 0,2054 |
0,80 | 0,2048 | 0,2043 | 0,2038 | 0,2032 | 0,2027 | 0,2022 | 0,2016 | 0,2011 | 0,2006 | 0,2000 |
0,81 | 0,1995 | 0,1989 | 0,1984 | 0,1978 | 0,1973 | 0,1967 | 0,1962 | 0,1956 | 0,1951 | 0,1945 |
0,82 | 0,1940 | 0,1934 | 0,1929 | 0,1923 | 0,1917 | 0,1912 | 0,1906 | 0,1900 | 0,1895 | 0,1889 |
0,83 | 0,1883 | 0,1878 | 0,1872 | 0,1866 | 0,1860 | 0,1855 | 0,1849 | 0,1843 | 0,1837 | 0,1831 |
0,84 | 0,1826 | 0,1820 | 0,1814 | 0,1808 | 0,1802 | 0,1796 | 0,1790 | 0,1784 | 0,1778 | 0,1772 |
0,85 | 0,1766 | 0,1760 | 0,1754 | 0,1748 | 0,1742 | 0,1736 | 0,1729 | 0,1723 | 0,1717 | 0,1711 |
0,86 | 0,1705 | 0,1698 | 0,1692 | 0,1686 | 0,1680 | 0,1673 | 0,1667 | 0,1660 | 0,1654 | 0,1648 |
0,87 | 0,1641 | 0,1635 | 0,1628 | 0,1622 | 0,1615 | 0,1609 | 0,1602 | 0,1595 | 0,1589 | 0,1582 |
0,88 | 0,1575 | 0,1569 | 0,1562 | 0,1555 | 0,1548 | 0,1542 | 0,1535 | 0,1528 | 0,1521 | 0,1514 |
0,89 | 0,1507 | 0,1500 | 0,1493 | 0,1486 | 0,1479 | 0,1472 | 0,1465 | 0,1457 | 0,1450 | 0,1443 |
0,90 | 0,1436 | 0,1428 | 0,1421 | 0,1414 | 0,1406 | 0,1399 | 0,1391 | 0,1384 | 0,1376 | 0,1368 |
0,91 | 0,1361 | 0,1353 | 0,1345 | 0,1338 | 0,1330 | 0,1322 | 0,1314 | 0,1306 | 0,1298 | 0,1290 |
0,92 | 0,1282 | 0,1274 | 0,1266 | 0,1257 | 0,1249 | 0,1241 | 0,1232 | 0,1224 | 0,1215 | 0,1207 |
0,93 | 0,1198 | 0,1189 | 0,1181 | 0,1172 | 0,1163 | 0,1154 | 0,1145 | 0,1136 | 0,1127 | 0,1118 |
0,94 | 0,1108 | 0,1099 | 0,1089 | 0,1080 | 0,1070 | 0,1061 | 0,1051 | 0,1041 | 0,1031 | 0,1021 |
0,95 | 0,1011 | 0,1001 | 0,990 | 0,980 | 0,0969 | 0,0959 | 0,0948 | 0,0937 | 0,0926 | 0,0915 |
0,96 | 0,0903 | 0,0892 | 0,880 | 0,0869 | 0,0857 | 0,0845 | 0,0832 | 0,0820 | 0,807 | 0,0795 |
0,97 | 0,0782 | 0,0768 | 0,0755 | 0,0741 | 0,0727 | 0,0713 | 0,0699 | 0,0684 | 0,0669 | 0,0653 |
0,98 | 0,0638 | 0,0621 | 0,0605 | 0,0588 | 0,0570 | 0,0552 | 0,0533 | 0,0514 | 0,0494 | 0,0473 |
0,99 | 0,0451 | 0,0427 | 0,0403 | 0,0377 | 0,0349 | 0,0318 | 0,0285 | 0,0247 | 0,0201 | 0,0142 |
1,00 | 0,0000 | 0,0000 | 0,0000 | 0,0000 | 0,0000 | 0,0000 | 0,0000 | 0,0000 | 0,0000 | 0,0000 |
Примечание - Для отрицательных значений Q по таблице определяют оценку для абсолютного значения  , затем вычитают из 1,0. |
(обязательное)
ОДНОСТУПЕНЧАТЫЕ ПЛАНЫ ФОРМЫ p*
Таблица G.1
Максимально допустимые значения
p* оценки доли
несоответствующих единиц продукции процесса
для объемов выборки 3 и 4, s-метод
Жесткость контроля | Код объема выборки | AQL (% несоответствующих единиц продукции) |
1,0 | 1,5 | 2,5 | 4,0 | 6,5 | 10,0 |
p* |
Усиленный | B | - | - | - | - | 0,1925 | 0,2550 |
C | - | - | - | 0,0860 | - | - |
Нормальный | B | - | - | - | 0,1925 | 0,2550 | 0,3047 |
C | - | - | 0,0860 | - | - | - |
Ослабленный | B - D | - | 0,1925 | 0,2167 | 0,2550 | 0,3047 | 0,4879 |
E | 0,0860 | - | - | - | - | - |
(обязательное)
ЗНАЧЕНИЯ
cU ДЛЯ ВЕРХНЕЙ КОНТРОЛЬНОЙ ГРАНИЦЫ
ВЫБОРОЧНОГО СТАНДАРТНОГО ОТКЛОНЕНИЯ
Таблица H.1
Значения
cU верхней контрольной границы
выборочного стандартного отклонения
Объем выборки n | cU |
3 | 2,2968 |
4 | 2,0647 |
5 | 1,9241 |
6 | 1,8273 |
7 | 1,7555 |
8 | 1,6995 |
9 | 1,6543 |
10 | 1,6168 |
11 | 1,5850 |
12 | 1,5577 |
13 | 1,5338 |
14 | 1,5128 |
15 | 1,4940 |
16 | 1,4771 |
17 | 1,4619 |
18 | 1,4480 |
19 | 1,4353 |
20 | 1,4236 |
21 | 1,4128 |
22 | 1,4027 |
23 | 1,3934 |
24 | 1,3847 |
25 | 1,3765 |
26 | 1,3688 |
27 | 1,3616 |
28 | 1,3548 |
29 | 1,3484 |
30 | 1,3422 |
31 | 1,3364 |
32 | 1,3309 |
33 | 1,3257 |
34 | 1,3206 |
35 | 1,3159 |
36 | 1,3113 |
37 | 1,3069 |
38 | 1,3027 |
39 | 1,2986 |
40 | 1,2947 |
41 | 1,2910 |
42 | 1,2874 |
43 | 1,2839 |
44 | 1,2806 |
45 | 1,2773 |
46 | 1,2742 |
47 | 1,2712 |
48 | 1,2683 |
49 | 1,2654 |
50 | 1,2627 |
51 | 1,2600 |
52 | 1,2574 |
53 | 1,2549 |
54 | 1,2525 |
55 | 1,2501 |
57 | 1,2456 |
58 | 1,2434 |
60 | 1,2392 |
61 | 1,2372 |
63 | 1,2333 |
64 | 1,2314 |
65 | 1,2296 |
66 | 1,2278 |
68 | 1,2243 |
69 | 1,2227 |
71 | 1,2194 |
72 | 1,2179 |
73 | 1,2163 |
74 | 1,2148 |
75 | 1,2134 |
76 | 1,2119 |
78 | 1,2091 |
79 | 1,2078 |
81 | 1,2052 |
82 | 1,2039 |
83 | 1,2026 |
84 | 1,2014 |
85 | 1,2002 |
88 | 1,1967 |
89 | 1,1955 |
90 | 1,1944 |
92 | 1,1923 |
93 | 1,1912 |
94 | 1,1902 |
96 | 1,1881 |
99 | 1,1852 |
101 | 1,1833 |
102 | 1,1824 |
105 | 1,1798 |
108 | 1,1772 |
110 | 1,1755 |
111 | 1,1747 |
112 | 1,1739 |
115 | 1,1716 |
116 | 1,1709 |
117 | 1,1701 |
120 | 1,1680 |
122 | 1,1666 |
124 | 1,1652 |
125 | 1,1645 |
126 | 1,1638 |
127 | 1,1632 |
131 | 1,1606 |
132 | 1,1600 |
134 | 1,1588 |
137 | 1,1570 |
142 | 1,1542 |
143 | 1,1537 |
149 | 1,1505 |
150 | 1,1500 |
155 | 1,1475 |
159 | 1,1456 |
169 | 1,1412 |
170 | 1,1408 |
171 | 1,1404 |
178 | 1,1375 |
186 | 1,1345 |
187 | 1,1341 |
189 | 1,1334 |
201 | 1,1293 |
202 | 1,1290 |
207 | 1,1274 |
213 | 1,1256 |
214 | 1,1253 |
233 | 1,1200 |
239 | 1,1185 |
244 | 1,1173 |
247 | 1,1165 |
260 | 1,1136 |
262 | 1,1131 |
277 | 1,1100 |
293 | 1,1069 |
298 | 1,1060 |
312 | 1,1036 |
320 | 1,1023 |
323 | 1,1018 |
332 | 1,1004 |
348 | 1,0980 |
362 | 1,0961 |
395 | 1,0920 |
398 | 1,0916 |
424 | 1,0887 |
438 | 1,0873 |
498 | 1,0818 |
541 | 1,0785 |
Примечание - В таблице приведены значения  , где  - квантиль  с ( n - 1) степенями свободы и  . |
(обязательное)
ДОПОЛНИТЕЛЬНЫЕ ЗНАЧЕНИЯ ПРИ ПЕРЕХОДЕ НА ОСЛАБЛЕННЫЙ КОНТРОЛЬ
Таблица I.1
Дополнительные значения контрольного норматива
при переходе на ослабленный контроль
Код объема выборки | AQL, % | Контрольный норматив k для AQL, уменьшенного на один шаг |
s-метод | |
k | p* | k |
B | 4,0 | 1,114 | 0,08502 | 0,918 |
C | 2,5 | 1,409 | 0,03041 | 1,325 |
D | 1,5 | 1,601 | x | 1,562 |
E | 1,0 | 1,825 | x | 1,752 |
F | 0,65 | 2,029 | x | 2,013 |
G | 0,40 | 2,209 | x | 2,161 |
H | 0,25 | 2,390 | x | 2,379 |
J | 0,15 | 2,530 | x | 2,523 |
K | 0,10 | 2,689 | x | 2,667 |
L | 0,065 | 2,857 | x | 2,847 |
M | 0,040 | 2,995 | x | 2,972 |
N | 0,025 | 3,143 | x | 3,131 |
P | 0,015 | 3,254 | x | 3,246 |
Q | 0,010 | 3,385 | x | 3,382 |
R | 0,010 | 3,449 | x | 3,446 |
Примечание - x - метод не применим. Примечание - Приведенные значения вычислены так, что вероятность приемки для ближайшего меньшего значения AQL та же, что и вероятность приемки для данного значения AQL. Например, в соответствии с таблицей B.1 для нормального контроля, кода объема выборки B и AQL 4,0% (s-метод) объем выборки и контрольный норматив составляют n = 3, k = 0,950. Можно показать, что для уровней несоответствий процесса 4,0% вероятность приемки составляет 0,964404. Значение следующего меньшего AQL равно 2,5%. Для обеспечения такой же вероятности приемки 0,964404 для такого же объема выборки ( n = 3) контрольный норматив s-метода должен быть равен k = 1,114. Таким образом, чтобы обеспечить приемку с ближайшим более жестким AQL, выборочное среднее должно быть не менее выборочного стандартного отклонения, уменьшенного на 1,114 внутри поля допуска, а не выборочного стандартного отклонения, умноженного на 0,95, что необходимо для приемки. |
(обязательное)
ПРОЦЕДУРЫ ОПРЕДЕЛЕНИЯ
s И

J.1 Процедура определения s
J.1.1 Оценку стандартного отклонения совокупности по выборке обычно обозначают символом s. Ее значение может быть получено по формуле J.1:

. (J.1)
где xj - значение характеристики качества j единицы продукции в выборке из n элементов в виде десятичной дроби;

- выборочное среднее, т.е.:

. (J.2)
J.1.2
Формула (J.1) не рекомендуется для вычисления
s, поскольку она дает большую ошибку округления. Эквивалентная, но в вычислительном отношении предпочтительная формула:

. (J.3)
J.1.3 Если изменчивость относительно среднего мала, т.е.
s является очень маленьким по сравнению с

,
формула (J.3) может быть еще улучшена путем вычитания подходящей произвольной постоянной
a из всех значений до вычислений s, т.е.

. (J.4)
J.1.4 Многие карманные калькуляторы имеют функцию вычисления стандартного отклонения. Но иногда они при вычислении используют объем выборки
n вместо (
n - 1). Если планируется применять калькулятор или компьютерную программу, важно проверить, что используемая машиной формула эквивалентна
формуле (J.1). Простая проверка должна дать стандартное отклонение трех чисел 0, 1 и 2, равное 1. Объем выборки
n = 3, выборочное среднее равно 1, отклонения от среднего составляют минус 1, 0 и 1, квадраты отклонений равны 1, 0 и 1, а сумма квадратов отклонений равна 2. Таким образом, в соответствии с
уравнением (J.1):

. (J.5)
Если компьютер или калькулятор ошибочно использует в знаменателе n вместо (n - 1), то результат вычислений будет:

.
Использования n в знаменателе необходимо избегать, так как иначе критерий приемки искажается и защита потребителя AOQL не обеспечивается.
Примечание - Поучительны расчеты с помощью
уравнения (J.3). Для этого примера:

.
J.2 Процедура определения

J.2.1 Если в соответствии с контрольной картой оказывается, что значение
s находится в зоне управляемости, можно предположить, что

равна квадратному корню средневзвешенных значений
s:

, (J.6)
где m - количество партий;
ni - объем выборки из i партии;
si - выборочное среднее отклонение для i партии.
J.2.2 Если объемы выборки для всех партий равны, то вышеприведенную формулу можно упростить:

. (J.7)
(справочное)
КАЧЕСТВО РИСКА ПОТРЕБИТЕЛЯ
K.1 Для данного плана выборочного контроля качество риска потребителя - это уровень несоответствия процесса, в соответствии с которым вероятность приемки партии равна 0,10.
K.2 Для s-метода качество риска потребителя является решением относительно
p уравнения

, где
n - объем выборки,
k - контрольный норматив s-метода;
Kp - квантиль уровня (1 -
p) нормированного нормального распределения;

- функция распределения нецентрального распределения Стьюдента (t-распределения) с (
n - 1) степенями свободы и параметром нецентральности

.
K.3 Значения качества риска потребителя для планов s-метода приведены в
таблицах K.1,
K.3 и
K.5 для нормального, усиленного и ослабленного контроля соответственно.
K.4 Для

качество риска потребителя определяют по формуле

, где
n - объем выборки;
k - контрольный норматив

; Ф(.) - функция распределения нормированного нормального распределения.
K.5 Значения качества риска потребителя для планов

приведены в
таблицах K.2,
K.4 и
K.6 для нормального, усиленного и ослабленного контроля соответственно.
Таблица K.1
Качество риска потребителя (в процентах)
для нормального контроля, s-метод
Таблица K.2
Качество риска потребителя (в процентах)
для нормального контроля,

Таблица K.3
Качество риска потребителя (в процентах)
при усиленном контроле, s-метод
Таблица K.4
Качество риска потребителя (в процентах)
при усиленном контроле,

Таблица K.5
Качество риска потребителя (в процентах)
для ослабленного контроля, s-метод
Таблица K.6
Качество риска потребителя (в процентах)
для ослабленного контроля,

(справочное)
L.1 Риск изготовителя - это вероятность неприемки партии, когда доля несоответствующих единиц продукции процесса равна AQL, т.е. единица минус вероятность приемки партии, когда доля несоответствующих единиц продукции процесса равна AQL.
L.2 Для s-метода риск изготовителя равен

, где
n - объем выборки,
p - AQL, выраженный в виде доли несоответствующих единиц продукции;
k - контрольный норматив s-метода,
Kp - квантиль уровня (1 -
p) нормированного нормального распределения, а

- функция распределения нецентрального распределения Стьюдента (t-распределения) с (
n - 1) степенями свободы и параметром нецентральности

.
L.3 Значения риска изготовителя для планов s-метода приведены в
таблицах L.1,
L.3 и
L.5 для нормального, усиленного и ослабленного контроля соответственно.
L.4 Для

риск изготовителя равен

, где
n - объем выборки,
p - AQL, выраженный в виде доли несоответствующих единиц продукции,
k - контрольный норматив

,
Kp - квантиль уровня (1 -
p) нормированного нормального распределения, Ф(.) - функция нормированного нормального распределения.
L.5 Значения риска изготовителя для планов

приведены в
таблицах L.2,
L.4 и
L.6 для нормального, усиленного и ослабленного контроля соответственно.
Таблица L.1
Риск изготовителя (в процентах)
для нормального контроля, s-метод
Таблица L.2
Риск изготовителя (в процентах)
для нормального контроля,

Таблица L.3
Риск изготовителя (в процентах)
для усиленного контроля, s-метод
Таблица L.4
Риск изготовителя (в процентах)
для усиленного контроля,

Таблица L.5
Риск изготовителя (в процентах)
для ослабленного контроля, s-метод
Таблица L.6
Риск изготовителя (в процентах)
для ослабленного контроля,

(справочное)
ОПЕРАТИВНЫЕ ХАРАКТЕРИСТИКИ ДЛЯ

M.1 Формулы для вероятности приемки
Точная вероятность приемки партии для единственной границы поля допуска в виде доли несоответствующих единиц продукции процесса p описывается формулой:

,
где Ф(.) - функция нормированного нормального распределения;
n - объем выборки;
Kp - квантиль уровня (1 - p) нормированного нормального распределения;
k - контрольный норматив

.
M.2 Пример
Пример - Необходимо вычислить вероятность приемки с уровнем несоответствий процесса в 2,5% несоответствующих единиц продукции для плана

с AQL 1,0% и кодом объема выборки M при нормальном контроле. По
таблице C.1 (приложение C) для кода объема выборки M и AQL 1,0% объем выборки и контрольный норматив равны соответственно
n = 39
k = 1,963. Доля несоответствующих единиц продукции рассматриваемого процесса
p = 0,025. По таблицам нормированного нормального распределения
Kp = 1,960. Следовательно,

.
В соответствии с таблицей нормированного нормального распределения Pa = 0,4925.
M.3 Сравнение с табличным значением для s-метода
Полезно знать, что вероятность приемки для

оценивают достаточно грубо по сравнению с соответствующей вероятностью приемки для s-метода. Из
колонки таблицы 12 для AQL = 1,0% видно, что уровень несоответствий процесса
p = 0,0243 соответствует вероятности приемки
Pa = 0,50.
(справочное)
ОЦЕНКА ДОЛИ НЕСООТВЕТСТВУЮЩИХ ЕДИНИЦ ПРОДУКЦИИ ПРОЦЕССА
ДЛЯ ОБЪЕМОВ ВЫБОРКИ 3 И 4, s-МЕТОД
N.1 Общая формула для объема выборки n
Общая формула оценки доли несоответствующих единиц продукции процесса за границами поля допуска, когда стандартное отклонение процесса неизвестно:

, (N.1)
где n - объем выборки;
Q - статистика качества;
B(n-2)/2(.) - функция симметричного бета-распределения с двумя параметрами, равными (n - 2)/2.
N.2 Формула для объема выборки 3
Если n = 3, оценка принимает вид:

. (N.2)
Теперь

(N.3)
где

,

(N.4)

(N.5)
N.3 Формула для объема выборки 4
Если n = 4, оценка принимает вид:

. (N.6)
Тогда

(N.7)
где B(1,1) = Г(1)Г(1)/Г(1 + 1) = 1.

(N.8)
Следовательно, подстановкой
(N.8) в
(N.6) получаем:
(обязательное)
ИЗМЕНЧИВОСТЬ РЕЗУЛЬТАТОВ ИЗМЕРЕНИЙ
O.1 Общие положения
Основные таблицы, приведенные в настоящем стандарте, основаны на предположении, что истинные значения характеристики
X подчиняются нормальному распределению с неизвестным средним процесса

и известным или неизвестным стандартным отклонением процесса

. Кроме того, сделано предположение о том, что величина
X может быть измерена без погрешности, т.е. что результатом измерения величины характеристики единицы продукции с истинным значением
xi является
xi. В данном приложении показано, как могут быть использованы таблицы при наличии погрешностей измерения.
При наличии погрешности результаты измерений величины с истинным значением xi отличаются от xi. Приняты предположения:
- метод измерений является несмещенным, т.е. математическое ожидание ошибки измерений равно нулю;
- ошибка измерений, создающая наблюдаемую вариацию процесса, не зависит от фактического стандартного отклонения процесса;
- ошибка измерений подчиняется нормальному распределению с известным или неизвестным стандартным отклонением

.
Из этого следует, что распределение результатов измерений является нормальным со средним

и стандартным отклонением:

. (O.1)
Очевидно, что

всегда больше

при наличии ошибки измерений.
Если известно, что

, т.е. отношение

стандартного отклонения ошибки измерений к стандартному отклонению процесса меньше 0,1, общее стандартное отклонение результатов измерений имеет вид:

. (O.2)
Стандартное отклонение увеличилось менее чем на 0,5%, т.е. незначительно, и следовательно, планы выборочного контроля можно не адаптировать для учета ошибки измерений.
В случаях, когда

, планы выборочного контроля, приведенные в настоящем стандарте, необходимо использовать со следующими изменениями:
1. Необходимо увеличить объем выборки n, чтобы компенсировать увеличение изменчивости без изменения k или p*.
2. Если стандартное отклонение процесса

известно, необходимо использовать значение

при вычислении статистики

или

, в противном случае следует использовать оценку

при вычислении статистики

или

.
Более подробная информация приведена ниже.
O.2. Стандартное отклонение процесса

и стандартное отклонение ошибки измерений

известны
1. Объем выборки n плана выборочного контроля следует увеличить до величины:

. (O.3)
2. Необходимо использовать стандартное отклонение процесса

при вычислении статистики

или

.
O.3 Стандартное отклонение процесса неизвестно, а стандартное отклонение ошибки измерений известно
1. Необходимо увеличить объем выборки n плана выборочного контроля до величины:

, (O.4)
где

- оценка верхней границы

.
Примечание - Если

является завышенной оценкой (

больше

), план выборочного контроля лучше, чем необходимый, т.е. соответствующая ему вероятность приемки больше необходимой для
p <
p50% и меньше необходимой для
p >
p50%. Следовательно, завышенное значение оценки

гарантирует план выборочного контроля лучше необходимого.
2. Следует использовать оценку стандартного отклонения процесса:

(O.5)
вместо
s при вычислении статистики

или

.
Если

, следует использовать
s* = 0.
O.4 Стандартное отклонение процесса

и стандартное отклонение ошибки измерений

неизвестны
Увеличив объем выборки
n в соответствии с
формулой (O.4), выполняют повторные (или многократные) измерения на каждой единице продукции выборки и используют результат измерений для определения оценки стандартного отклонения процесса отдельно от стандартного отклонения ошибок измерения, как показано ниже. Используют эту оценку вместо
s при вычислении статистики

или

.
Оценка стандартных отклонений процесса и ошибки измерения.
Пусть
xijj измерение на
i единице продукции,
xi - среднее для
i единицы продукции,

- общее среднее,
ni - количество измерений на
i единице продукции. Общая сумма квадратов отклонений результатов измерений от их общего среднего может быть разделена на следующие составляющие:
| | ИС МЕГАНОРМ: примечание. Формула дана в соответствии с официальным текстом документа. | |

(O.6)
где W - сумма квадратов отклонений результатов измерений на i единице продукции;
B - сумма квадратов отклонений между элементами выборки.
Математическое ожидание этих сумм квадратов имеет вид:

, (O.7)
где

- общее количество наблюдений,

. (O.8)
Следовательно, оценка

имеет вид:

, (O.9)
а оценка

имеет вид:

, (O.10)
Пример
Верхняя граница поля допуска детали при ее производстве равна 13,05 см. Стандартное отклонение процесса

и стандартное отклонение ошибки измерений

неизвестны, но из предыдущего опыта известно, что отношение

больше 0,1, но меньше 0,2. Необходимо провести контроль партии деталей объема 1000. Должен быть установлен нормальный контроль с AQL 0,15%.
В соответствии с
таблицей A.1 код объема выборки J. Поскольку для контроля задана одна граница поля допуска, может быть использована форма
k. В соответствии с
таблицей B.1 план выборочного контроля для AQL 0,15% при отсутствии ошибок измерений
n = 23,
k = 2,425.
Так как

превышает 0,1, необходимо подобрать объем выборки для учета неопределенности измерений.
В присутствии худшей ошибки измерений соответствующий объем выборки
(формула O.3) имеет вид:

.
Объем выборки должен быть целым числом и обеспечивать необходимую защиту AQL. Поэтому n* округлен до n* = 24. Случайная выборка объема 24 отобрана из следующей партии, и для оценки неопределенности измерений каждая деталь измерена дважды. Результаты для выборки от первой партии следующие:
Таблица
i | xi1 | xi2 |
1 | 12,9972 | 12,9997 |
2 | 12,9848 | 12,9731 |
3 | 12,9646 | 12,9630 |
4 | 12,9543 | 12,9539 |
5 | 12,9763 | 12,9802 |
6 | 13,0231 | 13,0219 |
7 | 12,9930 | 12,9937 |
8 | 12,9589 | 12,9439 |
9 | 12,9589 | 12,9524 |
10 | 13,0150 | 13,0164 |
11 | 12,9562 | 12,9621 |
12 | 12,9886 | 12,9867 |
13 | 13,0071 | 13,0083 |
14 | 12,9787 | 12,9738 |
15 | 12,9274 | 0,9277 |
16 | 12,9578 | 12,9527 |
17 | 12,9765 | 12,9674 |
18 | 12,9991 | 13,0010 |
19 | 13,0029 | 13,0067 |
20 | 12,9688 | 12,9762 |
21 | 13,0009 | 12,9993 |
22 | 13,0034 | 12,9945 |
23 | 12,9651 | 12,9625 |
24 | 12,9865 | 12,9852 |
Точность последующих вычислений может быть улучшена вычитанием произвольной постоянной, которая сокращает количество значащих цифр. Обозначим константу c и установим c = 12,9. Полученные значения yij = xij - 12,9 приведены ниже.
Таблица
i | yi1 | yi2 |
1 | 0,0972 | 0,0997 |
2 | 0,0848 | 0,0711 |
3 | 0,0646 | 0,0630 |
4 | 0,0543 | 0,0539 |
5 | 0,0763 | 0,0802 |
6 | 0,1231 | 0,1219 |
7 | 0,0930 | 0,0937 |
8 | 0,0589 | 0,0439 |
9 | 0,0589 | 0,0524 |
10 | 0,1150 | 0,1164 |
11 | 0,0562 | 0,0621 |
12 | 0,0886 | 0,0867 |
13 | 0,1071 | 0,1083 |
14 | 0,0787 | 0,0738 |
15 | 0,0274 | 0,0277 |
16 | 0,0578 | 0,0527 |
17 | 0,0765 | 0,0674 |
18 | 0,0991 | 0,1010 |
19 | 0,1029 | 0,0992 |
20 | 0,0688 | 0,0762 |
21 | 0,1009 | 0,0993 |
22 | 0,1034 | 0,0945 |
23 | 0,0651 | 0,0625 |
24 | 0,0865 | 0,0852 |
Сумма
yij:

.
Типовое среднее значение

.
Следовательно, выборочное среднее
x: значение

.
Общая сумма квадратов
y:

.
Общая сумма квадратов T отклонений от общего выборочного среднего:

(O.11)
= 0,33279115 - 0,30718400 = 0,025 607 15.
Сумма квадратов в пределах единиц продукции W имеет вид:
| | ИС МЕГАНОРМ: примечание. Формула дана в соответствии с официальным текстом документа. | |

(O.12)
Разность общей суммы квадратов T и суммы квадратов в пределах единиц продукции B имеет вид:
B = T - W =
= 0,02560715 - 0,00038363 =
= 0,02522352. (O.13)
Оценка дисперсии стандартного отклонения погрешностей измерений имеет вид:

.
Оценка дисперсии стандартного отклонения процесса имеет вид:
Таким образом, оценка стандартного отклонения процесса имеет вид:

.
U - 2,419s = 13,05 - 2,425·0,032 182 = 12,972.
Так как

, партия не принята.
(справочное)
СВЕДЕНИЯ О СООТВЕТСТВИИ ССЫЛОЧНЫХ МЕЖДУНАРОДНЫХ СТАНДАРТОВ
НАЦИОНАЛЬНЫМ СТАНДАРТАМ РОССИЙСКОЙ ФЕДЕРАЦИИ
Таблица ДА.1
Обозначение ссылочного международного стандарта | Степень соответствия | Обозначение и наименование соответствующего национального стандарта |
ИСО 2859-1:1999 | IDT | ГОСТ Р ИСО 2859-1-2007 "Статистические методы. Процедуры выборочного контроля по альтернативному признаку. Часть 1. Планы выборочного контроля последовательных партий на основе приемлемого уровня качества" |
ИСО 2859-2:1985 | IDT | ГОСТ Р 50779.72-99-1999 "Статистические методы. Процедуры выборочного контроля по альтернативному признаку. Часть 2. Планы выборочного контроля отдельных партий на основе предельного качества L Q" |
ИСО 3534-1:2006 | - | |
ИСО 3534-2:2006 | - | |
| | ИС МЕГАНОРМ: примечание. ГОСТ Р ИСО 3951-2-2009 утратил силу с 1 декабря 2016 года в связи с введением в действие ГОСТ Р ИСО 3951-2-2015 (Приказ Росстандарта от 06.10.2015 N 1468-ст). | |
|
ИСО 3951-2:2006 | IDT | ГОСТ Р ИСО 3951-2-2009 "Статистические методы. Процедуры выборочного контроля по количественному признаку. Часть 2. Общие требования к одноступенчатым планам на основе AQL при контроле последовательных партий по независимым характеристикам качества" |
<*> Соответствующий национальный стандарт отсутствует. До его утверждения рекомендуется использовать перевод на русский язык данного международного стандарта. Перевод данного международного стандарта находится в Федеральном информационном фонде технических регламентов и стандартов. Примечание - В настоящей таблице использовано следующее условное обозначение степени соответствия стандартов: IDT - идентичный стандарт. |
[1] | Bowker A.H., & Goode H.P. Sampling Inspection by Variables. McGraw-Hill, 1952 |
[2] | Bowker A.H., & Lieberman G.J. Engineering Statistics. Prentice-Hall, 1972 |
[3] | Burr I.W. Engineering Statistics and Quality Control. McGraw-Hill, 1953 |
[4] | Duncan A.J. Quality Control and Industrial Statistics. Richard D, Irwin, Inc, 1965 |
| Gob R. 2001), Methodological Foundations of Statistical Lot Inspection, pp. 3 - 24, In: Lenz, H.J. and Wilrich, P.-Th. [Editors], Frontiers in Statistical Quality Control 6, Physica-Verlag, Heidelberg; New York |
[6] | Grant E.L., & Leavenworth R.S. Statistical Quality Control. McGraw-Hill, 1972 |
[7] | Hahn G.H., & Shapiro S.S. Statistical Models in Engineering. John Wiley, 1967 |
[8] | ISO 31-11, | Mathematical signs and symbols for use in the physical sciences and technology |
[9] | ISO 2854, | Statistical interpretation of data - Techniques of estimation and tests relating to means and variances |
[10] | ISO 2859-0, | Sampling procedures for inspection by attributes - Part 0: Introduction to the ISO 2859 attribute sampling system |
[11] | ISO 5479:1997, | Statistical interpretation of data - Tests for departure from the normal distribution |
[12] | ISO 16269-3, | Guide to statistical interpretation of data - Part 3: Tests for departure from the normal distribution (in development) |
[13] | ISO 16269-4, | Statistical interpretation of data - Part 4: Detection and treatment of outliers |
[14] | ISO 5725-2, | Accuracy (trueness and precision) of measurement methods and results - Part 2: Basic method for the determination of repeatability and reproducibility of a standard measurement method |
[15] | ISO 7870, | Control charts - General guide and introduction |
[16] | ISO 8258, | Shewhart control charts |
[17] | ISO 10576-1:2003, | Statistical methods - Guidelines for the evaluation of conformity with specified requirements - Part 1: General principles |
[18] | Kendall M.G., & Buckland W.R. A Dictionary of Statistical Terms. Oliver and Boyd, 1971 |
[19] | Mathematical and Statistical Principles Underlying Military Standard 414, Office of the Assistant Secretary of Defense, Washington D.C. |
| Melgaard H., & Thyregod P. 2001), Acceptance sampling by variables under measurement uncertainty, pp. 47 - 57, In: Lenz, H,J, and Wilrich, P,-Th, [Editors], Frontiers in Statistical Quality Control 6, Physica-Verlag, Heidelberg; New York |
[21] | Pearson E.S., & Hartley H.O. Biometrika Tables for Statisticians. Cambridge University Press, Vol. 1 and 2, 1966 |
[22] | Resnikoff G.J., & Liberman G.J. Tables of the Non-Central t-Distribution. Stanford University Press, 1966 |
[23] | Techniques of Statistical Analysis, Statistical Research Group. Columbia University. McGraw-Hill, 1947 |
[24] | Wilrich P.-Th. Single sampling plans for inspection by variables in the presence of measurement error. All. Stat. Arch. 2000, pp. 239 - 250 |