Главная // Актуальные документы // ГОСТ Р (Государственный стандарт)СПРАВКА
Источник публикации
М.: Стандартинформ, 2016
Примечание к документу
Документ
введен в действие с 01.12.2016.
Название документа
"ГОСТ Р ИСО 24504-2015. Национальный стандарт Российской Федерации. Эргономическое проектирование. Уровни звукового давления речевых сообщений для продукции и систем оповещения"
(утв. и введен в действие Приказом Росстандарта от 29.10.2015 N 1669-ст)
"ГОСТ Р ИСО 24504-2015. Национальный стандарт Российской Федерации. Эргономическое проектирование. Уровни звукового давления речевых сообщений для продукции и систем оповещения"
(утв. и введен в действие Приказом Росстандарта от 29.10.2015 N 1669-ст)
Утвержден и введен в действие
по техническому регулированию
и метрологии
от 29 октября 2015 г. N 1669-ст
НАЦИОНАЛЬНЫЙ СТАНДАРТ РОССИЙСКОЙ ФЕДЕРАЦИИ
ЭРГОНОМИЧЕСКОЕ ПРОЕКТИРОВАНИЕ
УРОВНИ ЗВУКОВОГО ДАВЛЕНИЯ РЕЧЕВЫХ СООБЩЕНИЙ ДЛЯ ПРОДУКЦИИ
И СИСТЕМ ОПОВЕЩЕНИЯ
Ergonomics design. Sound pressure levels of spoken
announcements for products and public address systems
ISO 24504:2014 Ergonomics - Accessible design - Sound
pressure levels of spoken announcements for products
and public address systems
(IDT)
ГОСТ Р ИСО 24504-2015
Дата введения
1 декабря 2016 года
1 ПОДГОТОВЛЕН Открытым акционерным обществом "Научно-исследовательский центр контроля и диагностики технических систем" (АО "НИЦ КД") на основе собственного аутентичного перевода на русский язык английской версии международного стандарта, указанного в
пункте 4
2 ВНЕСЕН Техническим комитетом по стандартизации ТК 201 "Эргономика, психология труда и инженерная психология"
3 УТВЕРЖДЕН И ВВЕДЕН В ДЕЙСТВИЕ
Приказом Федерального агентства по техническому регулированию и метрологии от 29 октября 2015 г. N 1669-ст
4 Настоящий стандарт идентичен международному стандарту ИСО 24504:2014 "Эргономика. Проектирование для обеспечения доступности. Уровни звукового давления речевых сообщений для продукции и систем оповещения" (ISO 24504:2014 "Ergonomics - Accessible design - Sound pressure levels of spoken announcements for products and public address systems").
Наименование настоящего стандарта изменено относительно наименования указанного международного стандарта для приведения в соответствие с ГОСТ Р 1.5-2012
(подраздел 3.5).
При применении настоящего стандарта рекомендуется использовать вместо ссылочных международных стандартов соответствующие им национальные стандарты Российской Федерации, сведения о которых приведены в дополнительном
приложении ДА
5 ВВЕДЕН ВПЕРВЫЕ
Правила применения настоящего стандарта установлены в ГОСТ Р 1.0-2012 (раздел 8). Информация об изменениях к настоящему стандарту публикуется в ежегодном (по состоянию на 1 января текущего года) информационном указателе "Национальные стандарты", а официальный текст изменений и поправок - в ежемесячном информационном указателе "Национальные стандарты". В случае пересмотра (замены) или отмены настоящего стандарта соответствующее уведомление будет опубликовано в ближайшем выпуске ежемесячного информационного указателя "Национальные стандарты". Соответствующая информация, уведомление и тексты размещаются также в информационной системе общего пользования - на официальном сайте Федерального агентства по техническому регулированию и метрологии в сети Интернет (www.gost.ru)
В повседневной жизни человек часто получает речевые сообщения при эксплуатации бытовых электроприборов различного назначения, пользовании информационными и телекоммуникационными устройствами при работе с автоматизированным офисным оборудованием, а также при использовании нагревательных санитарно-технических и медицинских приборов, игрушек и т.п. Инструкции о покупке билетов в автоматах по продаже билетов, о пользовании лифтами и эскалаторами передают с помощью речевых сообщений как внутри помещений, так и в общественных местах. Эти сообщения слушатели могут воспринимать как неразборчивые, что может быть обусловлено или возрастной потерей слуха, или повышенным шумовым фоном окружающей среды.
Настоящий стандарт устанавливает методы определения диапазона уровня звука (уровня звукового давления), при котором все слушатели, включая людей с возрастными нарушениями слуха, могут слышать речевые сообщения при наличии шума окружающей среды. Характеристики этого диапазона определены на основании результатов экспериментов, в которых принимали участие люди различного возраста. Речевые сообщения, соответствующие диапазону уровня звукового давления, определенного в настоящем стандарте, будут восприниматься слушающими как слышимые и комфортные по громкости.
Методы, приведенные в настоящем стандарте, необходимо применять в соответствии с типом продукции и условиями ее применения. Приведенные методы не применимы к речевым сообщениям при оповещении об эвакуации или чрезвычайных ситуациях.
В ИСО 9921 <1> установлены рекомендуемые уровни качества речевой коммуникации, необходимые для полной передачи сообщений в различных ситуациях.
--------------------------------
<1> ИСО 9921:2003 Эргономика. Оценка речевой связи (ISO 9921:2003 Ergonomics - Assessment of speech communication).
В настоящем стандарте применимы принципы обеспечения доступности, установленные в Руководстве ИСО/МЭК 71 <2>, усиленные в ИСО/ТО 22411 <3>.
--------------------------------
<2> Руководство ИСО/МЭК 71:2014 Руководство для разработчиков стандартов, рассматривающих вопросы создания доступной среды (ISO/IEC Guide 71:2014 Guide for addressing accessibility in standards).
<3> ИСО/ТО 22411:2008 Данные и руководящие указания по эргономике при применении ISO/IEC Guide 71 на изделия и услуги, направленные на удовлетворение потребностей пожилых людей и инвалидов (ИСО/ТО 22411:2008 Ergonomics data and guidelines for the application of ISO/IEC Guide 71 to products and services to address the needs of older persons and persons with disabilities).
В настоящем стандарте установлены методы определения уровня звукового давления речевых сообщений в среде, где фоновый шум составляет менее 80 дБ. Указанные методы соответствуют принципам Руководства ИСО/МЭК 71 и охватывают уровни звукового давления, комфортные для пожилых людей с возрастным снижением слуха. Уровни речи, определяемые в соответствии с настоящим стандартом, ориентированы на использование в речевых системах, применяемых в продукции и публичных системах оповещения. Для повышения доступности и пригодности использования продукции голосовые сообщения должны быть не только слышимыми, но также быть комфортными для прослушивания.
Продукцией, при использовании которой использованы речевые сообщения, являются: электронные бытовые приборы, услуги информационно-коммуникационных технологий, сервисные автоматизированные системы в общественных помещениях и на открытом воздухе (например, на вокзалах, в аэропортах, конференц-залах, местных луна-парках, на ярмарках и т.п.).
Настоящий стандарт не применим к продукции, предоставляющей приватную информацию, такой, как банкоматы в общественных местах.
Методы данного стандарта ориентированы на ситуации, когда источник речевого сообщения находится на небольшом расстоянии от лица, получающего сообщение в среде, где для фонового шума корректированный по шкале A уровень звукового давления не превышает 80 дБ. Настоящий стандарт применим к речевым сообщениям, которые слышны людям с нормальным для их возраста слухом при передаче речевого сообщения в условиях тишины и отсутствии эха. Стандарт применим в тех случаях, когда речевое сообщение передают с помощью аудиозаписи или синтезированного голоса.
Настоящий стандарт не устанавливает уровни звукового давления речевых сообщений для систем с автоматическим контролем уровня звукового давления, компенсирующих колебания уровней фонового шума. Стандарт не применим к речевым сообщениям, получаемым через телефонную трубку или наушники, или от источника звука, расположенного в непосредственной близости от уха слушателя (пример - спикер уха, определенный в МЭК 60268-7). В настоящем стандарте рассмотрена только слышимость речи (не рассмотрено понимание речи).
Настоящий стандарт не устанавливает уровни звукового давления речевых сообщений, передаваемых в чрезвычайных ситуациях, таких, как сигналы пожарной тревоги, утечки газа и предупреждения преступности (см. ИСО 7240-16 и ИСО 7240-19). В стандарте не установлены уровни звукового давления речевых сообщений в автомобилях (см. ИСО 15006).
Примечание 1 - Речевое сообщение, подаваемое с повторениями в качестве вербального знака, но не в качестве речевого сообщения (например, электронной бытовой техникой) приемлемо при более низком уровне звукового давления, чем установлено настоящим стандартом.
Примечание 2 - Распознавание слов носителем языка лучше, чем слушателем, для которого данный язык не является родным.
В настоящем стандарте использованы нормативные ссылки на следующие стандарты:
ИСО 389-1 Акустика. Опорный нуль для калибровки аудиометрической аппаратуры. Часть 1. Опорные эквивалентные пороговые уровни звукового давления чистых тонов для прижимных телефонов (ISO 389-1 Acoustics - Reference zero for the calibration of audiometric equipment - Part 1: Reference equivalent threshold sound pressure levels for pure tones and supra-aural earphones)
ИСО 1996-1 Акустика. Описание, измерение и оценка окружающего шума. Часть 1. Основные величины и процедуры оценки (ISO 1996-1 Acoustics - Description, measurement and assessment of environmental noise - Part 1: Basic quantities and assessment procedures)
ИСО 3382-2:2008 Акустика. Измерение акустических параметров помещений. Часть 2. Время реверберации обычных помещений (ISO 3382-2:2008 Acoustics - Measurement of room acoustic parameters - Part 2: Reverberation time in ordinary rooms)
ИСО 8253-1 Акустика. Методы аудиометрических испытаний. Часть 1. Тональная пороговая аудиометрия по воздушной и костной проводимости (ISO 8253-1 Acoustics - Audiometric test methods - Part 1: Pure-tone air and bone conduction audiometry)
МЭК 60050-801 Международный электротехнический словарь. Глава 801. Акустика и электроакустика (IEC 60050-801 International Electrotechnical Vocabulary. Chapter 801. Acoustics and electroacoustics)
МЭК 60268-16 Оборудование звуковых систем. Часть 16. Объективная оценка разборчивости речи по индексу передачи речи (IEC 60268-16 Sound system equipment - Part 16: Objective rating of speech intelligibility by speech transmission index)
МЭК 61260 Электроакустика. Фильтры полосовые шириной, равной октаве или части октавы. Часть 1. Технические условия (IEC 61260 Electroacoustics - Octave-band and fractional-octave-band filters - Part 1: Specifications)
МЭК 61672-1 Электроакустика. Измерители уровня звука. Часть 1. Технические требования (IEC 61672-1 Electroacoustics - Sound level meters - Part 1: Specifications)
В настоящем стандарте применены термины по МЭК 60050-801 и МЭК 60268-16, а также следующие термины с соответствующими определениями:
3.1 речевое сообщение (spoken announcement): Сообщение, воспроизведенное с помощью голоса человека, синтезируемого электронного голоса или записанного/отцифрованного человеческого голоса.
3.2 фоновый шум (ambient noise): Все звуки в области приема сигнала, кроме звуков, рассматриваемых в качестве сигнала.
Примечание 1 - В настоящем стандарте в качестве сигналов рассмотрены речевые сообщения.
3.3 канал передачи речи (speech transmission channel): Акустический и/или электроакустический путь прохождения сигнала от источника сигнала до лица, принимающего сигнал.
3.4 индекс передачи речи; STI (speech transmission index, STI): Числовой показатель, принимающий значения от 0 до 1, являющийся мерой качества речи, характеризующей разборчивость речи (0 - минимальная разборчивость речи, 1 - максимальная разборчивость речи), переданной в виде речевого сообщения по каналу передачи речи.
[МЭК 60268-16]
3.5 упрощенный; STI (simplified STI): Индекс передачи речи STI, вычисленный только с учетом разности значений уровней звукового давления октавных полос, соответствующих речевому сообщению и фоновому шуму, основанный на индексе передачи речи, определенном в МЭК 60286-16.
Примечание - Для упрощенного индекса передачи речи не учитывают реверберации.
3.6 уровень речи (speech level): Корректированный по шкале A уровень звукового давления или эквивалент уровня звукового давления голосового сообщения в октавной полосе.
3.7 отношение сигнал-шум; S/N (signal-to-noise ratio, S/N): Уровень звукового давления сигнала, измеренный по отношению к уровню звукового давления фонового шума.
3.8 минимальный уровень речи (minimum speech level): Корректированный по шкале A уровень речи, при котором слушатель слышит речь.
3.9 максимальный речевой уровень (maximum speech level): Корректированный по шкале A уровень речи, при котором у половины слушателей возникает дискомфорт от излишней громкости речевого сообщения.
3.10 слышимость (audibility): Мера распознаваемости слов голосового сообщения слушателями.
3.11 пороговый уровень слышимости; HTL (hearing threshold level, HTL): Уровень звукового давления, при котором слушатель дает предусмотренный процент правильных ответов при распознавании звуковой информации в ходе повторных испытаний без учета эквивалента затухания порогового уровня звукового давления.
Примечание - В соответствии с ИСО 8253-1 определение относится к заданному сигналу и заданному способу воспроизведения сигнала в заданных условиях. Эквивалент затухания порогового уровня звукового давления должен соответствовать ИСО 389-1.
3.12 среднее чистого тона; PTA (pure tone average, PTA): Среднеарифметическое пороговых уровней слышимости с заданными частотами в децибелах.
3.13 время реверберации; T (reverberation time, T): Время, необходимое для спада средней по пространству плотности звуковой энергии в ограниченном объеме на 60 дБ от первоначального уровня после прекращения распространения звука источником.
Примечание - Время реверберации измеряют в секундах.
В настоящем стандарте использованы следующие обозначения:
LN,A - корректированный по шкале A уровень звукового давления фонового шума, измеренный в децибелах, с помощью метода, изложенного в
приложении A;
LN,i - уровень звукового давления в октавной полосе фонового шума в
i-ой полосе, измеренный в децибелах с помощью метода, изложенного в
приложении A;
LS,A - корректированный по шкале A уровень речи, измеренный в децибелах с помощью метода, изложенного в
приложении A;
LS,i - уровень звукового давления в октавной полосе голосового сообщения в
i-й полосе, измеренный в децибелах с помощью метода, изложенного в
приложении A;
Ti - индекс передачи октавной полосы частот i, представляющий собой числовой показатель со значениями от 0 до 1;
I - индекс передачи речи или упрощенный индекс передачи речи, вычисленный как взвешенное среднее значение Ti-х октавных полос от 125 Гц до 8 кГц.
5 Уровень звукового давления речевых сообщений
5.1 Общие положения
В настоящем стандарте установлены уровни звукового давления речевых сообщений без учета реверберации и расстояния между источником звука и слушателем.
Для диапазона уровней звукового давления речевых сообщений должны быть определены минимальный и максимальный уровни речи. Минимальный уровень речи для пользователей старшего возраста выше, чем для молодых слушателей (см.
приложение B). Минимальный уровень речи речевых сообщений должен быть установлен таким образом, чтобы люди пожилого возраста с нормальным для их возраста слухом распознавали речевые сообщения как сообщения комфортной слышимости. Максимальный уровень речи должен быть установлен таким образом, чтобы речевое сообщение не вызывало раздражения у слушателей. В настоящем стандарте максимальный уровень речи определен на основе слухового восприятия людей молодого возраста, так как ощущение дискомфорта от прослушивания речевого сообщения у них возникает при меньшей громкости речевого сообщения, чем у пожилых людей.
Обычно средний уровень речи составляет от 55 до 75 дБ при расположении источника звука на расстоянии 1 м от слушателя (см.
[8]).
При передаче речевого сообщения с фиксированным уровнем звукового давления данный уровень должен принимать значение между минимальным и максимальным уровнями речи, рассчитанными в соответствии с настоящим стандартом.
Если пользователь продукции имеет возможность регулировать громкость (т.е. уровень звукового давления) речевого сообщения, диапазон возможного изменения громкости должен включать часть диапазона, установленного в соответствии с настоящим стандартом. При выборе диапазона уровня речи для продукции следует избегать слышимых искажений речевого сообщения.
Примечание - Для продукции, допускающей регулирование громкости речевых сообщений, полезно рядом с кнопкой, ручкой или ползунком, регулирующими громкость, указать уровни громкости, используя диапазон уровня звукового давления в соответствии с настоящим стандартом.
Метод, использующий определение корректированного по шкале A уровня звукового давления, является простейшим, но имеет ограничения. Он не применим в случае преобладания в фоновых звуках низкочастотных шумов или доминирующей тональной составляющей. В этом случае воздействие фонового шума не может давать искажения. Упрощенный метод индекса передачи речи, основанный на индексе передачи речи в соответствии с МЭК 60286-16, применим для широкополосного шума с доминирующими узкополосными составляющими и без них. Этот метод более точен, чем метод, использующий определение корректированного по шкале A уровня звукового давления.
Примечание 1 - В тех ситуациях, где необходимые условия обоих упомянутых выше методов не могут быть выполнены, может быть полезен метод индекса передачи речи, описанный в
приложении D в соответствии с МЭК 60268-16.
Примечание 2 - При установлении для продукции соответствующего диапазона уровней звукового давления речевых сообщений должен быть использован уровень фонового шума, типичный для условий эксплуатации продукции.
5.2 Критерии определения уровня речи
Уровень речи, при котором речевое сообщение воспринимается как комфортное, составляет 55 дБ. Затруднения при прослушивании речевого сообщения с данным уровнем речи лицами молодого возраста при наличии ветра минимальны (см.
[9]).
Требуемое отношение сигнал-шум, используемое для определения минимального уровня речи для лиц старшего возраста, рассчитывают в соответствии с
приложением B. Для типичного слушателя старшего возраста отношение сигнал-шум должно составлять 5 дБ, соответствующий индекс передачи речи имеет значение 0,65 и более для лучшего понимания одного четко произнесенного слова при наличии фонового шума и отсутствии эха. Необходимое улучшение отношения сигнал-шум для слушателей старшего возраста составляет от 2 до 6 дБ для различных языков. В этом случае оказывает влияние различие в значениях средней чистоты тона для людей младшего и старшего возраста.
Максимальный уровень речи следует определять в соответствии с
5.4. В общем случае молодые люди обладают более высокой слуховой чувствительностью, чем люди старшего возраста. Люди молодого возраста испытывают перцептивный дискомфорт, расценивая речевое сообщение как слишком громкое при более низких значениях уровней речи, чем лица старшего возраста, поэтому максимальный уровень речи в настоящем стандарте установлен ориентируясь на людей молодого возраста.
5.3 Важные факторы, влияющие на восприятие речи
Предполагается, что отражение звука оказывает негативное воздействие на восприятие речи. Метод, использующий индекс передачи речи, установленный в МЭК 60268-16 (приложение L), является стандартизованным методом, с помощью которого можно прогнозировать неблагоприятное воздействие звукоотражения. В данном методе для определения индекса передачи речи учитывают время реверберации, объем помещения и расстояние от источника сигнала до слушателей. Для применения критерия STI = 0,65 в закрытых или полузакрытых пространствах соответствующие факторы необходимо рассматривать в условиях звукоотражающего пространства и/или речевого сообщения более низкого качества.
Другой фактор - воздействие, оказываемое фонетическими особенностями речи, присущими различным языкам. В
приложении B представлены результаты испытаний по распознаванию слов для шести языков. Для молодых слушателей средние оценки уровней речи для различных языков различаются примерно на 5 дБ.
Предполагается, что дикторы, предоставляющие пользователям речевые сообщения или инструкции во время передачи сообщения, находятся в непосредственной физической близости от пользователей. Для метода имитационного моделирования, использующего индекс передачи речи (см. МЭК 60268-16, приложение L), расстояние между источником сигнала и слушателем, равное 2 м, соответствует индексу передачи речи равному 0,65 в условиях типовой звукоотражающей среды, где отношение сигнал-шум имеет значение от 5 до 10 дБ.
На
рисунке 1 показано характерное соотношение между отношением сигнал-шум и индексом передачи речи на расстоянии от источника звука до слушателя равном 2,0 м. На расстояниях более 2,0 м звукоотражение может искажать передачу речи в условиях реверберации.
X - отношение сигнал-шум; Y - индекс передачи речи;
A - пространство без эха (T = 0,1 с); B - обычное
пространство (T = 0,34 с); C - звукоотражающее
пространство (T = 0,55 с)
Рисунок 1 - Зависимость между отношением сигнал-шум
и индексом передачи речи при трех различных значениях
времени реверберации для объема помещения 192 м3
и расстояния от источника до приемника звука, равного 2,0 м
Настоящий стандарт предназначен для применения на расстоянии между источником сигнала и слушателем 2 м или менее. При использовании методов настоящего стандарта в отчете делают записи об условиях и результатах измерений. Примеры таких записей представлены в
приложении C.
Примечание 1 - В условиях открытого свободного пространства без реверберации расстояние между источником и приемником речевого сообщения очень непостоянно. Реверберацию рассматривать не следует.
Примечание 2 - Характерное время реверберации для классной комнаты начальной школы (размер: 8 x 8 x 3 м) составляет 0,45 с.
5.4 Метод определения уровня речи с коррекцией по шкале A
Диапазон уровней звукового давления речевых сообщений определяют с использованием коррекции по шкале A (см.
приложение A) в соответствии с приведенным ниже алгоритмом.
a) Минимальный уровень речи (нижнее значение LS,A).
Минимальный уровень речи, представляющий собой нижнее значение LS,A, следует определять в соответствии со следующей процедурой:
1) измеряют
LN,A и проверяют, что
LN,A < 80 дБ;
2) нижнее значение LS,A должно быть таким, что разность LS,A - LN,A составит приблизительно 10 дБ;
3) минимальное нижнее значение должно составлять 55 дБ, если минимальное нижнее значение составляет менее 55 дБ, это указывает на невыполнение требования
1).
Примечание - Следует избегать увеличения уровня звукового давления октавной полосы с центральной частотой в 8 кГц с целью увеличить LS,A.
b) Максимальный уровень речи (верхнее значение LS,A).
Максимальный уровень речи, представляющий собой верхнее значение LS,A, определяют в соответствии со следующей процедурой:
1) измеряют
LN,A и проверяют, что
LN,A < 80 дБ;
2) верхнее значение LS,A должно составлять 75 дБ + 0,2LN,A;
3) верхнее значение должно составлять 90 дБ. (если верхнее значение превышает 90 дБ, это указывает на невыполнение требования
1).
5.5 Метод определения минимального уровня речи с использованием упрощенного индекса передачи речи
Минимальный уровень речи, использующий упрощенный индекс передачи речи, получают путем измерения уровня звукового давления октавной полосы в соответствии со следующей процедурой (см.
приложение A).
a) Вычисляют Ls,i - LN,i, измеряя уровни звукового давления октавных полос от 125 Гц до 8 кГц сигнала и фонового шума.
b) Вычисляют
Ti (индекс передачи октавной полосы
i, дБ), используя
формулу (1)

. (1)
Примечание 1 - Если полученное значение Ti превышает 1,0, то принимают Ti = 1.
Примечание 2 - Если полученное значение Ti менее 0, то принимают Ti = 0.
c) По
формуле (2) с учетом полученного
Ti вычисляют значение
I. Используют семь октавных полос с центральными частотами от 125 Гц до 8 кГц. Весовые коэффициенты и коэффициенты избыточности приведены в
таблице 1 в соответствии с МЭК 60268-16. Если получено значение индекса передачи речи более 1,0, то за значение индекса передачи речи принимают 1,0.

, (2)
где Tk - индекс передачи модуляции для октавной полосы k;
Tk-1 - индекс передачи модуляции для октавной полосы k-1;

- коэффициент избыточности между
k-й октавной полосой и (
k+1)-й октавной полосой (см.
таблицу 1, 3-ю строку).
Таблица 1
Весовые коэффициенты и коэффициенты избыточности
для октавных полос
Октавная полоса Гц | 125 | 250 | 500 | 1 000 | 2 000 | 4 000 | 8 000 |
| 0,085 | 0,127 | 0,230 | 0,233 | 0,309 | 0,224 | 0,173 |
| 0,085 | 0,078 | 0,065 | 0,011 | 0,047 | 0,095 | - |
d) Проверить, что I превышает 0,65. Если I < 0,65, необходимо увеличить Ls,A и повторить действия с 1) по 3), пока I не превысит 0,65.
Примечание - Предполагается, что при увеличении LS,A на 3 дБ I увеличивается на 0,1 в условиях типичного спектра шума жилого помещения.
(обязательное)
МЕТОД ИЗМЕРЕНИЙ УРОВНЯ ЗВУКОВОГО ДАВЛЕНИЯ РЕЧЕВЫХ СООБЩЕНИЙ
И ФОНОВОГО ШУМА
A.1 Общие положения
В данном приложении представлен метод измерений уровня звукового давления для определения диапазона уровней звукового давления речевых сообщений с учетом требований, установленных в
разделе 5 для продукции, используемой в жилых помещениях, офисах и общественных местах.
A.2 Описание метода
A.2.1 Измерения
Должны быть выполнены следующие измерения:
a) измерение корректированного по шкале A уровня звукового давления;
b) измерение уровня звукового давления однооктавной полосы.
A.2.2 Средства измерений
Необходимые средства измерений:
a) шумомер, соответствующий требованиям МЭК 61672-1;
b) фильтры, определенные в МЭК 61260, для выполнения частотного анализа в октавной полосе.
Примечание - Вместо шумомера, технические характеристики которого установлены в МЭК 61672-1, может быть использован ненаправленный микрофон свободного поля с усилителем.
A.2.3 Измеряемые акустические характеристики пространства и установка источника сигнала
Измерения должны быть выполнены в реальном месте, предназначенном для передачи речевых сообщений, в котором находится источник сигнала, расположенный и установленный так, как предусмотрено для его функционирования. Если речевое сообщение должно передаваться в различных погодных условиях, измерения должны быть проведены при всех возможных погодных условиях. При значительных колебаниях уровня фонового шума в течение промежутка времени измерений характеристики данной ситуации фиксируют и вносят в отчет о проводимых измерениях.
Пример - Если источником сигнала на железнодорожной станции является информационная будка, установленная вблизи от железнодорожных путей, то измерения проводят при различном уровне фонового шума: в условиях передвижения состава и при его отсутствии.
A.2.4 Положение приборов при выполнении измерений
a) Микрофон шумомера должен быть расположен в том месте, где сигнал, как предполагается, должен быть слышен.
b) Микрофон шумомера должен быть ориентирован на громкоговоритель или другой источник звука в положении, соответствующем центру головы слушателя.
c) Специалист, выполняющий измерения, должен дистанцироваться от микрофона, чтобы избежать эффекта звукового отражения от его тела.
d) Если предполагается, что сигналы должны быть слышны с большого числа мест, измерения должны быть проведены с нескольких представительных положений, включая самое близкое и самое дальнее от источника звука.
A.2.5 Измерение уровней звукового давления
Измерение уровней звукового давления сигналов и фонового шума выполняют в соответствии со следующей процедурой.
a) Измерение уровней звукового давления, корректированных по шкале A
Если для речевых сообщений используют метод измерения уровней звукового давления с коррекцией по шкале A, при выполнении измерений необходимо учитывать следующие требования и рекомендации:
1) частотная коррекция шумомера должна быть произведена по шкале A. Временная характеристика должна быть F (быстро);
2) при измерении соответствующего непрерывного уровня звукового давления речевые сообщения должны звучать непрерывно без пауз. Наименьшее время измерения должно составлять 15 с. Если продолжительность речевого сообщения составляет менее 15 с, следует непрерывно, повторять речевое сообщение до тех пор, пока общая продолжительность звучания сообщений не превысит 15 с. Полученное значение используют как LS,A;
3) соответствующий уровень звукового давления фонового шума измеряют при отсутствии сигнала. Наименьшее время измерений должно составлять 15 с. Полученное значение используют как LN,A.
b) измерение уровней звукового давления октавных полос
При использовании метода измерения уровня звукового давления одной октавной полосы, измерения выполняют в соответствии со следующей процедурой:
1) частотная коррекция шумомера должна быть произведена по шкале A или FLAT. Временная характеристика должна быть F (быстро);
Примечание - Z-коррекция - плоско амплитудная частотная коррекция характеристики от 10 Гц до 20 кГц +/- 1,5 дБ в соответствии с МЭК 61672-1.
2) при измерении соответствующего непрерывного уровня звукового давления речевые сообщения должны звучать непрерывно, без пауз. Наименьшее время измерений должно составлять 15 с. Полученное значение используют как LS,i для i-й полосы;
3) соответствующий уровень звукового давления фонового шума измеряют при отсутствии сигнала. Наименьшее время измерений должно составлять 15 с. Полученные значения используют как LN,i.
(справочное)
ВЛИЯНИЕ ВОЗРАСТНОГО СНИЖЕНИЯ СЛУХА НА РАСПОЗНАВАНИЕ СЛОВ
B.1 Общие положения
Данное приложение содержит информацию о влиянии возрастного снижения слуха на распознавание отдельных слов как функции отношения сигнал-шум (см.
[11]).
Примечание - Распознавание слов является трудной задачей, а наихудший вариант этой задачи - обработка словесной информации в повседневной жизни. Лучшее распознавание слов речевого сообщения обычно обеспечивает сообщение в виде предложения.
B.2 Зависимости количества распознанных слов от отношения сигнал-шум, среднего чистого тона, пола и возраста
На
рисунке B.1 представлена зависимость количества распознанных отдельных слов от значения отношения сигнал-шум для людей молодого возраста (20 лет) с нормальным слухом и старшего возраста (60 лет или старше) с пороговыми уровнями слышимости (см.
[10]). Среднее количество правильно распознанных слов и стандартные отклонения для каждого отношения сигнал-шум и каждой группы слушателей представлены на
рисунке B.1. Испытания по распознаванию слов проведены при наличии фонового шума с уровнем звукового давления, эквивалентным уровню звукового давления непрерывного звука в 50 дБ с A-корректированной частотой, со спектром Хота, как определено в
[11]. Отношение сигнал-шум варьировалось в соответствии с представленным уровнем речи.
Группа | Количество (мужчин/женщин) | Средний возраст | Диапазон среднего чистого тона | Среднее чистого тона |
A | 34/21 | 21,3 | от -5 до 10 | 2,6 |
B | 1/6 | 38,5 | от -2,5 до 10 | 4,5 |
C | 27/24 | 70,7 | от 7,5 до 54 | 23,6 |
X - отношение сигнал-шум, дБ; Y - процент правильно
распознанных слов из общего количества слов
для распознавания
Рисунок B.1 - Процент правильно распознанных слов
для молодых слушателей (группа A), слушателей средних лет
(группа B) и слушателей старшего возраста (группа C)
для каждого отношения сигнал-шум
Стандартизованные данные статистического распределения пороговых уровней слышимости приведены в ИСО 1999 и ИСО 7029. В приложении B ИСО 1999 представлены пороговые уровни слышимости смешанной группы слушателей в возрасте от 30 до 60 лет. В ИСО 7029 представлены пороговые уровни слышимости для людей в возрасте от 20 до 70 лет с нормальным слухом. Пороговый уровень слышимости представлен средним чистого тона, который является среднеарифметическим пороговых уровней слышимости в 0,5, 1, 2, и 4 кГц, где сигнал способствует распознаванию слов.
Примечание - В ИСО 7029:2000 человек с нормальным слухом определен как "человек с нормальным состоянием здоровья, у которого отсутствуют признаки или симптомы заболеваний органов слуха, причем слуховые проходы свободны от выделений, и который в течение жизни не подвергался недопустимому воздействию шума".
Для молодых слушателей отношение сигнал-шум, равное минус 2,0 дБ, дает 95% результата от максимально возможной оценки. В группе слушателей пожилого возраста со средним отношением чистого тона, равным 23,6 дБ, данный результат требует улучшения отношения сигнал-шум в среднем на 5,5 дБ при отсутствии эха. При увеличении среднего чистого тона на 1 дБ кривые исследуемой зависимости перемещаются на 0,26 дБ к более высокому отношению сигнал-шум. При высокой степени потери слуха у слушателя отношение сигнал-шум рассматривают вместе со средним отношением чистого тона. Результаты в группе слушателей средних лет сходны с результатами для молодых слушателей.
В
таблице B.1 представлены среднее чистого тона для людей с нормальным слухом (см. ИСО 7029) и смешанной популяции экономически развитых стран (см. ИСО 1999). Разность средних медиан среднего чистого тона для отобранных по определенному признаку групп слушателей от 30 до 60 лет и смешанной группы составляет 3,5 дБ для мужчин и 1,5 дБ для женщин соответственно, что установлено с помощью линейной регрессии по данным людей с нормальным слухом и смешанных групп слушателей каждого пола.
Таблица B.1
Среднее чистого тона в дБ для людей с нормальным слухом
(ИСО 7029) и смешанной популяции экономически
развитых стран (ИСО 1999)
Возраст | ISO 7029 | ISO 1999 |
Мужчина | Женщина | Мужчина | Женщина |
Процентили |
0,9 | 0,5 | 0,1 | 0,9 | 0,5 | 0,1 | 0,9 | 0,5 | 0,1 | 0,9 | 0,5 | 0,1 |
20 | -6,8 | 0,0 | 9,0 | -6,8 | 0,0 | 8,8 | |
30 | -6,5 | 1,3 | 10,8 | -6,3 | 1,0 | 10,0 | -2,8 | 4,8 | 19,0 | -4,5 | 2,8 | 12,5 |
40 | -5,0 | 3,8 | 15,0 | -5,3 | 2,8 | 13,0 | -0,8 | 8,0 | 25,8 | -3,3 | 4,3 | 15,8 |
50 | -2,8 | 7,8 | 21,3 | -3,5 | 5,8 | 17,5 | 1,0 | 12,3 | 29,8 | 0,5 | 7,3 | 22,0 |
60 | 0,3 | 13,3 | 30,3 | -1,3 | 10,0 | 24,3 | 3,0 | 16,0 | 39,5 | 1,5 | 11,5 | 30,5 |
70 | 4,3 | 20,5 | 41,5 | 1,5 | 15,0 | 32,5 | |
Данные о процентном соотношении групп населения, характеризуемых по возрасту и полу среди взрослого населения экономически более развитых стран, даны в
таблице B.2 (см.
[14]). Среднее чистого тона для людей с нормальным слухом в возрасте 60 лет или старше принято как 7,4 дБ для 90-й процентили, 14,5 дБ для 50-й процентили и 23,5 дБ для 10-й процентили. Среднее отношение чистого тона для процентилей соответствуют необходимому усовершенствованию отношения сигнал-шум на 1,9, 3,8 и 6,1 дБ. Отношение сигнал-шум, равное 1,8 и 4,1 дБ, требуется для достижения 95% результата от максимально возможного, соответственно для 50% и 90% популяции, в которой возраст составляет 60 лет и более, что основано на требовании равенства отношения сигнал-шум минус 2 дБ для молодых слушателей. В данном предположении среднее отношение чистого тона для слушателей в возрасте 70 лет и старше расценено как равное среднему отношению чистого тона для слушателей 70 лет. Как известно, для людей в возрасте 80 лет или старше фактически пороговый уровень слышимости снижается на 1,5 дБ ежегодно (см.
[15]). Этому снижению соответствует необходимость улучшения отношения сигнал-шум на 0,4 дБ ежегодно.
Таблица B.2
Смешанная совокупность взрослого населения (старше 20 лет)
экономически развитых стран (см.
[14]) различного возраста
и пола
Возраст | Мужчина, % | Женщина, % |
20 | 9,1 | 8,8 |
30 | 9,1 | 8,9 |
40 | 9,2 | 9,3 |
50 | 8,5 | 9,0 |
60 | 6,2 | 7,0 |
70+ | 5,8 | 9,1 |
B.3 Различия в количестве распознанных слов
Различия в характеристиках распознавания слов слушателями молодого и старшего возраста, являющимися носителями языка, определены для обеспечения возможности применения настоящего стандарта на международном уровне. В исследовании участвовали представители шести стран: Китая, Германии, Соединенных Штатов Америки, Кореи, Японии и Таиланда.
Тесты на распознавание слов составлены аналогично для всех языков. Слово, которое необходимо распознать (целевое слово), включено в следующее предложение, произнесенное на родном языке слушателя: "Следующее слово - целевое слово, запишите это". Более 20 слушателей молодого возраста (20 лет) и более 20 слушателей старшего возраста (старше 60 лет) участвовали в тестах на распознавание слов на родном языке. Все участники были отобраны случайным образом (смешанная группа) среди тех, кто не сообщал о проблемах со слухом. Спектр шума Хота (см.
[11]) с уровнем звука в 50 дБ, корректированного по шкале A, использован в качестве маскирующего фонового шума. A-корректированные отношения сигнал-шум были установлены от минус 20 до 24 дБ с шагом в 4 дБ. Каждый участник исследований слышал 16 слов при каждом отношении сигнал-шум, произносимых мужским и женским голосом. Испытания проводились с помощью наушников или громкоговорителей.
Кривая, полученная по результатам испытаний для носителей японского языка молодого возраста, использована в качестве стандартной кривой. Показано, что подобные результаты дает и тестирование в аналогичных условиях молодых носителей английского языка. При этом кривая, полученная по результатам испытаний, такая же, как стандартная кривая. Как видно из
формулы (B.1), функция, определяющая стандартную кривую, является психометрической функцией. Регрессионные кривые получают, варьируя максимальную оценку
Smax и разность (
LS,A -
LN,A), оценка которой составляет 50%
m от
Smax. Крутизна функции
s была фиксирована,
s = 2,9 дБ. Среднеквадратичная ошибка модели составляла 0,34% от среднего количества распознанных слов для тестов на японском языке

, %. (B.1)
Регрессионная кривая также получена для слушателей старшего возраста. Вычислена разность (LS,A - LN,A), характеризующая различия в характеристиках распознавания отдельных слов слушателями молодого и старшего возраста. Для каждого языка вычислено отношение значений Smax для слушателей старшего возраста к значению Smax для слушателей молодого возраста. Коэффициент корреляции для кривой регрессии и результатов измерений, вычисленный для каждого языка и пола говорящего, составил более чем 0,99.
X - отношение сигнал-шум, в дБ;
Y - количество правильно распознанных слов, %;

японский язык;

английский язык (Соединенные Штаты Америки);

немецкий язык (Германия);

корейский язык;

китайский язык (Мандарин);

тайский язык
Рисунок B.2 - Взаимосвязь количества распознанных слов
и отношения сигнал-шум для групп слушателей молодого
возраста и шести языков. Голос говорящего - мужской (слева),
голос говорящего - женский (справа)
X - отношений сигнал-шум, в дБ;
Y - количество правильно распознанных слов, %;

японский язык;

английский язык (Соединенные Штаты Америки);

немецкий язык (Германия);

корейский язык;

китайский язык (Мандарин);

тайский язык
Рисунок B.3 - Взаимосвязь количества распознанных слов
и отношения сигнал-шум для групп слушателей старшего
возраста и шести языков. Голос говорящего - мужской (слева),
голос говорящего - женский (справа)
B.4 Необходимые улучшения отношения сигнал-шум для слушателей старшего возраста
Разность (
LS,A -
LN,A), характеризующая различие в характеристиках распознавания отдельных слов между слушателями молодого и старшего возраста, представлена в
таблице B.3.
Таблица B.3
Разность значений (
LS,A -
LN,A) у слушателей младшего
и старшего возраста для шести языков
Язык | Разность значений (LS,A - LN,A) у слушателей младшего и старшего возраста |
Мужской голос | Женский голос |
Японский | 3,9 | 4,4 |
Английский (американский) | 3,8 | 3,6 |
Немецкий | 2,1 | 2,4 |
Корейский | 2,7 | 2,2 |
Китайский | 5,1 | 6,1 |
Тайский | 2,0 | 2,8 |
Разность (LS,A - LN,A) показывает необходимое улучшение отношения сигнал-шум для слушателей старшего возраста по сравнению со слушателями молодого возраста. Среднее отношение значения данной разницы, вычисленное для различных языков, для мужского и женского пола, составляет 3,3 дБ. Отмечается тенденция к тому, что разность для женского голоса превосходит разность для мужского голоса, что объясняется наличием более высоких частот у женских голосов и возрастным ухудшением слухового распознавания в более высоком спектре частоты звука. Вариации значений разности (LS,A - LN,A) вызваны различиями в возрасте слушателей и их слуховыми способностями. Значения разности для среднего чистого тона между слушателями младшего и старшего возраста, измеренные для трех языков, дали следующие результаты: китайского - 19 дБ, тайского - 14 дБ и японского - 17 дБ.
(справочное)
ПРИМЕРЫ ВЫПОЛНЕНИЯ ИЗМЕРЕНИЙ И СОСТАВЛЕНИЯ ОТЧЕТОВ
C.1 Общие положения
Условия выполнения измерений и результаты измерений должны быть зарегистрированы. В данном приложении приведен пример составления отчета о проведенных измерениях.
a) Дата и место измерений
Пример - Дата измерений: день, месяц, год
Место измерений: наименование организации, помещение XX
b) Наименование продукции и номер модели
Пример - Наименование и номер модели: микроволновая печь, модель номер XX-XXXX
c) Наименование и модель средств измерений
Пример - Наименование и модель средств измерений: шумомер, модель номер XX; третьоктавный анализатор, модель номер XXXX-XX
d) Положения для измерений
Пример - Положения для измерений: микрофон расположен в положении относительно источника звука, указанном на рисунке X
e) Источники шума
Пример - Источники шума: звук льющейся воды в кухне, слив воды, XX л/мин
f) Фоновый шум, метод измерения уровня звукового давления
Пример - Метод измерений уровня звукового давления сигналов и фонового шума: анализ в октавных полосах частот
g) Результаты измерений уровня звукового давления речевого сообщения и фонового шума
1) LS,A или LS,ост
2) LN,A или LN,ост
Пример - Уровень звукового давления фонового шума: LN,A = 51 дБ.
C.2 Пример таблицы отчета
Условия и результаты измерений регистрируют соответствующим образом. Пример отчета представлен в
таблице C.1.
Таблица C.1
Пример таблицы записей результатов измерений
Дата | | Местоположение | |
Продукт | Название | |
Номер модели | |
Устройство для измерения | Название | |
Номер модели | |
Позиция для измерения | Высота | |
Источник шума (если существует) | Источник шума | |
Расстояние от позиции для измерения до источника шума | |
Метод измерения | A-корректированный или октавнополосный | |
A-корректированный уровень звукового давления | Сигнал | |
Фоновый шум | |
Уровень звукового давления в октавной полосе | Частота центра полосы, Гц | 125 | 250 | 500 | 1k | 2k | 4k | 8k |
Сигнал | | | | | | | |
Фоновый шум | | | | | | | |
Упрощенный STI или STI | |
(справочное)
МЕТОД, ИСПОЛЬЗУЮЩИЙ ИНДЕКС ПЕРЕДАЧИ РЕЧИ ДЛЯ ОПРЕДЕЛЕНИЯ
МИНИМАЛЬНОГО УРОВНЯ РЕЧИ
D.1 Общие положения
В данном приложении представлен метод определения минимального уровня речи, использующий индекс передачи речи, при необходимости рассмотрения воздействия реверберации. Минимальный уровень речи при использовании индекса передачи речи может быть определен для уровня звукового давления в октавной полосе в соответствии с
приложением A и как импульсная характеристика канала передачи речи в соответствии с МЭК 60268-16. Описанный метод также применим в условиях, соответствующих требованиям МЭК 60268-16.
D.2 Измерение импульсной характеристики
Метод, используемый для измерения импульсной характеристики целевого канала передачи речи, описан как непрямой метод в МЭК 60268-16, раздел 6.
Измерение импульсной характеристики необходимо проводить в соответствии с ИСО 18233. Вследствие использования импульсной характеристики данный метод применим только к линейному стационарному каналу передачи.
D.3 Средство измерений
Средство измерений должно соответствовать описанию, приведенному ниже.
a) Шумомер (см. МЭК 61672-1).
Примечание - Вместо шумомера, технические характеристики которого установлены в МЭК 61672-1, можно использовать ненаправленный микрофон свободного поля с микрофонным усилителем.
b) Для получения импульсной характеристики в соответствии с ИСО 18233 проводят компьютерную обработку сигнала.
D.4 Место проведения измерений и установка источника сигнала
Измерения необходимо проводить в местах, фактически предназначенных для передачи голосовых сообщений, с установленными соответствующим образом громкоговорителями при отсутствии ветра.
D.5 Положения при выполнении измерений
a) Микрофон должен находиться в месте предполагаемого прослушивания сигнала.
b) Микрофон должен быть ориентирован на громкоговоритель или другое устройство, издающее сигнал и занимать положение, соответствующее центру головы слушателя.
c) Специалист, проводящий измерения, должен дистанцироваться от микрофона во избежание эффектов звукового отражения от его тела.
d) Если предполагается, что сигналы должны быть слышны с большого количества мест, измерения должны быть проведены с нескольких представительных позиций, включая самое близкое и самое дальнее положения.
D.6 Процедура измерений импульсной характеристики канала передачи
Измерение импульсной характеристики необходимо проводить в соответствии со следующей процедурой.
a) Частотно-корректированная характеристика шумомера должна быть Z-корректированной или FLAT.
b) Вводят измеряемый сигнал импульсной характеристики, такой, как сигнал с развернутой частотой, в передатчик, издающий речевые сообщения.
Примечание - Данный метод применим в том случае, когда речевые сообщения поступают из нескольких источников.
c) Распространенный сигнал принимают в местах измерений.
d) При наличии шума в помещении, где проводят измерения, производят одновременное усреднение полученного сигнала.
Примечание - Необходимое количество синхронных усреднений зависит от используемого метода и уровня фонового шума (см. ИСО 18233).
e) Вычисляют импульсные характеристики сигналов в соответствии с ИСО 18233.
D.7 Процедуры определения минимального уровня речи, уровня речи в октавной полосе и индекса передачи речи
Минимальный уровень речи с учетом эффектов реверберации для адресного канала передачи речи определяют с помощью следующих процедур.
a) Вычисляют разность (LS,i - LN,i), используя результаты измерений уровней в октавной полосе от 125 Гц до 8 кГц полос сигнала и фонового шума.
b) Вычисляют функцию передачи модуляции

, используя
формулу (D.1) для результатов измерений импульсной характеристики и разности (
LS,i -
LN,i)
k-й октавной полосы, включающей частоты от 125 Гц до 8 кГц. Частота модуляции
fm является центральной частотой 1/3 октавных полос от 0,63 до 12,5 Гц.

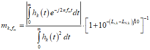
,
где hk(t) - импульсная характеристика k-й октавной полосы;
fm - частота модуляции;
Ls,k - LN,k - отношение сигнал-шум в децибелах для k-й полосы.
c) Коррекция функций передачи модуляции

, использующих маскировку звука и полный прием речи в соответствии с результатами измерений уровней звукового давления октавных полос для сигнала и фонового шума, должна быть вычислена в соответствии с МЭК 60268-16, приложение A.5.3.
d) Вычисляют
R'i с корректированными функциями передачи модуляции

, используя
формулу (D.2)

.
e) Вычисляют
Ti, индекс передачи в октавной полосе для
i-й полосы (дБ), используя
формулу (1) с (
LS,i -
LN,i)' вместо (
LS,i -
LN,i).
f) Вычисляют
I, используя
формулу (2) для полученного значения
Ti.
g) Подтверждают, что I превышает 0,65. Если I ниже 0,65, то увеличивают LS,A и повторяют действия с 1) по 3) пока I не превысит 0,65.
Примечание - Предполагается увеличение I на 0,1 при увеличении LS,A на 3 дБ и типовом спектре шума жилого помещения.
(справочное)
СВЕДЕНИЯ О СООТВЕТСТВИИ ССЫЛОЧНЫХ МЕЖДУНАРОДНЫХ СТАНДАРТОВ
НАЦИОНАЛЬНЫМ СТАНДАРТАМ РОССИЙСКОЙ ФЕДЕРАЦИИ
Таблица ДА.1
Обозначение ссылочного международного стандарта | Степень соответствия | Обозначение и наименование соответствующего национального стандарта |
ИСО 389-1:1998 | IDT | ГОСТ Р ИСО 389-1-2011 "Государственная система обеспечения единства измерений. Акустика. Опорный нуль для калибровки аудиометрической аппаратуры. Часть 1. Опорные эквивалентные пороговые уровни звукового давления чистых тонов для прижимных телефонов" |
ИСО 1996-1:2003 | - | |
ИСО 3382-2:2008 | IDT | ГОСТ Р ИСО 3382-2-2013 "Акустика. Измерение акустических параметров помещений. Часть 2. Время реверберации обычных помещений" |
ИСО 8253-1:2010 | IDT | ГОСТ Р ИСО 8253-1-2012 "Акустика. Методы аудиометрических испытаний. Часть 1. Тональная пороговая аудиометрия по воздушной и костной проводимости" |
МЭК 60050-801:1994 | - | Текст стандарта разработан на английском, французском и русском языках |
МЭК 60268-16:2011 | - | |
МЭК 61260:2014 | - | |
МЭК 61672-1:2013 | - | |
<*> Соответствующий национальный стандарт отсутствует. До его утверждения рекомендуется использовать перевод на русский язык данного международного стандарта. Перевод данного международного стандарта находится в Федеральном информационном фонде технических регламентов и стандартов. Примечание - В настоящей таблице использовано следующее условное обозначения степени соответствия стандартов: - IDT - идентичный стандарт. |
[1] | ISO 9921:2003 | Ergonomics - Assessment of speech communication |
[2] | ISO/IEC Guide 71:2001 | Guidelines for standards developers to address the needs of older persons and persons with disabilities |
[3] | ISO/TR 22411:2008 | Ergonomics data and guidelines for the application of ISO/IEC Guide 71 to products and services to address the needs of older persons and persons with disabilities |
[4] | IEC 60268-7:2010 | Sound system equipment - Part 7: Headphones and earphones |
[5] | ISO 7240-16:2007 | Fire detection and alarm systems - Part 16: Sound system control and indicating equipment |
[6] | ISO 7240-19:2007 | Fire detection and alarm systems - Part 19: Design, installation, commissioning and service of sound systems for emergency purposes |
[7] | ISO 15006:2011 | Road vehicles - Ergonomic aspects of transport information and control systems - Specifications for in-vehicle auditory presentation |
| Pearsons K.S., Bennett R.L., Fidell S. Speech levels in various noise environments (Report No. EPA-600/1-77-025). Washington, DC: U.S. Environmental Protection Agency (1977) |
| Kobayashi M., Morimoto M., Sato H., Sato H. Optimum speech level to minimize listening difficulty in public spaces. J. Acoust. Soc. Am. 2007, 121 (1) pp. 251 - 256 |
| Sato H., Kurakata K., Mizunami T. Accessible speech messages for the elderly in rooms," Ninth Western Pacific Acoustics Conference Seoul, Korea, 2006 |
| ITU-T P.800. Methods for Subjective Determination of Transmission Quality - Series P: Telephone Transmission Quality: Methods for Objective and Subjective Assessment of Quality (1996) |
[12] | ISO 7029:2000, | Acoustics - Statistical distribution of hearing thresholds as a function of age |
[13] | ISO 1999:2013 | Acoustics - Estimation of noise-induced hearing loss |
| Population Division of the Department of Economic and Social Affairs of the United Nations Secretariat. World Population Prospects. Revision, 2010 |
| Wiley T.L. Chappell, R., Carmichael, L., Nondahl, D.M., and Cruickshanks, K.J. "Changes in Hearing Thresholds over 10 Years in Older Adults. J. Am. Acad. Audiol. 2008, 19 (4) pp. 281 - 292 |
[16] | Sato H., Bradley J.S., Morimoto M. Using listening difficulty ratings of conditions for speech communication in rooms. J. Acoust. Soc. Am. 2005, 117 (3) pp. 1157 - 1167 |
[17] | ISO 18233:2006 | Acoustics - Application of new measurement methods in building and room acoustics |
УДК 331.41:006.354 | |
Ключевые слова: эргономика, звуковой сигнал, уровень звукового давления, потребительский товар, шум, звуковая помеха, фоновый шум |