Главная // Актуальные документы // ГОСТ Р (Государственный стандарт)СПРАВКА
Источник публикации
М.: Стандартинформ, 2016
Примечание к документу
Документ
введен в действие с 1 августа 2016 года.
Название документа
"ГОСТ Р ИСО 21214-2015. Национальный стандарт Российской Федерации. Интеллектуальные транспортные системы. Радиоинтерфейс непрерывного действия, длинный и средний диапазоны (CALM). Инфракрасные системы"
(утв. и введен в действие Приказом Росстандарта от 16.11.2015 N 1818-ст)
"ГОСТ Р ИСО 21214-2015. Национальный стандарт Российской Федерации. Интеллектуальные транспортные системы. Радиоинтерфейс непрерывного действия, длинный и средний диапазоны (CALM). Инфракрасные системы"
(утв. и введен в действие Приказом Росстандарта от 16.11.2015 N 1818-ст)
Утвержден и введен в действие
по техническому регулированию
и метрологии
от 16 ноября 2015 г. N 1818-ст
НАЦИОНАЛЬНЫЙ СТАНДАРТ РОССИЙСКОЙ ФЕДЕРАЦИИ
ИНТЕЛЛЕКТУАЛЬНЫЕ ТРАНСПОРТНЫЕ СИСТЕМЫ
РАДИОИНТЕРФЕЙС НЕПРЕРЫВНОГО ДЕЙСТВИЯ, ДЛИННЫЙ И СРЕДНИЙ
ДИАПАЗОНЫ (CALM). ИНФРАКРАСНЫЕ СИСТЕМЫ
Intelligent transport systems. Continuous air interface,
long and medium range (CALM). Infra-red systems
(ISO 21214:2006, IDT)
ГОСТ Р ИСО 21214-2015
Дата введения
1 августа 2016 года
1 ПОДГОТОВЛЕН Федеральным государственным бюджетным образовательным учреждением высшего профессионального образования "Московский автомобильно-дорожный государственный технический университет" (МАДИ) на основе собственного перевода на русский язык англоязычной версии стандарта, указанного в
пункте 4
2 ВНЕСЕН Техническим комитетом по стандартизации N 57 "Интеллектуальные транспортные системы"
3 УТВЕРЖДЕН И ВВЕДЕН В ДЕЙСТВИЕ
Приказом Федерального агентства по техническому регулированию и метрологии от 16 ноября 2015 г. N 1818-ст
4 Настоящий стандарт идентичен международному стандарту ИСО 21214:2006 "Интеллектуальные транспортные системы. Радиоинтерфейс непрерывного действия, длинный и средний диапазоны (CALM). Инфракрасные системы" (ISO 21214:2006 "Intelligent transport systems - Continuous air interface, long and medium range (CALM) - Infra-red systems, IDT").
Следует обратить внимание на то, что некоторые из элементов настоящего стандарта могут быть объектом патентных прав.
ИСО 21214:2006 был подготовлен Техническим комитетом ИСО/ТК 204 "Интеллектуальные транспортные системы".
При применении настоящего стандарта рекомендуется использовать вместо ссылочных международных стандартов соответствующие им национальные стандарты Российской Федерации и межгосударственные стандарты, сведения о которых приведены в дополнительном
приложении ДА
5 ВВЕДЕН ВПЕРВЫЕ
Правила применения настоящего стандарта установлены в ГОСТ Р 1.0-2012
(раздел 8). Информация об изменениях к настоящему стандарту публикуется в ежегодном (по состоянию на 1 января текущего года) информационном указателе "Национальные стандарты", а официальный текст изменений и поправок - в ежемесячном информационном указателе "Национальные стандарты". В случае пересмотра (замены) или отмены настоящего стандарта соответствующее уведомление будет опубликовано в ближайшем выпуске ежемесячного информационного указателя "Национальные стандарты". Соответствующая информация, уведомление и тексты размещаются также в информационной системе общего пользования - на официальном сайте Федерального агентства по техническому регулированию и метрологии в сети Интернет (www.gost.ru)
Настоящий стандарт входит в состав серии международных стандартов для радиоинтерфейсов непрерывного действия длинных и средних диапазонов, которые определяют основную архитектуру, сетевые протоколы и интерфейс беспроводной связи для беспроводного взаимодействия за счет использования сотовых технологий связи второго и третьего поколений (2G и 3G), связей миллиметровых, инфракрасных и 5 ГГц диапазонов. Другие интерфейсы беспроводной связи могут быть добавлены в более поздних версиях стандарта. Приведенные интерфейсы беспроводной связи разработаны для того, чтобы обеспечить радиовещание, двухточечное взаимодействие, межбортовое взаимодействие ("Vehicle to vehicle - V2V") и взаимодействие транспортного средства и точки доступа в области интеллектуальных транспортных систем (ИТС) необходимыми характеристиками и протоколами.
Настоящий стандарт определяет интерфейс беспроводной связи на основе инфракрасных систем, работающих в диапазоне 850 нм.
Быстрая передача данных на большое расстояние, используя беспроводную технологию, функционально значительно отличается от определения требований для специализированной связи на коротких расстояниях (DSRC). Высокий уровень данных требуется для целей, таких как информирование и управление транспортом, загрузка видеофайлов на медиаустройства транспортных средств (ТС) в рамках обновления данных развлекательных и навигационных систем и систем туристической информации и др.
В целях поддержки таких сервисов передатчикам необходимо обладать способностью работать на более дальних или средних дистанциях и проводить более одной сессии от одного передатчика к другому.
Настоящий стандарт разработан для обеспечения практически непрерывного или длительного бортового взаимодействия ТС или взаимодействия между ТС и поставщиками услуг.
Концепция CALM поддерживает несколько типов каналов (таких как сотовые, микроволновые и инфракрасные), где опция предлагается для того, чтобы предложить пользователю подходящий для его целей носитель и возможность возобновления прерванного сеанса (в случаях необходимости поменять носителя канала или поставщика услуг или прерывания сигнала и помех).
Некоторые приложения будут иметь требования, при которых сессии взаимодействия, установленные в первой коммуникационной зоне, могут быть продолжены в последующих коммуникационных зонах, следовательно, в приложение включен "механизм передачи". Однако данный механизм необходимо определять с двух позиций:
- механизм передачи в рамках аналогичной технологии и поставщика услуг. Данные механизмы определяются в рамках частно-специфических международных стандартов в области CALM;
- механизм передачи на уровне приложений для тех случаев, когда либо технология, либо поставщик услуг изменяются. Данный механизм передачи будет определен в рамках международных стандартов в области архитектуры CALM (ИСО 21217), в области сетевых протоколов (ИСО 21210) и в области нижнего уровня CALM точки доступа к сервису ("Service access point - SAP") (ИСО 21218).
Приложения включают обновление дорожной телеметрии и обмена сообщениями, Интернет, обмен изображениями и видеофайлами, радио- и телепередачу, организацию дорожного движения и справочные сервисы ("Yellow page"). Для высокоскоростного обмена данными между дорожной инфраструктурой и ТС на средних и дальних дистанциях, такими как веб-доступ на борту ТС, радиовещание и дополнительные абонентские приложения, развлечения, справочные сервисы, сервисы бронирования услуг и др., функциональные характеристики данных систем требуют взаимодействия на значительно больших расстояниях, чем это возможно или рекомендовано с помощью DSRC, и часто требуют значительно более длительного периода соединения, в некоторых случаях - непрерывного соединения.
Настоящий стандарт определяет интерфейс беспроводной связи, использующий инфракрасные системы диапазона 820 - 1010 нм.
Настоящий стандарт обеспечивает протоколами и характеристиками беспроводное средне- и высокоскоростное взаимодействие на средних расстояниях в рамках задач ИТС с использование инфракрасных систем.
Данные связи требуются для практически непрерывного, продолжительного или короткого процесса передачи информации между:
- ТС и дорожной инфраструктурой,
- ТС и ТС,
- мобильными устройствами и стационарными пунктами дорожной инфраструктуры на средних и больших расстояниях при условиях статики или движения ТС.
Там, где это возможно, настоящий стандарт разработан и адаптирован, ссылаясь на подходящие международные стандарты. Обеспечены требуемые региональные вариации.
Должное внимание уделяется использованию любых соответствующих подходящих коммуникационных систем, таких как система глобального позиционирования ("Global positioning system - GPS"), цифровое радиовещание ("Digital audio broadcasting - DAB"), цифровое видеовещание, радиовещание по локальной сети ("Radio local area networks - RLAN"), цифровое вещание данных ("Digital data broadcasting - DDB"), радиосвязи TETRA, FM, системы мобильной широкополосной связи ("Mobile broadband systems - MBS", W-ATM), протоколы Интернет и DSRC.
Настоящий стандарт:
- поддерживает скорость передачи данных 1 - 128 Мбит/с (стандарт может поддерживать и большую скорость передачи данных);
- поддерживает скорость ТС минимум до 200 км/ч (близкие скорости могут быть вдвое больше приведенного значения);
- определяет справочные параметры среды, важные для синхронизации операций;
- поддерживает дистанции коммуникации до 100 м (настоящий стандарт также поддерживает большие дистанции коммуникации от 300 до 1000 м);
- поддерживает задержку взаимодействия и помехи в пределах 1 мс;
- соответствует региональным/национальным регулятивным параметрам;
- может поддерживать другие региональные/национальные параметры в случаях, если это применимо.
Специфические требования приложений находятся за рамками настоящего стандарта. Эти требования будут определены в стандартах более высокого уровня, в сфере управления CALM и в стандартах приложений.
Настоящий стандарт не включает верхний уровень специфических требований приложений, но включает ссылки на стандарты приложений (которые могут и не обладать технологической спецификой).
Претендующие на соответствие настоящему стандарту системы должны соответствовать представленным в настоящем стандарте спецификациям.
Для применения настоящего стандарта необходимы следующие ссылочные документы. Для недатированных ссылок применяют последнее издание ссылочного документа (включая все его изменения).
ИСО/МЭК 8802-11 "Информационные технологии. Телекоммуникации и обмен информацией между системами. Локальные и общегородские сети. Специальные требования. Часть 11. Спецификации для управления доступом к среде передачи данных в беспроводной локальной вычислительной сети (MAC) и для физического уровня (PHY) (ISO/IEC/IEEE 8802-11 Information technology - Telecommunications and information exchange between systems - Local and metropolitan networks - Specific requirements)
МЭК 60050-845 "Международный электротехнический словарь. Освещение" (IEC 60050-845 International electrotechnical vocabulary. Lighting)
МЭК 60825-1 "Безопасность лазерной аппаратуры. Часть 1 - Классификация оборудования, требования и руководство для потребителей" (IEC 60825-1 Safety of laser products - Part 1: Equipment classification and requirements)
В настоящем стандарте применены следующие термины с соответствующими определениями:
4.1.1 окно трансляции (broadcast window); BcW: Окно, используемое для трансляции информации на устройствах, включая те, которые не осуществили "процесс регистрации".
4.1.2 чип (информационный примитив) (chip): Минимальная информационная единица, передаваемая через сетевое звено.
Примечание - В зависимости от выбранного кода, один бит информации может быть представлен одним или более последовательными чипами (информационными примитивами).
4.1.3 профиль коммуникации (communication profile): Набор значений скорости передачи данных, модуляции и управления потоком конкретного взаимодействия.
4.1.4 коммуникационная зона (communication zone): Пространственная зона, в которой две инфракрасные единицы CALM способны взаимодействовать с приемлемой производительностью.
4.1.5 окно совместимости (compatibility window); CmpW: Система, которая позволяет совместимое взаимодействие инфракрасных CALM систем с системами, не относящимися к инфракрасным CALM, которые имеют собственные правила.
4.1.6 скорость передачи данных по умолчанию (default data rate): Скорость передачи данных, используемая в "профиле коммуникации по умолчанию".
4.1.7 профиль коммуникаций по умолчанию (default communications profile): Профиль коммуникации, используемый в случае, когда не определен другой профиль коммуникации.
4.1.8 флэш-байт (flush byte): 8-битная последовательность, используемая для обозначения конца основной части информации, при процедуре ее передачи с использованием кодирования HHH (1, 13).
4.1.9 прямое направление (forward direction): Поток взаимодействия от контроллера к устройству.
Пример - Прямая цепь, прямое окно.
4.1.10 индикатор длины пакета (frame length indicator); Flen: Индикатор, который используется для того, чтобы подсчитать длину пакета последнего "индекса слота".
4.1.11 таблица организации пакета (frame organization table); FOT: Таблица, которая содержит все организационные данные пакета TDMA.
4.1.12 индикатор свободного эфирного времени (free airtime indicator); FATI: Индикатор, который сигнализирует, что за текущим пакетом следует "свободное эфирное время".
Примечание - Данное эфирное время может использоваться единицами, которые не являются устройствами текущего устройства-арбитра, для того чтобы установить статус "вторичного устройства-арбитра".
4.1.13 защитное время (guard time); TG: Период времени, предшествующий команде "command alert" (CA), для того чтобы разрешить автоматическое регулирование коэффициента усиления приемника.
4.1.14 код HHH (1, 13) (HHH (1, 13) code): Специальный код, ограниченный длинами d = 1 и k = 13, используемый профилями N 2 - 6 коммуникации инфракрасной CALM.
4.1.15 окно управления (management window): Первое окно в пакете инфракрасной CALM, которое несет организационную информацию для текущего пакета.
4.1.16 идентификатор мастера (master identifier); MID: Код, который идентифицирует мастера инфракрасной CALM.
4.1.17 групповое окно (multicast window); McW: Окно, используемое для соединения только в прямом направлении устройства-арбитра с несколькими ведомыми устройствами.
4.1.18 частное окно (private window): Окно, которое несет обмен информацией между устройством-арбитром и специфическими ведомыми устройствами.
4.1.19 фаза регистрации (registration phase): Фаза, в течение которой устройство-арбитр определяет подключения новых устройств в своей коммуникационной зоне.
4.1.20 ведомое устройство (slave): Устройство, которое находится под контролем другого устройства.
4.1.21 резервное окно (spare window); SpW: Окно, не занятое ведомым устройством, содержащее резервное эфирное время для любого другого ведомого устройства в процессе текущего пакета, для того чтобы дать возможность устройству-арбитру выделить для них частное окно без реорганизации пакета.
4.1.22 индекс слота (slot index): Индекс, используемый для расчета времени слотов.
4.1.23 пакет TDMA (TDMA frame): Временная структура (множественного доступа), основанная на соединении последовательных временных слотов (как минимум одного).
4.1.24 временной слот (time slot): Составная единица пакета TDMA.
4.1.25 временный идентификатор (temporary identifier); TempID: Идентификатор, используемый для адресации ведомого устройства в процессе его временного нахождения в коммуникационной среде устройства-арбитра.
Примечание - Каждый раз, когда ведомое устройство регистрируется в коммуникационной среде, создается новый TempID.
4.1.26 окно таймерного включения (wake-up window); WuW: Специальное хранилище для окна трансляции, которое используется для выхода из "состояния сна" единиц, входящих в коммуникационную зону активного устройства-арбитра.
4.1.27 окно (window): Наименьший адресный временной промежуток пакета инфракрасного CALM, который может состоять из одного или нескольких временных слотов.
4.2. Оптические параметры
4.2.1 мощность излучения (поток излучения) (radiant power, radiant flux); Фe: Сила, излучаемая, передаваемая и получаемая в виде излучения.
Примечания
1 Единица измерения: Ватт (Вт).
2 Взято из МЭК 60050 (845-01-24).
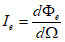
4.2.2 интенсивность излучения (radiant intensity); I
e: Фактор потока излучения dФ
e, направляющегося от источника и распространяющегося на элементы, находящиеся в данном направлении, под телесным углом

.

.
Примечания
1 Единица измерения: Вт/ср (watts per steradian).
2 Адаптирован в соответствии с МЭК 60050 (845-01-30).
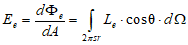
4.2.3 энергетическая освещенность (irradiance); Ee: Фактор потока излучения dФe, падающего на элемент поверхности, деленный на значение площади dA этого элемента.
Примечания
1 Единица измерения: Вт/м2.
2 Эквивалентное определение. Интеграл, взятый по полушарию, видимому из данной точки, выражения

, L
e - энергетическая освещенность в данной точке в различных направлениях падающих элементарных пучков под телесным углом

,

- угол между пучком излучения и нормалью к поверхности в данной точке.

.
3 Взято из МЭК 60050 (845-01-37).
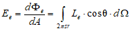
4.2.4 излучательность (radiant exitance); Me: Фактор потока излучения dФe, исходящего с элемента поверхности, содержащей данную точку, и деленный на площадь dA данного элемента.
Примечания
1 Единица измерения: Вт/м2.
2 Эквивалентное определение. Интеграл, взятый по полушарию, видимому из данной точки.

, L
e - энергетическая освещенность в данной точке в различных направлениях излучающихся элементарных пучков под телесным углом

,

- угол между пучком излучения и нормалью к поверхности в данной точке.

.
3 Взято из МЭК 60050 (845-01-47).
4.2.5 излучение (radiance); Le: Количество (в заданном направлении, в данной точке реальной или воображаемой поверхности) (Le, L), вычисленное по формуле:

,
где dФ
e - поток излучения, переносимый элементарным пучком, проходящим через данную точку и распространяющимся под углом

;
dA - площадь сечения пучка излучения, содержащего данную точку;

- угол между нормалью к поверхности и направлением луча излучения.
Примечания
1 Единица измерения: Вт/ср. м2.
2 Взято из МЭК 60050 (845-01-34).
4.2.6 интенсивность излучения (radiant intensity); I
e: Фактор потока излучения dФ
e, направляющегося от источника и распространяющегося на элементы, находящиеся в данном направлении, под телесным углом

.
Примечание - Взято из МЭК 60050 (845-01-30).
4.2.7 стерадиан (steradian); ср: безразмерная единица СИ телесного угла.
Примечания
1 Стерадиан - это телесный угол конуса с вершиной в центре сферы, который отсекает от поверхности сферы область, равную квадрату радиуса сферы [ИСО 31-1:1992, 1, 2, а].
2 Обычно аббревиатура "ср" добавляется, хотя математически это неверно.
Пример - Телесный угол, с точки зрения геометрии, является углом с вершиной в центре шара и со сторонами, лежащими на их проекции, площадь которой равна квадрату радиуса (см. рисунок 1). При этом форма области не имеет значения. Любая форма на поверхности сферы, которая имеет ту же площадь, будет определять телесный угол.
Рисунок 1 - Телесный угол
Взаимосвязь между радиусом r, энергетической освещенностью Ee и интенсивностью Ie.
Используя один источник излучения, мы выводим следующую зависимость:

.
3 Взято из МЭК 60050 (845-01-20).
4.2.8 световой поток (luminous flux); ФV: количество производных от потока излучения Фe при оценке его движения согласно CIE стандарту фотометрического наблюдателя для дневного видения.

,
где

- спектральное распределение потока излучения;

- световая эффективность.
Примечания
1 Для значений Km (дневное видение) и K'm (ночное видение) см. МЭК 60050 (845-01-56).
2 Взято ИЗ МЭК 60050 (845-01-25).
4.2.9 световая эффективность излучения (luminous efficacy of radiation); K: коэффициент, равный отношению значений светового потока (ФV) к потоку излучения (Фe).

.
Примечания
1 При измерении на монохроматическое излучение максимальное значение

обозначается символом K
m:
- K
m = 683 lm.W
-1 для v
m = 540 x 10
12 Гц

для дневного видения.
- K'
m = 1700 lm.W
-1 для

для ночного видения.
- Для остальных длин волн -

и

.
2 Взято из МЭК 60050 (845-01-55).
5. Обозначения и сокращения
В настоящем стандарте использованы следующие обозначения:
BcW - окно трансляции;
CALM - непрерывный интерфейс беспроводной связи длинного и среднего диапазонов действия;
CFA - скоростное CALM-приложение;
CME - объект управления;
CmpW - окно совместимости;
CRC - проверка циклической избыточности;
D - ось пучка, "направление проекции";
DAB - цифровое аудиовещание;
DDB - цифровое вещание данных;
DVB - цифровое видеовещание;
DSRC - специализированная связь на коротких расстояниях;
Ee - энергетическая освещенность;
Ev - освещенность;
FATI - индикатор свободного эфирного времени;
FB - флэш-байт;
FCIR - формат пакета скоростной инфракрасной CALM;
FM - частотная модуляция;
IPv6 - шестая версия интернет-протокола;
MID - индикатор длины пакета;
FOT - таблица организации пакета;
F-Sync - сигнал синхронизации фрейма;
HHH - изобретатель кода HHH (1, 13);
Ie - интенсивность излучения;
IR-CAL - уровень адаптации инфракрасной коммуникации (infra-red communication adaptation layer);
IR-MAE - орган адаптации инфракрасного управления;
IR-ME - орган инфракрасного управления;
K - эффективность светового излучения;
Le - энергетическая освещенность;
LLC - управление логическим каналом;
MAC - управление доступа к сети (используется в качестве синонима MAC-уровень);
McW - групповое окно;
Me - излучатель;
MID - идентификатор мастера;
MnW - окно управления;
Nframe - номер времени слота во фрейме инфракрасной CALM;
Nframe,max - максимальный номер времени слота во фрейме инфракрасной CALM;
Nframe,min - минимальный номер времени слота во фрейме инфракрасной CALM;
OBU - бортовое устройство;
PA - преамбула;
PL - полезная нагрузка;
PP - вступительный период;
PDU - блок данных протокола;
PrW - частное окно;
RLL - ограничение длины кода;
RSU - дорожное оборудование;
SAP - точка доступа сервиса;
SpW - резервное окно;
ср - стерадиан;
STA - сигнал старта;
STO - сигнал стоп;
Tbit - длительность одного бита [bit time (duration of one bit)];
Tchip - длительность одного чипа (информационного примитива);
TCWAIT - время ожидания ведомого устройства для ответа на предлагаемые TempID (waiting time of the slave for a reply to a proposed TempID);
TDMA - множественный доступ с разделением по времени;
TDREG - тайм-аут регистрации;
TempID - идентификатор;
TETRA - трансъевропейский транкинговый доступ (ETSI стандарт для сети транкинговой радиосвязи);
TF-Sync - продолжительность F-Sync сигнала;
TG - защитное время (guard time);
TL - время выполнения - время с момента начала последнего импульса сигнала синхронизации первого импульса следующей команды и т.д.;
TPfall - время спада импульса;
TPon - время импульса;
TPrise - время нарастания импульса;
TREG - время задержки до ответа ведомых устройств MC-RRQ или MC-REN;
TRT - время ожидания устройства-арбитра его MC-IDP (waiting time of the master for a reply to its MC-IDP);
TRW - окно-ресивер - промежуток времени около интервала выделенного времени, когда цикл ресивера должен быть готов определить сигнал W-Sync;
TRWAIT - время ожидания устройства-арбитра ответа MC-RRQ или MC-REN;
TTempID - тайм-аут TempID (TempID time-out);
W-ATM - режим беспроводной асинхронной передачи;
W-Sync - шаблон синхронизации окна;
WuW - окно таймерного включения;

- угол возвышения;

- угол горизонтальной проекции;

- угол вертикальной проекции;

- азимут-угол;
Фe - мощность излучения, поток излучения;
ФV - световая сила, световой поток.
6. Требования: требования к передатчику и приемнику
6.1. Длина волны и ширина полосы передатчика
Таблица 1
Спецификация параметров инфракрасного передатчика
Наименование параметра | Спецификация |
Канал 870 (основной канал) | Канал 970 (альтернативный канал) |
TX1 | Номинальная длина волны передатчика | 870 нм | 970 нм |
TX2 | Полоса пропускания передатчика | 820 - 910 нм | 920 - 1010 нм |
TX3 | Длина когерентности | < 1 нм |
TX4 | Полная мощность излучения | Зависит от класса передатчика (см. 6.2) |
TX5 | Минимальная мощность излучения передатчика в полосе RX2 | 80% TX4 |
TX6a | Мощность излучения ниже полосы пропускания | Не указан | < 10% TX4 |
TX6b | Мощность излучения ниже полосы пропускания | < 10% TX4 | |
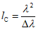
Примечание - Относительно параметра TX3:

,
где lC - длина когерентности;

- длина волны;

- ширина полосы.
Пример -

,

,

.
6.2.1 Ограничения мощности излучения
Таблица 2
Ограничения параметров инфракрасных передатчиков
Наименование параметра | Спецификация |
TX7 | Максимальная интенсивность излучения | Согласно МЭК 60825-1 |
TX8 | Максимальная передаваемая мощность в пределах диапазона видимого света | Не ограничено данным стандартом |
| | ИС МЕГАНОРМ: примечание. Сноска дана в соответствии с официальным текстом документа. | |
|
<a> Некоторые стандарты в сфере транспорта могут содержать данные ограничения параметров. |
6.2.2 Классы передатчиков
Класс передатчика должен быть заявлен в соответствующей спецификации продукта и организован, как показано в таблице 3.
Таблица 3
Классы передатчиков
Наименование параметра | T1 | T2 | T3 | T4 | T5 | T6 | T7 | T8 | T9 | T10 | T11 | T12 | T13 | T14 | T15 | T16 |
TX4a - минимальная интенсивность излучения (Вт/ср) (пиковое значение импульса) | 0,36 | 0,75 | 1,5 | 3 | 6 | 12 | 25 | 50 | 100 | 200 | 400 | 800 | 1600 | 3200 | 6400 | 12 800 |
6.3. Длины волн и ширины полос приемника
Таблица 4
Спецификация параметров инфракрасных приемников
Наименование параметра | Спецификация |
Канал 870 (основной канал) обязательный | Канал 970 (альтернативный канал) опционный |
RX1 | Номинальная длина волны приемника | 870 нм | 970 нм |
RX2 | Полоса пропускания приемника | | 935 - 1005 нм |
RX4a | Нижняя полоса остановки приемника | <= 805 нм | 905 нм |
RX4b | Верхняя полоса остановки приемника | | >= 1035 нм |
RX5a | Чувствительность приемника в нижней полосе остановки | Не определено | >= 10 дБ выше RX6 |
RX5b | Чувствительность приемника в верхней полосе остановки | | Не определено |
<a> Приемники, которые способны получать два канала выше предела 1005 нм. <b> Приемники, которые способны получать два канала выше предела 1035 нм. <c> Не определено для приемников, которые способны получать два канала. |
Производитель должен объявить, реализовал ли он оборудование только с использованием обязательного основного канала или совместно с альтернативным опционным.
Класс приемника должен быть заявлен в соответствующей спецификации продукта и организован, как показано в таблице 5.
Таблица 5
Наименование параметра | T1 | T2 | T3 | T4 | T5 | T6 | T7 | T8 | T9 | T10 | T11 |
RX6 [мВт/м2] Чувствительность приемника в равносигнальном направлении @RX2, RX*, RX9, RX11 | Лучше 32 | Лучше 16 | Лучше 8 | Лучше 4 | Лучше 2 | Лучше 1 | Лучше 0,5 | Лучше 0,25 | Лучше 0,12 | Лучше 0,06 | Лучше 0,03 |
RX7 [мВт/м2] Ограничение насыщенности в равносигнальном направлении | 12 800 | 6400 | 3200 | 1600 | 800 | 400 | 200 | 100 | 48 | 24 | <= 12 |
RX8 Соотношение ошибок битовых ссылок (B, E, R) | 10-6 |
RX9 Устойчивость к помехам, вызванным естественными излучениями | >= 1120 Вт/м2 (спектральное распределение солнечного света) |
RX10 [мВт/м2] Чувствительность подъема в равносигнальном направлении @500 кГц | Лучше 32 | Лучше 16 | Лучше 8 | Лучше 4 | Лучше 2 | Лучше 1 | Лучше 0,5 | Лучше 0,25 | Лучше 0,12 | Лучше 0,08 | Лучше 0,03 |
RX11 Профиль коммуникационной ссылки | Стандартный коммуникационный профиль |
Производители должны объявлять гарантированную чувствительность всех коммуникационных профилей, используемых в оборудовании.
7. Модуляция и кодирование
7.1. Общие параметры модуляции
7.1.1 Сигнал таймерного включения
В системах, где приемник в "спящем режиме" должен быть обнаружен, а устройство-арбитр должно передать "сигнал таймерного включения" с целью активировать все устройства, находящиеся в "спящем режиме". Сигнал таймерного включения должен передаваться в окне таймерного включения.
Рисунок 2 - Сигнал таймерного включения
Таблица 6
Временная спецификация сигнала таймерного включения
Наименование параметра | Спецификация |
TX11 | Сигнал таймерного включения | Всплеск частоты: 500 кГц +/- 1% |
TX12a | Максимально допустимое время подъема импульса | 200 нс |
TX12b | Максимально допустимое время падения импульса | 200 нс |
7.1.2 Параметры общей модуляции передатчика
Таблица 7
Спецификация параметра TX10 инфракрасного передатчика
Наименование параметра | Спецификация |
TX10 | Допуск синхронизации битов | 0,1% |
7.1.3 Параметры основной модуляции приемника
Таблица 8
Спецификация параметра RX12 инфракрасного приемника
Наименование параметра | Спецификация |
RX12 | Допуск синхронизации битов | 0,1% |
Примечание - "Отслеживание" битов приемника или эквивалентного оборудования предполагается в режиме синхронизации.
7.2. Профили коммуникаций
Инфракрасная CALM использует целый набор скоростей передачи данных и схем кодирования, которые должны выбираться в зависимости от приложений и актуального качества соединения.
Специфические скорости передачи данных и схемы кодирования составляют "профиль коммуникации".
Применяются коммуникационные профили, представленные в таблице 9.
Примечание - Некоторые параметры профиля N 5 будут определены в будущей версии настоящего стандарта.
Таблица 9
Профили коммуникаций
Наименование параметра | Профиль |
0 (базовый) | 1 (по умолчанию) | 2 | 3 | 4 | 5 | 6 |
Скорость передачи данных, Мбит/с | 1 | 2 | 8 | 16 | 32 | 64 | 128 |
Модуляция | 3/16 OOK-RZ | 6/16 OOK-RZ | CIR-8 HHH (1, 13) | CIR-16 HHH (1, 13) | CIR-32 HHH (1, 13) | CIR-64 HHH (1, 13) | CIR-128 HHH (1, 13) |
Длительность одного бита Tbit, нс | 1000 +/- 1% | 500 +/- 1% | Отсутствует |
Длительность одного чипа Tchip, нс | 1000 +/- 1% | 500 +/- 1% | 83,4 +/- 6,6 | 41,7 +/- 3,3 | 20,8 +/- 1,6 | 10,4 | 5,2 |
Время оптического импульса TPon, нс | 190 +/- 20 | 190 +/-20 | 83,4 +/- 6,6 | 41,7 +/- 3,3 | 20,8 +/- 1,6 | 10,4 | 5,2 |
Время нарастания импульс <a> T Prise, нс | <= 75 | <= 75 | <= 38 | <= 19 | <= 9 | Должны добавиться | Должны добавиться |
Время спада импульс <a> T Pfall, нс | <= 75 | <= 75 | <= 38 | <= 19 | <= 9 | Должны добавиться | Должны добавиться |
Формат | Синхронизация |
Контроль потока MAC | С помощью команд MAC ("Block start", "Block end", "Packet start", "Packet end", "Start of control-block") |
Коррекция первичной ошибки | Расстояние Хамминга L = 12, D = 3 <b> | |
Коррекция множественной ошибки | Расстояние Хамминга L = 12, D = 3 <b> | CRC32 |
<a> Оборудование, использующее несколько профилей коммуникаций, должно соответствовать самым строгим требованиям вне зависимости от того, какой профиль активен в текущее время. |
Новые профили могут быть добавлены в будущем.
7.3. Модуляции профиля 0 (базовый профиль) и профиля 1 (профиль по умолчанию)
Рисунок 3 - Модуляция профилей 0 и 1
Правила кодирования и декодирования для профилей 0 и 1 определены в
приложении A.
Профили 2 - 6 не используют коррекцию первой ошибки.
Примечание - Ошибка в линии передачи пакетных данных на этой скорости передачи данных более вероятна, чем одиночная битовая ошибка.
Пакетные ошибки детектируются при помощи CRC.
Полные правила кодирования и декодирования для профилей коммуникации N 2 - 6 (например, типы модуляции с CIR-8 по CIR-128) даны в
приложении B.
8. Директива и коммуникационные зоны
Для направленного взаимодействия с устройствами CALM должна быть составлена трехмерная система координат (xCALM, yCALM, zCALM). Начало координат лежит на источнике луча. Ось x соответствует направлению движения ТС.
Рисунок 4 демонстрирует азимут угла

луча оси D ("направление проекции пучка") в отношении к оси x ("главное направление").
Рисунок 4 - Азимут и угол оси пучка
Дальнейшие параметры директивы - это угол горизонтальной проекции

и угол вертикальной проекции

, как продемонстрировано на рисунке 5.
Рисунок 5 - Открытые горизонтальный и вертикальный углы
Азимут и угол измеряются в соответствии с
рисунком 4.
Проекции симметричны пучку оси D.
Допустимые горизонтальные проекции

составляют от 0° до 360°.
Допустимые вертикальные проекции

составляют от 0° до 360°.
Совмещением этих углов является

.
8.2. Коммуникационная зона
8.2.1 Основной луч
"Основной луч" определяется как луч (в произвольном направлении) с минимально возможными горизонтальными и вертикальными открытыми углами, равный

.
8.2.2 Конструкция коммуникационной зоны
8.2.2.1 Коммуникационная зона с любой "зоной охвата" на сфере, "освещенной" "массивом антенны", может быть определена присвоением числа базовых лучей, будучи одним из них.
В качестве альтернативы коммуникационная зона инфракрасной CALM с регулярной (симметричной) зоной охвата может быть определена с помощью соответствующих параметров директив: азимут

, высота

, горизонтальная проекция

и вертикальная проекция

.
8.2.2.2 Любая коммуникационная зона может быть обозначена специфическим классом передатчика или приемника независимо от любого другого. Назначение класса приемника и передатчика для коммуникационной зоны является динамическим процессом.
8.2.2.3 Внутри коммуникационной зоны параметры класса передатчика и класса приемника определены в
таблицах 2 -
5.
Примечания
1 Любая коммуникационная зона может быть определена с одинаковым "каналом связи", осуществляя таким образом идентичные потоки связи.
2 В качестве альтернативы любая коммуникационная зона может быть определена с различным "каналами связи", осуществляя таким образом независимые коммуникационные каналы (динамически управляемые).
3 Изоляция между несколькими коммуникационными зонами не определяется настоящим стандартом.
8.2.3 Клавишные комбинации коммуникационной зоны
Клавишные комбинации для увеличения скорости директивного контроля для предопределенных коммуникационных зон определены в таблицах 10 и
11.
Таблица 10
Клавишные комбинации коммуникационных зон передатчика
Зона | Параметр |
[°] | [°] | [°] | [°] |
FG | Forward general | 0 | 30 | 90 | 90 |
FS | Forward straight | 0 | 0 | 7,5 | 7,5 |
FR | Forward right | -18 | 0 | 9 | 7,5 |
FL | Forward left | 18 | 0 | 9 | 7,5 |
BG | Backward general | 180 | 30 | 90 | 90 |
BS | Backward straight | 180 | 0 | 7,5 | 7,5 |
BR | Backward right | -156 | 0 | 21 | 7,5 |
BL | Backward left | 156 | 0 | 21 | 7,5 |
GR | General right | -90 | 30 | 90 | 90 |
UR | Up right | -60 | 36 | 21 | 21 |
GL | General left | 90 | 30 | 90 | 90 |
SL | Side left | 45 | 0 | 15 | 7,5 |
UL | Up left | 60 | 36 | 21 | 21 |
HS | Hemispheric | 0 | 90 | 210 | 210 |
US | Up straight | 0 | 42 | 21 | 21 |
DR | Disk-radiator | 0 | 0 | 360 | 7,5 |
Таблица 11
Клавишные комбинации коммуникационных зон приемника
Зона | Параметр |
[°] | [°] | [°] | [°] |
FG | Forward general | 0 | 30 | 90 | 90 |
FS | Forward straight | 0 | 0 | 7,5 | 7,5 |
FR | Forward right | -18 | 0 | 9 | 7,5 |
FL | Forward left | 18 | 0 | 9 | 7,5 |
BG | Backward general | 180 | 30 | 90 | 90 |
BS | Backward straight | 180 | 0 | 7,5 | 7,5 |
BR | Backward right | -156 | 0 | 21 | 7,5 |
BL | Backward left | 156 | 0 | 21 | 7,5 |
GR | General right | -90 | 30 | 90 | 90 |
SR | Side right | -45 | 0 | 15 | 7,5 |
UR | Up right | -60 | 36 | 21 | 21 |
GL | General left | 90 | 30 | 90 | 90 |
SL | Side left | 45 | 0 | 15 | 7,5 |
UL | Up left | 60 | 36 | 21 | 21 |
HS | Hemispheric | 0 | 90 | 210 | 210 |
US | Up straight | 0 | 42 | 21 | 21 |
DR | Disk-radiator | 0 | 0 | 360 | 7,5 |
Примечание - Для RSU не определено ни одной коммуникационной зоны, так как это сильно зависит от географического места.
Раздел 9 определяет пакетирование инфракрасной CALM, структуру и управление окнами.
Пакетирование описывает TDMA-схему инфракрасной CALM как метод медиадоступа для синхронизации нескольких объектов коммуникации.
В одной коммуникационной среде с двумя и более объектами коммуникации должно существовать ровно одно устройство-арбитр, которое контролирует последовательность организации TDMA.
Если ни одно устройство-арбитр не выбрано, то процедура обеспечивается установлением нового устройства-арбитра.
Прямые взаимодействия "ведомый - ведомый" ("slave to slave") требуют, чтобы одно из нескольких ведомых устройств выступило в роли временного устройства-арбитра.
Пакет инфракрасной CALM состоит из Nframe временных слотов, определяется и организуется устройством-арбитром.
Структура пакетов определяется резервными сигналами, которые по определению не могут иметь места в потоке данных. Это позволяет создать простую схему определения без необходимости непрерывного мониторинга и анализа потока данных.
Используются следующие сигналы:
- F-Sync - сигнал синхронизации пакета;
- W-Sync - сигнал синхронизации окна;
- CA - команда внимание ("command alert").
Формы и использование данных сигналов будут определены в подпунктах далее.
9.2.1 Структура пакета
Пакет имеет следующие характеристики:
- TDMA-пакет инфракрасной CALM генерируется устройством-арбитром и начинается с F-Sync сигнала;
- пакет завершается либо по сигналу F-Sync последующего пакета, либо по событию, которое использует опция "свободное эфирное время" с сигналом W-Sync и MAC - командой "свободное эфирное время" ("free airtime") (MC-FAT);
- пакет разделяется на временные слоты длительностью TS;
- максимальная длина пакета обозначается Nframe,max временных слотов, минимальная длина - Nframe,min;
- пакеты организованы в "окно" средствами сигналов синхронизации окна W-Synk;
- TDMA-пакет инфракрасной CALM содержит как минимум одно окно;
- максимальное число окон в одном пакете является переменным параметром и зависит от размера окон;
- первое окно пакета всегда является окном управления MnW;
Рисунок 6 - Пример структуры пакета инфракрасной CALM
9.2.2 Сигнал синхронизации пакета (F-Sync)
| | ИС МЕГАНОРМ: примечание. Абзац дан в соответствии с официальным текстом документа. | |
Сигнал синхронизации пакета F-Sync генерируется устройством-арбитром в начале пакета и имеет шаблон, показанный на рисунке 6.
Рисунок 7 - Сигнал синхронизации пакета (F-Sync)
Все активные ведомые устройства, не находящиеся в "состоянии передачи", должны быть готовы распознать F-Sync в любое время, также в качестве F-Sync можно использовать прерывание пакетов в процессе, например, для предоставления приоритета экстренным сообщениям.
F-Sync сигнал не должен передаваться непосредственно сразу после "состояния передачи" устройства-арбитра. В таком случае должен быть установлен защитный интервал продолжительностью TG до передачи F-Sync сигнала для того, чтобы позволить переместить схемы приемников всех ведомых устройств.
9.3.1 Структура и типы окон
9.3.1.1 Пакеты подразделяются на коммуникационные окна при помощи сигнала синхронизации окон W-Sync, который передается устройством-арбитром.
9.3.1.2 Окно может как передавать информацию (от арбитра к ведомому), так и принимать (от ведомого к арбитру).
9.3.1.3 Существуют следующие типы окон, которые определены в последующих пунктах:
- окно управления, MnW;
- частное окно, PrW;
- групповое окно, McW;
- окно трансляции, BcW;
- окно совместимости, CmpW;
- резервное окно, SpW;
- окно таймерного включения, WuW.
9.3.1.4 Информационный поток в окне контролируется командами MAC и может также прерываться для событий высокой важности от объектов коммуникации, использующих "право посылать" (Token), используя сигнал команды внимание ("CA"), следующий за командой MAC.
9.3.2 Окно синхронизации (W-Sync)
9.3.2.1 Сигнал окна синхронизации W-Sync передается устройством-арбитром в начале окон PrW, BcW, McW и WuW, кроме первого окна TDMA-пакета, которое обозначено F-Sync.
9.3.2.2 Из-за задержки времени распространения сигнала, поступающего от ведомого устройства, устройство-арбитр может передавать W-Sync сигнал даже в процессе передачи данных. Это недопустимо. Таким образом, сигналы W-Sync могут быть переданы асинхронно по отношению к индексу временного слота.
9.3.2.3 Для того чтобы учитывать этот эффект со стороны приемника, схема работы приемника должна быть готова определять сигнал W-Sync не только в начале временного слота, выделенного FOT, но и с запасом до и с задержкой после выделенного времени в окне приемника W-Sync, TWTreceiver.
Рисунок 8 - Окно синхронизации (W-Sync) приемника
и окно передатчика
9.3.2.4 Если система сформирована с будущим свободным эфирным временем, самое последнее (которое может быть как MnW, PrW, McW или BcW) должно следовать за сигналом W-Sync и MAC командой MC-FAT.
Рисунок 9 - Окно синхронизации
9.3.2.5 W-Sync никогда не должно следовать непосредственно после приема информации. В этом случае защитный интервал направления продолжительностью TG должен быть до передачи сигнала W-Sync для того, чтобы позволить схеме приемника объекта коммуникации переместиться.
9.3.3 Окно управления
9.3.3.1 Окно управления (MnW) - это первое окно в пакете инфракрасной CALM и содержит всю организационную информацию для текущего пакета, как описано ниже.
9.3.3.2 В окне управления:
- ведомые устройства регистрируются, впервые попадая в коммуникационную зону, выделяются параметры соответствующего окна;
- достаточное время коммуникации динамично выделяется для каждого ведомого устройства;
- временные требования удовлетворяются для срочных заявок;
- удовлетворяются требуемые временные интервалы команд запроса/реакции;
- в случае необходимости изменяются временные слоты;
- передаются короткие радиосообщения.
В окне управления должен использоваться только коммуникационный профиль по умолчанию.
9.3.3.3 MnW следует сразу после сигнала A-Sync. Оно подразделяется на основную информацию пакета, т.е. MID, MID и FATI, а также опционные команды MAC для регистрации (MC-REG) и организации (MC-FOT, MC-FOT U, MC-SUS, MC-SUA); см.
таблицу 12. Основная информация пакета определяется ниже.
9.3.3.4 Идентификатор устройства-арбитра MID - это уникальный идентификатор для любого коммуникационного устройства-арбитра инфракрасной CALM. Он состоит из трехбайтного целого, которое делится на две части.
9.3.3.4.1 Первая часть, идентификатор однобитного класса, дает информацию об устройстве-арбитре: метка дорожной инфраструктуры, бортовое устройство транспортного средства, мобильное устройство, КПК или ноутбук, соединение точка - точка и т.д.
MSB | Bit 6 | Bit 5 | Bit 4 | Bit 3 | Bit 2 | Bit 1 | LSB |
M | F1 | F0 | S | K3 | K2 | K1 | K0 |
1 | Функция арбитра | Бод-арбитр | Вид арбитра |
Рисунок 10 - Структура кода идентификации класса
Таблица 12
Коды идентификации класса
Позиция бита | Уровень | Значение | Описание |
M | 1 | Идентификатор устройства арбитра | Используется в адресе MAC для различения ведомого и устройства-арбитра |
F1, F0 | 1,1 | Радиовещатель | Определяет, что передатчик MID является только "радиовещателем" (например, транслирует дорожный знак. Радиовещатель обеспечивает регистрацию ведомого устройства) |
1,0 | Устройство-арбитр | Определяет нормального мастера арбитра, для которого могут регистрироваться ведомые устройства |
0,1 | Устройство перед арбитром | Определяет устройство (как правило, мобильное), которое, помимо того что является ведомым, может брать на себя функции арбитра (обычно для движущегося кластера) |
0,0 | Интернет-точка доступа | Обозначает, что Интернет доступен через устройство-арбитр |
K3, K2, K1, K0 | | Зарезервированы для будущего использования | Если не используются, то установлены в 0 |
9.3.3.4.2 Вторая часть - это шестнадцатибитное бинарное число, которое:
- в случае стационарного арбитра должно быть фиксированное число, идентифицирующее арбитра, которое назначается во время установки;
- в случае временного арбитра в случайном порядке должен быть сгенерирован номер устройством, которое хочет взять на себя функции арбитра.
9.3.3.5 MID-индикатор длины пакета дает значение полной длины текущего пакета с целью возможности использования одного временного слота как однобайтового.
9.3.3.6 Индикатор свободного эфирного времени FATI дает эфирное время последнего окна текущего пакета, которое не используется текущим устройством-арбитром, для того чтобы позволить другим арбитрам создать коммуникационный пакет между двумя пакетами текущего арбитра. Свободное эфирное время предоставляется в плане номера временного слота, не использованного текущим арбитром, между двумя последовательными кадрами как однобайтового.
Рисунок 11 - Пример свободного эфирного времени
9.3.3.7 Кодирование и модуляция в рамках окна управления всегда согласуются с профилем по умолчанию.
9.3.4 Частное окно
9.3.4.1 Частное окно доставляет изменение информации между арбитром и определенным ведомым устройством. Частные окна распределены для взаимодействий арбитра и ведомого с помощью использования "временного идентификатора" (TempID), который создается во время процесса регистрации и публикуется в FOT в рамках окна управления.
9.3.4.2 Одно ведомое устройство может использоваться более чем одним частным окном (PrW). Для этого необходимо зарегистрировать снова, создать и выделить новый TempID.
9.3.4.3 Коммуникация в PrW начинается при помощи использования коммуникационного профиля по умолчанию. После обмена информацией с арбитром любой коммуникационный профиль, который поддерживают и арбитр, и ведомый и который предоставляет достаточное качество связи, может использоваться для последующего обмена информацией.
9.3.4.4 PrW использует по меньшей мере одну фазу передачи информации в "прямом направлении" и ноль или более фазы передачи информации в "обратном направлении".
9.3.4.5 Каждая PrW начинается сразу же после окна синхронизации W-Sync, исходящего от арбитра.
9.3.4.6 Фаза окна, начинающего передачу информации от арбитра ведомому (прямое направление)
9.3.4.6.1 Сразу же после сигнала синхронизации W-Sync арбитр передает:
- подходящую команду MAC в случае, когда должно передаваться новое сообщение;
- команду MAC "старт пакет" (MC-PAS) в случае, когда передаваемая информация является остатком раннего сообщения, которое не вошло в последнее PrW ведомого устройства.
9.3.4.6.2 Длина информационного потока сигнализируется:
- или собственной командой MAC, или
- если команда чужая, при помощи команды MAC:
- в случаях, если вся информация, которая должна быть передана, умещается в текущем окне, используется команда MAC "block end" (MC-BLE) после данных;
- в случае, если вся информация, которая должна быть передана, не умещается в текущее окно и должна быть продолжена в следующем PrW ведомого устройства при помощи команды MAC "packet end" (MC-PAE) после данных.
Примечание - Все команды MAC, которые не начинаются сразу после W-Sync, должны предшествовать сигналу команды внимание CA.
9.3.4.7 Когда завершается первая передача в прямом направлении (арбитр - ведомый), первая передача от ведомого к арбитру начинается.
9.3.4.7.1 После распознавания конца приема (описано ниже) ведомый должен ожидать защитное время TG до того, как начнется передача (данное время цикла позволяет приемнику на другом конце правильно восстановить отправные пункты).
9.3.4.7.2 Далее ведомое устройство передает необходимые команды (предшествующие команде внимание CA).
9.3.4.7.3 Далее ведомое устройство передает информацию арбитру (в обратном направлении), как описано выше для "прямого направления".
9.3.4.8 Если предустановленный размер окна позволяет, ведомое устройство переключается в режим передачи, и арбитр может снова передавать информацию ведомому устройству.
9.3.4.8.1 В этом случае устройство-арбитр начинает вторую передачу данных в "прямом направлении", ожидая защитное время TG и выдавая необходимые команды MAC.
9.3.4.8.2 Следующим процессом является идентификация, описанная выше, до того момента, пока не закончится время окна или ни один из участников не захочет обмениваться данными.
9.3.5 Окно трансляции
9.3.5.1 Окно трансляции (BcW) используется для трансляции информации ведомому устройству через коммуникационную зону "транслятора" даже для тех, кто еще не принял участия в "процессе регистрации".
Примечание - Незарегистрированные ведомые устройства могут также передавать и декодировать FOT и, таким образом, кодировать пакет и передавать окно трансляции.
9.3.5.1.1 Пакет должен содержать ноль или одно окно трансляции.
9.3.5.1.2 Окно трансляции адресовано резервным TempID (см.
11.2) в таблице организации пакетов FOT.
9.3.5.1.3 Окно трансляции может иметь любую позицию в пакете.
9.3.5.1.4 Окно трансляции BcW использует только одну фазу передачи данных, а именно в "прямом направлении".
9.3.5.1.5 В BcW должен использоваться профиль по умолчанию.
9.3.5.1.6 BcW начинается сразу после сигнала окна синхронизации W-Sync от устройства-арбитра.
9.3.5.1.7 Фаза окна начинает передачу информации от арбитра ведомым в прямом направлении.
9.3.5.2 Сразу после сигнала синхронизации W-Sync арбитр посылает:
- команду MAC "block start" (MC-BLS) в случае, если новое широковещательное сообщение должно быть передано, или
- команду MAC "packet start" (MC-PAS), если следующая информация - это продолжение более раннего широковещательного сообщения, которое не помещалось в единственное окно.
9.3.5.3 Длина потока информации сообщена также:
- последующей командой MAC "конец блока" (MC-BLE), если вся информация, которая должна быть передана, поместилась в текущее окно, или
- к последующему пакетному концу "команды MAC" (MC-PAE), если вся информация, которая должна быть передана, не помещается в текущее окно и будет продолжаться в дальнейшем широковещательном окне.
Примечание - Команды All MAC, которые сразу не запускаются после W-Sync, должны предшествоваться сигналом предупреждения команды CA.
9.3.5.4 Поскольку ведомые устройства не должны отвечать в BcW, фаза передачи информации закончена.
9.3.6 Многоадресное окно
9.3.6.1 Многоадресные окна используются, чтобы передать информацию определенной группе зарегистрированных ведомых устройств (в коммуникационной зоне "многоадресной передачи"), которые были включены в ту группу.
Примечание - Процедуры о том, как ведомые устройства присвоены "группам многоадресной передачи", не определены в настоящем стандарте.
9.3.6.2 Многоадресные окна адресуются одним из зарезервированных TempIDs, выделенных многоадресной передаче (см.
11.2) в таблице FOT организации пакета.
9.3.6.3 Многоадресное окно McW использует только фазы передачи информации в "прямом направлении".
9.3.6.4 В McW должен использоваться коммуникационный профиль, который установлен с первой командой MAC многоадресного окна (см. ниже).
9.3.6.5 Многоадресное окно McW сразу запускается после W-Sync сигнала синхронизации окна, испускаемой ведущим устройством.
9.3.6.6 Фаза окна, начинающая информацию о передачах от ведущего устройства к ведомым устройствам ("прямое направление").
9.3.6.6.1 Сразу после W-Sync сигнала синхронизации ведущее устройство должно отправить в каждом McW многоадресный профиль набора "команды MAC" (SMP MC), чтобы сигнализировать к ведомым устройствам, с которым коммуникационным профилем информация будет отправлена.
9.3.6.6.2 Впоследствии ведущее устройство отправляет также:
- команду MAC "block start" (MC-BLS) в случае, если новое многоадресное сообщение должно быть отправлено, или
- команду MAC "packet start" (MC-PAS), если следующая информация - это продолжение более раннего многоадресного сообщения, которое не помещалось в единственное окно.
Примечание - Команды All MAC, которые сразу не запускаются после W-Sync, должны предшествоваться сигналом предупреждения команды CA.
9.3.6.6.3 Длина потока информации сообщается следующими вариантами:
- последующей командой MAC "конец блока" (MC-BLE), если вся информация, которая должна быть многоадресно передана, поместилась в текущее окно, или
- к последующему пакетному концу "команды MAC" (MC-PAE), если информация, которая должна быть многоадресно передана, не помещается в текущее окно и будет продолжаться в дальнейшем многоадресном окне.
9.3.6.7 Поскольку ведомые устройства не должны отвечать в McW, фаза передачи информации закончена.
9.3.7 Запасное окно
9.3.7.1 Запасные окна (SpW) используются, чтобы зарезервировать эфирное время для любых ведомых устройств, регистрирующихся во время текущего пакета, чтобы позволить ведущему устройству немедленно выделить их частное окно без потребности в реорганизации пакета.
9.3.7.2 SpW запускаются с W-Sync, адресуемой зарезервированным TempID (см.
11.2).
9.3.7.3 Максимальный номер SpW в пакете определен в ведущем устройстве системным администрированием.
9.3.8 Окно совместимости
9.3.8.1 Окно совместимости (CmpW) может быть помещено в пакет для того, чтобы включить системы non-CALM-IR, которые наблюдают определенные правила сосуществования без интерференционных помех с CARM-IR системой.
9.3.8.2 CmpW запускается с W-Sync, адресуемой зарезервированным TempID.
Примечание - Это позволяет CALM-IR модулям распознавать окно совместимости в пакете и, таким образом, не использовать его ни по какой причине.
9.3.8.3 CALM-IR модуль не должен использовать CmpW для передач информации и т.д.
9.3.8.4 CmpW может состоять из одного или многократных временных интервалов. Номер временных интервалов зависит от свойств системы non-CALM-IR, которую рассмотрят, и определен в ведущем устройстве системным администрированием.
9.3.8.5 Надлежащее использование CmpW объяснено в
приложении E.
9.3.9 Окно пробуждения
9.3.9.1 Окно пробуждения (WuW) используется, чтобы широковещательно передать образец сигнала пробуждения (см.
7.1.1), чтобы активировать ведомые устройства "сна" в коммуникационной области ведущего устройства.
9.3.9.2 WuW запускается с W-Sync, адресуемой зарезервированным TempID.
9.3.9.3 Сигнал пробуждения следует непосредственно после W-Sync.
9.3.9.4 Окно пробуждения может состоять из одного или многократных временных интервалов. Номер временных интервалов окна пробуждения зависит от свойств OBU системы и определен в ведущем устройстве системным администрированием.
9.3.9.5 Окно пробуждения завершается последующей F-Sync или W-синхронизацией.
9.4. Команда "внимание" (CA)
9.4.1 Предупреждения команды обеспечивают возможность прервать текущую связь для непосредственной сигнализации высокоприоритезированных сообщений (например, чрезвычайная ситуация).
9.4.2 Предупреждения команды могут инициироваться и от ведущих, и от ведомых устройств.
9.4.2.1 CA в MnW может быть отправлен только ведущим устройством и может быть выделен всем ведомым устройствам, в том числе и незарегистрированным.
9.4.2.2 CA в McW может быть отправлен только ведущим устройством и выделен только активным ведомым устройствам.
9.4.2.3 CA в PrW может быть отправлен или ведущим устройством, или ведомым устройством, которое "владеет" окном и выделено только коммуникационному партнеру.
9.4.2.4 CA, за одним исключением, определенным в
п. 9.4.2.5, должен быть отправлен, только если инициирующий коммуникационный партнер имеет право на отправление.
9.4.2.5 Если в "состоянии получения" сигнал потерян, отправка CA может быть осуществлена.
9.4.2.6 Если намеченной отправке CA предшествуют "состоянию приемника", CA должно предшествовать защитное время TG.
Рисунок 12 - Команда внимание (CA)
Таблица 13 объединяет параметры окна и пакета.
Таблица 13
Пакет и параметры окна
Наименование параметра | Описание | Значение параметра | Комментарий |
Параметры пакета: | | | |
Nframe,max, шт. | Максимальное число временных интервалов | 256 | |
TS, нс | Продолжительность одного временного интервала | 256 | - |
TG, нс | Защитное время при изменении от приема состояния до его отправки | 5000 | Этому защитному времени нужно всегда повиноваться, когда устройство изменится от состояния приемника до состояния передатчика |
Кадровая синхронизация: | | | |
F-Sync, нс | Образец сигнала кадровой синхронизации | - | |
TF-Sync, нс | Общая длина F-синхронизации | 7500 | - |
NF-Sync,lead, шт. | Число импульсов лидера в F-Sync | 2 | |
NF-Sync,trail, шт. | Число импульсов метки конца в F-Sync | 1 | |
TLON, нс | На времени лидера и импульсов метки конца | 190 | - |
TF-Sync,lead, нс | Время между импульсами лидера F-Sync | 500 | От нарастающего фронта первого импульса к нарастающему фронту второго импульса |
NF-Sync, шт. | Число импульсов синхронизации | 4 | - |
TTL, нс | Время от последнего импульса лидера до первого импульса синхронизации | 1000 | От нарастающего фронта последнего импульса лидера к нарастающему фронту первого импульса синхронизации |
TL, нс | Время от последнего импульса синхронизации до импульса метки конца | 2500 | От нарастающего фронта последнего импульса синхронизации к нарастающему фронту импульса метки конца |
TSP, нс | На времени импульса синхронизации | 500 | |
TP, нс | Время между двумя импульсами синхронизации | 1000 | От нарастающего фронта до нарастающего фронта |
Параметры окна: | | | |
Nwindow,max | Максимальное количество временных интервалов за окно | 256 | - |
Синхронизация окна: | | | |
W-Sync, мкс | Синхронизация окна синхронизирует образец | От -8 до +20 | |
NW-Sync,lead, шт. | Число импульсов лидера в W-Sync | 2 | |
NW-Sync,trail, шт. | Число импульсов метки конца в W-Sync | 1 | |
TLON, нс | На времени лидера и импульсов метки конца | 190 | - |
TW-Sync.lead, нс | Время между импульсами лидера W-Sync | 500 | От нарастающего фронта первого импульса к нарастающему фронту второго импульса |
NW-Sync, шт. | Число импульсов синхронизации | 3 | - |
TL, нс | Время от последнего импульса синхронизации до метки конца импульса | 2500 | От нарастающего фронта последнего импульса синхронизации к нарастающему фронту импульса метки конца |
TSP, нс | Во времени импульса лидера и ведомых | 50 | |
TP, нс | Время между двумя импульсами синхронизации | 1000 | От нарастающего фронта до нарастающего фронта |
Предупреждение команды: | | | |
CA | Образец предупреждения команды | | |
TCA, нс | Общая длина CA | 5500 | |
NCA,lead, шт. | Число импульсов лидера в CA | 2 | |
NCA,trail, шт. | Число импульсов метки конца в CA | 1 | |
Синхронизация окна: | | | |
TLON, нс | На времени импульсов лидера | 190 | - |
TCA.lead, нс | Время между импульсами лидера CA | 500 | От нарастающего фронта первого импульса к нарастающему фронту второго импульса |
NCA, шт. | Число импульсов CA | 2 | |
TL, нс | Время от последнего импульса CA до импульса метки конца | 2500 | От нарастающего фронта последнего импульса синхронизации к нарастающему фронту импульса метки конца |
TTL, нс | Время от последнего импульса лидера до первого импульса CA | 1000 | От нарастающего фронта последнего импульса лидера к нарастающему фронту первого импульса CA |
TSP, нс | На времени импульса CA | 500 | - |
Тайм-аут: | | | |
TTempID, шт. | Тайм-аут TempID | 255 | Измеренный в числе последовательных кадров, в которых ведомое устройство не отвечало, не будучи приостановленным |
TDREG, с | Регистрационный тайм-аут | 60 | Измеренный в секундах, начиная с последнего пакета, в котором имела место связь |
10.1.1 Команды MAC - специальный сигнальный механизм между равноправными объектами уровня MAC CALM-IR.
10.1.2 Команды MAC могут инициироваться по запросам:
- инфракрасного коммуникационного IR-CAL уровня адаптации см.
14.2,
- инфракрасного IR-MAE объекта адаптации управления см.
14.3 или
- инфракрасного IR-ME объекта управления см.
раздел 13.
10.1.3 Команде MAC всегда предшествуют:
- команды внимание (CA) или
- синхронизация окна (W-Sync).
10.1.4 Любая команда MAC, которая отправлена непосредственно после "состояния приемника", будет предшествоваться защитным интервалом продолжительности TG, прежде чем начать отправлять. Этот защитный интервал позволяет получателю на другом конце ссылки восстанавливать корректные пороговые уровни.
10.1.5 Команда MAC имеет минимальную длину одного байта и может сопровождаться дополнительным атрибутом, длина которого зависит от команды MAC.
Дополнительные данные полезной нагрузки должны непосредственно следовать за атрибутом соответствующей команды MAC или, если не будет никакого атрибута, командой MAC.
10.1.6 Команды MAC и их атрибуты всегда используют скорость передачи данных, модуляцию и кодирование коммуникационного профиля по умолчанию.
10.1.7 Для данных полезной нагрузки используется допустимый коммуникационный профиль, т.е. или коммуникационный профиль по умолчанию, или договорный и согласованный коммуникационный профиль.
10.2. Команды MAC имели отношение к организации окна и пакета
10.2.1 Таблица организации пакета (MC-FOT)
10.2.1.1 Функция
Команда MC-FOT указывает, что таблица, следующая после команды, содержит таблицу FOT организации пакета.
Это должно использоваться только в MnW.
10.2.1.2 Семантика примитивной службы MC-FOT {длина FOT}
Свойство | Описание |
Длина FOT | 2 байта обеспечивают общую длину FOT во множестве байтов |
MC-FOT сразу сопровождается таблицей, содержащей FOT.
Таблица 14
Структура таблицы организации фрейма (FOT)
Длина | Значение | Описание |
2 байта | TempID_1 | Запись ведомого устройства 1 |
1 байт | Запустите индекс слота окна | |
2 байта | TempID_2 | Запись ведомого устройства 2 |
1 байт | Запустите индекс слота окна | (Указывает одновременно конец окна 1) |
2 байта | TempID_3 | Запись ведомого устройства 3 |
1 байт | Запустите индекс слота окна | (Указывает одновременно конец окна 2) |
- | - | Записи дальнейших ведомых устройств |
- | - |
- | - |
2 байта | TempID_n | Запись последнего ведомого устройства |
1 байт | Запустите индекс слота окна | - |
2 байта | | - |
1 байт | Индекс слота прошлого временного интервала | - |
<a> Ценностью Dummy-ID является "Зарезервированный TempID", который не должен быть сгенерирован во время процесса регистрации любым ведомым устройством. Примечание - Последний вход FOT не касается ни одного из ведомых устройств в коммуникационной зоне ведущего устройства, но используется только для заполнителя для сигнализации длины последнего окна в списке. |
10.2.2 Когда сгенерировано ("when generated")
10.2.2.1 Эта команда генерируется MAC после конца регистрационной фазы, если ведомые устройства изменились от "зарегистрированный" до "незарегистрированный" или наоборот и число этих изменений превышает лимит или синхронизация окна должна быть перестроена.
10.2.2.2 Если статус изменило меньше ведомых устройств, команда FOT-MC U должна использоваться для экономии времени пакета.
10.2.2.3 Лимит между использованием FOT-MC и FOT-MC U на усмотрение системного администрирования.
10.2.3 Эффект по получении ("effect on recipient")
10.2.3.1 По получении этой команды ведомое устройство использует окно с запуском и временной интервал остановки, как обозначено в FOT для последующей коммуникации.
10.2.3.2 Прием MAC должен позволить обнаружение W-Sync сигнала синхронизации окна в интервале подходящего времени, определенном в FOT, и интерпретировать распределенное окно как его частное окно, передать окно передачи или групповое окно.
10.2.4 Обновления таблицы организации пакета (MC-FOT U)
10.2.4.1 Функция
Таблица организации пакета обновляет FOTU, объявляет об изменениях информации синхронизации, которые произошли, начиная с последнего приема MC-FOT или MC-FOT U.
Это должно использоваться только в MnW.
10.2.4.2 Семантика примитивной услуги MC-FOT U {длина FOTU}
Признак | Описание |
Длина FOTU | 1 байт обеспечивает общую длину FOTU в числе байтов |
MC-FOT U немедленно сопровождается таблицей, содержащей FOTU.
Таблица 15
Структура FOTU
Длина | Значение | Описание |
2 байта | TempID_I | Вход для ведомого устройства "i", который должен сменить его положение окна |
1 байт | Запустить индекс места окна | - |
1 байт | Остановить индекс места окна | - |
2 байта | TempID_k | Вход для ведомого устройства "k", который должен сменить его положение окна |
1 байт | Запустить индекс места окна | - |
1 байт | Остановить индекс места окна | - |
10.2.4.3 Когда сгенерировано
10.2.4.3.1 Эта команда сгенерирована MAC после конца регистрационной фазы, если ведомые устройства изменились от "зарегистрированного" до "незарегистрированного" или наоборот и число этих изменений не превышает лимит или синхронизация окна должна быть перестроена.
10.2.4.3.2 Если больше ведомых устройств изменило статус, MC-FOT команды должен использоваться для экономии времени пакета.
10.2.4.3.3 Лимит между использованием MC-FOT и MC-FOT U - на усмотрение системного администрирования.
10.2.4.4 Эффект по получении
10.2.4.4.1 По получении этой команды изменилось ведомое устройство, чей индекс "start" и/или "stop" использует новое окно с новым запуском и останавливает временной интервал, как обозначено в FOTU для последующей коммуникации.
10.2.4.4.2 MAC получения должен позволить обнаружение W-Sync сигнала синхронизации окна в интервале подходящего времени, определенном в FOTU, и должен интерпретировать следующее окно как его частное окно, передать окно передачи или групповое окно.
10.2.5 Устойчивые таблицы организации пакета (MC-FOT S)
10.2.5.1 Функция
Эта команда отправлена, если регистрационный статус ведомых устройств не изменился, начиная с последнего пакета, и сохраняется синхронизация окон.
Это должно использоваться только в MnW.
10.2.5.2 Семантика примитивной услуги MC-FOT S
10.2.5.3 Когда сгенерировано ("when generated")
Эта команда сгенерирована MAC, если, начиная с последнего пакета, никакие ведомые устройства не изменились от "зарегистрированного" до "незарегистрированного" или наоборот.
10.2.5.4 Эффект по получении
MAC, получающий эту команду, не изменяет свою синхронизацию окна.
10.2.6 Передача (MC-BRC)
10.2.6.1 Функция
Эта команда указывает, что следующий поток данных является широковещательным сообщением.
Широковещательные сообщения, отправленные в окне управления, не должны продолжаться в другом пакете. Они должны поместиться в текущее окно управления.
Это должно использоваться только в MnW.
10.2.6.2 Семантика примитивной услуги MC-BRC {продолжительность передачи}
Признак | Описание |
Продолжительность передачи | Один байт длиной широковещательного сообщения с точки зрения переданных 12-битных единиц (8-битная информация плюс 4 бита Hamming) |
10.2.6.3 Когда сгенерировано ("when generated")
Эта команда сгенерирована MAC по запросу IR-CAL.
Эта команда должна немедленно сопровождаться данными для передачи.
10.2.6.4 Эффект по получении
Данные вещания направлены MAC получения IR-CAL вместе с адресной информацией.
10.2.7 Восстановить сессию (MC-REST)
10.2.7.1 Функция
С этой командой ведомое устройство, которое потеряло и восстановило связь и таким образом теперь имеет новый TempID, может запросить ведущее устройство восстанавливать все сессии, связанные с его "старым" TempID.
Это должно использоваться только в PrW.
10.2.7.2 Семантика примитивной услуги REST MC {MID, TempID}
Таблица 16
Восстановление сессии
Признак | Длина | Описание |
MID | 3 байта | MID последнего подключенного устройства |
TempID | 2 байта | Последний действительный TempID |
10.2.7.3 Когда сгенерировано ("when generated")
Эта команда сгенерирована IR-ME ведомого устройства, если коммуникационный канал был потерян больше чем два раза максимальной продолжительности кадра и новая регистрация была успешна в том же ведущем устройстве.
10.2.7.4 Эффект по получении
Если ведущее устройство может принять команду, IR-ME сообщает CALM управлению о смене адреса. Ведущее устройство отвечает командой "восстановление сессии, подтвержденное" (MC-RESC).
Если ведущее устройство не может принять команду, она отвечает командой "восстановление сессии, отклоненное" (MC-RESD).
10.2.8 Подтвержденное восстановление сессии (MC-RESC)
10.2.8.1 Функция
С этой командой ведущее устройство подтверждает требуемое восстановление сессии к ведомому устройству.
Это должно использоваться только в PrW.
10.2.8.2 Семантика примитивной услуги MC-RESC
10.2.8.3 Когда сгенерировано
Эта команда сгенерирована MAC ведущего устройства для подтверждения восстановления сессии.
10.2.8.4 Эффект по получении
IR-ME сообщает CLAM управлению о смене адреса.
10.2.9 Отклоненное восстановление сессии (MC-RESD)
10.2.9.1 Функция
С этой командой ведущее устройство отклоняет требуемое восстановление сессии к ведомому устройству.
Это должно произойти только в PrW.
10.2.9.2 Семантика примитивной услуги MC-RESD
10.2.9.3 Когда сгенерировано
Эта команда сгенерирована MAC ведущего устройства для отклонения восстановления сессий, если параметры сессии недоступны.
10.2.9.4 Эффект по получении IR-ME сообщает CALM управлению о потере коммуникации.
10.2.10 Убить все ("kill all") (MC-KIA)
10.2.10.1 Функция
Эта команда приказывает, чтобы все ведомые устройства в коммуникационной зоне ведущего устройства завершили всю зарегистрированную связь с ведущим устройством. Данная команда должна использоваться только в MnW. Если используется, это должно произойти перед MC-FOT или MC-FOT U.
10.2.10.2 Семантика примитивной услуги MC-KIA
10.2.10.3 Когда сгенерировано
Эта команда сгенерирована MAC по запросу IR-ME завершить коммуникацию.
10.2.10.4 Эффект по получении
По получении этой команды MAC должен:
- сообщить IR-ME о потере коммуникации,
- отменить связь с ведущим устройством,
- удалить надвигающиеся пакеты,
- лишить законной силы TempID.
В любое удобное время ведомое устройство может ввести новый процесс регистрации.
10.2.11 Убить ведомое устройство ("kill slave") (MC-KIS)
10.2.11.1 Функция
Эта команда приказывает, чтобы специализированное ведомое устройство в коммуникационной зоне ведущего устройства завершило коммуникации, связанные с определенным TempID, т.е. лишило законной силы этот TempID.
Команда должна использоваться только в MnW.
Если используется, это должно произойти перед FOT MC или FOT MC U.
10.2.11.2 Семантика примитивной услуги MC-KIS {TempID}
Признак | Описание |
TempID | Идентификатор ведомого устройства, которое должно быть завершено |
10.2.11.3 Когда сгенерировано
Эта команда сгенерирована MAC по запросу IR-ME завершить коммуникацию.
10.2.11.4 Эффект по получении
По получении этой команды MAC должен:
- сообщить IR-ME о потере коммуникации,
- отменить связь с ведущим устройством,
- удалить надвигающиеся пакеты,
- лишить законной силы TempID.
В любое время ведомое устройство может ввести новый процесс регистрации.
10.2.12 Вычеркнуть из списка (MC-DREG)
10.2.12.1 Функция
Эта команда требует, чтобы равноправный объект завершил коммуникационное отношение.
Это должно использоваться только в PrW.
10.2.12.2 Семантика примитивной услуги MC-DREG {}
10.2.12.3 Когда сгенерировано
Эта команда сгенерирована MAC по запросу IR-ME завершить коммуникационное отношение и избежать новой регистрации в течение определенного времени TDREG.
10.2.12.4 Эффект по получении
10.2.12.4.1 По получении этой команды ведущим устройством MAC должен:
- сообщить IR-ME о потере коммуникации,
- удалить связь с ведомым устройством,
- удалить все прибывающие пакеты.
10.2.12.4.2 По получении этой команды ведомым устройством MAC должен:
- сообщить IR-ME о потере коммуникации,
- удалить TempID,
- удалить все надвигающиеся пакеты.
10.2.12.4.3 Ведомое устройство может ввести новый процесс регистрации в этом ведущем устройстве, предлагаемом командой MAC MC-REN, только после времени ожидания TDREG.
10.2.12.4.4 Ведомое устройство должно немедленно ввести новый процесс регистрации в этом ведущем устройстве, предлагаемом командой MAC MC-RRQ.
10.2.13 Приостановить весь (MC-SUA)
10.2.13.1 Функция
10.2.13.1.1 Эта команда приказывает, чтобы все зарегистрированные ведомые устройства в коммуникационной зоне ведущего устройства приостановили коммуникации в своих частных окнах и связанных тайм-аутах во время этого пакета.
Это должно использоваться только в MnW.
Если используется, это должно произойти перед FOT MC, или FOT MC U отправлен.
10.2.13.1.2 Если одна из следующих команд MC-FOT, MC-FOT U или MC-FOT S снова распределяет PrW для этого TempID, этот MC-FOT, MC-FOT U или MC-FOT S команда отвергает приостановление команды.
Примечание - Эта команда используется для поддержания всех ведомых устройств, несмотря на то что не адресована в текущий пакет. Теперь неиспользованное "эфирное время" текущего пакета может использоваться, например, для окна вещания или "не относящихся к CALM" ведущими устройствами, предполагая, что они синхронизируются соответственно с "CALM ведущим устройством". См.
приложение E.
10.2.13.2 Семантика примитивной услуги MC-SUA
10.2.13.3 Когда сгенерировано
Эта команда сгенерирована самим IR-ME MAC, зависящим от приоритета надвигающихся запросов передачи.
10.2.13.4 Эффект по получении
По получении этой команды MAC должен приостановить любые коммуникации в частных окнах в текущем пакете и должен приостановить связанный тайм-аут таймера в текущем пакете.
Если одна из следующих команд MC-FOT, MC-FOT U или MC-FOT S снова распределяет ведомое устройство TempID, MC-FOT, MC-FOT U или MC-FOT S команда отвергает приостановление команды.
10.2.14 Приостановить ведомое устройство (MC-SUS)
10.2.14.1 Функция
10.2.14.1.1 Эта команда приказывает, чтобы определенное ведомое устройство в коммуникационной зоне ведущего устройства приостановило свою коммуникацию в частном окне, связанном с заинтересованным TempID и связанными тайм-аутами во время этого пакета.
Команда должна использоваться только в MnW и PrW.
Если используется в MnW, это должно произойти перед отправлением MC-FOT или MC-FOT U команд.
10.2.14.1.2 Если одна из следующих команд MC-FOT, MC-FOT U или MC-FOT S снова распределяет PrW для этого TempID, то MC-FOT, MC-FOT U или MC-FOT S команда отвергает приостановление команды.
Примечание - Эта команда выпущена ведущим устройством к недавно регистрирующемуся ведомому устройству, если в текущем пакете окно не может быть распределено немедленно и реорганизация полного кадра необходима. Однако ведомому устройству сообщают, что его регистрационная попытка была успешна.
| | ИС МЕГАНОРМ: примечание. Нумерация пунктов дана в соответствии с официальным текстом документа. | |
10.2.14.3 Семантика примитивной услуги MC-SUS {TempID}
Признак | Описание |
TempID | 2-байтовый TempID идентифицирует ведомое устройство, которое будет приостановлено |
10.2.14.4 Когда сгенерировано
Эта команда выпущена ведущим устройством к недавно регистрирующемуся ведомому устройству, если в текущем пакете окно не может быть распределено немедленно и реорганизация полного кадра необходима.
10.2.14.5 Эффект по получении
10.2.14.5.1 По получении этой команды MAC должно приостановить:
- любые коммуникации в частных окнах в текущем пакете,
- связанный тайм-аут таймера в текущем пакете.
10.2.14.5.2 Если следующий MC-FOT, MC-FOT U или MC-FOT S команда снова распределяет ведомое устройство TempID, этот MC-FOT, MC-FOT U или MC-FOT S команда отвергает приостановить команду.
10.2.15 Свободное эфирное время (FAT MC)
10.2.15.1 Функция
Эта команда используется ведущим устройством для указания запуска свободного эфирного времени, если "свободное эфирное время" распределено перед запуском следующего пакета.
10.2.15.2 Семантика примитивной услуги FAT MC
10.2.15.3 Когда сгенерировано
Если свободное эфирное время распределено, эта команда должна быть отправлена после последнего окна, например, после W-Sync, указывающей на конец последнего окна.
10.2.15.4 Эффект по получении
Ведомые устройства, намеревающиеся стать ведущими устройствами, используют свободное эфирное время для подготовки рамы и т.д.
10.3. Команды MAC, относящиеся к управлению потоком
10.3.1 Неподдерживаемая команда (MC-CNS)
10.3.1.1 Функция
Эта команда указывает, что команда, ранее полученная в PrW, не поддерживается.
Эта команда подразумевает передачу символа.
Команда должна использоваться только в частном окне.
10.3.1.2 Семантика примитивной услуги MC-CNS {CNS}
Признак | Описание |
CNS | 1-байтовый код команды, которая не поддерживается |
10.3.1.3 Когда сгенерировано
MAC отправляет эту команду в самом раннем пункте своевременно после получения неподдерживаемой команды.
10.3.1.4 Эффект по получении
IR-ME сообщают, что равноправный объект не поддерживает обозначенную команду.
10.3.2 Символ (MC-TKN)
10.3.2.1 Функция
10.3.2.1.1 С этой командой передатчик передает символ своему коммуникационному партнеру, если нет ничего, чтобы быть отправленным. Символ указывает право на передачу.
Команда должна использоваться только в частном окне.
10.3.2.1.2 Ответ ожидается в TRT. В случае тайм-аута символ отступает.
10.3.2.2 Семантика примитивной услуги MC-TKN
10.3.2.3 Когда сгенерировано
MAC отправляет эту команду, если никакие данные или команды не должны быть переданы в данный момент.
10.3.2.4 Эффект по получении
MAC получения изменяет состояние устройства от состояния приема до состояния передачи для продолжения коммуникаций:
- если принимаемый MAC имеет ожидание данных, которые будут отправлены, MAC отправляет эти данные; или
- если принимаемый MAC не имеет ничего для отправки, ответы MAC с MC-TKN.
10.3.3 Блок запускается (BLS MC)
10.3.3.1 Функция
С этой командой передающий MAC указывает на запуск передачи блока данных для CALM-fast приложений.
MC-BLS может использоваться во всех окнах, кроме окна пробуждения или запасного окна.
10.3.3.2 Семантика примитивной услуги MC-BLS {номер блока}
Признак | Описание |
Номер блока | Однобайтовое число нового блока |
10.3.3.3 Когда сгенерировано
Эта команда отправлена MAC в начале блока данных для CALM-fast приложений, которые будут переданы.
10.3.3.4 Эффект по получении
Открытие нового буфера для CALM-fast применений.
Примечание - Первый пакет в блоке всегда имеет пакет номер 00H.
10.3.4 Блок канала управления запускается (MC-CCBS)
10.3.4.1 Функция
С этой командой передающий MAC указывает запуск передачи блока управляющей информации. Это эквивалентно использованию CALM канала управления.
MC-CCBS может использоваться во всех окнах, кроме окна пробуждения или запасного окна.
10.3.4.2 Семантика примитивной услуги MC-CCBS {номер блока}
Признак | Описание |
Номер блока | Однобайтовое число нового блока |
10.3.4.3 Когда сгенерировано
Эта команда отправлена MAC в начале блока данных в канале управления.
10.3.4.4 Эффект по получении
Открытие нового буфера приема для CALM канала управления.
Примечание - Первый пакет в блоке всегда имеет номер 00H.
10.3.5 Запуск блок пакета IEEE (MC-FBS)
10.3.5.1 Функция
С этой командой передающий MAC указывает запуск передачи блока данных в соответствующий тип IEEE 802.
Команда должна использоваться только в частном окне.
10.3.5.2 Семантика примитивной услуги MC-FBS {номер блока}
Признак | Описание |
Номер блока | Однобайтовое число нового блока |
10.3.5.3 Когда сгенерировано
Эта команда сгенерирована MAC, если пакет IEEE IPv6 должен быть передан.
10.3.5.4 Эффект по получении
Открытие нового буфера приема для соответствующего типа IEEE 802.
Примечание - Первый пакет в блоке всегда имеет номер 00H.
10.3.6 Запуск управляющего блока MAC (MS-SMS)
10.3.6.1 Функция
С этой командой передающий MAC указывает запуск передачи блока команды, который будет направлен на IR-ME устройства принимающей CALM.
Команда должна использоваться только в частном окне.
10.3.6.2 Семантика примитивной услуги SMC MC {номер блока}
Признак | Описание |
Номер блока | Однобайтовое число нового блока |
10.3.6.3 Когда сгенерировано
Эта команда генерируется MAC по запросу IR-ME, если зависимое от производителя сервисное приложение запрашивает "туннельную" информацию в принимаемую MAC.
10.3.6.4 Эффект по получении
Открытие нового буфера приема для управляющего блока MAC.
Примечание - Первый пакет в блоке всегда имеет номер 00H.
10.3.7 Запуск пакета (PAS MC)
10.3.7.1 Функция
С этой командой передающий MAC указывает на запуск пакета данных.
Этот пакет данных является продолжением передачи, которая полностью не поместилась в предыдущий пакет.
MC-PAS может использоваться во всех окнах, кроме окна пробуждения или запасного окна.
10.3.7.2 Семантика примитивной услуги PAS MC {номер блока, число пакета}
Признак | Описание |
Номер блока, число пакета | Число блока, которому пакет принадлежит, число действительного пакета |
10.3.7.3 Когда сгенерировано
Эта команда отправляется с помощью MAC в начале передаваемого пакета.
10.3.7.4 Эффект по получении
Добавление полученных данных к соответствующему буферу приема.
10.3.8 Конец пакета (MC-PAE)
10.3.8.1 Функция
С этой командой передающее устройство указывает, что пакет данных был передан. Кроме BcW или McW символ передачи дан приемному устройству.
Команда подразумевает, что по крайней мере дальнейший пакет будет следовать.
MC-PAE может использоваться во всех окнах, кроме окна пробуждения или запасного окна.
10.3.8.2 Семантика примитивной услуги MC-PAE
10.3.8.3 Когда сгенерировано
Эта команда отправляется MAC передающего устройства в конце переданного пакета данных, если другой пакет того же блока находится на рассмотрении.
10.3.8.4 Эффект по получении
Согласно используемому коммуникационному профилю MAC получения выполняет коррекцию ошибок:
- в случае отсутствия или присутствия корректируемых ошибок MAC отвечает командами MC-TAck или MC-TAck& и добавляет, что полученные данные в соответствии с буфером приема.
- в случае некорректируемых ошибок MAC отвечает командами MC-TNAck или MC-TNAck& и отказывается от пакета.
10.3.9 Конец блока (MC-BLE)
10.3.9.1 Функция
С этой командой передающее устройство указывает, что пакет данных был передан, и указывает конец блока. Кроме BcW или McW символ передачи дан приемному устройству.
MC-BLE может использоваться во всех окнах, кроме окна пробуждения.
10.3.9.2 Семантика примитивной услуги MC-BLE {номер блока}
Признак | Описание |
Номер блока | Число блока, которого последний пакет был отправлен по крайней мере один раз |
10.3.9.3 Когда сгенерировано
Эта команда отправляется при помощи MAC передающего устройства в конце переданного информационного блока.
10.3.9.4 Эффект по получении
Согласно коммуникационному используемому профилю MAC получения выполняет коррекцию ошибок:
- в случае отсутствия или присутствия корректируемых ошибок MAC отвечает командами MC-TAck или MC-TAck& и добавляет, что полученные данные в соответствии с буфером приема.
- в случае некорректируемых ошибок MAC отвечает командами MC-TNAck или MC-TNAck& и отказывается от пакета.
В случае безошибочного приема пакета проверяется полнота блока. Если блок полон, он направляется на IR-CAL, и успешный прием блока признается на станции MAC команды MC-BAck. Если пакеты отсутствуют, повторную передачу этих пакетов требуют с MC-RTQ команды MAC.
10.3.10 Признание передачи (MC-TAck)
10.3.10.1 Функция
С этой командой MAC подтверждает безошибочное получение пакета данных.
Команда должна использоваться только в частном окне.
Коммуникационный символ возвращается обратно.
10.3.10.2 Семантика примитивной услуги MC-TAck
10.3.10.3 Когда сгенерировано
В случае передачи, полученной с отсутствием или присутствием исправленных ошибок.
10.3.10.4 Эффект по получении
Последний переданный пакет будет стерт из буфера.
Коммуникационный символ признается.
10.3.11 Признанная передача & (MC-TAck&)
10.3.11.1 Функция
Этой командой MAC подтверждает безошибочное получение пакета. Коммуникационный символ не возвращается. За этой командой должна следовать дополнительная информация. Команда должна использоваться только в частном окне.
10.3.11.2 Семантика примитивной услуги MC-TAck&
10.3.11.3 Когда сгенерировано
В случае передачи, полученной с отсутствием или присутствием исправленных ошибок и информационным ожиданием для передачи.
10.3.11.4 Эффект по получении
Последний переданный пакет будет стерт из буфера.
Единица получения ждет команды MAC после MC-TAck&.
10.3.12 Непризнанная передача (MC-TAck)
10.3.12.1 Функция
С этой командой MAC подтверждает ошибочное получение пакета данных.
Коммуникационный символ возвращается.
Команда должна использоваться только в частном окне.
10.3.12.2 Семантика примитивной услуги MC-TNAck
10.3.12.3 Когда сгенерировано
В случае полученной передачи с неисправимыми ошибками.
10.3.12.4 Эффект по получении
Приемное устройство ретранслирует последний пакет.
10.3.13 Непризнанная передача & (MC-TAck&)
10.3.13.1 Функция
Этой командой MAC подтверждает ошибочное получение пакета данных.
Коммуникационный символ не возвращается.
За этой командой должна следовать дополнительная информация.
Команда должна использоваться только в частном окне.
10.3.13.2 Семантика примитивной услуги MC-TNAck&
10.3.13.3 Когда сгенерировано
В случае передачи, полученной с неисправимыми ошибками и информационным ожиданием для передачи.
10.3.13.4 Эффект по получении
Единица получения ждет команды MAC после MC-TNAck&.
Приемное устройство своевременно ретранслирует последний пакет в самом раннем пункте.
10.3.14 Запрос повторной передачи (MC-RTQ)
10.3.14.1 Функция
Если некорректируемая ошибка передачи обнаруживается MAC, эта команда просит повторную передачу пакета.
Команда должна использоваться только в частном окне.
10.3.14.2 Семантика примитивной услуги MC-RTQ {номер блока, число пакета}
Признак | Описание |
Номер блока | Однобайтовое число блока, который содержит поврежденный/отсутствующий пакет |
Число пакета | Однобайтовое число поврежденного/отсутствующего пакета |
10.3.14.3 Когда сгенерировано
Эта команда сгенерирована MAC, если обнаруживается неисправимая ошибка передачи или блок не полон во время успешного приема последнего пакета этого блока.
10.3.14.4 Эффект по получении
MAC получения повторяет требуемый пакет.
10.3.15 Признанный блок (MC-Back)
10.3.15.1 Функция
Эта команда признает успешный, безошибочный прием полного блока.
Команда должна использоваться только в частном окне.
10.3.15.2 Семантика примитивной услуги MC-Back {номер блока}
Признак | Описание |
Номер блока | Однобайтовое число блока, который должен быть признан |
10.3.15.3 Когда сгенерировано
Сгенерированный MAC после успешной повторной сборки полученного блока.
10.3.15.4 Эффект по получении
Буфер блоков передачи стирания.
Номер блока выпуска.
10.4. Команды MAC, относящиеся к процессу регистрации
10.4.1 Регистрация позволяет (MC-REN)
10.4.1.1 Функция
Эта команда указывает запуск регистрационной фазы, которая позволяет участвовать всем устройствам согласно выбранному атрибуту.
Это должно использоваться только в MnW.
10.4.1.2 Семантика примитивной услуги MC-REN {селектор}
Признак | Описание |
Селектор | Один байт Байт селектор = 0: регистрация связанной группы отключается Байт селектор = 1: регистрация связанной группы позволена См. также таблицу 17 |
Таблица 17
Групповой селектор MC-REN
Селекторный бит | Связанная группа |
0 (LSB) | Группа 0: услуги безопасности (самый высокий приоритет) |
1 | Группа 1: правительственные услуги |
2 | Группа 2: стандартные CALM-fast приложения |
3 | Группа 3: стандартные интернет-сервисы |
4 | Группа 4: не определен |
5 | Группа 5: не определен |
6 | Группа 6: не определен |
7 (MSB) | Группа 7: не определен (самый низкий приоритет) |
10.4.1.3 Когда сгенерировано
Сгенерированный MAC ведущего устройства, чтобы позволить только устройствам обозначенных групп вводить процесс регистрации.
10.4.1.4 Эффект по получении
Устройства, принадлежащие по крайней мере к одной из позволенных групп, вводят процесс регистрации.
10.4.2 Регистрационный запрос (MC-RRQ)
10.4.2.1 Функция
Эта команда указывает запуск регистрационной фазы, которая побуждает участвовать все устройства, как выбрано атрибутом.
Это должно использоваться только в MnW.
10.4.2.2 Семантика примитивной услуги MC-RRQ {селектор}
Признак | Описание |
Селектор | Один байт Байт селектор = 0: регистрация связанной группы отключается Байт селектор = 1: регистрация связанной группы приведена в исполнение |
10.4.2.3 Когда сгенерировано
Сгенерированный MAC ведущего устройства, чтобы вынудить устройства обозначенных групп ввести процесс регистрации.
10.4.2.4 Эффект по получении
Устройства, принадлежащие по крайней мере к одной из обозначенных групп, вынуждены ввести процесс регистрации.
10.4.3 Запрос идентификатора (MC-IDQ)
10.4.3.1 Функция
С этой командой ведомое устройство предлагает ведущему устройству TempID.
Команда должна использоваться только в MnW.
10.4.3.2 Семантика примитивной услуги MC-IDQ {TempID}
Признак | Описание |
TempID | TempID, предложенный ведомым устройством |
10.4.3.3 Когда сгенерировано
Эта команда сгенерирована MAC ведомого устройства.
10.4.3.4 Эффект по получении
Если предложенный TempID еще не используется одним из ведомых устройств в коммуникационной зоне ведущего устройства, ведущее устройство подтверждает, что может использоваться ведомое устройство, которое обрабатывает TempID.
Если предложенный TempID используется одним из ведомых устройств в коммуникационной зоне ведущего устройства, ведущее устройство не дает ответа.
Если предложенный TempID поврежден или дефектный, ведущее устройство не дает ответа.
10.4.4 Ответ идентификатора (IDP MC)
10.4.4.1 Функция
С этой командой ведущее устройство подтверждает ведомому устройству, что предложенный TempID может использоваться.
Команда должна использоваться только в MnW.
10.4.4.2 Семантика примитивной услуги IDP MC {TempID}
Признак | Описание |
TempID | TempID, предложенный ведомым устройством |
10.4.4.3 Когда сгенерировано
Если предложенный TempID еще не используется в коммуникационной зоне ведущего устройства, эта команда отправляется как подтверждение, что предоставляется использование предложенного TempID.
10.4.4.4 Эффект по получении
Если MAC признает предложенный TempID, он подтверждает с командой регистрационного подтверждения, и IR-ME сообщают об учреждении новой связи с ведущим устройством.
Если TempID не признан предложенным, ведомое устройство вводит процесс регистрации снова.
10.4.5 Регистрационное подтверждение (MC-REC)
10.4.5.1 Функция
Регистрационное подтверждение команды отправляется MAC ведомого устройства, если ведущее устройство отсылает предложенный TempID назад ведомому устройству.
Команда должна использоваться только в MnW.
10.4.5.2 Семантика примитивной услуги MC-REC
10.4.5.3 Когда сгенерировано
Эта команда сгенерирована MAC ведомого устройства после получения его предложенного TempID от ведущего устройства.
10.4.5.4 Эффект по получении
Предложенный TempID ведомого устройства утвержден.
IR-ME сообщают об учреждении новой связи с ведущим устройством.
10.5. Команды MAC, относящиеся к параметрам физического уровня
10.5.1 Профили регистрации (MC-PRQ)
10.5.1.1 Функция
Эта команда просит приемное устройство представить код всех коммуникационных профилей, с которыми устройство в состоянии взаимодействовать.
Команда должна использоваться только в частном окне.
10.5.1.2 Семантика примитивной услуги MC-PRQ
10.5.1.3 Когда сгенерировано
Эта команда генерируется MAC по запросу IR-ME.
10.5.1.4 Влияние на получение
Принимающий MAC перенаправляет запрос к IR-ME.
10.5.2 Ответ профилей (MC-PRP)
10.5.2.1 Функция
Эта команда отвечает на MC-PRQ команды с таблицей, содержащей все указатели коммуникационных профилей, которые в состоянии использовать отвечающее устройство.
Команда должна использоваться только в частном окне.
10.5.2.2 Семантика примитивной услуги MC-PRP {индикатор профиля}
Признак | Описание |
Индикатор профиля | Два байта. Значение битов, как определено в таблице 18 |
Таблица 18
Позиция двоичного разряда | Профиль | Селектор профиля |
0 (LSB) | Профиль 0 | 0 |
1 | Профиль 1 | 1 |
2 | Профиль 2 | 2 |
3 | Профиль 3 | 3 |
4 | Профиль 4 | 4 |
5 | Профиль 5 | 5 |
6 | Профиль 6 | 6 |
7 | Профилировать 7 (зарезервированный для будущего использования) | 7 |
8 | Профилировать 8 (зарезервированный для будущего использования) | 8 |
9 | Профилировать 9 (зарезервированный для будущего использования) | 9 |
10 | Профилировать 10 (зарезервированный для будущего использования) | 10 |
11 | Профилировать 11 (зарезервированный для будущего использования) | 11 |
12 | Профилировать 12 (зарезервированный для будущего использования) | 12 |
13 | Профилировать 13 (зарезервированный для будущего использования) | 13 |
14 | Профилировать 14 (зарезервированный для будущего использования) | 14 |
15 (MSB) | Дополнительный индикатор | Неприменимый |
Если позиция байта установлена в "1", то обозначен соответствующий профиль.
Если MSB, т.е. дополнительный индикатор, установлен в "1", то существуют дальнейшие профили. Эта функциональность зарезервирована.
10.5.2.3 Когда сгенерировано
Эта команда сгенерирована MAC по запросу IR-ME как ответ на MC-PRQ.
10.5.2.4 Эффект по получении
Принимаемый MAC предшествует указателю профиля IR-ME.
10.5.3 Запрос нового профиля (MC-RNP)
10.5.3.1 Функция
С этой командой ведомое устройство просит ведущее устройство назначить новый коммуникационный профиль на частное окно.
Команда должна использоваться только в частном окне.
10.5.3.2 Семантика примитивной услуги MC-RNP {профиль селектора}
Признак | Описание |
Селектор профиля | Один байт, указывающий требуемый профиль (см. таблицу 18) |
10.5.3.3 Когда сгенерировано
Эта команда сгенерирована MAC по запросу IR-ME, когда необходимо изменение профиля.
10.5.3.4 Влияние на получение
Принимающий MAC перенаправляет запрос к IR-ME.
Приемное устройство приостанавливает все коммуникации "Нет команд" в частном окне, пока не установлен новый коммуникационный профиль.
IR-ME выбирает принятие или непринятие этого запроса. Базовые правила выходят за рамки настоящего стандарта.
В случае принятия IR-ME должен запросить MAC передать MC-SPR с требуемым указателем профиля как атрибут.
В случае непринятия любого из требуемых профилей IR-ME должен:
- запросить MAC передать MC-SPR с селектором профиля в настоящее время используемого профиля как атрибут, чтобы продолжить текущий профиль, если требуемый новый профиль подразумевает более высокую скорость передачи данных, чем фактическая, или
- запросить MAC передать MC-SPR с селектором профиля по умолчанию для установления просителя в профиль по умолчанию.
10.5.4 Профиль набора (MC-SPR)
10.5.4.1 Функция
С этой командой ведущее устройство заставляет надлежащий профиль взаимодействовать с ведомым устройством в его частном окне (PrW).
Команда должна использоваться только в частном окне.
10.5.4.2 Семантика примитивной услуги MC-SPR {профиль селектора}
Признак | Описание |
Селектор профиля | Один байт, указывающий требуемый профиль (см. таблицу 18) |
10.5.4.3 Когда сгенерировано
Эта команда сгенерирована MAC ведущего устройства по запросу IR-ME.
10.5.4.4 Эффект по получении
MAC получения предшествует запросу к IR-ME для корректировки его собственного коммуникационного профиля для этого частного окна.
Ведомое устройство получает символ.
MC-SPR должен быть подтвержден MC-SPC.
10.5.5 Подтверждение профиля набора (SPC MC)
10.5.5.1 Функция
Эта команда подтверждает успешную активацию профиля, как обозначено с MC-SPR команды.
10.5.5.2 Семантика MC-SPC
10.5.5.3 Когда сгенерировано
Эта команда сгенерирована MAC после успешной активации профиля.
10.5.5.4 Эффект по получении
Новый профиль вступает в силу.
Ведущее устройство получает символ.
IR-ME сообщают о новом коммуникационном профиле.
10.5.6 Профиль передачи набора (SMP MS)
10.5.6.1 Функция
Это наборы команд коммуникационный профиль, который должен использоваться в текущем окне передачи.
Команда должна использоваться только в окне передачи.
10.5.6.2 Семантика SMP MC {профиль селектора}
Признак | Описание |
Селектор профиля | Один байт, указывающий требуемый профиль (см. таблицу 18) |
10.5.6.3 Когда сгенерировано
Эта команда сгенерирована MAC в начале каждого окна передачи.
10.5.6.4 Эффект по получении
Новый профиль вступает в силу.
10.6. Команды MAC имели отношение к тесту и услугам
10.6.1 Запрос о состоянии 1 (MC-SRQ1)
10.6.1.1 Функция
Эта команда просит параметры качества передачи коммуникационного партнера.
Команда должна использоваться только в частном окне.
10.6.1.2 Семантика примитивной услуги MC-SRQ1 {индикатор параметров качества передачи}
Признак | Описание |
Индикатор параметров качества передачи | Один байт, указывающий требуемые параметры (см. таблицу 19) |
Таблица 19
Параметры качества передачи
Позиция двоичного разряда | Параметр статуса | Описание |
0 (LSB) | Разрядный бит | Общее число полученных информационных битов |
1 | Неисправленный бит | Число неисправленных информационных битов |
2 | Бит исправлен | Число исправленных информационных битов |
3 | Счетчик пакетов | Общее число полученных информационных пакетов |
4 | Повторная передача пакета | Число полученных ретранслируемых информационных пакетов |
5 | Блочный прилавок | Общее число полученных информационных блоков |
6 | Блочная повторная передача | Число полученных ретранслируемых информационных блоков |
7 | Зарезервированный для будущего использования | |
Если позиция двоичного разряда установлена в "1", то требуют связанную информацию о положении.
10.6.1.3 Когда сгенерировано
Эта команда сгенерирована MAC по запросу IR-ME.
10.6.1.4 Эффект по получении
В случае приема с отсутствием или присутствием корректируемых ошибок MAC получения отвечает MC-Tack и перенаправляет запрос к IR-ME.
В случае приема с непоправимыми ошибками MAC получения отвечает MC-TNAck.
10.6.2 Запрос о состоянии 2 (MC-SRQ2)
10.6.2.1 Функция
Эта команда просит параметры излучения от коммуникационного партнера.
Команда должна использоваться только в частном окне.
10.6.2.2 Семантика примитивной услуги MC-SRQ2 {полевой индикатор параметров}
Признак | Описание |
Полевой индикатор параметров | Один байт со всеми битами, указывающими требуемый набор параметров к одному (см. таблицу 20) |
Таблица 20
Полевые параметры
Позиция двоичного разряда | Параметр статуса | Описание |
0 (LSB) | Класс получателя | Класс чувствительности получателя |
1 | Класс передатчика | Класс питания передатчика |
2 | Полевая сила | Измеренная полевая сила вводится в получателе |
3 | Солнечное излучение | Измеренная солнечная яркость вводится в получателе |
4 | Зарезервированный для будущего использования | - |
5 | Зарезервированный для будущего использования | - |
6 | Зарезервированный для будущего использования | - |
7 | Зарезервированный для будущего использования | - |
Если позиция байта установлена в "1", то требуется связанная информация о положении.
10.6.2.3 Когда сгенерировано
Эта команда сгенерирована MAC по запросу IR-ME.
10.6.2.4 Эффект по получении
В случае приема с отсутствием или с присутствием корректируемых ошибок MAC приема отвечает MC-TAck и предшествует запросу к IR-ME.
В случае приема с непоправимыми ошибками MAC приема отвечает MC-TNAck.
10.6.3 Запрос о состоянии 3 (MC-SRQ3)
10.6.3.1 Функция
Эта команда запрашивает экологические параметры от коммуникационного партнера.
Команда должна использоваться только в частном окне.
10.6.3.2 Семантика примитивной услуги MC-SRQ3 {экологический индикатор параметров}
Признак | Описание |
Экологические параметры индикатора | Один байт со всеми битами, указывающими требуемый набор параметров к одному (см. таблицу 21) |
Таблица 21
Экологические параметры
Позиция двоичного разряда | Параметр статуса | Описание |
0 (LSB) | Температура | Температура окружающей среды |
1 | Напряжение | Напряжение батареи |
2 | Заряд батареи | Поддержание заряда батареи |
3 | Зарезервированный для будущего использования | - |
4 | Зарезервированный для будущего использования | - |
5 | Зарезервированный для будущего использования | - |
6 | Зарезервированный для будущего использования | - |
7 | Зарезервированный для будущего использования | - |
Если позиция байта установлена в "1", то требуется связанная информация о положении.
10.6.3.3 Когда сгенерировано
Эта команда сгенерирована MAC по запросу IR-ME.
10.6.3.4 Эффект по получении
В случае приема отсутствием или наличием корректируемых ошибок MAC приема отвечает MC-TAck и предшествует запросу к IR-ME.
В случае приема с неисправимыми ошибками MAC приема отвечает MC-TNAck.
10.6.4 Запрос о состоянии 4 (MC-SRQ4)
10.6.4.1 Функция
Эта команда запрашивает производителя и параметры сертификации от коммуникационного партнера.
Команда должна использоваться только в частном окне.
10.6.4.2 Семантика примитивной услуги
MC-SRQ4 {производитель и индикатор параметров сертификации}
Признак | Описание |
Производитель и сертификация индикатор параметров | Один байт со всеми битами, указывающими требуемый набор параметров к одному (см. таблицу 22) |
Таблица 22
Производитель и параметры сертификации
Позиция двоичного разряда | Параметр статуса |
0 (LSB) | Идентификатор производителя |
1 | Серийный номер |
2 | Сертификация 1 |
3 | Сертификация 2 |
4 | Сертификация 3 |
5 | Сертификация 4 |
6 | Зарезервированный для будущего использования |
7 | Зарезервированный для будущего использования |
Если позиция байта установлена в "1", то требуется связанная информация о положении.
10.6.4.3 Когда сгенерировано
Эта команда сгенерирована MAC по запросу IR-ME.
10.6.4.4 Эффект по получении
В случае приема ни с одним или корректируемыми ошибками MAC получения отвечает MC-TAck и перенаправляет запрос к IR-ME.
В случае приема с неисправимыми ошибками MAC приема отвечает MC-TNAck.
10.6.5 Ответ статуса 1 (MC-SR1)
10.6.5.1 Функция
Эта команда отвечает за требуемые параметры качества передачи коммуникационному партнеру.
Команда должна использоваться только в частном окне.
10.6.5.2 Семантика примитивной услуги MC-SR1 {индикатор параметров качества передачи}
Признак | Описание |
Индикатор параметров качества передачи | Один байт, указывающий доступные параметры (см. таблицу 23) |
Команда должна немедленно сопровождаться таблицей, содержащей требуемую информацию о положении. Информация о положении передается, начиная с наименее значительного входа.
Таблица 23
Отчет о параметрах качества передачи
Параметр | Описание | Формат |
Параметр 1 | Разрядный счетчик | 4-байтовый прилавок, LSB сначала |
Параметр 2 | Неисправленный бит | 4-байтовый прилавок, LSB сначала |
Параметр 3 | Бит исправлен | 4-байтовый прилавок, LSB сначала |
Параметр 4 | Счетчик пакетов | 4-байтовый прилавок, LSB сначала |
Параметр 5 | Повторная передача пакета | 4-байтовый прилавок, LSB сначала |
Параметр 6 | Блочный счетчик | 4-байтовый прилавок, LSB сначала |
Параметр 7 | Блочная повторная передача | 4-байтовый прилавок, LSB сначала |
Параметр 8 | Зарезервированный для будущего использования | 4 байта |
Таблица отправлена при помощи договорного коммуникационного профиля частного окна. Таблица не ведется, не тащится ни одним блоком или командой пакета.
10.6.5.3 Когда сгенерировано
Эта команда отправлена MAC по запросу IR-ME.
10.6.5.4 Эффект по получении
В случае приема ни с одним или корректируемыми ошибками MAC получения отвечает MC-TAck и пересылает таблицу к IR-ME.
В случае приема с неисправимыми ошибками MAC получения отвечает MC-TNAck.
10.6.6 Ответ статуса 2 (MC-SR2)
10.6.6.1 Функция
Эта команда отвечает требуемыми полевыми параметрами коммуникационному партнеру.
Команда должна использоваться только в частном окне.
10.6.6.2 Семантика примитивной услуги MC-SR2 {полевой индикатор параметров}
Признак | Описание |
Полевой индикатор параметров | Один байт, указывающий доступные параметры (см. таблицу 24) |
Команда должна немедленно сопровождаться таблицей, содержащей требуемую информацию о положении. Информация о положении передается, начиная с наименее значительного входа.
Таблица 24
Полевой отчет о параметрах
Параметр | Описание | Формат |
Параметр 1 | Класс получателя | Один байт |
Параметр 2 | Класс передатчика | Один байт |
Параметр 3 | Полевая сила | Два байта |
Параметр 4 | Солнечное излучение | Два байта |
Параметр 5 | Зарезервированный для будущего использования | Два байта |
Параметр 6 | Зарезервированный для будущего использования | Два байта |
Параметр 7 | Зарезервированный для будущего использования | Два байта |
Параметр 8 | Зарезервированный для будущего использования | Два байта |
Таблица отправлена при помощи договорного коммуникационного профиля частного окна. Таблица не ведется, не тянется ни одним блоком или командой пакета.
10.6.6.3 Когда сгенерировано
Эта команда отправлена MAC по запросу IR-ME.
10.6.6.4 Эффект по получении
В случае приема ни с одним или корректируемыми ошибками MAC получения отвечает MC-TAck и пересылает таблицу к IR-ME.
В случае приема с непоправимыми ошибками MAC получения отвечает MC-TNAck.
10.6.7 Ответ статуса 3 (MC-SR3)
10.6.7.1 Функция
Эта команда отвечает за требуемые экологические параметры коммуникационному партнеру.
Команда должна использоваться только в частном окне.
10.6.7.2 Семантика примитивной услуги MC-SR3 {экологический индикатор параметров}
Признак | Описание |
Экологический индикатор параметров | Один байт, указывающий доступные параметры (см. таблицу 25) |
Команда должна немедленно сопровождаться таблицей, содержащей требуемую информацию о положении. Информация о положении передается, начиная с наименее значительного входа.
Таблица 25
Экологический отчет о параметрах
Параметр | Описание | Формат |
Параметр 1 | Температура | Один байт |
Параметр 2 | Напряжение | Один байт |
Параметр 3 | Заряд батареи | Один байт |
Параметр 4 | Зарезервированный для будущего использования | Один байт |
Параметр 5 | Зарезервированный для будущего использования | Два байта |
Параметр 6 | Зарезервированный для будущего использования | Два байта |
Параметр 7 | Зарезервированный для будущего использования | Два байта |
Параметр 8 | Зарезервированный для будущего использования | Два байта |
Таблица отправлена при помощи договорного коммуникационного профиля частного окна. Таблица не ведется, не тянется ни одним блоком или командой пакета.
10.6.7.3 Когда сгенерировано
Эта команда отправлена MAC по запросу IR-ME.
10.6.7.4 Эффект по получении
В случае приема ни с одним или корректируемыми ошибками MAC получения отвечает MC-TAck и пересылает таблицу к IR-ME.
В случае приема с непоправимыми ошибками MAC получения отвечает MC-TNAck.
10.6.8 Ответ статуса 4 (MC-SR4)
10.6.8.1 Функция
Эта команда отвечает за требуемых производителей и параметры сертификации коммуникационному партнеру.
Команда должна использоваться только в частном окне.
10.6.8.2 Семантика примитивной услуги MC-SR4 {производитель и индикатор параметров сертификации}
Признак | Описание |
Производитель и индикатор параметров сертификации | Один байт, указывающий доступные параметры (см. таблицу 26) |
Команда должна немедленно сопровождаться таблицей, содержащей требуемую информацию о положении. Информация о положении передается, начиная с наименее значительного входа.
Таблица 26
Производитель и отчет о параметрах сертификации
Параметр | Описание | Формат |
Параметр 1 | Идентификатор производителя | 4 байта, LSB сначала |
Параметр 2 | Серийный номер | 4 байта, LSB сначала |
Параметр 3 | Сертификация 1 | 4 байта, LSB сначала |
Параметр 4 | Сертификация 2 | 4 байта, LSB сначала |
Параметр 5 | Сертификация 3 | 4 байта, LSB сначала |
Параметр 6 | Сертификация 4 | 4 байта, LSB сначала |
Параметр 7 | Зарезервированный для будущего использования | 4 байта, LSB сначала |
Параметр 8 | Зарезервированный для будущего использования | 4 байта, LSB сначала |
Таблица отправлена при помощи договорного коммуникационного профиля частного окна. Таблица не ведется, не тянется ни одним блоком или командой пакета.
10.6.8.3 Когда сгенерировано
Эта команда отправлена MAC по запросу IR-ME.
10.6.8.4 Эффект по получении
В случае приема с отсутствием или с присутствием корректируемых ошибок MAC приема отвечает MC-TAck и пересылает таблицу к IR-ME.
В случае приема с некорректируемыми ошибками MAC приема отвечает MC-TNAck.
10.6.9 Предупреждение эха (EA MC)
10.6.9.1 Функция
Эта команда просит MAC получателя подготовиться к ответу на эхо-запрос с предопределенным временем задержки, чтобы позволить просителю вычислить сигнал, перемещающий время или расстояние между двумя коммуникационными партнерами путем рассмотрения времени задержки.
EA MC не должен сопровождаться никакой другой командой, как MC-ERQ.
EA MC действителен только для текущего окна.
Команда должна использоваться только в частном окне.
10.6.9.2 Семантика примитивной услуги EA MC {}
10.6.9.3 Когда сгенерировано
Эта команда сгенерирована по запросу сервисного приложения через IR-ME.
10.6.9.4 Эффект по получении
В случае приема с отсутствием или присутствием корректируемых ошибок MAC получения подготавливается к ответу на MC-ERQ с определенным временем задержки.
В случае приема с непоправимыми ошибками MAC получения отвечает MC-TNAck.
10.6.10 Эхо-запрос (MC-ERQ)
10.6.10.1 Функция
Эта команда запрашивает MAC получателя ответить после времени задержки TEC с эхом команды (MC-ECH), чтобы позволить просителю вычислить сигнал, перемещающий время или расстояние между двумя коммуникационными партнерами.
Команда должна использоваться только в частном окне.
10.6.10.2 Семантика примитивной услуги MC-ERQ {}
10.6.10.3 Когда сгенерировано
Эта команда сгенерирована MAC по запросу IR-ME после отправки команды MC-EA.
Команде должна предшествовать команда EA MC в текущем окне.
После отправки команды передающий MAC должен измениться на состояние приема и ждать ответа.
10.6.10.4 Эффект по получении
В случае приема ни с одним или корректируемыми ошибками MAC получения немедленно изменяется в "состояние передачи" и отвечает командой "эхо" после TED задержки в текущем окне.
В случае приема с непоправимыми ошибками MAC получения отвечает MC-TNAck.
10.6.11 Эхо (MC-ECH)
10.6.11.1 Функция
Эта команда отправлена MAC в ответ на MC-ERQ команды.
Команда должна использоваться только в частном окне.
10.6.11.2 Семантика примитивной услуги MC-ECH {повторяет время задержки}
Признак | Описание |
Повторить время задержки | 2 байта, дающие зависимое от реализации устройства, внутреннее время задержки в наносекундах между приемом первого бита полученной команды MC-ERQ и первым битом команды MC-ECH |
10.6.11.3 Когда сгенерировано
Эта команда сгенерирована MAC в ответ на MC-ERQ.
10.6.11.4 Эффект по получении
В случае приема с отсутствием или наличием корректируемых ошибок MAC получения предшествует "повторное время задержки" к IR-ME, который рассматривается при вычислении сигнала, перемещающего время или расстояние.
В случае приема с неисправимыми ошибками MAC получения отвечает MC-TNAck.
10.7. Обзор набора команд MAC
Таблица 27
Список команд MAC
Код команды | Команда MAC | Мнемосхема | Длина атрибута (байт) | Используемый в типах окна | Инициируемый |
Команды имели отношение к организации окна в таблице |
82h | Таблица организации рамы | MC-FOT {длина FOT} | 2 | MnW | MAC |
83h | Обновление таблицы организации рамы | MCFOT U {FOTU длина} | 2 | MnW | MAC |
04h | Устойчивая таблицей организация рамы | MC-FOT S {} | нет | MnW | MAC |
43h | Передача | MC-BRC {передача длина} | 1 | MnW | MAC |
C0h | Восстановить сессию | MC-REST {MID, TempID} | 5 | PrW | IR-ME |
0Ch | Восстановление сессии подтверждено | MC-RESC {} | Нет | PrW | IR-ME |
0Dh | Восстановление сессии отклонено | MC-RESD {} | Нет | PrW | IR-ME |
06h | Убить все | MC-KIA {} | Нет | MnW | IR-ME |
86h | Убить ведомое устройство | MC-KIS {TempID} | 2 | MnW | IR-ME |
01h | Вычеркнуть из списка | MC-DREG {} | Нет | PrW | IR-ME |
0Fh | Приостановить все | MC-SUA {} | Нет | MnW | MAC |
8Ah | Приостановить ведомое устройство | MC-SUS {TempID} | 2 | MnW | MAC |
05h | Свободное эфирное время | MC-FAT {} | Нет | MnW | IR-ME |
Команды имели отношение к управлению потоком |
44h | Неподдерживаемая команда | MC-CNS {CNS} | 1 | PrW | MAC |
10h | Символ | MC-TKN {} | Нет | PrW | MAC |
42h | Блок запускается | MC-BLS {блок число} | 1 | PrW, McW, BcW, MnW | IR-CAL |
45h | Блок канала управления запускается | MC-CCBS {блок число} | 1 | PrW, BcW, McW | IR-CAL |
46h | Блок рамы IEEE запускается | MC-FBS {блок число} | 1 | PrW, BcW, McW | IR-CAL |
4Ch | Запустить управляющего блока MAC | MC-SMC {блок число} | 4 | PrW, McW, BcW, MnW | IR-ME |
87h | Пакет запускается | MC-PAS {блок число, пакет число} | 2 | PrW, McW, BcW | MAC |
07h | Конец пакета | MC-PAE {} | Нет | PrW, McW, BcW | MAC |
41h | Блочный конец | MC-BLE {блок число} | 1 | PrW, McW, BcW, MnW | MAC |
11h | Передача признана | MC-TAck {} | Нет | PrW | MAC |
12h | Признанная передача & | MC-TAck& {} | Нет | PrW | MAC |
13h | Передача непризнанная | MC-TNAck {} | Нет | PrW | MAC |
14h | Передача, не признанная & | MC-TNAck& {} | Нет | PrW | MAC |
89h | Запрос повторной передачи | MC-RTQ {блок число, пакет число} | 2 | PrW | MAC |
40h | Блок признает | MC-BAck {блок число} | 1 | PrW | MAC |
Команды имели отношение к процессу регистрации |
47h | Регистрация позволяет | MC-REN {селектор} | 1 | MnW | MAC |
48h | Регистрационный запрос | MC-RRQ {селектор} | 1 | MnW | MAC |
84h | Запрос идентификатора | MC-IDQ {TempID} | 2 | MnW | MAC |
85h | Ответ идентификатора | MC-IDP {TempID} | 2 | MnW | MAC |
0Bh | Регистрационное подтверждение | MC-REC {} | Нет | MnW | MAC |
Команды имели отношение к параметрам физического уровня |
0Ah | Запрос профилей | MC-PRQ {} | Нет | PrW | IR-ME |
88h | Ответ профилей | MC-PRP {профиль селектор} | 2 | PrW | IR-ME |
49h | Просить новый профиль | MC-RNP {профиль селектор} | 1 | PrW | IR-ME |
8Ch | Профиль набора | MC-SPR {профиль селектор} | 1 | PrW | IR-ME |
0Eh | Подтверждение профиля набора | SPC MC {} | Нет | PrW | IR-ME |
4Ah | Профиль передачи набора | SMP MC {профиль селектор} | 1 | McW | MAC |
Команды имели отношение к тесту и услугам |
4Dh | Запрос о состоянии 1 | MC-SRQ1 {качество передачи индикатор параметров} | 1 | PrW | IR-ME |
4Eh | Запрос о состоянии 2 | MC-SRQ2 {область индикаторов параметров} | 1 | PrW | IR-ME |
4Fh | Запрос о состоянии 3 | MC-SRQ3 {экологический индикатор параметров} | 1 | PrW | IR-ME |
50h | Запрос о состоянии 4 | MC-SRQ4 {производитель и параметры сертификации индикатор} | 1 | PrW | IR-ME |
51h | Ответ статуса 1 | MC-SR1 {передача качественные параметры индикатор} | 1 | PrW | IR-ME |
52h | Ответ статуса 2 | MC-SR2 {область индикатор параметров} | 1 | PrW | IR-ME |
53h | Ответ статуса 3 | MC-SR3 {экологический индикатор параметров} | 1 | PrW | IR-ME |
54h | Ответ статуса 4 | MC-SR4 {производитель и сертификация индикатор параметров} | 1 | PrW | IR-ME |
02h | Предупреждение эха | EA MC {} | Нет | PrW | IR-ME |
03h | Эхо-запрос | MC-ERQ {} | Нет | PrW | MAC |
81-й | Эхо | MC-ECH {повторяет задержку времени} | 2 | PrW | MAC |
11.1.1 Регистрационная процедура позволяет недавно введенным устройствам быть зарегистрированными для коммуникации. Во время этого процесса ведомому устройству назначают временную идентификацию (TempID), которая используется для дальнейшего обращения к ведомому устройству, пока это находится в коммуникационной зоне ведущего устройства.
11.1.2 Регистрационная процедура имеет место в регистрационной фазе окна управления (например, после универсального MID информации о кадрах, MID и FATI отправлены).
11.1.3 Во время регистрационной процедуры ведомое устройство, которое недавно вошло в коммуникационную зону ведущего устройства и которое обнаружило F-синхросигнал, универсальную информацию о кадрах и регистрацию команды MAC, позволяет или регистрировать запрос, который соответствует его приоритету, создает TempID, с которым вводит процесс регистрации.
11.2. Нормальная регистрационная процедура
11.2.1 Временный идентификатор (TempID) произведен ведомым устройством и предложен ведущему устройству для использования его для дальнейшего обращения ведомого устройства.
11.2.2 Предложенный TempID проверен ведущим устройством на уникальность в его коммуникационной зоне и подтвержден к ведомому устройству в случае успешной регистрации.
11.2.3 Подтвержденный TempID действителен, пока не превышается тайм-аут TempID.
11.2.4 При производстве предложения TempID ведомое устройство должно выполнить требования, данные в
11.2.4.1 -
11.2.4.5.
11.2.4.1 TempID должен быть 2-байтовым случайным числом.
11.2.4.2 Ведомое устройство не должно использовать один из предопределенных зарезервированных TempIDs (см.
таблицу 28).
11.2.4.3 Ведомое устройство должно произвести TempID на случайной основе, таким образом, что все возможные ценности выбраны с равной вероятностью.
11.2.4.4 Если используется "псевдослучайный" процесс, последовательность случайных чисел не должна быть идентичной во всех ведомых единицах.
11.2.4.5 Ведомое устройство должно использовать новое случайное число для каждого процесса регистрации и для каждой попытки регистрации.
11.2.5 Коды TempID приведены в таблице 28.
Таблица 28
Идентификационный номер | Имя | Описание |
0000h | Dummy-ID | Идентификатор последнего входа ("фиктивный вход") в FOT |
0001h | WuW-ID | Идентификатор для окна пробуждения |
0002h ... 000Fh | SpW-ID | Идентификаторы для запасных окон |
0010h ... 00FFh | Future-ID | Зарезервированный для будущего использования |
0100h ... EFFFh | Temp-ID | Ряд действительных временных идентификаторов |
FF00 ... FFFEh | multicast ID | Ряд действительных идентификаторов передачи |
FFFFh | Broadcast | Идентификатор трансляции |
11.3. Последовательность регистрационной процедуры без столкновения
11.3.1 Регистрационная процедура инициируется с регистрационным запросом команды (MC-RRQ) или возможностью регистрации (MC-REN).
11.3.2 После отправки MC-RRQ или MC-REN устройство-арбитр выключает режим приема и ждет ответа в течение времени TRWAIT.
11.3.3 Входящее устройство (ведомое устройство), входя в коммуникационную зону, получает команду.
11.3.4 После случайного TREG с временной задержкой, которое уже может зависеть от приоритета устройства и случайного числа, теряют попытку регистрации, ответы ведомых устройств с командой MAC "запросом идентификатора" (MC-IDQ), посредством чего предлагается атрибут TempID ведомого устройства.
11.3.5 Если никакое другое ведомое устройство не использует этот TempID, основные ответы с IDP MC команды MAC с TempID предлагаются ведомым устройством как атрибут.
11.3.6 Если владелец обнаруживает, что TempID, предложенный ведомым устройством, уже используется некоторым другим ведомым, владелец отклоняет текущую регистрационную процедуру, посылая новую регистрационную команду (MC-REN или MC-RRQ).
11.3.7 Другие не сами организованные ведомые устройства, получающие TempID (через ведущее устройство), остаются неактивными до следующей регистрационной команды.
11.3.8 Ведомое устройство, признающее его предложенный TempID, немедленно подтверждает путем отправки команды MAC "регистрационное подтверждение" (MC-REC). TempID становится активным и будет рассмотрен ведущим устройством при создании нового FOT или FOTU.
11.3.9 Если размер окна управления позволяет, его ведущее устройство может теперь передать новую регистрационную команду.
Рисунок 13 - Регистрационная процедура без столкновения
11.4. Последовательность регистрационной процедуры со столкновением
Если два ведомых устройства отвечают одновременно или накладываются с их предложенным TempID, то происходит столкновение.
Существуют три возможных сценария.
11.4.1 Оба сигнала появляются с равной мощностью сигнала
Два ведомых отвечают одновременно или накладываются с различными TempID и обоими сигналами появляются с равной мощностью сигнала в ведущем устройстве (например, от того же расстояния до ведущего устройства).
11.4.1.1 Ведущее устройство получит "wired OR" от обоих сигналов.
11.4.1.2 Если полученный сигнал соответствует "разрешенному" TempID, мастер отвечает IDP MC "перемешивает" с этим атрибутом; т.е. ведущее устройство передает другой MC-RRQ или MC-REN.
11.4.1.3 Поскольку ни одно из ведомых устройств не получает свой правильный TempID, ни один из них не адресуется, и таким образом ни один из них не подтверждается, и никакой TempID не вступает в силу.
11.4.1.4 Таким образом, ведущее устройство не получает подтверждения, и после периода тайм-аута TRT ведущее устройство снова передает регистрационную команду.
Рисунок 14 - Регистрационная процедура со столкновением
11.4.2 Оба сигнала появляются с различной мощностью сигнала
Два ответа ведомых устройств одновременно с различным предложенным TempIDs, но оба сигнала появляются с различной мощностью сигнала в ведущем устройстве (например, одно ведомое устройство размещено поблизости и другое далеко от ведущего устройства).
11.4.2.1 Ведущее устройство получит "более сильный" TempID.
11.4.2.2 Ведущее устройство отвечает MC-IDP с этим TempID как атрибутом.
11.4.2.3 Одно ведомое устройство получает свой правильный TempID и подтверждает, другое ведомое устройство признает, что это необращенный.
11.4.3 Идентичный TempIDs
Два ведомых устройства отвечают одновременно с идентичными TempID. Это единственная сложная ситуация, но этот случай происходит очень редко. Однако, как описано ниже, такой конфликт будет обнаружен, таким образом, контрмеры смогут инициироваться на верхних уровнях.
11.4.3.1 Ведущее устройство получит правильный TempID.
11.4.3.2 Ведущее устройство отвечает на этот TempID.
11.4.3.3 К обоим ведомым устройствам обращаются правильно и рассматривается ведущим устройством как единственное ведомое устройство.
11.4.3.4 Оба ведомых устройства будут назначены на то же частное окно.
11.4.3.5 Позже это вызовет столкновения в связанном частном окне. Поскольку столкновения могут произойти также по другим причинам (например, перекрестный разговор, интерференция), они в целом должны быть обнаружены и решены уровнем 2 и высшим механизмом.
11.4.3.6 Если столкновение в том же окне произойдет несколько раз, то ведомое(ые) устройство(а) должно(ы) быть "убито(ы)" ("killed") командой MAC в окне управления. Результат состоит в том, что это ведомое(ые) устройство(а) введет(ут) новый процесс регистрации.
11.5. Передача и перерегистрация
Если ведомому устройству не удается ответить в его частном окне в двух последовательных пакетах, применяются
11.5.1 и
11.5.2.
Ведущее устройство должно отменить TempID от FOT, но должно сохранить для предопределенного временного интервала различные данные о сессии, связанные с этим ведомым устройством для предоставления возможности восстановления сессий, и т.д. в случае, если ведомое устройство вводит новый процесс регистрации, получает новый TempID и запросило восстановление сессии при помощи команды MAC "восстановление сессии" (MC-REST).
11.5.2 Советовать смежным ведущим устройствам
Ведущее устройство должно объяснить смежным ведущим устройствам, а кому это ведомое устройство "проиграло" ("lost") в его коммуникационной зоне (TempID, статус сессии), чтобы позволить ведомому устройству восстановить сессию при достижении коммуникационной зоны следующего ведущего устройства ("передача").
11.6. Таймеры процесса регистрации
Таймеры процесса регистрации приведены в таблице 29.
Таблица 29
Таймеры процесса регистрации
Таймер | Описание | Значение |
TRWAIT, мкс | Ведущее устройство должно ждать по крайней мере, TRWAIT ответа на MCRRQ или MC-REN. Прием ответа должен быть обработан ведущим устройством как можно скорее, в зависимости от внедрения | 125 |
TREG, мкс | Время задержки перед ведомым устройством отвечает MC-RRQ или MC-REN | Случайный. Не менее 5 Не более 91 |
TCWAIT, мкс | Время ожидания ведомого устройства для ответа на предложенный TempID | Не более 32 мкс |
TRT, мкс | Время ожидания ведущего устройства для ответа его MC-IDP | Не более 25 мкс |
TTempID, мкс Измеряется в числе последовательных пакетов. Пакеты, в которых было приостановлено связанное ведомое устройство, не посчитаны | Тайм-аут TempID | 255 |
TDREG, с | Регистрационный тайм-аут | 60 |
Кадр TDMA после окна управления (MnW) включает ряд сгруппированных временных интервалов, которые формируют частные окна и окна передачи (PrW, McW), позволяя всем коммуникационным партнерам (ведущее устройство и ведомые устройства) обмениваться информацией (например, данные приложения и команды).
Теми окнами должно управлять ведущее устройство с целью:
- распределить достаточное коммуникационное время по каждому ведомому устройству;
- удовлетворить временные требования для важных приложений (например, применения в реальном времени);
- поддержать требуемое время ответа/реакции команды;
- перестроить распределение временного интервала (если необходимо).
12.2. Распределение окна таблицами организации пакета
Окна создаются путем распределения их запуска и индекса остановки, определяющего их позиции запуска и остановки в структуре временного пакета.
Эта организация передается к ведомым устройствам при помощи ведущего устройства во время окна управления, при помощи или таблицы организации пакета "Команда MAC" (FOT MC), или "Обновления таблицы организации пакета" (FOT MC U), которые определяются в
10.2.1 и
10.2.4.
Каждое окно обращено шестнадцатеричным индексом его временного(ых) интервала(ов) от 00H до FFH. Место времени начала (временной интервал 00H) является самым первым временным интервалом после F-Sync.
Если ведомое устройство назначено на окно, оно также остается действительным для следующего(их) пакета(ов), пока новое окно не назначено или не закончилась коммуникация.
Поскольку все устройства в коммуникационной зоне получают информацию о FOT, это организует ведомые устройства без потребности в "непрерывном подсчете окна". Вместо многих прерываний один таймер установлен в ведомом устройстве, который разблокирует прерывание перед запуском искомого окна.
Примечание - Если никакие изменения в FOT не происходят, команда "устойчивость таблицы организации пакета" (FOT MC S) отправляется вместо FOT MC или FOT MC U.
Длина окна является разницей во времени от индекса запуска до индекса запуска последующего окна. Фиктивный идентификатор добавляется для предоставления информации о конце для последнего окна.
Этот метод организации пакета также избегает проблем с "затенением", которое иначе может привести к временной потере синхронизации информации.
Чтобы позволить ведущему устройству во время процесса регистрации немедленно назначить частное окно на недавно регистрирующееся ведомое устройство, ведущее устройство должно поддержать "запасное окно" путем распределения в FOT, зарезервированном TempID, иначе неиспользованному окну.
Если ведомое устройство недавно регистрируется, ведущее устройство может немедленно назначить ведомому устройству "запасное окно" путем изменения "запасного" TempID в FOT прежде, чем отправить FOT.
Новое ведомое устройство, таким образом, имеет частное окно для его расположения даже в пакете, которое он использовал для регистрации. Реорганизация полного кадра (удаляющие или добавляющие окна) может быть достигнута до выпуска нового пакета.
12.4. Окна для изохронных услуг
Если услуга имеет строгие требования относительно колебания и (минимальной) пропускной способности, окна, распределенные по ведомым устройствам, требуют, чтобы такие услуги должны:
- быть максимально равноотстоящими;
- иметь минимальную длину с точки зрения информационных битов (не обязательно своевременно, поскольку необходимое время окна зависит от скорости передачи данных коммуникационного профиля, используемого в окне).
Оба критерия могут быть удовлетворены при помощи постоянной частоты повторения пакета (вместо того чтобы использовать постоянное время внутри пакета) и всегда могут поместить подчиненные окна в тот же временной интервал.
Если "разрывы" происходят из-за временных интервалов, не распределенных по любому из активных ведомых устройств, те разрывы должны быть заполнены "запасными окнами", как описано в
12.3.
13. Инфракрасная организация управления
Инфракрасный IR-ME предприятия управления отвечает за управление уровнем MAC IR и физическим уровнем IR, т.е. управление необходимо во всех проблемах, где взаимодействие с верхними уровнями CALM.
13.2. Неподдерживаемая команда MAC
Обычно надлежащие внедрения никогда не генерируют команды MAC, не поддерживаемые на станциях коллеги, кроме того, где эти команды являются дополнительными командами.
Необнаруживаемые ошибки передачи могут привести к неподдерживаемой команде. Таким образом, прием МС команды MC-CNS должен привести в исполнение повторную передачу связанной команды MAC. Если это будет невозможно или если неподдерживаемая команда была отослана, то связь должна быть закрыта при помощи MAC, командуют MC-DREG и MC-KIS как применимые.
13.3. Коммуникационные профили
Управление коммуникационными профилями детализировано в
10.5. О доступных профилях нужно сообщить верхним уровням управления CALM через IR-MAE после того, как они включатся, и после каждого изменения статуса.
13.4. Состояние оборудования
IR-ME должен поддержать фактическую информацию о положении, как описано в контексте MC-SRQi команд MAC и SRI MC, i = 1, ..., 4 (см.
10.6). Эти параметры должны быть восстановимы управлением CALM через IR-MAE.
IR-ME должен поддерживать тесты, как описано в
пункте 10.6 по запросу сервисного применения через управление CALM и IR-MAE.
Регистрационная процедура подробно приведена в
разделе 11.
Физический IR, идентифицированный MAC-адресом, который уникален в контексте CALM, должен быть в состоянии поддержать логические случаи единицы IR, каждый идентифицированный временным MAC-адресом.
Уникальный MAC-адрес является шестибайтовым числом, как показано на рисунке 15.
LS-байт | Байт 1 | Байт 2 | Байт 3 | Байт 4 | Байт MS |
Стоимость поставщика, идентификатор производителя | Пользовательская стоимость, серийный номер |
Отдельный, локальный | Определитель | Идентификатор |
Рисунок 15 - Уникальный MAC-адрес
MAC-адрес состоит из шести байтов, разделенных на две группы:
- значение поставщика (также называемый идентификатором производителя);
- значение пользователя (являющийся серийным номером).
Если стоимость "поставщика" укажет отдельный локальный MAC-адрес, то "пользовательская" стоимость должна быть связью определителя и идентификатора.
Определитель MAC-адреса должен быть установлен, как обозначено на рисунке 16.
Комментарий | LSB | Бит 1 | Бит 2 | Бит 3 | Бит 4 | Бит 5 | Бит 6 | MSB |
Уникальный MAC-адрес для стационарного оборудования | 1 | 1 | Расширение идентификатора, т.е. идентификатор состоит из 22 бит |
Уникальный MAC-адрес для мобильного оборудования | 0 | 1 | Расширение идентификатора, т.е. идентификатор состоит из 22 бит |
Временный MAC-адрес для ведущего устройства | 1 | 0 | | | | | | Res |
Временный MAC-адрес для ведомого устройства | 0 | 0 | CCI | Res | |
<a> CCI - индикатор канала управления. Если установлено в "1", логическая единица составляет канал управления. <b> F0, F1 и S - элементы кода идентичности класса, см. таблицу 12. <c> Res указывает зарезервированный бит, который должен быть установлен в "1". <d> Число случая - логический случай объекта связи IR. |
Рисунок 16 - Определитель MAC-адреса
О любом изменении статуса для случаев блоков связи IR, т.е. о любом изменении в доступных MAC-адресах нужно сообщить CALM-управлению через IR-MAE вместе со связанным уникальным и временным MAC-адресом.
13.7.1 Управление сессиями подробно приведено в
10.2, см. команды REST MC MAC, MC-RESC, MC-RESD, MC-SUA, MC-SUS, MC-DREG, MC-KIS, MC-KIA.
13.7.2 Сессия, т.е. ассоциация между ведущим устройством IR и ведомым устройством IR, образованная парой MID и TempID, может быть закрыта или ведущим устройством, или ведомым устройством.
13.7.2.1 Ведущее устройство может закрыть связь путем отправки MC-KIS команды MAC {TempID}.
13.7.2.2 Ведомое устройство может просить закрыть связь путем отправки MAC команды MC-DREG.
13.7.2.3 В дополнение к этому может закрыться ведущее устройство, все связи путем отправки команды MAC КИА MC.
13.7.2.4 Ведомому устройству можно мешать использовать эфирное время в единственном определенном пакете, не теряя его связь с ведущим устройством при помощи MC-SUA команды MAC, MC-SUS {TempID}.
13.8.1 Организация IR-коммуникации
Коммуникация IR организована в последовательностях пакетов, которые будут переданы. Несколько пакетов могут быть связаны друг с другом в заказанной последовательности и могут накопить блок, т.е. большие блоки, полученные от IR-CAL, должны фрагментироваться для передачи и дефрагментироваться после приема (см.
14.2.5). Для получения дополнительной информации по командам MAC см.
10.3.
13.8.2 Уникальная ссылка номера блока
13.8.2.1 На каждый блок должен сослаться уникальный номер блока в диапазоне от 00h до FFh. Должен быть только единственный блочный счетчик для всех связей, всех логических запросов единственного физического запроса единицы IR. Максимум 256 блоков может использоваться одновременно.
13.8.2.2 Пакеты в блоке должны быть последовательно пронумерованы, начиная с 00h.
13.8.2.3 Запуск первого пакета в новом блоке должен быть обозначен одним из следующих блоков запуска команды:
- BLS MC {номер блока}: CALM-fast передача данных приложения;
- MC-SCB {номер блока}: CALM-fast прикладная передача канала управления;
- MC-BRC {номер блока}: единственный блок пакета для коротких широковещательных сообщений в MnW;
- MC-FBS {номер блока}: WLAN соответствующая передача данных.
13.8.2.4 Конец любого из этих блоков должен быть обозначен MC-BLE командой MAC.
13.8.2.5 Запуск каждого пакета в блоке, кроме первого пакета, должен быть обозначен командой MS-PAS.
13.8.2.6 Конец каждого пакета, кроме последнего блока, должен быть обозначен командой MC-PAE.
13.8.2.7 Блоки и связанные номера блока должны быть выпущены для нового использования, как только безошибочный прием блока будет обозначен командой MAC MC-BAck.
13.8.2.8 Пакеты с ошибками должны ретранслироваться по запросу получателя. Запрос о повторной передаче должен быть обозначен командами MAC MC-TNAck&, или MC-TNAck, или MC-RTQ как применимый.
13.8.2.9 Если команда MAC не будет подразумевать передачу коммуникационного символа, т.е. право передаться, то это должно быть сделано при помощи MC-TKN команды MAC, если применимо. Если станция не будет иметь никакого пакета или не будет иметь команды для отправки, то она должна немедленно отправить MC-TKN команды MAC для динамичного разделения мощности канала между ведущим и ведомым устройствами.
Услуга подачи заявлений должна быть в состоянии командовать свободным эфирным временем. То, как это достигается, выходит за рамки настоящего стандарта.
Услуга подачи заявлений должна быть в состоянии запросить передачу MAC, внутренние и специфичные для производителя команды и данные на равнозначные станции при помощи MAC-команды MC-SMC. То, как это достигается, выходит за рамки настоящего стандарта.
Средняя адаптация - средние значения для адаптации определенных более низких уровней IR к общей сети CALM и CALM организации управления (CME). Эти более низкие уровни включают в себя физический и канальный уровни, а также определенный средний IR-ME организации управления IR. Канальный уровень по крайней мере состоит из подуровня MAC и коммуникационного уровня адаптации IR. Коммуникационный уровень адаптации можно рассмотреть как определенный LLC IR.
Средняя адаптация представлена в общем виде на рисунке 17.
Рисунок 17 - Средняя адаптация
IR-CAL обеспечивает коммуникацию SAP для CALM сетевого уровня после тех же принципов, как представлено в общих чертах в ИСО/МЭК 8802-11.
IR-MAE обеспечивает точки доступа к службе управления (СОКИ) для CALM организации управления после тех же принципов, как представлено в общих чертах в ИСО/МЭК 8802-11 относительно станционной организации управления.
14.2.1 Коммуникация SAP
14.2.1.1 Ссылка
Точка доступа к службе к CALM сетевому уровню будет определена в ИСО 21217. Это обеспечивает два сервисных примитива CA-UNITDATA.requests{} и CA-UNITDATA.indication{}, с параметрами Source_Address, Destination_Address данных и приоритетов.
14.2.1.2 Source_Address
Параметр Source_Address является связью источника адрес SAP и исходный MAC-адрес. MAC-адрес определяется в
14.2.4.
14.2.1.3 Destination_Address
Параметр Destination_Address является связью места назначения адреса SAP и целевого MAC-адреса. MAC-адрес определяется в
14.2.4.
14.2.1.4 Адреса SAP
Адреса SAP будут определены в ИСО 21218.
14.2.1.5 Данные
Параметр данных несет N-PDU.
14.2.1.6 Приоритет
Должен быть согласован с другими CALM-средами.
14.2.2 Типы связи
14.2.2.1 CALM-fast применения
Невыполненная обязательная коммуникация в CALM-IR рассматривает CALM-fast приложение (CFAs). Каждый пакет, полученный от CALM сетевого уровня в примитивной услуге CA-UNITDATA.request, должен быть обработан как один блок IR.
Блоки могут быть связаны с CALM каналами передачи данных или с CALM каналами управления.
После безошибочного приема полного блока IR-CAL должен направить его CALM сетевому уровню при помощи примитивной услуги CA-UNITDATA.indication.
14.2.2.2 ИСО/МЭК 8802-11 совместимые услуги
Эти услуги являются дополнительными.
Для коммуникации WLAN, соответствующей ИСО/МЭК 8802-11, отдельное предприятие коммуникационного адаптера IR должно создаваться с новым MAC-адресом и резервироваться для этого типа коммуникации. CALM управлению нужно сообщить о таком приложении через IR-MAE. Каждый пакет, полученный от CALM сетевого уровня в примитивной услуге CA-UNITDATA.request (см. ИСО 21217), должен быть обработан как один блок IR. IR-CAL должен генерировать требуемую информацию заголовка MAC WLAN и вставить его в начале каждого блока. Запуск блока должен быть обозначен MC-FBS команды MAC. Связанные процедуры для генерации и обработки информации заголовка для передачи и приема определяются в
14.2.3.
После безошибочного приема полного блока IR-CAL должен оценить информацию заголовка WLAN и затем направить остающуюся организацию CALM сетевому уровню при помощи примитивной услуги CA-UNITDATA.indication (см. ИСО 21217).
14.2.3 Функциональность WLAN
14.2.3.1 Основное
Для поддержки (ИСО/МЭК 8802-11) механизмов для строительства и использования BSSs с несоответствующими СМИ, такими как IR, данные, обычно сгенерированные и оцененные в ИСО/МЭК 8802-11 MAC, поскольку часть процедур MAC должна быть обработана как полезный груз в коммуникационном адаптере IR.
Поскольку коммуникационный адаптер IR имеет свой собственный механизм для управления потоком данных на связи (ИСО/МЭК 8802-11), информация об управлении потоком не должна быть передана через IR-коммуникацию.
Коммуникационный адаптер IR должен управлять только данными пакетов (ИСО/МЭК 8802-11), которые необходимы для предоставления услуг, поддерживаемых ИСО/МЭК 8802-11.
Вся другая информация, такая как скорость передачи данных или другая, является определенной для среды IR.
14.2.3.2 Релевантная информация
Релевантная информация, например BSSID BSS, должна быть передана как полезный груз после команды MC-FBS. Релевантная информация описана в
14.2.3.2.1.
Тип пакетов (ИСО/МЭК 8802-11) является релевантной информацией. Только следующие типы пакетов MAC (ИСО/МЭК 8802-11) для управления и данных, описанных в таблице 30, поддерживаются CALM-IR.
Таблица 30
IR печатают полевое описание
Напечатать описание | IR печатают стоимость | Поднапечатать описание |
Управление | 0000 | Запрос ассоциации |
Управление | 0001 | Ответ ассоциации |
Управление | 0010 | Запрос реассоциации |
Управление | 0011 | Ответ реассоциации |
Управление | 0100 | Запрос сканирования |
Управление | 0101 | Ответ сканирования |
Управление | 0110 | Запрос соединения |
Управление | 0111 | Ответ соединения |
Управление | 1000 - 1001 | Зарезервированный |
Управление | 1010 | Разъединение |
Управление | 1011 | Идентификация |
Управление | 1100 | Повторная аутентификация |
Зарезервированный | 1101 - 1110 | Зарезервированный |
Данные | 1111 | Данные |
14.2.3.2.2 Управление рамой
Два бита, к DS и от DS, как описано в ИСО/МЭК 8802-11, являются релевантной информацией.
Управление пакетом сокращено до одного размера октета, как описано в таблице 31.
Таблица 31
Октет управления пакетом в IR
Бит | 0 | 1 | 2 | 3 | 4 | 5 | 6 | 7 |
Описание | 0 (неиспользуемый) | WEP | KDS | От DS | IR печатают стоимость |
Другие области управления связью (ИСО/МЭК 8802-11) пакетов не относятся к IR.
14.2.3.2.3 Адреса
Адреса 1 - 4 (ИСО/МЭК 8802-11) рам должны быть отправлены, как описано в ИСО/МЭК 8802-11, без области управления последовательностью между адресом 3 и обратиться 4.
Поля адресов Addr 2, Addr 3 и Addr 4 должны быть переданы только в случаях в соответствии с требованиями таблицы 32.
Таблица 32
Адрес печатает для IR
Тип IR | C стоимость | FromDS стоимость | Тип Addr 1 | Addr 2 напечатать | Addr 3 напечатать | Addr 4 напечатать | Описание |
Данные | 0 | 0 | | | | Не определен | Кадр данных, прямой от одной станции к другой станции в том же независимый BSS, также как все управление и управлять рамами типа |
Данные | 0 | 1 | DA | BSSID | SA | Не определен | Кадр данных, предназначенный для распределительной системы |
Данные | 1 | 0 | BSSID | SA | DA | Не определен | Кадр данных, выходящий из распределительной системы |
Данные | 1 | 1 | | | DA | SA | Беспроводное распределение системной рамы, распределенный от одной точки доступа к другой точке доступа |
Запрос SCAN | Не определен | Не определен | Не определен | Не определен | Не определен | Не определен | - |
Ответ SCAN | Не определен | Не определен | BSSID | DA | BSSID | Не определен | Addr 3 используется только в событии, что BSS обеспечивает точку доступа |
Запрос JOIN | Не определен | Не определен | BSSID | Не определен | Не определен | Не определен | |
Ответ JOIN | Не определен | Не определен | BSSID/0x000000 | Не определен | Не определен. | Не определен | Addr1 равняется 0x000000 дюймам событие, что запрос СОЕДИНЕНИЯ не принятый |
Ассоциация, переассоциации, разъединение, идентификация, деидентификация | Использование адресов, как определено в ИСО/МЭК 8802-11 |
<a> DA является адресом конечного пункта назначения. <b> SA является адресом источника. <c> BSSID является идентификатором BasicServiceSet. <d> RA является адресом получателя. <e> TA является адресом передатчика. |
14.2.3.3 Блок WLAN
Релевантная информация для поддержки (ИСО/МЭК) 8802-11 передается в определенном заголовке кадра IR, как описано в таблице 33. Организация пакета несет N-PDU и должна непосредственно следовать за этим заголовком.
Таблица 33
(ИСО/МЭК 8802-11) Заголовки соответствия для пакетов IR
Элемент | MC-FBS | MC-FBS признаки | Рама управление | Addr 1 | Addr 2 | Addr 3 | Addr 4 | Рама организация (сначала фрагмент) | MC-BLE или MC-PAE |
Размер октеты | 1 | 2 | 1 | 6 | 6 | 6 | 6 | 0 ... (максимальный пакет, размер - сверх голова <a>) | 1 |
Содержит | IR команда | IR командный признак | Данные IR | IR команда |
<a> Накладные расходы равняются размеру элементов, кроме фрагментов тела рамы, фактически используемых. |
Таблица 34
В случае фрагментации, используемой рамы второй длительности
Описание | PAS MC | PAS MC признаки | Организация рамы (последующий фрагмент) | MC-BLE или MC-PAE | MC-BLE/MC-PAE |
Размер октеты | 1 | 2 | 1 ... (максимальный пакет размер 4) | 1 | 1/0 |
Содержит | Команда | Признак | Данные | Команда | Признак |
14.2.4.1 Основы
Согласно ИСО/МЭК 8802 MAC-адрес состоит из шести байтов, разделенных на две группы: стоимость поставщика или идентификатор производителя и пользовательская стоимость или станционный идентификатор. Каждый состоит из трех байтов. Первый бит (LSB) LS-байта MAC-адреса является I/G-Bit, который описывает, является ли MAC-адрес частным лицом (= 0) или адресом группы (= 1). Второй бит является U/L-Bit, который описывает, является ли MAC-адрес универсальным управляемым (= 0) или локальным адресом (= 1). Отдельный, универсальный адрес, которым управляют, всегда является идентификатором MAC адаптера. Невозможно изменить этот физический адрес, но возможно использовать логический, отдельный адрес, которым локально управляют.
14.2.4.2 MAC-адреса в CALM-IR
Реальная идентичность CALM адаптера среды является физическим MAC-адресом, назначенным на этот адаптер. В IR-пакете для CFAs не используется этот уникальный MAC-адрес. Вместо уникального MAC-адреса в коммуникации применяется только двухбайтовый временный идентификатор. Уникальный MAC-адрес может использоваться только в соответствующих связях WLAN.
В случае конфиденциальности на среде:
Частный ведомый MAC-адрес, столь же используемый в коммуникации SAP, построен, как показано на рисунке 18.
LS-байт | Байт 1 | Байт 2 | Байт 3 | Байт 4 | Байт MS |
Стоимость поставщика | Пользовательская стоимость |
Отдельный, локальный | Ведомый определитель | TempID |
Рисунок 18 - Ведомый MAC-адрес
В случае, если стоимость поставщика не известна в приемной станции, она должна быть установлена в 0x000002. Ведомый определитель детализирован в
разделе 13.
Частный основной MAC-адрес, столь же используемый в коммуникации SAP, построен, как показано на рисунке 19.
LS-байт | Байт 1 | Байт 2 | Байт 3 | Байт 4 | Байт MS |
Стоимость поставщика | Пользовательская стоимость = Основной идентификатор, MID |
Отдельный, локальный | Основной определитель | Идентификатор |
Рисунок 19 - Основной MAC-адрес
В случае, если стоимость поставщика не известна в приемной станции, она должна быть установлена в 0x000002. Основной определитель детализирован в
разделе 13.
MAC-адрес трансляции, столь же используемый в коммуникации SAP, построен, как показано на рисунке 20.
LS-байт | Байт 1 | Байт 2 | Байт 3 | Байт 4 | Байт MS |
Стоимость поставщика | Пользовательская стоимость |
0xFFFFFF | Основной определитель | TempID = 0xFFFF |
Рисунок 20 - MAC-адрес вещания
В случае, если стоимость поставщика не известна в приемной станции, она должна быть установлена в 0xFFFFFF. Основной определитель детализирован в
разделе 13.
14.2.5 Фрагментация и дефрагментация
CALM-IR может использовать более короткие пакеты, чем требуемый для IPv6, т.е. 1280 байтов. Таким образом, процедура фрагментации, разработанная в MAC, который невидим для верхних уровней, должна быть реализована. Независимый от фактически используемой длины кадра IR-MAE должен сообщить о длине пакета по крайней мере 1500 байтов к управлению CALM; большим ценностям может быть позволено зависеть от фактической реализации.
Точка доступа к службе управления CALM определена в ИСО 21217 и ИСО 21218.
15. Практика принятия других стандартов и принятых на международном уровне
В различных регионах ITU серия CALM международных стандартов, включая ИСО 21214, должна действовать в местных нормативных актах и в среде, и к параметрам, определенным в соответствующих регулирующих положениях ITU и международных стандартах.
Примечание - Принятие других стандартов и принятые на международном уровне методы будут представлены в ИСО 21217.
Все оборудование передачи должно быть ясно и постоянно отмечено для заявления, регулирующим положениям которого оно соответствует.
Все оборудование передачи должно быть предоставлено четкими указаниями относительно настройки и корректировки для встречи регулирующих положений страны, в которой оно должно использоваться.
Все оборудование передачи должно быть ясно и постоянно отмечено для указания, какое CALM-взаимодействие оно поддерживает.
Все оборудование передачи должно быть ясно и постоянно отмечено, чтобы проинформировать, что оно должно использоваться только в тех случаях, когда скорректировано для соблюдения национального регламента радиосвязи, имеющего отношение к частотам, в которых оно работает.
17. Декларация о патентовании и интеллектуальной собственности
Примечание - Настоящая форма используется для записи отчета о владельце, чьи запатентованные устройство или проект (в разработке или утвержденный) могут быть использованы лицом или организацией, выполняющими работы в соответствии с национальным стандартом ИСО.
Таблица 35
Таблица патентов
Номер патента | Область применения, номер и заглавие |
1 | Изобретатели: | 6,195,025, Hassner, et al., 27 февраля 2001 г. |
Martin Aureliano Hassner, Mountain View, CA (US) Nyles Heise, San Jose, CA (US) Walter Hirt, Wettswil (CH) Barry Marshall Trager, Yorktown Heights, NY (US) | Методы и средства для обратимого отображения двоичных последовательностей в частоте 2/3 (1,k) пробег - длина - ограниченные кодированные последовательности с максимальной плотностью перехода, ограничения |
Правопреемники: | |
International Business Machines Corporation, Armonk, NY (US) | International Business Machines Corporation Intellectual Property & Licensing North Castle Drive |
Адрес: | Armonk, New York 10504 |
Телефон: | Факс: (914) 765-4420 |
Контактное лицо: | Директор Intellectual Property & Licensing North Castle Drive Armonk, New York 10504 FAX - Attention: Director of Intellectual Property & Licensing |
2 | Изобретатели: | United States Patent 6,344,807, Hassner, et al., February 5, 2002 |
Hassner; Martin (Mountain View, CA); Heise; Nyles (San Jose, CA); Hirt; Walter (Wettswil, CH) | Генератор пакета кадра для создания закодированных пакетов фрейма и способ его получения |
Правопреемники: | |
International Business Machines Corporation (Armonk, NY) | International Business Machines Corporation Intellectual Property & Licensing North Castle Drive |
Адрес: | Armonk, New York 10504 |
Телефон: | Факс: (914) 765-4420 |
Контактное лицо: | Директор Intellectual Property & Licensing North Castle Drive Armonk, New York 10504 FAX - Attention: Director of Intellectual Property & Licensing |
(обязательное)
КОДИРОВАНИЕ И КОРРЕКЦИЯ ОШИБОК ПРОФИЛЕЙ 0 И 1 И КОМАНД
A.1 Основное
Все информационные биты защищены битами коррекции ошибок (EC0, EC1, EC2, EC3) использование предварительного кода Хемминга длиной L = 12 и расстояние Хемминга минуты D = 3. Модификация сделана во избежание "всего нулевого" образца в пользу получателя.
Во время передачи данных битов в последовательности D0, D1, D2, D3, D4, D5, D6, D7 всегда передаются сначала и сопровождаются битами коррекции ошибок EC0 к EC3.
A.2 Кодирование
Кодирование битов - исправления согласно следующей формуле:

;

;

;

.
A.3 Передача
Закодированные биты передаются следующим образом (сначала наименее значительный бит):
D0 | D1 | D2 | D3 | D4 | D5 | D6 | D7 | EC0 | EC1 | EC2 | EC3 |
A.4 Прием и расшифровка
После приема следующий синдром вычисляется по полученным битам от R0 до R11. Дефектные биты показаны в таблице A.1.
Таблица A.1
Расшифровка таблицы
S0 | S1 | S2 | S3 | Результат |
1 | 1 | 1 | 1 | Все правильные биты |
0 | 0 | 1 | 1 | Дефект R0 |
0 | 1 | 0 | 1 | Дефект R1 |
0 | 0 | 0 | 1 | Дефект R2 |
0 | 1 | 1 | 0 | Дефект R3 |
0 | 0 | 1 | 0 | Дефект R4 |
1 | 0 | 0 | 1 | Дефект R5 |
1 | 0 | 1 | 0 | Дефект R6 |
1 | 1 | 0 | 0 | Дефект R7 |
0 | 1 | 1 | 1 | Дефект R8 |
1 | 0 | 1 | 1 | Дефект R9 |
1 | 1 | 0 | 1 | Дефект R10 |
1 | 1 | 1 | 0 | Дефект R11 |
Любая другая комбинация | Многократные ошибки в символе |

;

;

;

.
(обязательное)
КОДИРОВАНИЕ И МОДУЛЯЦИЯ ПРОФИЛЕЙ 2 - 6
B.1 Общий
В CALM-IR коммуникации профилируют 2 - 6 специальных форматов пакета (CALM-fast IR формат пакета - FCIR), на основе продолжительности пробега используется ограниченный код (RLL) HHH (1, 13).
HHH (1, 13) был специально разработан для инфракрасных каналов передачи, чтобы заботиться об определенных свойствах инфракрасной среды и компонентов, доступных для внедрения.
HHH (1, 13) имеет свойства, представленные в таблице B.1, которые делают его особенно полезным для IR-связей.
Таблица B.1
Свойства HHH (1, 13)
Собственность | Стоимость |
Кодовый уровень | 2/3 |
Максимальный рабочий цикл | 1/3 (~ 33%) |
Средний рабочий цикл | ~ 26% |
Минимальный рабочий цикл | 1/12 (~ 8,3%) |
Ограничения длины, которыми управляют | (d, k) = (1, 13) |
Самый долгий пробег из 10 | yyy '000'101'010'101'000'yyy |
Уровень чипа | 12 Mchips/s в 8 мегабитах/с 24 Mchips/s в 16 мегабитах/с 48 Mchips/s в 32 мегабитах/с 96 Mchips/s в 64 мегабитах/с 192 Mchips/s в 128 мегабитах/с |
B.2 FCIR-пакет
B.2.1 Формат пакета
Пакет FCIR имеет следующий формат, который гарантирует эффективную расшифровку, а также надлежащую синхронизацию и обнаружение ошибки.
Преамбула (PA) | Запустить (STA) | Полезный груз (PL) | CRC | Байт сброса (FB) | Остановиться (STO) |
B.2.2 Преамбула
PA преамбулы гарантирует надлежащую синхронизацию, даже если из пакета FCIR следует, что окончание команды MAC с нулем.
Это построено путем десятикратного связывания 24 периодов преамбулы (PP) чипа, где
PP = '100'010'010'001'001'001'000'100'
Чтобы сформировать 240 преамбул чипа,
PA = 'PP'PP'PP'PP'PP'PP'PP'PP'PP'PP'.
Сначала должны быть переданы крайние левые чипы PP и PA.
B.2.3 Запускают флаг
STA флага запуска допускает синхронизацию пакета.
STA является 48 последовательностями чипа:
STA ='100'101'010'100'100'010'000'001'001'010'101'001'000'001'010'000'.
Сначала должен быть передан крайний левый чип.
Датчик флага запуска должен объявить флаг как найденный, когда будет идеальная пара. Флаг содержит подпоследовательность '1001010101001', которая нарушает код HHH (1, 13). Эта подпоследовательность происходит дважды во флаге запуска и никогда не происходит в основном коде HHH.
B.2.4 Полезный груз
PL полезный груз является CALM-IR пакетом, который следует за одной из BLS MC команд MAC, CBS MC, MC-FBS, SMC MC, PAS MC, MC-TAck&, MC-TNAck&, MC-SR1, MC-SR2, MC-SR3, MC-SR4.
CRC32 для CALM-IR пакета должен быть вычислен, прежде чем CALM-IR пакет скремблируется.
B.2.5 Контроль циклическим избыточным кодом
Областью последовательности проверки кадра (FCS) являются 32-битовые поля, которые содержат стоимость контроля циклическим избыточным кодом (CRC) согласно алгоритму IEEE 802 CRC32.
Для справки полиномиал CRC32 определяется следующим образом:
CRC (x) = x32 + x26 + x23 + x22 + x16 + x12 + x11 + x10 +
+ x8 + x7 + x5 + x4 + x2 + x + 1.
CRC - расчетная область данных о полезном грузе, вычисленная перед HHH (1, 13) кодированием.
Байты данных о полезном грузе вводятся к этому вычислению в LSB начальный формат.
32-битный реестр CRC должен быть задан ко всем "1's" до вычисления CRC.
CRC 32 расчетный результат для каждого пакета обрабатывается как четыре байта данных, и каждый байт закодирован тем же способом, как данные о полезном грузе, например, это должно быть приложено к CALM-IR-пакету, прежде чем быть скремблировавшим и HHH (1, 13) закодированным.
B.2.6 Байт сброса
Байт сброса FB требуется, чтобы позволять полную расшифровку области CRC, и он обозначает конец основной части.
FB является 8-битной последовательностью FB = '00'00'00'00'. Это не должно скремблироваться и должно быть приложено к CRC перед HHH (1, 13) кодированием.
B.2.7 Флаг остановки
Флаг остановки STO указывает конец пакета FCIR.
STO является 48 последовательностями чипа:
STO = '001'001'010'101'001'000'100'000'100'101'010'100'100'000'100'000'.
Как флаг запуска, флаг остановки также содержит подпоследовательность '1001010101001', который нарушает HHH (1, 13) код. Эта подпоследовательность также происходит дважды во флаге остановки.
B.2.8 Шифрование и дешифрование
B.2.8.1 Эффекты и лимиты
Путем улучшения системы с функциями шифрования/дешифрования во время передачи данных/прием, каждый достигает обычно лучшей статистики рабочего цикла в HHH (1, 13) закодированного потока чипа канала; получающийся рабочий цикл сходится к среднему рабочему циклу кода (~ 26%) для типичных данных о полезном грузе. Важно отметить, что борьба не может полностью устранить возможные образцы рабочего цикла худшего случая в потоке передаваемого сигнала, который может следовать из определенных входных последовательностей данных. Однако шифрование может значительно сократить вероятность возникновения таких образцов худшего случая.
B.2.8.2 Шифрование и функции дешифрования
Примитивный полиномиал

,
где

указывает, что 2 дополнения по модулю или, эквивалентно, логическая исключительная ИЛИ работа (XOR) должны использоваться для реализации этих функций.
Операции шифрования и функций дешифрования должны быть выполнены согласно принципам механизмов пакета синхронизации шифрования/дешифрования (FSS).
Примечание - FSS не вводит память в сигнальный тракт, т.е. FSS не увеличивает задержку кодирования/расшифровки, и это не ухудшает ошибочное распространение в расшифрованном потоке данных.
B.2.8.3 Инициализация шифратора/дешифратора случайных последовательностей
a) Режим передачи:
Сдвиговый регистр шифратора должен быть инициализирован со следующим положением, которое является (x8, x7, x6, x5, x4, x3, x2, x1) = (1, 1, 1, 1, 1, 1, 1, 1).
b) Режим приема:
Сдвиговый регистр дешифратора случайных последовательностей должен быть инициализирован со следующим положением, которое является (x8, x7, x6, x5, x4, x3, x2, x1) = (1, 1, 1, 1, 1, 1, 1, 1).
B.2.9 HHH (1, 13) кодирование и расшифровка
B.2.9.1 Таблица изменения состояния
Определение кодирования HHH (1, 13) кода предоставлено таблицей изменения состояния.
Таблица изменения состояния обычно реализовывалась как ряд уравнений булевой логики и флип-лопов.
Определенное HHH (1, 13) кодовое строительство требует следующей интерпретации записей в таблице относительно отображения внутренних вводов и текущего состояния в следующие государственный и внутренний результаты соответственно:
- определенная пара данных

достижение ввода кодирующего устройства сначала связано с соответствующим следующим уравнением

. Это происходит, как только данные D* продвинулись в позиции внутренних битов данных B1 = (b
1, b
2), т.е. когда

. На втором шаге, во время следующего цикла кодирования, государство S берет стоимость N*, т.е.

так, чтобы S был теперь связан с

. В том же цикле внутренней кодовой комбинации

вычислен теперь перенос информации D*. Таким образом, обращаясь к
таблице B.2, данный внутренний входной вектор (b
1, b
2, b
3, b
4, b
5, b
6) связывает биты (b
1, b
2) со следующим положением N, и данное положение S связывает пару данных (перед b
1, b
2) с результатом C. Другими словами, попарные ценности для N и C, как перечислено в
таблице B.2, не связаны с той же входной парой данных;
- инициализация кодирующего устройства: положение S = (s
1, s
2, s
3) = (1, 0, 0) также используется в качестве начального состояния кодирующего устройства, т.е. обозначения с

- первая пара битов данных, которые будут закодированы, положение S вынуждено принять значения (1, 0, 0), то, когда биты

продвинулись в кодирование, замыкает таким образом, что внутренние вводы

.
Таблица B.2
HHH (1, 13) - Изменения состояния кодирования
Текущее состояние: S = (s, s, s) 1 2 3 | Государственный/внутренний результат: N = (n1, n2, n3)/C = (c1, c2, c3) |
Внутренние вводы: (b1, b2, b3, b4, b5, b6) |
00xxxx | 01xxxx | 10xxxx | 1100xx | 1101xx | 111011 | 1110 (11) | 1111xx |
0 0 0 | 000/010 | 001/010 | 010/010 | 111/010 | 100/010 | 111/010 | 011/010 | 011/010 |
0 0 1 | 000/001 | 001/001 | 100/001 | 100/010 | 111/101 | 100/010 | 100/010 | 100/010 |
0 1 0 | 000/100 | 001/100 | 010/100 | 111/100 | 100/100 | 111/100 | 011/100 | 011/100 |
0 1 1 | 000/101 | 001/101 | 100/101 | 100/100 | 011/000 | 100/100 | 100/100 | 100/100 |
1 0 0 | 000/000 | 001/000 | 010/000 | 011/000 | 011/000 | 011/000 | 011/000 | 011/000 |
1 1 1 | 100/000 | 100/000 | 111/000 | 100/000 | 100/000 | 100/000 | 100/000 | 100/000 |
Примечание - Положение (s1, s2, s3) = (1, 0, 0) является требуемым начальным состоянием во время одного цикла кодирования, где внутренняя входная пара B1 = (b, b) представляет первую пару данных, которая будет закодирована; 'x' имеет значение не заботиться. |
B.2.9.2 HHH (1, 13) уравнения кодирования
Таблица изменения состояния выше может быть реализована как ряд уравнений кодирования как ниже.
Определить следующие векторы сигнала кодировщика, где увеличение индексов означает увеличивать время в эквивалентных последовательных потоках сигналов:
Ввод данных: D = (d1, d2)
Примечание - Первый ввод данных, который будет закодирован:

.
Текущее состояние: S = (s1, s2, s3).
Следующее состояние: N = (n1, n2, n3).
Внутренние данные:
B1 = (B11, B12) = (b1, b2);
B2 = (B21, B22) = (b3, b4);
B3 = (B31, B32) = (b5, b6).
Внутренняя кодовая комбинация: C = (c1, c2, c3).
Кодирующее устройство произвело: Y = (Y1, Y2, Y3).
Начальные условия (запуск): S = (s
1, s
2, s
3) = (1, 0, 0), когда

С примечанием логического оператора,

,
m + n = m или n,
mn = m или n,
компоненты N и C вычислены с точки зрения компонентов S, B1, B2 и B3 со следующими булевыми выражениями:

,

,

,
c1 = s1s2,

,

.
Векторы B1, B2, B3, S и Y являются результатами фиксаторов; в каждом цикле кодирования они обновляются следующим образом:

,

и

.
B.2.9.3 HHH (1, 13) уравнения расшифровки
Функция расшифровки HHH (1, 13) определяется следующими уравнениями:
Примечание - Увеличение индексов означает увеличение времени в эквивалентных последовательных потоках сигналов.
Полученная кодовая комбинация: R = (r1, r2, r3).
Внутренние кодовые комбинации:
Y4 = (y10, y11, y12),
Y3 = (y7, y8, y9),
Y2 = (y4, y5, y6),
Y1 = (y1, y2, y3).
Внутренние переменные:

;

;

;

;

;

;
W = (w1, w2);
V = (v1, v2).
Декодер произвел: U = (u1, u2).
Начальные условия (запуск): не определены.
Компоненты X1, X2 и X3 вычислены со следующими булевыми выражениями:
x1 = v1;

;

;

;
x5 = y10;
x6 = ZBZCZD.
Векторы Y1, Y2, Y3, Y4, U, V и W являются результатами фиксаторов; в каждом цикле расшифровки они обновляются следующим образом:

,
где U - расшифрованная пара битов данных.
Примечание - И Z
B, и Z
C могут быть непосредственно получены из задержанных версий Z
D:

.
B.2.10 Быстрая обработка пакета: резюме
Рисунок B.1 показывает процесс построения полного CALM-fast IR пакета (FCIR-пакет).
┌─────────────────────────────────────────────────────────────────────────┐
│ ┌──────────────────┐ │
│ │ CALM-IR packet │ │
│ └─────────┬────────┘ │
│ compute CRC │
│ │ │
│ \/ │
│ ┌────────────────────────────┬───────┐ │
│ │ CALM-IR packet │ CRC │ │
│ └──────────────────┬─────────┴───────┘ │
│ scramble │
│ │ │
│ \/ │
│ ┌────────────────────────────────────┐ │
│ │ scrambled CALM-IR packet and CRC │ │
│ └──────────────────┬─────────────────┘ │
│ append flush byte (FB) │
│ │ │
│ \/ │
│ ┌──────────────────────────────────────┬───────┐ │
│ │ scrambled CALM-IR packet and CRC │ FB │ │
│ └───────────────────────┬──────────────┴───────┘ │
│ Encode │
│ │ │
│ \/ │
│ ┌────────────────────────────────────────────────────┐ │
│ │ HHH (1, 13) encoded CALM-IR packet, CRC and FB │ │
│ └──────────────────────────┬─────────────────────────┘ │
│ append leading STA and PA and trailing STO │
│ │ │
│ \/ │
│ ┌──────┬───────┬──────────────┬───────┬──────┬───────┐ │
│ │ PA │ STA │ Payload PL │ CRC │ FB │ STO │ │
│ └──────┴───────┴───────────┬──┴───────┴──────┴───────┘ │
│ │ │
│ \/ │
│ ┌────────────┐ │
│ │ transmit │ │
│ └────────────┘ │
└─────────────────────────────────────────────────────────────────────────┘
Рисунок B.1 - CALM-fast IR обработка пакета
(справочное)
БЮДЖЕТ ПИТАНИЯ СВЯЗИ
C.1 Общий
Бюджет питания связи должен принять во внимание оба направления: ведущее устройство, чтобы работать в качестве ведомого устройства, и работать в качестве ведомого устройства ведущему устройству, рассматривая асимметричную связь, имеющую передатчики с различным питанием и получателей с различной чувствительностью в приемниках связи.
Существуют экономичные и технические причины иметь несимметричные связи. В целом бортовые единицы (OBUs) должны быть экономно оценены, так как обычно OBUs используются значительно больше, чем придорожные единицы (RSUs). Это означает, что OBUs имеют передатчики с более низким питанием, чем RSUs, и, с другой стороны, чувствительность получателя RSUs должна быть увеличена для достижения баланса питания в обоих направлениях.
В дополнение к этому OBUs часто используются с батарейным питанием и поэтому должны использовать более низкие передатчики питания.
C.2 Определения бюджета питания связи
C.2.1 Расстояние связи
Расстояние связи d - расстояние между коммуникационными устройствами в метрах.
C.2.2 Потери при передаче
Все потери (L) выражены в децибелах:

.
Потери при передаче (LTR) состоят из потери тракта и дополнительных потерь: LTR = LP + LAD.
C.2.3 Потеря тракта
Потеря тракта (LP) является связанной с расстоянием потерей без любых медиаустройств с потерями между передатчиком и получателем:
LP = 10 log D2,
где D = d/1.
Таблица C.1
Потеря тракта в связи с расстоянием связи
Потеря тракта | Расстояние связи, d, м |
10 | 20 | 50 | 100 | 200 | 500 | 1000 |
LP, дБ | 20 | 26 | 34 | 40 | 46 | 54 | 60 |
C.2.4 Дополнительные потери
C.2.4.1 Дополнительные потери вычисляю по формуле:
LAD = LW + LWC + LSUN,
где LW - потери вследствие ветрового стекла и защиты от солнца (покрытие или фольга);
LWC - потери вследствие климатических условий (дождь, снег и туман);
LSUN - потери вследствие солнечного света.
C.2.4.2 IR измерения потерь на всех видах ветровых стекол были исследованы от многих независимых учреждений. Все ветровые стекла, измеренные до сих пор, были оценены ниже 7 дБ (большинство в диапазоне от 1,5 до 5,5 дБ).
C.2.4.3 Измерения IR потерь под многими климатическими условиями были исследованы многими независимыми учреждениями. Соответствующие результаты даны в таблице C.2.
Таблица C.2
Потеря IR под различными климатическими условиями
Погодные условия | Инфракрасная потеря, дБ на различных расстояниях связи, м |
10 | 20 | 50 | 100 | 200 | 500 | 1000 |
Ясная погода | < 1 | < 1 | < 1 | < 1 | < 1 | < 1 | < 1 |
Небольшой дождь | < 1 | < 1 | < 1 | < 1 | < 1 | 1 | 2 |
Проливной дождь | < 1 | < 1 | < 1 | 1,5 | 3 | 7,5 | 15 |
Туман | < 1 | < 1 | 4 | 8 | 16 | 40 | 80 |
Плотный туман | < 1 | 1,6 | 8 | 16 | 32 | 80 | 160 |
C.2.4.4 Вызванные солнечным светом потери при надлежащей конструкции приемника могут быть сохранены ниже 2 дБ даже против полного солнечного света.
C.2.4.5 Дополнительные потери (особенно климатические условия) нужно рассмотреть ввиду нескольких реалистических сценариев:
- проливной дождь и туман не происходят одновременно;
- яркое солнце не происходит одновременно с плохой погодой;
- защищенные от солнца ветровые стекла ("покрытые ветровые стекла") сокращают также потери, вызванные солнцем.
C.2.5 Симметричные и асимметричные связи
Физический уровень инфракрасная CALM связи может быть или "симметричным" или "асимметричным", выбор которого сделан согласно основным эксплуатационным характеристикам.
В симметричной связи параметры питания передатчика, а также параметры чувствительности получателя обоих коммуникационных партнеров равны, тогда как в асимметричных связях те параметры отличаются.
Для поддержки надлежащего выбора для данного применения или класса применений соответствующий передатчик и параметры получателя организованы в "классах приемопередатчика".
C.2.6 Комбинации передатчика/получателя
Таблица C.3 дает достижимые расстояния (не рассматривая "дополнительные потери") в свободном пространстве.
Таблица C.3
Достижимое расстояние для различных комбинаций
RX и классов TX
Класс TX | Достижимое расстояние для данного класса RX, м |
R1 | R2 | R3 | R4 | R5 | R6 | R7 | R8 | R9 | R10 | R11 |
T1 | 1,25 | 1,75 | 2,5 | 3,5 | 5 | 7 | 10 | 14 | 20 | 28 | 40 |
T2 | 1,75 | 2,5 | 3,5 | 5 | 7 | 10 | 14 | 20 | 28 | 40 | 56 |
T3 | 2,5 | 3,5 | 5 | 7 | 10 | 14 | 20 | 28 | 40 | 56 | 80 |
T4 | 3,5 | 5 | 7 | 10 | 14 | 20 | 28 | 40 | 56 | 80 | 110 |
T5 | 5 | 7 | 10 | 14 | 20 | 28 | 40 | 56 | 80 | 110 | 160 |
T6 | 7 | 10 | 14 | 20 | 28 | 40 | 56 | 80 | 110 | 160 | 250 |
T7 | 10 | 14 | 20 | 28 | 40 | 56 | 80 | 110 | 160 | 250 | 350 |
T8 | 14 | 20 | 28 | 40 | 56 | 80 | 110 | 160 | 250 | 350 | 500 |
T9 | 20 | 28 | 40 | 56 | 80 | 110 | 160 | 250 | 350 | 500 | 700 |
T10 | 28 | 40 | 56 | 80 | 110 | 160 | 250 | 350 | 500 | 700 | 1 000 |
T11 | 40 | 56 | 80 | 110 | 160 | 250 | 350 | 500 | 700 | 1000 | > 1000 |
T12 | 56 | 80 | 110 | 160 | 250 | 350 | 500 | 700 | 1000 | > 1000 | > 1000 |
T13 | 80 | 110 | 160 | 250 | 350 | 500 | 700 | 1000 | > 1000 | > 1000 | > 1000 |
T14 | 110 | 160 | 250 | 350 | 500 | 700 | 1000 | > 1000 | > 1000 | > 1000 | > 1000 |
T15 | 160 | 250 | 350 | 500 | 700 | 1000 | > 1000 | > 1000 | > 1000 | > 1000 | > 1000 |
T16 | 250 | 350 | 500 | 700 | 1000 | > 1000 | > 1000 | > 1000 | > 1000 | > 1000 | > 1000 |
Примечание - Поскольку чувствительность связана с минимальным уровнем шума, минимальный уровень шума зависит от квадратного корня пропускной способности получателя. Все таблицы основываются на определенной скорости передачи данных. Изменение скорости передачи данных будет влиять на чувствительность получателя.
C.2.7 Предел передачи
Предел передачи является пределом для всего дополнительного LAD потерь в децибелах.
C.2.8 Динамический диапазон приемника
RD динамического диапазона получателя является максимальным профилем облученности, которым получатель должен быть в состоянии обращаться в связи с минимальной облученностью, вычисленной:

,
где ER, max - максимальная облученность,
ER, min - минимальная облученность.
C.2.9 Примеры вычисления бюджета питания связи
C.2.9.1 Пример 1
Мы принимаем данный OBU со следующими характеристиками:
Минимальная чувствительность облученности получателя OBU:
ER, min_OBU = 8 мВт/м2.
Минимальная интенсивность источника излучения передатчика OBU:
Ie, min_OBU = 6 Вт/ср.
Мы хотим вычислить минимальный источник излучения передатчика "параметров минимальной интенсивности RSU" и "чувствительность минимума облученности получателя".
Другие значения: d = 20 м.
Расстояние связи:
Дополнительные потери:
ветровое стекло с солнцезащитным покрытием: LW = 7 дБ (max);
климатическое условие (дождь, снег и туман): LWC = 4 дБ (max);
наведенные помехи солнечного света: Lsun = 2 дБ.
Рассчитанные значения коэффициента потерь:
путь потерь: LP = 26 дБ;
дополнительные потери: LAD = 13 дБ;
суммарные потери при передаче: LTR = 39 дБ.
Расчет минимального излучения профиля приемника RSU (ER,min):

.
Расчет минимального излучения передатчика RSU (ER,min):
Это обратный путь
C.2.9.2 Пример 2
Сейчас мы уже выбрали классы передатчика и приемники, мы хотим рассчитать максимальное расстояние между OBU и RSUЮ, которое данная пара может занимать.
Данное максимальное расстояние является меньшим значением расстояния

N и

и вычисляется, как показано ниже.
1 Направление

OBU интенсивность излучения: 6 Вт/ср.
Чувствительность RSU приемника: 0,5 МВт/м2.

.
2 Направление

RSU интенсивность излучения: 100 Вт/ср.
Чувствительность приемника OBU: 8 МВт/м2.

.

.
C.2.10 Схема бюджета питания связи
Рисунок C.1 - Схема бюджета питания связи
(справочное)
СООБРАЖЕНИЯ НАПРАВЛЕННОСТИ СВЯЗИ
Общие положения D.1
Для направленной связи с CALM устройствами должна быть составлена трехмерная система координат (xCALM, yCALM, zCALM). Происхождение системы координат соответствует источнику луча. Ось X CALM устройства определяется как основное направление.
На
рисунке 4 показано, что азимут поворачивает

и угол повышения

оси луча D (направление опорного направления) находится в связи с основным направлением.
Дальнейшие параметры направления: горизонтальный угол открытия

и вертикальный вводный угол

, которые указаны в связи с осью луча D на
рисунке 5.
D.2 Пример многолучевой антенны
Рисунок D.1 показывает пример многолучевой антенны и связанных параметров управления.
Параметры управления направлением в этом сценарии определяются следующим образом:

;

;

.
Рисунок D.1 - Многолучевая антенна
D.3 Коммуникационные зоны, упрощенная иллюстрация
На рисунках D.2 и
D.3 показаны примеры коммуникационных зон в стороне и упрощенном представлении соответственно. Зональные используемые имена являются короткими путями, как определено в
таблицах 10 и
11.
Рисунок D.2 - Вид сбоку коммуникационных зон
Рисунок D.3 - Коммуникационные зоны, вид сверху
(справочное)
СОВМЕСТИМОСТЬ CALM И ИНЫХ IR СИСТЕМ
E.1 Общие положения
Существует много систем non-CALM-IR в глобальной среде ИТС, некоторые из них близки к CALM-IR, некоторые абсолютно собственные.
Примерами является IRVD в Японии, малазийской системе взимания дорожной пошлины и системе взимания пошлины с грузового транспорта в Германии.
При определении настоящего стандарта было одно из существенных требований, что вышеупомянутые системы должны быть в состоянии по крайней мере сосуществовать с CALM-IR без вредной взаимной помехи, даже если при помощи той же оптической группы в перекрывающихся коммуникационных зонах, и что при определенных условиях миграционном пути от тех систем к полной CALM-IR системе быть выполнимым.
E.2 Сосуществование
E.2.1 Создающий свободное эфирное время для пользователей non-CALM-IR
Для предоставления возможности соответствующего сосуществования для систем non-CALM-IR, находящихся в той же или перекрывающейся коммуникационной зоне, любое CALM-IR ведущее устройство (или находящийся на обочине или в транспортном средстве) предоставляет свободное эфирное время всему оборудованию non-CALM-IR, приходящему следующим образом:
- CALM-IR ведущее устройство не использует каждое CALM-IR окно для CALM-IR коммуникаций, но оставляет определенное окно "пустым", чтобы позволить эфирному времени использоваться другими системами без любой интерференции с CALM-IR;
- чтобы сигнализировать активным CALM-IR ведомым устройствам, что окно не должно использоваться для CALM-IR коммуникаций, CALM-IR ведущее устройство включает "окно совместимости" в FOT;
- окно совместимости остается неиспользованным CALM-IR единицами; эфирное время может использоваться системами non-CALM-IR, если там существует механизм синхронизации между CALM-IR и системами non-CALM-IR. Возможные методы синхронизации описаны в
E.2.2;
- когда окно совместимости завершилось (отмеченный W-sync, выпущенной CALM-IR ведущим устройством в ее конце), все управление автоматически отступает к CALM-IR ведущему устройству.
E.2.2 Синхронизация CALM-IR и систем non-CALM-IR
E.2.2.1 Принцип синхронизации
Существуют два ключевых вопроса, когда требуется синхронизация между CALM-IR и системами non-CALM-IR:
- система non-CALM-IR должна быть в состоянии признать, что CALM-IR ведущее устройство создало "свободное эфирное время" для "неспокойного" использования. Эта функция может быть выполнена как "по проводам" (в случае, если оба ведущих устройства устойчиво установлены и соразмещены) или "беспроводно", или при помощи сигнала синхронизации, который будет испускаться CALM-IR ведущим устройством, или неявно, если "non-CALM-IR ведущее устройство" может интерпретировать CALM-IR пакет;
- определенная система non-CALM-IR должна быть в состоянии признать, что "свободное эфирное время" ей выделено. Этот шаг может быть выполнен определенным сигналом синхронизации, зарезервированным для определенной "non-CALM-IR" системы, испускаемой любым ведущим устройством "non-CALM-IR" системы (в случае, если шаг 1 был выполнен "по проводам"), или ведущим устройством CALM-IR системы после W-sync, отмечающей окно совместимости.
E.2.2.2 Создание достаточного эфирного времени для систем non-CALM-IR
Очевидно, что окно совместимости использует эфирное время рамы.
Если даже самая длинная позволенная рама занята слишком многими частными окнами, то недостаточное эфирное время можно предоставить системе non-CALM-IR, CALM ведущее устройство может временно отстранить некоторых или все CALM-IR ведомые устройства, чтобы быть в состоянии распределить достаточно длинное окно совместимости.
Конечно, это не должно быть сделано в каждом последовательном кадре (это отключило бы все CALM-IR коммуникации), но с частотой повторения, соответствующей полным системным требованиям.
Для приостановки ведомых устройств MC-SUS команд MAC или MC-SUA могут использоваться.
E.2.2.3 Зарезервированный образец синхронизации
Во время разработки настоящего стандарта известны четыре non-CALM-IR системы, которые могут совместно работать с CALM-IR в области ИТС:
- японская система IRVD;
- немецкая система взимания пошлины грузовика;
- малазийская система взимания пошлины дороги, интерфейсы IrDA.
Последующие образцы были выбраны после тщательного исследования вышеупомянутой системы.
Таблица E.1
Зарезервированные идентификационные образцы
для систем non-CALM-IR
Система | Частота | Цикл |
Японская система IRVD | |
Немецкая система взимания пошлины грузовика | 85 кГц | 4 |
Система взимания пошлины Malaysian road | 85 кГц | 4 |
Интерфейсы IrDA | tbd | tbd |
E.2.2.4 Ограничения и ограничения
Во избежание любой вредной взаимной помехи между CALM-IR совместимыми с системами non-CALM-IR должны быть выполнены следующие условия:
a) CALM система не должна использовать сигнал или код, который мог бы быть неправильно истолкован как CALM-IR F-Sync или W-Sync;
b) CALM система не должна реагировать на CALM-IR F-sync или W-sync;
c) пакет системы non-CALM-IR не должен быть длиннее, чем 64 мс, для помещений в самое длинное свободное эфирное время, которое может предоставить CALM-IR система;
d) CALM-IR система должна предоставить как минимум свободное эфирное время достаточно долго для максимального пакета non-CALM системы, пока удовлетворяется
условие c);
e) ведущие устройства non-CALM-IR, установленные в транспортных средствах, признают образец синхронизации, назначенный на их систему, и рассматривают следующее эфирное время, как назначено на non-CALM систему;
f) чтобы позволить IRVD и CALM-IR существовать вместе, они должны быть установлены так, чтобы их коммуникационные области маяка не могли перекрыть друг друга независимо от
условий a) -
e).
(справочное)
О СООТВЕТСТВИИ ССЫЛОЧНЫХ МЕЖДУНАРОДНЫХ СТАНДАРТОВ
ССЫЛОЧНЫМ НАЦИОНАЛЬНЫМ СТАНДАРТАМ
Таблица ДА.1
Обозначение ссылочного международного стандарта | Степень соответствия | Обозначение и наименование соответствующего национального стандарта |
МЭК 60825-12 | IDT | ГОСТ Р МЭК 60825-12-2009 "Безопасность лазерных продуктов. Часть 12. Безопасность систем оптической связи свободного пространства используется для передачи информации" |
Примечание - В настоящей таблице использовано следующее условное обозначение степени соответствия стандарта: - IDT - идентичный стандарт. |
[1] | МЭК 60825-12 | Безопасность лазерных продуктов. Часть 12. Безопасность систем оптической связи свободного пространства используется для передачи информации |