Главная // Актуальные документы // ГОСТ Р (Государственный стандарт)СПРАВКА
Источник публикации
М.: Стандартинформ, 2016
Примечание к документу
Документ
введен в действие с 1 апреля 2017 года.
Название документа
"ГОСТ Р ИСО 14389-2016. Национальный стандарт Российской Федерации. Материалы текстильные. Определение содержания фталатов. Метод с применением тетрагидрофурана"
(утв. и введен в действие Приказом Росстандарта от 26.04.2016 N 276-ст)
"ГОСТ Р ИСО 14389-2016. Национальный стандарт Российской Федерации. Материалы текстильные. Определение содержания фталатов. Метод с применением тетрагидрофурана"
(утв. и введен в действие Приказом Росстандарта от 26.04.2016 N 276-ст)
Утвержден и введен в действие
агентства по техническому
регулированию и метрологии
от 26 апреля 2016 г. N 276-ст
НАЦИОНАЛЬНЫЙ СТАНДАРТ РОССИЙСКОЙ ФЕДЕРАЦИИ
МАТЕРИАЛЫ ТЕКСТИЛЬНЫЕ
ОПРЕДЕЛЕНИЕ СОДЕРЖАНИЯ ФТАЛАТОВ.
МЕТОД С ПРИМЕНЕНИЕМ ТЕТРАГИДРОФУРАНА
Textiles. Determination of the phthalate content.
Tetrahydrofuran method
(ISO 14389:2014,
Textiles - Determination of the phthalate content -
Tetrahydrofuran method, IDT)
ГОСТ Р ИСО 14389-2016
Дата введения
1 апреля 2017 года
1 ПОДГОТОВЛЕН Техническим комитетом по стандартизации ТК 412 "Текстильная и легкая промышленность", открытым акционерным обществом "Всероссийский научно-исследовательский институт сертификации" (ОАО "ВНИИС") на основе собственного перевода на русский язык англоязычной версии стандарта, указанного в пункте 4
2 ВНЕСЕН Управлением технического регулирования и стандартизации Федерального агентства по техническому регулированию и метрологии
3 УТВЕРЖДЕН И ВВЕДЕН В ДЕЙСТВИЕ
Приказом Федерального агентства по техническому регулированию и метрологии от 26 апреля 2016 г. N 276-ст
4 Настоящий стандарт идентичен международному стандарту ИСО 14389:2014 "Текстиль. Определение содержания фталатов. Метод с применением тетрагидрофурана" (ISO 14389:2014 "Textiles - Determination of the phthalate content - Tetrahydrofuran method", IDT).
Наименование настоящего стандарта изменено относительно наименования указанного международного стандарта для увязки с наименованиями, принятыми в существующем комплексе национальных стандартов Российской Федерации
5 ВВЕДЕН ВПЕРВЫЕ
Правила применения настоящего стандарта установлены в ГОСТ Р 1.0-2012
(раздел 8). Информация об изменениях к настоящему стандарту публикуется в ежегодном (по состоянию на 1 января текущего года) информационном указателе "Национальные стандарты", а официальный текст изменений и поправок - в ежемесячном информационном указателе "Национальные стандарты". В случае пересмотра (замены) или отмены настоящего стандарта соответствующее уведомление будет опубликовано в ближайшем выпуске ежемесячного информационного указателя "Национальные стандарты". Соответствующая информация, уведомление и тексты размещаются также в информационной системе общего пользования - на официальном сайте Федерального агентства по техническому регулированию и метрологии в сети Интернет (www.gost.ru)
ПРЕДУПРЕЖДЕНИЕ - Настоящий стандарт требует применения веществ и/или процедур, которые могут быть опасными для здоровья, если не будут предприняты адекватные меры предосторожности. Стандарт рассматривает только вопросы технической пригодности и не освобождает пользователя от правовых обязательств, связанных с охраной здоровья и обеспечением безопасности на любом этапе работы. При разработке стандарта предполагалось, что выполнение его положений будет должным образом осуществляться квалифицированным и опытным персоналом.
Настоящий стандарт устанавливает метод определения содержания фталатов в текстильных материалах с применением газовой хромато-масс-спектрометрии с масс-селективным детектором [ГХ-МС (GC-MS)].
Настоящий стандарт применим к текстильным материалам, в которых существует риск присутствия некоторых фталатов.
В настоящем стандарте применены следующие термины с соответствующими определениями:
2.1 пластифицированный или смягченный материал (plasticized or softened material): Пластический материал, обработанный химическими веществами для придания ему большей гибкости.
Примечание - В настоящем стандарте химическими веществами являются фталаты.
Пример - Пластические материалы: покрытие, связующее вещество пигментной печати и т.п.
2.2 полностью обработанный текстильный материал (overall treated textile): Текстильный материал со сплошной отделкой, покрытием или рисунком.
2.3 локально обработанный текстильный материал (locally treated textile): Текстильный материал с локализованной отделкой, покрытием или рисунком.
2.4 представительный образец (representative specimen): Образец, полученный путем объединения отдельных образцов всех различных обработанных участков и окрасок.
Фталаты экстрагируют из испытуемого образца текстильного материала с использованием ультразвукового генератора с тетрагидрофураном. Поскольку пластический полимер частично или полностью растворяется, экстракцию фталата проводят после осаждения растворенного полимера, используя подходящий растворитель (ацетонитрил, н-гексан и т.п.). После центрифугирования и разведения экстракта до определенного объема используют ГХ-МС для идентификации отдельных фталатов в образце и количественного определения с помощью внутреннего стандарта (IS).
Если не установлено другое, используют только реактивы признанной аналитической чистоты.
4.1 Тетрагидрофуран (THF), CAS номер: 109-99-9.
4.2 Растворители, используемые для осаждения, например:
4.2.1 Ацетонитрил, CAS номер: 75-05-8;
4.2.2 н-Гексан, CAS номер: 110-54-3.
4.3 Ди-циклогексил фталат (DCHP), CAS номер: 84-61-7, внутренний стандарт (IS).
4.4 Ди-изо-нонил фталат (DINP), CAS номер: 28553-12-0 или 68515-48-0.
4.5 Ди-(2-этилгексил) фталат (DEHP), CAS номер: 117-81-7.
4.6 Ди-н-октил фталат (DNOP), CAS номер: 117-84-0.
4.7 Ди-изо-децил фталат (DIDP), CAS номер: 26761-40-0 или 68515-49-1.
4.8 Бутил бензил фталат (BBP), CAS номер: 85-68-7.
4.9 Ди-бутил фталат (DBP), CAS номер: 84-74-2.
4.10 Ди-изобутил фталат (DIBP), CAS номер: 84-69-5.
4.11 Ди-пентил фталат (DPP), CAS номер: 131-18-0.
4.12 Ди-изо-гептил фталат (DIHP), CAS номер: 71888-89-6.
4.13 Ди-метоксиэтил фталат (DMEP), CAS номер: 117-82-8.
5.1 Газовый хромато-масс-спектрометр (ГХ-МС) с масс-селективным детектором (МСД/MSD).
5.2 Виала объемом 40 см
3.
5.3 Термостатическая ультразвуковая ванна с частотой (40 +/- 5) кГц.
5.4 Стеклянные колбы со стеклянными пробками объемом 100 см3.
5.5 Калиброванные мерные колбы объемом 50 и 100 см3.
5.6 Мерная градуированная пипетка объемом 10 и 20 см
3.
5.7 Весы с разрешением 0,1 мг.
5.8 Водяная баня.
5.9 Ротационный испаритель.
6. Порядок проведения испытаний
ПРЕДУПРЕЖДЕНИЕ - Пары органических растворителей отличаются сильной воспламеняемостью, особенно при высокой температуре. Стеклянную посуду перед использованием следует охлаждать.
Избегают непосредственного контакта между пробами и использованными стеклянной посудой и/или оборудованием, чтобы минимизировать перекрестное загрязнение. Стеклянную посуду после мытья следует промывать дополнительно 0,1 Н азотной кислотой, водой и на последней стадии - ацетоном. Стеклянная посуда должна быть полностью высушена перед использованием. Чтобы избежать загрязнения не используют пластмассовые контейнеры (например, для воды).
6.1 Приготовление стандартных растворов
6.1.1 Раствор внутреннего стандарта
Приготавливают стоковый стандартный 1000 мг/дм
3 раствор внутреннего стандарта в растворителе, использованном для осаждения
(4.2) после ультразвуковой экстракции
(6.2).
6.1.2 Приготовление стоковых стандартных растворов
Приготавливают серии индивидуальных стоковых стандартных растворов индивидуального фталатного эфира в растворителе, используемом для осаждения, как показано в таблице 1.
Таблица 1
Стоковые стандартные растворы
Фталатный эфир | DCHP (IS) | DINP | DEHP | DNOP | DIDP | BBP | DBP | DIBP | DPP | DIHP | DMEP |
Концентрация, мг/дм3 | 1000 |
Например, взвешивают 50,0 мг фталата в мерной колбе объемом 50 см3, наливают в нее до метки растворитель, используемый для осаждения, и тщательно перемешивают до полного растворения вещества.
Большинство стоковых стандартов могут быть реализованы в смешанном стоке. Это позволит сэкономить время и усилия при подготовке калибровочных образцов. DINP, DIDP и DIHP имеют перекрывающиеся пики. Рекомендуется изготовить для них стоковые стандартные растворы раздельно, поскольку их калибровочные растворы должны быть подготовлены с концентрацией в пять раз (5
x) больше, чем для других фталатов, из-за их многопиковой природы. Этим объясняется более высокий предел детектирования в
приложении B.
6.1.3 Приготовление калибровочных растворов
Из стоковых стандартных растворов приготавливают не менее пяти подходящих фталатных калибровочных растворов (примеры концентраций: 1, 3, 15, 30 и 90 мг/дм
3, как указано в
таблице 2), каждый из них содержит равное количество определяемых фталатов (с
4.4 по
4.13) и количество внутреннего стандарта
(4.3) в смеси тетрагидрофурана и используемого для осаждения растворителя, смешанных по объему в соотношении 1:2 (33 части тетрагидрофурана к 66 частям другого растворителя), как указано в таблице 2.
Таблица 2
Примеры калибровочных растворов
Концентрация | Инструкции |
Бланковый | Добавляют 0,1 см3 каждого стокового стандартного раствора в мерную колбу объемом 100 см3 плюс 0,5 см3 внутреннего стандартного (DCHP) стокового раствора; затем заполняют колбу до метки смесью из тетрагидрофурана и используемого для осаждения растворителя, смешанных по объему в соотношении 1:2 (33 части тетрагидрофурана и 66 частей другого растворителя) |
1 мг/дм3 | Добавляют 0,1 см3 каждого стокового стандартного раствора в мерную колбу объемом 100 см3 плюс 0,5 см3 внутреннего стандартного (DCHP) стокового раствора; затем заполняют колбу до метки смесью из 33 частей тетрагидрофурана и 66 частей используемого для осаждения растворителя |
3 мг/дм3 | Добавляют 0,3 см3 каждого стокового стандартного раствора в мерную колбу объемом 100 см3 плюс 0,5 см3 внутреннего стандартного (DCHP) стокового раствора; затем заполняют колбу до метки смесью из 33 частей тетрагидрофурана и 66 частей используемого для осаждения растворителя |
15 мг/дм3 | Добавляют 0,75 см3 каждого стокового стандартного раствора в мерную колбу объемом 50 см3 плюс 0,25 см3 внутреннего стандартного (DCHP) стокового раствора; затем заполняют колбу до метки смесью из 33 частей тетрагидрофурана и 66 частей используемого для осаждения растворителя |
30 мг/дм3 | Добавляют 1,5 см3 каждого стокового стандартного раствора в мерную колбу объемом 50 см3 плюс 0,25 см3 внутреннего стандартного (DCHP) стокового раствора; затем заполняют колбу до метки смесью из 33 частей тетрагидрофурана и 66 частей используемого для осаждения растворителя |
90 мг/дм3 | Добавляют 4,5 см3 каждого стокового стандартного раствора в мерную колбу объемом 50 см3 плюс 0,25 см3 внутреннего стандартного (DCHP) стокового раствора; затем заполняют колбу до метки смесью из 33 частей тетрагидрофурана и 66 частей используемого для осаждения растворителя |
Каждый калибровочный раствор должен иметь окончательную концентрацию внутреннего стандарта 5 мг/дм3. Приготавливают один калибровочный бланковый раствор. Анализируют калибровочные растворы и калибровочный бланковый раствор с помощью ГХ-МС. Количественно анализируют результат для определения соответствующих периодов удержания и отсутствия загрязнения, и строят калибровочную кривую.
Для количественного определения DEHP, DNOP, DINP, DIDP и DIHP используются целевые ионы, отличные от 149. Все перечисленные фталаты могут быть откалиброваны и определены количественно вместе.
Типичные ионы, используемые для количественного определения фталатов, приведены в
приложении B.
Если на хроматограмме перекрываются пики DIDP и DINP, выбирают целевые ионы, указанные в
приложении B.
В случае, когда концентрация определенного фталата в экстрагированном растворе образца лежит вне пределов калибровочной кривой, разбавляют раствор смесью из 33 частей тетрагидрофурана и 66 частей используемого для осаждения растворителя, содержащей 5 мг/дм3 внутреннего стандарта, чтобы проба могла быть должным образом количественно определена.
Примечание - Стоковые стандартные растворы хранят при температуре от 0 °C до 4 °C в течение 12 месяцев, а рабочие растворы хранят при температуре от 0 °C до 4 °C в течение 6 месяцев или меньшее время, если постоянный контроль качества указывает на наличие проблем.
6.2 Ультразвуковая экстракция и определение фталатов
6.2.1 Общие положения
Ультразвуковую экстракцию проводят, используя тетрагидрофуран на двух подготовленных от каждой текстильной пробы образцах для испытаний после осаждения (частичного или полного) растворенного пластического компонента с помощью подходящего растворителя, дальнейшего центрифугирования и определения фталатов. Бланковый раствор анализируют параллельно, чтобы исключить ошибки, вызванные загрязнениями из лабораторной среды.
Примечание - Например, поливинилхлорид [ПВХ (PVC)] полностью растворяется в тетрагидрофуране.
6.2.2 Приготовление образца для испытаний
Представительный образец для испытаний подготавливают смешиванием и нарезкой кусочков от каждой покрытой области/части текстильной пробы. Разрезают представительный образец на мелкие кусочки (менее 5 мм в наибольшем измерении), гомогенизируют его и взвешивают (0,30 +/- 0,01) г этих кусочков в каждой из двух герметичных виал объемом 40 см
3 (5.2), закрытых политетрафторэтиленовой [ПТФЭ (PTFE)] диафрагмой. Обеспечивают, чтобы виалы оставались герметичными в ультразвуковой ванне
(5.3) на протяжении всего процесса экстракции.
Используя мерную градуированную пипетку
(5.6), добавляют в каждую виалу 10 см
3 тетрагидрофурана
(4.1), содержащего 5 мг/дм
3 внутреннего стандарта
(4.3).
6.2.3 Процедура экстракции
Помещают виалы в ультразвуковую ванну
(5.3) при температуре (60 +/- 5) °C на (60 +/- 5) мин, чтобы дать возможность экстрагировать фталаты (путем полного или частичного растворения полимера). Затем удаляют виалы из ванны и выдерживают их до тех пор, пока экстракционный раствор не охладится до комнатной температуры.
С помощью мерной градуированной пипетки добавляют по каплям в каждую виалу 20 см
3 используемого для осаждения растворителя
(4.2), содержащего 5 мг/дм
3 внутреннего стандарта.
Энергично встряхивают виалы (предпочтительно на встряхивателе вихревого типа) не менее 30 с и оставляют на (30 +/- 2) мин, чтобы дать возможность полимеру осесть.
Центрифугируют виалы с ускорением 700g (например, 2500 об/мин при радиусе 10 см) не менее 10 мин, чтобы высадить любой оставшийся взвешенный осадок полимера в органической фазе на дно и получить прозрачный органический раствор. Затем отбирают и переносят аликвоту органического раствора образца в две подходящие для проведения анализа ГХ-МС виалы.
ПРЕДУПРЕЖДЕНИЕ - Непосредственное введение в ГХ-МС раствора со взвешенным веществом или мутного раствора может привести к загрязнению оборудования.
При необходимости подготавливают дополнительно разведенные растворы, используя соответствующий объем смеси тетрагидрофурана
(4.1) и используемого для осаждения растворителя
(4.2), смешанных по объему в соотношении 1:2 (33 части тетрагидрофурана и 66 частей другого растворителя), содержащей 5 мг/дм
3 внутреннего стандарта
(4.3), и затем повторяют анализ.
6.2.4 Определение фталатов
Фталаты, экстрагированные по
6.2.3, определяют методом ГХ-МС
(5.1). Пример программы параметров анализа ГХ-МС целевых фталатов приведен в
приложении B.
В некоторых случаях, когда концентрация фталатов очень низкая, может оказаться необходимым увеличение массы образцов для испытаний.
7.1 Расчеты, основанные на скорректированной массе (по умолчанию)
По калибровочному графику определяют отклик каждого фталата, принимая во внимание площадь пика внутреннего стандарта, и интерполируют концентрацию фталата в мг/дм3, внося коррективы на разбавление. Вычитают бланковую концентрацию из концентрации образца. Рассчитывают результат, используя формулу

(1)
где wс - массовая доля индивидуального фталата, основанная на скорректированной массе образца для испытаний;
V - равен 30 см3, который является полным объемом раствора фталата до разбавления (10 см3 используемого для экстракции тетрагидрофурана и 20 см3 используемого на этапе осаждения растворителя);
mс - скорректированная масса образца, г;
a - концентрация индивидуального фталата в бланковом растворе, мг/дм3;
b - концентрация индивидуального фталата в растворе образца, мг/дм3;
F - коэффициент разведения.
Определение скорректированной массы и пример расчета приведены в
приложении A. Полностью и локально обработанные материалы представлены на
рисунке A.1 и
рисунке A.2, соответственно.
Если невозможно получить скорректированную массу образца для испытаний, это отмечают в протоколе испытания и рассчитывают результат в соответствии с 7.2.
7.2 Расчет, основанный на полной массе (при необходимости)
Если невозможно получить скорректированную массу
mс образца для испытаний так, как это изложено в
приложении A, результат рассчитывают, используя формулу

(2)
где wT - массовая доля индивидуального фталата, основанная на полной массе образца для испытаний;
mT - полная масса образца, г.
Протокол испытаний должен содержать следующую информацию:
a) ссылка на настоящий стандарт;
b) все подробности, необходимые для полной идентификации испытуемой пробы;
c) подробности подготовки образцов;
d) величина скорректированной массы
mс, г
(7.1); при необходимости величина полной массы
mT, г
(7.2);
e) результаты испытаний каждого из перечисленных фталатов в пластифицированном материале или текстильном изделии, wс (или при необходимости wT), мкг/г или %;
f) любое отклонение по договоренности или другим причинам от установленной процедуры.
(обязательное)
A.1 Полностью обработанные образцы
В случае полностью обработанных образцов см. рисунок A.1.
1 - пластический компонент (покрытие); 2 - ткань
Рисунок A.1 - Полностью обработанные материалы
m1 - общая масса полностью обработанного образца, г;
m2 - масса текстильного компонента, г;
m - масса покрытия, г.
Примечание 1 - Масса покрытия является скорректированной массой образца в
формуле (1).
Из испытуемого образца с общей массой полностью обработанного образца m1, г, пластический компонент (покрытие) удаляют с помощью механической, тепловой или химической процедуры (или комбинации этих процедур). Пластический компонент m должен быть определен путем сравнения с текстильным компонентом m2.
Примечание 2 - Пример химической процедуры приведен в
приложении C.
Часть покрытия определяют, используя формулу
m = m1 - m2. (A.1)
A.2 Локально обработанные образцы
В случае локально обработанных образцов см. рисунок A.2.
1 - пластический компонент (покрытие); 2 - ткань
Рисунок A.2 - Локально обработанный образец
m1 - поверхностная плотность (масса, деленная на площадь) обработанного участка образца, г/м2;
m2 - поверхностная плотность (масса, деленная на площадь) текстильного материала, г/м2;
m - масса пластического компонента (покрытия), г.
Примечание 1 - Масса пластического компонента является скорректированной массой образца в
формуле (1).
S - площадь поверхности обработанного участка образца, м2.
Сначала определяют плотность поверхности (массу, деленную на площадь) на необработанной части (включающей только текстильный материал) m2.
На образце для испытаний:
- измеряют плотность обработанной поверхности (массу, деленную на площадь) m1;
- измеряют обработанную площадь S.
Массу пластического компонента m, г, рассчитывают, используя формулу
m = (m1 - m2)S. (A.2)
(справочное)
ПРИМЕР ПАРАМЕТРОВ ИСПЫТАНИЙ МЕТОДОМ ГХ-МС
Поскольку оснащение лабораторий может быть разным, для хроматографических анализов невозможно предложить общеприменимые параметры. Установлено, что могут быть успешно применены следующие параметры:
a) капиллярная колонка: DB-5MS, длина 30 м, внутренний диаметр 0,25 мм, толщина пленки 0,1 мкм; или эквивалентные;
b) температурная программа:
- 100 °C (1 мин), от 100 °C до 180 °C (15 °C/мин),
- 180 °C (1 мин), от 180 °C до 300 °C (5 °C/мин),
- 300 °C (10 мин);
c) температура инжектора: 300 °C;
d) температура линии переноса: 280 °C;
e) газ-носитель: гелий, чистоты не ниже 99,999%, 1,2 см3/мин;
f) режим ионизации: EI;
g) энергия ионизации: 70 эВ;
h) режим детектирования: детектирование выбранного иона;
i) система ввода: инжектор без разделения или с разделением через 1,5 мин;
j) вводимый объем: мкл.
Типичные ионы для количественного определения фталатов приведены в таблице B.1.
Таблица B.1
Типичные ионы для количественного определения фталатов
и предел детектирования
N | Наименование | Типичные ионы для количественного определения ионы/а.е.м. | Предел детектирования, мкг/г |
Целевой ион | Для количественного определения |
Q1 | Q2 |
1 | Ди-бутил фталат (DBP) | 149 | 150 | 205 | 40,0 |
2 | Бутил бензил фталат (BBP) | 149 | 206 | 150 | 40,0 |
3 | Бис-(2-этилгексил) фталат (DEHP) | 149 | 167 | 279 | 40,0 |
4 | Ди-н-октил фталат (DNOP) | 279 | 167 | 261 | 40,0 |
5 | Ди-изо-нонил фталат (DINP) | 293 | 149 | 127 | 200,0 |
6 | Ди-изо-децил фталат (DIDP) | 307 | 149 | 141 | 200,0 |
7 | Ди-изобутил фталат (DIBP) | 149 | 167 | 223 | 40,0 |
8 | Ди-пентил фталат (DPP) | 149 | 219 | 237 | 40,0 |
9 | Ди-изо-гептил фталат (DIHP) | 265 | 149 | 99 | 200,0 |
10 | Ди-метоксиэтил фталат (DMEP) | 149 | 59 | 207 | 200,0 |
11 | Ди-циклогексил фталат (DCHP) (внутренний стандарт) | 149 | 167 | 249 | 200,0 |
(справочное)
ОПРЕДЕЛЕНИЕ МАССОВОЙ ДОЛИ ПВХ ХИМИЧЕСКИМ МЕТОДОМ
C.1 Сущность метода
Слой ПВХ растворяют обработкой тетрагидрофураном пробы с известной сухой массой. Остаток текстиля собирают, промывают, сушат и взвешивают. Его массу, при необходимости скорректированную, выражают в процентах от сухой массы пробы. Массовую долю сухого ПВХ находят по разнице.
Данный метод был подтвержден Объединенным исследовательским центром Европейской комиссии в сотрудничестве с 12 лабораториями, используя хлопчатобумажную пробу с ПВХ. Выбросы обнаружены не были. Коэффициент вариации повторяемости и коэффициент вариации воспроизводимости были найдены равными 0,6% и 1,4% соответственно. Для хлопка коэффициент коррекции
d был найден равным 1,00. Для отличных от хлопка волокон коэффициент коррекции для чистого волокна, необходимый для расчета результатов по
формуле (C.1), должен быть определен с применением данного метода к 100% чистому волокну (не менее трех образцов по 1 г каждый) и расчетом
d как соотношения сухой массы образца после предварительной обработки по
[1] к сухой массе остатка после применения этого метода. Этап сушки необходимо проводить в вентилируемой печи (сушильном шкафу) при температуре 105 °C от 14 до 16 ч.
C.2 Аппаратура
C.2.1 Бюкс для взвешивания или какая-либо другая аппаратура, обеспечивающая идентичные результаты.
C.2.2 Фильтровальные тигли.
C.2.3 Эксикатор, содержащий индикаторный силикагель.
C.2.4 Вентилируемая печь для сушки образцов при температуре (105 +/- 3) °C.
C.2.5 Аналитические весы с точностью до 0,0002 г.
C.2.6 Стеклянные конические колбы, снабженные завинчивающимися фторопластовыми (PTFE) пробками, объемом не менее 100 см3.
C.2.7 Термостатическая сверхзвуковая ванна.
C.2.8 Мерный цилиндр объемом 50 см3.
C.3 Реактивы
Если не установлено иное, используют только реактивы признанной аналитической степени чистоты.
C.3.1 Тетрагидрофуран (THF), CAS-номер: 109-99-9.
C.3.2 Деионизированная вода.
C.4 Отбор проб
Образцы используют в том виде, в каком они получены.
C.5 Процедура испытания
Сушат не менее трех образцов по 1 г каждый, раздельно в различных бюксах для взвешивания, в вентилируемой печи (105 °C) от 14 до 16 ч.
Одновременно сушат три фильтровальных тигля в бюксах для взвешивания в вентилируемой печи (105 °C) от 14 до 16 ч.
Охлаждают все упомянутые бюксы, содержащие образцы и фильтровальные тигли, в эксикаторе (размещенном рядом с весами) в течение не менее 2 ч.
Взвешивают бюксы, содержащие образцы.
Количественно переносят образцы в стеклянную коническую колбу объемом не менее 100 см3 с завинчивающейся фторопластовой пробкой, которая будет использована для испытания, и затем взвешивают пустые бюксы (разница является массой образца, массой пробы).
Взвешивают фильтровальные тигли.
К каждому образцу, помещенному в стеклянную коническую колбу, добавляют 50 см
3 тетрагидрофурана на грамм образца. Растворяют ПВХ в ультразвуковой ванне
(5.3) в течение часа при 60 °C и затем сразу же фильтруют раствор через взвешенный фильтровальный тигель. Переносят остаток в фильтровальный тигель. Промывают дважды остаток в фильтровальном тигле 30 см
3 тетрагидрофурана, предварительно нагретого до 60 °C, и дают стечь жидкости под действием сил гравитации. Затем тщательно промывают водой и дают стечь воде. Убеждаются, что образцы промыты количеством воды, достаточным для того, чтобы исключить наличие запаха тетрагидрофурана при сушке остатка в печи. Наконец, отсасывают под вакуумом содержимое тигля.
Сушат фильтровальные тигли с остатками в бюксах для взвешивания, помещенными в вентилируемую печь (105 °C) от 14 до 16 ч.
Охлаждают их в эксикаторе (находящемся рядом с весами) в течение не менее 2 ч.
Взвешивают фильтровальные тигли с остатком в течение 2 мин после удаления из эксикатора (разница с пустыми фильтровальными тиглями является массой остатков, остаточной массой).
C.6 Расчет результатов
Результаты рассчитывают по формуле

(C.1)
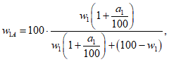
где w1 - массовая доля чистого, сухого нерастворимого текстильного компонента, %;
m - сухая масса образца, г;
r - сухая масса текстильного остатка, г;
d - коррекционный коэффициент для потери массы нерастворимого текстильного компонента в реактиве в процессе анализа.
Затем рассчитывают массовую долю нерастворимого текстильного компонента на основе чистой сухой массы с поправкой на общепринятые коэффициенты (согласованные поправки), используя формулу

(C.2)
где w1A - массовая доля нерастворимого компонента, скорректированная на согласованные поправки, %;
w1 - массовая доля чистого сухого нерастворимого компонента, вычисленная по
формуле (C.1);
a1 - согласованная поправка для нерастворимого компонента.
Массовую долю растворимого компонента, в данном случае ПВХ, w2, %, получают по разнице.
В случае, когда текстильная проба, покрытая ПВХ, состоит из смеси волокон, нерастворимых в условиях данного метода, коррекционный коэффициент
d и согласованная поправка
a1 в
формулах (C.1) и
(C.2) соответственно должны быть применены к смеси волокон. Чтобы рассчитать объединенные параметры, используют формулы:

(C.3)

(C.4)
где i - i-й(е) компонент(ы) смеси волокон;
mi - массовая доля i-го компонента смеси волокон;
dcombined - коррекционный коэффициент потери массы смеси волокон в реактиве в процессе анализа;
di - коррекционный коэффициент потери массы i-го нерастворимого компонента смеси волокон в реактиве в процессе анализа;
acombined - согласованная поправка смеси волокон;
ai - согласованная поправка для i-го нерастворимого компонента смеси волокон.
(справочное)
СТАТИСТИЧЕСКИЕ ДАННЫЕ
D.1 Сводная информация
От имени рабочей группы ИСО/ТК 38/WG 22, а также рабочей группы CEN/TC 248/WG 26 Объединенный исследовательский центр (JRC) Европейской комиссии организовал в 2011 г. совместные пробные испытания для подтверждения четырех методов определения фталатов и одного метода количественного определения ПВХ в текстильных продуктах. Первые четыре исследованных метода были разработаны и использовались как в европейских, так и других странах, тогда как пятый метод был разработан JRC.
Методы 1, 2 и 3 основаны на ультразвуковой экстракции фталатов (с 80 частями н-гексана к двадцати частям ацетона, н-гексана и трет-бутил метилового эфира соответственно); метод 4 основан на растворении ПВХ тетрагидрофураном в ультразвуковом генераторе, с дальнейшим осаждением его ацетонитрилом. Во всех случаях фталаты количественно были определены с помощью ГХ-МС.
Метод 5 для определения массовой доли ПВХ основан на растворении его тетрагидрофураном в ультразвуковом генераторе с дальнейшей промывкой остатка и определением его веса.
Совместное исследование было организовано в соответствии с
[2] как сбалансированный эксперимент единого уровня, т.е. с одинаковым количеством результатов испытаний в каждой лаборатории, когда анализируют одни и те же уровни образцов для испытаний. Результаты предоставили тринадцать лабораторий: восемь европейских и пять, находящихся за пределами Европы.
Оценка однородности, проведенная JRC методом 2, подтвердила, что все пробы могут быть рассмотрены как "достаточно однородные" в соответствии с гармонизированным протоколом IUPAC для квалификационных испытаний.
В целом четыре хлопчатобумажные пробы с нанесением слоя ПВХ и одна проба из ПВХ, содержащие 7 фталатов (DEHP, DBP, BBP, DINP, DIDP, DNOP и DIBP) с тремя уровнями, были проанализированы трижды тринадцатью лабораториями. Уровни I, II и III относятся к пробам, содержащим конкретные фталаты в концентрациях приблизительно 200, 1000 и 5000 мг фталата на килограмм ПВХ. В случае DIDP и DINP уровень I соответствовал приблизительно 500 мг/кг. Кроме того, одна проба была измерена для определения величины массовой доли ПВХ. В целом был получен 4091 результат испытаний. Пробы были изготовлены итальянской компанией.
Из общего числа 104 наборов данных только 27 могли быть рассмотрены как часть нормального распределения на 95% уровне вероятности, используя испытание Шапиро-Вилк. Ситуация улучшилась после исключения выбросов (47 наборов соответствовали нормальному распределению). Распределение средних значений было найдено нормальным в большинстве случаев.
Результаты были статистически проанализированы по
[2] и
[3] с использованием специального программного обеспечения. Были рассчитаны консенсусные значения и прецизионности различных методов в терминах повторяемости
r и воспроизводимости
R, пределы, а также повторяемость коэффициента вариации
CV,r и воспроизводимость коэффициента вариации
CV,R. По
[2] были отброшены статистические выбросы, идентифицированные с помощью испытаний Кохрена и Граббса, совместно с результатами LC0004 для метода 4 и результатами LC0005 для DIDP в методах с 1 по 4, которые были идентифицированы как выбросы по статистике Мандела. По
[3] все результаты испытаний были сохранены и использованы для обычной статистической обработки. Эти два альтернативных подхода дали результаты, которые можно считать хорошо согласованными. Как правило, различия были менее 35%, за исключением нескольких случаев.
При определении фталатов минимальный и максимальный коэффициенты вариации повторяемости были получены в методе 4 (3% и 23,5%, соответственно). Минимальное значение коэффициента вариации воспроизводимости 19,4% было получено методом 3, максимальное значение 189,2% - методом 2. Результаты показали, что все четыре метода для фталатов и характеристики лабораторий должны быть существенно улучшены. Наблюдаемые высокие величины коэффициентов вариации воспроизводимости связаны с плохой повторяемостью в нескольких лабораториях и с большим разбросом средних значений, рассчитанных в 13 лабораториях.
Две пробы, одна из которых изготовлена из ПВХ (E), а другая - из хлопчатобумажного материала с ПВХ (A), были приготовлены из одной и той же партии пластизола. Результаты хорошо согласовывались, когда концентрации фталатов были выражены в мг фталата на кг ПВХ.
Наилучшим методом относительно извлечения фталатов оказался метод 4, основанный на тетрагидрофуране. Наихудшим был признан метод 2. Практически одна и та же эффективность экстракции была показана методами 1 и 3.
Метод 5 для количественного определения ПВХ показал хорошую прецизионность, поэтому может быть рассмотрен в качестве подходящего для проб из хлопчатобумажных материалов с ПВХ. Коэффициенты вариации повторяемости и воспроизводимости найдены равными 0,6% и 1,4% соответственно. Эти величины согласуются со значениями, полученными в случае аналогичных методов растворения, подтвержденных в контексте количественного определения бинарных смесей волокон.
Даже если совместное пробное испытание не было квалификационным, характеристики участвующих лабораторий были оценены. Лаборатории LC0003 и LC0008 показали наилучшие характеристики: их были почти во всех случаях хорошими (|z| < 1) или по меньшей мере удовлетворительными (|z| < 2). Совсем наоборот, лаборатории LC0004 и LC0005 продемонстрировали наихудшие характеристики: они показали z-показатели соответственно 25 и 17, рассмотренные как сомнительные или неудовлетворительные из 104 наборов данных.
После исключения выбросов метод 4 показал 6,2% сомнительных и неудовлетворительных z-показателей. Методы 2, 1 и 3 показали соответственно 5,9%, 3,7% и 3,7% (см.
таблицы с D.1 по
D.8).
D.2 Результаты совместных пробных испытаний при использовании методов с 1 по 4
Пробные испытания были проведены для целей разработки метода испытаний ИСО.
Таблица D.1
Результаты совместных пробных испытаний при использовании
методов с 1 по 4 (определение DIBP и DBP)
Проба | Метод | DIBP | DBP |
Выброс | Среднее, мг/кг | r, мг/кг | CV,r, % | R, мг/кг | CV,R, % | Выброс | Среднее, мг/кг | r, мг/кг | CV,r, % | R, мг/кг | CV,R, % |
A | 1 | 1 | 3256,5 | 353,5 | 10,9 | 2104,0 | 64,6 | 0 | 713,3 | 71,2 | 10,0 | 594,7 | 83,4 |
2 | 3 | 2554,1 | 199,3 | 7,8 | 912,4 | 35,7 | 1 | 566,5 | 62,5 | 11,0 | 615,3 | 108,6 |
3 | 0 | 3379,1 | 373,1 | 11,0 | 1553,4 | 46,0 | 0 | 736,7 | 86,1 | 11,7 | 565,8 | 76,8 |
4 | 1 | 3632,3 | 406,4 | 11,2 | 1441,9 | 39,7 | 2 | 738,3 | 54,6 | 7,4 | 551,2 | 74,7 |
B | 1 | 1 | 120,7 | 17,4 | 14,4 | 108,1 | 89,6 | - |
2 | 1 | 100,6 | 17,1 | 17,0 | 92,6 | 92,1 |
3 | 2 | 135,8 | 22,4 | 16,5 | 133,8 | 98,5 |
4 | 2 | 116,1 | 12,3 | 10,6 | 79,5 | 68,5 |
C | 1 | - | 0 | 133,9 | 14,9 | 11,1 | 146,3 | 109,3 |
2 | 0 | 112,8 | 18,6 | 16,5 | 148,5 | 131,6 |
3 | 0 | 143,5 | 18,7 | 13,0 | 158,6 | 110,6 |
4 | 1 | 136,3 | 25,7 | 18,9 | 170,2 | 124,9 |
D | 1 | 0 | 579,7 | 76,3 | 13,2 | 433,8 | 74,8 | 0 | 3434,2 | 369,5 | 10,8 | 2943,9 | 85,7 |
2 | 0 | 535,4 | 61,8 | 11,5 | 702,4 | 131,2 | 0 | 2702,2 | 251,5 | 9,3 | 2337,6 | 86,5 |
3 | 0 | 642,7 | 70,9 | 11,0 | 533,5 | 83,0 | 1 | 3217,3 | 332,5 | 10,3 | 2437,6 | 75,8 |
4 | 5 | 635,8 | 19,0 | 3,0 | 331,0 | 52,1 | 3 | 3503,0 | 290,8 | 8,3 | 2989,1 | 85,3 |
E | 1 | 0 | 3758,0 | 424,7 | 11,3 | 2823,0 | 75,1 | 0 | 776,2 | 74,5 | 9,6 | 534,8 | 68,9 |
2 | 2 | 2428,2 | 155,2 | 6,4 | 1190,5 | 49,0 | 0 | 605,9 | 56,7 | 9,4 | 529,4 | 87,4 |
3 | 1 | 3534,8 | 430,7 | 12,2 | 2235,2 | 63,2 | 0 | 787,8 | 78,7 | 10,0 | 607,3 | 77,1 |
4 | 1 | 4158,9 | 382,0 | 9,2 | 1968,6 | 47,3 | 2 | 803,0 | 54,5 | 6,8 | 640,9 | 79,8 |
Таблица D.2
Результаты совместных пробных испытаний при использовании
методов с 1 по 4 (определение BBP и DEHP)
Проба | Метод | BBP | DEHP |
Выброс | Среднее, мг/кг | r, мг/кг | CV,r, % | R, мг/кг | CV,R, % | Выброс | Среднее, мг/кг | r, мг/кг | CV,r, % | R, мг/кг | CV,R, % |
A | 1 | 0 | 131,1 | 19,7 | 15,0 | 132,4 | 101,0 | - |
2 | 0 | 73,7 | 9,2 | 12,5 | 75,0 | 101,7 |
3 | 0 | 129,0 | 12,4 | 9,6 | 144,8 | 112,3 |
4 | 2 | 183,4 | 14,9 | 8,1 | 177,1 | 96,5 |
B | 1 | 1 | 3788,2 | 523,3 | 13,8 | 1517,1 | 40,1 | 0 | 848,3 | 139,6 | 16,5 | 680,9 | 80,3 |
2 | 1 | 2590,9 | 314,5 | 12,1 | 3086,9 | 119,1 | 1 | 795,8 | 104,4 | 13,1 | 762,1 | 95,8 |
3 | 0 | 4088,3 | 440,9 | 10,8 | 2120,5 | 51,9 | 0 | 888,2 | 81,5 | 9,2 | 846,8 | 95,3 |
4 | 2 | 4620,8 | 325,7 | 7,1 | 1457,2 | 31,5 | 1 | 982,8 | 90,1 | 9,2 | 907,1 | 92,3 |
C | 1 | - | 0 | 4028,0 | 318,4 | 7,9 | 3081,3 | 76,5 |
2 | 0 | 3339,2 | 670,0 | 20,1 | 1866,6 | 55,9 |
3 | 1 | 3835,8 | 438,3 | 11,4 | 2178,5 | 56,8 |
4 | 1 | 4560,6 | 692,6 | 15,2 | 2775,0 | 60,9 |
D | 1 | 1 | 755,1 | 54,5 | 7,2 | 429,6 | 56,9 | 1 | 217,4 | 15,5 | 7,1 | 199,9 | 1 |
2 | 0 | 520,9 | 65,2 | 12,5 | 497,9 | 95,6 | 2 | 172,8 | 9,5 | 5,5 | 210,1 | 2 |
3 | 1 | 797,0 | 101,1 | 12,7 | 375,4 | 47,1 | 0 | 219,0 | 39,0 | 17,8 | 232,5 | 3 |
4 | 1 | 1113,9 | 171,9 | 15,4 | 1640,7 | 147,3 | 1 | 242,5 | 10,5 | 4,3 | 273,5 | 4 |
E | 1 | 1 | 147,7 | 14,5 | 9,8 | 156,9 | 106,2 | - |
2 | 2 | 77,8 | 6,2 | 7,9 | 71,0 | 91,3 |
3 | 0 | 15,7 | 26,3 | 16,9 | 203,0 | 130,4 |
4 | 1 | 194,2 | 17,7 | 9,1 | 175,5 | 90,4 |
Таблица D.3
Результаты совместных пробных испытаний при использовании
методов с 1 по 4 (определение DNOP и DIDP)
Проба | Метод | DNOP | DIDP |
Выброс | Среднее, мг/кг | r, мг/кг | CV,r, % | R, мг/кг | CV,R, % | Выброс | Среднее, мг/кг | r, мг/кг | CV,r, % | R, мг/кг | CV,R, % |
A | 1 | 1 | 949,3 | 80,4 | 8,5 | 774,2 | 81,6 | 2 | 459,8 | 53,4 | 11,6 | 307,9 | 67,0 |
2 | 1 | 743,8 | 93,6 | 12,6 | 608,1 | 81,8 | 2 | 405,8 | 63,0 | 15,5 | 323,0 | 79,6 |
3 | 0 | 853,8 | 79,7 | 9,3 | 637,6 | 74,7 | 2 | 440,6 | 35,7 | 8,1 | 307,1 | 69,7 |
4 | 1 | 915,6 | 134,4 | 14,7 | 598,1 | 65,3 | 2 | 463,2 | 75,0 | 16,2 | 337,4 | 72,8 |
B | 1 | 1 | 4370,4 | 476,8 | 10,9 | 2101,1 | 48,1 | - |
2 | 1 | 3562,4 | 312,9 | 8,8 | 1191,9 | 33,5 |
3 | 0 | 4223,5 | 418,9 | 9,9 | 2036,5 | 48,2 |
4 | 1 | 4574,3 | 620,8 | 13,6 | 1575,1 | 34,4 |
C | 1 | 0 | 209,3 | 27,8 | 13,3 | 326,9 | 156,2 | 3 | 931,9 | 95,5 | 10,3 | 364,6 | 39,1 |
2 | 0 | 166,8 | 28,1 | 16,8 | 279,3 | 167,4 | 1 | 1135,7 | 87,0 | 7,7 | 2149,1 | 189,2 |
3 | 2 | 201,0 | 29,6 | 14,7 | 309,3 | 153,9 | 1 | 1174,1 | 234,7 | 20,0 | 1563,5 | 133,2 |
4 | 3 | 218,3 | 51,3 | 23,5 | 362,3 | 165,9 | 3 | 1385,1 | 211,7 | 15,3 | 1636,5 | 118,2 |
D | 1 | - | 1 | 4611,1 | 647,8 | 14,1 | 2004,9 | 43,5 |
2 | 1 | 4017,5 | 451,4 | 11,2 | 1596,3 | 39,7 |
3 | 2 | 4685,4 | 624,2 | 13,3 | 2431,3 | 51,9 |
4 | 3 | 4527,3 | 497,3 | 11,0 | 5007,4 | 110,6 |
E | 1 | 1 | 1017,6 | 89,7 | 8,8 | 532,1 | 52,3 | 1 | 535,6 | 79,2 | 14,8 | 385,8 | 72,0 |
2 | 0 | 841,2 | 52,2 | 6,2 | 653,0 | 77,6 | 1 | 425,2 | 90,5 | 21,3 | 310,6 | 73,0 |
3 | 0 | 960,5 | 106,0 | 11,0 | 606,0 | 63,1 | 1 | 507,8 | 52,9 | 10,4 | 367,1 | 72,3 |
4 | 1 | 963,5 | 185,1 | 19,2 | 661,9 | 68,7 | 2 | 501,4 | 81,2 | 16,2 | 400,7 | 79,9 |
Таблица D.4
Результаты совместных пробных испытаний при использовании
методов с 1 по 4 (определение DINP)
Проба | Метод | DINP |
Выброс | Среднее, мг/кг | r, мг/кг | CV,r, % | R, мг/кг | CV,R, % |
A | 1 | - |
2 |
3 |
4 |
B | 1 | 0 | 937,0 | 197,9 | 21,1 | 840,4 | 89,7 |
2 | 1 | 704,5 | 110,2 | 15,7 | 478,9 | 68,0 |
3 | 1 | 890,1 | 125,8 | 14,1 | 571,5 | 64,2 |
4 | 1 | 901,7 | 125,8 | 14,0 | 938,8 | 104,1 |
C | 1 | 1 | 4 797,8 | 533,9 | 11,1 | 1 765,0 | 36,8 |
2 | 1 | 3 913,3 | 427,1 | 10,9 | 1 783,3 | 45,6 |
3 | 3 | 4 225,4 | 385,2 | 9,1 | 820,7 | 19,4 |
4 | 1 | 4 550,1 | 822,8 | 18,1 | 3 919,0 | 86,1 |
D | 1 | 1 | 642,7 | 110,6 | 17,2 | 323,0 | 50,3 |
2 | 1 | 480,2 | 59,6 | 12,4 | 349,6 | 72,8 |
3 | 1 | 641,3 | 111,3 | 17,4 | 546,3 | 85,2 |
4 | 2 | 665,7 | 124,2 | 18,7 | 776,0 | 116,6 |
E | 1 | - |
2 |
3 |
4 |
D.3 Диапазоны коэффициентов вариации повторяемости и воспроизводимости для методов
Таблица D.5
Повторяемость и воспроизводимость для методов
Метод | CV,r, % | CV,R, % |
1 | От 7,1 до 21,1 | От 36,8 до 156,2 |
2 | От 5,5 до 21,3 | От 33,5 до 189,2 |
3 | От 8,1 до 20,0 | От 19,4 до 153,9 |
4 | От 3,0 до 23,5 | От 31,5 до 165,9 |
D.4 Сравнение результатов, рассчитанных как мг фталата на кг ПВХ для образцов A и E
Таблица D.6
Сравнение результатов четырех методов
Проба | Метод | DIBP, мг/кг | DBP, мг/кг | BBP, мг/кг | DNOP, мг/кг | DIDP, мг/кг |
A | 1 | 3664,3 | 802,6 | 147,5 | 1068,2 | 517,4 |
2 | 2874,0 | 637,5 | 83,0 | 836,9 | 456,7 |
3 | 3802,3 | 829,0 | 145,1 | 960,7 | 495,7 |
4 | 4087,3 | 830,7 | 206,4 | 1030,3 | 521,3 |
E | 1 | 3758,0 | 776,2 | 147,7 | 1017,6 | 535,6 |
2 | 2428,2 | 605,9 | 77,8 | 841,2 | 425,2 |
3 | 3534,8 | 787,8 | 155,7 | 960,5 | 507,8 |
4 | 4158,9 | 803,0 | 194,2 | 963,5 | 501,4 |
D.5 Теоретическое извлечение фталатов
Таблица D.7
Теоретическое извлечение фталатов (DIBP, DBP, BBP и DEHP)
Проба | Метод | DIBP | DBP | BBP | DEHP |
Предполагаемое, мг/кг | Среднее, мг/кг | Извлечение, % | Предполагаемое, мг/кг | Среднее, мг/кг | Извлечение, % | Предполагаемое, мг/кг | Среднее, мг/кг | Извлечение, % | Предполагаемое, мг/кг | Среднее, мг/кг | Извлечение, % |
A | 1 | 5018,0 | 3664,3 | 73,0 | 1012,0 | 802,6 | 79,3 | 212,0 | 147, 5 | 69,9 | - |
2 | 5018,0 | 2874,0 | 57,3 | 1012,0 | 637,5 | 63,0 | 212,0 | 83,0 | 39,1 |
3 | 5018,0 | 3802,3 | 75,8 | 1012,0 | 829,0 | 81,9 | 212,0 | 145,1 | 68,4 |
4 | 5018,0 | 4087,3 | 81,5 | 1012,0 | 830,7 | 82,1 | 212,0 | 206,4 | 97,4 |
B | 1 | 210,0 | 135,9 | 64,7 | - | 5042,0 | 4264,6 | 84,6 | 1012,0 | 955,0 | 94,4 |
2 | 210,0 | 113,2 | 53,9 | 5042,0 | 2916,7 | 57,8 | 1012,0 | 895,8 | 88,5 |
3 | 210,0 | 152,9 | 72,8 | 5042,0 | 4602,3 | 91,3 | 1012,0 | 999,9 | 98,8 |
4 | 210,0 | 130,7 | 62,2 | 5042,0 | 5201,9 | 103,2 | 1012,0 | 1106,3 | 109,3 |
C | 1 | - | 230,0 | 151,8 | 66,0 | - | 5020,0 | 4566,9 | 91,0 |
2 | 230,0 | 127,9 | 55,6 | 5020,0 | 3786,0 | 75,4 |
3 | 230,0 | 162,7 | 70,7 | 5020,0 | 4349,0 | 86,6 |
4 | 230,0 | 154,5 | 67,2 | 5020,0 | 5170,8 | 103,0 |
D | 1 | 1015,0 | 661,5 | 65,2 | 5015,0 | 3919,0 | 78,1 | 1010,0 | 861,7 | 85,3 | 211,0 | 248,1 | 117,6 |
2 | 1015,0 | 611,0 | 60,2 | 5015,0 | 3083,6 | 61,5 | 1010,0 | 594,5 | 58,9 | 211,0 | 197,2 | 93,4 |
3 | 1015,0 | 733,4 | 72,3 | 5015,0 | 3671,5 | 73,2 | 1010,0 | 909,5 | 90,9 | 211,0 | 250,0 | 118,5 |
4 | 1015,0 | 725,6 | 71,5 | 5015,0 | 3997,5 | 79,7 | 1010,0 | 1271,2 | 125,9 | 211,0 | 275,8 | 131,2 |
E | 1 | 5018,0 | 3758,0 | 74,9 | 1012,0 | 776,2 | 76,7 | 212,0 | 147, 7 | 69,7 | - |
2 | 5018,0 | 2428,2 | 48,4 | 1012,0 | 605,9 | 59,9 | 212,0 | 77, 8 | 36,7 |
3 | 5018,0 | 3534,8 | 70,4 | 1012,0 | 787, 8 | 77,8 | 212,0 | 155,7 | 73,4 |
4 | 5018,0 | 4158,9 | 82,9 | 1012,0 | 803,0 | 79,3 | 212,0 | 194,2 | 91,6 |
Таблица D.8
Теоретическое извлечение фталатов (DNOP, DIDP и DINP)
Проба | Метод | DNOP | DIDP | DINP |
Предполагаемое, мг/кг | Среднее, мг/кг | Извлечение, % | Предполагаемое, мг/ кг | Среднее, мг/кг | Извлечение, % | Предполагаемое, мг/кг | Среднее, мг/кг | Извлечение, % |
A | 1 | 1057,0 | 1068,2 | 101,1 | 521,0 | 517,4 | 99,3 | - |
2 | 1057,0 | 836,9 | 79,2 | 521,0 | 456,7 | 87,7 |
3 | 1057,0 | 960,7 | 90,9 | 521,0 | 495,7 | 95,1 |
4 | 1057,0 | 1030,3 | 97, 5 | 521,0 | 521,3 | 100,1 |
B | 1 | 5005,0 | 4920,0 | 98,3 | - | 1012,0 | 1054,9 | 103,4 |
2 | 5005,0 | 4010,4 | 80,1 | 1012,0 | 793,0 | 77,7 |
3 | 5005,0 | 4754,6 | 95,0 | 1012,0 | 1002,1 | 98,2 |
4 | 5005,0 | 5149,5 | 102,9 | 1012,0 | 1015,1 | 99,5 |
C | 1 | 212,0 | 237,3 | 111,9 | 1018,0 | 1056,6 | 103,8 | 5005,0 | 5439,7 | 108,7 |
2 | 212,0 | 189,1 | 89,2 | 1018,0 | 1287,6 | 126,5 | 5005,0 | 4436,9 | 88,6 |
3 | 212,0 | 227,9 | 107,5 | 1018,0 | 1331,2 | 130,8 | 5005,0 | 4790,7 | 95,7 |
4 | 212,0 | 247,5 | 116,8 | 1018,0 | 1570,4 | 154,3 | 5005,0 | 5158,9 | 103,1 |
D | 1 | - | 5005,0 | 5262,0 | 105,1 | 515,0 | 733,4 | 142,4 |
2 | 5005,0 | 4584,6 | 91,6 | 515,0 | 548,0 | 106,4 |
3 | 5005,0 | 5346,8 | 106,8 | 515,0 | 731,9 | 142,1 |
4 | 5005,0 | 5166,4 | 103,2 | 515,0 | 759,7 | 147, 5 |
E | 1 | 1057,0 | 1017,6 | 96,3 | 521,0 | 535,6 | 102,8 | - |
2 | 1057,0 | 841,2 | 79,6 | 521,0 | 425,2 | 81,6 |
3 | 1057,0 | 960,5 | 90,9 | 521,0 | 507,8 | 97,5 |
4 | 1057,0 | 963,5 | 91,2 | 521,0 | 501,4 | 96,2 |
| ISO 1833-1, | Textiles - Quantitative chemical analysis - Part 1: General principles of testing ( ГОСТ ISO 1833-1, Материалы текстильные. Количественный химический анализ. Часть 1. Общие принципы испытаний) |
| ISO 5725-2, | Accuracy (trueness and precision) of measurement methods and results - Part 2: Basic method for the determination of repeatability and reproducibility of a standard measurement method ( ГОСТ Р ИСО 5725-2, Точность (правильность и прецизионность) методов и результатов измерений. Часть 2. Основной метод определения повторяемости и воспроизводимости стандартного метода измерений) |
| ISO 5725-5, | Accuracy (trueness and precision) of measurement methods and results - Part 5: Alternative methods for the determination of the precision of a standard measurement method ( ГОСТ Р ИСО 5725-5, Точность (правильность и прецизионность) методов и результатов измерений. Часть 5. Альтернативные методы определения прецизионности стандартного метода измерений) |