Главная // Актуальные документы // ГОСТ Р (Государственный стандарт)СПРАВКА
Источник публикации
М.: Стандартинформ, 2016
Примечание к документу
Документ
введен в действие с 1 декабря 2016 года.
Название документа
"ГОСТ Р ИСО 13732-1-2015. Национальный стандарт Российской Федерации. Эргономика термальной среды. Методы оценки реакции человека при контакте с поверхностями. Часть 1. Горячие поверхности"
(утв. и введен в действие Приказом Росстандарта от 08.10.2015 N 1505-ст)
"ГОСТ Р ИСО 13732-1-2015. Национальный стандарт Российской Федерации. Эргономика термальной среды. Методы оценки реакции человека при контакте с поверхностями. Часть 1. Горячие поверхности"
(утв. и введен в действие Приказом Росстандарта от 08.10.2015 N 1505-ст)
Утвержден и введен в действие
по техническому регулированию
и метрологии
от 8 октября 2015 г. N 1505-ст
НАЦИОНАЛЬНЫЙ СТАНДАРТ РОССИЙСКОЙ ФЕДЕРАЦИИ
ЭРГОНОМИКА ТЕРМАЛЬНОЙ СРЕДЫ
МЕТОДЫ ОЦЕНКИ РЕАКЦИИ ЧЕЛОВЕКА ПРИ КОНТАКТЕ С ПОВЕРХНОСТЯМИ
ЧАСТЬ 1
ГОРЯЧИЕ ПОВЕРХНОСТИ
Ergonomics of the thermal environment. Methods
for the assessment of human responses to contact
with surfaces. Part 1. Hot surfaces
(ISO 13732-1:2006, IDT)
ГОСТ Р ИСО 13732-1-2015
Дата введения
1 декабря 2016 года
1 ПОДГОТОВЛЕН Открытым акционерным обществом "Научно-исследовательский центр контроля и диагностики технических систем" (АО "НИЦ КД") на основе собственного аутентичного перевода на русский язык англоязычной версии международного стандарта, указанного в
пункте 4
2 ВНЕСЕН Техническим комитетом по стандартизации ТК 201 "Эргономика, психология труда и инженерная психология"
3 УТВЕРЖДЕН И ВВЕДЕН В ДЕЙСТВИЕ
Приказом Федерального агентства по техническому регулированию и метрологии от 8 октября 2015 г. N 1505-ст
4 Настоящий стандарт идентичен международному стандарту ИСО 13732-1:2006 "Эргономика термальной среды. Методы оценки реакции человека при контакте с поверхностями. Часть 1. Горячие поверхности" (ISO 13732-1:2006 "Ergonomics of the thermal environment - Methods for the assessment of human responses to contact with surfaces - Part 1: Hot surfaces", IDT).
При применении настоящего стандарта рекомендуется использовать вместо ссылочных международных стандартов соответствующие им национальные стандарты Российской Федерации, сведения о которых приведены в дополнительном
приложении ДА
5 ВВЕДЕН ВПЕРВЫЕ
Правила применения настоящего стандарта установлены в ГОСТ Р 1.0-2012
(раздел 8). Информация об изменениях к настоящему стандарту публикуется в ежегодном (по состоянию на 1 января текущего года) информационном указателе "Национальные стандарты", а официальный текст изменений и поправок - в ежемесячном информационном указателе "Национальные стандарты". В случае пересмотра (замены) или отмены настоящего стандарта соответствующее уведомление будет опубликовано в ближайшем выпуске ежемесячного информационного указателя "Национальные стандарты". Соответствующая информация, уведомление и тексты размещаются также в информационной системе общего пользования - на официальном сайте Федерального агентства по техническому регулированию и метрологии в сети Интернет (www.gost.ru)
При контакте кожи человека с горячей твердой поверхностью могут возникнуть ожоги. Произойдет это или нет зависит от ряда факторов, наиболее важными из которых являются:
- температура поверхности;
- материал поверхности;
- период контакта кожи с поверхностью;
- структура поверхности;
- чувствительность человека, контактирующего с поверхностью (например, ребенок или взрослый человек).
Могут существовать и другие факторы, но они не имеют большого значения. В
приложении A представлено научное обоснование, приведенного в стандарте метода. В
библиографии перечислены публикации, имеющие отношение к теме настоящего стандарта.
В настоящем стандарте приведен набор пороговых значений температуры, вызывающей возникновение ожогов при контакте кожи с горячей твердой поверхностью (см.
раздел 4). Он также содержит метод оценки риска ожога, т.е. применения предоставленных эргономических данных в процедуре оценки риска
(раздел 5). Также данные могут быть применены при разработке требований к предельным значениям температуры для горячих поверхностей. Такие предельные значения температуры могут быть использованы в стандартах на продукцию или нормативных документах, чтобы предотвратить ожог у людей, контактирующих с горячей поверхностью продукции. Руководство по выбору обоснованных предельных значений температуры приведены в
разделе 7. Для различной продукции с одинаковым риском возникновения ожога при контакте имеет смысл установить идентичные предельные значения температуры поверхности. Следовательно, настоящий стандарт предоставляет возможность гармонизировать предельные значения температуры для всех видов продукции.
Касание горячей поверхности может быть преднамеренным, например, во время работы с электрическим и газовым оборудованием или инструментом, или непреднамеренным, когда человек находится около горячего объекта. Период контакта с горячей поверхностью различен для преднамеренного и непреднамеренного контакта. С учетом времени реакции человека и периода контакта в совокупности - минимальный применимый период контакта в случае непреднамеренного касания горячей поверхности для здорового взрослого человека составляет 0,5 с. Для преднамеренного касания минимальный применимый период контакта будет более длительным. Для применения настоящего стандарта важно выбрать период контакта, который лучше всего представляет реальные обстоятельства, в которых может произойти контакт с горячей поверхностью продукции. Руководство по выбору периода контакта приведено в
приложении B.
Эргономические данные, приведенные в настоящем стандарте, главным образом основаны на научных исследованиях и представляют реакцию кожи человека при контакте с горячей поверхностью. Некоторые из данных, например, данные порога возникновения ожога при очень коротких периодах контакта (длительностью 0,5 с) не основаны непосредственно на научном исследовании, а получены методом экстраполяции на основе известных кривых пороговых значений или с помощью научно обоснованных выводов с использованием известных результатов.
Пороговые значения температуры, приведенные в настоящем стандарте, действительны для ожогов кожи при контакте с горячими поверхностями. В настоящее время нет достаточного количества научной информации по чувствам дискомфорта и боли, поэтому в стандарте их не рассматривают. Некоторые данные, касающиеся возникновения боли, могут быть получены из национальных стандартов (см.
приложение A,
библиография). В настоящее время запланированы научно-исследовательские работы для получения данных по возникновению дискомфорта и боли. Когда результаты этих работ станут доступны, настоящий стандарт может быть пересмотрен с целью включения пороговых значений температуры возникновения дискомфорта и боли. В стандарте ИСО 13732-2 рассмотрено возникновение чувства дискомфорта.
В настоящем стандарте не приведены данные по возникновению ожогов при контакте кожи с жидкостями или газами.
Примечание - На сегодняшний день такие данные не доступны, за исключением данных для воды. Для воды и жидкостей с аналогичными теплоемкостью и свойствами теплового потока могут быть выбраны пороговые значения для металлов без покрытия.
В настоящем стандарте установлены пороговые значения температуры возникновения ожогов при контакте кожи человека с горячей твердой поверхностью.
В нем также приведено описание методов оценки риска возникновения ожогов в случае контакта незащищенной кожи с горячей поверхностью.
В настоящем стандарте приведено руководство по определению предельных значений температуры горячих поверхностей; стандарт не устанавливает предельные значения температуры поверхностей.
Примечание 1 - Предельные значения температуры могут быть установлены в стандартах на продукцию или в других нормативных документах.
В настоящем стандарте рассмотрены периоды контакта от 0,5 с и более.
Настоящий стандарт применим в случае, если температура поверхности во время контакта существенно не меняется (см.
4.1).
Стандарт не применим, если большая часть кожи тела (приблизительно не менее 10% всей кожи тела) находится в контакте с горячей поверхностью. Также он не применим в случае контакта с поверхностью не менее 10% кожи головы и контакта, который может привести к ожогам жизненно важных зон лица.
Примечание 2 - В некоторых случаях результаты контакта с горячей поверхностью могут быть более серьезными для человека, например:
- ожоги, приводящие к повреждению дыхательных путей;
- большие ожоги (более 10% поверхности тела), которые могут ослабить кровообращение из-за потери жидкости;
- нагревание большой площади головы или тела, которое может привести к неприемлемой тепловой нагрузке, даже при отсутствии ожогов.
Настоящий стандарт применим к горячим поверхностям всех видов объектов: оборудования, продукции, зданий, естественных объектов и т.д. (далее - "продукция").
Он применим к продукции, используемой в любой среде, например, на рабочем месте или дома.
Он применим к горячим поверхностям продукции, с которой могут контактировать здоровые взрослые люди, дети, пожилые люди и люди с ограниченными физическими возможностями.
В настоящем стандарте не приведены данные для защиты от возникновения дискомфорта или боли.
В настоящем стандарте использованы нормативные ссылки на следующий стандарт:
ИСО 7726:1998 Эргономика термальной среды. Приборы для измерения физических величин (ISO 7726:1998 Ergonomics of the thermal environment - Instruments for measuring physical quantities)
В настоящем стандарте применены следующие термины с соответствующими определениями.
3.1 доступная для прикосновения поверхность (touchable surface): Поверхность объекта, к которой может прикоснуться человек.
3.2 температура поверхности, Ts (surface temperature, Ts): Температура материала поверхности в °C.
3.3 период контакта, D (contact period, D): Продолжительность контакта кожи с поверхностью в секундах.
3.4 тепловая инерция (thermal inertia): Произведение плотности

, теплопроводности (
K) и удельной теплоемкости (
c) материала.
3.5 порог возникновения ожога (burn threshold): Температура поверхности, определяющая границу между отсутствием ожога и возникновением поверхностного ожога при контакте кожи с этой поверхностью в течение определенного периода.
Примечание - Выделяют три уровня ожогов, в зависимости от их тяжести:
- поверхностный ожог (при поверхностном ожоге уничтожен эпидермис, но волосяные фолликулы, сальные и потовые железы не страдают);
- частичный глубокий ожог (существенная часть кожи и все сальные железы уничтожены, сохранены только более глубокие части волосяных фолликул или потовых желез);
- полный глубокий ожог (уничтожена кожа на всю глубину вместе со всеми эпителиальными элементами).
4. Порог возникновения ожога
В настоящем разделе приведены данные о температуре твердой поверхности для порога возникновения ожога.
Примечание - Возникновение ожога зависит от температуры кожи и продолжительности воздействия повышенной температуры на кожу. Связь между температурой кожи, продолжительностью и возникновением ожога научно исследована, изучена и установлена (см.
приложение A). Измерение температуры кожи во время ее контакта с горячей поверхностью продукции является достаточно сложным. Поэтому, в настоящем стандарте определяют не значения температуры кожи, а значения температуры горячих поверхностей продукции, которые при контакте с кожей приводят к ожогам (пороги возникновения ожога). Температура поверхности продукции легко измерима с помощью соответствующих средств измерения.
Температуры поверхности, которые приводят к ожогам во время контакта кожи с горячей продукцией, зависят от материала, из которого состоит продукция, и от периода контакта кожи с поверхностью. На рисунке 1 показана эта взаимосвязь для нескольких групп материалов, имеющих аналогичные свойства и теплопроводность, следовательно, близкие пороги возникновения ожога.
D - период контакта; Ts - температура поверхности:
1 - пластмассы; 2 - керамики; 3 - металла; 4 - порог
возникновения ожога
Рисунок 1 - Взаимосвязь между порогом возникновения ожога
и периодом контакта при контакте кожи с горячей поверхностью
Точки на кривой указывают (для определенного периода контакта) температуру поверхности между отсутствием ожога кожи и началом возникновения поверхностного ожога при контакте кожи с горячей поверхностью. Значения температуры поверхности, лежащие ниже кривой, не приводят к ожогу. Значения температуры поверхности, лежащие выше кривой, приведут к ожогу кожи (см.
приложение A).
Рисунок 1 приведен для лучшего понимания, а не для представления пороговых данных возникновения ожога. Точные значения порога возникновения ожога приведены на
рисунках 2,
5,
6 и
7 и в
таблице 1.
Для коротких периодов контакта значения порога возникновения ожога не приведены на
рисунке 1 и
рисунках 2,
5,
6 и
7. Это связано с тем, что для коротких периодов контакта полные данные о температурной границе между отсутствием ожога и началом возникновения ожога отсутствуют. Значение порога возникновения ожога зависит от нескольких факторов, включая толщину кожи в точке касания, влажность поверхности кожи (потоотделение), загрязнение кожи (например, смазкой), разницы в силе касания и теплопроводности материалов из одной группы, неточности научного определения значений порога возникновения ожога (см. также
приложение A). Однако влияние этих факторов являются незначительными по сравнению с влиянием свойств теплопроводности материалов из различных групп.
Для более продолжительных периодов контакта неточность меньше, чем для коротких периодов контакта. Поэтому для продолжительных периодов контакта определены точные значения для порогов возникновения ожога. Различия в значениях для различных групп материалов также отсутствуют при продолжительном периоде контакта.
Приведенные данные предполагают, что температура поверхности сохраняется во время периода контакта за счет массы продукции или источника нагрева. Эти условия описывают воздействия в соответствии с наихудшей ситуацией.
4.2 Данные о пороге возникновения ожога
4.2.1 Пороги возникновения ожога для периодов контакта между 0,5 и 10 с
4.2.1.1 Общая информация
В случае короткого контакта (период контакта от 0,5 до 10 с) пороги возникновения ожога не установлены численно, но отражены в графах относительно периода контакта. Пороги возникновения ожога для материалов с аналогичными свойствами теплопроводности объединены и представляют одну область разброса.
4.2.1.2 Непокрытые металлы
Пороги возникновения ожога, представленные на рисунке 2, действительны для гладких поверхностей непокрытых металлов. В случае грубых металлических поверхностей, значения порога возникновения ожога могут лежать выше верхней границы обозначенной области разброса порога возникновения ожога, но не более чем на 2 °C.
D - период контакта, с; Ts - температура поверхности:
1 - нет ожога; 2 - порог возникновения ожога; 3 - ожог
Рисунок 2 - Область разброса порога возникновения ожога
при контакте кожи с горячей гладкой поверхностью металла
без покрытия
4.2.1.3 Покрытые металлы
Значения порога возникновения ожога для металла с покрытием показаны на рисунках 3 и
4. Значения отражают повышение порога возникновения ожога в сравнении с металлом без покрытия. Для получения значения порога возникновения ожога в случае металла с покрытием, необходимо суммировать значение порога возникновения ожога, приведенное на рисунках 3 или
4, с порогом возникновения ожога для металла без покрытия, приведенным на
рисунке 2.
D - период контакта, с;

- повышение температуры
поверхности, °C; a - 50 мкм; b - 100 мкм; c - 150 мкм
Рисунок 3 - Повышение температуры поверхности в области
разброса порога возникновения ожога, приведенного
на
рисунке 2 для металлов, покрытых лаком толщиной
в 50, 100 и 150 мкм
D - период контакта, с;

- повышение температуры
поверхности, °C; a - эмаль (160 мкм)/порошок (60 мкм); b -
порошок (90 мкм); c - полиамид 11 или 12 (толщина 400 мкм)
Рисунок 4 - Повышение температуры поверхности в области
разброса порога возникновения ожога, приведенного на
рисунке 2 для металлов, покрытых порошком (60 и 90 мкм),
эмалью (160 мкм) и полиамидом 11 или 12 (толщиной 400 мкм)
4.2.1.4 Керамика, стекло и каменные материалы
Область разброса порога возникновения ожога для керамики, стеклокерамики, стекла, фарфора и каменных материалов (мрамор, бетон) показана на рисунке 5.
D - период контакта, с; Ts - повышение температуры
поверхности, °C; 1 - нет ожога; 2 - порог возникновения
ожога; 3 - ожог
Рисунок 5 - Область разброса порога возникновения ожога,
когда кожа находится в контакте с горячей гладкой
поверхностью, выполненной из керамики, стекла и камня
Пороги возникновения ожогов при контакте с мрамором и бетоном находятся у нижней границы области разброса. Пороги возникновения ожогов при контакте со стеклом находятся у верхней границы области разброса.
Область разброса порога возникновения ожога для пластмасс (полиамид, акриловое стекло, политетрафторэтилен (тефлон), дюропласт) показана на
рисунке 6.
Примечание - Уровень теплопроводности различных пластмасс значительно отличается вследствие их различий в химическом составе. Область разброса порога возникновения ожога для наиболее твердых пластмасс показана на рисунке 6. Однако для пластмасс со свойствами теплопроводности, заметно отличающимися от таковых у приведенных материалов, указанные пороги возникновения ожога не могут быть использованы. Для этих материалов пороги возникновения ожога должны быть вычислены, оценены или измерены в соответствии с
приложением A.
D - период контакта, с; Ts - повышение температуры
поверхности, °C; 1 - нет ожога; 2 - порог возникновения
ожога; 3 - ожог
Рисунок 6 - Область разброса порога возникновения ожога
при контакте кожи с горячей гладкой поверхностью
из пластмассы
4.2.1.6 Древесина
Область разброса порога возникновения ожога при контакте с древесиной показана на рисунке 7.
D - период контакта, с; Ts - повышение температуры
поверхности, °C; 1 - нет ожога; 2 - порог возникновения
ожога; 3 - ожог
Рисунок 7 - Область разброса порога возникновения ожога,
когда кожа находится в контакте с горячей гладкой
поверхностью из древесины
Для мягких пород древесины с низкой влажностью применимы значения верхней границы области разброса. Для твердых пород древесины с высокой влажностью применимы значения нижней границы области разброса.
4.2.2 Пороги возникновения ожога для периодов контакта от 10 с до 1 мин
Для периодов контакта от 10 с до 1 мин может быть выполнена линейная интерполяция для конкретного материала в интервале между нижней и верхней границами значений порога возникновения ожога, указанного на
рисунках 2 -
7 для периодов контакта 10 с (см.
4.2.1) и значений
таблицы 1, соответствующих периоду контакта 1 мин (см.
4.2.3). Таким образом, порог возникновения ожога получен как область изменения значений для периодов контакта от 10 с и выше. Центром этой области является значение, соответствующее периоду контакта, равному 1 мин.
4.2.3 Пороги возникновения ожогов для периодов контакта от 1 мин и более
Пороги возникновения ожогов для периодов контакта с поверхностью от 1 мин и более приведены в таблице 1.
Таблица 1
Пороги возникновения ожогов для периодов контакта
от 1 мин и более
Материал | Порог возникновения ожогов для периода контакта, °C |
1 мин | 10 мин | 8 ч и более |
Непокрытый металл | 51 | 48 | 43 |
Покрытый металл | 51 | 48 | 43 |
Керамика, стекло и каменные материалы | 56 | 48 | 43 |
Пластмассы | 60 | 48 | 43 |
Древесина | 60 | 48 | 43 |
Для периодов контакта между периодами времени, приведенными в таблице 1, удобно выполнять линейную интерполяцию между соседними значениями порога возникновения ожога более короткого и более длительного периодов контакта.
Примечание - Значение 51 °C для периода контакта в 1 мин также применимо к другим материалам с высокой теплопроводностью, которые не указаны в
таблице 1.
Предупреждение - Значение 43 °C для всех материалов для периода контакта 8 ч и более применимо только в том случае, если касается горячей поверхности незначительная часть тела (менее 10% всей поверхности кожи тела) или незначительная часть головы (менее 10% поверхности кожи головы). Если область контакта не является локальной или если контакт происходит с жизненно важными частями тела человека, например, дыхательными путями (лицо), могут возникнуть серьезные повреждения, даже если температура поверхности не превышает 43 °C.
5. Оценка риска возникновения ожога
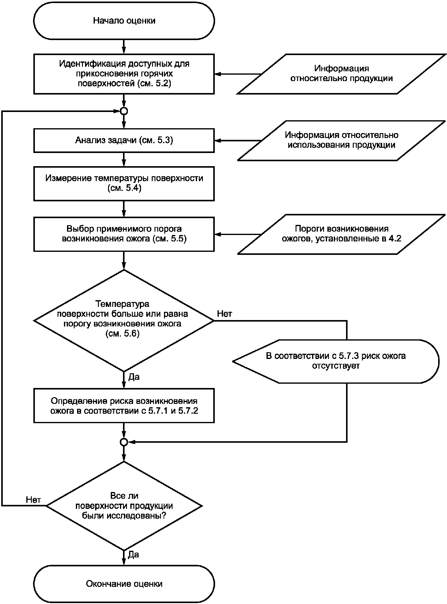
5.1 Процедура
Чтобы оценить риск возникновения ожога, когда незащищенная кожа человека вступает в контакт с горячими поверхностями, должны быть выполнены следующие процедуры:
- определение доступных для прикосновения горячих поверхностей;
- анализ задачи;
- измерение температуры поверхности;
- выбор применимого значения порога возникновения ожога;
- сравнение температуры поверхности с порогом возникновения ожога;
- определение риска возникновения ожога;
- повторение оценки.
На
рисунке C.1 (приложение C) этапы процедуры представлены в виде блок-схемы. Подробное описание приведено в
5.2 -
5.8. Пример оценки риска приведен в
приложении F.
Примечание - В конкретных случаях можно отклониться от последовательности, показанной на
рисунке C.1. Например, анализ задачи может быть выполнен перед определением доступных для прикосновения горячих поверхностей, если количество поверхностей, которые будут рассмотрены, может быть сокращено с помощью этой процедуры, или выбор применимого значения порога возникновения ожога может быть выполнен перед измерением температуры поверхности.
5.2 Определение доступных для прикосновения горячих поверхностей
Продукцию, имеющую горячую поверхность или несколько горячих поверхностей, необходимо тщательно исследовать. Должна быть собрана вся необходимая информация относительно горячих поверхностей исследуемой продукции. Такая информация включает в себя следующие сведения:
- доступность поверхностей;
- грубая оценка температуры поверхностей (горячая, умеренная, холодная);
- материалы поверхностей;
- структура поверхностей;
- все эксплуатационные режимы продукции, включая наихудший случай, т.е. случай с самой высокой температурой поверхности.
Примечание - Если для определения доступности поверхности продукции необходима более специфическая информация, могут быть использованы другие подходящие стандарты, такие как МЭК 61032 и ЕН 71-1.
Должна быть собрана вся необходимая информация относительно использования продукции. С помощью анализа или наблюдения следует описать все действия и задачи, связанные с использованием продукции. Особое внимание должно быть обращено на возможный преднамеренный и непреднамеренный контакт с горячими поверхностями и на категории людей (пользователи продукции и другие категории), у которых он может произойти. Вероятный характер контакта (вероятность и период контакта) также должен быть идентифицирован.
С помощью анализа задачи получают следующую информацию:
- поверхности, с которыми происходит или может произойти контакт;
- преднамеренный или непреднамеренный контакт;
- продолжительность контакта с поверхностями;
- люди, у которых происходит или может произойти контакт с поверхностями;
- вероятность непреднамеренного контакта;
- частота преднамеренного контакта;
- установленный диапазон мощности/температуры продукции во время использования.
В анализ задачи должны быть включены все этапы использования продукции, т.е. эксплуатация, обслуживание, ремонт и т.д.
5.4 Измерения температур поверхности
5.4.1 Процедура
Температура поверхности должна быть измерена на той части или тех частях продукции, где может произойти контакт кожи с поверхностью.
Измерение должно быть выполнено при рабочих режимах работы продукции. Крайние значения диапазона условий работы должны быть включены в измерение для получения максимальной температуры поверхности.
При измерении температуры поверхности необходимо убедиться, что установлен хороший контакт между датчиком и поверхностью продукции. Для установления контакта, в случае необходимости, можно применить усилие и термопасту в соответствии с рекомендацией ИСО 7726. Контактный датчик измерительного прибора должен быть плотно прижат к поверхности. Измеренное значение не должно быть считано до установления температурного равновесия между поверхностью продукции и датчиком. Чтобы быстрее достигнуть этого равновесия, можно нагреть контактный датчик измерительного прибора в другой точке горячей поверхности до выполнения фактического измерения.
5.4.2 Измерительный прибор
Измерение температуры поверхности должно быть выполнено с помощью электрического термометра с контактным датчиком, сделанным из металла и имеющим низкую теплоемкость. Точность инструмента должна составлять не более +/- 1 °C в диапазоне до 50 °C и не более +/- 2 °C в диапазоне выше 50 °C.
Примечание - Данные, представленные в настоящем стандарте, получены с использованием вышеупомянутого средства измерений, а результаты, полученные другими методами, не следует сопоставлять с представленными данными.
5.5 Выбор применимого значения порога возникновения ожога
5.5.1 Процедура
Для выбора применимого значения порога возникновения ожога, из данных, приведенных в
разделе 4, на основе результатов идентификации доступных для прикосновения горячих поверхностей
(5.2) и анализа задачи
(5.3) необходимо определить:
- период контакта;
- материал поверхности;
- структуру поверхности.
Процедура определения этих характеристик установлена в
5.5.2 и
5.5.3.
5.5.2 Определение периода контакта
5.5.2.1 Общие положения
На основе результатов анализа задачи
(5.3) необходимо установить:
a) может ли контакт кожи с горячей поверхностью произойти непреднамеренно или преднамеренно (например, прикосновение к элементам управления);
b) какие категории людей вступают или могут вступить в контакт с горячей поверхностью:
- здоровые взрослые;
- дети;
- пожилые люди;
- люди с ограниченными физическими возможностями.
5.5.2.2 Непреднамеренный контакт
Способность людей реагировать на непреднамеренный контакт с горячей поверхностью и прерывать его после возникновения боли зависит от возраста и физического состояния. Поэтому продолжительность непреднамеренного контакта отлична у разных людей.
a) Здоровые взрослые
Для здоровых взрослых людей используют данные
таблицы B.1. Обычно должна быть использована минимальная продолжительность контакта, равная 1 с. Минимальная продолжительность контакта, равная 0,5 с, может быть выбрана, если не существует абсолютно никаких помех или ограничений для движения, прерывающего контакт после ощущения боли. Если ожидают увеличенного времени реакции (например, из-за условий, которые ограничивают свободу движений), следует выбрать более длительный период контакта, равный 4 с.
b) Дети
Для детей используют данные
таблицы B.1 (приложение B). Минимальный выбранный период контакта не должен быть менее 1 с. Если ожидают касания горячей поверхности и увеличенного времени реакции с учетом возраста, следует выбрать период контакта не менее 4 с.
До возраста 24 месяцев дети не обладают достаточно быстрой реакцией. Поэтому у них не всегда есть возможность прервать контакт с горячей поверхностью. Для очень маленьких детей (не старше 1 года) период контакта может составлять до 15 с.
c) Пожилые люди
Для пожилых людей используют данные
таблицы B.1 (приложение B). Если продукцию используют в основном пожилые люди, то минимальный период контакта должен составлять 1 с. Если ожидают касания горячей поверхности и увеличенного времени реакции с учетом возраста, следует выбрать период контакта не менее 4 с.
d) Люди с ограниченными физическими возможностями
Если люди с ограниченными физическими возможностями могут контактировать с горячей поверхностью, то этому должно быть уделено особое внимание с учетом их ограничений и особенностей использования продукции. Необходимо принять решение о применимости
таблицы B.1 или выборе более длительного периода контакта.
5.5.2.3 Преднамеренный контакт
Если горячей поверхности касаются преднамеренно, то, в идеале, должен быть измерен максимальный период контакта. Если максимальный период не может быть определен с помощью измерения, то при помощи
таблицы B.1 должен быть выбран репрезентативный период контакта. Этот период должен быть принят в качестве основы для фактического периода контакта. Для преднамеренного контакта с горячей поверхностью не должна быть использована продолжительность контакта менее 4 с.
В целом
таблица B.1 применима к здоровым взрослым, детям, пожилым людям и людям с ограниченными физическими возможностями. В любом случае надо рассмотреть возможность использования продукции группами людей помимо здоровых взрослых, у которых задача может занять больше времени, чем определено в
таблице B.1. В этом случае периоды контакта должны быть соответствующим образом изменены.
Если продукция предназначена для людей с ограниченными физическими возможностями, то нужно подробно рассмотреть характер ограничения и получить медицинскую консультацию.
5.5.3 Выбор порога возникновения ожога
Используя период контакта, определенный в соответствии с
5.5.2, а также материал и структуру поверхности, значение порога возникновения ожога должно быть взято из
4.2. Результатом будет или область разброса значений для коротких периодов контакта, или определенное значение для более длительного периода контакта.
Для материалов, не указанных на
рисунках 2,
5,
6 и
7 и в
таблице 1 в некоторых случаях могут быть получены оценки в соответствии с их свойствами теплопроводности. Тепловую инерцию (см.
приложения A и
D) соответствующего материала надо сравнить с тепловой инерцией следующих групп материалов: металлы, керамика и стекло, пластмассы, древесина. Затем рассматриваемому материалу можно присвоить значение порога возникновения ожога группы материалов с такой же тепловой инерцией. При этом предполагается, что измерение или оценка тепловой инерции рассматриваемого материала выполнены с достаточной точностью для сравнения с тепловой инерцией групп материалов, приведенных в настоящем стандарте. Если тепловая инерция рассматриваемого материала неизвестна, то пороги возникновения ожога не могут быть получены, используя настоящий стандарт. Особенно это касается пластмасс (например, пенополистирола), когда свойства теплопроводности могут значительно отличаться от свойств материалов из пластмассы, описанных в
4.2.
5.6 Сравнение температуры поверхности с порогом возникновения ожога
Температуру поверхности, измеренную в соответствии с
5.4, следует сравнить со значением порога возникновения ожога, выбранным в соответствии с
5.5. Возможно получение следующих результатов:
- температура поверхности выше порога возникновения ожога;
- температура поверхности находится внутри области разброса значений порога возникновения ожога (см.
рисунки 2 -
7, (4.2);
- температура поверхности ниже порога возникновения ожога.
5.7 Определение риска возникновения ожога
5.7.1 Температура поверхности выше порога возникновения ожога
Если измеренная температура поверхности выше порога возникновения ожога, то можно ожидать повреждение кожи при контакте с горячей поверхностью, т.е. присутствует риск ожога. Этот риск не может быть количественно определен, но может быть квалифицирован следующим образом.
Риск ожога возрастает:
- с увеличением превышения измеренной температуры поверхности порога возникновения ожога;
- с увеличением продолжительности периода, во время которого температура поверхности превышает порог возникновения ожога;
- с уменьшением осведомленности человека, который может получить ожог (например, ребенок), о возможности ожога;
- с уменьшением возможности для защитной реакции;
- с увеличением доступности горячей поверхности;
- с увеличением риска контакта в соответствии с предполагаемым использованием продукции;
- с увеличением частоты контакта;
- с уменьшением предыдущих знаний пользователя относительно безопасного обращения с продукцией.
5.7.2 Температура поверхности в пределах значений области разброса порога возникновения ожога
Если измеренная температура поверхности находится в пределах значений области разброса (см.
рисунки 2 -
7), то повреждение кожи может как произойти, так и не произойти. Это соответствует неточности, указанного в спецификации порога возникновения ожога. Все еще остается определенный риск возникновения ожога, который может быть квалифицирован так же, как в
5.7.1.
5.7.3 Температура поверхности ниже порога возникновения ожога
Если измеренная температура находится ниже порога возникновения ожога, то обычно кожа не получает повреждение. Риск возникновения ожога отсутствует.
Примечание - Человек может ощущать дискомфорт или боль, даже если температура поверхности ниже порога возникновения ожога. Информация относительно возникновения боли и защитных мерах приведена в
приложениях A,
B и
E.
Оценка риска возникновения ожога представлена в
5.2 -
5.7, должна быть выполнена для всех горячих поверхностей продукции, с которыми происходит или может произойти контакт во время ее использования.
Оценку следует повторить:
- при изменении конструкции продукции;
- при изменении диапазона мощности/температуры продукции;
- при изменении требований к использованию продукции;
- при изменении всех обстоятельств, которые могут привести к другому результату оценки риска возникновения ожога.
6.1 Общие положения
В данном разделе приведены указания относительно защитных мер против возникновения ожогов. Детальные требования к защитным мерам не входят в область применения настоящего стандарта.
6.2 Риск ожога отсутствует
Если оценка риска в соответствии с
разделом 5 показывает отсутствие риска возникновения ожога, то обычно нет необходимости в защитных мерах.
6.3 Риск ожога присутствует
Если оценка риска в соответствии с
разделом 5 показывает наличие риска возникновения ожога, то существует необходимость в применении защитных мер при контакте с горячей поверхностью.
При необходимости защитных мер, конкретные меры зависят от условий эксплуатации продукции и не могут быть определены в настоящем стандарте. Однако приведенное ниже руководство может быть полезно.
Потребность в защитных мерах от возникновения ожогов возрастает:
- при превышении температуры поверхности порога возникновения ожога;
- с увеличением продолжительности периода, во время которого температура поверхности превышает порог возникновения ожога;
- при снижении осведомленности человека, который может получить ожог (например, ребенок) о риске ожога;
- с уменьшением возможности и времени реакции;
- с увеличением доступности горячей поверхности;
- с увеличением риска контакта в соответствии с предполагаемым использованием продукции;
- с увеличением частоты контакта;
- с уменьшением предыдущих знаний пользователя относительно безопасного обращения с продукцией.
Приведенный перечень не является исчерпывающим и каждая ситуация должна быть исследована индивидуально.
Примеры защитных мер от возникновения ожога приведены в
приложении E. Применение технических защитных мер предпочтительнее индивидуальных средств защиты.
В каждом конкретном случае необходимо решить, какие защитные меры должны быть применены. Затем надо рассмотреть все сопутствующие обстоятельства и вышеупомянутые пункты. В стандартах на продукцию при необходимости должны быть установлены защитные меры.
Одной из возможных защитных мер является снижение температуры поверхности ниже порога возникновения ожога. Предельные значения температуры поверхности могут быть регламентированы (на уровне или ниже порога возникновения ожога) в стандартах на продукцию или в нормативных документах. В дальнейшем задача применения технических решений для соответствия установленным предельным значениям ложится на изготовителя продукции.
Уменьшение температуры поверхности и установление предельных значений температуры применимы только к тем частям продукции, которые не нагреваются преднамеренно как неотъемлемая часть функционирования продукции. В случаях, когда поверхности продукции должны быть горячими и доступными в соответствии с назначением продукции (например, электрическая варочная поверхность), должны быть применены соответствующие защитные меры.
7. Руководство по установлению предельных значений температуры поверхности
7.1 Процедура
Если предельные значения температуры поверхности для предотвращения ожогов должны быть установлены в стандартах или нормативных документах, то рекомендуется выполнить следующую процедуру:
- оценку риска возникновения ожога;
- принять решение о необходимости защитных мер, включая установление предельных значений температуры поверхности;
- выбрать подходящие значения;
- установить предельные значения температуры поверхности.
7.2 Оценка риска возникновения ожога
Может быть сделано различие между предельными значениями температуры поверхности, которые должны быть установлены для существующей продукции и для продукции, которая будет произведена в будущем.
a) Существующая продукция
Для существующей продукции должна быть выполнена оценка риска возникновения ожога в соответствии с
разделом 5.
b) Продукция, которая будет произведена или использована в будущем
Для продукции, которая в настоящее время не произведена, или будущее использование которой не определено, должна быть выполнена грубая оценка риска возникновения ожога. Информация, требуемая в
5.2 и
5.3, должна быть собрана в максимально возможной степени. Должны быть сделаны обоснованные предположения, касающиеся тех аспектов продукции и ее использования, которые не могут быть точно определены. По возможности должен быть учтен предшествующий опыт использования аналогичной продукции.
В случае необходимости должен быть изготовлен опытный образец продукции и проведено его испытание. В этом случае, даже если невозможно выполнить все этапы оценки риска возникновения ожога, приведенные в
5.4 -
5.8, грубая оценка должна показать, существует ли риск возникновения ожога.
7.3 Решение о защитных мерах
Если оценка риска в соответствии с
пунктом 7.2 показывает риск возникновения ожога, должно быть принято решение о применении защитных мер. Руководство приведено в
разделе 6.
Одной из нескольких возможных защитных мер является снижение температуры поверхности ниже порога возникновения ожога. Чтобы достичь этого, предельные значения температуры поверхности могут быть установлены на уровне или ниже порога возникновения ожога в стандартах на продукцию или в нормативных документах. Если принято решение установить предельное значение температуры поверхности, то должны быть выполнены процедуры, определенные в
7.4 и
7.5.
7.4 Выбор подходящих значений
Используя информацию, собранную в соответствии с
5.2 и
5.3, должны быть выбраны применимые значения порога возникновения ожога в соответствии с
5.5.
7.5 Установление предельного значения температуры поверхности
7.5.1 Период контакта между 0,5 с и 1 мин
При выполнении процедуры, приведенной в
7.4, будет получена область разброса порога возникновения ожога для периодов контакта между 0,5 с и 1 мин. Область разброса полученных значений должна быть "точно настроена", принимая во внимание изложенные ниже факторы.
a) Люди, которые прикасаются или могут прикасаться к поверхности:
- для здоровых взрослых людей, пожилых людей и людей с ограниченными физическими возможностями может быть выбрано значение в середине области разброса;
- для детей должно быть выбрано значение ближе к нижней границе области разброса. Для продукции, сделанной специально для детей, рекомендуется выбрать значение на нижней границе области разброса.
b) Структура поверхности:
- чем более сложную структуру имеет поверхность, тем ближе к верхней границе области разброса должно быть выбрано значение;
- чем более гладкой является поверхность, тем ближе к нижней границе области разброса должно быть выбрано значение.
Примечание - Для очень структурированных поверхностей (например, рифленых), теплоемкость поверхности будет малой в сравнении с человеческой кожей и требуется детальное рассмотрение.
c) Вероятность контакта:
- чем выше вероятность контакта с горячей поверхностью, тем ближе к нижней границе области разброса должно быть выбрано значение;
- чем ниже вероятность контакта с горячей поверхностью, тем ближе к верхней границе области разброса должно быть выбрано значение.
d) Последствия касания:
- чем более серьезные последствия могут возникнуть из-за контакта с горячей поверхностью, тем ближе к нижней границе области разброса должно быть выбрано значение;
- чем менее серьезные последствия могут возникнуть из-за контакта с горячей поверхностью, тем ближе к верхней границе области разброса должно быть выбрано значение.
Все эти факторы должны быть приняты во внимание при определении предельного значения температуры поверхности. Важность каждого фактора зависит от условий эксплуатации и должна быть соответствующим образом изучена. В результате такой "точной настройки" может быть выбрано единственное значение температуры в качестве наиболее подходящего значения порога возникновения ожога.
Это значение рекомендуется установить как предельное значение температуры поверхности для защиты от ожогов.
Примечание - Выбранное предельное значение температуры поверхности защищает от ожогов, но может быть недостаточным, чтобы защитить от боли или дискомфорта.
7.5.2 Период контакта от 1 мин
Для периодов контакта от 1 мин порог возникновения ожога определяют не как область разброса, а как единственное значение (см.
таблицу 1), и "точная настройка" не требуется. Таким образом, рекомендуется, чтобы значение порога возникновения ожога, определенное в соответствии с
7.4, было установлено как предельное значение температуры поверхности для защиты от ожогов.
Примечание - Для периодов контакта от 1 мин, пороги возникновения ожога ниже, чем для более коротких периодов, и время реакции не имеет значения. Человек, который касается горячей поверхности, сначала почувствует дискомфорт, а затем боль. Обычно достаточно времени, чтобы прервать контакт кожи с горячей поверхностью, и ожог не возникнет. Это относится ко всем категориям людей - взрослым, детям, пожилым людям и людям с ограниченными физическими возможностями. Особое рассмотрение необходимо для людей, которые не могут чувствовать боль, вызванную высокой температурой, и для людей, чья способность передвигаться ограничена, например, очень маленькие дети, лежащие на подогреваемой подушке.
(справочное)
Значения порога возникновения ожога, установленные в
4.2, основаны на научных исследованиях, выполненных несколькими группами.
Эксперименты были выполнены на коже свиней, которая очень сходна с кожей человека (см.
[8]). Были исследованы температурные значения поверхности кожи, которые приводят к ожогам. Возникновение повреждения кожи зависит от температуры поверхности кожи и времени, в течение которого эта поверхность была подвержена воздействию высокой температуры. В результате этих исследований выделены две границы температуры поверхности кожи для каждого периода воздействия высокой температуры. Нижняя граница указывает границу между отсутствием повреждения и началом возникновения обратимого повреждения кожи. Верхняя граница указывает границу между возникновением обратимого повреждения кожи и возникновением необратимого повреждения кожи, которое приводит к полному разрушению кожи (глубокий ожог).
Тепловой поток от горячего объекта к коже при контакте также был исследован с теоретической точки зрения (см.
[9],
[10]). Были установлены формулы для вычисления температуры поверхности кожи и внутри кожи. Используя пороговые значения порога возникновения ожогов кожи из
[8] в некоторых случаях можно вычислить температуру поверхности горячего объекта, приводящую к ожогу кожи при контакте с объектом.
Был сконструирован прибор под названием термоэстезиометр, способный измерить температуру на поверхности кожи при контакте с горячим объектом (см.
[11],
[12]).
Термоэстезиометр был использован для определения температуры поверхности горячего объекта, которая приводит к возникновению ожога при контакте с кожей (см.
[15],
[16]). Термоэстезиометр указал значение температуры, лежащее на нижней границе между отсутствием повреждения и началом возникновения обратимого повреждения кожи, как определено в
[8]. Тогда температура поверхности объекта была определена с помощью обычного прибора измерения температуры. Измерения были выполнены для поверхностей объекта, сделанных из различных материалов и для различных периодов контакта.
Эксперименты проводили на крысах и свиньях (см.
[17]). В процессе эксперимента была определена температура различных материалов, приводящая к ожогам различной глубины и опасности при контакте кожи животного с горячей поверхностью материалов. Хотя используемые интервалы температуры были довольно большими, результаты показывают их соответствие таковым из
[15] и
[16].
Значения температуры поверхности объектов для начала возникновения ожога, измеренные в соответствии с
[15] и
[16] для коротких периодов контакта с металлами, составляют от 2 °C до 3 °C в соответствии с
[9] и
[10]. Для материалов с более низкой теплопроводностью вычисления и измерения соотносятся аналогично, но не в такой степени, как для металлов. Для материалов с очень низкой теплопроводностью вычисления приводят к результатам, превышающим измеренные значения. Для таких материалов вычисления не приводят к получению достоверных результатов.
Значения порога возникновения ожога, установленные в настоящем стандарте, основаны на результатах измерений, приведенных в
[15] и
[16] для коротких периодов контакта и в
[8] для продолжительных периодов контакта. Значения порога возникновения ожога, в особенности для коротких периодов контакта, не являются точными по следующим причинам:
- сила касания может быть различной;
- кожа может быть сухой или влажной (наличие пота);
- научное определение порога возникновения ожога содержит погрешности;
- материалы с незначительным отличием тепловой инерции объединены в одну группу, чтобы упростить использование настоящего стандарта.
Все эти влияния приводят к неточности в определении порога возникновения ожога. Чтобы учесть эту неточность значения порога возникновения ожога были представлены на
рисунках 2,
5,
6 и
7 не как линии, а как области разброса. Однако упомянутые влияния считают незначительными по сравнению с влиянием свойств теплопроводности материалов. Таким образом, области разброса малы по сравнению с различиями теплопроводности разных групп материалов. Для продолжительных периодов контакта значение порога возникновения ожога известно с большей точностью. В этих случаях в настоящем стандарте определены точные значения.
Поскольку в стандарте рассмотрены только поверхности твердой продукции, значения порога возникновения ожога для воды не были установлены в настоящем стандарте. Однако при необходимости значения порога возникновения ожога для контакта кожи с водой могут быть выведены на основе нижней границы области разброса порога возникновения ожога, установленного для металлов без покрытия, показанных на
рисунке 2, и значений для металла без покрытия, приведенных в
таблице 1.
Для материалов, не установленных на
рисунках 2,
5,
6 и
7 и в
таблице 1, значения порога возникновения ожога в некоторых случаях могут быть получены в соответствии с
5.5.3. Это возможно, если свойства теплопроводности рассматриваемого материала известны. Самым важным количественным значением является тепловая инерция, которая является произведением плотности продукции, теплопроводности и теплоемкости (см.
[10]). Тепловая инерция может быть выведена из таблиц (например, в
приложении D) или должна быть измерена. Если тепловая инерция существенно отличается от тепловой инерции групп материалов, упомянутых в
4.2, то значение порога возникновения ожога не может быть получено с использованием настоящего стандарта. В этих случаях для определения значения порога возникновения ожога рекомендовано использовать термоэстезиометр и метод, описанный в
[13],
[14],
[15] и
[16].
В настоящем стандарте рассмотрены только данные температуры для порога возникновения ожога. Но в некоторых случаях порог возникновения боли также представляет интерес, например, если конструкцией предусмотрен контакт горячей поверхности с кожей. В этом случае значения порога возникновения боли могут быть получены в соответствии с
[18].
(обязательное)
Для вычисления периода контакта кожи с горячей поверхностью используют значения, приведенные в таблице B.1.
Таблица B.1
Период контакта, менее | Примеры касания горячей поверхности |
Непреднамеренное | Преднамеренное |
0,5 с | Касание горячей поверхности и наиболее быстрое прерывание контакта после возникновения (нет ограничений для движения) | |
1 с | Касание горячей поверхности и быстрое прерывание контакта после возникновения боли | |
4 с | Касание горячей поверхности и увеличенное время реакции | Активация рычага, нажатие кнопки |
10 с | Касание горячей поверхности без возможности быстрого прерывания контакта | Продолжительная активация рычага, небольшая корректировка маховика, вентиля и т.д. |
1 мин | Поворот маховика, вентиля и т.д. |
10 мин | Использование элементов управления (элементы управления, манипуляторы и т.д.) |
8 ч | Продолжительное использование элементов управления (элементы управления, манипуляторы и т.д.) |
|
(справочное)
БЛОК-СХЕМА
ОЦЕНКИ РЕАКЦИИ ЧЕЛОВЕКА ПРИ КОНТАКТЕ С ГОРЯЧИМИ
ПОВЕРХНОСТЯМИ В СООТВЕТСТВИИ С НАСТОЯЩИМ СТАНДАРТОМ
Рисунок C.1 - Блок-схема процедуры оценки риска
возникновения ожога
Рисунок C.2 - Блок-схема процедуры для установления
предельных значений температуры поверхности
(справочное)
ТЕМПЕРАТУРНЫЕ СВОЙСТВА ОТДЕЛЬНЫХ МАТЕРИАЛОВ
Температурные свойства материалов приведены в таблице D.1 из
[9].
Таблица D.1
Материал | Теплопроводность Вт/м·К | Удельная теплоемкость материала 103·Дж/кг | Плотность 103·кг/м3 | Тепловая инерция 106·Дж2/с·м4·К2 |
Кожа человека (среднее значение) | 0,55 | 4,6 | 0,9 | 2,3 |
Вода | 0,600 | 4,19 | 1,0 | 2,53 |
Металлы | | | | |
алюминий | 203 | 0,872 | 2,71 | 481 |
медь, латунь (среднее значение) | 85,5 | 0,377 | 8,9 | 286 |
сталь | 45,3 | 0,461 | 7,8 | 163 |
Стекло | | | | |
обычное стекло | 0,88 | 0,670 | 2,6 | 1,51 |
| 1,13 | 0,838 | 2,25 | 2,14 |
боросиликатное стекло | 1,22 | 0,838 | 2,2 | 2,25 |
Каменные материалы | | | | |
камень | 0,92 | 0,838 | 2,3 | 1,77 |
кирпич | 0,63 | 0,838 | 1,7 | 0,90 |
мрамор | 2,30 | 0,880 | 2,7 | 5,48 |
бетон | 2,43 | 0,922 | 2,47 | 5,51 |
Пластмассы (среднее значение) | 0,25 | 1,55 | 1,28 | 0,49 |
АБС-пластик | 0,18 | 1,51 | 1,04 | 0,21 |
фторопласт | 0,25 | 0,922 | 2,13 | 0,49 |
полиамиды 6,11, 6,6 | 0,21 | 2,10 | 1,11 | 0,49 |
ацеталь | 0,23 | 1,47 | 1,43 | 0,46 |
ацетат целлюлозы | 0,26 | 1,51 | 1,28 | 0,49 |
полистирол GP | 0,12 | 1,43 | 1,05 | 0,18 |
полиэтилены (среднее значение) | 0,32 | 2,10 | 0,93 | 0,61 |
фенольные смолы (среднее значение) | 0,42 | 1,38 | 1,25 | 0,72 |
полипропилен | 0,12 | 1,93 | 0,9 | 0,21 |
Древесина (среднее значение) | 0,18 | 1,72 | 0,66 | 0,233 |
ясень | 0,18 | 1,80 | 0,65 | 0,205 |
береза | 0,17 | 1,59 | 0,71 | 0,193 |
дуб | 0,19 | 1,72 | 0,70 | 0,230 |
сосна | 0,16 | 1,76 | 0,60 | 0,169 |
<a> Пирекс является примером коммерческого продукта. Данная информация предоставлена для удобства пользователей настоящего стандарта и не является рекламой. |
(справочное)
ПРИМЕРЫ ЗАЩИТНЫХ МЕР ОТ ВОЗНИКНОВЕНИЯ ОЖОГОВ
E.1 Защитные меры от возникновения ожогов
С учетом критериев, установленных в
разделе 6, могут быть приняты следующие меры, как по отдельности, так и в сочетании.
a) Технические меры:
- уменьшение температуры поверхности;
- выбор материалов поверхности и структуры поверхности с высокими порогами возникновения ожога;
- изоляция (например, древесиной, пробкой, волокном);
- применение защитных приспособлений (экранов или барьеров);
- изменение структуры поверхности (например, придание шероховатости, рифление);
- увеличение расстояния между частями продукции, контакт с которыми происходит преднамеренно, и горячими поверхностями продукции.
b) Организационные меры:
- приведение в действие предупредительных сигналов (визуальных и акустических);
- инструктаж и обучение пользователей;
- техническая документация, инструкции по использованию;
- установление предельных значений температуры поверхности в стандартах на продукцию и нормативных документах.
c) Личные защитные меры:
- использование индивидуальных средств защиты (одежда, перчатки и т.д.).
E.2 Примеры защитных мер
E.2.1 Защитные меры для портативного ручного инструмента с приводом от двигателя внутреннего сгорания
Портативный ручной инструмент с приводом от двигателя внутреннего сгорания выбран для демонстрации различных требований к защитным мерам от возникновения ожога. У такого инструмента существуют три области, для которых можно или необходимо принять различные защитные меры: цилиндр и глушитель, ручки и область перехода между ними.
E.2.2 Цилиндр и глушитель
Во время процесса сгорания топлива значительное количество тепловой энергии передается внешней поверхности цилиндра и перемещается охлаждающим воздухом. Одновременно, выхлопные газы проходят через глушитель и нагревают его до температуры существенно выше порога возникновения ожога. Мерами защиты от возникновения ожога являются расположение глушителя на значительном расстоянии от прямого доступа оператора и/или установка защитного приспособления для цилиндра и глушителя, которое предотвращает прямой контакт между оператором и горячими поверхностями.
E.2.3 Ручки
Контакт с ручками происходит преднамеренно. Температура поверхности ручек не должна вызывать ожогов, даже если ручка находится в контакте с рукой длительный период времени. Кроме того, температура поверхности должна быть ниже уровня возникновения боли. Для этого требуются технические меры защиты. Технические меры защиты могут включать в себя изоляцию ручек и использование материалов с высокими значениями порога возникновения ожога, таких как пластмассы и древесина (см.
4.2).
E.2.4 Область перехода
Спецификация защитных мер в области между ручками и горячим цилиндром, или глушителем является более сложной, чем предыдущие меры. Верхняя область горячих компонентов напротив ручки должна быть тщательно исследована. Риск непреднамеренного контакта с этой областью более вероятен, чем с внешней поверхностью инструмента. Одной из защитных мер является уменьшение вероятности непреднамеренного контакта с верхней областью инструмента. Этого можно достигнуть с помощью увеличения расстояния между ручкой и верхней поверхностью горячих компонентов или с помощью установки защитного приспособления для предотвращения непреднамеренного контакта.
Дальнейшие меры от возникновения ожога могут быть необходимы, если защитное приспособление имеет более высокую температуру, чем установлено в
4.2. В этом случае защитное приспособление должно быть разработано таким образом, чтобы уменьшить теплопроводность. Этого можно достигнуть с помощью структурирования поверхности (например, рифления) или покрытия поверхности изоляционными материалами.
(справочное)
ПРИМЕР ОЦЕНКИ РИСКА ВОЗНИКНОВЕНИЯ ОЖОГА
Для оценки риска ожога в соответствии с
разделом 5 и оценки необходимости применения защитных мер в соответствии с
разделом 6 использован утюг.
На утюге можно выделить три области с различными температурами поверхности, различным риском возникновения ожога и различными возможностями применения защитных мер:
- опорная плита;
- ручка;
- промежуточная область.
Оценки риска ожога для поверхностей этих трех областей могут быть выполнены отдельно.
Примечание - Следующие значения для измеренных температур поверхности и материалов являются примерами для применения настоящего стандарта. Реальные значения могут быть иными.
F.2 Опорная плита
Опорная плита должна быть горячей в соответствии с выполняемой функцией утюга.
При оценке риска в соответствии с
разделом 5 собирают следующую информацию.
a) Информация о продукции (в соответствии с
5.2)
Исследуемая поверхность: | поверхность опорной плиты |
Доступность: | легко доступна |
Оценка температуры: | очень горячая |
Материал поверхности: | сталь |
Структура поверхности: | гладкая |
Режимы эксплуатации: | три режима мощности с возможностью выбора |
b) Анализ задачи (в соответствии с
5.3)
Поверхность, с которой произойдет или может произойти контакт: | поверхность опорной плиты |
Преднамеренный или непреднамеренный контакт: | непреднамеренный |
Люди, которые контактируют с поверхностью: | взрослые и дети |
Продолжительность контакта: | 0,5 с для здоровых взрослых, 4 с для детей, 15 с для очень маленьких детей, не старше одного года (см. 5.5.2) |
Вероятность непреднамеренного контакта | - низкая во время работы; - более высокая, когда утюг поставлен вертикально; - от средней до высокой для людей, которые не осведомлены о возможности ожога, например, маленьких детей |
Частота преднамеренного контакта: | нулевая |
Фактический диапазон установок мощности/температуры: | режим максимальной мощности |
c) Измерение температуры поверхности (в соответствии с
5.4)
Максимальная измеренная температура опорной плиты, когда утюг используют на максимальной мощности, составила 250 °C.
d) Выбор применимого порога возникновения ожога (в соответствии с
5.5)
Область разброса порога возникновения ожога для гладкой поверхности, сделанной из стали, и продолжительности контакта 0,5 с лежит в пределах от 67 °C до 73 °C. Эти значения применимы только к взрослым людям. Для детей область разброса порога возникновения ожога лежит в пределах от 58 °C до 63 °C (продолжительность контакта 4 с) и от 55 °C до 59 °C (продолжительность контакта 15 с).
e) Сравнение и заключение (в соответствии с
5.6)
Измеренная температура поверхности сильно превышает применимые области разброса порога возникновения ожога. При контакте с горячей опорной плитой ожидают повреждение кожи как у взрослых, так и у детей.
f) Результат оценки риска (в соответствии с
5.7)
Температура опорной плиты сильно превышает порог возникновения ожога. Поэтому существует риск возникновения ожога. Вероятность контакта с горячей опорной плитой низкая, когда утюг используют опытные взрослые дома или на работе. Если у неопытных маленьких детей имеется доступ к утюгу, вероятность контакта с горячей опорной плитой может быть средней или высокой. При контакте с горячей опорной плитой с незащищенной кожей могут возникнуть серьезные повреждения. В целом риск ожога является низким или средним, если утюг используют опытные взрослые. Риск ожога является средним или высоким, если у неопытных детей существует доступ к горячему утюгу.
g) Применение защитных мер (в соответствии с
разделом 6).
Поскольку опорная плита во время работы утюга должна быть горячей, уменьшение температуры опорной плиты ниже порога возникновения ожога для устранения риска возникновения ожога невозможно. Должны быть приняты другие защитные меры (см.
приложение E). Обычно взрослые знают о риске ожога при прикосновении к горячей опорной плите утюга. Осторожное использование утюга является общей защитной мерой. Должны быть приняты меры для предотвращения доступа к утюгу неопытных детей. Технические комитеты, разрабатывающие стандарты на продукцию, могут рассмотреть включение предупреждений в инструкциях по использованию и световых индикаторов для информирования о рабочем состоянии утюга.
Примечание - Даже с учетом того, что опорная плита должна быть горячей в соответствии с функцией утюга и уменьшение температуры поверхности ниже порога возникновения ожога невозможно, могут существовать другие причины для ограничения температуры опорной плиты на более высоком уровне. Например, чтобы не разрушить ткани, может быть применено температурное ограничение (например, 230 °C). Это ограничение служит для предотвращения специфического риска, но не ожога.
F.3 Ручка
Температура ручки должна быть такой, чтобы риск возникновения ожога отсутствовал.
При оценке риска в соответствии с
разделом 5 собирают следующую информацию.
a) Информация о продукции (в соответствии с
5.2)
Исследуемая поверхность: | поверхность ручки |
Доступность: | легко доступна |
Оценка температуры: | средняя |
Материал поверхности: | пластмасса |
Структура поверхности: | гладкая |
Режимы эксплуатации: | три режима мощности с возможностью выбора |
b) Анализ задачи (в соответствии с
5.3)
Поверхность, с которой происходит или может произойти контакт: | поверхность ручки |
Преднамеренный или непреднамеренный контакт: | преднамеренный |
Люди, которые контактируют или могут контактировать с поверхностью: | взрослые и дети |
Продолжительность контакта: | прерывистый контакт на протяжении нескольких часов |
Вероятность непреднамеренного касания: | не применимо |
Частота преднамеренного контакта: | частое повторяющееся касание |
Фактический диапазон установок мощности/температуры: | режим максимальной мощности |
c) Измерение температуры поверхности (в соответствии с
5.4).
Максимальная измеренная температура ручки, когда утюг использовали при максимальной мощности, составила 60 °C.
d) Выбор применимого порога возникновения ожога (в соответствии с
5.5).
В настоящем примере периоды контакта превалируют над короткими периодами восстановления. Поэтому применяют непрерывный период контакта, равный 8 часам. В соответствии с
4.2.3 для гладкой поверхности из пластмассы и продолжительности контакта, равной 8 ч, порог возникновения ожога составляет 43 °C.
e) Сравнение и заключение (в соответствии с
5.6)
Измеренная температура поверхности выше применимого порога возникновения ожога. При контакте с горячей поверхностью может возникнуть повреждение кожи.
f) Результат оценки риска (в соответствии с
5.7)
Температура ручки превышает порог возникновения ожога. Поэтому существует риск возникновения ожога. Порог возникновения ожога в данном примере будет превышен, если контакт с ручкой происходит дольше, чем 1 мин (см.
4.2.3). Это означает, что у пользователя есть достаточно времени, чтобы убрать руку с ручки, когда он чувствует дискомфорт или боль. Даже если порог возникновения ожога превышен, риск ожога в этом случае низок. Однако непрерывно держать ручку во время использования невозможно.
g) Применение защитных мер (в соответствии с
разделом 6)
Поскольку во время использования утюга будет происходить контакт с ручкой, необходимо уменьшить температуру ручки ниже порога возникновения ожога. Возможно применение нескольких технических решений: выбор подходящего материала, изоляция, структурирование поверхности и т.д. (см.
приложение E).
Примечание - Из практических соображений может быть необходимо понизить температуру ручки ниже порога возникновения ожога (например, до 35 °C или 30 °C) с помощью технических средств, чтобы пользователь не чувствовал дискомфорт во время длительного использования утюга.
F.4 Промежуточная область
Промежуточная область утюга лежит за опорной плитой, напротив ручки. Нет необходимости прикасаться к промежуточной области, но контакт с ней может произойти непреднамеренно во время использования утюга (в данном примере не рассмотрен регулятор выбора режима мощности, расположенный в промежуточной области).
При оценке риска в соответствии с
разделом 5 собирают следующую информацию.
a) Информация о продукции (в соответствии с
5.2)
Исследуемая поверхность: | поверхность промежуточной области |
Доступность: | легко доступна |
Оценка температуры: | от средней до высокой |
Материал поверхности: | пластмасса |
Структура поверхности: | гладкая |
Режимы эксплуатации: | три режима мощности с возможностью выбора |
b) Анализ задачи (в соответствии с
5.3)
Поверхность, с которой контактируют или может контактировать пользователь | поверхность промежуточной области |
Преднамеренный или непреднамеренный контакт: | непреднамеренный |
Люди, которые контактируют или могут контактировать с поверхностью: | взрослые и дети |
Продолжительность контакта: | 1 с для здоровых взрослых людей, т.к. движение руки может быть ограничено, когда рука держит ручку, 4 с для детей, 15 с для очень маленьких детей (см. 5.5.2) |
Вероятность непреднамеренного контакта | в зависимости от расстояния между ручкой и промежуточной областью (например, 5 см), в данном примере высокая |
Частота преднамеренного контакта: | не применимо |
Фактический диапазон установок мощности/температуры: | режим максимальной мощности |
c) Измерение температуры поверхности (в соответствии с
5.4)
Максимальная измеренная температура промежуточной области при использовании утюга на максимальной мощности составила 95 °C.
d) Выбор применимого порога возникновения ожога (в соответствии с
5.5)
В соответствии с
4.2.1.5 область разброса порога возникновения ожога для гладкой поверхности из пластмассы и периода контакта 1 с составляет от 86 °C до 93 °C. Для периода контакта 4 с область разброса порога возникновения ожога составляет от 74 °C до 82 °C, и для периода контакта 15 с область разброса порога возникновения ожога составляет от 70 °C до 75 °C.
e) Сравнение и заключение (в соответствии с
5.6)
Измеренная температура поверхности выше области разброса порога возникновения ожога для продолжительности контакта 1 с. При контакте с горячей поверхностью промежуточной области может возникнуть повреждение кожи. Это также относится к более продолжительным периодам контакта в 4 с и 15 с.
f) Результат оценки риска (согласно
5.7)
Температура промежуточной области превышает порог возникновения ожога. Поэтому существует риск возникновения ожога. Вероятность контакта с горячей поверхностью промежуточной области высока, когда утюг используют взрослые. Если маленькие дети имеют доступ к утюгу, вероятность контакта с горячей промежуточной областью также высока. При контакте горячей промежуточной области с незащищенной кожей возможно возникновение легких повреждений кожи, потому что измеренная температура поверхности лишь немного выше порога возникновения ожога для взрослых. В целом, риск ожога низок, когда утюг используют опытные взрослые. При наличии у детей доступа к горячему утюгу, риск ожога выше. Но этот риск ниже, чем риск ожога в результате контакта с опорной плитой утюга (см. выше).
g) Применение защитных мер (в соответствии с
разделом 6)
Чтобы устранить риск возникновения ожога во время использования утюга, температура промежуточной области должна быть установлена ниже порога возникновения ожога. Возможно применение нескольких технических решений: выбор подходящего материала, изоляция, структурирование поверхности и т.д. (см.
приложение E). Должны быть приняты меры для предотвращения доступа к утюгу неопытных детей.
Примечание - Если бы измеренная температура поверхности промежуточной области составляла не 95 °C, а 85 °C, то защитные меры относительно промежуточной области, за исключением предотвращения доступа к утюгу детей, не понадобились.
(справочное)
ПРИМЕРЫ УСТАНОВЛЕНИЯ ПРЕДЕЛЬНЫХ ЗНАЧЕНИЙ
ТЕМПЕРАТУРЫ ПОВЕРХНОСТИ
G.1 Пример 1. Предельные значения температуры поверхности для утюга
G.1.1 Объект
Утюг, использованный в
приложении F для демонстрации оценки риска возникновения ожога и применения защитных мер, может также быть использован для демонстрации установления предельных значений температуры поверхности в стандартах или нормативных документах.
- опорная плита;
- ручка;
- промежуточная область.
Те же самые цифры и условия в соответствии с
5.2 и
5.3, использованные в качестве примеров в
приложении F для оценки риска ожога, могут быть использованы для демонстрации установления предельных значений температуры поверхности.
Примечание - Описание в этом разделе служит только в качестве примера для демонстрации применения настоящего стандарта. Оно не обязывает комитет по стандартизации, разрабатывающий стандарты на утюги, приходить к таким же заключениям. При разработке стандарта на утюги важную роль могут играть и другие соображения.
G.1.2 Опорная плита
a) Оценка риска возникновения ожога (в соответствии с
7.2; см. также
приложение F)
При выполнении оценки риска возникновения ожога в соответствии с
разделом 5, а также
приложением F для опорной плиты утюга определяют риск возникновения ожога.
b) Решение о применении защитных мер (в соответствии с
7.3)
Поскольку опорная плита во время работы утюга должна быть горячей, уменьшение температуры опорной плиты ниже порога возникновения ожога для устранения риска возникновения ожога невозможно. Предельное значение температуры поверхности для опорной плиты не может быть установлено. Должны быть применены другие соответствующие защитные меры (см.
приложение F).
Примечание - Даже с учетом того, что опорная плита должна быть горячей в соответствии с функцией утюга и уменьшение температуры поверхности ниже порога возникновения ожога невозможно, могут существовать другие причины для ограничения температуры опорной плиты (см.
приложение F). Например, чтобы исключить повреждения тканей, может быть применено температурное ограничение.
G.1.3 Ручка
a) Оценка риска возникновения ожога (в соответствии с
7.2; см. также
приложение F)
При выполнении оценки риска возникновения ожога в соответствии с
разделом 5 с использованием числовых значений из
приложения F температура ручки превышает порог возникновения ожога. Порог возникновения ожога будет превышен, если контакт с ручкой происходит дольше, чем 1 мин (см.
4.2.3). Поэтому у пользователя есть достаточно времени, чтобы прервать контакт с ручкой, когда он начинает чувствовать дискомфорт или боль. Даже если порог возникновения ожога превышен, риск ожога низок (см.
приложение F).
b) Решение о применении защитных мер (в соответствии с
7.3)
Поскольку во время использования утюга происходит контакт с ручкой, необходимо уменьшить температуру ручки ниже порога возникновения ожога. Может быть принято решение о необходимости установления предельного значения температуры поверхности для ручки.
c) Выбор подходящего значения (в соответствии с
7.4)
Подходящее предельное значение может быть выбрано в соответствии с
5.5. Поскольку период контакта составляет 8 ч, порог возникновения ожога равен 43 °C (см.
таблицу 1).
d) Установление предельного значения температуры поверхности (в соответствии с
7.5)
Чтобы предотвратить ожог, предельное значение температуры поверхности для ручки должно равняться 43 °C (см.
7.5.2.).
Примечание - Из практических соображений может быть необходимо понизить температуру ручки ниже порога возникновения ожога (например, до 35 °C или 30 °C) с помощью технических средств, чтобы пользователь не чувствовал дискомфорт во время длительного использования утюга.
G.1.4 Промежуточная область
Промежуточная область утюга лежит за опорной плитой, напротив ручки. Нет необходимости прикасаться к промежуточной области, но контакт с ней может произойти непреднамеренно во время использования утюга (в данном примере не рассмотрен регулятор выбора режима мощности в промежуточной области).
a) Оценка риска возникновения ожога (в соответствии с
7.2; см.
приложение F)
При выполнении оценки риска возникновения ожога в соответствии с
разделом 5 для промежуточной области с использованием числовых значений из
приложения F, температура промежуточной области превышает порог возникновения ожога. Поэтому существует риск возникновения ожога. Вероятность контакта с горячей поверхностью промежуточной области является низкой, если утюг используют взрослые. Если неопытные маленькие дети имеют доступ к утюгу, вероятность их контакта с горячей промежуточной областью выше.
b) Решение о защитных измерениях (согласно
7.3)
Чтобы устранить риск ожога во время использования утюга, может быть принято решение об установлении предельного значения температуры поверхности для промежуточной области, основанного на использовании утюга взрослыми людьми и возможности доступа к утюгу неопытных детей.
| | ИС МЕГАНОРМ: примечание. В официальном тексте документа, видимо, допущена опечатка: имеется в виду пункт F.1, а не F.1.1. | |
Однако альтернативно может быть принято решение ввести предельное значение только для использования утюга взрослыми, но не для случаев непреднамеренного касания промежуточной области утюга неопытными детьми. Причина этого состоит в том, что для неопытных детей риск ожога от касания горячей опорной плиты намного больше (см.
F.1.1). Так как этого риска можно избежать с помощью ограничения доступа ребенка к утюгу, то такая защитная мера также устранила бы риск касания промежуточной области.
В данном примере предполагается, что такая мера была принята.
c) Выбор подходящего значения (в соответствии с
7.4)
Подходящее предельное значение может быть выбрано в соответствии с
5.5. Минимальная продолжительность контакта 1 с может быть выбрана из-за возможных ограничений движения руки между ручкой и промежуточной областью (см.
приложения B и
F). В соответствии с
4.2.1.5, область разброса порога возникновения ожога для гладкой поверхности из пластмассы и продолжительности контакта 1 с составляет от 86 °C до 93 °C. Этот порог возникновения ожога применяют для взрослых и пожилых людей с нормальным временем реакции при непреднамеренном контакте.
d) Установление предельного значения температуры поверхности (в соответствии с
7.5)
Чтобы установить предельное значение температуры поверхности для промежуточной области, когда утюг используют взрослые, может быть выбрано значение между 86 °C и 93 °C. В соответствии с
7.5.1, область разброса должна быть "точно настроена". При рассмотрении таких факторов, как "структура поверхности", "люди, которые могут вступить в контакт", "вероятность касания" и "последствия касания", вероятность касания является наиболее важным фактором. Поскольку вероятность касания в этом примере высока, выбирают число ближе к нижнему концу области разброса порога возникновения ожога. Поэтому в качестве предельного значения для промежуточной области может быть установлена температура, равная 86 °C.
G.2 Пример 2. Предельные значения температуры поверхности для электрогрелок
G.2.1 Проблема
Раздел, касающийся нагревания, должен быть пересмотрен для определения того, являются ли предельные значения температуры поверхности подходящими для предотвращения ожога.
Примечание - Описание в этом разделе служит только в качестве примера для демонстрации применения настоящего стандарта. Оно не обязывает комитет по стандартизации, разрабатывающий стандарт на электрогрелки, приходить к таким же заключениям. При разработке стандарта на электрогрелки важную роль могут играть и другие соображения.
G.2.2 Процедура
Продукт состоит из грелки, связанной с электропитанием через пульт управления и, возможно, трансформатор. В данном примере рассмотрена только опасность, связанная с грелкой.
ПРЕДУПРЕЖДЕНИЕ - Помимо грелки, другие компоненты также должны быть исследованы на предмет опасности возникновения ожога, и приняты соответствующие защитные меры.
a) Идентификация людей, которые могут коснуться горячей поверхности
Грелка разработана для обеспечения локального нагревания частей тела человека. Она предназначена для использования взрослыми и частично пожилыми людьми с затруднениями движения. Грелка также может быть оставлена без присмотра, в то время как она все еще теплая (после выключения) или даже включена и нагревается. В это время к ней могут получить доступ дети.
b) Идентификация материала поверхности грелки
Грелка, вероятно, имеет отделку из мягкого материала и является гибкой, чтобы его можно было обернуть вокруг, например, конечности.
c) Оценка вероятного периода контакта
Контакт является преднамеренным и увеличенной продолжительности, поэтому рассмотрение непреднамеренного контакта не проводят. В то время как у грелки может быть рекомендуемое время применения, человек, ее использующий, может "потерять счет времени", поэтому для наихудшего случая должен быть использован период контакта, равный 8 ч.
d) Выбор порога возникновения ожога
В то время как фактический материал продукта не известен, контакт в течение 8 ч предполагает применение порога возникновения ожога, равного 43 °C.
Пользователь настоящего стандарта должен решить:
- можно ли установить предельное значение температуры поверхности на уровне 43 °C, без потери эффективности продукции;
- если это невозможно, тогда могут быть необходимы другие защитные меры.
Если возможно ограничить температуру поверхности, то должен быть создан соответствующий метод измерения температуры поверхности. Этот метод должен моделировать нормальные условия эксплуатации продукта.
Примечание - Приведенное руководство рассматривает только ограничение температуры поверхности для предотвращения ожога кожи. Такая защитная мера применима, только если область контакта не превышает 10% всей поверхности кожи тела. Если размер грелки большой и она может покрыть более 10% всей поверхности кожи, то нужно рассмотреть другие медицинские соображения (которые выходят за область применения настоящего стандарта).
(справочное)
ЗНАКИ БЕЗОПАСНОСТИ ДЛЯ ГОРЯЧИХ ПОВЕРХНОСТЕЙ
H.1 Общая информация
Знаки безопасности рекомендованы для предупреждения пользователя продукции о том, что необходимо установить запрет на несанкционированный доступ к продукции и информировать его о необходимости применения средств индивидуальной защиты. Эти знаки были предложены для включения в ИСО 7010.
Национальные знаки должны иметь приоритет перед приведенными примерами.
H.2 Предупредительные знаки
См. рисунок H.1.
Цвет. Задний фон - желтый;
Рамка и рисунок - черные
Рисунок H.1 - Предупреждение:
Горячая поверхность (ISO 7010_W017)
H.3 Дополнительные знаки для защиты от ожогов при контакте с горячими поверхностями
Цвета. Фон - белый;
Рамка - красная;
Рисунок - черный
Рисунок H.2 - Запрещающий знак: Посторонним вход воспрещен
Цвета. Фон - синий;
Рисунок - белый
Рисунок H.3 - Предписывающий знак:
Должна быть надета защитная одежда (ИСО 7010-М010)
Цвета. Фон - синий;
Рисунок - белый
Рисунок H.4 - Предписывающий знак:
Должны быть надеты защитные перчатки (ИСО 7010-М009)
Цвета. Фон - синий;
Рисунок - белый
Рисунок H.5 - Предписывающий знак:
Должна быть надета защитная обувь (ИСО 7010-М008)
(справочное)
О СООТВЕТСТВИИ ССЫЛОЧНЫХ МЕЖДУНАРОДНЫХ СТАНДАРТОВ
НАЦИОНАЛЬНЫМ СТАНДАРТАМ РОССИЙСКОЙ ФЕДЕРАЦИИ
Таблица ДА.1
Обозначение ссылочного международного стандарта | Степень соответствия | Обозначение и наименование соответствующего национального стандарта |
ИСО 7726:1998 | - | |
<*> Соответствующий национальный стандарт отсутствует. До его утверждения рекомендуется использовать перевод на русский язык данного международного стандарта. Перевод данного международного стандарта находится в Федеральном информационном фонде технических регламентов и стандартов. |
[1] | EN 71-1:1998 | Safety of toys - Part 1: Mechanical and physical properties |
[2] | IEC 61032 | Testing equipment and testing methods - Test probes to verify protection by enclosures |
[3] | ISO/TS 13732-2:2001 | Ergonomics of the thermal environment - Methods for the assessment of human responses to contact with surfaces - Part 2: Human contact with surfaces at moderate temperature |
[4] | ISO 13732-3 | Ergonomics of the thermal environment - Methods for the assessment of human responses to contact with surfaces - Part 3: Cold surfaces |
[5] | DIN 4844-2:2001 | Safety marking - Part 2: Overview of safety signs |
[6] | ISO 7010:2003 | Graphical symbols - Safety colours and safety signs - Safety signs used in workplaces and public areas |
[7] | 98/37/EC | Directive of the European Parliament and of the Council of 22 June 1998 on the approximation of the laws of the Member States relating to Machinery, amended by Directive 98/79/EC |
| MORITZ, A.R., HENRIQUES, F.C. The relative Importance of Time and Surface Temperature in the Causation of Cutaneous Burns. Studies of Thermal Injury II, Am. J. Path., Vol. 23, 1947, p. 659 |
| WU, Y.C. Material Properties Criteria for Thermal Safety. Journal of Materials, Vol. 7, No. 4, 1972, p. 573 |
| WU, Y.C. Control of Thermal Impact for Thermal Safety. AIAA Journal, Vol. 15, No. 5, p. 674, May 1977, American Institute of Aeronautics and Astronautics |
| MARZETTA, L.A. A Thermesthesiometer - An Instrument for Burn Hazard Measurement. IEEE Transactions on Biomedical Engineering, Communications, September 1974 |
| MARZETTA, L.A. Engineering and Construction Manual for an Instrument to Make Burn Hazard Measurement in Consumer Products. NBS Technical Note 816, U.S. Department of Commerce National Bureau of Standards |
| SIEKMANN, H. Bestimmung maximal tolerierbarer Temperaturen bei der  . Die BG (1983) Nr. 10, S. 525 - 530 |
| SIEKMANN, H. (Determination of maximum temperatures that can be tolerated on contact with hot surfaces), Applied Ergonomics 1989, 20, 4, pp. 313 - 317 |
| SIEKMANN, H. Empfohlene Maximaltemperaturen  . Die BG (1986) Nr. 8, S. 436 - 438 |
| SIEKMANN, H. Recommended maximum temperatures for touchable surfaces, Applied Ergonomics, 1990, 21.4, pp. 69 - 73 |
| MANZINGER, H. Temperaturgrenzen  die Verbrennungder Haut - Ultraschall B Scan Untersuchung. Dissertation an der Medizinischen  der Ludwig Maximilians  |
| PD 6504:1983 British Standards Institution (BSI), Medical information on human reaction to skin contact with hot surfaces |
[19] | PARSONS, K.C. 1993 Human Thermal Environments. Ch. 11, Human Skin Contact with Hot Surfaces, pp. 219 - 249. Taylor and Francis, London, ISBN 0-7484-0041-9 |