Главная // Актуальные документы // ГОСТ Р (Государственный стандарт)СПРАВКА
Источник публикации
М.: Стандартинформ, 2019
Примечание к документу
Документ
введен в действие с 01.07.2016.
Название документа
"ГОСТ Р ИСО 12986-2-2015. Национальный стандарт Российской Федерации. Материалы углеродные для производства алюминия. Обожженные аноды и катодные блоки. Часть 2. Определение предела прочности на изгиб четырехточечным методом"
(утв. и введен в действие Приказом Росстандарта от 08.06.2015 N 577-ст)
"ГОСТ Р ИСО 12986-2-2015. Национальный стандарт Российской Федерации. Материалы углеродные для производства алюминия. Обожженные аноды и катодные блоки. Часть 2. Определение предела прочности на изгиб четырехточечным методом"
(утв. и введен в действие Приказом Росстандарта от 08.06.2015 N 577-ст)
Утвержден и введен в действие
по техническому регулированию
и метрологии
от 8 июня 2015 г. N 577-ст
НАЦИОНАЛЬНЫЙ СТАНДАРТ РОССИЙСКОЙ ФЕДЕРАЦИИ
МАТЕРИАЛЫ УГЛЕРОДНЫЕ ДЛЯ ПРОИЗВОДСТВА АЛЮМИНИЯ.
ОБОЖЖЕННЫЕ АНОДЫ И КАТОДНЫЕ БЛОКИ
ЧАСТЬ 2
ОПРЕДЕЛЕНИЕ ПРЕДЕЛА ПРОЧНОСТИ НА ИЗГИБ
ЧЕТЫРЕХТОЧЕЧНЫМ МЕТОДОМ
Carbonaceous materials used in the production
of aluminium. Prebaked anodes and cathode blocks. Part 2.
Determination of flexural strength by the four-point method
(ISO 12986-2:2009, IDT)
ГОСТ Р ИСО 12986-2-2015
Дата введения
1 июля 2016 года
1 ПОДГОТОВЛЕН Открытым акционерным обществом "Уральский электродный институт" (ОАО "Уралэлектродин") на основе собственного перевода на русский язык англоязычной версии стандарта, указанного в
пункте 4
2 ВНЕСЕН Техническим комитетом по стандартизации ТК 109 "Электродная продукция"
3 УТВЕРЖДЕН И ВВЕДЕН В ДЕЙСТВИЕ
Приказом Федерального агентства по техническому регулированию и метрологии от 8 июня 2015 г. N 577-ст
4 Настоящий стандарт идентичен международному стандарту ИСО 12986-2:2009 "Материалы углеродные для производства алюминия. Обожженные аноды и катодные блоки. Часть 2. Определение предела прочности на изгиб четырехточечным методом" (ISO 12986-2:2009 "Carbonaceous materials used in the production of aluminium - Prebaked anodes and cathode blocks - Part 2: Determination of flexural strength by the four-point method", IDT).
Международный стандарт разработан Техническим комитетом ISO/TC 226 "Материалы для производства первичного алюминия".
При применении настоящего стандарта рекомендуется использовать вместо ссылочных международных стандартов соответствующие им национальные стандарты, сведения о которых приведены в дополнительном
приложении ДА
5 ВВЕДЕН ВПЕРВЫЕ
6 ПЕРЕИЗДАНИЕ. Апрель 2019 г.
Правила применения настоящего стандарта установлены в статье 26 Федерального закона от 29 июня 2015 г. N 162-ФЗ "О стандартизации в Российской Федерации". Информация об изменениях к настоящему стандарту публикуется в ежегодном (по состоянию на 1 января текущего года) информационном указателе "Национальные стандарты", а официальный текст изменений и поправок - в ежемесячном информационном указателе "Национальные стандарты". В случае пересмотра (замены) или отмены настоящего стандарта соответствующее уведомление будет опубликовано в ближайшем выпуске ежемесячного информационного указателя "Национальные стандарты". Соответствующая информация, уведомление и тексты размещаются также в информационной системе общего пользования - на официальном сайте Федерального агентства по техническому регулированию и метрологии в сети Интернет (www.gost.ru)
Настоящий стандарт устанавливает четырехточечный метод определения предела прочности на изгиб при комнатной температуре обожженных анодов и катодных блоков.
Примечание - ИСО 12986 основывается на стандарте
[4].
В настоящем стандарте использованы нормативные ссылки на следующие международные стандарты:
ISO 4288, Geometrical Product Specifications (GPS) - Surface texture: Profile method - Rules and procedures for the assessment of surface texture (Геометрические характеристики изделий (GPS). Структура поверхности. Профильный метод. Определение и параметры структуры)
ISO 7500-1, Metallic materials - Verification of static uniaxial testing machines - Part 1: Tension/compression testing machines - Verification and calibration of the force-measuring system (Материалы металлические. Верификация машин для статических испытаний в условиях одноосного нагружения. Часть 1. Машины для испытания на растяжение/сжатие. Верификация и калибровка силоизмерительных систем)
В настоящем стандарте применены следующие термины с соответствующими определениями:
3.1
предел прочности на изгиб 
(flexural strength): Максимальное напряжение в момент разрушения при испытании образца.
Примечания
1 Адаптировано со стандартом
[1]. Определение как в стандарте
[1], добавлено обозначение.
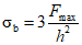
2 Предел прочности на изгиб рассчитывают как отношение изгибающего момента при разрушении образца в условиях четырехточечного метода к моменту сопротивления сечения по формуле

, (1)
где Mb - изгибающий момент при разрушении, Н/мм;
Z - момент сопротивления сечения, мм3.
3 Предел прочности на изгиб выражают в ньютонах на квадратный миллиметр.
4 Как правило, максимальная нагрузка отображается на шкале испытательной машины и совпадает с нагрузкой при разрушении, если они отличаются, термин относится к максимальной нагрузке.
3.2
изгибающий момент Mb (bending moment): Момент внешней силы, перпендикулярной к продольной оси балки или вала (стандарт
[3]).
Примечание - Mb - максимальный момент при разрушении, вычисляют, исходя из геометрии исследуемого образца и максимальной нагрузки. Как правило, максимальная нагрузка отображается на шкале испытательной машины и совпадает с нагрузкой при разрушении, если они отличаются, термин относится к максимальной нагрузке.
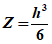
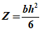
3.3 момент сопротивления сечения, Z (section modulus): Отношение момента инерции относительно оси к расстоянию от нее до наиболее удаленной точки сечения.
Примечания
1 Момент сопротивления сечения может быть вычислен по формуле
Z = Ia/rQ,max, (2)
где Ia - момент инерции сечения;
rQ,max - максимальное радиальное расстояние от оси Q, относительно которой Ia определяется.
2 Адаптировано со стандартом
[3].
3 Расчеты момента сопротивления сечения для наиболее распространенных сечений приведены на
рисунке 2.
Образец помещают на две опоры и нагружают до его разрушения. Нагрузка равномерно распределяется на две нагружающие опоры.
Предел прочности на изгиб рассчитывают по нагрузке при разрушении, расстоянию между опорами и точками приложения нагрузки и размерами поперечного сечения образца.
5.1 Испытательное оборудование для определения предела прочности на сжатие, удовлетворяющее требованиям класса 2 по ИСО 7500-1.
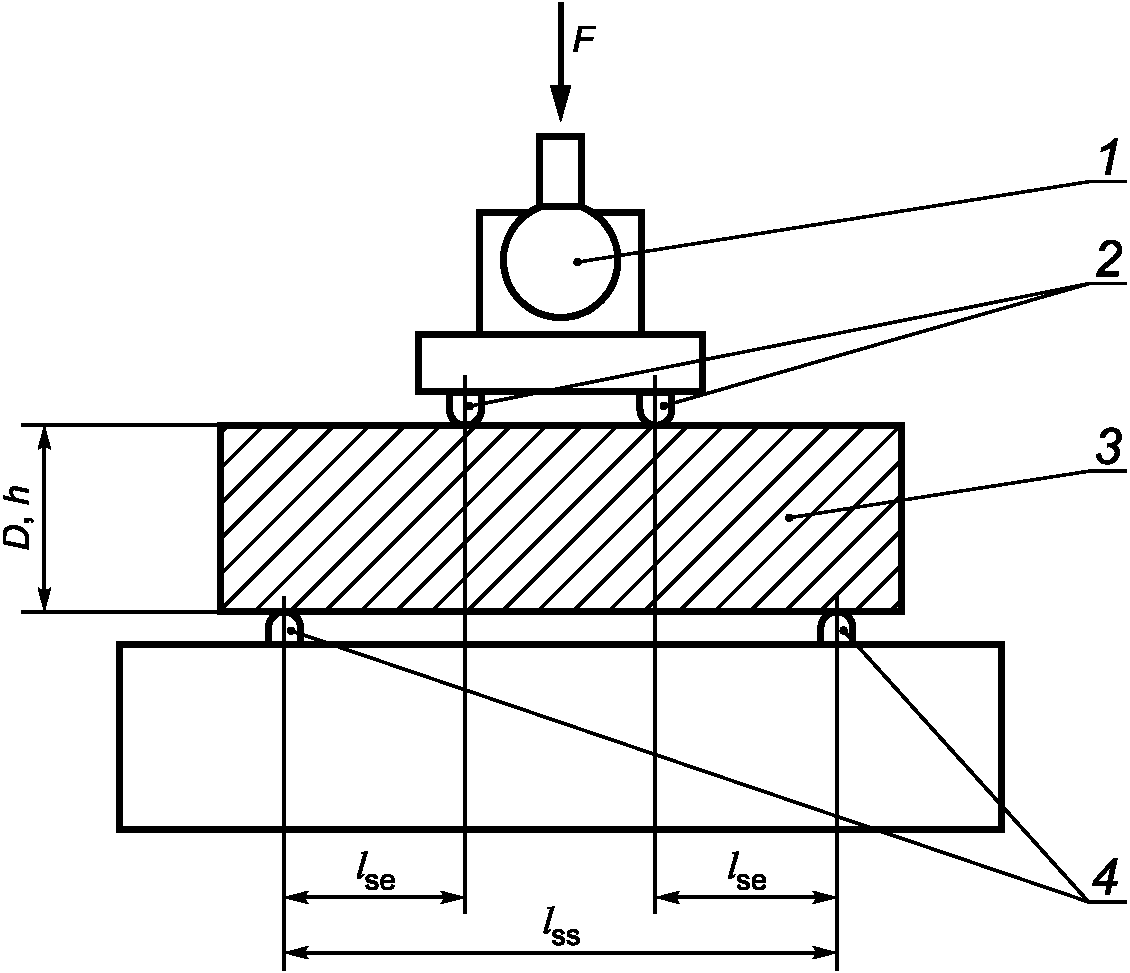
5.2 Устройство для испытания на изгиб, схема которого приведена на
рисунке 1.
1 - карданная подвеска; 2 - нагружающие опоры; 3 - образец;
4 - нижние опоры; D - диаметр цилиндрического образца;
F - нагрузка, в ньютонах; h - высота прямоугольного образца;
lse - расстояние между нагружающей и нижней опорами;
lss - расстояние между нижними опорами
Рисунок 1 - Схема устройства для испытания на изгиб
Устройство обеспечивает симметричную нагрузку по длине в течение всего испытания за счет соответствующей саморегулировки.
Радиусы закругления поверхности опор должны быть в диапазоне от 2 до 5 мм.
Расстояния между опорами регулируются для настройки устройства при испытаниях образцов различной геометрии.
5.3 Измерительное оборудование
Штангенциркули с нониусом, обеспечивающие измерение линейных размеров испытуемого образца с точностью до 0,5% абс. (см. стандарт
[2]).
5.4 Измерительный прибор для измерения шероховатости поверхности испытуемых образцов.
6 Отбор и подготовка образцов
6.1 Отбор образцов
Пользователи данного стандарта согласовывают Программу выборочного контроля и отбора образцов. Испытывают пять просушенных образцов, если не оговорено другое.
Все образцы испытывают на воздухе, если не оговорено другое.
Шероховатость поверхности боковых граней образцов, измеренная в соответствии с ИСО 4288, должна быть не более 15 мкм по высоте Ra. Углубления поверхностных пор не учитываются.
| | | |
a - Квадрат | b - Прямоугольник | c - Круг | d - Кольцо |
; | ; | ; | , |
где Z - момент сопротивления сечения, в кубических миллиметрах;
h - высота прямоугольного поперечного сечения, в миллиметрах;
b - ширина прямоугольного поперечного сечения, в миллиметрах;
D - наружный диаметр круглого сечения, в миллиметрах;
d - внутренний диаметр кольцевого сечения, в миллиметрах.
Рисунок 2 - Расчеты момента сопротивления сечения
для наиболее распространенных сечений
6.2 Подготовка образцов
Изготавливают для испытаний цилиндрические или призматические образцы. Наименьший размер образца должен не менее чем в два раза превышать диаметр самой крупной структурной составляющей (например, максимального размера структурных частиц в материале для испытаний), но должен быть не менее 4 мм. Длина образцов должна быть не менее чем в 3,5 раза больше их ширины или диаметра.
7.1 Все испытания выполняют при комнатной температуре, т.е. в диапазоне от 10 °C до 35 °C.
7.2 Выбирают и регулируют диапазон измерения испытательного оборудования так, чтобы ожидаемая нагрузка - усилие при разрушении, составляла 1/10 от диапазона измерений.
Помещают образец на середину опор так, чтобы его продольная ось была перпендикулярна опорам.
Расстояние между нижними опорами должно быть в три раза больше ширины или диаметра образца. Расстояние между нагружающими опорами должно быть равно ширине или диаметру образца.
При испытании призматического образца следует убедиться в том, что он установлен симметрично относительно нижних и нагружающих опор, и при необходимости отрегулировать соответствующую опору.
При испытании цилиндрических образцов рекомендуется использовать нижние опоры диаметром на 2 мм больше, чем диаметр образцов для испытаний, чтобы предотвратить их скатывание.
Приложение нагрузки должно быть перпендикулярно к продольной оси образца. Увеличивают нагрузку постепенно и непрерывно со скоростью 5 мм/мин или 0,5 Н/мм2/с до разрушения образца.
Записывают нагрузку при разрушении.
8.1 Изгибающий момент Mb
Изгибающий момент Mb рассчитывают по формуле

, (3)
где
lse - расстояние между нагружающей и нижней опорами, м (см.
рисунок 1);
Fmax - максимальная нагрузка, Н.
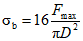
8.2 Предел прочности на изгиб 
Предел прочности на изгиб

, Н/мм
2, рассчитывают с использованием
формул (1) и
(3)

, (4)
где
Z - момент сопротивления сечения, мм
3 (см.
рисунок 2);
В случае испытания образцов квадратного сечения lse = h. Предел прочности на изгиб рассчитывают по формуле

. (5)
В случае цилиндрических образцов для испытаний lse = D. Предел прочности на изгиб рассчитывают по формуле

. (6)
Средние значения, измеренные данным методом на образцах 30 x 100 мм, в условиях повторных испытаний отличаются не более чем на 5% при доверительной вероятности 95%.
Протокол испытаний должен содержать:
a) тип блока, положение и ориентацию образцов, отобранных от блоков;
b) наименование образцов для испытаний;
c) количество образцов для испытаний;
d) размеры образцов для испытаний (мм);
e) расстояние между нагружающей и нижней опорами lse и расстояние между нижними опорами lss (мм);
f) предел прочности при изгибе

(Н/мм
2) с округлением до 0,1 Н/мм
2, индивидуальные и среднее значения;
g) дополнительные согласованные условия, отличающиеся от настоящего стандарта;
h) дату проведения испытания.
(справочное)
СВЕДЕНИЯ О СООТВЕТСТВИИ ССЫЛОЧНЫХ МЕЖДУНАРОДНЫХ СТАНДАРТОВ
НАЦИОНАЛЬНЫМ СТАНДАРТАМ
Таблица ДА.1
Обозначение ссылочного международного стандарта | Степень соответствия | Обозначение и наименование соответствующего национального стандарта |
ISO 4288 | - | |
ISO 7500-1 | - | |
<*> Соответствующий национальный стандарт отсутствует. До его принятия рекомендуется использовать перевод на русский язык данного международного стандарта. Перевод данного международного стандарта находится в Федеральном информационном фонде стандартов. |
| ISO 472:1999, Plastics - Vocabulary <1> |
| ISO 13385-1:2011, Geometrical product specifications (GPS) - Dimensional measuring equipment - Part 1: Callipers; Design and metrological characteristics |
| ISO 80000-4:2006, Quantities and units - Part 4: Mechanics (ИСО 80000-4:2006 Величины и единицы. Часть 4. Механика) <2> |
| DIN 51944, Testing of carbonaceous materials - Determination of flexural strength by four point method - Solid materials |
--------------------------------
<1> Действует ISO 472:2013 "Plastics - Vocabulary".
<2> Официальный перевод этого стандарта находится в Федеральном информационном фонде технических регламентов и стандартов.
УДК 621.3.035:006.354 | |
Ключевые слова: углеродные материалы, производство алюминия, обожженные аноды, катодные блоки, предел прочности на изгиб, четырехточечный метод |