Главная // Актуальные документы // ГОСТ Р (Государственный стандарт)СПРАВКА
Источник публикации
М.: Стандартинформ, 2016
Примечание к документу
Документ
введен в действие с 1 августа 2016 года.
Название документа
"ГОСТ Р 8.907-2015. Национальный стандарт Российской Федерации. Государственная система обеспечения единства измерений. Государственная поверочная схема для средств измерений твердости по шкалам Мартенса и шкалам индентирования"
(утв. и введен в действие Приказом Росстандарта от 09.12.2015 N 2143-ст)
"ГОСТ Р 8.907-2015. Национальный стандарт Российской Федерации. Государственная система обеспечения единства измерений. Государственная поверочная схема для средств измерений твердости по шкалам Мартенса и шкалам индентирования"
(утв. и введен в действие Приказом Росстандарта от 09.12.2015 N 2143-ст)
Утвержден и введен в действие
агентства по техническому
регулированию и метрологии
от 9 декабря 2015 г. N 2143-ст
НАЦИОНАЛЬНЫЙ СТАНДАРТ РОССИЙСКОЙ ФЕДЕРАЦИИ
ГОСУДАРСТВЕННАЯ СИСТЕМА ОБЕСПЕЧЕНИЯ ЕДИНСТВА ИЗМЕРЕНИЙ
ГОСУДАРСТВЕННАЯ ПОВЕРОЧНАЯ СХЕМА ДЛЯ СРЕДСТВ ИЗМЕРЕНИЙ
ТВЕРДОСТИ ПО ШКАЛАМ МАРТЕНСА И ШКАЛАМ ИНДЕНТИРОВАНИЯ
State system for ensuring the uniformity of measurements.
State verification schedule for means measuring on Martens
scales hardness and indentation scales hardness
ГОСТ Р 8.907-2015
Дата введения
1 августа 2016 года
1 РАЗРАБОТАН Федеральным государственным унитарным предприятием "Всероссийский научно-исследовательский институт физико-технических и радиотехнических измерений" Федерального агентства по техническому регулированию и метрологии (ФГУП "ВНИИФТРИ")
2 ВНЕСЕН Техническим комитетом по стандартизации ТК 206 "Эталоны и поверочные схемы", Подкомитетом ПК 206.2 "Эталоны и поверочные схемы в области измерений механических величин"
3 УТВЕРЖДЕН И ВВЕДЕН В ДЕЙСТВИЕ
Приказом Федерального агентства по техническому регулированию и метрологии от 9 декабря 2015 г. N 2143-ст
4 ВВЕДЕН ВПЕРВЫЕ
Правила применения настоящего стандарта установлены в ГОСТ Р 1.0-2012 (раздел 8). Информация об изменениях к настоящему стандарту публикуется в ежегодном (по состоянию на 1 января текущего года) информационном указателе "Национальные стандарты", а официальный текст изменений и поправок - в ежемесячном информационном указателе "Национальные стандарты". В случае пересмотра (замены) или отмены настоящего стандарта соответствующее уведомление будет опубликовано в ближайшем выпуске ежемесячного информационного указателя "Национальные стандарты". Соответствующая информация, уведомление и тексты размещаются также в информационной системе общего пользования - на официальном сайте Федерального агентства по техническому регулированию и метрологии в сети Интернет (www.gost.ru)
Настоящий стандарт распространяется на государственную поверочную схему
(приложение А) для средств измерений твердости по шкалам Мартенса (числа HM) и шкалам индентирования (числа H
IT) и устанавливает порядок передачи значений твердости в числах HM и H
IT от государственного первичного эталона при помощи рабочих эталонов средствам измерений твердости с указанием погрешностей и применяемых методов поверки.
В настоящем стандарте использована нормативная ссылка на следующий стандарт:
ГОСТ Р 8.748-2011 Государственная система обеспечения единства измерений. Металлы и сплавы. Измерение твердости и других характеристик материалов при инструментальном индентировании. Часть 1. Метод испытаний.
Примечание - При пользовании настоящим стандартом целесообразно проверить действие ссылочных стандартов в информационной системе общего пользования - на официальном сайте Федерального агентства по техническому регулированию и метрологии в сети Интернет или по ежегодному информационному указателю "Национальные стандарты", который опубликован по состоянию на 1 января текущего года, и по выпускам ежемесячного информационного указателя "Национальные стандарты" за текущий год. Если заменен ссылочный стандарт, на который дана недатированная ссылка, то рекомендуется использовать действующую версию этого стандарта с учетом всех внесенных в данную версию изменений. Если заменен ссылочный стандарт, на который дана датированная ссылка, то рекомендуется использовать версию этого стандарта с указанным выше годом утверждения (принятия). Если после утверждения настоящего стандарта в ссылочный стандарт, на который дана датированная ссылка, внесено изменение, затрагивающее положение, на которое дана ссылка, то это положение рекомендуется применять без учета данного изменения. Если ссылочный стандарт отменен без замены, то положение, в котором дана ссылка на него, рекомендуется применять в части, не затрагивающей эту ссылку.
В настоящем стандарте применены следующие термины с соответствующими определениями:
3.1
метод измерения твердости по Мартенсу: Метод индентирования алмазного наконечника в форме правильной трехгранной пирамиды с углом 65° между гранью и высотой. Наконечник вдавливается в поверхность испытуемого образца под действием силы в течение определенного времени. Метод описан в
ГОСТ Р 8.748.
Измеряют максимальное перемещение наконечника относительно невозмущенной поверхности образца. Вычисляют площадь поверхности наконечника, где высотой наконечника является значение его максимального перемещения в образце. Сила, соответствующая этому перемещению, делится на площадь поверхности наконечника.
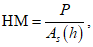
Примечание - Число твердости по шкале Мартенса HM определяют по формуле

(1)
где P - нагрузка, прикладываемая к наконечнику, мН;
As(h) - площадь поверхности внедрившейся части наконечника в образец, мкм2;
h - глубина внедрения, мкм.
3.2 шкалы твердости по Мартенсу: Совокупность возможных значений твердости в числах HM, определяемых методом Мартенса при заданной силе, прилагаемой к алмазному наконечнику. Шкалы твердости Мартенса являются шкалами порядка, поэтому среднее арифметическое, СКО, НСП, неопределенность измерений при воспроизведении чисел твердости вычислены по модели линеаризации шкалы вблизи значений чисел. Числа твердости по шкалам Мартенса вычисляют в гектопаскалях (ГПа).
Примечание - Обозначение шкал твердости по Мартенсу - HM n/m/k,
где n - соответствующая прилагаемая к алмазному наконечнику сила, мН;
m - время приложения силы, с;
k - время выдержки максимальной силы, с.
3.3 среднее квадратичное отклонение чисел HM (SHM)

(2)
где

- среднее арифметическое значение из
n измерений твердости по шкале Мартенса в
n точках, расположенных равномерно по поверхности образца.
3.4 результат измерений чисел HM: Среднее арифметическое значение из n измерений твердости по шкале Мартенса в n точках, расположенных равномерно по поверхности эталонной меры твердости.
3.5 эталонная мера твердости по шкале Мартенса: Мера твердости, применяемая при поверке (калибровке) приборов для измерения твердости по методу Мартенса.
3.6
метод измерения твердости индентирования: Метод индентирования алмазного наконечника в форме правильной трехгранной пирамиды с углом 65° между гранью и высотой. Наконечник вдавливается в поверхность испытуемого образца под действием силы в течение определенного времени. Измеряют максимальное перемещение наконечника относительно невозмущенной поверхности образца. Вычисляют глубину контакта наконечника с образцом и площадь поперечного сечения наконечника, где высотой наконечника является значение глубины контакта. Сила, соответствующая максимальному перемещению наконечника, делится на площадь поперечного сечения наконечника. Метод описан в
ГОСТ Р 8.748.
Примечание - Число твердости по шкале индентирования HIT определяют по формуле

(3)
где P - нагрузка, прикладываемая к наконечнику, мН;
Ap(hc) - площадь поперечного сечения контактирующей части наконечника с образцом, мкм2;
hc - контактная глубина, мкм.
3.7 шкалы твердости индентирования: Совокупность возможных значений твердости в числах HIT, определяемых методом индентирования при заданной силе, прилагаемой к алмазному наконечнику. Шкалы твердости индентирования являются шкалами порядка, поэтому среднее арифметическое, СКО, НСП, неопределенность измерений при воспроизведении чисел твердости вычислены по модели линеаризации шкалы вблизи значений чисел. Числа твердости по шкалам индентирования вычисляют в гектопаскалях (ГПа).
Примечание - Обозначение шкал твердости индентирования - HIT n/m/k,
где n - соответствующая прилагаемая к алмазному наконечнику сила, мН;
m - время приложения силы, с;
k - время выдержки максимальной силы, с.
3.8 среднее квадратичное отклонение чисел HIT
:

(4)
где

- среднее арифметическое значение из
n измерений твердости по шкале индентирования в
n точках, расположенных равномерно по поверхности эталонной меры твердости.
3.9 результат измерений чисел HIT: Среднее арифметическое значение из n измерений твердости по шкале индентирования в n точках, расположенных равномерно по поверхности эталонной меры твердости.
3.10 эталонная мера твердости по шкале индентирования: Мера твердости, применяемая при поверке (калибровке) приборов для измерения твердости по методу индентирования.
4 Государственный первичный эталон
4.1 Государственный первичный эталон (далее - государственный эталон) твердости по шкалам Мартенса и шкалам индентирования предназначен для хранения, воспроизведения и передачи значений твердости материалов по шкалам Мартенса в числах HM и шкалам индентирования в числах HIT рабочим эталонам методом прямых измерений и рабочим средствам измерений методом сравнения с помощью мер.
4.2 Государственный эталон включает в себя следующие средства измерений:
- нанотвердомер Nano Indenter G200 (диапазон нагрузок от 10 до 500 мН);
- нанотвердомер TriboIndenter TI750 Ubi (диапазон нагрузок от 0,1 до 10 мН);
- трехкоординатный гетеродинный лазерный интерферометр Лазер Ай;
- атомно-силовой микроскоп Innova;
- весы Sartorius SE2;
- лазерный интерферометр SIOS SP2000;
- эталонные меры твердости по шкалам Мартенса и шкалам индентирования.
4.3 Диапазон значений чисел твердости HM, в котором воспроизведены шкалы твердости Мартенса, составляет 0,01 - 100. Числа твердости HM по шкалам Мартенса вычисляются в ГПа.
Диапазон значений чисел твердости HIT, в котором воспроизведены шкалы твердости индентирования, составляет 0,1 - 70. Числа твердости HIT по шкалам твердости индентирования вычисляются в ГПа.
Государственный эталон обеспечивает воспроизведение чисел твердости HM по шкалам Мартенса с СКО результата измерений при 15 независимых измерениях, не превышающим 0,01·HM в диапазоне HM от 0,01 до 70. Неисключенная систематическая погрешность не превышает 0,01·HM в диапазоне HM от 0,01 до 70. Стандартная неопределенность измерений при воспроизведении чисел твердости по шкалам Мартенса, оцененная по типу A, - 0,01·HM; оцененная по типу B - 0,004·HM. Суммарная стандартная неопределенность - 0,011·HM. Расширенная неопределенность - 0,022·HM при k = 2.
Государственный эталон обеспечивает воспроизведение чисел твердости HIT по шкалам твердости индентирования с СКО результата измерений при 15 независимых измерениях, не превышающим 0,03·HIT в диапазоне HIT от 0,1 до 70. Неисключенная систематическая погрешность не превышает 0,017·HIT в диапазоне HIT от 0,1 до 70. Стандартная неопределенность измерений при воспроизведении чисел твердости по шкалам твердости индентирования, оцененная по типу A, - 0,032·HIT; оцененная по типу B - 0,007·HIT. Суммарная стандартная неопределенность - 0,033·HIT. Расширенная неопределенность - 0,066·HIT при k = 2.
5.1 В качестве рабочих эталонов твердости применяют эталонные меры твердости по шкалам Мартенса и шкалам индентирования из поликарбоната, плавленого кварца и сапфира с допускаемыми СКО - 0,05·HM и 0,05·HIT.
5.2 Рабочие эталоны применяют для поверки (калибровки) средств измерений твердости по шкалам Мартенса и шкалам индентирования методом прямых измерений.
6.1 В качестве средств измерений твердости по шкалам Мартенса и шкалам индентирования используют стационарные, переносные, портативные твердомеры, реализующие соответствующие методы измерений.
6.2 Допускаемая повторяемость показаний твердомеров по шкалам Мартенса и шкалам индентирования не более 0,05·HM и 0,05·HIT соответственно. Пределы допускаемых погрешностей твердомеров по шкалам Мартенса и шкалам индентирования составляют +/- 0,1·HM и +/- 0,1·HIT соответственно.
(Обязательное)
ГОСУДАРСТВЕННАЯ ПОВЕРОЧНАЯ СХЕМА
ДЛЯ СРЕДСТВ ИЗМЕРЕНИЙ ТВЕРДОСТИ ПО ШКАЛАМ МАРТЕНСА
И ШКАЛАМ ИНДЕНТИРОВАНИЯ
Рисунок А.1 - Государственная поверочная схема для средств
измерений твердости по шкалам Мартенса
и шкалам индентирования