Главная // Актуальные документы // ГОСТ Р (Государственный стандарт)СПРАВКА
Источник публикации
М.: Стандартинформ, 2016
Примечание к документу
Документ
введен в действие с 1 июля 2017 года.
Название документа
"ГОСТ Р 56888-2016. Национальный стандарт Российской Федерации. Топливо древесное. Определение зольности стандартным методом"
(утв. и введен в действие Приказом Росстандарта от 09.03.2016 N 127-ст)
"ГОСТ Р 56888-2016. Национальный стандарт Российской Федерации. Топливо древесное. Определение зольности стандартным методом"
(утв. и введен в действие Приказом Росстандарта от 09.03.2016 N 127-ст)
Утвержден и введен в действие
по техническому регулированию
и метрологии
от 9 марта 2016 г. N 127-ст
НАЦИОНАЛЬНЫЙ СТАНДАРТ РОССИЙСКОЙ ФЕДЕРАЦИИ
ТОПЛИВО ДРЕВЕСНОЕ
ОПРЕДЕЛЕНИЕ ЗОЛЬНОСТИ СТАНДАРТНЫМ МЕТОДОМ
Wood fuel. Determination of ash content by standard method
ГОСТ Р 56888-2016
Дата введения
1 июля 2017 года
1 ПОДГОТОВЛЕН Федеральным государственным унитарным предприятием "Всероссийский научно-исследовательский институт стандартизации материалов и технологий" (ФГУП "ВНИИ СМТ") на основе собственного перевода на русский язык англоязычной версии стандарта, указанного в
пункте 4
2 ВНЕСЕН Техническим комитетом по стандартизации ТК 179 "Твердое минеральное топливо"
3 УТВЕРЖДЕН И ВВЕДЕН В ДЕЙСТВИЕ
Приказом Федерального агентства по техническому регулированию и метрологии от 9 марта 2016 г. N 127-ст
4 Настоящий стандарт идентичен стандарту АСТМ Е1534-93 (Пересмотрен в 2013 г.) "Стандартный метод определения зольности мелкокускового древесного топлива" (ASTM E1534-93 (Reapproved 2013) "Standard Test Method for Determination of Ash Content of Particulate Wood Fuels", IDT).
Стандарт разработан комитетом ASTM E48 "Биоэнергия и химические вещества из биомассы, используемые в промышленности", непосредственную ответственность за разработку метода несет подкомитет E48.05 "Преобразование биомассы".
Наименование настоящего стандарта изменено относительно наименования указанного стандарта АСТМ для приведения в соответствие с ГОСТ Р 1.5
(пункт 3.5).
При применении настоящего стандарта рекомендуется использовать вместо ссылочных стандартов АСТМ соответствующие им национальные стандарты Российской Федерации и межгосударственные стандарты,
сведения о которых приведены в дополнительном приложении ДА
5 ВВЕДЕН ВПЕРВЫЕ
Правила применения настоящего стандарта установлены в ГОСТ Р 1.0-2012
(раздел 8). Информация об изменениях к настоящему стандарту публикуется в ежегодном (по состоянию на 1 января текущего года) информационном указателе "Национальные стандарты", а официальный текст изменений и поправок - в ежемесячном информационном указателе "Национальные стандарты". В случае пересмотра (замены) или отмены настоящего стандарта соответствующее уведомление будет опубликовано в ближайшем выпуске ежемесячного информационного указателя "Национальные стандарты". Соответствующая информация, уведомление и тексты размещаются также в информационной системе общего пользования - на официальном сайте Федерального агентства по техническому регулированию и метрологии в сети Интернет (www.gost.ru)
1.1 Настоящий стандарт устанавливает метод определения зольности мелкокускового древесного топлива, как отношение массы остатка после сухого окисления навески древесного топлива к массе исходной навески, выраженное в процентах. Определение мелкокускового древесного топлива приведено в АСТМ Е1126.
1.2 В настоящем стандарте все единицы измерения приведены в системе СИ. Никакие другие единицы измерений в настоящий стандарт не включены.
1.3 Настоящий стандарт не претендует на полноту описания всех мер безопасности, если таковые имеются, связанных с его использованием. Пользователь стандарта несет ответственность за обеспечение соответствующих мер безопасности и охраны здоровья и определяет целесообразность применения законодательных ограничений перед его использованием.
Для применения настоящего стандарта необходимы следующие ссылочные документы. Для недатированных ссылок применяют последнее издание ссылочного документа (включая все его изменения).
2.1 Стандарты ASTM <1>
--------------------------------
<1> Уточнить ссылки на стандарты АСТМ можно на сайте: www.astm.org или в службе поддержки клиентов АСТМ: service@astm.org. В информационном томе ежегодного сборника стандартов (Annual Book of ASTM Standards) следует обращаться к сводке стандартов ежегодного сборника стандартов на странице сайта.
АСТМ Д3180 Стандартная практика пересчета результатов анализа угля и кокса с аналитического на другие состояния топлива (ASTM D3180 Standard Practice for Calculating Coal and Coke Analyses from As-Determined to Different Bases)
АСТМ Е871 Стандартный метод определения влаги в мелкокусковом древесном топливе (ASTM E871 Standard Test Method for Moisture Analysis of Particulate Wood Fuels)
АСТМ Е1126 Терминология, относящаяся к топливам из биомассы (отменен в 2003 году) [ASTM E1126 Standard Terminology Relating to Biomass Fuels (Withdrawn 2003)] <2>, <3>
--------------------------------
<2> Отменен. Последнее издание этого отмененного стандарта доступно на сайте www.astm.org.
<3> Для однозначного соблюдения требований настоящего стандарта рекомендуется использовать только данный ссылочный стандарт.
3.1 Для получения дополнительной информации по терминологии см. АСТМ Е1126.
4.1 Зольность пробы мелкокускового древесного топлива определяют по потере массы навески пробы при ее нагревании в строго контролируемых условиях. К таким условиям относятся температура, продолжительность нагревания, масса навески и соответствие аппаратуры требованиям настоящего стандарта.
5 Назначение и применение
5.1 Зольность дает представление о несгораемой части мелкокускового древесного топлива, которая при сжигании топлива окисляется, но не выделяет тепла.
6.1 Тигли вместимостью 30 мл или более из кварца или фарфора.
6.2 Муфельная печь
Для сжигания проб древесного топлива рекомендуется использовать муфельную печь с электронагревом и терморегулятором. Для контроля температуры в муфельной печи предпочтительно использовать пирометр.
6.3 Весы аналитические чувствительностью 0,1 мг.
7.1 Пробу для испытания массой приблизительно 2 г получают способом, описанным в АСТМ Е871.
7.2 Пустые тигли прокаливают на газовой горелке, а затем охлаждают в эксикаторе до комнатной температуры.
7.3 Взвешивают тигли с точностью до 0,1 мг.
7.4 Пробу массой приблизительно 2 г помещают в тигель и взвешивают тигель с пробой.
7.5 Тигель с пробой помещают в холодную муфельную печь. Включают муфельную печь и медленно нагревают до температуры 580 - 600 °C. Не допускается нагревать печь до температуры, выше указанной максимальной.
7.6 Тигель с золой переносят из муфельной печи в эксикатор, охлаждают до комнатной температуры и взвешивают с точностью до 0,1 мг. Проводят контрольные прокаливания продолжительностью 30 мин каждое до тех пор, пока изменение массы тигля с золой после очередного прокаливания не станет менее 0,2 мг.
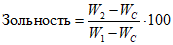
8.1 Зольность пробы, выраженную в процентах, вычисляют по формуле

, (1)
где WC - масса пустого тигля, г;
W1 - масса тигля с исходной навеской пробы, г;
W2 - масса тигля с золой, г.
9 Представление результатов
9.1 Зольность пробы выражают на влажное состояние биотоплива и представляют числом с двумя значащими цифрами после запятой.
9.2 Пересчет результата на другие состояния топлива проводят по АСТМ Д3180 и АСТМ Е871.
10 Прецизионность и систематическая погрешность
10.1 Приемлемость полученных результатов оценивают по следующим критериям:
10.1.1 Повторяемость - результаты параллельных определений, полученные в одной лаборатории, не должны отличаться более чем на 0,5%.
10.1.2 Воспроизводимость - результаты определений, представленные двумя лабораториями (или более), не должны отличаться более чем на 1,0%.
(справочное)
СВЕДЕНИЯ О СООТВЕТСТВИИ ССЫЛОЧНЫХ СТАНДАРТОВ АСТМ
НАЦИОНАЛЬНЫМ СТАНДАРТАМ РОССИЙСКОЙ ФЕДЕРАЦИИ
Таблица ДА.1
Обозначение ссылочного стандарта | Степень соответствия | Обозначение и наименование соответствующего национального стандарта |
АСТМ Д3180-15 | - | <*> |
АСТМ Е871-82 (Пересмотрен в 2013 г.) | IDT | ГОСТ Р 56886-2015 "Топливо древесное. Определение влаги стандартным методом" |
АСТМ Е1126-94а (Отменен в 2003 г.) | - | <*> |
<*> Соответствующий национальный стандарт отсутствует. До его утверждения рекомендуется использовать перевод на русский язык данного стандарта АСТМ. Примечание - В настоящей таблице использовано следующее условное обозначение степени соответствия стандарта: - IDT - идентичный стандарт. |