






(1)Параметр хроматографирования | Требование |
Установки инжектора: | |
температура инжектора, °C | 250 |
соотношение деления потока | 175:1 - 275:1 |
вкладыш | Деактивированное стекло |
вводимый объем, мкл | 0,2 - 0,5 |
Установки детектора: | |
температура детектора FID, °C <A> | 300 - 350 |
Расход газов: | |
водорода, мл/мин <B> | 30 - 40 |
воздуха, мл/мин | 300 - 450 |
вспомогательного газа - азота, мл/мин | 30 |
Установки термостата колонки: | |
начальная температура, °C | 0 |
начальное время выдерживания, мин | 15 |
скорость первой стадии, °C/мин | 1 |
конечная температура, °C | 50 |
время выдерживания, мин | 0 |
скорость второй стадии, °C/мин | 2 |
конечная температура, °C | 130 |
время выдерживания, мин | 0 |
скорость третьей стадии, °C/мин | 4 |
конечная температура, °C | 270 |
время выдерживания, мин <C> | 0 |
Требования к колонке: | |
длина, м | 100 |
внутренний диаметр, мм | 0,25 |
жидкая фаза | 100%-ный полидиметилсилоксан |
толщина пленки неподвижной фазы, мкм | 0,5 |
давление (манометрическое), psi | 40 - 50 |
скорость потока, мл/мин | 1,7 - 2,0 |
линейная скорость газа, см/с | 24,5 |
Частота сбора данных, Гц | 10 - 20 |
Полное время анализа, мин | 140 - 150 |
Пара компонентов | Разрешение, не менее | Содержание каждого компонента, % масс. |
Бензол и 1-метилциклопентен | 1,0 | 0,5 - 0,5 |
м-Ксилол и п-ксилол | 0,4 | 2,0 - 2,0 |
н-Тридекан и 1-метилнафталин | 1,0 | 0,5 - 0,5 |
Деление потока | Вводимый объем, мкл | Температура инжектора, °C |
100:1 | 0,1 | 250 |
200:1 | 0,5 | 250 |
300:1 | 1,0 | 250 |
Номер пика (см. приложение A1) | Преобладающий компонент | Совместно элюирующийся компонент |
164 | 3,3-Диметилпентан | 5-Метил-1-гексен |
186 | 2-Метилгексан | C7-олефин |
278 | 2,5-Диметилгексан | C8-олефин |
286 | 3,3-Диметилгексан | C8-олефин |
304 | Толуол | 2,3,3-Триметилпентан <B> |
324 | 1,1,2-Триметилциклопентан | C7-триолефин |
326 | C8-диолефин | C8-парафин |
492 | 4-Метилоктан | C9-олефин |
796 | 1,2,3,4-Тетраметилбензол | C11-ароматика |
(5)
(6)
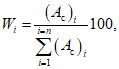
(8)
- сумма скорректированных площадей пиков всех компонентов.Анализируемый компонент | Относительный коэффициент отклика | |
RRF C7 = 1,000 | RRF CH4 = 1,000 | |
Метанол | 2,996 | 2,672 |
Этанол | 2,087 | 1,862 |
трет-Бутанол | 1,302 | 1,161 |
Метил-трет-бутиловый эфир (МТБЭ) | 1,577 | 1,407 |
Этил-трет-бутиловый эфир (ЭТБЭ) | 1,407 | 1,255 |
трет-Амилметиловый эфир (ТАМЭ) | 1,356 | 1,210 |
Номер пика | Наименование компонента | Время удерживания | Молекулярная масса MWt | Теоретический относительный массовый коэффициент отклика Rf(C1) |
1 | Метан | 6,74 | 16,04 | 1,000 |
2 | Этен | 7,10 | 28,05 | 0,874 |
3 | Этан | 7,21 | 30,07 | 0,937 |
4 | Пропен | 7,41 | 42,05 | 0,874 |
5 | Пропан | 7,87 | 44,11 | 0,916 |
6 | Изобутан | 8,26 | 58,12 | 0,906 |
7 | Метанол | 8,64 | 32,03 | 2,672 |
8 | Изобутен | 8,95 | 56,11 | 0,874 |
9 | Бутен-1 | 8,99 | 56,11 | 0,874 |
10 | Бутадиен-1,3 | 9,17 | 54,09 | 0,843 |
12 | н-Бутан | 9,28 | 58,12 | 0,906 |
14 | транс-Бутен-2 | 9,70 | 56,11 | 0,874 |
16 | 2,2-Диметилпропан | 9,82 | 72,15 | 0,899 |
18 | цис-Бутен-2 | 10,33 | 56,11 | 0,874 |
20 | Бутадиен-1,2 | 10,88 | 54,09 | 0,843 |
22 | Этанол | 11,39 | 46,07 | 1,862 |
24 | 3-Метилбутен-1 | 12,21 | 70,13 | 0,874 |
26 | Изопентан | 13,57 | 72,15 | 0,899 |
28 | Пентадиен-1,4 | 14,25 | 68,12 | 0,849 |
30 | Бутин-2 (диметилацетилен) | 14,57 | 54,09 | 0,843 |
32 | Пентен-1 | 15,03 | 70,13 | 0,874 |
34 | Изопропанол | 15,28 | 60,11 | 1,950 |
36 | 2-Метилбутен-1 | 15,76 | 70,13 | 0,874 |
38 | н-Пентан | 16,24 | 72,15 | 0,899 |
40 | 2-Метилбутадиен-1,3 | 16,73 | 68,12 | 0,849 |
42 | транс-Пентен-2 | 17,23 | 70,13 | 0,874 |
44 | 3,3-Диметилбутен-1 | 17,86 | 84,16 | 0,874 |
46 | цис-Пентен-2 | 18,17 | 70,13 | 0,874 |
48 | трет-Бутанол (ТБА) | 18,51 | 74,12 | 1,161 |
50 | 2-Метилбутен-2 | 18,76 | 70,13 | 0,874 |
52 | транс-Пентадиен-1,3 | 19,12 | 68,12 | 0,849 |
54 | 3-Метилбутадиен-1,2 | 19,48 | 68,12 | 0,849 |
56 | Циклопентадиен | 19,76 | 67,10 | 0,824 |
58 | цис-Пентадиен-1,3 | 20,25 | 68,12 | 0,849 |
60 | Пентадиен-1,2 | 20,51 | 68,12 | 0,849 |
62 | 2,2-Диметилбутан | 20,69 | 86,18 | 0,895 |
64 | Циклопентен | 23,16 | 68,12 | 0,849 |
66 | 4-Метилпентен-1 | 24,30 | 84,16 | 0,874 |
68 | 3-Метилпентен-1 | 24,38 | 84,16 | 0,874 |
70 | н-Пропанол | 24,68 | 60,11 | 1,770 |
72 | Циклопентан | 24,86 | 70,13 | 0,874 |
74 | 2,3-Диметилбутан | 25,57 | 86,18 | 0,895 |
76 | 2,3-Диметилбутен-1 | 25,99 | 84,16 | 0,874 |
78 | Метил-трет-бутиловый эфир (МТБЭ) | 26,18 | 88,09 | 1,407 |
80 | цис-4-Метилпентен-2 | 26,48 | 84,16 | 0,874 |
82 | 2-Метилпентан | 26,66 | 86,18 | 0,895 |
84 | транс-4-Метилпентен-2 | 72,09 | 84,16 | 0,874 |
86 | Метилэтилкетон (МЭК) | 28,00 | 72,06 | 1,570 |
88 | 3-Метилпентан | 29,15 | 86,18 | 0,895 |
90 | C6-олефин | 29,61 | 84,16 | 0,874 |
92 | 2-Метилпентен-1 | 30,29 | 84,16 | 0,874 |
94 | Гексен-1 | 30,52 | 84,16 | 0,874 |
96 | Метил-втор-бутиловый эфир (МВБЭ) | 30,66 | 88,09 | 1,550 |
98 | C6-олефин | 30,94 | 84,16 | 0,874 |
100 | Бутанол-2 | 31,56 | 74,12 | 1,600 |
102 | 2-Этилбутен-1 | 32,47 | 84,16 | 0,874 |
104 | н-Гексан | 32,75 | 86,18 | 0,895 |
106 | цис-Гексен-3 | 33,41 | 84,16 | 0,874 |
108 | Диизопропиловый эфир (ДИПЭ) | 33,58 | 102,00 | 1,600 |
110 | транс-Гексен-3 + гексадиен | 33,66 | 84,16 | 0,874 |
112 | 2-Метилпентен-2 | 34,33 | 84,16 | 0,874 |
114 | 3-Метилциклопентен | 34,57 | 82,10 | 0,853 |
116 | транс-3-Метилпентен-2 | 34,71 | 84,16 | 0,874 |
118 | цис-Гексен-2 | 35,62 | 84,16 | 0,874 |
120 | 3,3-Диметилпентен-1 | 36,04 | 98,19 | 0,874 |
122 | цис-3-Метилпентен-2 | 36,92 | 84,16 | 0,874 |
124 | Этил-трет-бутиловый эфир (ЭТБЭ) | 37,07 | 102,18 | 1,255 |
126 | 2,3-Диметилбутадиен-1,3 | 37,19 | 82,10 | 0,853 |
128 | Метилциклопентан | 37,40 | 84,16 | 0,874 |
130 | 2,2-Диметилпентан | 37,60 | 100,21 | 0,892 |
132 | 4,4-Диметилпентен-1 | 37,91 | 98,19 | 0,874 |
134 | Изобутанол | 38,06 | 74,12 | 1,500 |
136 | 2,3-Диметилбутен-2 | 38,30 | 84,16 | 0,874 |
138 | 2,4-Диметилпентан | 38,99 | 100,21 | 0,892 |
140 | 1,3,5-Гексатриен | 39,31 | 80,06 | 0,832 |
142 | 2,2,3-Триметилбутан | 39,48 | 100,21 | 0,892 |
144 | Метилциклопентадиен | 40,17 | 80,06 | 0,832 |
146 | C7-олефин | 40,30 | 98,19 | 0,874 |
148 | C7-олефин | 40,68 | 98,19 | 0,874 |
150 | C7-диолефин | 41,20 | 96,18 | 0,856 |
152 | 4-Метилциклопентен | 41,44 | 82,10 | 0,853 |
154 | Метиленциклопентан | 42,08 | 82,10 | 0,853 |
156 | Бензол | 42,30 | 78,05 | 0,812 |
158 | 1-Метилциклопентен-1 | 42,46 | 82,10 | 0,853 |
160 | C7-олефин | 43,06 | 98,19 | 0,874 |
162 | цис-2-Метилгексен-3 | 43,37 | 98,19 | 0,874 |
164 | 3,3-Диметилпентан + 5-метилгексен-1 | 43,81 | 100,21 | 0,892 |
166 | Циклогексан | 44,07 | 84,16 | 0,874 |
168 | транс-2-Метилгексен-3 | 44,82 | 98,19 | 0,874 |
170 | 3,3-Диметилпентадиен-1,4 | 45,44 | 96,18 | 0,856 |
172 | н-Бутанол | 45,58 | 74,12 | 1,500 |
174 | Диметилциклопентадиен | 45,69 | 94,17 | 0,838 |
176 | транс-2-Этил-3-метилбутен-1 | 45,97 | 98,19 | 0,874 |
178 | 4-Метилгексен-1 | 46,27 | 98,19 | 0,874 |
180 | C7-олефин | 46,55 | 98,19 | 0,874 |
182 | 3-Метилгексен-1 | 46,78 | 98,19 | 0,874 |
184 | 4-Метилгексен-2 | 46,92 | 98,19 | 0,874 |
186 | 2-Метилгексан + C7-олефин | 47,29 | 100,21 | 0,892 |
188 | 2,3-Диметилпентан | 47,51 | 100,21 | 0,892 |
190 | Циклогексен | 47,65 | 82,10 | 0,853 |
192 | трет-Амилметиловый эфир (TAME) | 48,10 | 102,18 | 1,210 |
194 | C7-олефин | 48,46 | 98,19 | 0,874 |
196 | C7-олефин | 48,64 | 98,19 | 0,874 |
198 | 3-Метилгексан | 49,05 | 100,21 | 0,892 |
200 | C7-олефин | 49,47 | 98,19 | 0,874 |
202 | C7-олефин | 49,62 | 98,19 | 0,874 |
204 | транс-1,3-Диметилциклопентан | 49,83 | 98,19 | 0,874 |
206 | цис-1,3-Диметилциклопентан | 50,40 | 98,19 | 0,874 |
208 | транс-1,2-Диметилциклопентан | 51,01 | 98,19 | 0,874 |
210 | 3-Этилпентан | 51,21 | 100,10 | 0,892 |
212 | C7-олефин | 51,43 | 98,19 | 0,874 |
214 | 2,2,4-Триметилпентан | 51,61 | 114,23 | 0,890 |
216 | C7-олефин | 51,75 | 98,19 | 0,874 |
218 | 1-Гептен | 52,05 | 98,19 | 0,874 |
220 | C7-олефин | 52,18 | 98,19 | 0,874 |
222 | 2,3-Диметилпентадиен-1,3 | 52,69 | 96,18 | 0,874 |
224 | C7-диолефин | 53,00 | 96,18 | 0,856 |
226 | C7-олефин | 53,36 | 98,19 | 0,874 |
228 | C7-диолефин | 53,81 | 96,18 | 0,856 |
230 | C7-диолефин | 54,13 | 96,18 | 0,856 |
232 | C7-олефин | 54,28 | 98,19 | 0,874 |
234 | н-Гептан | 54,59 | 100,21 | 0,892 |
236 | цис-Гептен-3 | 54,81 | 98,19 | 0,874 |
238 | 2-Метилгексен-2 | 55,10 | 98,19 | 0,874 |
240 | цис-Метилгексен-3 | 55,35 | 98,19 | 0,874 |
242 | транс-Гептен-3 | 55,72 | 98,19 | 0,874 |
244 | 3-Этилпентен-2 | 55,88 | 96,18 | 0,856 |
246 | 1,5-Диметилциклопентен | 56,06 | 96,18 | 0,856 |
248 | транс-2-Метилгексен-3 | 56,58 | 98,19 | 0,874 |
250 | C7-диолефин + C7-триолефин | 57,01 | 96,18 | 0,856 |
252 | 2,3-Диметилпентен-2 | 57,35 | 98,19 | 0,874 |
254 | 3-Этилпентен | 57,57 | 98,19 | 0,874 |
256 | Метилциклогексан | 57,79 | 98,19 | 0,874 |
258 | C7-олефин | 58,28 | 98,19 | 0,874 |
260 | 1,1,3-Триметилциклопентан | 58,79 | 112,22 | 0,874 |
262 | 2,2-Диметилгексан | 59,29 | 114,10 | 0,890 |
264 | 2,3,4-Триметилпентадиен-1,4 | 59,45 | 110,21 | 0,859 |
266 | 3,3-Диметилгексадиен-1,5 | 59,79 | 110,21 | 0,859 |
268 | C8-олефин | 60,12 | 98,19 | 0,874 |
270 | Этилциклопентан | 60,60 | 98,19 | 0,874 |
272 | 3-Метилциклогексен | 60,99 | 96,18 | 0,856 |
274 | Метилциклогексадиен | 61,14 | 94,17 | 0,838 |
276 | 2,2,3-Триметилпентан | 61,22 | 114,10 | 0,890 |
278 | 2,5-Диметилгексан + C8-олефин | 61,59 | 114,23 | 0,890 |
280 | 2,4-Диметилгексан | 61,91 | 114,23 | 0,890 |
282 | C7-триолефин + C8-олефин | 62,28 | 112,24 | 0,856 |
284 | транс, цис-1,2,4-Триметилциклопентан | 62,68 | 112,22 | 0,874 |
286 | 3,3-Диметилгексан + C8-олефин | 63,13 | 114,23 | 0,890 |
288 | C7-триолефин + C8-олефин | 63,39 | 112,24 | 0,856 |
290 | C8-олефин | 63,69 | 112,22 | 0,874 |
292 | транс, цис-1,2,3-Триметилциклопентан | 64,27 | 112,22 | 0,874 |
294 | C8-олефин | 64,52 | 112,22 | 0,874 |
296 | C8-олефин | 64,73 | 112,22 | 0,874 |
298 | C8-олефин | 64,82 | 112,22 | 0,874 |
300 | 2,3,4-Триметилпентан | 64,94 | 114,23 | 0,890 |
302 | C7-диолефин | 65,25 | 96,18 | 0,856 |
304 | Толуол | 65,50 | 92,06 | 0,821 |
306 | 2,3,3-Триметилпентан | 65,76 | 114,23 | 0,890 |
308 | C8-олефин | 65,90 | 112,22 | 0,874 |
310 | C8-диолефин | 66,12 | 110,21 | 0,859 |
312 | C8-олефин | 66,48 | 112,22 | 0,874 |
314 | C8-олефин | 66,65 | 112,22 | 0,874 |
316 | C8-олефин | 67,08 | 112,22 | 0,874 |
318 | C8-диолефин + C8-олефин | 67,30 | 110,21 | 0,859 |
320 | 2,3-Диметилгексан | 67,47 | 114,23 | 0,890 |
322 | 2-Метил-3-этилпентан | 67,71 | 114,23 | 0,890 |
324 | 1,1,2-Триметилциклопентан + C7-триолефин | 68,04 | 112,22 | 0,874 |
326 | C8-диолефин + C8-парафин | 68,31 | 114,23 | 0,859 |
328 | C8-олефин | 68,41 | 112,22 | 0,874 |
330 | C8-олефин | 68,64 | 112,22 | 0,874 |
332 | 2-Метилгептан | 68,66 | 114,23 | 0,890 |
334 | 4-Метилгептан | 69,11 | 114,23 | 0,890 |
336 | C8-диолефин + C7-олефин | 69,41 | 112,22 | 0,874 |
338 | C8-олефин | 69,70 | 112,22 | 0,874 |
340 | цис-1,3-Диметилциклогексан | 69,91 | 112,22 | 0,874 |
342 | транс-1,4-Диметилциклогексан | 70,01 | 112,22 | 0,874 |
344 | 3-Метилгептан | 70,23 | 114,23 | 0,890 |
346 | 3-Этилгексан | 70,38 | 114,23 | 0,890 |
348 | C8-диолефин | 70,51 | 110,21 | 0,874 |
350 | C8-олефин | 70,72 | 112,22 | 0,874 |
352 | C8-олефин | 70,92 | 112,22 | 0,874 |
354 | 1,1-Диметилциклогексан | 71,18 | 112,22 | 0,874 |
356 | C8-олефин | 71,43 | 112,22 | 0,874 |
358 | C8-олефин | 71,70 | 112,22 | 0,874 |
360 | цис-1-Этил-3-метилциклопентан | 72,10 | 112,22 | 0,874 |
362 | 2,2,5-Триметилгексан | 72,23 | 128,26 | 0,888 |
364 | транс-1-Этил-3-метилциклопентан | 72,46 | 112,22 | 0,874 |
366 | транс-1-Этил-2-метилциклопентан | 72,68 | 112,22 | 0,874 |
368 | 1-Метил-1-этилциклопентан | 72,96 | 112,22 | 0,874 |
370 | Октен-1 | 73,16 | 112,22 | 0,874 |
372 | C8-олефин | 73,26 | 112,22 | 0,874 |
374 | транс-1,2-Диметилциклогексан | 73,36 | 112,22 | 0,874 |
376 | C8-олефин | 73,48 | 112,22 | 0,874 |
378 | C8-олефин | 73,68 | 112,22 | 0,874 |
380 | транс-3-C8-олефин | 74,08 | 112,11 | 0,874 |
382 | C8-олефины | 74,45 | 112,22 | 0,874 |
384 | транс-1,3-Диметилциклогексан | 74,66 | 112,22 | 0,874 |
386 | цис-1,4-Диметилциклогексан | 74,79 | 112,22 | 0,874 |
388 | н-Октан | 74,98 | 114,23 | 0,890 |
390 | C8-олефин | 75,33 | 112,22 | 0,874 |
392 | C8-олефин | 75,49 | 112,22 | 0,874 |
394 | транс-Октен-2 | 75,62 | 112,22 | 0,874 |
396 | Изопропилциклопентан | 75,72 | 112,22 | 0,874 |
398 | C9-олефин | 75,85 | 126,24 | 0,874 |
400 | C9-олефин | 75,89 | 126,24 | 0,874 |
402 | C9-олефин | 75,90 | 126,24 | 0,874 |
404 | C9-олефин | 76,08 | 126,24 | 0,874 |
406 | 2,2,4-Триметилгексан | 76,31 | 128,26 | 0,888 |
408 | 2,4,4-Триметилгексан | 76,62 | 128,26 | 0,888 |
410 | C9-олефины | 76,86 | 126,24 | 0,874 |
412 | 2,3,5-Триметилгексан | 77,29 | 128,26 | 0,888 |
414 | цис-Октен-2 | 77,53 | 112,22 | 0,874 |
416 | 2,2,3,4-Тетраметилпентан | 77,77 | 128,26 | 0,888 |
418 | 2,2-Диметилгептан | 78,02 | 128,26 | 0,888 |
420 | цис-1,2-Диметилциклогексан | 78,36 | 112,22 | 0,874 |
422 | 2,4-Диметилгептан | 78,74 | 128,26 | 0,888 |
424 | C9-олефин | 78,90 | 126,24 | 0,874 |
426 | C9-олефин | 79,08 | 126,24 | 0,874 |
428 | Этилциклогексан | 79,24 | 112,22 | 0,874 |
430 | Пропилциклопентан | 79,39 | 112,22 | 0,874 |
432 | 2-Метил-4-этилгексан | 79,59 | 128,26 | 0,888 |
434 | 2,6-Диметилгептан | 79,74 | 128,26 | 0,874 |
436 | C9-олефин | 79,85 | 126,24 | 0,874 |
438 | 1,1,4-Триметилциклогексан | 80,05 | 126,24 | 0,874 |
440 | C9-олефин | 80,28 | 126,24 | 0,874 |
442 | C9-олефин | 80,38 | 126,24 | 0,874 |
444 | 1,1,3-Триметилциклогексан | 80,52 | 126,24 | 0,874 |
446 | 2,5-Диметилгептан + 3,5-диметилгептан | 80,69 | 128,26 | 0,888 |
448 | C9-олефин | 80,88 | 126,24 | 0,874 |
450 | 3,3-Диметилгептан | 81,00 | 128,26 | 0,888 |
452 | C9-парафин | 81,13 | 128,26 | 0,888 |
454 | C9-олефин | 81,34 | 126,24 | 0,874 |
456 | 2,3,3-Триметилгексан | 81,56 | 128,26 | 0,888 |
458 | C9-олефин | 81,68 | 126,24 | 0,874 |
460 | Этилбензол | 81,96 | 106,08 | 0,827 |
462 | C9-олефин | 82,00 | 126,24 | 0,874 |
464 | транс-1,2,4-Триметилциклогексан | 82,31 | 126,24 | 0,874 |
466 | C9-олефин | 82,33 | 126,24 | 0,874 |
468 | 2,3,4-Триметилгексан | 82,63 | 128,26 | 0,888 |
470 | C9-олефин | 82,73 | 126,24 | 0,874 |
472 | 3,3,4-Триметилгексан | 82,89 | 128,26 | 0,888 |
474 | м-Ксилол | 83,30 | 106,08 | 0,827 |
476 | п-Ксилол | 83,43 | 106,08 | 0,827 |
478 | 2,3-Диметилгептан | 83,57 | 128,26 | 0,888 |
480 | 3,5-Диметилгептан | 83,83 | 128,26 | 0,888 |
482 | 3,4-Диметилгептан | 83,91 | 128,26 | 0,888 |
484 | C9-олефин | 84,08 | 126,24 | 0,874 |
486 | 3-Метил-3-этилгексан | 84,26 | 128,26 | 0,888 |
488 | C9-олефин | 84,41 | 126,34 | 0,874 |
490 | 4-Этилгептан | 84,52 | 128,26 | 0,888 |
492 | 4-Метилоктан + C9-олефин | 84,70 | 128,26 | 0,888 |
494 | 2-Метилоктан | 84,84 | 128,26 | 0,888 |
496 | C9-олефин | 85,01 | 126,24 | 0,874 |
498 | C9-парафин | 85,18 | 128,26 | 0,888 |
500 | C9-олефин | 85,36 | 126,24 | 0,874 |
502 | 3-Этилгептан | 85,51 | 128,26 | 0,888 |
504 | 3-Метилоктан | 85,69 | 128,26 | 0,888 |
506 | C9-парафин | 85,87 | 126,24 | 0,874 |
508 | цис-1,2,4-Триметилциклогексан | 85,91 | 126,24 | 0,874 |
510 | 1,1,2-Триметилциклогексан | 86,05 | 126,24 | 0,874 |
512 | о-Ксилол | 86,27 | 106,08 | 0,827 |
514 | C9-олефин | 86,47 | 126,24 | 0,874 |
516 | C9-парафин | 86,57 | 128,26 | 0,888 |
518 | C9-парафин | 86,75 | 128,26 | 0,888 |
520 | C9-олефин | 86,90 | 126,24 | 0,874 |
522 | транс-1-Этил-4-метилциклогексан | 87,08 | 126,24 | 0,874 |
524 | цис-1-Этил-4-метилциклогексан | 87,23 | 126,24 | 0,874 |
526 | C9-парафин | 87,49 | 128,26 | 0,888 |
528 | Нонен-1 | 87,79 | 126,24 | 0,874 |
530 | Изобутилциклопентан | 88,00 | 126,24 | 0,874 |
532 | C9-парафин | 88,45 | 128,26 | 0,888 |
534 | транс-Нонен-3 | 88,65 | 126,24 | 0,874 |
536 | цис-Нонен-3 | 88,82 | 126,24 | 0,874 |
538 | C9-парафин | 89,09 | 128,26 | 0,888 |
540 | н-Нонан | 89,24 | 128,26 | 0,888 |
542 | C10-олефин | 89,41 | 140,27 | 0,874 |
544 | транс-Нонен-2 | 89,74 | 126,24 | 0,874 |
546 | 1-Метил-1-этилциклогексан | 89,61 | 126,24 | 0,874 |
548 | 1-Метил-2-пропилциклопентан | 89,96 | 126,24 | 0,874 |
550 | C10-олефин | 90,09 | 140,27 | 0,874 |
552 | C10-парафин | 90,18 | 142,28 | 0,887 |
554 | C10-парафин | 90,29 | 142,28 | 0,887 |
556 | Изопропилбензол | 90,46 | 118,08 | 0,832 |
558 | цис-Нонен-2 | 90,78 | 126,24 | 0,874 |
560 | трет-Бутилциклопентан | 90,80 | 126,24 | 0,874 |
562 | C9-олефины | 90,88 | 126,24 | 0,874 |
564 | Нонен | 91,16 | 126,24 | 0,874 |
566 | Изопропилциклогексан | 91,32 | 126,24 | 0,874 |
568 | 3,3,5-Триметилгептан | 91,44 | 142,28 | 0,887 |
570 | 2,2-Диметилоктан | 91,60 | 142,28 | 0,887 |
572 | 2,4-Диметилоктан | 91,67 | 142,28 | 0,887 |
574 | 1-Метил-4-изопропилциклогексан | 91,82 | 140,27 | 0,874 |
576 | втор-Бутилциклопентан | 92,20 | 126,24 | 0,874 |
578 | Пропилциклогексан | 92,40 | 126,24 | 0,874 |
580 | 2,5-Диметилоктан | 92,59 | 142,28 | 0,887 |
582 | Бутилциклопентан | 92,89 | 126,24 | 0,874 |
584 | 2,6-Диметилоктан | 93,04 | 142,28 | 0,887 |
586 | 3,6-Диметилоктан | 93,43 | 142,28 | 0,887 |
588 | 1-Метил-2-этилциклогексан | 93,59 | 126,24 | 0,874 |
590 | C10-олефин | 93,79 | 140,27 | 0,874 |
592 | Пропилбензол | 93,96 | 120,20 | 0,832 |
594 | 3,3-Диметилоктан | 94,27 | 142,28 | 0,887 |
596 | 3-Метил-5-этилгептан | 94,54 | 142,28 | 0,887 |
598 | C10-олефин | 94,66 | 140,27 | 0,874 |
600 | 1-Этил-3-метилбензол | 94,88 | 120,20 | 0,832 |
602 | 1-Этил-4-метилбензол | 95,09 | 120,20 | 0,832 |
604 | Нафтен | 95,30 | 140,27 | 0,874 |
606 | 1,3,5-Триметилбензол | 95,73 | 120,20 | 0,832 |
608 | 2,3-Диметилоктан | 95,34 | 142,28 | 0,887 |
610 | 5-Метилнонан | 96,13 | 142,28 | 0,887 |
612 | 4-Метилнонан | 96,29 | 142,28 | 0,887 |
614 | 2-Метилнонан | 96,49 | 142,28 | 0,887 |
616 | 1-Этил-2-метилбензол | 96,77 | 120,20 | 0,832 |
618 | 3-Этилоктан | 97,01 | 142,28 | 0,887 |
620 | Нафтен | 97,14 | 140,27 | 0,874 |
622 | 3-Метилнонан | 97,47 | 142,28 | 0,887 |
624 | C10-олефин | 97,69 | 140,27 | 0,874 |
626 | C10-парафин | 97,83 | 142,28 | 0,887 |
628 | C10-парафин | 98,16 | 142,28 | 0,887 |
630 | 1,2,4-Триметилбензол | 98,49 | 120,20 | 0,832 |
632 | C10-парафин | 98,74 | 142,28 | 0,997 |
634 | C10-парафин | 98,90 | 142,28 | 0,887 |
636 | Изобутилциклогексан | 99,10 | 140,27 | 0,874 |
638 | C10-парафин | 99,09 | 142,28 | 0,887 |
640 | C10-парафин | 99,22 | 142,37 | 0,887 |
642 | Децен-1 | 99,52 | 140,27 | 0,874 |
644 | C10-парафин | 99,66 | 142,28 | 0,887 |
646 | C10-парафин | 99,70 | 142,28 | 0,887 |
648 | C10-ароматический углеводород | 99,75 | 134,22 | 0,837 |
650 | C10-парафин | 99,82 | 142,28 | 0,887 |
652 | Нафтен | 99,93 | 140,27 | 0,874 |
654 | Изобутилбензол | 100,06 | 134,22 | 0,837 |
656 | транс-1-Метил-2-пропилциклогексан | 100,09 | 140,27 | 0,874 |
658 | C10-парафин | 100,19 | 142,28 | 0,887 |
660 | втор-Бутилбензол | 100,28 | 134,22 | 0,837 |
662 | н-Декан | 100,40 | 142,28 | 0,887 |
664 | C11-парафин | 100,67 | 156,32 | 0,886 |
666 | C11-парафин | 100,85 | 156,32 | 0,886 |
668 | 1,2,3-Триметилбензол | 101,28 | 120,20 | 0,832 |
670 | 1-Метил-3-изопропилбензол | 101,40 | 134,22 | 0,837 |
672 | C11-парафин | 101,55 | 156,32 | 0,886 |
674 | 1-Метил-4-изопропилбензол | 101,73 | 134,22 | 0,837 |
676 | C11-парафин | 102,06 | 156,32 | 0,886 |
678 | C11-парафин | 102,05 | 156,32 | 0,886 |
680 | 2,3-Дигидроинден | 102,42 | 118,17 | 0,819 |
682 | втор-Бутилциклогексан | 102,57 | 140,27 | 0,874 |
684 | C11-парафин | 102,87 | 156,32 | 0,886 |
686 | 1-Метил-2-изопропилбензол | 103,03 | 134,22 | 0,837 |
688 | 3-Этилнонан | 103,26 | 156,32 | 0,886 |
690 | C11-парафин | 103,37 | 156,32 | 0,886 |
692 | Нафтен | 103,55 | 140,27 | 0,874 |
694 | C11-парафин | 103,88 | 126,19 | 0,886 |
696 | 1,3-Диэтилбензол | 104,08 | 134,22 | 0,837 |
698 | 1-Метил-3-пропилбензол | 104,35 | 134,22 | 0,837 |
700 | 1,4-Диэтилбензол | 104,57 | 134,22 | 0,837 |
702 | 1-Метил-4-пропилбензол | 104,73 | 134,22 | 0,837 |
704 | Бутилбензол | 104,85 | 134,22 | 0,837 |
706 | 3,5-Диметил-1-этилбензол | 105,00 | 134,22 | 0,837 |
708 | 1,2-Диэтилбензол | 105,26 | 134,22 | 0,837 |
710 | C11-парафин | 105,39 | 156,32 | 0,886 |
712 | C10-ароматический углеводород | 105,49 | 134,22 | 0,837 |
714 | C10-ароматический углеводород | 105,64 | 134,22 | 0,837 |
716 | C10-ароматический углеводород | 105,75 | 134,22 | 0,837 |
718 | 1-Метил-2-пропилбензол | 105,85 | 134,22 | 0,837 |
720 | C10-ароматический углеводород | 105,95 | 134,22 | 0,837 |
722 | 5-Метилдекан | 106,11 | 156,32 | 0,886 |
724 | 4-Метилдекан | 106,26 | 156,32 | 0,886 |
726 | 2-Метилдекан | 106,39 | 156,32 | 0,886 |
728 | C11-парафин | 106,55 | 156,32 | 0,886 |
730 | 1,4-Диметил-2-этилбензол | 106,76 | 134,22 | 0,837 |
732 | 1,3-Диметил-4-этилбензол | 106,93 | 134,22 | 0,837 |
734 | C11-парафин | 107,06 | 156,32 | 0,886 |
736 | 3-Триметилдекан | 107,27 | 156,32 | 0,886 |
738 | C1-индан | 107,35 | 132,00 | 0,837 |
740 | 1,2-Диметил-4-этилбензол | 107,46 | 134,22 | 0,837 |
742 | C11-парафин | 107,76 | 156,32 | 0,886 |
744 | 1,3-Диметил-2-этилбензол | 108,01 | 134,22 | 0,837 |
746 | C11-парафин | 108,58 | 156,32 | 0,886 |
748 | C11-парафин | 108,75 | 156,32 | 0,886 |
750 | 1-Метил-4-трет-бутилбензол | 108,98 | 148,25 | 0,840 |
752 | 1,2-Диметил-3-этилбензол | 109,17 | 134,22 | 0,837 |
754 | 1-Этил-2-изопропилбензол | 109,50 | 148,25 | 0,840 |
756 | н-Ундекан | 109,62 | 156,32 | 0,886 |
758 | 1-Этил-4-изопропилбензол | 109,80 | 148,25 | 0,840 |
760 | C12-парафин | 109,96 | 170,34 | 0,885 |
762 | 1,2,4,5-Тетраметилбензол | 110,15 | 134,22 | 0,837 |
764 | 2-Метилбутилбензол | 110,55 | 148,25 | 0,840 |
766 | 1,2,3,5-Тетраметилбензол | 110,43 | 134,22 | 0,837 |
768 | 3-Метилбутилбензол | 110,64 | 148,25 | 0,840 |
770 | C11-ароматический углеводород | 110,74 | 148,25 | 0,840 |
772 | C12-парафин | 110,84 | 170,34 | 0,885 |
774 | C11-ароматический углеводород | 110,94 | 148,25 | 0,840 |
776 | C11-ароматический углеводород | 111,05 | 148,25 | 0,840 |
778 | C11-ароматический углеводород | 111,12 | 148,25 | 0,840 |
780 | 1-трет-Бутил-2-метилбензол | 111,56 | 148,25 | 0,840 |
782 | C11-ароматический углеводород | 111,65 | 148,25 | 0,840 |
784 | 1-Этил-2-пропилбензол | 111,76 | 148,25 | 0,840 |
786 | C11-ароматический углеводород | 112,00 | 148,25 | 0,840 |
788 | C11-ароматический углеводород | 112,22 | 148,25 | 0,840 |
790 | C11-ароматический углеводород | 112,34 | 148,25 | 0,840 |
792 | 1-Метил-3-бутилбензол | 112,52 | 148,25 | 0,840 |
794 | C11-ароматический углеводород | 112,63 | 148,25 | 0,840 |
796 | 1,2,3,4-Тетраметилбензол | 112,79 | 148,25 | 0,840 |
798 | Пентилбензол | 113,17 | 148,25 | 0,840 |
800 | транс-1-Метил-2-(4-метилпентил)-циклопентан | 113,44 | 168,33 | 0,874 |
802 | C11-ароматический углеводород | 113,74 | 148,25 | 0,840 |
804 | C11-ароматический углеводород | 113,85 | 148,25 | 0,840 |
806 | C11-ароматический углеводород | 114,02 | 148,25 | 0,840 |
808 | C12-парафин | 114,12 | 170,34 | 0,885 |
810 | 1,2,3,4-Тетрагидронафталин | 114,17 | 132,09 | 0,824 |
812 | 1-трет-Бутил-3,5-диметилбензол | 114,32 | 162,30 | 0,843 |
814 | Нафталин | 114,65 | 128,06 | 0,799 |
816 | 1,1-Диметилиндан | 114,94 | 146,10 | 0,829 |
818 | 1,2-Диметилиндан | 115,19 | 146,10 | 0,829 |
820 | 1,6-Диметилиндан | 115,33 | 146,10 | 0,829 |
822 | C11-ароматический углеводород | 115,55 | 148,25 | 0,885 |
824 | 1-Этилиндан | 115,65 | 146,10 | 0,829 |
826 | 2-Этилиндан | 115,88 | 146,10 | 0,829 |
828 | Этил-1,3,5-триметилбензол | 116,00 | 148,25 | 0,884 |
830 | 1,3-Дипропилбензол | 116,21 | 162,34 | 0,843 |
832 | н-Додекан | 116,55 | 170,34 | 0,885 |
834 | Этил-1,2,4-триметилбензол | 116,69 | 148,25 | 0,840 |
836 | C11-ароматический углеводород | 117,07 | 148,25 | 0,840 |
838 | C11-ароматический углеводород | 117,19 | 148,25 | 0,840 |
840 | C12-ароматический углеводород + C2-индан | 117,55 | 162,30 | 0,843 |
842 | 2,4-Диметилиндан | 117,99 | 146,10 | 0,829 |
844 | 4-Этилиндан | 118,13 | 146,10 | 0,829 |
846 | 1-трет-Бутил-4-этилбензол | 118,59 | 162,30 | 0,843 |
848 | 1,3-Диметилиндан | 119,07 | 146,10 | 0,829 |
850 | 1-Метил-4-пентилбензол | 119,60 | 162,30 | 0,843 |
852 | 4,7-Диметилиндан | 119,65 | 146,10 | 0,829 |
854 | 5,6-Диметилиндан | 119,70 | 146,10 | 0,829 |
856 | C12-ароматический углеводород | 119,77 | 162,30 | 0,843 |
858 | Гексилбензол | 119,87 | 162,30 | 0,843 |
860 | C6-бензол | 119,93 | 162,30 | 0,843 |
862 | C6-бензол | 119,98 | 162,30 | 0,843 |
864 | C6-бензол | 120,20 | 162,30 | 0,843 |
866 | 4,5-Диметилиндан | 120,30 | 146,10 | 0,829 |
868 | C6-бензол | 120,80 | 163,30 | 0,843 |
870 | 2-Метилнафталин | 121,42 | 142,08 | 0,806 |
872 | C6-бензол | 121,65 | 162,30 | 0,843 |
874 | C6-бензол | 121,85 | 162,30 | 0,843 |
876 | н-Тридекан | 122,06 | 184,22 | 0,884 |
878 | 1-Метилнафталин | 122,28 | 142,08 | 0,806 |
880 | C6-бензол | 122,40 | 162,30 | 0,843 |
882 | C2-тетралин | 122,80 | 160,20 | 0,843 |
884 | C6-бензол | 123,20 | 162,30 | 0,843 |
886 | C6-бензол | 124,00 | 162,30 | 0,843 |
888 | C13-парафин | 125,60 | 184,22 | 0,883 |
890 | транс-Децен-7 | 126,34 | 140,20 | 0,874 |
892 | н-Тетрадекан | 126,60 | 198,34 | 0,883 |
895 | 2,6-Диметилнафталин | 126,84 | 156,30 | 0,812 |
900 | 2,7-Диметилнафталин | 126,97 | 156,30 | 0,812 |
905 | н-Тетрадекан | 127,10 | 198,34 | 0,883 |
910 | 1,3-Диметилнафталин | 127,52 | 156,30 | 0,812 |
915 | 1,6-Диметилнафталин | 127,69 | 156,30 | 0,812 |
920 | 1,5-Диметилнафталин | 128,44 | 156,30 | 0,812 |
925 | 1,4-Диметилнафталин | 128,31 | 156,30 | 0,812 |
930 | Аценафталин | 129,05 | 156,30 | 0,801 |
940 | 1,2-Диметилнафталин | 129,92 | 156,30 | 0,812 |
950 | н-Пентадекан | 131,10 | 212,34 | 0,883 |
ГХ-МС | Номер пика в соответствии с A1.2 | Номер компонента на хроматограмме по методу IHA | Аббревиатура или наименование компонента по методу IHA | rmin | rest | rmax | Rmin | Rest | Rmax | Cmin | Cmax |
A | 6 | 6 | iC4 | 9,8 | 1,4 | 17,7 | 24,9 | 30,7 | 37,3 | 0,04 | 2,86 |
A | 9 | 9 | 1C4= | 10,4 | 16,7 | 25,1 | 28,0 | 36,0 | 45,4 | 0,01 | 0,14 |
A | 11 | 12 | nC4 | 10,0 | 12,0 | 14,2 | 27,1 | 31,7 | 36,6 | 0,92 | 8,51 |
A | 12 | 14 | t2C4= | 12,1 | 15,7 | 19,8 | 28,2 | 36,8 | 47,1 | 0,03 | 0,31 |
A | 14 | 18 | c2C4= | 14,2 | 15,4 | 16,7 | 25,2 | 31,1 | 37,9 | 0,03 | 0,29 |
A | 20 | 24 | 3M1C4= | 7,3 | 9,6 | 12,3 | 17,2 | 19,9 | 22,7 | 0,02 | 0,11 |
A | 22 | 26 | iC5 | 4,6 | 5,4 | 6,3 | 13,4 | 15,5 | 17,9 | 2,39 | 12,09 |
A | 26 | 32 | 1C5= | 5,9 | 7,5 | 9,4 | 17,0 | 20,6 | 24,7 | 0,06 | 0,40 |
A | 28 | 36 | 2M1C4= | 4,4 | 6,3 | 8,6 | 14,5 | 17,5 | 20,9 | 0,14 | 0,80 |
A | 30 | 38 | nC5 | 4,2 | 6,2 | 8,7 | 13,9 | 16,1 | 18,5 | 1,00 | 5,18 |
A | 34 | 42 | t2C5= | 4,1 | 6,3 | 9,1 | 13,0 | 17,3 | 22,6 | 0,27 | 1,08 |
A | 38 | 46 | c2C5= | 5,2 | 7,7 | 11,0 | 14,4 | 18,3 | 22,9 | 0,15 | 0,59 |
A | 40 | 50 | 2M2C4= | 3,9 | 6,2 | 9,2 | 15,2 | 18,1 | 21,4 | 0,44 | 1,78 |
A | 42 | 52 | t13C5=,= | 4,5 | 10,2 | 19,6 | 22,1 | 31,1 | 42,2 | 0,01 | 0,05 |
A | 52 | 62 | 22DMC4 | 2,9 | 3,7 | 4,7 | 9,8 | 12,9 | 16,6 | 0,07 | 2,16 |
A | 54 | 64 | cyC5= | 4,6 | 9,0 | 15,5 | 15,6 | 20,3 | 25,9 | 0,07 | 0,25 |
A | 56 | 66 | 4M1C5= | 11,2 | 14,8 | 19,0 | 22,6 | 31,8 | 43,2 | 0,02 | 0,10 |
A | 58 | 68 | 3M1C5= | 8,3 | 12,1 | 17,0 | 37,1 | 50,5 | 66,8 | 0,04 | 0,12 |
A | 62 | 72 | cyC5 | 2,5 | 4,7 | 7,7 | 11,8 | 13,4 | 15,1 | 0,07 | 0,69 |
A | 64 | 74 | 23DMC4 | 1,7 | 2,7 | 3,9 | 8,6 | 9,8 | 11,1 | 0,53 | 1,91 |
A | 66 | 76 | MTBE | 1,9 | 3,2 | 5,0 | 9,1 | 12,3 | 16,2 | 0,12 | 15,73 |
A | 70 | 80 | c4M2C5= | 5,1 | 7,1 | 9,7 | 27,4 | 43,7 | 65,4 | 0,02 | 0,09 |
A | 74 | 82 | 2MC5 | 2,2 | 2,9 | 3,8 | 9,3 | 11,0 | 12,9 | 1,03 | 5,62 |
A | 76 | 84 | t4M2C5= | 4,9 | 6,3 | 7,9 | 16,9 | 20,2 | 23,9 | 0,05 | 0,26 |
A | 80 | 88 | 3MC5 | 2,0 | 2,7 | 3,5 | 7,7 | 9,1 | 10,7 | 0,58 | 3,25 |
A | 84 | 92 | 2M1C5= | 3,6 | 5,1 | 7,0 | 9,6 | 12,5 | 16,1 | 0,09 | 0,45 |
A | 86 | 94 | 1C6= | 3,9 | 6,4 | 9,9 | 15,1 | 19,9 | 25,7 | 0,04 | 0,26 |
A | 96 | 104 | nC6 | 2,5 | 4,6 | 7,7 | 11,0 | 13,3 | 15,8 | 0,25 | 3,23 |
A | 98 | 106 | c3C6= | 4,4 | 6,5 | 9,1 | 12,5 | 16,3 | 20,9 | 0,08 | 0,48 |
A | 102 | 110 | t3C6=+C6=,= | 2,9 | 5,2 | 8,4 | 9,4 | 12,4 | 15,9 | 0,17 | 0,93 |
A | 103 | 112 | 2M2C5= | 2,7 | 4,7 | 7,4 | 9,9 | 12,0 | 14,4 | 0,15 | 0,77 |
A | 104 | 114 | 3McyC5= | 7,8 | 11,3 | 15,9 | 22,7 | 25,2 | 28,0 | 0,02 | 0,11 |
A | 105 | 116 | t3M2C5= | 4,3 | 6,9 | 10,2 | 10,1 | 12,5 | 15,4 | 0,10 | 0,48 |
A | 106 | 118 | c2C6= | 4,1 | 6,7 | 10,2 | 14,3 | 17,4 | 21,0 | 0,07 | 0,40 |
A | 109 | 122 | c3M2C5= | 3,1 | 4,5 | 6,4 | 9,1 | 10,5 | 12,1 | 0,14 | 0,75 |
A | 112 | 128 | McyC5 | 2,4 | 3,3 | 4,4 | 9,1 | 10,1 | 11,1 | 0,36 | 2,34 |
A | 116 | 138 | 24DMC5 | 1,8 | 2,7 | 3,9 | 8,0 | 10,1 | 12,4 | 0,20 | 1,93 |
A | 118 | 142 | 223TMC4 | 0,5 | 4,1 | 14,3 | 20,9 | 35,2 | 54,8 | 0,01 | 0,06 |
A | 124 | 150 | C7=,= | 0,0 | 3,1 | 16,6 | 11,3 | 19,1 | 29,9 | 0,01 | 0,04 |
A | 128 | 154 | Метилен cyC5 | 5,5 | 9,1 | 14,1 | 14,9 | 20,3 | 26,8 | 0,01 | 0,03 |
A | 130 | 156 | Бензол | 2,6 | 4,7 | 7,8 | 11,5 | 13,8 | 16,5 | 0,15 | 1,86 |
A | 131 | 158 | 1McyC5= | 4,3 | 6,3 | 8,9 | 18,5 | 24,1 | 30,7 | 0,17 | 0,92 |
A | 133 | 162 | c2M3C6= | 0,0 | 1,2 | 6,8 | 17,0 | 29,1 | 45,9 | 0,01 | 0,06 |
A | 134 | 164 | 33DMC5+5M1C6= | 2,3 | 3,9 | 6,2 | 8,5 | 14,8 | 23,6 | 0,02 | 0,22 |
A | 136 | 166 | cyC6 | 3,3 | 4,4 | 5,7 | 11,3 | 12,8 | 14,5 | 0,04 | 0,87 |
A | 138 | 168 | t2M3C6= | 4,2 | 8,4 | 14,7 | 84,2 | 103,2 | 124,8 | 0,02 | 0,32 |
A | 146 | 176 | t2e3m1C4= | 3,2 | 5,7 | 9,1 | 20,8 | 29,6 | 40,8 | 0,02 | 0,19 |
A | 148 | 178 | 4M1C6= | 0,1 | 2,4 | 11,5 | 16,8 | 29,3 | 46,6 | 0,01 | 0,05 |
A | 154 | 184 | 4M2C6= | 3,0 | 4,5 | 6,4 | 15,9 | 18,7 | 21,8 | 0,03 | 0,29 |
A | 156 | 186 | 2MC6+C7= | 1,4 | 2,1 | 3,0 | 6,2 | 7,7 | 9,5 | 1,09 | 3,54 |
A | 160 | 190 | cyC6= | 3,9 | 7,2 | 12,1 | 30,1 | 45,4 | 65,2 | 0,02 | 0,13 |
A | 166 | 198 | 3MC6 | 1,3 | 2,0 | 2,8 | 8,5 | 9,9 | 11,5 | 0,36 | 2,38 |
A | 172 | 204 | t13DMcyC5 | 1,7 | 2,4 | 3,3 | 10,5 | 11,3 | 12,2 | 0,12 | 0,60 |
A | 174 | 206 | c13DMcyC5 | 1,9 | 2,7 | 3,6 | 9,8 | 10,7 | 11,6 | 0,09 | 0,49 |
A | 176 | 208 | t12DMcyC5 | 2,2 | 3,2 | 4,3 | 7,6 | 9,1 | 10,8 | 0,05 | 0,46 |
A | 180 | 210 | 3EC5 | 2,8 | 4,8 | 7,6 | 10,0 | 13,4 | 17,6 | 0,02 | 0,21 |
A | 184 | 212 | 5M-1-C6= | 1,8 | 5,0 | 10,6 | 24,1 | 35,2 | 49,1 | 0,03 | 0,19 |
A | 186 | 214 | 224TMC5 | 2,3 | 3,4 | 4,9 | 7,6 | 13,2 | 21,1 | 0,09 | 23,25 |
A | 188 | 218 | 1C7= | 4,3 | 6,8 | 10,1 | 15,8 | 20,9 | 26,9 | 0,02 | 0,13 |
A | 189 | 220 | C7= | 5,2 | 7,8 | 11,1 | 15,1 | 18,3 | 22,0 | 0,02 | 0,13 |
A | 194 | 226 | C7= | 3,3 | 4,8 | 6,8 | 16,6 | 20,7 | 25,2 | 0,02 | 0,16 |
A | 196 | 228 | C7=,= | 3,7 | 5,0 | 6,5 | 12,5 | 17,2 | 22,8 | 0,04 | 0,31 |
A | 197 | 230 | C7=,= | 5,6 | 7,3 | 9,3 | 19,5 | 23,0 | 26,9 | 0,04 | 0,26 |
A | 198 | 232 | C7= | 3,8 | 4,7 | 5,7 | 42,9 | 60,4 | 82,1 | 0,05 | 0,45 |
A | 200 | 234 | nc7 | 1,5 | 2,2 | 3,2 | 7,4 | 8,9 | 10,7 | 0,13 | 1,55 |
A | 202 | 236 | c3C7= | 2,1 | 3,0 | 4,2 | 14,2 | 18,2 | 23,0 | 0,04 | 0,36 |
A | 204 | 238 | 2M2C6= | 2,1 | 3,0 | 4,3 | 14,4 | 16,5 | 18,7 | 0,05 | 0,43 |
A | 206 | 240 | c3M3C6= | 3,3 | 4,5 | 6,1 | 21,0 | 24,9 | 29,3 | 0,03 | 0,29 |
A | 208 | 242 | t3C7= | 1,8 | 2,7 | 4,0 | 12,9 | 15,2 | 17,8 | 0,04 | 0,35 |
A | 210 | 244 | 3E2C5= | 0,1 | 1,2 | 5,4 | 13,4 | 16,6 | 20,4 | 0,02 | 0,13 |
A | 212 | 246 | 1,5DMcyC5= | 3,0 | 5,0 | 7,8 | 10,3 | 16,2 | 24,0 | 0,03 | 0,27 |
A | 214 | 248 | t2M3C6= | 2,8 | 3,6 | 4,7 | 13,8 | 17,9 | 22,9 | 0,04 | 0,33 |
A | 218 | 252 | 23DM2C5= | 3,1 | 4,0 | 5,0 | 9,1 | 13,0 | 17,8 | 0,04 | 0,56 |
A | 222 | 256 | McyC6 | 1,9 | 2,6 | 3,6 | 8,5 | 9,9 | 11,5 | 0,16 | 1,44 |
A | 224 | 260 | 113TMCyC5 | 1,7 | 5,1 | 11,5 | 10,8 | 14,4 | 18,7 | 0,01 | 0,09 |
A | 226 | 262 | 22DMC6 | 4,7 | 9,2 | 15,9 | 12,9 | 23,2 | 38,1 | 0,01 | 0,07 |
A | 234 | 270 | EcyC5 | 2,5 | 3,6 | 5,0 | 9,6 | 13,5 | 18,4 | 0,04 | 0,30 |
A | 240 | 276 | 223TMC5 | 2,2 | 4,9 | 9,3 | 14,1 | 27,3 | 46,7 | 0,02 | 0,54 |
A | 245 | 278 | 25DMC6+C8= | 1,5 | 2,8 | 4,7 | 6,3 | 8,1 | 10,3 | 0,17 | 1,58 |
A | 250 | 280 | 24DMC6 | 1,8 | 2,9 | 4,5 | 6,1 | 8,1 | 10,4 | 0,25 | 2,19 |
A | 260 | 284 | tc124TMcyC5 | 2,4 | 3,7 | 5,4 | 10,8 | 15,1 | 20,5 | 0,03 | 0,16 |
A | 265 | 286 | 3,3DMC6+C8= | 1,3 | 5,4 | 14,1 | 8,7 | 14,8 | 23,2 | 0,01 | 0,07 |
A | 278 | 292 | tc123TMcyC5 | 6,1 | 11,5 | 19,5 | 40,9 | 70,0 | 110,3 | 0,03 | 0,09 |
A | 290 | 298 | C8='S | 0,3 | 3,2 | 11,8 | 15,5 | 20,3 | 26,1 | 0,02 | 0,23 |
A | 292 | 300 | 234TMC5 | 1,9 | 3,2 | 5,0 | 8,7 | 12,0 | 16,0 | 0,09 | 9,14 |
A | 294 | 302 | C7=,= | 2,9 | 4,2 | 5,8 | 19,2 | 41,1 | 75,2 | 0,06 | 0,51 |
A | 300 | 304 | Толуол | 1,7 | 3,1 | 5,3 | 8,7 | 16,6 | 28,2 | 2,52 | 13,14 |
A | 312 | 316 | C8= | 3,9 | 6,0 | 8,7 | 26,0 | 35,7 | 47,6 | 0,02 | 0,20 |
A | 314 | 320 | 23DMC6 | 2,2 | 3,5 | 5,2 | 16,1 | 30,6 | 51,9 | 0,18 | 2,06 |
A | 316 | 322 | 2M3EC5 | 2,3 | 4,5 | 7,9 | 21,3 | 40,0 | 67,2 | 0,03 | 0,31 |
A | 318 | 324 | 112TMcyC5+C7=,=,= | 0,4 | 3,3 | 11,8 | 26,6 | 33,7 | 42,0 | 0,02 | 0,23 |
A | 326 | 332 | 2MC7 | 3,3 | 4,4 | 5,9 | 8,4 | 11,2 | 14,5 | 0,14 | 0,93 |
A | 328 | 334 | 4MC7 | 3,5 | 5,6 | 8,3 | 12,5 | 24,4 | 42,4 | 0,15 | 0,50 |
A | 334 | 340 | c13DMcyC6 | 3,7 | 4,8 | 6,2 | 18,7 | 32,6 | 52,1 | 0,04 | 0,25 |
A | 336 | 344 | 3MC7 | 2,3 | 3,3 | 4,5 | 17,8 | 21,9 | 26,5 | 0,15 | 1,04 |
A | 338 | 346 | 3EC6 | 4,1 | 6,4 | 9,4 | 34,8 | 53,0 | 76,7 | 0,04 | 0,21 |
A | 352 | 360 | c1E3McyC5 | 3,1 | 4,3 | 5,7 | 8,6 | 23,2 | 48,7 | 0,09 | 2,32 |
A | 356 | 364 | t1E3McyC5 | 3,8 | 5,1 | 6,7 | 24,4 | 35,5 | 49,7 | 0,03 | 0,21 |
A | 360 | 366 | t1E2McyC5 | 4,5 | 7,7 | 12,3 | 32,3 | 54,1 | 84,1 | 0,02 | 0,11 |
A | 362 | 368 | 1M1EcyC5 | 0,2 | 3,1 | 12,5 | 24,1 | 33,3 | 44,7 | 0,01 | 0,08 |
A | 366 | 372 | C8= | 7,9 | 9,9 | 13,3 | 27,1 | 37,0 | 49,0 | 0,01 | 0,08 |
A | 368 | 374 | t12DMcyC6 | 2,2 | 4,8 | 9,0 | 63,9 | 97,3 | 140,6 | 0,02 | 0,15 |
A | 372 | 378 | 3,4 | 5,3 | 7,9 | 109,3 | 124,4 | 141,0 | 0,02 | 0,26 | |
A | 374 | 380 | t-3-C8= | 0,0 | 1,5 | 9,4 | 50,8 | 67,2 | 86,9 | 0,02 | 0,12 |
A | 380 | 382 | C8= | 3,6 | 5,4 | 7,9 | 21,1 | 38,9 | 64,7 | 0,03 | 0,33 |
A | 385 | 384 | t13DMcyC6 | 3,1 | 5,4 | 8,4 | 34,1 | 48,5 | 66,5 | 0,04 | 0,31 |
A | 400 | 388 | nC8 | 3,0 | 3,7 | 4,5 | 8,8 | 11,9 | 15,6 | 0,10 | 0,89 |
A | 406 | 394 | t2C8= | 3,0 | 6,5 | 12,2 | 45,6 | 72,5 | 108,4 | 0,02 | 0,28 |
A | 408 | 396 | iPrcyC5 | 5,8 | 7,4 | 9,3 | 31,7 | 50,8 | 76,5 | 0,03 | 0,36 |
A | 416 | 404 | C9= | 0,3 | 2,9 | 9,9 | 46,9 | 63,8 | 84,4 | 0,02 | 0,14 |
A | 422 | 410 | 4,8 | 8,0 | 12,4 | 30,5 | 43,2 | 58,9 | 0,02 | 0,17 | |
A | 432 | 420 | c12DMcyC6 | 3,4 | 4,9 | 6,8 | 22,1 | 39,3 | 63,8 | 0,04 | 0,39 |
A | 434 | 422 | 24DMC7 | 5,6 | 9,9 | 15,9 | 54,5 | 105,5 | 181,2 | 0,02 | 0,09 |
A | 436 | 424 | C9= | 1,9 | 6,0 | 13,7 | 34,7 | 47,5 | 63,1 | 0,01 | 0,07 |
A | 438 | 426 | C9= | 4,1 | 6,6 | 10,0 | 19,0 | 27,7 | 38,7 | 0,02 | 0,11 |
A | 440 | 428 | EcyC6 | 2,7 | 5,0 | 8,2 | 14,1 | 22,0 | 32,5 | 0,03 | 0,28 |
A | 444 | 432 | 2M4EC6 | 7,7 | 11,1 | 15,3 | 20,2 | 27,4 | 36,0 | 0,01 | 0,03 |
A | 446 | 434 | 26DMC7 | 5,9 | 7,3 | 8,9 | 21,9 | 27,7 | 34,4 | 0,03 | 0,14 |
A | 450 | 438 | 114TMcyC6 | 5,9 | 8,2 | 11,0 | 28,0 | 42,1 | 60,3 | 0,03 | 0,21 |
A | 458 | 446 | 25&35DMC7 | 3,7 | 5,9 | 8,7 | 10,5 | 14,9 | 20,5 | 0,07 | 0,25 |
A | 460 | 448 | 3,3 | 8,4 | 17,1 | 40,1 | 56,4 | 76,6 | 0,01 | 0,07 | |
A | 462 | 450 | 33DMC7 | 0,1 | 3,3 | 15,7 | 25,0 | 44,0 | 70,9 | 0,01 | 0,05 |
A | 475 | 460 | Этилбензол | 2,8 | 3,9 | 5,4 | 7,2 | 8,9 | 10,9 | 0,66 | 3,12 |
A | 480 | 464 | t124TMcyC6 | 6,9 | 10,9 | 16,3 | 84,7 | 109,3 | 138,2 | 0,02 | 0,15 |
A | 500 | 474 | м-Ксилол | 2,7 | 3,7 | 5,0 | 7,5 | 9,2 | 11,0 | 1,67 | 7,93 |
A | 502 | 476 | п-Ксилол | 3,1 | 4,4 | 5,9 | 8,8 | 11,6 | 14,8 | 0,63 | 3,26 |
A | 503 | 478 | 23DMC7 | 5,1 | 7,6 | 10,9 | 45,3 | 73,5 | 111,5 | 0,03 | 0,16 |
A | 504 | 480 | 35DMC7 | 7,2 | 9,8 | 13,0 | 44,1 | 82,8 | 139,2 | 0,02 | 0,07 |
A | 506 | 482 | 34DMC7 | 6,5 | 10,1 | 15,0 | 42,5 | 67,7 | 101,4 | 0,02 | 0,07 |
A | 510 | 486 | 3M3EC6 | 6,3 | 10,0 | 15,0 | 38,0 | 61,0 | 92,0 | 0,02 | 0,14 |
A | 518 | 492 | 4MC8+C9= | 4,1 | 5,9 | 8,1 | 12,4 | 14,3 | 16,3 | 0,05 | 0,30 |
A | 520 | 494 | 2MC8 | 4,4 | 5,9 | 7,7 | 12,4 | 15,9 | 20,1 | 0,07 | 0,38 |
A | 522 | 496 | C9= | 6,8 | 10,6 | 15,7 | 22,3 | 33,3 | 47,4 | 0,01 | 0,10 |
A | 528 | 502 | 3EC7 | 4,5 | 6,8 | 9,8 | 24,7 | 34,4 | 46,3 | 0,02 | 0,11 |
A | 530 | 504 | 3MC8 | 5,0 | 8,0 | 12,0 | 12,4 | 17,9 | 24,9 | 0,08 | 0,45 |
A | 550 | 512 | о-Ксилол | 2,1 | 3,0 | 4,1 | 7,7 | 9,8 | 12,3 | 0,92 | 4,18 |
A | 564 | 518 | C9P | 3,1 | 6,6 | 12,0 | 31,1 | 50,4 | 76,3 | 0,01 | 0,37 |
A | 568 | 522 | t1E4McyC6 | 6,5 | 9,7 | 13,8 | 26,3 | 46,1 | 74,1 | 0,02 | 0,13 |
A | 570 | 524 | c1E4McyC6 | 4,7 | 7,4 | 10,8 | 22,1 | 35,8 | 54,2 | 0,02 | 0,15 |
A | 572 | 526 | C9P | 4,5 | 7,2 | 10,7 | 28,7 | 55,7 | 95,9 | 0,03 | 0,60 |
A | 582 | 532 | C9P | 7,5 | 11,1 | 15,6 | 16,9 | 23,1 | 30,8 | 0,02 | 0,24 |
A | 586 | 534 | t3C9= | 4,6 | 9,1 | 16,0 | 27,3 | 38,8 | 53,2 | 0,01 | 0,16 |
A | 590 | 536 | c3C9= | 7,1 | 11,1 | 16,4 | 23,5 | 36, 1 | 52,7 | 0,01 | 0,17 |
A | 600 | 540 | nC9 | 5,8 | 7,2 | 8,7 | 18,3 | 30,0 | 45,8 | 0,10 | 0,51 |
A | 606 | 546 | 1M1EcyC6 | 0,4 | 3,1 | 10,7 | 46,2 | 75,8 | 116,0 | 0,02 | 0,11 |
A | 608 | 548 | 1M2PrcyC5 | 0,2 | 3,0 | 12,2 | 19,2 | 30,1 | 44,5 | 0,01 | 0,10 |
A | 616 | 556 | iPrbenz | 4,3 | 6,9 | 10,4 | 11,2 | 18,9 | 29,6 | 0,04 | 0,41 |
A | 626 | 566 | iPrcyC6 | 4,4 | 7,7 | 12,4 | 21,8 | 40,2 | 66,9 | 0,01 | 0,35 |
A | 636 | 576 | sBucyC5 | 0,5 | 4,5 | 16,1 | 22,9 | 36,7 | 55,1 | 0,01 | 0,06 |
A | 638 | 578 | PrcyC6 | 4,0 | 7,3 | 12,0 | 77,9 | 96,8 | 118,6 | 0,02 | 0,12 |
A | 644 | 584 | 26DMC8 | 4,6 | 8,6 | 14,4 | 41,2 | 68,2 | 105,0 | 0,03 | 0,23 |
A | 646 | 586 | 36DMC8 | 4,5 | 7,7 | 12,3 | 31,6 | 40,4 | 50,8 | 0,03 | 0,11 |
A | 651 | 592 | nPrbenz | 3,5 | 5,8 | 9,0 | 11,6 | 17,3 | 24,6 | 0,21 | 0,83 |
A | 655 | 600 | 1E3Mbenz | 2,8 | 4,5 | 6,9 | 6,5 | 8,3 | 10,3 | 0,85 | 2,80 |
A | 656 | 602 | 1E4Mbenz | 3,1 | 4,5 | 6,3 | 7,8 | 9,7 | 11,9 | 0,36 | 1,26 |
A | 658 | 606 | 135TMbenz | 3,4 | 5,8 | 9,1 | 8,5 | 12,5 | 17,7 | 0,46 | 1,53 |
A | 660 | 610 | 5MC9 | 10,9 | 12,9 | 15,1 | 76,7 | 104,7 | 138,8 | 0,02 | 0,13 |
A | 661 | 612 | 4MC9 | 7,1 | 10,2 | 14,0 | 29,7 | 44,5 | 63,5 | 0,02 | 0,13 |
A | 662 | 614 | 2MC9 | 4,4 | 7,1 | 10,9 | 14,9 | 24,2 | 36,6 | 0,10 | 2,07 |
A | 663 | 616 | 1E2Mbenz | 3,6 | 5,5 | 8,1 | 10,3 | 15,9 | 23,2 | 0,30 | 1,10 |
A | 668 | 622 | 3MC9 | 7,2 | 12,9 | 21,0 | 41,8 | 59,0 | 80,3 | 0,04 | 0,19 |
A | 671 | 626 | C10P | 0,5 | 5,4 | 19,5 | 30,3 | 52,1 | 82,6 | 0,01 | 0,47 |
A | 673 | 630 | 124TMbenz | 2,8 | 4,7 | 7,4 | 9,3 | 12,5 | 16,4 | 1,29 | 4,65 |
A | 674 | 632 | C10P | 7,1 | 12,9 | 21,4 | 35,6 | 81,2 | 155,1 | 0,01 | 0,32 |
A | 675 | 634 | C10P | 2,6 | 6,2 | 12,3 | 25,2 | 55,1 | 102,4 | 0,01 | 0,34 |
A | 684 | 648 | C10A | 5,2 | 9,3 | 15,1 | 22,8 | 38,2 | 59,4 | 0,01 | 0,30 |
A | 688 | 652 | Нафтен | 4,8 | 7,5 | 11,0 | 40,2 | 63,2 | 93,7 | 0,03 | 0,27 |
A | 700 | 662 | nC10 | 7,3 | 8,9 | 10,7 | 14,3 | 29,5 | 52,8 | 0,07 | 0,29 |
A | 705 | 668 | 123TMbenz | 4,0 | 6,3 | 9,2 | 18,2 | 23,2 | 29,1 | 0,28 | 1,15 |
A | 708 | 674 | 1M4iPrbenz | 3,0 | 6,6 | 12,1 | 22,0 | 34,2 | 50,1 | 0,01 | 0,08 |
A | 709 | 676 | C11P | 5,1 | 8,9 | 14,1 | 34,9 | 68,2 | 118,1 | 0,02 | 0,12 |
A | 712 | 680 | Индан | 4,0 | 6,6 | 10,1 | 15,7 | 23,6 | 33,8 | 0,15 | 0,40 |
A | 714 | 682 | sBucyC6 | 8,7 | 12,7 | 17,6 | 46,7 | 70,2 | 100,5 | 0,01 | 0,06 |
A | 718 | 686 | 1M2iPrbenz | 4,6 | 8,4 | 13,7 | 48,0 | 88,1 | 146,0 | 0,02 | 0,33 |
A | 723 | 694 | C11P | 5,0 | 7,8 | 11,4 | 29,6 | 60,7 | 108,3 | 0,02 | 0,19 |
A | 724 | 696 | 13DEbenz | 4,6 | 6,1 | 8,0 | 11,1 | 19,5 | 31,5 | 0,07 | 0,22 |
A | 725 | 698 | 1M3Prbenz | 3,5 | 5,2 | 7,3 | 8,5 | 13,0 | 18,8 | 0,18 | 0,71 |
A | 727 | 702 | 1M4Prbenz | 4,8 | 7,8 | 11,7 | 16,7 | 22,8 | 30,2 | 0,10 | 0,35 |
A | 728 | 704 | Bubenz | 7,2 | 11,0 | 16,1 | 15,8 | 21,8 | 29,3 | 0,04 | 0,14 |
A | 729 | 706 | 35DM1EBenz | 3,5 | 6,4 | 10,5 | 9,1 | 14,0 | 20,3 | 0,18 | 0,56 |
A | 730 | 708 | 12DEbenz | 6,4 | 9,7 | 14,0 | 38,6 | 57,4 | 81,4 | 0,02 | 0,09 |
A | 740 | 718 | 1M2Prbenz | 6,8 | 10,7 | 15,8 | 27,3 | 41,7 | 60,4 | 0,06 | 0,21 |
A | 746 | 722 | 5MC10 | 7,1 | 11,5 | 17,5 | 30,8 | 44,5 | 61,8 | 0,02 | 0,08 |
A | 748 | 724 | 4MC10 | 4,2 | 6,9 | 10,4 | 15,3 | 32,1 | 57,9 | 0,01 | 0,68 |
A | 750 | 726 | 2MC10 | 6,5 | 9,5 | 13,3 | 52,7 | 68,9 | 88,2 | 0,02 | 0,15 |
A | 756 | 730 | 14DM2Ebenz | 4,1 | 6,1 | 8,7 | 17,4 | 26,3 | 37,9 | 0,12 | 0,42 |
A | 758 | 732 | 13DM4Ebenz | 4,5 | 6,2 | 8,3 | 18,5 | 22,9 | 27,8 | 0,12 | 0,54 |
A | 762 | 736 | 3MC10 | 10,9 | 15,7 | 21,7 | 35,8 | 54,5 | 78,8 | 0,02 | 0,17 |
A | 764 | 740 | 12DM4Ebenz+C1indane | 3,1 | 5,3 | 8,5 | 8,2 | 12,5 | 18,2 | 0,27 | 0,75 |
A | 768 | 744 | 13DM2Ebenz | 6,2 | 9,6 | 14,0 | 37,9 | 68,9 | 113,3 | 0,03 | 0,35 |
A | 780 | 750 | 1M4tBubenz | 6,1 | 10,3 | 16,1 | 45,8 | 83,5 | 137,7 | 0,03 | 0,11 |
A | 785 | 752 | 12DM3Ebenz | 4,1 | 7,3 | 11,7 | 28,2 | 45,3 | 68,2 | 0,09 | 0,20 |
A | 800 | 756 | nC11 | 8,7 | 11,1 | 13,9 | 31,2 | 40,2 | 50,6 | 0,04 | 0,21 |
A | 806 | 762 | 1245tetraMbenz | 5,4 | 6,8 | 8,6 | 12,3 | 16,8 | 22,2 | 0,12 | 0,39 |
A | 810 | 766 | 1235tetraMbenz | 4,7 | 7,7 | 11,6 | 12,7 | 19,9 | 29,3 | 0,16 | 0,56 |
A | 824 | 782 | C11A | 8,7 | 11,3 | 14,2 | 32,9 | 55,6 | 86,9 | 0,02 | 0,07 |
A | 826 | 784 | 1E2Prbenz | 5,0 | 7,5 | 10,7 | 14,2 | 25,2 | 40,8 | 0,09 | 0,44 |
A | 828 | 786 | C11A | 8,5 | 11,8 | 15,7 | 23,4 | 35,1 | 50,3 | 0,02 | 0,10 |
A | 830 | 788 | C11A | 8,8 | 12,3 | 16,7 | 35,7 | 49,9 | 67,5 | 0,02 | 0,10 |
A | 832 | 790 | C11A | 9,7 | 13,4 | 17,8 | 22,9 | 39,6 | 63,0 | 0,02 | 0,10 |
A | 834 | 792 | 1M3Bubenz | 5,6 | 7,9 | 10,9 | 11,1 | 14,8 | 19,2 | 0,08 | 0,35 |
A | 836 | 796 | 1234tetraMbenz+C11A | 6,8 | 9,3 | 12,5 | 24,4 | 36,5 | 52,1 | 0,10 | 0,28 |
A | 840 | 800 | t1M2(4MC5)cyC5 | 10,2 | 15,5 | 22,3 | 41,0 | 56,7 | 75,8 | 0,02 | 0,11 |
A | 844 | 804 | C11A | 9,1 | 13,5 | 19,0 | 34,0 | 54,7 | 82,5 | 0,02 | 0,07 |
A | 846 | 806 | C11A | 9,6 | 13,6 | 18,5 | 65,6 | 96,4 | 135,5 | 0,02 | 0,08 |
A | 854 | 812 | 1tBu35DMbenz | 11,2 | 15,5 | 20,7 | 36,6 | 62,3 | 97,7 | 0,02 | 0,10 |
A | 858 | 814 | Нафталин | 4,9 | 6,7 | 8,9 | 15,3 | 25,8 | 40,3 | 0,12 | 0,52 |
A | 862 | 817 | C11A | 9,7 | 14,4 | 20,5 | 46,5 | 66,5 | 91,4 | 0,02 | 0,16 |
A | 870 | 820 | 16DMINDANE | 9,0 | 12,3 | 16,3 | 25,7 | 42,6 | 65,8 | 0,02 | 0,17 |
A | 875 | 822 | C11A | 15,6 | 19,4 | 23,8 | 43,8 | 68,4 | 100,9 | 0,02 | 0,09 |
A | 884 | 824 | 2ETHYLINDANE | 5,8 | 9,8 | 15,4 | 18,4 | 29,0 | 42,9 | 0,03 | 0,19 |
A | 888 | 826 | 2ETHYL135TMBZ | 7,9 | 12,8 | 19,5 | 39,4 | 59,9 | 86,6 | 0,01 | 0,07 |
A | 895 | 832 | nC12 | 13,4 | 16,7 | 20,6 | 53,4 | 73,9 | 99,1 | 0,02 | 0,15 |
A | 915 | 842 | 24DMINDANE | 10,3 | 16,3 | 24,2 | 27,2 | 40,0 | 56,2 | 0,02 | 0,05 |
A | 925 | 846 | 1tBu4Ebenz | 7,7 | 13,1 | 20,7 | 60,2 | 101,8 | 159,2 | 0,04 | 0,16 |
A | 930 | 848 | 13DMINDANE | 5,3 | 10,3 | 17,9 | 31,3 | 43,0 | 57,3 | 0,01 | 0,18 |
A | 940 | 858 | HEXYLbenz | 9,8 | 15,1 | 21,9 | 61,2 | 96,0 | 141,8 | 0,01 | 0,13 |
A | 942 | 870 | 2Mnaphthalene | 6,4 | 8,9 | 12,1 | 17,0 | 21,6 | 27,0 | 0,04 | 0,64 |
A | 947 | 879 | 1Mnaphthalene | 7,5 | 11,6 | 16,9 | 25,0 | 29,8 | 35,2 | 0,02 | 0,27 |
A - Компоненты, которые были проверены методом ГХ-МС одним из участников круговых испытаний АСТМ в 1996 г. на одном из образцов. Примечания 1 В настоящей таблице применены следующие обозначения: rmin - нижний 95%-ный доверительный предел rest; rest - оценка повторяемости в процентах концентрации; rmax - верхний 95%-ный доверительный предел rest; Rmin - нижний 95%-ный доверительный предел Rest; Rest - оценка воспроизводимости в процентах концентрации; Rmax - верхний 95%-ный доверительный предел Rest; Cmin - минимальная концентрация, для которой применимы rest и Rest; Cmax - максимальная концентрация, для которой применимы rest и Rest. 2 В настоящей таблице используют аббревиатуры (краткие наименования компонентов), полные наименования указаны в таблице A1.1. 3 Группа C2-бензолы включает этилбензол, о-, м- и п-ксилолы. | |||||||||||
Оксигенат | Число образцов | Приблизительный диапазон концентраций, % |
Этанол | 2 | 1 и 12 |
трет-Бутанол | 2 | 0,20 и 1,00 |
МТБЭ | 6 | 1, 2, 4, 4, 8 и 16 |
ЭТБЭ | 1 | 0,50 |
ТАМЭ | 1 | 15,00 |
Наименование | rmin | rcoef | rmax | Rmin | Rcoef | Rmax | Cmin | Cmax |
Циклопарафины | 0,0726 | 0,08 | 0,098 | 0,286 | 0,384 | 0,586 | 2 | 10 |
Олефины | 0,1555 | 0,18 | 0,21 | 0,382 | 0,555 | 1,012 | 2 | 25 |
Тип | rmin | r | rmax | Rmin | R | Rmax | Cmin | Cmax |
Ароматические соединения | 0,8549 | 0,98 | 1,155 | 2,151 | 2,706 | 3,651 | 15 | 50 |
Наименование | rmin | rest | rmax | Rmin | Rest | Rmax | Cmin | Cmax |
Парафин | 0,0562 | 0,0646 | 0,08 | 0,125 | 0,186 | 0,373 | 1 | 20 |
Изопарафин | 0,0209 | 0,024 | 0,03 | 0,047 | 0,065 | 0,102 | 20 | 65 |
Этилбензол | 0,0334 | 0,0384 | 0,05 | 0,057 | 0,073 | 0,102 | 3 | 20 |
Оксигенаты | 0,0418 | 0,0491 | 0,06 | 0,104 | 0,141 | 0,221 | 3 | 20 |
Оксигенат | Лаборатория N 1 | Лаборатория N 2 | Лаборатория N 3 | Лаборатория N 4 | Лаборатория N 5 | Лаборатория N 6 | Лаборатория N 7 | Среднее значение RRF | Стандартное отклонение | Стандартное отклонение, % |
Метанол | 2,921 | 2,957 | 2,903 | 2,795 | 3,085 | 3,391 | 2,923 | 2,996 | 0,194 | 6,465 |
Этанол | 1,997 | 2,043 | 2,003 | 2,057 | 2,136 | 2,354 | 2,014 | 2,087 | 0,127 | 6,100 |
трет-Бутанол | 1,274 | 1,282 | 1,329 | 1,305 | 1,297 | 1,429 | 1,200 | 1,302 | 0,069 | 5,281 |
МТБЕ | 1,508 | 1,523 | 1,552 | 1,791 | 1,508 | 1,658 | 1,498 | 1,577 | 0,109 | 6,932 |
ЕТБЕ | 1,352 | 1,349 | 1,406 | 1,543 | 1,369 | 1,509 | 1,319 | 1,407 | 0,086 | 6,108 |
TAME | 1,308 | 1,323 | 1,342 | 1,451 | 1,336 | 1,471 | 1,264 | 1,356 | 0,076 | 5,593 |
Количество образцов | Бензол, % масс. | |
АСТМ Д 5580 <8> | Настоящий стандарт | |
2 | 1,52 | 1,61 |
6 | 1,05 | 1,12 |
8 | 1,10 | 1,16 |
10 | 1,13 | 1,18 |
13 | 0,14 | 0,16 |
14 | 0,62 | 0,70 |
Среднеарифметическое значение | 0,93 | 0,99 |
Количество образцов | Толуол, % масс. | |
АСТМ Д 5580 <8> | Настоящий стандарт | |
2 | 4,3 | 4,6 |
6 | 2,1 | 1,9 |
8 | 10,1 | 11,4 |
10 | 5,0 | 6,1 |
13 | 3,3 | 2,9 |
14 | 4,4 | 5,3 |
Среднеарифметическое значение | 4,9 | 5,4 |
Количество образцов | Суммарное содержание ароматических углеводородов, % масс. | ||
АСТМ Д 5580 <8> | Многомерный метод PIONA | Настоящий стандарт | |
2 | 30,3 | 28,2 | 32,6 |
6 | 18,9 | 18,7 | 20,0 |
8 | 49,1 | 49,0 | 51,0 |
10 | 23,9 | 24,5 | 25,4 |
13 | 19,7 | 19,8 | 22,4 |
14 | 23,8 | 24,6 | 27,5 |
Среднеарифметическое значение | 27,6 | 27,5 | 29,8 |
Количество образцов | Суммарное содержание олефинов, % масс. | |
Многомерный метод PIONA | Настоящий стандарт | |
2 | 7,1 | 4,4 |
6 | 9,8 | 9,4 |
8 | 6,6 | 6,2 |
10 | 15,1 | 13,7 |
13 | 11,1 | 11,1 |
14 | 24,6 | 22,2 |
Среднеарифметическое значение | 12,4 | 11,2 |
Количество образцов | Суммарное содержание оксигенатов, % масс. | |
PIONA <A> | Процедура B | |
2 <B> | 15,3 | 16,1 |
6 <B> | 7,0 | 8,1 |
8 <B> | 4,2 | 4,5 |
10 <C> | > 8 | 10,0 |
13 <B> | 20,5 | 19,9 |
14 <B> | 2,8 | 3,2 |
Среднеарифметическое значение | - | 10,3 |
Количество образцов | Суммарное содержание парафинов, % масс. | Суммарное содержание нафтенов, % масс. | ||
PIONA <A> | Настоящий стандарт | PIONA <A> | Настоящий стандарт | |
8 | 35,6 | 35,0 | 2,2 | 2,8 |
10 | 41,1 | 42,3 | 5,6 | 6,7 |
13 | 42,6 | 43,0 | 1,3 | 3,5 |
14 | 34,1 | 37,9 | 5,9 | 7,6 |
Среднеарифметическое значение | 38,4 | 39,6 | 3,8 | 5,2 |
Образец, % масс. | Средний коэффициент отклика | Относительный коэффициент отклика | |||||
Метанол (MeOH) | 1,01 | 5,05 | 10,02 | 20,01 | 29,83 | ||
37792 | 201545 | 406795 | 816960 | 1208524 | |||
38002 | 200204 | 409233 | 820596 | 1225686 | |||
Среднее значение | 37897 | 200874,5 | 408014 | 818778 | 1217105 | ||
Коэффициент отклика | 2,67·10-5 | 2,51·10-5 | 2,46·10-5 | 2,44·10-5 | 2,45·10-5 | 2,51·10-5 | 2,920678 |
Образец, % масс. | Средний коэффициент отклика | Относительный коэффициент отклика | |||||
Этанол (EtOH) | 1 | 5 | 10,1 | 20,15 | 30,18 | ||
56107 | 288820 | 604107 | 1214248 | 1807248 | |||
52935 | 285869 | 597366 | 1223531 | 1830666 | |||
Среднее значение | 54521 | 287344,5 | 600736,5 | 1218890 | 1818957 | ||
Коэффициент отклика | 1,83·10-5 | 1,74·10-5 | 1,68·10-5 | 1,65·10-5 | 1,66·10-5 | 1,71·10-5 | 1,997164 |
Образец, % масс. | Средний коэффициент отклика | Относительный коэффициент отклика | |||||
ТБА | 0,964 | 4,9692 | 9,9583 | 19,8768 | 29,7953 | ||
89751 | 443262 | 899170 | 1830312 | 2742339 | |||
92269 | 441843 | 893544 | 1820174 | 2765568 | |||
Среднее значение | 91010 | 442552,5 | 896357 | 1825243 | 2753954 | ||
Коэффициент отклика | 1,06·10-5 | 1,12·10-5 | 1,11·10-5 | 1,09·10-5 | 1,08·10-5 | 1,09·10-5 | 1,273649 |
Образец, % масс. | Средний коэффициент отклика | Относительный коэффициент отклика | |||||
МТБЭ | 0,9992 | 5,0362 | 9,9724 | 20,0248 | 30,0471 | ||
76166 | 391956 | 765248 | 1537935 | 2332931 | |||
77640 | 399654 | 761273 | 1535598 | 2332734 | |||
Среднее значение | 76903 | 395805 | 763260,5 | 1536767 | 2332833 | ||
Коэффициент отклика | 1,30·10-5 | 1,27·10-5 | 1,31·10-5 | 1,30·10-5 | 1,29·10-5 | 1,29·10-5 | 1,507996 |
Образец, % масс. | Средний коэффициент отклика | Относительный коэффициент отклика | |||||
ЭТБЭ | 0,9851 | 4,9255 | 9,8707 | 19,6724 | 29,5727 | ||
86770 | 420851 | 852468 | 1689595 | 2515456 | |||
85993 | 420221 | 867050 | 1690395 | 2506966 | |||
Среднее значение | 86381,5 | 420536 | 859759 | 1689995 | 2511211 | ||
Коэффициент отклика | 1,14·10-5 | 1,17·10-5 | 1,15·10-5 | 1,16·10-5 | 1,18·10-5 | 1,16·10-5 | 1,352309 |
Образец, % масс. | Средний коэффициент отклика | Относительный коэффициент отклика | |||||
ТАМЭ | 0,9997 | 4,9788 | 9,8883 | 19,153 | 29,7144 | ||
90368 | 443934 | 876234 | 1740744 | 2576420 | |||
88502 | 444981 | 874999 | 1762466 | 2584069 | |||
Среднее значение | 89435 | 444457,5 | 875616,5 | 1751605 | 2580245 | ||
Коэффициент отклика | 1,12·10-5 | 1,12·10-5 | 1,13·10-5 | 1,09·10-5 | 1,15·10-5 | 1,12·10-5 | 1,308241 |
Образец, % масс. | Средний коэффициент отклика | Относительный коэффициент отклика | |||||
Nc7 | 8,4750 | 8,4400 | 8,4525 | 8,4525 | 8,6950 | ||
994302 | 951197 | 991971 | 982424 | 1006023 | |||
997469 | 983612 | 990664 | 1002009 | 1006083 | |||
Среднее значение | 995895,5 | 967404,5 | 991317,5 | 992216,5 | 1006053 | ||
Коэффициент отклика | 8,51·10-6 | 8,72·10-6 | 8,53·10-6 | 8,52·10-6 | 8,64·10-6 | 8,58·10-6 | 1 |
Образец, % масс. | Средний коэффициент отклика | Относительный коэффициент отклика | |||||
Метанол (MeOH) | 1,01 | 5,05 | 10,02 | 20,01 | 29,83 | ||
44097 | 236256 | 478801 | 985095 | 1454605 | |||
44051 | 237455 | 480020 | 992190 | 1465533 | |||
Среднее значение | 44074 | 236855,5 | 479410,5 | 988642,5 | 1460069 | ||
Коэффициент отклика | 2,29·10-5 | 2,13·10-5 | 2,09·10-5 | 2,02·10-5 | 2,04·10-5 | 2,12·10-5 | 2,956773 |
Образец, % масс. | Средний коэффициент отклика | Относительный коэффициент отклика | |||||
Этанол (EtOH) | 1,00 | 5,00 | 10,10 | 20,15 | 30,18 | ||
63749 | 332568 | 698238 | 1430974 | 2178293 | |||
62784 | 332799 | 701430 | 1431363 | 2204197 | |||
Среднее значение | 63266,5 | 332683,5 | 699834 | 1431169 | 2191245 | ||
Коэффициент отклика | 1,58·10-5 | 1,50·10-5 | 1,44·10-5 | 1,41·10-5 | 1,38·10-5 | 1,46·10-5 | 2,04331 |
Образец, % масс. | Средний коэффициент отклика | Относительный коэффициент отклика | |||||
ТБА | 0,9640 | 4,9692 | 9,9583 | 19,8768 | 29,7953 | ||
108001 | 526541 | 1055347 | 2147710 | 3316200 | |||
110407 | 524386 | 1061356 | 2163089 | 3322481 | |||
Среднее значение | 109204 | 525463,5 | 1058352 | 2155400 | 3319341 | ||
Коэффициент отклика | 8,83·10-6 | 9,46·10-6 | 9,41·10-6 | 9,22·10-6 | 8,98·10-6 | 9,18·10-6 | 1,282428 |
Образец, % масс. | Средний коэффициент отклика | Относительный коэффициент отклика | |||||
МТБЭ | 0,9992 | 5,0362 | 9,9724 | 20,0248 | 30,0471 | ||
90887 | 473216 | 910349 | 1794640 | 2777855 | |||
91715 | 476896 | 904173 | 1794196 | 2780266 | |||
Среднее значение | 91301 | 475056 | 907261 | 1794418 | 2779061 | ||
Коэффициент отклика | 1,09·10-5 | 1,06·10-5 | 1,10·10-5 | 1,12·10-5 | 1,08·10-5 | 1,09·10-5 | 1,523223 |
Образец, % масс. | Средний коэффициент отклика | Относительный коэффициент отклика | |||||
ЭТБЭ | 0,9851 | 4,9255 | 9,8707 | 19,6724 | 29,5727 | ||
103792 | 516002 | 1020170 | 2007710 | 2980345 | |||
104863 | 518258 | 1035091 | 2007448 | 2983391 | |||
Среднее значение | 104327,5 | 517130 | 1027631 | 2007579 | 2981868 | ||
Коэффициент отклика | 9,44·10-6 | 9,52·10-6 | 9,61·10-6 | 9,80·10-6 | 9,92·10-6 | 9,66·10-6 | 1,349418 |
Образец, % масс. | Средний коэффициент отклика | Относительный коэффициент отклика | |||||
ТАМЭ | 0,9997 | 4,9788 | 9,8883 | 19,1530 | 29,7144 | ||
103829 | 523120 | 1050222 | 2077446 | 3083066 | |||
104085 | 517930 | 1057409 | 2115710 | 3084788 | |||
Среднее значение | 103957 | 520525 | 1053816 | 2096578 | 3083927 | ||
Коэффициент отклика | 9,62·10-6 | 9,56·10-6 | 9,38·10-6 | 9,14·10-6 | 9,64·10-6 | 9,47·10-6 | 1,322771 |
Образец, % масс. | Средний коэффициент отклика | Относительный коэффициент отклика | |||||
Nc7 | 8,475 | 8,44 | 8,4525 | 8,525 | 8,695 | ||
1198960 | 1190806 | 1178498 | 1177607 | 1195493 | |||
1198844 | 1190899 | 1178015 | 1176611 | 1212114 | |||
Среднее значение | 1193902 | 1190853 | 1178257 | 1177109 | 1203804 | ||
Коэффициент отклика | 7,07·10-6 | 7,09·10-6 | 7,17·10-6 | 7,18·10-6 | 7,22·10-6 | 7,15·10-6 | 1 |
Образец, % масс. | Средний коэффициент отклика | Относительный коэффициент отклика | |||||
Метанол (MeOH) | 1,01 | 5,05 | 10,02 | 20,01 | 29,83 | ||
151533 | 864732 | 1741799 | 3589766 | 5293556 | |||
164863 | 854798 | 1759435 | 3746174 | 5368227 | |||
Среднее значение | 158198 | 859765 | 1750617 | 3667970 | 5330892 | ||
Коэффициент отклика | 6,38·10-6 | 5,87·10-6 | 5,72·10-6 | 5,46·10-6 | 5,60·10-6 | 5,81·10-6 | 2,903282 |
Образец, % масс. | Средний коэффициент отклика | Относительный коэффициент отклика | |||||
Этанол (EtOH) | 1,00 | 5,00 | 10,10 | 20,15 | 30,18 | ||
245820 | 1078429 | 2521533 | 5099484 | 7899031 | |||
257618 | 1197628 | 2511218 | 5200823 | 8259533 | |||
Среднее значение | 251719 | 1138029 | 2516376 | 5150154 | 8079282 | ||
Коэффициент отклика | 3,97·10-6 | 4,39·10-6 | 4,01·10-6 | 3,91·10-6 | 3,74·10-6 | 4,01·10-6 | 2,002794 |
Образец, % масс. | Средний коэффициент отклика | Относительный коэффициент отклика | |||||
ТБА | 0,9640 | 4,9692 | 9,9583 | 19,8768 | 29,7953 | ||
399808 | 1793750 | 3184446 | 7393280 | 11429736 | |||
409171 | 1908282 | 3579163 | 7370104 | 11664000 | |||
Среднее значение | 404489,5 | 1851016 | 3381805 | 7381692 | 11546868 | ||
Коэффициент отклика | 2,38·10-6 | 2,68·10-6 | 2,94·10-6 | 2,69·10-6 | 2,58·10-6 | 2,66·10-6 | 1,32856 |
Образец, % масс. | Средний коэффициент отклика | Относительный коэффициент отклика | |||||
МТБЭ | 0,9992 | 5,0362 | 9,9724 | 20,0248 | 30,0471 | ||
353648 | 1719976 | 3016380 | 5400167 | 9756443 | |||
365624 | 1734192 | 3207775 | 6049396 | 9486117 | |||
Среднее значение | 359636 | 1727084 | 3112078 | 5724782 | 9621280 | ||
Коэффициент отклика | 2,78·10-6 | 2,92·10-6 | 3,20·10-6 | 3,50·10-6 | 3,12·10-6 | 3,10·10-6 | 1,55197 |
Образец, % масс. | Средний коэффициент отклика | Относительный коэффициент отклика | |||||
ЭТБЭ | 0,9851 | 4,9255 | 9,8707 | 19,6724 | 29,5727 | ||
368857 | 1916504 | 3651460 | 6366342 | 8631784 | |||
370528 | 1990928 | 3698002 | 6858897 | 9781590 | |||
Среднее значение | 369692,5 | 1953716 | 3674731 | 6612620 | 9206687 | ||
Коэффициент отклика | 2,66·10-6 | 2,52·10-6 | 2,69·10-6 | 2,97·10-6 | 3,21·10-6 | 2,81·10-6 | 1,405891 |
Образец, % масс. | Средний коэффициент отклика | Относительный коэффициент отклика | |||||
ТАМЭ | 0,9997 | 4,9788 | 9,8883 | 19,153 | 29,7144 | ||
373564 | 1867693 | 3846963 | 7398715 | 9605677 | |||
364642 | 1876735 | 4016568 | 7511412 | 10394700 | |||
Среднее значение | 369103 | 1872214 | 3931766 | 7455064 | 10000189 | ||
Коэффициент отклика | 2,71·10-6 | 2,66·10-6 | 2,51·10-6 | 2,57·10-6 | 2,97·10-6 | 2,68·10-6 | 1,342326 |
Образец, % масс. | Средний коэффициент отклика | Относительный коэффициент отклика | |||||
Nc7 | 8,4750 | 8,4400 | 8,4525 | 8,4525 | 8,6950 | ||
3·106 | 4·106 | 312404 | 4·106 | 4·106 | |||
4·106 | 4·106 | 4·106 | 5·106 | 4·106 | |||
Среднее значение | 3691763 | 4064455 | 2253742 | 4516374 | 4371883 | ||
Коэффициент отклика | 2,3·10-6 | 2,08·10-6 | 3,75·10-6 | 1,87·10-6 | 1,99·10-6 | 2·10-6 | 1 |
Образец, % масс. | Средний коэффициент отклика | Относительный коэффициент отклика | |||||
Метанол (MeOH) | 1,01 | 5,05 | 10,02 | 20,01 | 29,83 | ||
658639 | 3389850 | 6670376 | 13542502 | 18749414 | |||
601443 | 3019715 | 6368637 | 13051539 | 17165160 | |||
Среднее значение | 630041 | 3204783 | 6519507 | 13297021 | 17957287 | ||
Коэффициент отклика | 1,60·10-6 | 1,58·10-6 | 1,54·10-6 | 1,50·10-6 | 1,66·10-6 | 1,58·10-6 | 2,794957 |
Образец, % масс. | Средний коэффициент отклика | Относительный коэффициент отклика | |||||
Этанол (EtOH) | 1,00 | 5,00 | 10,10 | 20,15 | 30,18 | ||
826854 | 4450557 | 9154374 | 18060524 | 28066595 | |||
734856 | 4082467 | 8580584 | 17505672 | 28072314 | |||
Среднее значение | 780855 | 4266512 | 8867479 | 17783098 | 28069455 | ||
Коэффициент отклика | 1,28·10-6 | 1,17·10-6 | 1,14·10-6 | 1,13·10-6 | 1,08·10-6 | 1,16·10-6 | 2,056683 |
Образец, % масс. | Средний коэффициент отклика | Относительный коэффициент отклика | |||||
ТВА | 0,9640 | 4,9692 | 9,9583 | 19,8768 | 29,7953 | ||
1578407 | 4266396 | 14460028 | 29135138 | 43225116 | |||
1435170 | 6337881 | 13565261 | 27794630 | 42612348 | |||
Среднее значение | 1506789 | 5302139 | 14012645 | 28464884 | 42918732 | ||
Коэффициент отклика | 6,40·10-7 | 9,37·10-7 | 7,11·10-7 | 6,98·10-7 | 6,94·10-7 | 7,36·10-7 | 1,305022 |
Образец, % масс. | Средний коэффициент отклика | Относительный коэффициент отклика | |||||
МТБЭ | 0,9992 | 5,0362 | 9,9724 | 20,0246 | 30,0471 | ||
1252485 | 5941164 | 10848222 | 17786018 | 23089928 | |||
1255790 | 6142349 | 10162313 | 17011562 | 22404206 | |||
Среднее значение | 1254138 | 6041757 | 10505268 | 17398790 | 22747067 | ||
Коэффициент отклика | 7,97·10-7 | 8,34·10-7 | 9,49·10-7 | 1,15·10-6 | 1,32·10-6 | 1,01·10-6 | 1,791283 |
Образец, % масс. | Средний коэффициент отклика | Относительный коэффициент отклика | |||||
ЭТБЭ | 0,9851 | 4,9255 | 9,8707 | 19,6724 | 29,5727 | ||
1310455 | 6926229 | 12417871 | 20398546 | 27031106 | |||
1306372 | 7052557 | 12595757 | 19329114 | 26122426 | |||
Среднее значение | 1308414 | 6989393 | 12506814 | 19863830 | 26576766 | ||
Коэффициент отклика | 7,53·10-7 | 7,05·10-7 | 7,89·10-7 | 9,90·10-7 | 1,11·10-6 | 8,70·10-7 | 1,542526 |
Образец, % масс. | Средний коэффициент отклика | Относительный коэффициент отклика | |||||
ТАМЭ | 0,9997 | 4,9788 | 9,8883 | 19,1530 | 29,7144 | ||
1400316 | 6820054 | 13673677 | 22152636 | 28646506 | |||
1357511 | 6857019 | 13936737 | 22286660 | 27439076 | |||
Среднее значение | 1378914 | 6838537 | 13805207 | 22219648 | 28042791 | ||
Коэффициент отклика | 7,25·10-7 | 7,28·10-7 | 7,16·10-7 | 8,62·10-7 | 1,06·10-6 | 8,18·10-7 | 1,450677 |
Образец, % масс. | Средний коэффициент отклика | Относительный коэффициент отклика | |||||
Nc7 | 8,475 | 8,44 | 8,4525 | 8,4525 | 8,695 | ||
15260819 | 15252480 | 14899327 | 15397626 | 14345822 | |||
14816484 | 14876828 | 14956987 | 15670374 | 15233576 | |||
Среднее значение | 15038652 | 15064654 | 14928157 | 15534000 | 14789699 | ||
Коэффициент отклика | 5,64·10-7 | 5,60·10-7 | 5,66·10-7 | 5,44·10-7 | 5,88·10-7 | 5,64·10-7 | 1 |
Образец, % масс. | Средний коэффициент отклика | Относительный коэффициент отклика | |||||
Метанол (MeOH) | 1,01 | 5,05 | 10,02 | 20,01 | 29,83 | ||
Среднее значение | 130,85 | 729,625 | 1474,483 | 3103,843 | 4600,484 | ||
Коэффициент отклика | 0,007719 | 0,006921 | 0,006796 | 0,006447 | 0,006484 | 0,006873 | 3,08498 |
Образец, % масс. | Средний коэффициент отклика | Относительный коэффициент отклика | |||||
Этанол (EtOH) | 1,00 | 5,00 | 10,10 | 20,15 | 30,18 | ||
Среднее значение | 195,402 | 1054,590 | 2115,254 | 4301,374 | 6707,759 | ||
Коэффициент отклика | 0,005118 | 0,004741 | 0,004775 | 0,004685 | 0,004499 | 0,004763 | 2,138015 |
Образец, % масс. | Средний коэффициент отклика | Относительный коэффициент отклика | |||||
ТБА | 0,9640 | 4,9692 | 9,9583 | 19,8768 | 29,7953 | ||
Среднее значение | 347,107 | 1725,706 | 3442,236 | 6695,103 | 10183,1 | ||
Коэффициент отклика | 0,002777 | 0,00288 | 0,002893 | 0,002969 | 0,002926 | 0,002889 | 1,296638 |
Образец, % масс. | Средний коэффициент отклика | Относительный коэффициент отклика | |||||
МТБЭ | 0,9992 | 5,0362 | 9,9724 | 20,0248 | 30,0471 | ||
Среднее значение | 290,368 | 1518,529 | 3008,790 | 6043,303 | 8800,898 | ||
Коэффициент отклика | 0,003441 | 0,003316 | 0,003314 | 0,003314 | 0,003414 | 0,003360 | 1,508054 |
Образец, % масс. | Средний коэффициент отклика | Относительный коэффициент отклика | |||||
ЭТБЭ | 0,9851 | 4,9255 | 9,8707 | 19,6724 | 29,5727 | ||
Среднее значение | 303,613 | 1630,908 | 3253,559 | 6580,098 | 9806,890 | ||
Коэффициент отклика | 0,003192 | 0,003020 | 0,003034 | 0,002990 | 0,003016 | 0,003050 | 1,369041 |
Образец, % масс. | Средний коэффициент отклика | Относительный коэффициент отклика | |||||
ТАМЭ | 0,9997 | 4,9788 | 9,8883 | 19,1530 | 29,7144 | ||
Среднее значение | 322,928 | 1631,466 | 3351,751 | 6693,316 | 10161,700 | ||
Коэффициент отклика | 0,003096 | 0,003052 | 0,002950 | 0,002862 | 0,002924 | 0,002977 | 1,336026 |
Образец, % масс. | Средний коэффициент отклика | Относительный коэффициент отклика | |||||
Nc7 | 8,4750 | 8,4400 | 8,4525 | 8,4525 | 8,6950 | ||
Среднее значение | 3915,730 | 3733,390 | 3714,828 | 3835,850 | 3889,013 | ||
Коэффициент отклика | 0,002164 | 0,002261 | 0,002275 | 0,002204 | 0,002236 | 0,002228 | 1 |
Примечание - Среднюю площадь пика определяют по среднему значению результатов двух анализов. | |||||||
Образец, % масс. | Средний коэффициент отклика | Относительный коэффициент отклика | |||||
Метанол (MeOH) | 1,01 | 5,05 | 10,02 | 20,01 | 29,83 | ||
Среднее значение | 128,825 | 795,291 | 1607,186 | 3383,189 | 5800,591 | ||
Коэффициент отклика | 0,007840 | 0,006350 | 0,006234 | 0,005915 | 0,005143 | 0,006296 | 3,390586 |
Образец, % масс. | Средний коэффициент отклика | Относительный коэффициент отклика | |||||
Этанол (EtOH) | 1,00 | 5,00 | 10,10 | 20,15 | 30,18 | ||
Среднее значение | 212,988 | 1149,503 | 2305,626 | 4688,498 | 7300,836 | ||
Коэффициент отклика | 0,004695 | 0,004350 | 0,004381 | 0,004298 | 0,004134 | 0,004371 | 2,354003 |
Образец, % масс. | Средний коэффициент отклика | Относительный коэффициент отклика | |||||
ТБА | 0,9640 | 4,9692 | 9,9583 | 19,8768 | 29,7953 | ||
Среднее значение | 378,347 | 1881,019 | 3752,037 | 7297,662 | 11045,720 | ||
Коэффициент отклика | 0,002548 | 0,002642 | 0,002654 | 0,002724 | 0,002697 | 0,002653 | 1,428645 |
Образец, % масс. | Средний коэффициент отклика | Относительный коэффициент отклика | |||||
МТБЭ | 0,9992 | 5,0362 | 9,9724 | 20,0248 | 30,0471 | ||
Среднее значение | 316,501 | 1655,196 | 3279,581 | 6587,200 | 9660,288 | ||
Коэффициент отклика | 0,003157 | 0,003043 | 0,003041 | 0,003040 | 0,003110 | 0,003078 | 1,657594 |
Образец, % масс. | Средний коэффициент отклика | Относительный коэффициент отклика | |||||
ЭТБЭ | 0,9851 | 4,9255 | 9,8707 | 19,6724 | 29,5727 | ||
Среднее значение | 336,388 | 1777,690 | 3546,379 | 7172,307 | 10609,51 | ||
Коэффициент отклика | 0,002928 | 0,002771 | 0,002783 | 0,002743 | 0,002787 | 0,002803 | 1,509178 |
Образец, % масс. | Средний коэффициент отклика | Относительный коэффициент отклика | |||||
ТАМЭ | 0,9997 | 4,9788 | 9,8883 | 19,1530 | 29,7144 | ||
Среднее значение | 351,991 | 1778,298 | 3653,409 | 7295,715 | 11076,250 | ||
Коэффициент отклика | 0,002840 | 0,002800 | 0,002707 | 0,002625 | 0,002683 | 0,002731 | 1,470590 |
Образец, % масс. | Средний коэффициент отклика | Относительный коэффициент отклика | |||||
Nc7 | 8,4750 | 8,4400 | 8,4525 | 8,4525 | 8,6950 | ||
Среднее значение | 4696,033 | 4477,402 | 4454,942 | 4601,379 | 4665,706 | ||
Коэффициент отклика | 0,001804 | 0,001885 | 0,001897 | 0,001837 | 0,001864 | 0,001857 | 1 |
Примечание - Среднюю площадь пика определяют по среднему значению результатов двух анализов. | |||||||
Образец, % масс. | Средний коэффициент отклика | Относительный коэффициент отклика | |||||
Метанол (MeOH) | 1,01 | 5,05 | 10,02 | 20,01 | 29,83 | ||
35419 | 207968 | 408281 | 807253 | 1208115 | |||
36040 | 195967 | 408281 | 874729 | 1301947 | |||
Среднее значение | 35729,5 | 201967,5 | 408281 | 840991 | 1255031 | ||
Коэффициент отклика | 2,83·10-5 | 2,50·10-5 | 2,45·10-5 | 2,38·10-5 | 2,38·10-5 | 2,51·10-5 | 2,922508 |
Образец, % масс. | Средний коэффициент отклика | Относительный коэффициент отклика | |||||
Этанол (EtOH) | 1,00 | 5,00 | 10,10 | 20,15 | 30,18 | ||
45510 | 292874 | 642031 | 1234541 | 1824287 | |||
50885 | 281463 | 594198 | 1259869 | 2005196 | |||
Среднее значение | 48197,5 | 287168,5 | 618114,5 | 1247205 | 1914742 | ||
Коэффициент отклика | 2,07·10-5 | 1,74·10-5 | 1,63·10-5 | 1,62·10-5 | 1,58·10-5 | 1,73·10-5 | 2,014392 |
Образец, % масс. | Средний коэффициент отклика | Относительный коэффициент отклика | |||||
ТБА | 0,9640 | 4,9692 | 9,9583 | 19,8768 | 29,7953 | ||
93315 | 475528 | 979360 | 2031219 | 2865032 | |||
102421 | 476914 | 888766 | 1840517 | 2928378 | |||
Среднее значение | 97868 | 476221 | 934063 | 1935868 | 2896705 | ||
Коэффициент отклика | 9,85·10-6 | 1,04·10-5 | 1,07·10-5 | 1,03·10-5 | 1,03·10-5 | 1,03·10-5 | 1,200454 |
Образец, % масс. | Средний коэффициент отклика | Относительный коэффициент отклика | |||||
МТВЭ | 0,9992 | 5,0362 | 9,9724 | 20,0248 | 30,0471 | ||
75952 | 405208 | 705631 | 1548681 | 2380261 | |||
77415 | 417553 | 757750 | 1580147 | 2408423 | |||
Среднее значение | 76683,5 | 411380,5 | 731690,5 | 1564414 | 2394342 | ||
Коэффициент отклика | 1,30·10-5 | 1,22·10-5 | 1,36·10-5 | 1,28·10-5 | 1,25·10-5 | 1,29·10-5 | 1,497693 |
Образец, % масс. | Средний коэффициент отклика | Относительный коэффициент отклика | |||||
ЭТБЭ | 0,9851 | 4,9255 | 9,8707 | 19,6724 | 29,5727 | ||
83107 | 436772 | 890514 | 1713524 | 2609194 | |||
85993 | 442601 | 917344 | 1720724 | 2604325 | |||
Среднее значение | 84550 | 439686,5 | 903929 | 1717124 | 2606760 | ||
Коэффициент отклика | 1,17·10-5 | 1,12·10-5 | 1,09·10-5 | 1,15·10-5 | 1,13·10-5 | 1,13·10-5 | 1,318750 |
Образец, % масс. | Средний коэффициент отклика | Относительный коэффициент отклика | |||||
ТАМЭ | 0,9997 | 4,9788 | 9,8883 | 19,1530 | 29,7144 | ||
89539 | 455171 | 900734 | 1836776 | 2713677 | |||
90145 | 461944 | 915196 | 1883508 | 2658665 | |||
Среднее значение | 89842 | 458557,5 | 907965 | 1860142 | 2686171 | ||
Коэффициент отклика | 1,11·10-5 | 1,09·10-5 | 1,09·10-5 | 1,03·10-5 | 1,11·10-5 | 1,08·10-5 | 1,264195 |
Образец, % масс. | 20% | 5% | 1% | 1% | 30% | Средний коэффициент отклика | Относительный коэффициент отклика |
Nc7 | 8,4750 | 8,4400 | 8,4525 | 8,4525 | 8,6950 | ||
1034198 | 1392371 | 989383 | 983168 | 1077830 | |||
889948 | 935398 | 1051329 | 1067382 | 1010624 | |||
Среднее значение | 962073 | 1163885 | 1020356 | 1025275 | 1044227 | ||
Коэффициент отклика | 8,81·10-6 | 7,25·10-6 | 8,28·10-6 | 8,24·10-6 | 8,33·10-6 | 8,18·10-6 | 1 |






Параметр хроматографирования | Требование |
Газ-носитель | Водород |
Установки инжектора: | |
- температура инжектора, °C | 270 |
- соотношение деления потока | 200:1 |
- вкладыш | Деактивированное стекло |
- вводимый объем, мкл | 0,2 |
Установки детектора: | |
- температура детектора FID, °C <A> | 300 |
- расход водорода, мл/мин <B> | 40 |
- расход воздуха, мл/мин | 450 |
- расход вспомогательного газа - азота, мл/мин <B> | 20 |
Установки термостата колонки: | |
- начальная температура, °C | 0 |
- начальное время выдерживания, мин | 9,5 |
- скорость первой стадии, °C/мин | 1,5 |
- конечная температура, °C | 50 |
- время выдерживания, мин | 0 |
- скорость второй стадии, °C/мин | 3,14 |
- конечная температура, °C | 130 |
- время выдерживания, мин | 0 |
- скорость третьей стадии, °C/мин | 6,28 |
- конечная температура, °C <C> | 270 |
- время выдерживания, мин | 0 |
Требования к колонке: | |
- длина, м | 100 |
- внутренний диаметр, мм | 0,25 |
- жидкая фаза | 100%-ный полидиметилсилоксан |
- толщина неподвижной фазы, мкм | 0,5 |
- давление (манометрическое), psi | 31,0 |
- скорость потока, мл/мин | 3,3 - 1,0 |
- линейная скорость газа, см/с | 46 - 29 |
Частота обработки данных, Гц | 20 |
Полное время анализа, мин (включая время продувки) | 90,6 |
Пара компонентов | Минимальное разрешение | Концентрация каждого из компонентов, % | |
74 | 2,3-Диметилбутан | 1,0 | 0,99 |
78 | Метил-трет-бутиловый эфир | 1,23 | |
156 | Бензол | 1,0 | 0,83 |
158 | 1-Метилциклопентен | 0,49 | |
304 | Толуол | 0,4 | 7,65 |
306 | 2,3,3-Триметилпентан | 0,65 | |
474 | м-Ксилол | 0,4 | 3,95 |
476 | п-Ксилол | 1,58 | |
876 | н-Тридекан | 1,0 | 0,01 |
878 | 1-Метилнафталин | 0,02 |
Компонент | Время удерживания RT, мин | Ширина пика на половине его высоты | Число теоретических тарелок |
38 н-Пентан | 5,406 | 0,0178 | 511462 |
Время удерживания RT, мин | Преобладающий компонент | Совместно элюирующийся компонент |
23,00 | Метилциклопентан | 2,2-Диметилпентан |
27,13 | 3,3-Диметилпентан | 5-Метил-1-гексен |
29,36 | 2-Метилгексан | 2,3-Диметилпентан и C7-олефин |
38,76 | 2,5-Диметилгексан | C8-олефин |
41,32 | Толуол | 2,3,3-Триметилпентан <C> |
44,59 | 3-Метилгептан | трет-1,4-Диметилциклогексан |
54,27 | 4-Метилоктан | C9-олефин |
55,27 | о-Ксилол | 1,1,2-Триметилциклогексан |
72,54 | 1,2,3,4-Тетраметилбензол | C11-ароматическое соединение |











Номер пика | Наименование компонента | Время удерживания RT, мин | Молекулярная масса | Относительный коэффициент отклика RRF |
1 | Метан | 3,89 | 16,04 | 1,000 |
2 | Этен | 3,93 | 28,03 | 0,874 |
3 | Этан | 3,97 | 30,05 | 0,937 |
4 | Пропен | 4,01 | 42,05 | 0,874 |
5 | Пропан | 4,05 | 44,06 | 0,916 |
6 | Изобутан | 4,70 | 58,08 | 0,906 |
7 | Метанол | 4,92 | 32,03 | 2,672 |
8 | Изобутен | 5,13 | 56,06 | 0,874 |
9 | Бутен-1 | 5,15 | 56,06 | 0,874 |
10 | Бутадиен-1,3 | 5,24 | 54,09 | 0,843 |
12 | н-Бутан | 5,33 | 58,08 | 0,906 |
14 | транс-Бутен-2 | 5,59 | 56,06 | 0,874 |
16 | 2,2-Диметилпропан | 5,65 | 72,09 | 0,899 |
18 | цис-Бутен-2 | 5,97 | 56,06 | 0,874 |
20 | Бутадиен-1,2 | 6,39 | 54,09 | 0,843 |
22 | Этанол | 6,83 | 46,04 | 1,862 |
24 | 3-Метилбутен-1 | 7,12 | 70,08 | 0,874 |
26 | Изопентан | 7,96 | 72,09 | 0,899 |
28 | Пентадиен-1,4 | 8,25 | 68,06 | 0,849 |
30 | Бутин-2 (диметилацетилен) | 8,55 | 54,05 | 0,843 |
32 | Пентен-1 | 8,84 | 70,08 | 0,874 |
34 | Изопропанол | 9,07 | 60,06 | 1,950 |
36 | 2-Метилбутен-1 | 9,31 | 70,08 | 0,874 |
38 | н-Пентан | 9,60 | 72,09 | 0,899 |
40 | 2-Метилбутадиен-1,3 | 9,89 | 68,06 | 0,849 |
42 | транс-Пентен-2 | 10,23 | 70,08 | 0,874 |
44 | 3,3-Диметилбутен-1 | 10,60 | 84,09 | 0,874 |
46 | цис-Пентен-2 | 10,81 | 70,08 | 0,874 |
48 | трет-Бутанол (ТБА) | 10,92 | 74,12 | 1,161 |
50 | 2-Метилбутен-2 | 11,19 | 70,08 | 0,874 |
52 | транс-Пентадиен-1,3 | 11,39 | 68,06 | 0,849 |
54 | 3-Метилбутадиен-1,2 | 11,39 | 68,06 | 0,849 |
56 | Циклопентадиен | 11,63 | 67,10 | 0,824 |
58 | цис-Пентадиен-1,3 | 11,87 | 68,06 | 0,849 |
60 | Пентадиен-1,2 | 12,11 | 68,06 | 0,849 |
62 | 2,2-Диметилбутан | 12,42 | 86,11 | 0,895 |
64 | Циклопентен | 13,96 | 68,06 | 0,849 |
66 | 4-Метилпентен-1 | 14,68 | 84,09 | 0,874 |
68 | 3-Метилпентен-1 | 14,70 | 84,09 | 0,874 |
70 | н-Пропанол | 14,89 | 60,06 | 1,770 |
72 | Циклопентан | 15,05 | 70,08 | 0,874 |
74 | 2,3-Диметилбутан | 15,49 | 86,11 | 0,895 |
76 | 2,3-Диметилбутен-1 | 15,62 | 84,09 | 0,874 |
78 | Метил-трет-бутиловый эфир (МТБЭ) | 15,70 | 88,09 | 1,407 |
80 | цис-4-Метилпентен-2 | 16,03 | 84,09 | 0,874 |
82 | 2-Метилпентан | 16,15 | 86,11 | 0,895 |
84 | транс-4-Метилпентен-2 | 16,42 | 84,09 | 0,874 |
86 | Метилэтилкетон (МЭК) | 17,08 | 72,06 | 1,570 |
88 | 3-Метилпентан | 17,73 | 86,11 | 0,895 |
90 | C6-олефин | 18,10 | 84,09 | 0,874 |
92 | 2-Метилпентен-1 | 18,46 | 84,09 | 0,874 |
94 | Гексен-1 | 18,60 | 84,09 | 0,874 |
96 | Метил-втор-бутиловый эфир (МВБЭ) | 18,95 | 88,09 | 1,550 |
98 | C6-олефин | 19,29 | 84,09 | 0,874 |
100 | Бутанол-2 | 19,63 | 74,07 | 1,600 |
102 | 2-Этилбутен-1 | 19,97 | 84,09 | 0,874 |
104 | н-Гексан | 20,03 | 86,11 | 0,895 |
106 | цис-Гексен-3 | 20,45 | 84,09 | 0,874 |
108 | Диизопропиловый эфир (ДИПЭ) | 20,60 | 102,00 | 1,600 |
110 | транс-Гексен-3 + гексадиен | 20,74 | 84,09 | 0,874 |
112 | 2-Метилпентен-2 | 21,04 | 84,09 | 0,874 |
114 | 3-Метилциклопентен | 21,19 | 82,10 | 0,853 |
116 | транс-3-Метилпентен-2 | 21,28 | 84,09 | 0,874 |
118 | цис-Гексен-2 | 21,86 | 84,09 | 0,874 |
120 | 3,3-Диметилпентен-1 | 22,29 | 98,19 | 0,874 |
122 | цис-3-Метилпентен-2 | 22,70 | 84,09 | 0,874 |
124 | Этил-трет-бутиловый эфир (ЭТБЭ) | 22,87 | 102,18 | 1,255 |
126 | 2,3-Диметилбутадиен-1,3 | 22,94 | 82,00 | 0,853 |
128 | Метилциклопентан | 23,00 | 84,09 | 0,874 |
130 | 2,2-Диметилпентан | 23,05 | 100,13 | 0,892 |
132 | 4,4-Диметилпентен-1 | 23,19 | 98,19 | 0,874 |
134 | Изобутанол | 23,37 | 74,12 | 1,500 |
136 | 2,3-Диметилбутен-2 | 23,55 | 84,09 | 0,874 |
138 | 2,4-Диметилпентан | 24,03 | 100,13 | 0,892 |
140 | 1,3,5-Гексатриен | 24,22 | 80,00 | 0,832 |
142 | 2,2,3-Триметилбутан | 24,33 | 100,13 | 0,892 |
144 | Метилциклопентадиен | 24,77 | 80,00 | 0,832 |
146 | C7-олефин | 24,83 | 98,19 | 0,874 |
148 | C7-олефин | 25,13 | 98,19 | 0,874 |
150 | C7-диолефин | 25,43 | 96,00 | 0,856 |
152 | 4-Метилциклопентен | 25,71 | 82,10 | 0,853 |
154 | Метиленциклопентан | 26,01 | 82,10 | 0,853 |
156 | Бензол | 26,13 | 78,05 | 0,812 |
158 | 1-Метилциклопентен-1 | 26,27 | 82,10 | 0,853 |
160 | C7-олефин | 26,64 | 98,19 | 0,874 |
162 | цис-2-Метилгексен-3 | 26,82 | 98,19 | 0,874 |
164 | 3,3-Диметилпентан + 5-метилгексен-1 | 27,19 | 100,13 | 0,892 |
166 | Циклогексан | 27,32 | 84,09 | 0,874 |
168 | транс-2-Метилгексен-3 | 27,78 | 98,19 | 0,874 |
170 | 3,3-Диметилпентадиен-1,4 | 28,18 | 96,00 | 0,856 |
172 | н-Бутанол | 28,29 | 74,07 | 1,500 |
174 | Диметилциклопентадиен | 28,33 | 94,16 | 0,838 |
176 | трет-2-Этил-3-метилбутен-1 | 28,52 | 98,19 | 0,874 |
178 | 4-Метилгексен-1 | 28,71 | 98,19 | 0,874 |
180 | C7-олефин | 28,86 | 98,19 | 0,874 |
182 | 3-Метилгексен-1 | 29,00 | 98,19 | 0,874 |
184 | 4-Метилгексен-2 | 29,14 | 98,19 | 0,874 |
186 | 2-Метилгексан + C7-олефин | 29,37 | 100,13 | 0,892 |
188 | 2,3-Диметилпентан | 29,52 | 100,13 | 0,892 |
190 | Циклогексен | 29,62 | 82,10 | 0,853 |
192 | трет-Амилметиловый эфир (TAME) | 29,89 | 102,18 | 1,210 |
194 | C7-олефин | 30,11 | 98,19 | 0,874 |
196 | C7-олефин | 30,33 | 98,19 | 0,874 |
198 | 3-Метилгексан | 30,55 | 100,13 | 0,892 |
200 | C7-олефин | 30,71 | 98,19 | 0,874 |
202 | C7-олефин | 30,88 | 98,19 | 0,874 |
204 | транс-1,3-Диметилциклопентан | 31,04 | 98,11 | 0,874 |
206 | цис-1,3-Диметилциклопентан | 31,42 | 98,11 | 0,874 |
208 | транс-1,2-Диметилциклопентан | 31,82 | 99,11 | 0,874 |
210 | 3-Этилпентан | 31,95 | 100,10 | 0,892 |
212 | C7-олефин | 32,12 | 98,19 | 0,874 |
214 | 2,2,4-Триметилпентан | 32,22 | 114,14 | 0,890 |
216 | C7-олефин | 32,47 | 98,19 | 0,874 |
218 | Гептен-1 | 32,49 | 98,19 | 0,874 |
220 | C7-олефин | 32,57 | 98,19 | 0,874 |
222 | 2,3-Диметилпентадиен-1,3 | 32,87 | 96,18 | 0,874 |
224 | C7-диолефин | 33,11 | 96,00 | 0,856 |
226 | C7-олефин | 33,35 | 98,19 | 0,874 |
228 | C7-диолефин | 33,64 | 96,00 | 0,856 |
230 | C7-диолефин | 33,85 | 96,00 | 0,856 |
232 | C7-олефин | 33,95 | 98,19 | 0,874 |
234 | н-Гептан | 34,15 | 100,13 | 0,892 |
236 | цис-Гептен-3 | 34,29 | 98,19 | 0,874 |
238 | 2-Метилгексен-2 | 34,49 | 98,19 | 0,874 |
240 | цис-3-Метилгексен-3 | 34,65 | 98,19 | 0,874 |
242 | транс-Гептен-3 | 34,89 | 98,19 | 0,874 |
244 | 3-Этилпентен-2 | 35,00 | 96,17 | 0,856 |
246 | 1,5-Диметилциклопентен | 35,11 | 96,17 | 0,856 |
248 | транс-2-Метилгексен-3 | 35,46 | 98,19 | 0,874 |
250 | C7-диолефин + C7-триолефин | 35,72 | 96,00 | 0,856 |
252 | 2,3-Диметилпентен-2 | 35,96 | 98,19 | 0,874 |
254 | 3-Этилпентен | 36,12 | 98,19 | 0,874 |
256 | Метилциклогексан | 36,25 | 98,11 | 0,874 |
258 | C7-олефин | 36,58 | 98,19 | 0,874 |
260 | 1,1,3-Триметилциклопентан | 36,90 | 112,10 | 0,874 |
262 | 2,2-Диметилгексан | 37,24 | 114,10 | 0,890 |
264 | 2,3,4-Триметилпентадиен-1,4 | 37,60 | 110,00 | 0,859 |
266 | 3,3-Диметилгексадиен-1,5 | 37,63 | 110,21 | 0,859 |
268 | C8-диолефин | 37,69 | 98,19 | 0,874 |
269 | C7-олефин | 37,93 | 98,19 | 0,874 |
270 | Этилциклопентан | 38,10 | 98,11 | 0,874 |
272 | 3-Метилциклогексен | 38,34 | 96,17 | 0,856 |
274 | Метилциклогексадиен | 38,43 | 94,17 | 0,838 |
276 | 2,2,3-Триметилпентан | 38,53 | 114,10 | 0,890 |
278 | 2,5-Диметилгексан + C8-олефин | 38,76 | 114,14 | 0,890 |
280 | 2,4-Диметилгексан | 38,97 | 114,14 | 0,890 |
282 | C7-триолефин + C8-олефин | 39,19 | 112,24 | 0,856 |
284 | транс, цис-1,2,4-Триметилциклопентан | 39,46 | 112,10 | 0,874 |
286 | 3,3-Диметилгексан + C8-олефин | 39,75 | 114,14 | 0,890 |
288 | C7-триолефин + C8-олефин | 39,92 | 112,24 | 0,856 |
292 | транс, цис-1,2,3-Триметилциклопентан | 40,50 | 112,10 | 0,874 |
294 | C8-олефины | 40,57 | 112,13 | 0,874 |
296 | C8-олефины | 40,63 | 112,13 | 0,874 |
298 | C8-олефины | 40,69 | 112,13 | 0,874 |
290 | C8-олефины | 40,79 | 112,13 | 0,874 |
300 | 2,3,4-Триметилпентан | 40,94 | 114,14 | 0,890 |
302 | C7-диолефин | 41,11 | 96,00 | 0,856 |
304 | Толуол | 41,32 | 92,06 | 0,821 |
306 | 2,3,3-Триметилпентан | 41,38 | 114,23 | 0,890 |
308 | C8-олефин | 41,54 | 112,13 | 0,874 |
310 | C8-диолефин | 41,99 | 110,00 | 0,859 |
312 | C8-олефин | 42,08 | 112,13 | 0,874 |
314 | C8-олефин | 42,26 | 112,13 | 0,874 |
316 | C8-олефин | 42,35 | 112,13 | 0,874 |
318 | C8-диолефин + C8-олефин | 42,41 | 110,00 | 0,859 |
320 | 2,3-Диметилгексан | 42,68 | 114,14 | 0,890 |
322 | 2-Метил-3-этилпентан | 42,84 | 114,14 | 0,890 |
324 | 1,1,2-Триметилциклопентан | 43,09 | 112,10 | 0,874 |
326 | C8-диолефин + C8-парафин | 43,23 | 114,23 | 0,859 |
328 | C8-олефины | 43,37 | 112,13 | 0,874 |
330 | C8-олефины | 43,52 | 112,13 | 0,874 |
332 | 2-Метилгептан | 43,66 | 114,14 | 0,890 |
334 | 4-Метилгептан | 43,83 | 114,14 | 0,890 |
336 | C8-диолефин + C7-олефин | 44,01 | 112,10 | 0,856 |
338 | C8-олефины | 44,11 | 112,13 | 0,874 |
340 | цис-1,4-Диметилциклогексан | 44,37 | 112,10 | 0,874 |
342 | транс-1,4-Диметилциклогексан | 44,51 | 112,10 | 0,874 |
344 | 3-Метилгептан | 44,61 | 114,14 | 0,890 |
346 | 3-Этилгексан | 44,71 | 114,14 | 0,890 |
348 | C8-диолефин | 44,89 | 110,00 | 0,874 |
350 | C8-олефины | 45,06 | 112,13 | 0,874 |
352 | C8-олефин | 45,14 | 112,13 | 0,874 |
354 | 1,1-Диметилциклогексан | 45,24 | 112,13 | 0,874 |
356 | C8-олефин | 45,43 | 112,13 | 0,874 |
358 | C8-олефин | 45,58 | 112,13 | 0,874 |
360 | цис-1-Этил-3-метилциклопентан | 45,87 | 112,10 | 0,874 |
362 | 2,2,5-Триметилгексан | 45,96 | 128,20 | 0,888 |
364 | транс-1-Этил-3-метилциклопентан | 46,11 | 112,10 | 0,874 |
366 | транс-1-Этил-2-метилциклопентан | 46,26 | 112,10 | 0,874 |
368 | 1-Метил-1-этилциклопентан | 46,34 | 112,22 | 0,874 |
370 | Октен-1 | 46,48 | 112,13 | 0,874 |
372 | C8-олефин | 46,61 | 112,13 | 0,874 |
374 | транс-1,2-Диметилциклогексан | 46,71 | 112,10 | 0,874 |
376 | C8-олефины | 46,79 | 112,13 | 0,874 |
378 | C8-олефин | 46,96 | 112,22 | 0,874 |
380 | транс-3-C8-олефин | 47,12 | 112,22 | 0,874 |
382 | C8-олефины | 47,23 | 112,11 | 0,874 |
384 | транс-1,3-Диметилциклогексан | 47,49 | 112,13 | 0,874 |
386 | цис-1,4-Диметилциклогексан | 47,59 | 112,10 | 0,874 |
388 | н-Октан | 47,84 | 114,14 | 0,890 |
390 | C8-олефин | 47,92 | 112,13 | 0,874 |
392 | C8-олефин | 48,03 | 112,13 | 0,874 |
394 | транс-Октен-2 | 48,19 | 112,13 | 0,874 |
396 | Изопропилциклопентан | 48,32 | 112,10 | 0,874 |
398 | C9-олефин | 48,35 | 126,14 | 0,874 |
400 | C9-олефин | 48,59 | 126,14 | 0,874 |
402 | C9-олефин | 48,71 | 126,14 | 0,874 |
404 | C9-олефин | 48,76 | 126,14 | 0,874 |
406 | 2,2,4-Триметилгексан | 48,88 | 128,16 | 0,888 |
408 | 2,4,4-Триметилгексан | 48,89 | 128,16 | 0,888 |
410 | C9-олефины | 48,92 | 126,14 | 0,874 |
412 | 2,3,5-Триметилгексан | 49,03 | 128,16 | 0,888 |
414 | цис-Октен-2 | 49,10 | 112,13 | 0,874 |
416 | 2,2,3,4-Тетраметилпентан | 49,70 | 128,16 | 0,888 |
418 | 2,2-Диметилгептан | 49,96 | 128,16 | 0,888 |
420 | цис-1,2-Диметилциклогексан | 50,08 | 112,10 | 0,874 |
422 | 2,4-Диметилгептан | 50,36 | 128,16 | 0,888 |
424 | C9-олефин | 50,46 | 126,14 | 0,874 |
426 | C9-олефин | 50,54 | 126,14 | 0,874 |
428 | Этилциклогексан | 50,59 | 112,10 | 0,874 |
430 | Пропилциклопентан | 50,67 | 112,10 | 0,874 |
432 | 2-Метил-4-этилгексан | 50,90 | 128,20 | 0,888 |
434 | 2,6-Диметилгептан | 51,02 | 128,20 | 0,888 |
436 | C9-олефин | 51,14 | 126,14 | 0,874 |
438 | 1,1,4-Триметилциклогексан | 51,21 | 126,14 | 0,874 |
440 | C9-олефины | 51,29 | 126,14 | 0,874 |
442 | C9-олефины | 51,44 | 126,14 | 0,874 |
444 | 1,1,3-Триметилциклогексан | 51,45 | 126,24 | 0,874 |
446 | 2,5-Диметилгептан + 3,5-диметилгептан | 51,64 | 128,16 | 0,888 |
448 | C9-олефины | 51,69 | 126,14 | 0,874 |
450 | 3,3-Диметилгептан | 51,76 | 128,20 | 0,888 |
452 | C9-изопарафин | 51,90 | 128,26 | 0,888 |
454 | C9-олефины | 52,05 | 126,14 | 0,874 |
456 | 2,3,3-Триметилгексан | 52,30 | 128,16 | 0,888 |
458 | C9-олефины | 52,38 | 126,14 | 0,874 |
460 | Этилбензол | 52,44 | 106,08 | 0,827 |
462 | C9-олефины | 52,58 | 126,14 | 0,874 |
464 | транс-1,2,4-Триметилциклогексан | 52,69 | 126,14 | 0,874 |
466 | C9-олефины | 52,76 | 126,14 | 0,874 |
468 | 2,3,4-Триметилгексан | 52,88 | 128,20 | 0,888 |
470 | C9-олефин | 52,94 | 126,24 | 0,874 |
472 | 3,3,4-Триметилгексан | 53,07 | 128,16 | 0,888 |
474 | м-Ксилол | 53,28 | 106,08 | 0,827 |
476 | п-Ксилол | 53,37 | 106,08 | 0,827 |
478 | 2,3-Диметилгептан | 53,54 | 128,16 | 0,888 |
480 | 3,5-Диметилгептан | 53,71 | 128,20 | 0,888 |
482 | 3,4-Диметилгептан | 53,76 | 128,16 | 0,888 |
484 | C9-олефин | 53,89 | 126,14 | 0,874 |
486 | 3-Метил-3-этилгексан | 53,99 | 128,16 | 0,888 |
488 | C9-олефин | 54,09 | 126,14 | 0,874 |
490 | 4-Этилгептан | 54,14 | 128,16 | 0,888 |
492 | 4-Метилоктан + C9-олефин | 54,27 | 128,20 | 0,888 |
494 | 2-Метилоктан | 54,36 | 128,20 | 0,888 |
496 | C9-олефин | 54,47 | 126,14 | 0,874 |
498 | C9-изопарафин | 54,67 | 128,20 | 0,888 |
500 | C9-олефин | 54,74 | 126,14 | 0,874 |
502 | 3-Этилгептан | 54,81 | 128,20 | 0,888 |
504 | 3-Метилоктан | 54,93 | 128,20 | 0,888 |
506 | C9-изопарафин | 55,02 | 126,14 | 0,874 |
508 | цис-1,2,4-Триметилциклогексан | 55,08 | 126,14 | 0,874 |
510 | 1,1,2-Триметилциклогексан | 55,10 | 126,14 | 0,874 |
512 | о-Ксилол | 55,24 | 106,08 | 0,827 |
514 | C9-олефин | 55,38 | 126,14 | 0,874 |
516 | C9-изопарафин | 55,47 | 128,26 | 0,888 |
518 | C9-изопарафин | 55,56 | 128,26 | 0,888 |
520 | C9-олефин | 55,63 | 128,20 | 0,874 |
522 | транс-1-Этил-4-метилциклогексан | 55,81 | 126,14 | 0,874 |
524 | цис-1-Этил-4-метилциклогексан | 55,90 | 126,14 | 0,874 |
526 | C9-изопарафин | 56,09 | 128,20 | 0,888 |
528 | Нонен-1 | 56,32 | 126,14 | 0,874 |
530 | Изобутилциклопентан | 56,45 | 126,14 | 0,874 |
532 | C9-изопарафин | 56,74 | 128,20 | 0,888 |
534 | транс-Нонен-3 | 56,89 | 126,14 | 0,874 |
536 | цис-Нонен-3 | 57,03 | 126,14 | 0,874 |
538 | C9-изопарафин | 57,16 | 128,20 | 0,888 |
540 | н-Нонан | 57,26 | 128,16 | 0,888 |
542 | C10-олефин | 57,40 | 140,16 | 0,874 |
544 | транс-Нонен-2 | 57,48 | 126,14 | 0,874 |
546 | 1-Метил-1-этилциклогексан | 57,63 | 126,14 | 0,874 |
548 | 1-Метил-2-пропилциклопентан | 57,70 | 126,14 | 0,874 |
550 | C10-олефин | 57,79 | 140,16 | 0,874 |
552 | C10-изопарафин | 57,87 | 142,17 | 0,887 |
554 | C10-изопарафин | 57,96 | 142,17 | 0,887 |
556 | Изопропилбензол | 58,03 | 118,08 | 0,832 |
558 | цис-Нонен-2 | 58,12 | 126,14 | 0,874 |
560 | трет-Бутилциклопентан | 58,15 | 126,14 | 0,874 |
562 | C9-олефины | 58,30 | 126,14 | 0,874 |
564 | Нонен | 58,42 | 126,24 | 0,874 |
566 | Изопропилциклогексан | 58,47 | 126,14 | 0,874 |
568 | 3,3,5-Триметилгептан | 58,61 | 142,17 | 0,887 |
570 | 2,2-Диметилоктан | 58,78 | 142,17 | 0,887 |
572 | 2,4-Диметилоктан | 58,90 | 142,17 | 0,887 |
574 | 1-Метил-4-изопропилциклогексан | 59,00 | 140,16 | 0,874 |
576 | втор-Бутилциклопентан | 59,16 | 126,14 | 0,874 |
578 | Пропилциклогексан | 59,19 | 126,14 | 0,874 |
580 | 2,5-Диметилоктан | 59,31 | 142,17 | 0,887 |
582 | Бутилциклопентан | 59,62 | 126,14 | 0,874 |
584 | 2,6-Диметилоктан | 59,63 | 142,17 | 0,887 |
586 | 3,6-Диметилоктан | 59,97 | 142,17 | 0,887 |
588 | 1-Метил-2-этилциклогексан | 60,05 | 126,14 | 0,874 |
590 | C10-олефин | 60,21 | 140,16 | 0,874 |
592 | Пропилбензол | 60,30 | 120,09 | 0,832 |
594 | 3,3-Диметилоктан | 60,51 | 142,17 | 0,887 |
596 | 3-Метил-5-этилгептан | 60,61 | 142,17 | 0,887 |
598 | C10-олефин | 60,69 | 140,16 | 0,874 |
600 | 1-Этил-3-метилбензол | 60,87 | 120,09 | 0,832 |
602 | 1-Этил-4-метилбензол | 61,01 | 120,09 | 0,832 |
604 | Нафтен | 61,26 | 140,27 | 0,874 |
606 | 1,3,5-Триметилбензол | 61,30 | 120,09 | 0,832 |
608 | 2,3-Диметилоктан | 61,43 | 142,17 | 0,887 |
610 | 5-Метилнонан | 61,83 | 142,17 | 0,887 |
612 | 4-Метилнонан | 61,95 | 142,17 | 0,887 |
614 | 2-Метилнонан | 62,11 | 142,17 | 0,887 |
616 | 1-Этил-2-метилбензол | 62,21 | 120,09 | 0,832 |
618 | 3-Этилоктан | 65,37 | 142,17 | 0,887 |
620 | Нафтен | 62,45 | 140,16 | 0,874 |
622 | 3-Метилнонан | 62,58 | 142,17 | 0,887 |
624 | C10-олефин | 62,77 | 140,16 | 0,874 |
626 | C10-изопарафин | 62,92 | 142,17 | 0,887 |
628 | C10-изопарафин | 62,99 | 142,17 | 0,887 |
630 | 1,2,4-Триметилбензол | 63,18 | 120,09 | 0,832 |
632 | C10-изопарафин | 63,30 | 142,17 | 0,887 |
634 | C10-изопарафин | 63,37 | 142,17 | 0,887 |
636 | Изобутилциклогексан | 63,51 | 140,27 | 0,874 |
638 | C10-изопарафин | 63,62 | 142,28 | 0,887 |
640 | C10-изопарафин | 63,67 | 142,37 | 0,887 |
642 | Децен-1 | 63,72 | 140,27 | 0,874 |
644 | C10-изопарафин | 63,81 | 142,28 | 0,887 |
646 | C10-изопарафин | 63,92 | 142,17 | 0,887 |
648 | C10-ароматический углеводород | 63,99 | 134,11 | 0,837 |
654 | Изобутилбензол | 64,11 | 134,11 | 0,837 |
656 | транс-1-Метил-2-пропилциклогексан | 64,24 | 140,16 | 0,874 |
652 | Нафтен | 64,26 | 140,16 | 0,874 |
650 | C10-изопарафин | 64,29 | 142,17 | 0,887 |
658 | C10-изопарафин | 64,36 | 142,17 | 0,887 |
660 | втор-Бутилбензол | 64,38 | 134,11 | 0,837 |
662 | н-Декан | 64,49 | 142,17 | 0,887 |
664 | C11-изопарафин | 64,65 | 156,19 | 0,886 |
666 | C11-изопарафин | 64,74 | 156,19 | 0,886 |
668 | 1,2,3-Триметилбензол | 65,01 | 120,09 | 0,832 |
670 | 1-Метил-3-изопропилбензол | 65,10 | 134,11 | 0,837 |
674 | 1-Метил-4-изопропилбензол | 65,32 | 134,11 | 0,837 |
676 | C11-изопарафин | 65,47 | 156,19 | 0,886 |
672 | C11-изопарафин | 65,50 | 156,19 | 0,886 |
678 | C11-изопарафин | 65,57 | 156,19 | 0,886 |
680 | 2,3-Дигидроинден | 65,75 | 118,08 | 0,819 |
682 | втор-Бутилциклогексан | 66,07 | 140,16 | 0,874 |
684 | C11-изопарафин | 66,12 | 156,19 | 0,886 |
686 | 1-Метил-2-изопропилбензол | 66,15 | 134,11 | 0,837 |
688 | 3-Этилнонан | 66,31 | 156,19 | 0,886 |
690 | C11-изопарафин | 66,38 | 156,19 | 0,886 |
692 | Нафтен | 66,48 | 140,16 | 0,874 |
694 | C11-изопарафин | 66,63 | 126,19 | 0,886 |
696 | 1,3-Диэтилбензол | 66,84 | 134,11 | 0,837 |
698 | 1-Метил-3-пропилбензол | 67,01 | 134,11 | 0,837 |
700 | 1,4-Диэтилбензол | 67,10 | 134,11 | 0,837 |
702 | 1-Метил-4-пропилбензол | 67,25 | 134,11 | 0,837 |
704 | Бутилбензол | 67,32 | 134,11 | 0,837 |
706 | 3,5-Диметил-1-этилбензол | 67,42 | 134,11 | 0,837 |
708 | 1,2-Диэтилбензол | 67,59 | 134,11 | 0,837 |
710 | C11-изопарафин | 67,86 | 156,19 | 0,886 |
712 | C10-ароматический углеводород | 67,98 | 134,11 | 0,837 |
714 | C10-ароматический углеводород | 68,01 | 134,11 | 0,837 |
716 | C10-ароматический углеводород | 68,09 | 134,11 | 0,837 |
718 | 1-Метил-2-пропилбензол | 68,14 | 134,11 | 0,837 |
720 | C10-ароматический углеводород | 68,14 | 134,22 | 0,837 |
722 | 5-Метилдекан | 68,17 | 156,19 | 0,886 |
724 | 4-Метилдекан | 68,20 | 156,19 | 0,886 |
726 | 2-Метилдекан | 68,25 | 156,32 | 0,886 |
728 | C11-изопарафин | 68,36 | 156,19 | 0,886 |
730 | 1,4-Диметил-2-этилбензол | 68,59 | 134,11 | 0,837 |
732 | 1,3-Диметил-4-этилбензол | 68,71 | 134,11 | 0,837 |
734 | C11-изопарафин | 68,77 | 156,19 | 0,886 |
736 | 3-Триметилдекан | 68,95 | 156,19 | 0,886 |
738 | C1-индан | 68,99 | 132,21 | 0,837 |
740 | 1,2-Диметил-4-этилбензол + C1-индан | 69,05 | 134,11 | 0,837 |
742 | C11-изопарафин | 69,12 | 156,19 | 0,886 |
744 | 1,3-Диметил-2-этилбензол | 69,48 | 134,11 | 0,837 |
746 | C11-изопарафин | 69,78 | 156,19 | 0,886 |
748 | C11-изопарафин | 69,92 | 156,19 | 0,886 |
750 | 1-Метил-4-трет-бутилбензол | 70,06 | 148,13 | 0,840 |
752 | 1,2-Диметил-3-этилбензол | 70,18 | 134,11 | 0,837 |
754 | 1-Этил-2-изопропилбензол | 70,35 | 148,13 | 0,840 |
756 | н-Ундекан | 70,49 | 156,19 | 0,886 |
758 | 1-Этил-4-изопропилбензол | 70,57 | 148,13 | 0,840 |
760 | C12-изопарафин | 70,70 | 170,20 | 0,885 |
762 | 1,2,4,5-Тетраметилбензол | 70,82 | 134,11 | 0,837 |
764 | 2-Метилбутилбензол | 70,90 | 148,13 | 0,840 |
766 | 1,2,3,5-Тетраметилбензол | 71,00 | 134,11 | 0,837 |
768 | 3-Метилбутилбензол | 71,03 | 148,25 | 0,840 |
770 | C11-ароматический углеводород | 71,04 | 148,13 | 0,840 |
772 | C12-изопарафин | 71,14 | 170,20 | 0,885 |
774 | C11-ароматический углеводород | 71,33 | 148,13 | 0,840 |
776 | C11-ароматический углеводород | 71,41 | 148,13 | 0,840 |
778 | C11-ароматический углеводород | 71,47 | 148,13 | 0,840 |
780 | 1-трет-Бутил-2-метилбензол | 71,69 | 148,13 | 0,840 |
782 | C11-ароматический углеводород | 71,80 | 148,13 | 0,840 |
784 | 1-Этил-2-пропилбензол | 71,86 | 148,13 | 0,840 |
786 | C11-ароматический углеводород | 72,03 | 148,13 | 0,840 |
788 | C11-ароматический углеводород | 72,17 | 148,13 | 0,840 |
790 | C11-ароматический углеводород | 72,24 | 148,13 | 0,840 |
792 | 1-Метил-3-бутилбензол | 72,35 | 148,13 | 0,840 |
794 | C11-ароматический углеводород | 72,47 | 148,25 | 0,840 |
796 | 1,2,3,4-Тетраметилбензол + C11-ароматический углеводород | 72,54 | 148,25 | 0,840 |
798 | Пентилбензол | 72,73 | 148,13 | 0,840 |
800 | транс-1-Метил-2-(4-метилпентил)-циклопентан | 72,80 | 168,33 | 0,874 |
802 | C11-ароматический углеводород | 72,95 | 148,13 | 0,840 |
804 | C11-ароматический углеводород | 73,16 | 148,13 | 0,840 |
806 | C11-ароматический углеводород | 73,19 | 148,13 | 0,840 |
808 | C12-изопарафин | 73,23 | 170,20 | 0,885 |
810 | 1,2,3,4-Тетрагидронафталин | 73,35 | 132,09 | 0,824 |
812 | 1-трет-Бутил-3,5-диметилбензол | 73,53 | 162,30 | 0,843 |
814 | Нафталин | 73,72 | 128,06 | 0,799 |
816 | 1,1-Диметилиндан | 73,82 | 146,10 | 0,829 |
818 | 1,2-Диметилиндан | 73,92 | 146,10 | 0,829 |
820 | 1,6-Диметилиндан | 74,00 | 146,10 | 0,829 |
822 | C11-ароматический углеводород | 74,10 | 148,25 | 0,840 |
824 | 1-Этилиндан | 74,18 | 146,10 | 0,829 |
826 | 2-Этилиндан | 74,33 | 146,10 | 0,829 |
828 | Этил-1,3,5-триметилбензол | 74,44 | 148,25 | 0,840 |
830 | 1,3-Дипропилбензол | 74,61 | 162,34 | 0,843 |
832 | н-Додекан | 74,98 | 170,20 | 0,885 |
834 | Этил-1,2,4-триметилбензол | 75,38 | 148,25 | 0,840 |
836 | C11-ароматический углеводород | 75,61 | 148,10 | 0,840 |
838 | C11-ароматический углеводород | 75,90 | 148,13 | 0,840 |
840 | C12-ароматический углеводород + C2-индан | 75,98 | 162,30 | 0,843 |
842 | 2,4-Диметилиндан | 76,07 | 146,10 | 0,829 |
844 | 4-Этилиндан | 76,20 | 146,10 | 0,829 |
846 | 1-трет-Бутил-4-этилбензол | 76,30 | 162,30 | 0,843 |
848 | 1,3-Диметилиндан | 77,10 | 146,10 | 0,829 |
850 | 1-Метил-4-пентилбензол | 77,20 | 162,30 | 0,843 |
852 | 4,7-Диметилиндан | 77,23 | 146,10 | 0,829 |
854 | 5,6-Диметилиндан | 77,26 | 146,10 | 0,829 |
856 | C12-ароматический углеводород | 77,30 | 162,30 | 0,843 |
858 | Гексилбензол | 77,33 | 162,30 | 0,843 |
860 | C6-бензол | 77,36 | 162,30 | 0,843 |
862 | C6-бензол | 77,45 | 162,30 | 0,843 |
864 | C6-бензол | 77,50 | 162,30 | 0,843 |
866 | 4,5-Диметилиндан | 77,60 | 146,10 | 0,829 |
868 | C6-бензол | 77,75 | 162,30 | 0,843 |
870 | 2-Метилнафталин | 78,09 | 142,08 | 0,806 |
872 | C6-бензол | 78,19 | 162,30 | 0,843 |
874 | C6-бензол | 78,28 | 162,30 | 0,843 |
876 | н-Тридекан | 78,54 | 184,22 | 0,884 |
878 | 1-Метилнафталин | 78,64 | 142,08 | 0,806 |
880 | C6-бензол | 79,15 | 162,30 | 0,843 |
882 | C2-тетралин | 79,66 | 160,20 | 0,843 |
884 | C6-бензол | 80,11 | 162,30 | 0,843 |
886 | C6-бензол | 80,49 | 162,30 | 0,843 |
888 | C13-изопарафин | 80,87 | 184,22 | 0,883 |
890 | транс-Децен-7 | 81,24 | 140,20 | 0,874 |
895 | 2,6-Диметилнафталин | 81,38 | 156,30 | 0,812 |
900 | 2,7-Диметилнафталин | 81,50 | 156,30 | 0,812 |
905 | н-Тетрадекан | 81,59 | 198,34 | 0,883 |
910 | 1,3-Диметилнафталин | 82,43 | 156,30 | 0,812 |
940 | 1,2-Диметилнафталин | 82,55 | 156,30 | 0,812 |
950 | н-Пентадекан | 82,57 | 212,34 | 0,883 |
915 | 1,6-Диметилнафталин | 82,59 | 156,30 | 0,812 |
925 | 1,4-Диметилнафталин | 82,86 | 156,30 | 0,812 |
920 | 1,5-Диметилнафталин | 83,01 | 156,30 | 0,812 |
930 | Аценафтилен | 83,26 | 156,30 | 0,801 |
Обозначение ссылочного стандарта АСТМ | Степень соответствия | Обозначение и наименование соответствующего национального стандарта |
АСТМ Д 1319-14 | NEQ | ГОСТ Р 52063-2003 "Нефтепродукты жидкие. Определение группового углеводородного состава методом флуоресцентной индикаторной адсорбции" |
АСТМ Д 1744-13 | - | |
АСТМ Д 4815-15а | - | |
АСТМ Д 5599-15 | NEQ | ГОСТ Р 54282-2010 "Бензин. Определение оксигенатов методом газовой хроматографии с селективным пламенно-ионизационным детектированием по кислороду" |
АСТМ Д 5623-94(2014) | - | |
АСТМ Д 6839-13 | - | |
АСТМ Е 355-96(2014) | - | |
<*> Соответствующий национальный стандарт отсутствует. До его утверждения рекомендуется использовать перевод на русский язык данного стандарта АСТМ. Примечание - В настоящей таблице использовано следующее условное обозначение степени соответствия стандартов: NEQ - неэквивалентные стандарты. | ||