Главная // Актуальные документы // ГОСТ Р (Государственный стандарт)СПРАВКА
Источник публикации
М.: Стандартинформ, 2016
Примечание к документу
Документ
введен в действие с 1 января 2017 года.
Название документа
"ГОСТ Р 56866-2016. Национальный стандарт Российской Федерации. Углеводороды газообразные и газы углеводородные сжиженные. Определение общего содержания серы методом ультрафиолетовой флуоресценции"
(утв. и введен в действие Приказом Росстандарта от 25.02.2016 N 69-ст)
"ГОСТ Р 56866-2016. Национальный стандарт Российской Федерации. Углеводороды газообразные и газы углеводородные сжиженные. Определение общего содержания серы методом ультрафиолетовой флуоресценции"
(утв. и введен в действие Приказом Росстандарта от 25.02.2016 N 69-ст)
Утвержден и введен в действие
Приказом Федерального агентства
по техническому регулированию
и метрологии
от 25 февраля 2016 г. N 69-ст
НАЦИОНАЛЬНЫЙ СТАНДАРТ РОССИЙСКОЙ ФЕДЕРАЦИИ
УГЛЕВОДОРОДЫ ГАЗООБРАЗНЫЕ
И ГАЗЫ УГЛЕВОДОРОДНЫЕ СЖИЖЕННЫЕ
ОПРЕДЕЛЕНИЕ ОБЩЕГО СОДЕРЖАНИЯ СЕРЫ
МЕТОДОМ УЛЬТРАФИОЛЕТОВОЙ ФЛУОРЕСЦЕНЦИИ
Gaseous hydrocarbons and liquefied petroleum
gases. Determination of total volatile sulfur by method
of ultraviolet fluorescence
ГОСТ Р 56866-2016
Дата введения
1 января 2017 года
1 ПОДГОТОВЛЕН Федеральным государственным унитарным предприятием "Всероссийский научно-исследовательский институт стандартизации, материалов и технологий" (ФГУП "ВНИИ СМТ") на основе собственного аутентичного перевода на русский язык стандарта, указанного в
пункте 4
2 ВНЕСЕН Техническим комитетом по стандартизации ТК 52 "Природный и сжиженные газы"
3 УТВЕРЖДЕН И ВВЕДЕН В ДЕЙСТВИЕ Приказом Федерального агентства по техническому регулированию и метрологии от 25 февраля 2016 г. N 69-ст
4 Настоящий стандарт идентичен стандарту АСТМ Д 6667-14 "Стандартный метод определения общей серы в газообразных углеводородах и сжиженных углеводородных газах ультрафиолетовой флуоресценцией" (ASTM D 6667-14 "Standard test method for determination of total volatile sulfur in gaseous hydrocarbons and liquefied petroleum gases by ultraviolet fluorescence", IDT).
Наименование настоящего стандарта изменено относительно наименования указанного стандарта АСТМ для приведения в соответствие с ГОСТ Р 1.5-2012
(подраздел 3.5).
При применении настоящего стандарта рекомендуется использовать вместо ссылочных стандартов соответствующие им национальные стандарты Российской Федерации и межгосударственные стандарты,
сведения о которых приведены в дополнительном приложении ДА
5 ВВЕДЕН ВПЕРВЫЕ
Правила применения настоящего стандарта установлены в ГОСТ Р 1.0-2012
(раздел 8). Информация об изменениях к настоящему стандарту публикуется в ежегодном (по состоянию на 1 января текущего года) информационном указателе "Национальные стандарты", а официальный текст изменений и поправок - в ежемесячном информационном указателе "Национальные стандарты". В случае пересмотра (замены) или отмены настоящего стандарта соответствующее уведомление будет опубликовано в ближайшем выпуске ежемесячного информационного указателя "Национальные стандарты". Соответствующая информация, уведомление и тексты размещаются также в информационной системе общего пользования - на официальном сайте Федерального агентства по техническому регулированию и метрологии в сети Интернет (www.gost.ru)
1.1 Настоящий стандарт устанавливает метод определения общего содержания летучей серы в газообразных углеводородах и сжиженных углеводородных газах. Прецизионность метода была определена для содержания серы в газообразных углеводородах в диапазоне от 1 до 100 мг/кг и в сжиженных углеводородных газах - в диапазоне от 1 до 196 мг/кг
(примечание 1).
Примечание 1 - Оценка суммарного предела количественного определения, информация о стабильности проб и другая информация, полученная по результатам межлабораторных исследований прецизионности метода, приведена в отчетах АСТМ <1>, <2>.
--------------------------------
<1> Подробные данные можно получить в ASTM International Headquarters при запросе отчета RR:D02-1506 в службе поддержки клиентов по электронной почте service@astm.org.
<2> Подробные данные можно получить в ASTM International Headquarters при запросе отчета RR:D02-1784 в службе поддержки клиентов по электронной почте service@astm.org.
1.2 Метод не позволяет определить соединения серы, которые не испаряются в условиях проведения испытания.
1.3 Настоящий метод применим для определения общего содержания серы в сжиженных углеводородных газах при содержании галогенов менее 0,35% масс.
1.4 Значения в единицах системы СИ считают стандартными.
1.5 В настоящем стандарте не предусмотрено рассмотрение всех вопросов обеспечения безопасности, связанных с его использованием. Пользователь стандарта несет ответственность за обеспечение соответствующих мер безопасности и охраны здоровья и определяет целесообразность применения законодательных ограничений перед его использованием. Подробное описание опасного воздействия приведено в
3.1 и
разделах 6 и
7.
В настоящем стандарте использованы нормативные ссылки на следующие стандарты:
2.1 Стандарты АСТМ <3>
--------------------------------
<3> Уточнить ссылки на стандарты АСТМ можно на сайте АСТМ www.astm.org или в службе поддержки клиентов АСТМ: service@astm.org. В информационном томе ежегодного сборника стандартов (Annual Book of ASTM Standards) следует обращаться к сводке стандартов ежегодного сборника стандартов на странице сайта.
АСТМ Д 1070 Стандартный метод определения относительной плотности газообразных топлив (ASTM D 1070, Standard test methods for relative density of gaseous fuels)
АСТМ Д 1265 Стандартная практика отбора проб сжиженных нефтяных газов, ручной метод (ASTM D 1265, Standard practice for sampling liquefied petroleum (LP) gases, manual method)
АСТМ Д 3700 Стандартная практика отбора проб сжиженных нефтяных газов с использованием цилиндра с плавающим поршнем (ASTM D 3700, Standard practice for obtaining LPG samples using a floating piston cylinder)
АСТМ Д 5287 Стандартная практика автоматического отбора проб газообразных топлив (ASTM D 5287, Standard practice for automatic sampling of gaseous fuels)
АСТМ Д 6299 Стандартная практика применения статистических методов контроля качества и контрольных карт для оценки аналитических измерительных систем (ASTM D 6299, Standard practice for applying statistical quality assurance and control charting techniques to evaluate analytical measurement system performance)
АСТМ Ф 307 Стандартная практика отбора проб сжатого газа для анализов (ASTM F 307, Standard practice for sampling pressurized gas for gas analysis)
2.2 Стандарты Ассоциации переработчиков газа (GPA) <4>
--------------------------------
<4> Доступны в Ассоциации переработчиков газа (GPA), 6526 E. 60th St., Tulsa, OK 74145, USA.
ГПА 2166 Получение проб природного газа для анализов газовой хроматографией (GPA 2166, Obtaining natural gas samples for analysis by gas chromatography)
ГПА 2174 Получение проб жидких углеводородов для анализов газовой хроматографией (GPA 2174, Obtaining liquid hydrocarbon samples for analysis by gas chromatography)
3.1 Пробу сжиженного углеводородного газа вводят нагреваемым краном-дозатором, соединенным с нагреваемой расширительной камерой. Затем проба в газообразном состоянии подается в трубку с высокой температурой для сжигания, в которой сера окисляется в насыщенной кислородом атмосфере до диоксида серы (SO
2). Воду, образующуюся при сжигании пробы, удаляют, а полученные газы подвергают воздействию ультрафиолетового излучения. Диоксид серы поглощает энергию ультрафиолетового излучения и переходит в возбужденное состояние. Флуоресценцию, испускаемую возбужденным диоксидом серы (SO
2*) при его возвращении в стабильное состояние регистрируют фотоэлектронным умножителем, результирующий сигнал которого отражает содержание серы в пробе. (Предупреждение - Избыточное ультрафиолетовое облучение может оказывать негативное воздействие на здоровье оператора. Оператор должен быть защищен от воздействия прямого или рассеянного ультрафиолетового излучения, особенно тщательно следует защищать глаза).
4 Назначение и применение
4.1 Наличие серы в сжиженных углеводородных газах, используемых в качестве топлива, приводит к образованию оксидов серы SOx, вызывающих коррозию деталей двигателя и выхлопной системы. Катализаторы некоторых процессов в нефтепереработке и химической очистке могут быть отравлены сернистыми соединениями, присутствующими в исходном сырье. Настоящий метод можно использовать для определения серы в исходном сырье, в товарной продукции, а также для определения соответствия требованиям регламентирующих органов.
5.1 Печь
Электрическая печь, обеспечивающая поддержание температуры (1075 +/- 25) °C, достаточной для пиролиза пробы и окисления серы до SO2.
5.2 Трубка для сжигания
Кварцевая трубка для сжигания, обеспечивающая прямое введение пробы в нагретую окислительную зону печи. Трубка для сжигания должна иметь боковые отводы для введения кислорода и газа-носителя. Зона окисления должна быть достаточно большой (см.
рисунок 1) для обеспечения полного сгорания пробы (см.
11.3). На
рисунке 1 приведена типовая трубка для сжигания. Можно использовать трубки другой формы, не снижающие прецизионность определения.
1 - шаровое соединение 18/9; 2 - капилляр внутренним
диаметром 6 мм и толщиной стенок 1 мм; 3 - внутренний
диаметр должен удерживать септу диаметром 12 мм
Рисунок 1 - Пример типовой кварцевой трубки для сжигания
с прямым вводом пробы
5.3 Контроль потока
Аппарат должен быть оснащен системой контроля потока, обеспечивающей поддержание постоянной скорости подачи кислорода и газа-носителя.
5.4 Осушительная трубка
Аппарат должен быть оснащен устройством для удаления водяного пара, образующегося при сжигании пробы. Для этого применяют мембранную осушительную трубку или осушитель, использующий эффект избирательного капиллярного удаления воды.
5.5 УФ флуоресцентный детектор
Детектор для количественного определения содержания серы, обеспечивающий измерение излучения диоксида серы при флуоресценции под воздействием ультрафиолетового излучения
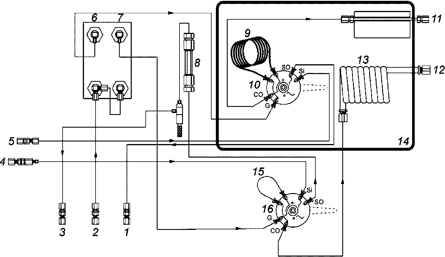
5.6 Система ввода пробы
Система ввода пробы состоит из нагреваемого крана-дозатора для проб в газообразном состоянии и/или крана-дозатора для проб в жидком состоянии и нагреваемой расширительной камеры, соединенной с входом в зону окисления (см.
рисунок 2). Система продувается инертным газом-носителем и должна обеспечивать введение заданного количества анализируемого материала в зону окисления с контролируемой и воспроизводимой скоростью примерно 30 мл/мин. На
рисунке 3 приведен пример такой системы.
1 - кислород для горения; 2 - пиролизная трубка;
3 - петля для ввода аргона/кислорода; 4 - септа;
5 - от системы ввода пробы
Рисунок 2 - Пример установки для определения общей серы
и крана-дозатора для ввода проб в газообразном
или жидком состоянии
1 - выход газа; 2 - вход газа-носителя; 3 - выход сжиженного
углеводородного газа (LPG); 4 - подача LPG; 5 - подача газа;
6 - газ; 7 - LPG; 8 - смотровое окошко; 9 - петлевой дозатор
для газа; 10 - соединения 1/8 дюйма; 11 - подача газа
в детектор; 12 - подача испаренного LPG в детектор;
13 - испарительная камера для LPG; 14 - зона нагревания;
15 - петлевой дозатор для LPG; 16 - соединения 1/16 дюйма
Рисунок 3 - Направление потоков в системе ввода пробы
5.7 Ленточный самописец
Можно использовать аналогичный электронный регистратор данных, интегратор или самопишущий прибор.
6.1 Чистота реактивов
Для испытаний следует использовать реактивы квалификации ч.д.а. Если нет других указаний, предполагается, что все реактивы соответствуют спецификациям Комитета по аналитическим реактивам Американского химического общества <5>. Можно использовать реактивы другой квалификации, если установлено, что их чистота не снижает точность определения.
--------------------------------
<5> Reagent Chemicals, American Chemical Society Specifications, American Chemical Society, Washington, D.C. (Химические реактивы. Спецификация Американского химического общества, Вашингтон, округ Колумбия). Предложения по проверке реактивов, не входящих в списки Американского химического общества, - см. Annular Standards for Laboratory Chemicals, BDH Ltd., Poole, Dorset, U.K. (Чистые образцы для лабораторных химикатов), а также the United States Pharmacopeia and National Formulary, U.S. Pharmacopeial Convention, Inc. (USPC), Rockville, MD (Фармакопея США и национальный фармакологический справочник).
6.2 Инертный газ
Применяют только аргон или гелий высокой степени чистоты не менее 99,998% (для хроматографии или нулевого класса) с содержанием влаги не более 5 мг/кг (Предупреждение - Аргон или гелий может быть сжатым газом под высоким давлением, см.
7.1).
6.3 Кислород
Применяют кислород чистотой не менее 99,75% (для хроматографии или нулевого класса) с содержанием влаги не более 5 мг/кг, осушенный молекулярными ситами (Предупреждение - Кислород значительно ускоряет горение и может быть сжатым газом под высоким давлением, см.
7.1).
6.4 Калибровочные стандарты
Используют имеющиеся в продаже сертифицированные калибровочные стандарты или калибровочные газы, приготовленные с использованием сертифицированных устройств с полупроницаемыми трубками. В
таблице 1 приведены источник серы и растворители, использованные при межлабораторных исследованиях (см.
примечания 2 и
3).
Таблица 1
Типовые стандартные материалы
Источник серы | Растворитель |
Диметилсульфид | н-Бутан Изобутан Пропилен Пропан |
Примечание 2 - Можно использовать другие источники серы и растворители, если прецизионность и точность метода не снижается.
Примечание 3 - Калибровочные стандарты следует периодически заменять и повторно сертифицировать в зависимости от частоты использования и срока хранения. Калибровочные стандарты можно хранить примерно от 6 до 12 мес.
6.5 Образцы контроля качества (QC)
Предпочтительно использовать стабильные и представительные для исследуемых проб образцы одного или нескольких газов или сжиженных углеводородных газов.
7.1 В настоящем методе используют высокие температуры, горючие углеводороды и газы под высокими давлениями. Следует использовать контейнеры из материалов, пригодных для хранения и транспортирования проб углеводородов под высоким давлением. Следует соблюдать повышенные меры безопасности при обращении с горючими материалами рядом с окислительной печью.
8.1 Пробы отбирают по АСТМ Ф 307, АСТМ Д 1265, АСТМ Д 3700, АСТМ Д 5287, ГПА 2174 или ГПА 2166. Испытания проводят по возможности быстро после отбора пробы, чтобы избежать потерь серы или загрязнения в результате взаимодействия или контакта пробы с контейнером.
8.2 Если пробу испытывают не сразу, ее тщательно перемешивают в контейнере перед отбором аликвоты пробы. Использование выделенных или специально обработанных контейнеров для проб может уменьшить перекрестное загрязнение и повысить стабильность пробы.
9 Подготовка оборудования
9.1 Собирают аппарат и проверяют его герметичность в соответствии с инструкцией изготовителя.
9.2 Стандартные условия и правила настройки аппарата приведены в
таблице 2.
Таблица 2
Стандартные условия кондиционирования
Наименование | Значение |
Температура системы ввода пробы, °C | 85 +/- 20 |
Скорость потока газа-носителя, мл/мин | 25 - 30 |
Температура в печи, °C | 1075 +/- 25 |
Скорость подачи кислорода в печь, мл/мин | 375 - 450 |
Скорость введения кислорода, мл/мин | 10 - 30 |
Скорость введения газа-носителя, мл/мин | 130 - 160 |
Объем пробы в газообразном состоянии, мл | 10 - 20 |
Объем пробы в жидком состоянии, мкл | 15 |
9.3 Регулируют чувствительность аппарата, стабильность базовой линии и выполняют процедуры обнуления в соответствии с инструкцией изготовителя.
10 Калибровка и стандартизация
10.1 Выбирают калибровочный диапазон по
таблице 3 с учетом предполагаемого содержания серы в анализируемых пробах, предпочтительно с использованием соединений серы и типа растворителя, представительных для анализируемых проб (см.
примечание 4). В
таблице 3 приведены типовые калибровочные диапазоны, при необходимости можно использовать более узкий калибровочный диапазон, но прецизионность испытаний для более узких калибровочных диапазонов не установлена. Следует убедиться, что используемые калибровочные стандарты берут в вилку содержание серы в анализируемых пробах.
Примечание 4 - Количество используемых стандартов для конкретного диапазона может меняться.
Таблица 3
Типовые калибровочные диапазоны серы и стандартные
концентрации
Содержание серы, мг/кг |
Диапазон I | Диапазон II | Диапазон III |
Холостая проба | Холостая проба | Холостая проба |
5 | 10 | 50 |
10 | 50 | 100 |
- | 100 | 200 |
10.2 Соединяют контейнер с пробой под давлением с краном-дозатором в положении введения пробы.
10.3 Количественное измерение вводимого материала получают путем заполнения дозирующей петли крана-дозатора матрицей анализируемой пробы (см.
таблицу 2 и
примечания 5 и
6).
Примечание 5 - Введение пробы постоянного или аналогичного объема для всех материалов, анализируемых в выбранном рабочем диапазоне, обеспечивает одинаковые условия сжигания и может упростить вычисление результатов.
Примечание 6 - Можно использовать автоматическое введение пробы и устройство для ввода образца.
10.3.1 Промывают дозирующую петлю достаточным объемом образца.
10.3.2 При визуальном обнаружении в пробе LPG пузырьков промывают дозирующую петлю и еще раз заполняют новой порцией пробы.
10.4 Включают аппарат и вводят калибровочный стандарт в соответствии с инструкцией изготовителя.
10.5 Калибруют аппарат, используя один из нижеприведенных методов.
10.5.1 Калибровка по нескольким точкам
10.5.1.1 Если используют аппарат с программой внутренней калибровки, три раза анализируют калибровочные стандарты и холостые пробы по
10.2 -
10.4.
10.5.1.2 Калибруют аппарат в соответствии с инструкцией изготовителя в зависимости от содержания серы (см.
раздел 14). Полученный график обычно представляет собой прямую линию. Работу системы при проведении испытаний следует проверять не реже одного раза в день (см.
примечание 7).
Примечание 7 - Можно использовать другие методы построения калибровочных кривых, если при этом не снижается точность и прецизионность определения. Частоту калибровки можно определить с помощью контрольных карт или других методов обеспечения качества/контроля качества.
10.5.2 Калибровка по одной точке
10.5.2.1 Используют калибровочный стандарт по
6.4 с содержанием серы, близким к содержанию серы в анализируемых пробах (отличающимся не более чем на +/- 25%).
10.5.2.2 Устанавливают нулевую линию прибора (пустой прибор) в соответствии с инструкциями изготовителя путем проведения процедуры анализа без введения калибровочного стандарта.
10.5.2.3 Проводят измерение калибровочного стандарта не менее трех раз.
10.5.2.4 Вычисляют калибровочный коэффициент
K в единицах счета на нанограмм серы (единицы счета/нг S) в соответствии с
12.2.
11.1 Образец для испытаний получают по процедуре
раздела 8. Обычно содержание серы в пробе должно быть меньше максимального и больше минимального значения для калибровочных стандартов, использованных при калибровке.
11.2 Регистрируют отклик детектора для испытуемой пробы, используя одну из процедур по
10.2 -
10.4.
11.3 Осматривают трубку для сжигания и другие детали системы прохождения потока для подтверждения полного окисления пробы.
11.3.1 При образовании твердых углеродистых отложений или копоти уменьшают объем пробы и/или скорость введения пробы в печь.
11.4 Очистка и повторная калибровка
Очищают покрытые сажей и копотью детали в соответствии с инструкцией изготовителя. После очистки или регулировки собирают прибор и проверяют его на герметичность. Перед проведением повторных испытаний проводят калибровку прибора.
11.5 За результат испытания пробы принимают среднеарифметическое значение трех значений отклика детектора.
11.6 Значения плотности, необходимые для вычислений, можно определить по АСТМ Д 1070 или эквивалентным методом при температуре испытаний проб (см.
примечание 8).
Примечание 8 - Плотность проб известного состава можно определять другим методом, не снижающим точность и прецизионность измерений.
12.1 При использовании прибора с программой внутренней калибровки вычисляют содержание серы в пробе, мг/кг, по формуле

, (1)
где G - содержание серы в пробе по показаниям прибора, мг/кг;
d - плотность стандартной смеси, г/мл;
s - плотность пробы, г/мл.
12.2 При калибровке прибора по одной точке калибровочный коэффициент (см.
10.5.2.4) вычисляют по формулам:

(2)
или

, (3)
где Ac - интегрированное показание детектора для калибровочного стандарта, единицы счета;
Mc - масса введенного калибровочного стандарта, измеренная или вычисленная по введенному объему и плотности, мг;
Scg - содержание серы в калибровочном стандарте, мл/кг;
Vc - объем введенного калибровочного стандарта, мкл;
Scv - содержание серы в калибровочном стандарте, мг/л.
Массу введенного калибровочного стандарта Mc, мг, вычисляют по следующей формуле
Mc = VDc, (4)
где V - объем введенного калибровочного стандарта, мкл;
Dc - плотность калибровочного стандарта при температуре измерения, г/мл.
12.2.1 Вычисляют среднеарифметическое значение калибровочного коэффициента K и проверяют соответствие среднеквадратического отклонения допускаемым предельным значениям. Калибровочный коэффициент следует вычислять ежедневно.
12.2.2 Вычисляют содержание серы, мг/кг, в пробе по формулам:

(5)
или

, (6)
где A - интегрированное показание датчика для пробы, единицы счета;
M - масса введенной пробы, измеренная или вычисленная по введенному объему и плотности, мг;
K - калибровочный коэффициент, единицы счета на нанограмм серы;
Fg - гравиметрический коэффициент разбавления, масса пробы/масса пробы плюс масса растворителя, г/г;
Fv - объемный коэффициент разбавления, масса пробы/объем пробы плюс объем растворителя, г/мл.
Массу введенной пробы M, мг, вычисляют по следующей формуле
M = VD, (7)
где V - объем введенной пробы, мкл;
D - плотность пробы при температуре испытания, г/мл.
13.1 Для результатов испытаний, равных или более 10 мг/кг, в протоколе указывают содержание серы с точностью до 1 мг/кг. Для результатов испытаний менее 10 мг/кг в протоколе испытаний указывают содержание серы с точностью до 0,1 мг/кг. В протоколе испытаний также приводят обозначение настоящего стандарта.
14.1 После каждой калибровки или не реже одного раза в день при проведении испытаний (см.
11.5) проверяют рабочие характеристики прибора или процедуры испытаний, анализируя образцы QC (см.
6.5).
14.1.1 Установленные в лаборатории протоколы QC/QA можно использовать для подтверждения надежности результатов испытаний.
14.1.2 При отсутствии таких протоколов можно использовать систему контроля качества, приведенную в
приложении X1.
15 Прецизионность и смещение
15.1 Прецизионность и смещение установлены по результатам двух межлабораторных исследований [см.
сноски 1) и
2)].
15.2 Повторяемость
Расхождение результатов двух испытаний, полученных одним и тем же оператором на одной и той же аппаратуре при постоянных рабочих условиях на идентичном испытуемом материале в течение длительного времени при нормальном и правильном выполнении метода, может превышать следующее значение только в одном случае из двадцати:
для газообразных углеводородов с содержанием серы в диапазоне от 1 до 100 мг/кг
r = 0,1152X; (8)
для LPG с содержанием серы в диапазоне от 1 мг/кг до 196 мг/кг
r = 0,2707X0,7, (9)
где X - среднеарифметическое значение результатов двух испытаний.
15.3 Воспроизводимость
Расхождение результатов двух единичных и независимых испытаний, полученных разными операторами, работающими в разных лабораториях, на идентичном испытуемом материале в течение длительного времени при нормальном и правильном выполнении метода, может превышать следующее значение только в одном случае из двадцати:
для газообразных углеводородов с содержанием серы в диапазоне от 1 до 100 мг/кг
R = 0,3130X; (10)
для LPG с содержанием серы в диапазоне от 1 до 196 мг/кг
R = 2,3205X0,7, (11)
где X - среднеарифметическое значение результатов двух испытаний.
15.4 Смещение
Смещение для настоящего метода было изучено в 2000 г. при межлабораторных исследованиях сертифицированных калибровочных стандартов, приготовленных гравиметрически, и образцов материалов и приведено в исследовательском отчете [см.
сноску 1)]. В отчете указано, что полученные результаты находятся в пределах повторяемости настоящего метода испытаний.
15.5 Примеры вышеуказанных оценок прецизионности для выбранных абсолютных значений
X приведены в
таблице 4.
Таблица 4
Повторяемость
r и воспроизводимость
R
Содержание серы, мг/кг | Повторяемость r | Воспроизводимость R |
Газообразные углеводороды | LPG | Газообразные углеводороды | LPG |
1 | 0,1 | 0,3 | 0,3 | 2,3 |
5 | 0,6 | 0,8 | 1,6 | 7,2 |
25 | 2,9 | 2,6 | 7,8 | 22,0 |
50 | 5,8 | 4,2 | 16,0 | 36,0 |
100 | 12,0 | 6,8 | 31,0 | 58,0 |
150 | N/A | 9,0 | N/A | 77,0 |
196 | N/A | 11,0 | N/A | 93,0 |
(справочное)
МОНИТОРИНГ КОНТРОЛЯ КАЧЕСТВА
X1.1 Подтверждают рабочие характеристики прибора или процедуры испытаний проведением анализа образцов QC.
X1.2 Перед проведением мониторинга процедуры измерений пользователю данного метода испытаний необходимо определить среднеарифметическое значение и контрольные пределы образца QC (см. АСТМ Д 6299 и МНЛ 7 <6>).
--------------------------------
<6> МНЛ 7 Руководство по представлению данных анализа контрольных карт (MNL 7, Manual on presentation of data control chart analysis, 6th Ed., Section 3, ASTM International).
X1.3 Регистрируют результаты испытаний образца QC и анализируют, используя контрольные карты или другие статистически эквивалентные методы, для определения статуса статистического контроля процедуры испытаний (см. АСТМ Д 6299 и МНЛ 7). Исследуют статистические выбросы для определения основной причины несоответствия. По результатам данных исследований может потребоваться повторная калибровка аппарата.
Примечание X1.1 - При отсутствии установленных требований в методе испытаний частоту анализа образца QC можно определить по
X1.4.
X1.4 Частота анализа образца QC зависит от значимости измеряемых параметров, требуемой стабильности процесса испытаний и требований заказчика. Обычно образец QC анализируют каждый день при испытании обычных проб. Частоту анализа образца QC следует увеличить, если ежедневно испытывают большое количество обычных проб. Если при испытаниях получают статистически приемлемые результаты, то частоту анализа образца QC можно снизить. Прецизионность испытаний образцов QC следует периодически проверять по АСТМ Д 6299 и МНЛ 7.
X1.5 По возможности регулярно используемый образец QC должен быть представительным для обычных проб. Следует иметь достаточный запас однородного и устойчивого при хранении материала для приготовления образцов QC в течение предполагаемого периода использования.
X1.6 Подробная информация о методах контроля качества и использовании контрольных карт приведена в АСТМ Д 6299 и МНЛ 7.
(справочное)
РЕКОМЕНДАЦИИ ПО ЭКСПЛУАТАЦИИ И ВОПРОСАМ БЕЗОПАСНОСТИ
X2.1 Перед вводом пробы готовят прибор для испытаний в соответствии с инструкцией изготовителя.
X2.2 Краны в системе ввода пробы обычно остаются в положении ввода, за исключением периода проведения анализа.
X2.3 После заполнения и стабилизации крана-дозатора вводят пробу, быстро переключают кран-дозатор в положение ввода.
X2.4 Кран-дозатор оставляют в положении ввода до завершения анализа (прибор возвращается к нулевой линии и интегрирование заканчивается).
X2.5 Время, необходимое для получения отклика детектора, зависит от типа используемой трубки для сжигания, газа-носителя, объема пробы и/или содержания серы. Обычно требуется от 20 с до 1 мин (см.
рисунок X2.1).
Рисунок X2.1 - Типичный профиль ввода пробы
X2.6 Потоки газа-носителя в системе ввода пробы можно использовать для управления процессами горения пробы и характеристиками детектирования. Однако высокая скорость потока газа-носителя (выше 30 мл/мин) может привести к неполному сгоранию пробы (сажеобразованию).
X2.7 Позволяют сигналу прибора вернуться к нулевой линии перед вводом следующей пробы.
X2.8 Используют пробоотборник, содержащий сжиженные углеводородные газы, под давлением (обычно более 200 фунтов на квадратный дюйм), обеспечивающем подачу пробы в систему ввода без образования пузырьков в подводящей системе и смотровом окошке.
X2.9 Используют стандартные условия для газового потока (см.
раздел 9 настоящего стандарта).
X2.10 Перед устройством ввода пробы следует использовать фильтрующее устройство, позволяющее значительно продлить срок службы крана-дозатора и предотвратить засорение подводящей системы.
X2.11 Точность испытаний при низком содержании серы можно повысить, используя сплавы, не содержащие железа или с его низким содержанием, и/или инертные материалы.
X2.12 Использование ленточного самописца или программного обеспечения с отображением пиков на дисплее обеспечивает настройку и нормальную эксплуатацию системы ввода пробы.
X2.13 Качественные результаты получают, если калибровочные материалы совпадают с матрицей анализируемых проб. Введение растворителей (при температуре окружающей среды) в качестве калибровочных стандартов или проб недопустимо и может вызвать очень сильное закоксовывание деталей аппарата, что приведет к недостоверным результатам анализа.
(справочное)
ОБЕСПЕЧЕНИЕ БЕЗОПАСНОСТИ
X3.1 Следует регулярно проверять герметичность и качество линии ввода пробы и фитингов, используемых для соединения контейнера с системой ввода пробы для обнаружения утечек, обусловленных частым изгибом, старением или использованием.
X3.2 Следует регулярно проверять герметичность и правильность работы фитингов и других устройств для перемещения пробы и удаления газов.
X3.3 Газообразные отходы отводят из системы ввода пробы таким образом, чтобы они не контактировали с испытательным оборудованием и потенциальными источниками воспламенения.
X3.4 Давление, обеспечивающее сохранность содержимого пробоотборников и подачу образца, как правило, не более 750 psig. Не следует превышать общее номинальное давление (900 psig) в системе ввода или подачи пробы.
X3.5 Следует использовать слабую или среднюю скорость продувки при заполнении пробоотборной петли пробой.
X3.6 После заполнения пробоотборной петли пробой давление должно стабилизироваться. Следует использовать защищенное устройство для контроля пузырьков газа на линии, выводящей их из зоны источников воспламенения, и обеспечивающее визуальное подтверждение при вводе проб постоянного объема.
X3.7 После завершения отбора пробы рекомендуется контролируемое удаление газов или сброс давления в линии подачи пробы.
X3.8 После завершения анализа, когда краны-дозаторы находятся в положении ввода, для удаления остатков пробы можно использовать подачу инертного газа в систему ввода пробы.
(справочное)
СВЕДЕНИЯ О СООТВЕТСТВИИ ССЫЛОЧНЫХ СТАНДАРТОВ НАЦИОНАЛЬНЫМ
СТАНДАРТАМ РОССИЙСКОЙ ФЕДЕРАЦИИ (И ДЕЙСТВУЮЩИМ В ЭТОМ
КАЧЕСТВЕ МЕЖГОСУДАРСТВЕННЫМ СТАНДАРТАМ)
Таблица ДА.1
Обозначение ссылочного стандарта | Степень соответствия | Обозначение и наименование соответствующего национального стандарта |
АСТМ Д 1070-03 (2010) | - | <*> |
АСТМ Д 1265-11 | - | <*> |
АСТМ Д 3700-14 | - | <*> |
АСТМ Д 5287-08 | - | <*> |
АСТМ Д 6299-13 | - | <*> |
АСТМ Ф 307-13 | - | <*> |
ГПА 2166 | - | <*> |
ГПА 2174 | - | <*> |
<*> Соответствующий национальный стандарт отсутствует. До его утверждения рекомендуется использовать перевод на русский язык данного стандарта. |