Главная // Актуальные документы // ГОСТ Р (Государственный стандарт)СПРАВКА
Источник публикации
М.: Стандартинформ, 2016
Примечание к документу
Документ
введен в действие с 1 января 2017 года.
Название документа
"ГОСТ Р 56851-2016. Национальный стандарт Российской Федерации. Газ природный сжиженный. Метод расчета термодинамических свойств"
(утв. и введен в действие Приказом Росстандарта от 18.01.2016 N 7-ст)
"ГОСТ Р 56851-2016. Национальный стандарт Российской Федерации. Газ природный сжиженный. Метод расчета термодинамических свойств"
(утв. и введен в действие Приказом Росстандарта от 18.01.2016 N 7-ст)
Утвержден и введен в действие
по техническому регулированию
и метрологии
от 18 января 2016 г. N 7-ст
НАЦИОНАЛЬНЫЙ СТАНДАРТ РОССИЙСКОЙ ФЕДЕРАЦИИ
ГАЗ ПРИРОДНЫЙ СЖИЖЕННЫЙ
МЕТОД РАСЧЕТА ТЕРМОДИНАМИЧЕСКИХ СВОЙСТВ
Liquefied natural gas. Method for calculation
of thermodynamic properties
ГОСТ Р 56851-2016
Дата введения
1 января 2017 года
1 РАЗРАБОТАН Обществом с ограниченной ответственностью "Научно-исследовательский институт природных газов и газовых технологий - Газпром ВНИИГАЗ"
2 ВНЕСЕН Техническим комитетом по стандартизации ТК 52 "Природный и сжиженные газы"
3 УТВЕРЖДЕН И ВВЕДЕН В ДЕЙСТВИЕ
Приказом Федерального агентства по техническому регулированию и метрологии от 18 января 2016 г. N 7-ст
4 ВВЕДЕН ВПЕРВЫЕ
Правила применения настоящего стандарта установлены в ГОСТ Р 1.0-2012
(раздел 8). Информация об изменениях к настоящему стандарту публикуется в ежегодном (по состоянию на 1 января текущего года) информационном указателе "Национальные стандарты", а официальный текст изменений и поправок - в ежемесячном информационном указателе "Национальные стандарты". В случае пересмотра (замены) или отмены настоящего стандарта соответствующее уведомление будет опубликовано в ближайшем выпуске ежемесячного информационного указателя "Национальные стандарты". Соответствующая информация, уведомление и тексты размещаются также в информационной системе общего пользования - на официальном сайте Федерального агентства по техническому регулированию и метрологии в сети Интернет (www.gost.ru)
1.1 Настоящий стандарт устанавливает метод расчета термодинамических свойств (плотность, коэффициент сжимаемости, показатель адиабаты, скорость распространения звука) сжиженного природного газа по измеренным значениям давления, температуры и молярных долей компонентов.
1.2 Настоящий стандарт применяют для расчета термодинамических свойств сжиженного природного газа при давлениях до 5 МПа включительно и температурах от 100 до 140 К.
1.3 Метод и алгоритм расчета термодинамических свойств, приведенные в настоящем стандарте, могут быть использованы при разработке программного обеспечения вычислителей расхода сжиженного природного газа.
В настоящем стандарте использованы нормативные ссылки на следующие стандарты:
ГОСТ 8.417 Государственная система обеспечения единства измерений. Единицы величин
ГОСТ 31371.1 Газ природный. Определение состава методом газовой хроматографии с оценкой неопределенности. Часть 1. Руководство по проведению анализа
ГОСТ 31371.2 Газ природный. Определение состава методом газовой хроматографии с оценкой неопределенности. Часть 2. Характеристики измерительной системы и статистические оценки данных
ГОСТ 31371.3 Газ природный. Определение состава методом газовой хроматографии с оценкой неопределенности. Часть 3. Определение водорода, гелия, кислорода, азота, диоксида углерода и углеводородов до C
8 с использованием двух насадочных колонок
ГОСТ 31371.4 Газ природный. Определение состава методом газовой хроматографии с оценкой неопределенности. Часть 4. Определение азота, диоксида углерода и углеводородов C
1 - C
5 и C
6+ в лаборатории и с помощью встроенной измерительной системы с использованием двух колонок
ГОСТ 31371.5 Газ природный. Определение состава методом газовой хроматографии с оценкой неопределенности. Часть 5. Определение азота, диоксида углерода и углеводородов C
1 - C
5 и C
6+ в лаборатории и при непрерывном контроле с использованием трех колонок
ГОСТ 31371.6 Газ природный. Определение состава методом газовой хроматографии с оценкой неопределенности. Часть 6. Определение водорода, гелия, кислорода, азота, диоксида углерода и углеводородов C
1 - C
8 с использованием трех капиллярных колонок
ГОСТ 31371.7 Газ природный. Определение состава методом газовой хроматографии с оценкой неопределенности. Часть 7. Методика выполнения измерений молярной доли компонентов
ГОСТ Р 55892-2013 Объекты малотоннажного производства и потребления сжиженного природного газа. Общие технические требования
Примечание - При пользовании настоящим стандартом целесообразно проверить действие ссылочных стандартов в информационной системе общего пользования - на официальном сайте Федерального агентства по техническому регулированию и метрологии в сети Интернет или по ежегодному информационному указателю "Национальные стандарты", который опубликован по состоянию на 1 января текущего года, и по выпускам ежемесячного информационного указателя "Национальные стандарты" за текущий год. Если заменен ссылочный стандарт, на который дана недатированная ссылка, то рекомендуется использовать действующую версию этого стандарта с учетом всех внесенных в данную версию изменений. Если заменен ссылочный стандарт, на который дана датированная ссылка, то рекомендуется использовать версию этого стандарта с указанным выше годом утверждения (принятия). Если после утверждения настоящего стандарта в ссылочный стандарт, на который дана датированная ссылка, внесено изменение, затрагивающее положение, на которое дана ссылка, то это положение рекомендуется применять без учета данного изменения. Если ссылочный стандарт отменен без замены, то положение, в котором дана ссылка на него, рекомендуется применять в части, не затрагивающей эту ссылку.
3 Термины, определения и обозначения
3.1 Термины и определения
В настоящем стандарте применены термины по
ГОСТ Р 53521 и
ГОСТ Р 55892, а также следующие термины с соответствующими определениями:
3.1.1 идеально-газовое состояние: Условное состояние газа или смеси газов, которое характеризуется отсутствием взаимодействия молекул газа, а сами молекулы не имеют собственного объема.
3.1.2
сжиженный природный газ; СПГ: Природный газ, сжиженный после переработки с целью хранения или транспортирования. |
3.1.3
регазификация (сжиженного природного газа): Перевод сжиженного природного газа в газообразное состояние путем его нагревания и испарения. |
3.1.4 показатель адиабаты: Термодинамическое свойство СПГ, характеризующее процесс, происходящий без теплообмена с окружающей средой.
3.1.5 скорость распространения звука (скорость звука): Термодинамическое свойство СПГ, характеризующее скорость распространения упругих волн в СПГ.
3.2 Обозначения
Основные условные обозначения физических величин, принятые в стандарте, приведены в
таблице 1. Обозначения единиц величин приведены в соответствии с требованиями
ГОСТ 8.417.
Таблица 1
Обозначения физических величин
Условные обозначения | Наименование величины | Обозначение единицы величины |
R | Универсальная газовая постоянная, R = 8,314472 [1] | кДж/(кмоль·К) |
T | Термодинамическая температура | К |
p | Абсолютное давление | МПа |
u | Скорость звука | м/с |
x | Молярная доля компонента СПГ | 1 |
z | Коэффициент сжимаемости,  | 1 |
k | Показатель адиабаты | 1 |
| Плотность | кг/м3 |
| Молярная плотность | кмоль/м3 |
| Относительная погрешность (далее - погрешность) | % |
В стандарте также используются следующие символы и нижние индексы для обозначения:
{} - множества, например молярных долей компонентов СПГ {xi}, молярные массы компонентов СПГ {Mi} и т.п.;
i, j - физических величин для i, j-го компонента СПГ;
кр - физической величины в критической точке.
4 Метод расчета термодинамических свойств сжиженного природного газа
Метод расчета термодинамических свойств СПГ основан на применении расширенного принципа соответственных состояний к уравнению состояния метана
[2] как основного компонента СПГ. Методология применения этого принципа кратко приведена в
А.1 -
А.4 (приложение А).
Примечание - Для расчета плотности СПГ при температуре не более 115 К и абсолютном давлении до 0,15 МПа включительно, кроме приведенного в настоящем разделе метода расчета термодинамических свойств, допускается применять модифицированный метод Клозека-Маккинли
[3].
4.1 Метод расчета плотности и коэффициента сжимаемости
4.1.1 Плотность СПГ рассчитывают по формуле

, (1)
где M - молярная масса СПГ, кг/кмоль;

- псевдокритическая молярная плотность СПГ (см.
формулу (9));

- приведенная плотность.
Молярную массу СПГ рассчитывают по формуле

, (2)
где
Mi - молярная масса
i-го компонента СПГ, значения которой для каждого компонента приведены в
таблицах А.1 и
А.6 (приложение А);
N - число компонентов СПГ.
4.1.2 Приведенную плотность

при измеренных (заданных) значениях давления, температуры и молярных долей компонентов СПГ определяют из решения следующего уравнения

, (3)
где

- приведенное давление;

- приведенная температура;
A0 - безразмерный комплекс (см.
4.1.2.2);
zпк - псевдокритический коэффициент сжимаемости.
4.1.2.1 Приведенные значения давления

, плотности

и температуры

, а также псевдокритический коэффициент сжимаемости
zпк рассчитывают по формулам:

, (4)

, (5)

, (6)

, (7)
где pпк - псевдокритическое давление СПГ;

- псевдокритическая молярная плотность СПГ;
Tпк - псевдокритическая температура СПГ;

- ацентрический фактор Питцера СПГ.
Величины псевдокритических значений давления, молярной плотности и температуры СПГ, а также значение ацентрического фактора Питцера СПГ вычисляют по формулам:

, (8)

(9)

, (10)

, (11)
где {Mi} и {Mj} - молярная масса компонентов СПГ;

и

- критическая плотность компонентов СПГ;
{Tкрi} и {Tкрj} - критическая температура компонентов СПГ;

- фактор Питцера компонентов СПГ;

и

- параметры бинарного взаимодействия;
N - число компонентов СПГ.
Значения молярной массы, критических значений плотности и температуры компонентов СПГ, а также значения фактора Питцера компонентов СПГ приведены в
таблице А.1 (приложение А), а значения параметров бинарного взаимодействия - в
таблице А.2 (приложение А).
4.1.2.2 Безразмерный комплекс
A0 рассчитывают по формуле

, (12)
где {
bn} - коэффициенты, значения которых приведены в
таблице А.3 (приложение А);

, {
Xn} - функции приведенных значений плотности

и температуры

.
Функции приведенных значений плотности и температуры

и {
Xn} рассчитывают по формулам

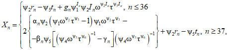
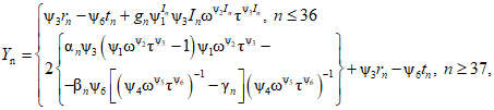
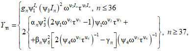
(13)

(14)
где {
gn},

,

,

,

, {
rn}, {
tn}, {
In} - коэффициенты и показатели степеней, значения которых приведены в
таблице А.3 (приложение А);

- параметры, которые рассчитывают по формуле

,
i = 1, 2, ..., 6, (15)
где

, {
aji} - коэффициенты, значения которых приведены в
таблице А.4 (приложение А);
N - число компонентов СПГ.
4.1.3 Решение
уравнения (3) осуществляют эффективными численными методами, используя заданные значения температуры, давления и молярных долей {
xi} СПГ (см.
5.2.4).
4.1.4 Коэффициент сжимаемости СПГ рассчитывают по формуле
где
A0 - безразмерный комплекс (см.
4.1.2.2).
Примечание - Безразмерный комплекс
A0 в
формуле (16) рассчитывают при заданных значениях (
T, {
xi}) и найденном в результате решения
уравнения (3) значении приведенной плотности

.
4.2 Метод расчета показателя адиабаты и скорости звука
4.2.1 Показатель адиабаты и скорость звука рассчитывают по формулам

, (17)

, (18)
где
A1,
A2 и
A3 - безразмерные комплексы (см.
4.2.2);
M - молярная масса СПГ, кг/кмоль (см.
4.1.1);
| | ИС МЕГАНОРМ: примечание. В официальном тексте документа, видимо, допущена опечатка: имеется в виду пункт 4.2.2, а не 4.2.3. | |
cp0r - безразмерная изобарная теплоемкость СПГ в идеально-газовом состоянии (см.
4.2.3).
4.2.2 Безразмерные комплексы
A1,
A2 и
A3 рассчитывают по формулам:

, (19)

, (20)

. (21)
Коэффициенты {
bn}, функции

и {
Xn}, входящие в
формулы (19) -
(21), те же самые, которые входят в формулы расчета безразмерного комплекса A
0 (см.
4.1.2.2). Остальные функции (

,

, {
Yn},

) от приведенных значений плотности

и температуры

вычисляют по формулам:

(22)

(23)

(24)

(25)
Коэффициенты и показатели степеней ({
gn},

,

,

,

, {
rn}, {
tn}, {
In}), а также параметры

, входящие в
формулы (22) -
(25), те же самые, которые входят в формулы расчета безразмерного комплекса A
0 (см.
4.1.2.2).
Безразмерную изобарную теплоемкость СПГ в идеально-газовом состоянии cp0r рассчитывают по формуле

, (26)
где {cp0ri} - безразмерные изобарные теплоемкости компонентов СПГ в идеально-газовом состоянии;
N - число компонентов СПГ.
Безразмерные изобарные теплоемкости компонентов СПГ {cp0ri} рассчитывают по формуле

, (27)
где {bni} - коэффициенты уравнения для i-го компонента СПГ;
Tкрi - критическая температура для
i-го компонента СПГ, которая приведена в
таблице А.1 (приложение А).
5 Алгоритм расчета термодинамических свойств сжиженного природного газа
5.1.1 Исходными данными для расчета термодинамических свойств СПГ являются:
- молярные доли компонентов СПГ {xi};
- абсолютное давление СПГ;
- температура СПГ.
5.1.2 Молярные доли компонентов СПГ (после регазификации) определяют хроматографическим анализом по ГОСТ 31371.1 - ГОСТ 31371.7. Измерения молярных долей компонентов могут выполняться как потоковыми, так и лабораторными хроматографами.
Примечание - При расчете термодинамических свойств определенные хроматографическим анализом значения молярных долей компонентов СПГ используют в долях единицы.
5.1.3 Избыточное давление СПГ измеряют с применением соответствующих средств измерений. Для расчета абсолютного давления применяют следующую формулу
p = pизб + pатм, (28)
где pизб - избыточное давление СПГ;
pатм - атмосферное давление.
5.1.4 Температуру СПГ измеряют с применением соответствующих средств измерений, как правило, в градусах Цельсия. Для перевода измеренной температуры t, °C, в температуру T, К, применяют следующую формулу
T = t + 273,15. (29)
5.2.1 Рассчитывают псевдокритические параметры (
zпк,
pпк,

,
Tпк) и ацентрический фактор Питцера СПГ

по
формулам (7) -
(11).
5.2.4 Расчет приведенной плотности

осуществляется в результате решения
уравнения (3). Значение начального приближения приведенной плотности

равно 3.
Окончательное значение приведенной плотности

определяется по методу Ньютона в следующем итерационном процессе:
а) приведенную плотность

на
k-м итерационном шаге определяют из выражений:

(30)
где безразмерные комплексы

и

рассчитывают по
формулам (12) и
(19) при плотности на итерационном шаге (
k - 1), т.е. при

;
б) условие завершения итерационного процесса

. (31)
Расчет показателя адиабаты и скорости звука выполняют по
формулам (17) и
(18) при заданных

и ({
xi}) и найденном значении

.
Блок-схема и примеры расчета термодинамических свойств СПГ по представленному в стандарте методу приведены, соответственно, на
рисунке 1 и в
приложении Б.
Рисунок 1 - Блок-схема расчета термодинамических свойств СПГ
6 Диапазоны применимости метода расчета термодинамических свойств сжиженного природного газа и его погрешности
6.1 Метод, приведенный в настоящем стандарте, предназначен для расчета термодинамических свойств СПГ в следующих диапазонах параметров:
- по температуре - от 100 до 140 К включительно;
- по давлению - от 0,1 до 5,0 МПа включительно.
При этом молярные доли компонентов СПГ не должны выходить за диапазоны, которые приведены в
таблице 2.
Таблица 2
Компоненты СПГ и диапазоны молярных долей компонентов
Компонент | Диапазоны молярных долей |
Метан | |
Этан | |
Пропан | |
Бутаны в сумме | |
Пентаны + высшие | |
Азот + кислород | |
Диоксид углерода | |
Примечания 1 Молярные доли остальных компонентов не превышают суммарно 0,001. 2 Для исключения возникновения дополнительной погрешности расчета термодинамических свойств необходимо молярную массу смеси рассчитывать по формуле (2) с учетом всех компонентов, молярная доля которых не равна нулю (молярные массы кислорода, н-гексана, н-гептана и н-октана приведены в таблице А.6 приложения А). |
6.2 Погрешности метода расчета термодинамических свойств СПГ с диапазонами молярных долей компонентов, которые представлены в
таблице 2, и во всем диапазоне температур и давлений, приведенных в
6.1, с доверительной вероятностью 95% не превышают:
- для плотности

- <= 0,3%;
- для коэффициента сжимаемости

- <= 0,3%;
- для скорости звука

- <= 2,1%;
- для показателя адиабаты

- <= 4,5%.
Приведенные значения погрешностей расчета термодинамических свойств получены в результате сравнения рассчитанных по представленному в стандарте методу значений плотности и скорости звука с данными по плотности и скорости звука для ряда смесей типа СПГ, рассчитанными по уравнению состояния GERG-2008
[4] в диапазоне температур от 100 до 140 К при давлениях до 5 МПа (включая кривую кипения).
6.3 Погрешность расчета плотности

, коэффициента сжимаемости

, скорости звука

и показателя адиабаты

с учетом погрешности измерения давления, температуры и молярных долей компонентов СПГ (исходных данных для расчета) вычисляют по следующим формулам:

, (32)

, (33)

, (34)

, (35)
где

,

,

и

- погрешности метода расчета плотности, коэффициента сжимаемости, скорости звука и показателя адиабаты соответственно, значения которых приведены в
6.2;

,

,

и

- погрешности расчета плотности, коэффициента сжимаемости, скорости звука и показателя адиабаты соответственно, которые появляются дополнительно в связи с погрешностью измерения давления, температуры и молярных долей компонентов СПГ.
Погрешности

,

,

и

вычисляют по следующим формулам:

, (36)

, (37)

, (38)

, (39)
где N - число компонентов СПГ;
qk - условное обозначение k-го параметра применяемых для расчета исходных данных, т.е. измеренные значения давления, температуры и молярных долей компонентов СПГ;

,
z,
u и
k - соответственно, плотность, коэффициент сжимаемости, скорость звука и показатель адиабаты, значения которых рассчитывают при измеренных значениях давления, температуры и молярных долей компонентов СПГ;

,

,

,

- соответственно, плотность, коэффициент сжимаемости, скорость звука и показатель адиабаты, алгоритм расчета которых приведен в
6.4;

,

,

,

- соответственно, плотность, коэффициент сжимаемости, скорость звука и показатель адиабаты, алгоритм расчета которых приведен в
6.4.
6.4 Для упрощения алгоритм расчета значений коэффициента сжимаемости (

и

) приведен для бинарной смеси с измеренными молярными долями (
x1и и
x2и), а также при измеренных значениях давления (
pи) и температуры (
Tи). Расчет аналогичных значений плотности (

и

), скорости звука (

и

) и показателя адиабаты (

и

) осуществляют так же, как и для коэффициента сжимаемости

и

.
В случае бинарной смеси
формула (37) приобретает следующий вид:

, (40)
где z - коэффициент сжимаемости, значение которого рассчитано при измеренных значениях pи, Tи, x1и и x2и;

- коэффициент сжимаемости, значения которого рассчитывают:
- для k = 1 при pи+, Tи, x1и и x2и;
- для k = 2 при pи, Tи+, x1и и x2и;
- для k = 3 при pи, Tи, x1и+ и x2и;
- для k = 4 при pи, Tи, x1и и x2и+;

- коэффициент сжимаемости, значения которого рассчитывают:
- для k = 1 при pи-, Tи, x1и и x2и;
- для k = 2 при pи, Tи-, x1и и x2и;
- для k = 3 при pи, Tи, x1и- и x2и;
- для k = 4 при pи, Tи, x1и и x2и-.
При этом значения давления, температуры и молярных долей компонентов с нижними индексами, включающими плюс и минус, рассчитывают по формулам:

, (41)

, (42)
| | ИС МЕГАНОРМ: примечание. Формула дана в соответствии с официальным текстом документа. | |

, (43)

, (44)

, (45)

, (46)

, (47)

, (48)
где

,

,

и

, - соответственно, погрешности измерения
pи,
Tи,
x1и и
x2и, численные значения которых определяют в соответствии с применяемыми методиками или средствами их измерений.
Соотношения между приведенными, абсолютными и относительными погрешностями измерений давления, температуры и молярных долей компонентов СПГ приведены в
приложении В.
(обязательное)
ХАРАКТЕРИСТИЧЕСКИЕ ПАРАМЕТРЫ КОМПОНЕНТОВ СЖИЖЕННОГО
ПРИРОДНОГО ГАЗА, КОЭФФИЦИЕНТЫ И ПАРАМЕТРЫ МЕТОДА РАСЧЕТА
ТЕРМОДИНАМИЧЕСКИХ СВОЙСТВ СЖИЖЕННОГО ПРИРОДНОГО ГАЗА
А.1 Метод расчета термодинамических свойств СПГ основан на применении расширенного принципа соответственных состояний к уравнению состояния метана
[2], коэффициенты и показатели степеней которого приведены в
таблице А.3 для безразмерных комплексов A
0 - A
3.
А.2 С целью применения уравнения состояния метана
[2] для расчета термодинамических свойств других компонентов СПГ (исключая диоксид углерода) определены приведенные в
таблице А.4 коэффициенты для расчета параметров

, которые используются в принципе соответственных состояний в качестве параметров соответствия. Коэффициенты для расчета параметров

определены в результате совместной обработки данных о плотности и скорости звука в однофазной области (жидкость) и на линии насыщения, приведенных в международном стандарте
[4] и в таблицах Государственной службы стандартных справочных данных [
5 -
7].
А.3 Для расчета скорости звука и показателя адиабаты определены коэффициенты, приведенные в
таблице А.5, в результате обработки данных, полученных по оригинальным уравнениям для безразмерных изобарных теплоемкостей компонентов СПГ в идеально-газовом состоянии из [
2,
4 -
8] в диапазоне температур от 100 до 140 К.
А.4 Для расчета термодинамических свойств смесей типа СПГ определены параметры бинарного взаимодействия компонентов СПГ, приведенные в
таблице А.2. Эти параметры определены в результате совместной обработки данных о плотности и скорости звука бинарных смесей метана с другими компонентами СПГ (исключая диоксид углерода), рассчитанных по уравнению состояния GERG-2008
[4] в диапазоне температур от 100 до 140 К и давлений до 5 МПа.
Таблица А.1
Молярная масса, критические параметры и факторы Питцера
компонентов СПГ
Компонент | Молярная масса Mi, кг/кмоль | Tкрi, К |  , кг/м 3 | |
Метан | 16,0428 | 190,564 | 162,66 | 0,008 |
Этан | 30,06904 | 305,322 | 206,18 | 0,098 |
Пропан | 44,09562 | 369,89 | 220,4781 | 0,152 |
Изобутан | 58,1222 | 407,81 | 225,50 | 0,176 |
н-Бутан | 58,1222 | 425,125 | 228,0 | 0,193 |
Изопентан | 72,1503 | 460,39 | 236,0 | 0,227 |
н-Пентан | 72,1503 | 469,65 | 232,0 | 0,251 |
Азот | 28,01348 | 126,192 | 313,3 | 0,040 |
Диоксид углерода | 44,0098 | 304,1282 | 467,6 | 0,225 |
Таблица А.2
Параметры бинарного взаимодействия компонентов СПГ
Пара компонентов (i, j) | Параметры бинарного взаимодействия |
| |
Метан | Этан | 0,9939062 | 0,9932865 |
Пропан | 1,010338 | 0,9964106 |
Изобутан | 1,029222 | 0,9798303 |
н-Бутан | 1,049264 | 0,9709773 |
Изопентан | 1,339956 | 0,8788424 |
н-Пентан | 1,174340 | 0,9302709 |
Азот | 1,007886 | 0,9417593 |
Примечания 1  ;  при i /= j. 2  при i = j. 3 Для пар компонентов (i, j), не представленных в настоящей таблице, все параметры бинарного взаимодействия принимаются равными единице. |
Таблица А.3
Коэффициенты и показатели степеней безразмерных
комплексов A0 - A3
n | bn | rn | tn | gn | In | | | | |
1 | 0,04367901028·100 | 1 | -0,5 | 0 | 0 | | | | |
2 | 0,6709236199·100 | 1 | 0,5 | 0 | 0 | | | | |
3 | -1,765577859·100 | 1 | 1 | 0 | 0 | | | | |
4 | 0,8582330241·100 | 2 | 0,5 | 0 | 0 | | | | |
5 | -1,206513052·100 | 2 | 1 | 0 | 0 | | | | |
6 | 0,512046722·100 | 2 | 1,5 | 0 | 0 | | | | |
7 | -4,000010791·10-4 | 2 | 4,5 | 0 | 0 | | | | |
8 | -0,01247842423·100 | 3 | 0 | 0 | 0 | | | | |
9 | 0,03100269701·100 | 4 | 1 | 0 | 0 | | | | |
10 | 1,754748522·10-3 | 4 | 3 | 0 | 0 | | | | |
11 | -3,171921605·10-6 | 8 | 1 | 0 | 0 | | | | |
12 | -2,24034684·10-6 | 9 | 3 | 0 | 0 | | | | |
13 | 2,947056156·10-7 | 10 | 3 | 0 | 0 | | | | |
14 | 0,1830487909·100 | 1 | 0 | -1 | 1 | | | | |
15 | 0,1511883679·100 | 1 | 1 | -1 | 1 | | | | |
16 | -0,4289363877·100 | 1 | 2 | -1 | 1 | | | | |
17 | 0,06894002446·100 | 2 | 0 | -1 | 1 | | | | |
18 | -0,01408313996·100 | 4 | 0 | -1 | 1 | | | | |
19 | -0,0306305483·100 | 5 | 2 | -1 | 1 | | | | |
20 | -0,02969906708·100 | 6 | 2 | -1 | 1 | | | | |
21 | -0,01932040831·100 | 1 | 5 | -1 | 2 | | | | |
22 | -0,1105739959·100 | 2 | 5 | -1 | 2 | | | | |
23 | 0,09952548995·100 | 3 | 5 | -1 | 2 | | | | |
24 | 8,548437825·10-3 | 4 | 2 | -1 | 2 | | | | |
25 | -0,06150555662·100 | 4 | 4 | -1 | 2 | | | | |
26 | -0,04291792423·100 | 3 | 12 | -1 | 3 | | | | |
27 | -0,0181320729·100 | 5 | 8 | -1 | 3 | | | | |
28 | 0,0344590476·100 | 5 | 10 | -1 | 3 | | | | |
29 | -2,38591945·10-3 | 8 | 10 | -1 | 3 | | | | |
30 | -0,01159094939·100 | 2 | 10 | -1 | 4 | | | | |
31 | 0,06641693602·100 | 3 | 14 | -1 | 4 | | | | |
32 | -0,0237154959·100 | 4 | 12 | -1 | 4 | | | | |
33 | -0,03961624905·100 | 4 | 18 | -1 | 4 | | | | |
34 | -0,01387292044·100 | 4 | 22 | -1 | 4 | | | | |
35 | 0,03389489599·100 | 5 | 18 | -1 | 4 | | | | |
36 | -2,927378753·10-3 | 6 | 14 | -1 | 4 | | | | |
37 | 9,324799946·10-5 | 2 | 2 | | | -20 | -200 | 1 | 1,07 |
38 | -6,287171518·100 | 0 | 0 | | | -40 | -250 | 1 | 1,11 |
39 | 12,71069467·100 | 0 | 1 | | | -40 | -250 | 1 | 1,11 |
40 | -6,423953466·100 | 0 | 2 | | | -40 | -250 | 1 | 1,11 |
Таблица А.4
Коэффициенты

и {
aji} для расчета параметров

| | aji для компонента j |
Метан | Этан | Пропан | Изобутан | н-Бутан | Изопентан | н-Пентан | Азот | Диоксид углерода |
1 | 1 | 0 | -0,05499404 | -0,1033802 | -0,1446201 | -0,1330569 | -0,1344964 | -0,1500247 | -0,01106580 | 0 |
2 | 1 | 0 | 0,07132088 | 0,1256433 | 0,1691534 | 0,1515016 | 0,1757778 | 0,1765188 | 0,01395339 | 0 |
3 | 0 | 0 | 0,03411748 | 0,05515581 | 0,07255968 | 0,06703781 | 0,07751344 | 0,08076395 | 0,01517371 | 0 |
4 | 1 | 0 | 0,3463844 | 0,3877078 | 0,3843276 | 0,3101680 | 0,4160334 | 0,3802554 | 0,04907672 | 0 |
5 | 0 | 0 | -0,1756987 | -0,1868700 | -0,1778766 | -0,1428283 | -0,1988925 | -0,1789241 | -0,02492141 | 0 |
6 | 1 | 0 | 0,01181235 | 0,05099110 | 0,07948337 | 0,1022543 | 0,09967660 | 0,1206911 | 0,007076269 | 0 |
Таблица А.5
Коэффициенты для расчета безразмерных изобарных
теплоемкостей компонентов СПГ в идеально-газовом состоянии
Компонент | bni для компонента i при n, равном |
0 | 1 | 2 | 3 | 4 |
Метан | 3,98591747 | 0,0944817883 | -0,184059518 | 0,121670883 | 0 |
Этан | 4,04494534 | -2,88738414 | 20,4420998 | -36,3289167 | 24,1231231 |
Пропан | 3,59984779 | -4,14713461 | 68,4776240 | -163,469780 | 133,087884 |
Изобутан | 3,27383299 | -4,49009735 | 114,587546 | -290,175169 | 249,508274 |
н-Бутан | 1,10821140 | 26,7646665 | 18,9823524 | -194,636448 | 240,749363 |
Изопентан | 10,1905588 | -104,660203 | 586,666061 | -1150,48022 | 817,341735 |
н-Пентан | 1,30150258 | 7,42798405 | 241,151953 | -857,021831 | 901,466209 |
Азот | 3,50000066 | 0,0003858466241 | 0,0000744623688 | 0 | 0 |
Диоксид углерода | 3,26743307 | 3,04166057 | -14,4322345 | 28,2801767 | -17,1064968 |
Таблица А.6
Молярные массы
н-гексана,
н-гептана,
н-октана и кислорода
Компонент | Молярная масса Mi, кг/кмоль |
н-Гексан | 86,177 |
н-Гептан | 100,204 |
н-Октан | 114,231 |
Кислород | 31,9988 |
(справочное)
ПРИМЕРЫ РАСЧЕТА ТЕРМОДИНАМИЧЕСКИХ СВОЙСТВ
СЖИЖЕННОГО ПРИРОДНОГО ГАЗА
Б.1 Примеры расчета, приведенные в настоящем приложении, рекомендуется использовать в качестве тестовых данных при программной реализации метода расчета термодинамических свойств СПГ, который приведен в настоящем стандарте.
Б.2 Примеры расчета приведены в форме таблиц. При этом в
таблице Б.1 даны молярные доли компонентов смесей, имитирующих СПГ а в
таблицах Б.2,
Б.3 и
Б.4 приведены расчетные значения термодинамических свойств для этих смесей при соответствующих температурах и давлениях.
Таблица Б.1
Молярные доли компонентов смесей, имитирующих СПГ
Компоненты | Молярная доля для смесей, % |
N 1 | N 2 | N 3 |
Метан | 89,782 | 95,501 | 99,007 |
Этан | 4,552 | 2,301 | 0,227 |
Пропан | 0,414 | 0,291 | 0,042 |
Изобутан | - | 0,038 | 0,005 |
н-Бутан | 0,144 | 0,063 | 0,008 |
Изопентан | - | 0,012 | 0,001 |
н-Пентан | 0,119 | 0,089 | 0,002 |
Азот | 4,984 | 1,701 | 0,708 |
Диоксид углерода | 0,005 | 0,004 | - |
Таблица Б.2
Расчетные значения термодинамических свойств для смеси N 1
T, К | p, МПа |  , кг/м 3 | z | u, м/с | k |
100,00 | 0,1 | 471,14 | 0,00447 | 1428,1 | 9608,16 |
120,00 | 0,1 | 440,64 | 0,00399 | 1236,1 | 6733,23 |
140,00 | 0,1 | 405,53 | 0,00371 | 1428,1 | 4248,93 |
100,00 | 1,0 | 471,85 | 0,04466 | 1434,8 | 971,35 |
120,00 | 1,0 | 441,66 | 0,03976 | 1245,5 | 685,16 |
140,00 | 1,0 | 407,18 | 0,03697 | 1037,7 | 438,46 |
100,00 | 3,0 | 473,40 | 0,13356 | 1449,4 | 331,51 |
120,00 | 3,0 | 443,87 | 0,11870 | 1265,7 | 237,02 |
140,00 | 3,0 | 410,64 | 0,10998 | 1067,2 | 155,90 |
100,00 | 5,0 | 474,90 | 0,22189 | 1463,7 | 203,48 |
120,00 | 5,0 | 445,99 | 0,19690 | 1285,0 | 147,28 |
140,00 | 5,0 | 413,86 | 0,18187 | 1094,6 | 99,18 |
Таблица Б.3
Расчетные значения термодинамических свойств для смеси N 2
T, К | p, МПа |  , кг/м 3 | z | u, м/с | k |
100,00 | 0,1 | 453,74 | 0,00444 | 1450,0 | 9539,24 |
120,00 | 0,1 | 424,32 | 0,00396 | 1254,9 | 6682,65 |
140,00 | 0,1 | 390,38 | 0,00369 | 1038,3 | 4208,75 |
100,00 | 1,0 | 454,42 | 0,04434 | 1456,8 | 964,40 |
120,00 | 1,0 | 425,31 | 0,03947 | 1264,5 | 680,06 |
140,00 | 1,0 | 391,98 | 0,03671 | 434,44 | 1052,8 |
100,00 | 3,0 | 455,92 | 0,13257 | 1471,7 | 329,15 |
120,00 | 3,0 | 427,44 | 0,11783 | 1285,0 | 235,28 |
140,00 | 3,0 | 395,34 | 0,10920 | 1083,0 | 154,56 |
100,00 | 5,0 | 457,37 | 0,22025 | 1486,2 | 202,04 |
120,00 | 5,0 | 429,49 | 0,19545 | 1304,7 | 146,22 |
140,00 | 5,0 | 398,45 | 0,18058 | 1111,0 | 98,37 |
Таблица Б.4
Расчетные значения термодинамических свойств для смеси N 3
T, К | p, МПа |  , кг/м 3 | z | u, м/с | k |
100,00 | 0,1 | 442,09 | 0,00440 | 1445,9 | 9242,02 |
120,00 | 0,1 | 412,67 | 0,00393 | 1246,2 | 6408,39 |
140,00 | 0,1 | 378,40 | 0,00367 | 1022,4 | 3955,49 |
100,00 | 1,0 | 442,78 | 0,04395 | 1452,9 | 934,71 |
120,00 | 1,0 | 413,68 | 0,03920 | 1256,1 | 652,73 |
140,00 | 1,0 | 380,06 | 0,03657 | 1037,8 | 409,37 |
100,00 | 3,0 | 444,28 | 0,13139 | 1468,3 | 319,28 |
120,00 | 3,0 | 415,85 | 0,11698 | 1277,5 | 226,23 |
140,00 | 3,0 | 383,55 | 0,10871 | 1069,9 | 146,35 |
100,00 | 5,0 | 445,75 | 0,21826 | 1483,2 | 196,13 |
120,00 | 5,0 | 417,93 | 0,19399 | 1298,0 | 140,82 |
140,00 | 5,0 | 386,77 | 0,17968 | 1099,5 | 93,50 |
(справочное)
СООТНОШЕНИЯ МЕЖДУ ПРИВЕДЕННЫМИ, АБСОЛЮТНЫМИ И ОТНОСИТЕЛЬНЫМИ
ПОГРЕШНОСТЯМИ ИЗМЕРЕНИЙ
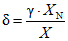
В.1 Если для измеряемых параметров СПГ (давление, температура) в документации на применяемые средства измерений (далее - СИ) даны приведенные погрешности, то относительная погрешность их измерений связана с приведенной погрешностью следующим соотношением:

, (В.1)
где

- приведенная погрешность, %;
XN - нормирующее значение параметра, численно равное диапазону измерения применяемого СИ;
X - измеренное значение параметра.
Примечание - Если нижний предел измерений у применяемого СИ равен нулю, то диапазон измерения этого СИ равен его верхнему пределу измерений.
В.2 Если для измеряемых параметров СПГ (давление, температура, молярные доли компонентов) в документации на соответствующие СИ или в методике измерений даны абсолютные погрешности или расширенная абсолютная неопределенность измерения этих параметров, то относительная погрешность их измерений связана с абсолютной погрешностью или с расширенной абсолютной неопределенностью следующим соотношением:

, (В.2)
где

- абсолютная погрешность или расширенная абсолютная неопределенность измерения параметра;
X - измеренное значение параметра.
Государственная служба стандартных справочных данных ГСССД 237-2008 | Фундаментальные физические константы |
Государственная служба стандартных справочных данных ГСССД 284-2013 | Метан жидкий и газообразный. Термодинамические свойства, коэффициенты динамической вязкости и теплопроводности при температурах 91...700 К и давлениях до 100 МПа |
| Refrigerated hydrocarbon liquids. Static measurement. Calculation procedure |
| Natural gas - Calculation of thermodynamic properties - Part 2: Single-phase properties (gas, liquid, and dense fluid) for extended ranges of application |
Государственная служба стандартных справочных данных ГСССД 196-2001 | Этан жидкий и газообразный. Термодинамические свойства, коэффициенты динамической вязкости и теплопроводности при температурах 91...625 К и давлениях 0,1 - 70 МПа |
Государственная служба стандартных справочных данных ГСССД 197-2001 | Пропан жидкий и газообразный. Термодинамические свойства, коэффициенты динамической вязкости и теплопроводности при температурах 86...700 К и давлениях 0,1 - 100 МПа |
Государственная служба стандартных справочных данных ГСССД 283-2013 | Азот жидкий и газообразный. Термодинамические свойства, коэффициенты динамической вязкости и теплопроводности при температурах 65...1000 К и давлениях до 200 МПа |
Государственная служба стандартных справочных данных ГСССД 96-86 | Диоксид углерода жидкий и газообразный. Плотность, фактор сжимаемости, энтальпия, энтропия, изобарная теплоемкость, скорость звука и коэффициент объемного расширения при температурах 220 - 1300 К и давлениях 0,1 - 100 МПа |
--------------------------------
<*> С указанными стандартами можно ознакомиться в Федеральном информационном фонде технических регламентов и стандартов.