Главная // Актуальные документы // ГОСТ Р (Государственный стандарт)
СПРАВКА
Источник публикации
М.: Стандартинформ, 2017
Примечание к документу
Документ введен в действие с 1 февраля 2017 года.
Название документа
"ГОСТ Р МЭК 80000-13-2016. Национальный стандарт Российской Федерации. Государственная система обеспечения единства измерений. Величины и единицы. Часть 13. Информатика и информационные технологии"
(утв. и введен в действие Приказом Росстандарта от 28.12.2016 N 2100-ст)

"ГОСТ Р МЭК 80000-13-2016. Национальный стандарт Российской Федерации. Государственная система обеспечения единства измерений. Величины и единицы. Часть 13. Информатика и информационные технологии"
(утв. и введен в действие Приказом Росстандарта от 28.12.2016 N 2100-ст)


Содержание


Утвержден и введен в действие
Приказом Федерального агентства
по техническому регулированию
и метрологии
от 28 декабря 2016 г. N 2100-ст
НАЦИОНАЛЬНЫЙ СТАНДАРТ РОССИЙСКОЙ ФЕДЕРАЦИИ
ГОСУДАРСТВЕННАЯ СИСТЕМА ОБЕСПЕЧЕНИЯ ЕДИНСТВА ИЗМЕРЕНИЙ
ВЕЛИЧИНЫ И ЕДИНИЦЫ
ЧАСТЬ 13
ИНФОРМАТИКА И ИНФОРМАЦИОННЫЕ ТЕХНОЛОГИИ
State system for ensuring the uniformity of measurements.
Quantities and units. Part 13. Information science
and technology
(IEC 80000-13:2008, IDT)
ГОСТ Р МЭК 80000-13-2016
ОКС 17.020
01.040.35
Дата введения
1 февраля 2017 года
Предисловие
1 ПОДГОТОВЛЕН Федеральным государственным унитарным предприятием "Всероссийский научно-исследовательский институт физико-технических и радиотехнических измерений" (ФГУП "ВНИИФТРИ") на основе собственного перевода на русский язык англоязычной версии стандарта, указанного в пункте 4
2 ВНЕСЕН Техническим комитетом по стандартизации ТК 53 "Основные нормы и правила по обеспечению единства измерений"
3 УТВЕРЖДЕН И ВВЕДЕН В ДЕЙСТВИЕ Приказом Федерального агентства по техническому регулированию и метрологии от 28 декабря 2016 г. N 2100-ст
4 Настоящий стандарт идентичен международному стандарту МЭК 80000-13:2008 "Величины и единицы. Часть 13. Информатика и информационные технологии" (IEC 80000-13:2008 "Quantities and units - Part 13: Information science and technology", IDT).
Международный стандарт разработан Техническим комитетом ТК 25 Международной электротехнической комиссии "Величины и единицы и их буквенные обозначения".
При применении настоящего стандарта рекомендуется использовать вместо ссылочных международных стандартов соответствующие им национальные стандарты, сведения о которых приведены в дополнительном приложении ДА
5 ВВЕДЕН ВПЕРВЫЕ
Правила применения настоящего стандарта установлены в статье 26 Федерального закона от 29 июня 2015 г. N 162-ФЗ "О стандартизации в Российской Федерации". Информация об изменениях к настоящему стандарту публикуется в ежегодном (по состоянию на 1 января текущего года) информационном указателе "Национальные стандарты", а текст изменений и поправок - в ежемесячном информационном указателе "Национальные стандарты". В случае пересмотра (замены) или отмены настоящего стандарта соответствующее уведомление будет опубликовано в ближайшем выпуске ежемесячного информационного указателя "Национальные стандарты". Соответствующая информация, уведомление и тексты размещаются также в информационной системе общего пользования - на официальном сайте Федерального агентства по техническому регулированию и метрологии сети Интернет (www.gost.ru)
Введение
к международному стандарту МЭК 80000-13:2008
0.1 Расположение таблиц
В настоящем стандарте таблицы величин расположены на левых (четных) страницах, а соответствующие таблицы единиц на смежных правых (не четных) страницах разворота стандарта.
Все единицы, помещенные между двумя сплошными горизонтальными линиями на правых страницах, соответствуют величинам, расположенным между соответствующими сплошными горизонтальными линиями на левых страницах.
В таблицах величин, на левых страницах, под номером пункта указан курсивом номер соответствующего пункта в пересмотренных частях стандарта МЭК 60027. Прочерк означает, что аналогичный пункт отсутствовал в предыдущем стандарте.
0.2 Таблицы величин
В таблицах величин, для удобства пользования, после русского наименования величин приведены курсивом их наименования на английском (en) и французском (fr) языках. В наименованиях величин на французском языке указан род существительных: (m) - мужской, (f) - женский.
Определения величин приведены в соответствии с определениями в Международной системе величин (ИСО), но они не претендуют на полноту.
Приведенные обозначения величин являются рекомендательными. Когда это необходимо, указывается скалярный, векторный или тензорный характер величин.
В большинстве случаев для величин приведено только одно наименование и только одно обозначение. Когда приведены два или более наименования или два или более обозначения для одной величины без особых указаний, они являются равноправными.
Когда второе обозначение величины приведено в скобках (например, как "L, "), это означает, что оно является резервным и может быть использовано, когда в конкретном контексте символ основного обозначения используется в другом смысле.
0.3 Таблицы единиц
0.3.1 Общие замечания
Обозначения единиц для соответствующих величин приведены в русской и международной транскрипциях.
Единицы в таблицах (на не четных страницах) размещены в следующей последовательности:
a) Первыми приведены единицы Международной системы единиц (СИ), принятые Генеральной конференцией по мерам и весам (ГКМВ). Для них следует применять десятичные кратные и дольные приставки, даже если это прямо не указано.
b) Вторыми приведены единицы, не входящие в СИ, но рекомендованные Международным комитетом мер и весов (МКМВ), Международной организацией по законодательной метрологии (МОЗМ), Международной организацией по стандартизации (ИСО) и Международной электротехнической комиссией (МЭК) к применению наравне с единицами СИ. Эти единицы отделены от единиц СИ горизонтальными пунктирными линиями.
c) Единицы, не входящие в СИ, но допущенные МКМВ для применения наравне с единицами СИ, приведены в таблицах единиц в графе "Комментарии и коэффициенты пересчета".
d) Некоторые единицы, не входящие в СИ и не рекомендованные к применению, размещены только в приложениях к некоторым стандартам серии ИСО/МЭК 80000. Эти приложения являются информативными и не являются неотъемлемыми частями стандартов. Эти устаревшие единицы расположены двумя группами:
1) единицы системы СГС со специальными наименованиями;
2) единицы, основанные на футе, фунте, секунде и т.д.;
e) другие единицы, не входящие в СИ, приведены для информации о коэффициентах пересчета.
0.3.2 Замечания о единицах с размерностью один или безразмерностных величинах
Когерентной единицей для величин с размерностью 1 (один), которую также называют безразмерностной величиной, является арифметическая единица (один), обозначение 1. При записи численного значения этих величин обозначение 1 не пишется.
Пример
Показатель преломления n = 1,53·1 = 1,53.
Для записи кратных или дольных значений этих единиц не должны использоваться соответствующие приставки. Вместо них рекомендуется указывать степень числа 10.
Пример
Число Рейнольдса Re = 1,32·103.
В 1995 году ГКМВ уточнил, что в СИ, радиан (обозначение "рад") и стерадиан (обозначение "ср") - безразмерностные производные единицы. Это означает, что плоский и телесный углы считаются производными величинами с размерностью один. Единицы радиан и стерадиан, таким образом, равны единице. Они могут быть либо опущены, либо использованы в выражениях для производных единиц с целью облегчения распознавания величин различных видов, но с одной и той же размерностью.
0.4 Соглашение об обозначениях в настоящем стандарте
Знак "=" используется для обозначения "в точности равно", знак обозначает "приблизительно равно", а знак ":=" обозначает "равно по определению".
Численные значения экспериментально определяемых величин всегда имеют соответствующую неопределенность измерения. Эти неопределенности всегда должны быть указаны. В этом стандарте значения неопределенности указывается, как показано в следующем примере.
Пример
l = 2,34782(32) м
В этом примере, l = a(b) м, где численное значение неопределенности b, указанное в скобках, относится к последним (наименее значимым) цифрам численного значения длины l. Такое обозначение последних цифр используется, когда b является стандартной неопределенностью (стандартным отклонением). Пример, приведенный выше, означает, что наилучшая оценка численного значения длины l, если l выражается в метр, это 2,34782, и что истинное значение l, как полагают, лежит между (2,34782 - 0,00032) м и (2,34782 + 0,00032) м и определено со стандартной неопределенностью 0,00032 м.
1. Область применения
Настоящий стандарт устанавливает наименования, обозначения и определения для величин и единиц измерений, используемых в информационных науках и технологиях, а также, при необходимости, коэффициенты пересчета.
2. Нормативные ссылки
Для применения настоящего стандарта необходимы документы, нормативные ссылки на которые представлены ниже. Для датированных документов используются ссылки только на указанное издание.
IEC 60027-3:2002, Letter symbols to be used in electrical technology - Part 3: Logarithmic and related quantities, and their units (Обозначения буквенные, применяемые в электротехнике. Часть 3. Логарифмические величины и единицы)
IEC 60050-704:1993, International electrotechnical vocabulary - Part 704: Transmission (Международный электротехнический словарь. Часть 704. Передача)
IEC 60050-713:1998, International electrotechnical vocabulary - Part 713: Radiocommunications: transmitters, receivers, networks and operation (Международный электротехнический словарь. Часть 713. Радиосвязь: приемники, передатчики, сети и их режим работы)
IEC 60050-715:1996, International electrotechnical vocabulary - Part 715: Telecommunication networks, teletraffic and operation (Международный электротехнический словарь. Часть 715. Сети электросвязи, телетрафик и эксплуатация)
IEC 60050-721:1991, International electrotechnical vocabulary - Part 721: Telegraphy, facsimile and data communication (Международный электротехнический словарь. Часть 721. Телеграфия, факсимильная связь и передача данных)
ISO/IEC 2382-16:1996, Information technology - Vocabulary - Part 16: Information theory (Информационные технологии. Словарь. Часть 16. Теория информации)
3. Наименования, определения и обозначения
Наименования, определения и обозначения для величин и единиц измерений в информатике и информационных технологиях, а также приставки для кратных двоичных величин приведены в таблицах на последующих страницах.
Информатика и информационные технологии
Величины
Номер пункта
Наименование
Обозначение
Определение
Комментарии
13-1 (801)
Интенсивность трафика
A
Число одновременно занятых ресурсов в определенной совокупности ресурсов
См. МЭК 60050-715, статья 715-05-02
en
traffic intensity
fr
intensite (f) de trafic
13-2 (802)
Интенсивность обслуживаемого трафика
A0
Интенсивность трафика (13-1), который был бы создан пользователями ресурса памяти при не ограниченном его объеме
См. МЭК 60050-715, статья 715-05-05
en
traffic offered intensity
fr
intensite (f) de trafic offert
13-3 (803)
Интенсивность текущего трафика
Y
Интенсивность трафика (13-1), обслуживаемого доступным ресурсом памяти
Обычно интенсивность трафика оценивается как среднее за определенный интервал времени, например за час наибольшей нагрузки.
См. МЭК 60050-715, статья 715-05-04
en
traffic carried intensity, traffic load
fr
intensite (f) de trafic ecoule; charge (f) de trafic
13-4 (804)
Средняя длина очереди
L
Число усредненных по времени элементов очереди
en
mean queue length
fr
longueur (f) moyenne de file d'attente
13-5 (805)
Вероятность потери
B
Вероятность потери попытки вызовов
en
loss probability
fr
probability (f) de perte
13-6 (806)
Вероятность ожидания
W
Вероятность ожидания ресурса
en
waiting probability
fr
probability (f) d'attente
13-7 (807)
Частота вызовов
Число попыток вызовов, поступающих за определенный интервал времени, деленное на длительность этого интервала (ИСО 80000-3, пункт 3-7)
См. МЭК 60050-715, статья 715-03-13
en
call intensity, calling rate
fr
intensite (f) d'appel;
taux (m) d'appel
13-8 (808)
Интенсивность обслуживания вызовов
Интенсивности вызовов (13-7), для которых получен ответный сигнал
Определение термина "completed call attempt".
См. МЭК 60050-715, статья 715-03-11
en
completed call intensity
fr
intensite (f) d'appel efficace
Единицы
Информатика и информационные технологии
Номер пункта
Наименование
Обозначение
Определение
Комментарии и коэффициенты пересчета
Русское
Международное
13-1.a
эрланг
Эрл
E
1 E соответствует занятости одного ресурса
Наименование "эрланг" было дано единице интенсивности трафика в 1949 г. в честь датского математика А.К. Эрланга (1868 - 1929), который ввел понятие трафика в теорию телефонии.
Примечание - В телефонии 1 эрланг (1 Эрл) - соответствует непрерывному использованию одного голосового канала в течение 1 ч.
13-2.a
эрланг
Эрл
E
См. 13-1.a
13-3.a
эрланг
Эрл
E
См. 13-1.a
13-4.a
один
1
1
13-5.a
один
1
1
13-6.a
один
1
1
13-7.a
секунда в минус первой степени
с-1
s-1
13-8.a
секунда в минус первой степени
с-1
s-1
Информатика и информационные технологии
Величины
Номер пункта
Наименование
Обозначение
Определение
Комментарии
13-9 (809)
Емкость памяти, размер запоминающего устройства
M
Количество данных, которое может храниться в запоминающем устройстве, выраженное числом определенных элементов данных
В зависимости от организации запоминающего устройства, элементами данных могут быть, например, двоичные единицы или биты, октеты или байты, слова, состоящие из определенного числа бит, блоки. Указание на элемент данных в виде нижнего индекса может добавляться к обозначению величины.
Примеры
Емкость запоминающего устройства в битах Mб или Mбит.
Емкость запоминающего устройства в октетах Mо или в байтах MБ
Применительно к регистрам термин "длина регистра" употребляется в этом же значении
en
storage capacity, storage size
fr
capacite (f) de memoire, taille (f) de memoire
13-10 (810)
Двоичный эквивалент емкости памяти
Me
Me = lb n,
где n - число возможных состояний данного устройства
Минимальная емкость запоминающего устройства с битовой организацией, в котором хранилось бы такое же количество данных, что на данном устройстве, равна наименьшему целому числу, которое больше или равно двоичному эквиваленту емкости памяти
en
equivalent binary storage capacity
fr
capacite (f) binaire equivalente
13-11 (812)
Скорость перемещения
r, (v)
Частное от деления числа элементов данных, передаваемых в интервал времени, на длительность этого интервала
Обозначение v - это буква греческого алфавита "ню".
К символу величины может добавляться нижний индекс, обозначающий элемент данных.
Примеры
Скорость передачи цифр rd или vd (см. МЭК 60050-702 и 60050-704, статьи 702-05-23 и 704-16-06).
Скорость передачи в октетах (или байтах) - rо, rБ, vо, или vБ
Обозначения скорости передачи двоичных знаков или бит (см. 13-13)
en
transfer rate
fr
debit (m) de transfert
Единицы
Информатика и информационные технологии
Номер пункта
Наименование
Обозначение
Определение
Комментарии и коэффициенты пересчета
Русское
Международное
13-9.a
один
1
1
13-9.b
бит
бит
bit
Хотя в данном контексте наименование бит, обозначение "бит" не является обычной единицей, оно часто используется в качестве таковой.
13-9.c
октет
о
o
Например, Mб = 32000, где единица измерения "один" подразумевается, часто записывают: M = 32000 бит. Так же наименования октет и байт, обозначаемые "о" и "Б" соответственно, не будучи единицами, часто используются как единицы. Например, Mо = 64000 или MБ = 64000, где единица "один" подразумевается, или часто записывают: M = 64000 о или M = 64000 Б.
При выражении емкости или двоичного эквивалента емкости памяти в битах и октетах (байтах) могут использоваться приставки СИ или двоичные приставки для кратных единиц.
В английском языке наименование "byte", обозначение "B", употребляется как синоним наименования "octet". Здесь под байтом понимается восьмибитовый байт. Однако, "байт" может относиться и к другому числу битов. Во избежание ошибок рекомендуется применять наименование "байт" и обозначение "Б" только в случае восьмибитовых байтов.
Обозначение "Б" для байта не является международным и его не следует путать с обозначением "Б" для логарифмической единицы бел
байт
Б, байт
B
13-10.a
один
1
1
13-10.b
бит
бит
bit
При выражении емкости и двоичного эквивалента емкости памяти в битах могут применяться приставки СИ или двоичные приставки (см. раздел 4).
В данном контексте обозначение "бит" является специальным наименованием и обозначением когерентной единицы один
13-11.a
секунда в минус первой степени
с-1
s-1
13-11.b
цифр в секунду
В английском языке наименование "byte", обозначение "B", используется как синоним для "octet", когда "byte" содержит восемь "bit".
октет в секунду, байт в секунду
о/с,
o/s,
Б/с
B/s
Октет в секунду (или байт в секунду) может применяться в комбинации с приставками, Например, килооктет в секунду (обозначение ко/с) или килобайт в секунду (обозначение кБ/с)
Информатика и информационные технологии
Величины
Номер пункта
Наименование
Обозначение
Определение
Комментарии
13-12 (811)
Период следования элементов данных
T
T =1/r
где r - скорость перемещения данных (13-11), когда элементы данных передаются последовательно
К обозначению величины может добавляться нижний индекс, обозначающий элемент данных.
Пример - Длительность передачи знаков Td, длительность передачи октетов (или байтов) Tо или TБ
en
period of data elements
fr
periode (f) d'elements de donnees
13-13 (814)
Скорость следования двоичных цифр, скорость следования битов
rб, rбит (vб, vбит)
Скорость перемещения (13-11), когда передаваемыми элементами данных являются двоичные цифры
В английском языке систематизированным наименованием величины было бы "transfer rate for binary digits".
См. МЭК 60050-704, статья 704-16-07
en
binary digit rate, bit rate
fr
debit (m) binaire
13-14 (813)
Период следования двоичных цифр, битовый период
Tб, Tбит
Tб = 1/rб
где rб - скорость следования двоичных цифр (13-13), когда двоичные цифры передаются последовательно
en
period of binary digits, bit period
fr
periode (f) d'elements binaires, periode (1) de bits
13-15 (815)
Эквивалентная скорость следования двоичных цифр, эквивалентная битовая скорость
re, (ve)
Скорость следования двоичных цифр (13-13), эквивалентная скорости перемещения (13-11) определенных элементов данных
В английском языке систематизированным наименованием величины было бы "equivalent binary transfer rate".
См. МЭК 60050-704, статья 704-17-05
en
equivalent binary digit rate, equivalent bit rate
fr
debit (m) binaire equivalent
13-16 (816)
Скорость модуляции, линейная цифровая скорость
rm, u
Величина, обратная кратчайшей длительности передачи элемента сигнала
Термин "скорость модуляции" используется в традиционной телеграфии и передаче данных.
В изохронной передаче цифровых сигналов обычно используют термин "линейная цифровая скорость".
См. МЭК 60050-704, статья 704-17-03
en
modulation rate, line digit rate
fr
rapidite (f) de modulation; debit (m) en ligne
13-17 (817)
Мощность искажения квантования
TQ
Искажения сигнала, возникающие в процессе квантования исходного сигнала, когда квантуемые значения находятся в рабочем диапазоне квантующего устройства
См. МЭК 60050-704, статья 704-24-13
en
quantizing distortion power
fr
puissance (f) de distorsion de quantification
Единицы
Информатика и информационные технологии
Номер пункта
Наименование
Обозначение
Определение
Комментарии и коэффициенты пересчета
Русское
Международное
13-12.a
секунда
с
s
Определение секунды, см. ИСО 80000-3, статья 3-7.a
13-13.a
секунда в минус первой степени
с-1
s-1
13-13.b
бит в секунду
бит/с
bit/s
Бит в секунду можно применять с приставками, например мегабит в секунду (обозначается Мбит/с)
13-14.a
секунда
с
s
13-15.a
секунда в минус первой степени
с-1
s-1
13-15.b
бит в секунду
бит/с
bit/s
См. 13-13.b
13-16.a
секунда в минус первой степени
с-1
s-1
13-16.b
бод
бод
Bd
1 Bd := s-1
Бод - специальное наименование секунды в минус первой степени для данной величины.
Бод можно применять с приставками, например, килобод (обозначается кбод), мегабод, (обозначается Мбод)
13-17.a
ватт
Вт
W
Определение единицы ватт,
см. ИСО 80000-4 (статья 4-26)
Информатика и информационные технологии
Величины
Номер пункта
Наименование
Обозначение
Определение
Комментарии
13-18 (818)
Мощность несущей
Pc, C
Мощность, подводимая от передатчика к фидеру антенны, измеренная при отсутствии модуляции
См. МЭК 60050-713, статья 713-09-20
en
carrier power
fr
frpuissance (f) porteuse
13-19 (819)
Энергия сигнала двоичной цифры
Eб, Eбит
Eб = Pc·Tб,
где Pc - мощность несущей (13-18) и
Tб - период следования двоичных цифр - битов (13-14)
en
signal energy per binary digit
fr
energie (f) du signal par element binaire
13-20 (820)
Вероятность ошибки
P
Вероятность того, что элемент данных будет принят неправильно
К обозначению величины может добавляться нижний индекс, обозначающий элемент данных.
Примеры
Вероятность ошибки в двоичных цифрах или вероятность ошибки бита, Pб или Pбит;
Вероятность ошибки блока данных Pбл
Измеренное значение называют "коэффициентом ошибок", термин "частота ошибок" применять не рекомендуется.
Пример - коэффициент битовых ошибок (BER), коэффициент ошибок блока
См. МЭК 60050-704 и МЭК 60050-721
en
error probability
fr
probabilite (f) d'erreur
13-21 (821)
Расстояние Хэмминга
dn
Число цифровых позиций, в которых соответствующие символы двух слов одинаковой длины различны
См. МЭК 60050-721, статья 721-08-25
en
Hamming distance
fr
distance (f) de Hamming
13-22 (822)
Тактовая частота
fcl
Частота тактовых импульсов, выдаваемых генератором
en
clock frequency, clock rate
fr
frequence (f) d'horloge
Единицы
Информатика и информационные технологии
Номер пункта
Наименование
Обозначение
Определение
Комментарии и коэффициенты пересчета
Русское
Международное
13-18.a
ватт
Вт
W
13-19.a
джоуль
Дж
J
Определение единицы джоуль, см. ИСО 80000-4, статья 4-27.a
13-20.a
один
1
1
13-21.a
один
1
1
13-22.a
герц
Гц
Hz
Определение единицы герц, см. ИСО 80000-3, статья 3-15.a
Информатика и информационные технологии
Величины
Номер пункта
Наименование
Обозначение
Определение
Комментарии
13-23 (901)
Основное содержание
Da
Da = Loga n,
где a - число возможностей выбора при каждом решении, а n - число событий.
Примечание - По смыслу это максимальная энтропия равновероятных событий
См. ИСО/МЭК 2382-16, статья 16.03.01.
См. также МЭК 60027-3.
Если используется одно и то же основание для одного и того же числа событий, тогда Da = H0, где H0 - максимальная энтропия (13-26)
en
decision content
fr
quantite (f) de decision
13-24 (902)
Информационное содержание
l(x)
где p(x) - вероятность появления события x
См. ИСО/МЭК 2382-16, статья 16.03.02.
См. также МЭК 60027-3
en
information content
fr
quantite (f) d'information
13-25 (903)
Энтропия
H(X)
- средняя собственная информация множества X = {x1, ..., xn},
где p(xi) - вероятность события xi
l(xi) - собственная информация события xi
См. ИСО/МЭК 2382-16, статья 16.03.03
en
entropy
fr
entropie (f)
13-26 (904)
Максимальная энтропия
H0, (Hmax)
Энтропия достигает максимума при p(xi) = 1/n, для i = 1, ..., n
Максимальную энтропию иногда называют "разнообразием выбора", поскольку при целочисленном основании их значения одинаковы для одинакового числа событий (см. 13-23)
en
maximum entropy
fr
entropie (f) maximale
13-27 (905)
относительная энтропия
HR
Hr = H/H0,
где H - энтропия (13-25) и
H0 - максимальная энтропия (13-26)
См. ИСО/МЭК 2382-16, статья 16.03.04
en
relative entropy
fr
entropie (f) relative
13-28 (906)
избыточность
R
R = H0 - H,
где H - энтропия (13-25) и
H0 - максимальная энтропия (13-26)
См. ИСО/МЭК 2382-16, статья 16.03.05
en
redundancy
fr
redondance (f)
13-29 (907)
Относительная избыточность
r
r = R/H0,
где R - избыточность (13-28),
H0 - максимальная энтропия (13-26)
См. ИСО/МЭК 2382-16, статья 16.04.01
en
relative redundancy
fr
redundance (f) relative
13-30 (908)
Содержание совместной информации
l(x, y)
где p(x, y) - вероятность совместного проявления событий x и y
en
joint information content
fr
quantite (f) d'information conjointe
Единицы
Информатика и информационные технологии
Номер пункта
Наименование
Обозначение
Определение
Комментарии и коэффициенты пересчета
Русское
Международное
13-23.a
один
1
1
13-24.a
шеннон
-
Sh
значение величины при аргументе, равном 2
13-24.b
хартли
-
Hart
значение величины при аргументе, равном 10
13-24.c
натуральная единица количества информации
нат
nat
значение величины при аргументе, равном e
13-25.a
шеннон
-
Sh
13-25.b
хартли
-
Hart
13-25.c
натуральная единица количества информации
нат
nat
13-26.a
шеннон
-
Sh
13-26.b
хартли
-
Hart
13-26.c
натуральная единица количества информации
нат
nat
13-27
один
1
1
13-28.a
шеннон
-
Sh
13-28.b
хартли
-
Hart
13-28.c
натуральная единица количества информации
нат
nat
13-29.a
один
1
1
13-30.a
шеннон
-
Sh
13-30.b
хартли
-
Hart
13-30.c
натуральная единица количества информации
нат
nat
Информатика и информационные технологии
Величины
Номер пункта
Наименование
Обозначение
Определение
Комментарии
13-31 (909)
Основное содержание условной информации
l(x| y)
Информационное содержание (13-24) события x при условии, что произошло и событие y:
l(x | y) = l(x,y) - l(y)
См. ИСО/МЭК 2382-16, статья 16.04.02
en
conditional information content
fr
quantite (f) d'information conditionnelle
13-32 (-)
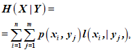
Условная энтропия, среднее количество условной информации
H(X| Y)
где p(xi, yj) - вероятность совместного проявления событий xi и yj,
l(xi,|yj,) - условная собственная информация (13-31)
См. ИСО/МЭК 2382-16, статья 16.04.04
en
conditional entropy, mean conditional information content, average conditional information content
fr
entropie (f) conditionnelle
13-33 (910)
Неоднозначность
H(X| Y)
Условная энтропия (13-32) множества X переданных данных относительно множества Y полученных данных
Неоднозначность является количественной мерой потери информации из-за шума.
См. ИСО/МЭК 2382-16, статья 16.04.05
en
equivocation
fr
equivoque (f)
13-34 (911)
Нерелевантность
H(Y| X)
Условная энтропия (13-32) множества Y получаемых данных относительно множества X переданных данных
H(Y| X) = H(X| Y) + H(Y) - H(X),
где H(X| Y) - неактуальность (13-33) и H энтропия (13-25)
Энтропия шума - количественная мера информации, добавленной к переданной информации из-за искажения.
См. ИСО/МЭК 2382-16, статья 16.04.06
en
irrelevance
fr
alteration (f)
13-35 (912)
Количество переданной информации
T(x, y)
T(x, y) = l(x) + l(y) - l(x, y),
где l(x) и l(y) - количество информации (13-24) событий x и y, соответственно, и l(x, y) количество совместной информации этих двух событий (13-30)
См. ИСО/МЭК 2382-16, статья 16.04.07
en
transinformation content
fr
transinformation (f)
13-36 (913)
Среднее количество переданной информации
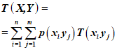
T(X, Y)
для множеств
X = {x1..., xn}, Y = {y1.... ym},
здесь - p(xi, yj) является совместной вероятностью событий xi и yj, а T(xiyj) - количество переданной информации (13-35)
См. ИСО/МЭК 2382-16, статья 16.04.08
en
mean transinformation content
fr
transinformation (f) moyenne
13-37 (914)
Энтропия символа
H'
,
где - Hm энтропия (13-25) множества всех последовательностей m символов
См. ИСО/МЭК 2382-16, статья 16.04.09
en
character mean entropy
fr
entropie (f) moyenne par caractere
Единицы
Информатика и информационные технологии
Номер пункта
Наименование
Обозначение
Определение
Комментарии и коэффициенты пересчета
Русское
Международное
13-31.a
шеннон
-
Sh
13-31.b
хартли
-
Hart
13-31.c
натуральная единица информации
нат
nat
13-32.a
шеннон
-
Sh
13-32.b
хартли
-
Hart
13-32.c
натуральная единица количества информации
нат
nat
13-33.a
шеннон
-
Sh
13-33.b
хартли
-
Hart
13-33.c
натуральная единица количества информации
нат
nat
13-34.a
шеннон
-
Sh
13-34.b
хартли
-
Hart
13-34.c
натуральная единица количества информации
нат
nat
13-35.a
шеннон
-
Sh
13-35.b
хартли
-
Hart
13-35.c
натуральная единица количества информации
нат
nat
13-36.a
шеннон
-
Sh
На практике обычно используются единицы "Шеннон на символ" но иногда и единицы "Хартли на символ" и "натуральная единица на символ"
13-36.b
хартли
-
Hart
13-36.c
натуральная единица количества информации
нат
nat
13-37.a
шеннон
-
Sh
13-37.b
хартли
-
Hart
13-37.c
натуральная единица количества информации
нат
nat
Информатика и информационные технологии
Величины
Номер пункта
Наименование
Обозначение
Определение
Комментарии
13-38 (915)
Средняя скорость передачи информации
H*
H* = H'/t(X),
где H' - средняя энтропия на символ (13-37) и t(X) среднее значение длительности символов из множества X
См. ИСО/МЭК 2382-16, статья 16.04.10
en
average information rate
fr
debit (m) moyen d'entropie
13-39 (916)
Средний объем переданной информации
T'
,
где Tm - средний объем переданной информации (13-36) для всех пар входящих и выходящих последовательностей m символов
См. ИСО/МЭК 2382-16, статья 16.04.11
en
character mean transinformation content
fr
transinformation (f) moyenne par caractere
13-40 (917)
Средняя скорость передаваемой информации
T*
где T' - средний объем переданной информации на символ (13-39), а t(xi, yj) - продолжительность передачи пары символов (xi, yj) с совместной вероятностью p(xi, yj)
См. ИСО/МЭК 2382-16, статья 16.04.12
en
average transinformation rate
fr
(m) moyen de transinformation
13-41 (918)
Пропускная способность канала на символ
C'
C' = max T',
где T' - средний объем переданной информации на символ (13-39), максимальное значение по всем входным распределениям
См. ИСО/МЭК 2382-16, статья 16.04.13
en
channel capacity per character; channel capacity
fr
capacite (f) de canal par caractere; capacite (f) de canal
13-42 (919)
Пропускная способность канала в единицу времени, пропускная способность канала
C*
C* = max T*,
где T* - средняя скорость передачи информации (13-40)
См. ИСО/МЭК 2382-16, статья 16.04.13
en
channel time capacity; channel capacity
fr
capacite (f) temporelle de canal, capacite (f) de canal
Единицы
Информатика и информационные технологии
Номер пункта
Наименование
Обозначение
Определение
Комментарии и коэффициенты пересчета
Русское
Международное
13-38.a
шеннон в секунду
-
Sh/s
13-38.b
хартли в секунду
-
Hart/s
13-38.c
натуральная единица количества информации в секунду
нат/с
nat/s
13-39.a
шеннон
-
Sh
На практике обычно используются единицы "Шеннон на символ" но иногда и единицы "Хартли на символ" и "естественная единица на символ"
13-39.b
хартли
-
Hart
13-39.c
натуральная единица количества информации
нат
nat
13-40.a
шеннон в секунду
-
Sh/s
13-40.b
хартли в секунду
-
Hart/s
13-40.c
натуральная единица количества информации в секунду
нат/с
nat/s
13-41.a
шеннон
-
Sh
На практике обычно используются единицы "Шеннон на символ" но иногда и единицы "Хартли на символ" и "естественная единица на символ"
13-41.b
хартли
-
Hart
13-41.c
натуральная единица количества информации
нат
nat
13-42.a
шеннон в секунду
-
Sh/s
13-42.b
хартли в секунду
-
Hart/s
13-42.c
натуральная единица количества информации в секунду
нат/с
nat/s
4. Приставки для двоичных множителей
Множитель
Наименование
Обозначение
Полное наименование
Исходные десятичные множители
Русское
Международное
Русское
Международное
210
киби
kibi
Ки
Ki
двоичное кило: (210)1
кило: (103)1
220
меби
mebi
Ми
Mi
двоичное мега: (210)2
мега: (103)2
230
гиби
gibi
Ги
Gi
двоичное гига: (210)3
гига: (103)3
240
теби
tebi
Ти
Ti
двоичное тера: (210)4
тера: (103)4
250
пеби
pebi
Пи
Pi
двоичное пета: (210)5
пета: (103)5
260
эксби
exbi
Эи
Ei
двоичное экса: (210)6
экса: (103)6
270
зеби
zebi
Зи
Zi
двоичное зетта: (210)7
зетта: (103)7
280
иоби
eobi
Ии
Yi
двоичное иотта: (210)8
иотта: (103)8
Примеры
Один кибибит: 1 Кибит = 210 бит = 1 024 бит
Один килобит: 1 кбит = 103 бит = 1 000 бит
Один мебибайт: 1 МиБ = 220 Б = 1 048 576 Б
Один мегабайт: 1 МБ = 106 Б = 1 000 000 Б
Примечание - Произношение приставок на английском языке: первый слог в наименовании приставок такой же, как в первом слоге соответствующей приставки СИ, второй слог "bee" следует произносить как "би".
Приложение ДА
(справочное)
СВЕДЕНИЯ О СООТВЕТСТВИИ ССЫЛОЧНЫХ МЕЖДУНАРОДНЫХ СТАНДАРТОВ
НАЦИОНАЛЬНЫМ СТАНДАРТАМ РОССИЙСКОЙ ФЕДЕРАЦИИ
Таблица ДА.1
Обозначение ссылочного международного стандарта
Степень соответствия
Обозначение и наименование соответствующего национального стандарта
ISO/IEC 2382-16:1996
-
IEC 60027-3:2002
-
IEC 60050-704:1993
-
IEC 60050-713:1998
-
IEC 60050-715:1996
-
IEC 60050-721:1991
-
<*> Соответствующий национальный стандарт отсутствует.
Библиография
МЭК 60027-1:1992 Обозначения буквенные, применяемые в электротехнике. Часть 1. Основные положения (IEC 60027-1:1992, Letter symbols to be used in electrical technology - Part 1: General) с изменениями N 1 (1997), N 2 (2005) и поправкой (1993)
ИСО 2382-12:1988 Системы обработки информации. Словарь. Часть 12. Периферийное оборудование (ISO/IEC 2382-12:1988, Information processing systems - Vocabulary - Part 12: Peripheral equipment)
ИСО 31-0:1992 <1> Величины и единицы измерения. Часть 0. Общие принципы (ISO 31-0:1992, Quantities and units - General principles)
--------------------------------
<1> Заменен на ИСО 80000-1:2009 Величины и единицы. Часть 1. Общие положения (ISO 80000-1:2009 Quantities and units - Part 1: General).
ИСО 31-11:1992 <2> Величины и единицы измерения. Часть 11. Математические знаки и обозначения, используемые в физике и технических и прикладных науках (ISO 31-11:1992, Quantities and units - Mathematical signs and symbols for use in the physical sciences and technology)
--------------------------------
<2> Заменен на ИСО 80000-2:2009 Величины и единицы. Часть 2. Математические знаки и символы, используемые в естествознании и технологиях (ISO 80000-2:2009 Quantities and units - Part 2: Mathematical signs and symbols to be used in the natural sciences and technology).