Главная // Актуальные документы // ГОСТ Р (Государственный стандарт)СПРАВКА
Источник публикации
М.: Стандартинформ, 2017
Примечание к документу
Документ
введен в действие с 01.12.2017.
Название документа
"ГОСТ Р МЭК 61124-2016. Национальный стандарт Российской Федерации. Статистические методы. Планирование и обработка результатов контрольных испытаний в случае постоянных интенсивности отказов и параметра потока отказов"
(утв. и введен в действие Приказом Росстандарта от 21.11.2016 N 1714-ст)
"ГОСТ Р МЭК 61124-2016. Национальный стандарт Российской Федерации. Статистические методы. Планирование и обработка результатов контрольных испытаний в случае постоянных интенсивности отказов и параметра потока отказов"
(утв. и введен в действие Приказом Росстандарта от 21.11.2016 N 1714-ст)
Утвержден и введен в действие
по техническому регулированию
и метрологии
от 21 ноября 2016 г. N 1714-ст
НАЦИОНАЛЬНЫЙ СТАНДАРТ РОССИЙСКОЙ ФЕДЕРАЦИИ
СТАТИСТИЧЕСКИЕ МЕТОДЫ
ПЛАНИРОВАНИЕ И ОБРАБОТКА РЕЗУЛЬТАТОВ КОНТРОЛЬНЫХ ИСПЫТАНИЙ
В СЛУЧАЕ ПОСТОЯННЫХ ИНТЕНСИВНОСТИ ОТКАЗОВ
И ПАРАМЕТРА ПОТОКА ОТКАЗОВ
Statistical methods. Planning and processing of results
of control tests in case of constant failure rate
and constant failure intensity
(IEC 61124:2012, "Reliability testing - Compliance test for
constant failure rate and constant failure intensity", IDT)
ГОСТ Р МЭК 61124-2016
Группа Т59
Дата введения
1 декабря 2017 года
1 ПОДГОТОВЛЕН Открытым акционерным обществом "Научно-исследовательский центр контроля и диагностики технических систем" (АО "НИЦ КД") на основе собственного перевода на русский язык англоязычной версии стандарта, указанного в
пункте 4
2 ВНЕСЕН Техническим комитетом по стандартизации ТК 125 "Применение статистических методов"
3 УТВЕРЖДЕН И ВВЕДЕН В ДЕЙСТВИЕ
Приказом Федерального агентства по техническому регулированию и метрологии от 21 ноября 2016 г. N 1714-ст
4 Настоящий стандарт идентичен международному стандарту МЭК 61124:2012 "Испытания на безотказность. Контрольные испытания в случае постоянной интенсивности отказов и постоянного параметра потока отказов" (IEC 61124:2012 "Reliability testing - Compliance test for constant failure rate and constant failure intensity", IDT).
Международный стандарт разработан IEC 56 "Dependability"
Наименование настоящего стандарта изменено относительно наименования указанного международного стандарта для приведения в соответствие с ГОСТ Р 1.5
(пункт 3.5).
При применении настоящего стандарта рекомендуется использовать вместо ссылочных международных стандартов соответствующие им национальные стандарты, сведения о которых приведены в дополнительном
приложении ДА
5 ВВЕДЕН ВПЕРВЫЕ
Правила применения настоящего стандарта установлены в статье 26 Федерального закона от 29 июня 2015 г. N 162-ФЗ "О стандартизации в Российской Федерации". Информация об изменениях к настоящему стандарту публикуется в ежегодном (по состоянию на 1 января текущего года) информационном указателе "Национальные стандарты", а официальный текст изменений и поправок - в ежемесячном информационном указателе "Национальные стандарты". В случае пересмотра (замены) или отмены настоящего стандарта соответствующее уведомление будет опубликовано в ежемесячном информационном указателе "Национальные стандарты". Соответствующая информация, уведомление и тексты размещаются также в информационной системе общего пользования - на официальном сайте Федерального агентства по техническому регулированию и метрологии в сети Интернет (www.gost.ru)
В стандарте приведены следующие планы контрольных испытаний: усеченных последовательных испытаний; испытаний, ограниченных по наработке/по количеству отказов; испытаний с ограниченным календарным временем без замены объектов испытаний, комбинированных испытаний. Планы испытаний построены в предположении, что параметр потока отказов и интенсивность отказов являются постоянными величинами. Указаны преимущества и недостатки рассматриваемых планов. Приведены графики кривых оперативных характеристик, графики, отображающие области приемки, отклонения и продолжения испытаний при различных параметрах плана испытаний.
В
приложениях F и
H рассмотрено применение электронных таблиц для планирования испытаний и обработки результатов испытаний, существенно облегчающих вычисления и построение графиков в ходе этой деятельности.
В стандарте нет описания условий испытаний. При необходимости эти сведения можно найти в МЭК 60605-2 и в МЭК 60300-3-5.
В настоящем стандарте установлены оптимизированные планы испытаний, соответствующие кривые оперативных характеристик и объем испытаний. В приложении представлено руководство по использованию электронных таблиц на разных этапах испытаний, а также процедура выбора плана испытаний.
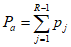
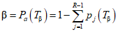
В стандарте установлены процедуры проверки соответствия установленным требованиям для наблюдаемых значений следующих величин:
- интенсивности отказов;
- параметра потока отказов;
- средней наработки до отказа;
- средней наработки на отказ.
В стандарте использовано предположение, что на протяжении всех испытаний суммарная наработка до отказа, наработка до отказа и наработка на отказ являются независимыми случайными величинами, подчиняющимися экспоненциальному распределению. При сделанном предположении интенсивность отказов или параметр потока отказов являются постоянной величиной.
Описаны следующие четыре типа планов испытаний:
- усеченные последовательные испытания;
- испытания, ограниченные по наработке или по количеству отказов;
- испытания с ограниченным календарным временем без замены объектов испытаний;
- комбинированные планы испытаний.
Настоящий стандарт не является полным руководством по планированию, осуществлению, анализу испытаний, а также оформлению документации о результатах испытаний. Эту информацию можно найти в МЭК 60300-3-5.
Стандарт не содержит описания условий испытаний. Данные сведения приведены в МЭК 60605-2 и МЭК 60300-3-5.
В настоящем стандарте использованы нормативные ссылки на следующие документы:
IEC 60050-191 International Electrotechnical Vocabulary (IEV) - Chapter 191: Dependability and quality of service (Международный электротехнический словарь. Глава 191. Надежность и качество услуг)
IEC 60300-3-5:2001 Dependability management - Part 3-5: Application guide - Reliability test conditions and statistical test principles 9 (Менеджмент надежности. Часть 3-5. Прикладное руководство. Условия испытаний на безотказность и статистические принципы проведения испытаний)
IEC 60605-2 Equipment reliability testing - Part 2: Design of test cycles (Испытания оборудования на безотказность. Часть 2. Планирование циклических испытаний)
IEC 60605-3 (all parts) Equipment reliability testing - Part 3: Preferred test conditions 9 (Испытания оборудования на безотказность. Часть 3. Предпочтительные условия испытаний)
IEC 60605-4:2001 Equipment reliability testing - Part 4: Statistical procedures for exponential distribution - Point estimates, confidence intervals, prediction intervals and tolerance intervals (Испытания оборудования на безотказность. Часть 4. Точечные оценки, доверительные интервалы, предикционные интервалы и толерантные интервалы)
IEC 60605-6 Equipment reliability testing - Part 6: Tests for the validity of the constant failure rate or constant failure intensity assumptions (Испытания оборудования на безотказность. Часть 6. Испытания для проверки предположения о постоянстве интенсивности отказов или параметра потока отказов)
IEC 61123:1991 Reliability testing - Compliance test plans for success ratio (Испытания оборудования на безотказность. Планы контрольных испытаний для доли успеха)
3 Термины, определения, символы и аббревиатуры
3.1 Термины и определения
В настоящем стандарте использованы термины и определения, установленные в МЭК 60050-191. Термины "интенсивность отказов" и "параметр потока отказов" в настоящем стандарте означают "постоянная интенсивность отказов" и "постоянный параметр потока отказов".
3.2 Обозначения и сокращения
3.2.1 Сокращения
MTBF - средняя наработка на отказ;
MTTF - средняя наработка до отказа;
OC - оперативная характеристика;
SPRT - последовательный критерий отношения правдоподобия (в некоторой литературе используют обозначение PRST).
Для обозначения интенсивности отказов и параметра потока отказов в данном стандарте использован общий символ

.
Символ m использован для двух следующих показателей безотказности:
- средней наработки на отказ (MTBF);
- средней наработки до отказа (MTTF).
При сделанных в стандарте предположениях

.
Последовательные планы испытаний (см.
раздел 6) и планы испытаний с ограниченным календарным временем (см.
раздел 7) основаны на показателе безотказности
m, в этом случае используют обратное соотношение:

;
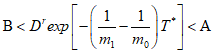
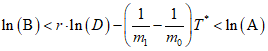
c - приемочное число отказов в процессе испытаний;
k - индекс для суммирования отказов;
D - разрешающее отношение
D =
m0/
m1 или

;
MTBF - средняя наработка на отказ;
MTTF - средняя наработка до отказа;
m - истинное значение MTFB или MTTF;
m0 - установленное значение MTFB или MTTF (приемочное значение средней наработки),

(заданное значение);
m1 - нижнее предельное значение MTFB или MTTF (браковочное значение средней наработки),

;
n - количество объектов испытаний до начала испытаний (объем испытаний);
Pa - вероятность приемки;
p0 - приемочная частота отказов;
g0 - приемочная частота успеха g0 = 1 - p0;
R(t) - вероятность безотказной работы за время t;
r - количество отказов, зарегистрированных в процессе испытаний;
r0 - количество отказов до завершения испытаний в последовательных испытаниях (SPRT);
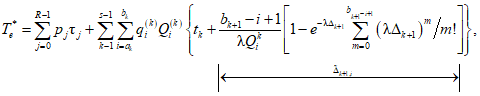
T* - суммарная наработка в процессе испытаний;

- приемочная суммарная наработка в процессе испытаний как (критерий приемки);

- приемочная минимальная наработка при
r = 0, (критерий приемки);

- средняя суммарная наработка в процессе испытаний для принятия решения;

- средняя суммарная наработка в процессе испытаний до приемки;

- суммарная наработка в процессе испытаний для отклонения (критерий отклонения);

- предельная суммарная наработка в процессе испытаний (критерий завершения испытаний);
t - продолжительность испытаний;
t* - продолжительность испытаний, ограниченных по времени;

- продолжительность испытаний объектов (одинаковая для всех объектов);
ti - наработка i-го отказавшего объекта;

- предельная календарная продолжительность испытаний (критерий завершения испытаний);
P(r) - вероятность того, что произойдет r отказов;

- вспомогательная величина, характеризующая
c,

;

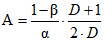
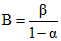
- установленное значение риска поставщика (риска первого рода);

- истинное значение риска поставщика (риска первого рода);

- установленное значение риска потребителя (риска второго рода);

- истинное значение риска потребителя (риска второго рода);

- истинное значение интенсивности отказов объекта;

- установленное значение интенсивности отказов объекта;

- верхнее предельное значение постоянной интенсивности отказов объекта;

- среднее количество отказов за время испытаний при интенсивности отказов равной

;
Примечание -

может не быть целым числом;

- среднее количество отказов за время испытаний при интенсивности отказов

как параметр распределения Пуассона

.
4 Общие требования и область применения
Если не установлено иначе, далее предполагается, что в процессе испытаний, суммарная наработка до отказа, наработка до отказа и наработка на отказ являются независимыми случайными величинами, распределенными по экспоненциальному закону. При сделанном предположении интенсивность отказов или параметр потока отказов являются постоянной величиной. В рамках этого предположения не сделано различий между интенсивностью отказов и параметром потока отказов. Таким образом, обе эти характеристики обозначены символом

и далее названы интенсивность отказов.
Сказанное обозначает, что требование установлено только к одному из показателей, например приемочному значению постоянной интенсивности отказов

, или приемочному числу отказов в единицу времени, или приемочной средней наработки до отказа, или приемочной средней наработки на отказ,
m0.
При необходимости проведения проверки постоянства интенсивности отказов или параметра потока отказов применяют методы, приведенные в IEC 60605-6.
4.2 Возможность замены или ремонта объекта
Последовательные планы испытаний (см.
раздел 6), планы испытаний, ограниченных по наработке или количеству отказов (см.
раздел 7), планы комбинированных испытаний (см.
раздел 10) применимы, если:
- происходит замена отказавшего объекта;
- не происходит замены отказавшего объекта;
при предположении, что:
- объект может быть заменен на тот же самый объект после его ремонта;
- суммарную наработку рассчитывают как сумму наработок испытываемых объектов согласно
5.4;
- заменяющие объекты принадлежат той же совокупности, что и исходные объекты;
- отремонтированные объекты могут быть рассмотрены как имеющие после ремонта тот же параметр потока отказов, какой они имели до отказа.
Однако планы испытаний, ограниченные по календарному времени или количеству отказов (см.
раздел 9), применимы в случаях, когда отказавшие объекты не заменяют, а фиксированное количество объектов испытывают в течение фиксированного календарного времени. Это означает, что в процессе испытаний количество объектов испытаний непостоянно, так как некоторые объекты испытаний могут отказать в ходе испытаний.
4.3 Типы планов испытаний
4.3.1 Общие положения
Приведены четыре типа планов испытаний:
- усеченные последовательные испытания (см.
раздел 6);
- испытания, ограниченные по наработке или количеству отказов [фиксированные (см.
раздел 7), альтернативные (см.
раздел 8)];
- испытания с ограниченным календарным временем без замен (см.
раздел 9);
4.3.2 Преимущества и недостатки различных типов планов испытаний
Различные планы тестовых испытаний приведены в
таблице 1.
Таблица 1
Преимущества и недостатки различных типов планов испытаний
Тип плана испытаний | Преимущества | Недостатки |
Усеченный последовательный | Обеспечивает наивысшую эффективность испытаний (наименьшая продолжительность испытаний). На основе планов испытаний типа A пользователь может разрабатывать новые планы, используя электронные таблицы и соответствующие программные средства. В планах испытаний типа C использованы истинные значения рисков  и  , которые ближе к установленным значениям рисков, чем в планах типа A | Сложен при осуществлении. Для маргинальной безотказности продолжительность испытаний больше, чем для планов испытаний, ограниченных по наработке или количеству отказов, и планов комбинированных испытаний. Планы испытаний, приведенные в приложении D, разработаны с использованием итеративного процесса. Они не могут быть рассчитаны на основе электронных таблиц, описанных в приложении F |
Ограниченный по наработке или количеству отказов | Прост для понимания и осуществления. Для маргинальной безотказности продолжительность испытаний часто меньше, чем у последовательных планов испытаний. Пользователь может разрабатывать новые планы испытаний, используя электронные таблицы и соответствующие программные средства. В процессе испытаний накапливается достаточно много информации об отказах; планы анализируют и дорабатывают с помощью программного средства TAAF | Для часто отказывающих и редко отказывающих объектов продолжительность испытаний много больше, чем планов последовательных испытаний или планов комбинированных испытаний (в случае высокой безотказности) |
Комбинированный | Объединяет преимущества планов испытаний, ограниченных по наработке или количеству отказов, и планов последовательных испытаний. Приемка редко отказывающих объектов испытаний может быть проведена быстро, в то время как объекты с низкой наработкой на отказ не могут быть отклонены достаточно быстро в процессе испытаний. В процессе испытаний накапливается достаточно много информации об отказах; планы анализируют и дорабатывают с помощью программного средства TAAF | Более сложен при осуществлении. Для объектов испытаний с маргинальной безотказностью испытания могут продолжаться дольше, чем при применении плана последовательных испытаний. Планы испытаний, приведенные в приложении D, разработаны с использованием итеративного процесса. Они не могут быть рассчитаны на основе электронных таблиц, описанных в приложении F и H |
5 Общая процедура испытаний
Руководство по планированию, выполнению, анализу, представлению отчетной документации об испытаниях приведено в МЭК 60300-3-5. Описание условий испытаний приведено в МЭК 60605-2 и МЭК 60300-3-5.
Все рассматриваемые виды испытаний могут быть адаптированы к требованиям высокой безотказности и более короткого периода времени до выхода на рынок. Сведения о выполняемых задачах, окружающей среде на стадиях жизненного цикла и условиях испытаний приведены ниже.
- Данные о назначении оборудования используют при определении требований к окружающей среде и могут быть определены из требований к эксплуатации оборудования или системы. Если эта информация не представлена в исходной договорной документации, то она может быть выведена из задач, выполняемых для требований оборудования или к окружающей среде. Термин "оборудование" использован вместо более подходящего термина "объект", что соответствует терминологии ссылочных стандартов.
- Следует использовать ранее полученные данные о применении аналогичного оборудования и платформ, на которых оно закреплено с учетом места размещения оборудования на платформе. Каждое значимое событие жизненного цикла оборудования должно быть рассмотрено, в том числе: транспортировка, погрузочно-разгрузочные работы, установка и испытания; такое рассмотрение проводят для платформ и условий их эксплуатации.
- При проведении испытаний должны быть учтены условия окружающей среды (для испытаний на повышение безотказности, квалификационных и приемочных испытаний). Все типы испытаний проводят под воздействием соответствующих условий, характерных для условий эксплуатации оборудования.
- Уровень нагрузок при испытаниях получают посредством анализа задач, выполняемых оборудованием и условий эксплуатации.
- если оборудование разработано для одного применения с единственной задачей или повторяющимися задачами одного типа, то имеет место простое отношение между характеристиками испытаний, задачи и окружающей среды на стадиях жизненного цикла оборудования. Условия испытаний должны имитировать нагрузки при выполнении задач;
- для оборудования, выполняющего несколько задач, действующего в нескольких видах условий, испытания должны быть построены с учетом задач, выполняемых оборудованием в процессе жизненного цикла. С целью получения условий испытаний, близких к реальным, и задания уровней испытаний фактические условия окружающей среды (особенно температура и вибрация) должны быть измерены там, где оборудование должно быть установлено при эксплуатации;
- если в процессе испытаний в конструкцию оборудования внесены изменения, после внесения изменений суммарная наработка должна быть обнулена, если иное не оговорено сторонами, участвующими в испытаниях (поставщиками и потребителями), что должно быть установлено в отчете об испытаниях (см. МЭК 60300-3-5).
5.2 Общие характеристики плана испытаний
Все планы испытаний и критерии принятия решений основаны на одной из двух характеристик:
- приемочное количество отказов за установленную наработку в процессе испытаний;
- приемочная наработка при установленном количестве отказов в процессе испытаний.
Детальное описание критериев для планов испытаний, а также их вариантов приведено в
6.3,
7.3,
8.4 и
9.3.
5.3 Регистрируемые данные
Для применения статистических процедур, установленных в настоящем стандарте, необходимо регистрировать следующие данные:
- наблюдаемое количество отказов;
- суммарная наработка.
При необходимости в условиях предположения, приведенного в
4.1, также регистрируют
- время появления каждого отказа.
5.4 Расчет суммарной наработки T*
Несмотря на то что термин "время" использован в настоящем стандарте, он может быть заменен аналогичными мерами продолжительности периода функционирования объекта в процессе испытаний, например длиной пути, циклом функционирования, начальным и конечным циклами функционирования и т.д. (см. МЭК 60605-2).
Суммарную наработку T* рассчитывают как сумму наработок всех испытываемых объектов. При наличии в процессе испытаний более одного отремонтированного объекта суммарная наработка представляет собой сумму наработок всех испытываемых объектов, за исключением времени, потраченного на их ремонт, и времени простоев.
При одновременном начале испытаний n объектов, суммарную наработку в процессе испытаний рассчитывают по следующей формуле:
T* = n·t* для испытаний с заменой отказавших объектов;

для испытаний без замены отказавших объектов;
где
n - количество испытываемых объектов о начале испытаний;
t* - продолжительность (усеченных) испытаний;
ti - наработка объекта до отказа;
r - количество отказавших объектов.
Необходимо контролировать объекты в порядке замены отказа в процессе испытаний объектов, регистрировать суммарную наработку и при необходимости наработку отказа каждого объекта (см.
5.3).
Объекты могут испытывать одновременно или последовательно. Рекомендуемый объем выборки
n >= 1 и
n >=
r0 + 1 с заменой объектов (см.
6 и
10) и
n >=
c + 1 без замены (см.
7,
8 и
9).
Календарное время используют для указания времени испытаний, в которых одновременно испытывают более одного объекта (см.
9).
Руководство по расчету суммарной наработки в случае, когда объекты испытаний поступают на испытания после начала испытаний или когда объекты снимают с испытаний до завершения испытаний (цензурированные наработки), приведено в МЭК 60300-3-5 и МЭК 60605-4:2001, приложение C.
Суммарную наработку обычно рассчитывают как общее время функционирования объектов. Если в программу испытаний необходимо включить другие режимы эксплуатации, такие как "холостой ход" или "в резерве", например в циклических испытаниях, то это должно быть установлено и согласовано до начала испытаний (см. МЭК 60605-2).
5.5 Количество отказов
В настоящем стандарте результат испытаний характеризуют наработкой и количеством отказов в процессе испытаний. На практике последствия отказов достаточно разнообразны. По этой причине следует учитывать критичность отказов, из-за чего испытания могут быть завершены даже при отсутствии превышения предельного количества отказов. С другой стороны, могут возникнуть отказы с такими незначительными последствиями, что их рассматривают как неучитываемые в процессе испытаний. Все отказы должны быть учтены, за исключением случаев, когда отказы квалифицируют как неучитываемые, т.е. за исключением тех отказов, которые вызваны факторами, не имеющими отношения к безотказности объекта в процессе испытаний. Правила классификации отказов должны быть разработаны сторонами до начала испытаний (МЭК 60300-3-5). Изменение классификации отказов требует соглашения между сторонами и должно быть отражено в отчете об испытаниях.
6 Последовательные планы испытаний
6.1 Общие сведения
Для последовательных планов испытаний существуют правила принятия решений о приемке, отклонении и продолжении испытаний, которые применяют в процессе испытаний. Планы установлены с помощью установленных значений рисков первого и второго рода и разрешающего отношения. Для реализации плана испытаний необходимо определить значение
m0. Обзор планов испытаний приведен в
6.4. Планы испытаний, соответствующие кривые оперативных характеристик и объем испытаний приведены в
приложениях A и
D. Примеры и математическое обоснование приведены в
приложении E. Для облегчения сопоставления планов испытаний типа C и комплексных планов испытаний могут быть использованы графики, приведенные в
приложении D. Описание итеративной процедуры планов испытаний приведено в
приложении K.
6.2 Общая процедура испытаний
Процедура испытаний должна включать следующие действия:
- определение условий окружающей среды для проведения испытаний на основе анализа условий испытаний (см.
5.1 и МЭК 60300-3-5:2001);
- определение m0 в соответствии с установленными требованиями или соглашениями;
- назначение рисков

и

, разрешающего отношения D с учетом того, что более низким значениям

,

и D соответствует более высокая мощность критерия, но требуются более продолжительные испытания и/или большее количество объектов испытаний;
- выбор значений

и

, обычно для упрощения вычислений и достижения соглашения между сторонами устанавливают равные значения рисков первого и второго рода (разделенный риск);
- определение

(критерия приемки) и

(критерия отклонения);
- выполнение плана и применение критериев принятия решения согласно
6.3.
6.3 Критерии принятия решения
В процессе испытаний к суммарной наработке и количеству отказов применяют критерии приемки и отклонения в интервалах испытаний, не превосходящих длины цикла испытаний или в интервалах наблюдений (см. 5.1, 7.3.1 МЭК 60300-3-5:2001). Применимы следующие критерии:
приемка: | если  и r <= r0(установленное требование выполнено); |
продолжение: | если  и r <= r0(нельзя принять решение) |
отклонение: | если T* < Tr и r <= r0 или если r >= r0 + 1 (установленное требование не выполнено). |
6.4 Обзор планов испытаний
В
таблице 2 указаны характеристики планов испытаний, приведенные в
приложениях A и
D. В этих приложениях для каждого плана испытаний приведены: график и таблица, используемые для принятия решений, график кривой оперативной характеристики и средняя наработка, необходимая для принятия решения.
Таблица 2
Планы последовательных испытаний, приведенные
Код плана испытаний | Характеристика плана | Значение отношения | Значение отношения | Значение отношения | Значение  и  при |
Установленные значения рисков | Разрешающее отношение D | m = m0 | m = m1 |
| | | |
| 10 | 10 | 1,5 | 4,39 | 17,88 | 33,04 | 12,03 | 9,77 |
| 10 | 10 | 2 | 2,20 | 5,37 | 10,30 | 13,39 | 9,62 |
| 10 | 10 | 3 | 1,098 | 1,77 | 3,152 | 15,09 | 9,43 |
| 10 | 10 | 5 | 0,549 | 0,65 | 1,102 | 16,81 | 9,24 |
| 20 | 20 | 1,5 | 2,77 | 8,00 | 14,37 | 24,32 | 18,92 |
| 20 | 20 | 2 | 1,39 | 2,31 | 4,73 | 27,27 | 18,18 |
| 20 | 20 | 3 | 0,693 | 0,72 | 1,54 | 31,03 | 17,24 |
| 30 | 30 | 1,5 | 1,69 | 2,93 | 5,41 | 37,70 | 26,70 |
| 30 | 30 | 2 | 0,847 | 0,79 | 1,91 | 43,24 | 24,32 |
| 5 | 5 | 1,7 | 7,584 | 23,89 | 29,300 | 5,00 | 5,00 |
| 10 | 5 | 1,7 | 5,032 9 | 16,57 | 24,240 | 9,998 | 5,00 |
| 10 | 10 | 1,7 | 4,429 4 | 13,28 | 18,030 | 10,00 | 9,999 |
| 15 | 5 | 1,7 | 5,836 6 | 16,40 | 19,900 | 14,999 | 5,001 |
| 20 | 10 | 1,7 | 4,023 2 | 10,00 | 12,600 | 19,998 | 10,002 |
| 20 | 20 | 1,7 | 2,342 4 | 5,62 | 8,300 | 19,992 | 20,016 |
| 30 | 20 | 1,7 | 2,102 1 | 3,95 | 5,500 | 29,990 | 20,014 |
| 30 | 30 | 1,7 | 1,275 7 | 2,13 | 3,800 | 30,056 | 29,912 |
7 Планы испытаний ограниченных по наработке или количеству отказов
7.1 Общие положения
В планах испытаний, ограниченных по наработке или количеству отказов, применяются правила принятия решения о приемке или отклонении на основе сопоставления суммарной наработки или количества отказов с критериями приемки или отклонения. Планы испытаний характеризуются заданными значениями рисков первого и второго рода и разрешающего отношения. Для реализации плана испытаний должно быть установлено значение m0.
Существуют четыре типа испытаний, ограниченных по наработке или количеству отказов:
- испытания с фиксированной наработкой с заменой отказавших объектов;
- испытания с фиксированной наработкой без замены отказавших объектов;
- испытания с фиксированным количеством отказов с заменой отказавших объектов;
| | ИС МЕГАНОРМ: примечание. В официальном тексте документа, видимо, допущена опечатка: абзац приведен дважды. | |
- испытания с фиксированным количеством отказов с заменой отказавших объектов;
Планы испытаний приведены в
7.4. Оперативные характеристики и объем испытаний приведены в
приложении B. Примеры и математическое обоснование приведены в
приложении G.
7.2 Общая процедура испытаний
Процедура испытаний включает следующие действия:
- определение условий окружающей среды для проведения испытаний (см.
5.1 и МЭК 60300-3-5:2001);
- определение m0 в соответствии с требованиями или соглашениями;
- выбор значений рисков первого и второго рода

(разделенный риск) или

разрешающего отношения D с учетом того, что более низким значениям

,

и D соответствует более высокая мощность критерия, но требуются более продолжительные испытания и/или большее количество объектов испытаний; важно выбирать значения

,

и D с учетом риска поставщика, риска потребителя, а также
m1, определенного в соответствии с D;
- выбор

(критерий завершения испытаний) и допустимого числа отказов
c;
- реализация плана и применение критерия принятия решения согласно
7.3.
7.3 Критерии принятия решения
Применяют следующие критерии принятия решения:
приемка: | если r <= c до  (установленное требование выполнено); |
отклонение: | если r > c до  (установленное требование не выполнено). |
В
таблице 3 приведены характеристики планов испытаний, ограниченных по наработке или количеству отказов. Наработку суммируют либо до достижения

(приемка), либо до превышения допустимого количества отказов
c (отклонение). Графики кривых оперативных характеристик и средняя суммарная наработка до принятия решения приведены в
приложении B.
Таблица 3
Планы испытаний, ограниченных по времени/отказам
Код плана испытаний | Характеристики плана | Значение отношения  | Приемочное число отказов c | Значения  и  при |
Установленные значения рисков первого и второго родов | Разрешающее отношение D | m = m0 | m = m1 |
| | | |
| 5 | 5 | 1,5 | 54,10 | 66 | 4,96 | 4,84 |
| 5 | 5 | 2 | 15,71 | 22 | 4,97 | 4,99 |
| 5 | 5 | 3 | 4,76 | 8 | 5,35 | 5,40 |
| 5 | 5 | 5 | 1,88 | 4 | 4,25 | 4,29 |
| 10 | 10 | 1,5 | 32,14 | 39 | 10,00 | 10,20 |
| 10 | 10 | 2 | 9,47 | 13 | 10,00 | 10,07 |
| 10 | 10 | 3 | 3,10 | 5 | 9,40 | 9,90 |
| 10 | 10 | 5 | 1,08 | 2 | 9,96 | 9,48 |
| 20 | 20 | 1,5 | 14,30 | 17 | 19,49 | 19,94 |
| 20 | 20 | 2 | 3,93 | 5 | 20,40 | 20,44 |
| 20 | 20 | 3 | 1,47 | 2 | 18,37 | 18,40 |
| 30 | 30 | 1,5 | 5,41 | 6 | 29,99 | 29,95 |
| 30 | 30 | 2 | 1,85 | 2 | 28,28 | 28,54 |
Примечание - Значение наработки до завершения испытаний (деленной на m0) эквивалентно среднему числу отказов в процессе испытания при значении  . |
8 Разработка альтернативных планов испытаний, ограниченных по наработке или количеству отказов
8.1 Общие положения
Альтернативные планы испытаний, ограниченные по наработке или количеству отказов, имеют правила принятия решения о приемке/отклонении, основанные на достижении значения суммарной наработки или превышении количества отказов. Планы испытаний зависят от выбранных значений рисков и продолжительности испытаний. Продолжительность испытаний выбирают независимо от

, что позволяет осуществлять разработку плана испытаний с учетом различных потребностей и условий, например экономичности, планирования ресурсов и времени.
Вычисленное разрешающее отношение используют для анализа планов испытаний. Для применения плана испытаний необходимо установить значение

. Связь

интенсивности отказов с MTTF или MTBF приведена в
3.2.2.
Также возможен выбор различных параметров плана испытаний и определение неизвестных параметров, как указано в
приложениях C и
I.
Графики для определения параметров плана испытаний и соответствующие кривые оперативных характеристик приведены в
приложении C. Примеры и математическое обоснование приведены в
приложении I.
8.2 Процедуры разработки плана
Процедуры, представленные в
приложении C, применимы непосредственно к планам испытаний:
- с заменой отказавших объектов, если время замены или ремонта пренебрежимо мало;
- без замены отказавших объектов при выполнении условия:

.
В таких случаях

.
Однако процедуры могут быть применены и к испытаниям:
- с заменой отказавших объектов, если на замену или ремонт затрачено продолжительное время;
- без замены отказавших объектов при выполнении условия:

.
В таких случаях используют формулу, содержащую суммарную наработку

(см.
5.4), в которой произведение

заменяют на

. Здесь
n и

не могут быть разделены (см.
C.2).
В каждом случае предпочтительные значения

и

определяют по
таблице 3.
В
приложении C приведены процедуры выбора планов испытаний и соответствующие примеры.
8.3 Общая процедура испытаний
Процедура испытаний должна включать следующие действия:
- определение условий окружающей среды для проведения испытаний, основанное на анализе подходящих условий испытаний (см.
5.1 и МЭК 60300-3-5:2001);
- определение

в соответствии с требованиями или соглашениями;
- выбор значений рисков первого и второго рода

и

продолжительности испытаний

и числа объема испытаний
n в соответствии с имеющимися ресурсами;
- анализ плана испытаний главным образом на основе разрешающего отношения D и при необходимости последующая модификация значений устанавливаемых параметров;
- осуществление испытаний до получения установленного значения суммарной наработки

или до превышения допустимого количества отказов
c и применение критериев принятия решения согласно
8.4.
8.4 Критерии принятия решений
Применяют следующие критерии принятия решений:
приемка: | если r <= c для  (установленное требование выполнено); |
отклонение: | если r > c для  (установленное требование не выполнено). |
9 Испытания без замены отказавших объектов с ограниченным календарным временем по наработке или количеству отказов
9.1 Общие положения
В планах испытаний, ограниченных по календарному времени, наработке или количеству отказов, применяют правила принятия решения о приемке или отклонении на основе полученной суммарной наработки или превышению допустимого количества отказов. Планы испытаний различаются по значениям рисков первого и второго рода и разрешающих отношений. При применении плана испытаний необходимо установить значение

. Связь
c0 m0 с

дана в
3.2.2.
Так как не происходит замены отказавших объектов, количество объектов в процессе испытаний, как правило, изменяется и суммарная наработка не является существенным показателем. Для планов испытаний на соответствие установленным требованиям в виде установленной доли успеха следует использовать таблицу 2 МЭК 61123.
Однако если объем испытаний значительно больше количества отказавших объектов, могут быть использованы планы испытаний, ограниченных по наработке или количеству отказов (см.
7).
Примеры и математическое обоснование приведены в
приложении J.
9.2 Общая процедура испытаний
Процедура испытаний должна включать следующие действия:
- определение условий окружающей среды в процессе испытаний на основе
5.1 и МЭК 60300-3-5:2001;
- определение значения

в соответствии с требованиями или соглашениями;
- выбор значений рисков

и

и разрешающего отношения
D с учетом того, что более низким значениям

,

и
D соответствует более высокая мощность критерия, но требуются более продолжительные испытания и/или большее количество объектов испытаний;
- выбор времени завершения испытаний

или количества объектов испытаний
n и выполнение вычислений в соответствии с
9.4.2 или
9.4.3 соответственно;
- выбор подходящего плана испытаний по таблице 2 МЭК 61123, с учетом полученного значения q0, и определение значения n для установления приемлемого значения c;
- осуществление испытаний и применение критерия принятия решения в соответствии с
9.3.
9.3 Критерии принятия решений
По результатам испытаний принимают решение:
о приемке: | если r <= c для  (установленное требование выполнено); |
об отклонении: | если r > c для  или до  (установленное требование не выполнено). |
9.4 Использование таблицы 2 МЭК 61123
9.4.1 Общие положения
При использовании таблицы 2 МЭК 61123 применяют две процедуры. Первую процедуру, приведенную в
9.4.2, применяют, если установлено значение максимальной суммарной наработки. Вторую процедуру, приведенную в
9.4.3, применяют, если установлено максимальное количество отказов.
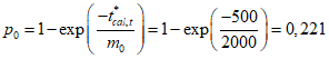
Определяют значения допустимой доли отказов p0 и q0

, (1)
где

,
следовательно,

, (2)
где p0 - допустимая доля отказов;
q0 - допустимая доля успехов, q0 = 1 - p0.
Примечание 1 - Значения
p0 или
q0 устанавливают в соответствии с МЭК 61123, но в данном случае
p0 определяют по установленному значению
m0 (или

) в соответствии с
(1), дополнительные сведения о
p0 и
q0 приведены в МЭК 61123.
Примечание 2 - Значение
p0 представляет собой вероятность отказа 1 -
R(
t) для

.
Примечание 3 - В процедурах может быть использовано только произведение nt*.
9.4.2 Процедура испытаний с заданной продолжительностью испытаний
Процедура испытаний должна включать следующие действия:
a) выбор

(в соответствии с таблицей 2 МЭК 61123);
b) вычисление
p0 в соответствии с
(1);
c) корректировка

при необходимости для установления
q0 = 1 -
p0 в соответствии с таблицей 2 МЭК 61123;
d) выбор соответствующего плана испытаний по таблице 2 МЭК 61123, удовлетворяющего установленным
D и

, и определяющего
n и
c.
9.4.3 Процедура испытаний с заданным количеством объектов испытаний
Процедура испытаний должна включать следующие действия:
a) выбор плана испытаний по таблице 2 МЭК 61123, удовлетворяющего установленным
D и

, со значением
n, близким к заданному значению
n, и определяющего
q0 = 1 -
p0,
n и
c;
b) вычисление

в соответствии с
(2).
10 Планы комбинированных испытаний
10.1 Общие положения
Для планов комбинированных испытаний линия принятия решения об отклонении является горизонтальной прямой, соответствует приемке и представляет собой кривую (см.
таблицу 1). Поэтому приемка объектов испытаний с высокой безотказностью произойдет достаточно быстро, в то время как объекты с большим количеством ранних отказов не будут отклонены немедленно. Такие планы испытаний подходят для анализа и корректировки с помощью программы TAAF, так как в данном случае доступно больше информации о режимах отказов, чем при последовательных испытаниях. Планы испытаний получают с помощью итеративной процедуры, описанной в
приложении K.
10.2 Общая процедура испытаний
Процедура испытаний должна включать следующие действия:
- определение условий окружающей среды в процессе испытаний на основе анализа подходящих условий испытаний (см.
5.1 и МЭК 60300-3-5:2001);
- определение значения m0 в соответствии с требованиями или соглашениями;
- выбор значений рисков первого и второго рода

и

и разрешающего отношения
D с учетом того, что нижние значения

,

и
D усиливают испытания, но требуют большего времени испытаний и/или большего количества объектов испытаний;
- выбор подходящего плана испытаний по
таблице 4 приложения D;
- определение приемочного значения суммарной наработки (критерия приемки)

;
- выполнение плана и применение критериев принятия решений в соответствии с
10.3.
10.3 Критерии принятия решений
К суммарной наработке и количеству отказов применяют критерии приемки и отклонения в процессе испытаний, в интервалах испытаний, не превосходящих длины цикла испытаний или в интервалах наблюдения (см. МЭК 60300-3-5:2001: 5.1, 7.3.1).
Критерии принятия решений:
приемка: | если  для r <= r0(установленное требование выполнено); |
продолжение: | если  для r <= r0(нельзя принять решение); |
отклонение: | если r >= r0 + 1 (установленное требование не выполнено). |
10.4 Планы испытаний
Таблица 4
Планы комбинированных испытаний
Код плана испытаний | Характеристика плана | Значение отношения | Значение отношения | Значение отношения | Приемочное число отказов r0 |
Значения рисков первого и второго рода | Разрешающее отношение D |
| |
| 5 | 5 | 1,7 | 6,454 0 | 22,07 | 29,463 2 | 38 |
| 10 | 5 | 1,7 | 4,721 9 | 16,59 | 24,517 0 | 30 |
| 10 | 10 | 1,7 | 4,426 4 | 13,12 | 18,183 9 | 23 |
| 15 | 5 | 1,7 | 5,732 0 | 16,22 | 19,989 8 | 24 |
| 20 | 10 | 1,7 | 3,949 5 | 9,80 | 12,757 3 | 15 |
| 20 | 20 | 1,7 | 2,436 5 | 5,60 | 8,568 4 | 10 |
| 30 | 20 | 1,7 | 2,144 1 | 3,96 | 5,714 6 | 6 |
| 30 | 30 | 1,7 | 1,219 4 | 2,30 | 4,388 1 | 4 |
Руководство по условиям испытаний и проведение испытаний приведено в 5.1 МЭК 60300-3-5 и МЭК 60605-2.
12 Представление результатов испытаний
При представлении результатов испытаний необходимо привести следующую информацию:
- условия испытаний (см.
5.1 и МЭК 60300-3-5);
- объекты испытаний, количество испытываемых объектов, объекты, замененные в процессе испытаний;
- использованный план испытаний;
- заданное значение

или
m0;
- установленные или аналитически полученные параметры плана испытаний, например: значения рисков первого и второго рода, значение разрешающего отношения, суммарной наработки до завершения испытаний, приемочного количества отказов;
- истинные параметры плана испытаний (при необходимости);
- зафиксированное в процессе испытаний количество отказов и обоснование каждого случая классификации отказа как не учитываемого;
- определенная суммарная наработка, особенно при проведении циклических испытаний или испытаний с несколькими задачами;
- суммарная наработка в момент завершения испытаний;
- результаты анализа, проведенного каким-либо иным способом (при необходимости);
- выводы.
(обязательное)
ТАБЛИЦЫ И ГРАФИКИ ДЛЯ ПЛАНОВ ПОСЛЕДОВАТЕЛЬНЫХ ИСПЫТАНИЙ
Примечание 2 - В данном приложении использованы обозначения в соответствии с
3.2
Рисунок A.1 - Линии принятия решений о приемке и отклонении
--------------------------------
<*> Здесь и далее: 1 - линия принятия решения о приемке; 2 - линия принятия решения об отклонении; 3 - завершение испытаний; 4 - продолжение испытаний.
Таблица A.1
r | Отклонение (меньше или равно) | Приемка (больше или равно) |
0 | - | 4,39 |
1 | - | 5,21 |
2 | - | 6,02 |
3 | - | 6,83 |
4 | - | 7,64 |
5 | 0,025 | 8,45 |
6 | 0,836 | 9,26 |
7 | 1,65 | 10,07 |
8 | 2,46 | 10,88 |
9 | 3,27 | 11,69 |
10 | 4,08 | 12,50 |
11 | 4,89 | 13,31 |
12 | 5,70 | 14,13 |
13 | 6,51 | 14,94 |
14 | 7,32 | 15,75 |
15 | 8,13 | 16,56 |
16 | 8,94 | 17,37 |
17 | 9,76 | 18,18 |
18 | 10,57 | 19,00 |
19 | 11,40 | 19,80 |
20 | 12,19 | 20,61 |
21 | 13,00 | 21,42 |
22 | 13,81 | 22,23 |
23 | 14,62 | 23,05 |
24 | 15,43 | 23,86 |
25 | 16,24 | 24,67 |
26 | 17,05 | 25,48 |
27 | 17,87 | 26,29 |
28 | 18,73 | 27,10 |
29 | 19,49 | 27,91 |
30 | 20,30 | 28,72 |
31 | 21,11 | 29,53 |
32 | 21,92 | 30,34 |
33 | 22,73 | 31,16 |
34 | 23,54 | 31,97 |
35 | 24,35 | 32,78 |
36 | 25,16 | 33,04 |
37 | 25,97 | 33,04 |
38 | 26,79 | 33,04 |
39 | 27,60 | 33,04 |
40 | 28,41 | 33,04 |
r0 = 41 | 29,22 | 33,04 |
42 | 33,04 | N/A |
Рисунок A.2 - Кривая оперативной характеристики
Рисунок A.4 - Линии принятия решений о приемке и отклонении
Таблица A.2
r | Отклонение (меньше или равно) | Приемка (больше или равно) |
0 | - | 2,20 |
1 | - | 2,89 |
2 | - | 3,58 |
3 | 0,170 | 4,28 |
4 | 0,863 | 4,97 |
5 | 1,56 | 5,66 |
6 | 2,25 | 6,36 |
7 | 2,94 | 7,05 |
8 | 3,64 | 7,74 |
9 | 4,33 | 8,44 |
10 | 5,02 | 9,13 |
11 | 5,72 | 9,82 |
12 | 6,41 | 10,30 |
13 | 7,10 | 10,30 |
14 | 7,79 | 10,30 |
r0 = 15 | 8,49 | 10,30 |
16 | 10,30 | N/A |
Рисунок A.5 - Кривая оперативной характеристики
Рисунок A.7 - Линии приемки и отклонения
Таблица A.3
r | Отклонение (меньше или равно) | Приемка (больше или равно) |
0 | - | 1,098 |
1 | - | 1,648 |
2 | 0,203 | 2,197 |
3 | 0,752 | 2,747 |
4 | 1,301 | 3,152 |
5 | 1,851 | 3,152 |
r0 = 6 | 2,400 | 3,152 |
7 | 3,152 | N/A |
Рисунок A.8 - Кривая оперативной характеристики
Рисунок A.10 - Линии приемки и отклонения
Таблица A.4
r | Отклонение (меньше или равно) | Приемка (больше или равно) |
0 | - | 0,549 |
1 | - | 0,951 |
2 | 0,383 | 1,102 |
r0 = 3 | 0,785 | 1,102 |
4 | 1,102 | N/A |
Рисунок A.11 - Кривая оперативной характеристики
Рисунок A.13 - Линии приемки и отклонения
Таблица A.5
r | Отклонение (меньше или равно) | Приемка (больше или равно) |
0 | - | 2,77 |
1 | - | 3,58 |
2 | - | 4,39 |
3 | 0,025 | 5,21 |
4 | 0,836 | 6,02 |
5 | 1,65 | 6,83 |
6 | 2,46 | 7,64 |
7 | 3,27 | 8,45 |
8 | 4,08 | 9,26 |
9 | 4,89 | 10,07 |
10 | 5,70 | 10,88 |
11 | 6,51 | 11,69 |
12 | 7,32 | 12,50 |
13 | 8,13 | 13,31 |
14 | 8,95 | 14,13 |
15 | 9,76 | 14,37 |
16 | 10,57 | 14,37 |
17 | 11,38 | 14,37 |
r0 = 18 | 12,19 | 14,37 |
19 | 14,37 | N/A |
Рисунок A.14 - Кривая оперативной характеристики
Рисунок A.16 - Линии приемки и отклонения
Таблица A.6
r | Отклонение (меньше или равно) | Приемка (больше или равно) |
0 | - | 1,39 |
1 | - | 2,08 |
2 | 0,288 | 2,77 |
3 | 0,981 | 3,47 |
4 | 1,67 | 4,16 |
5 | 2,37 | 4,73 |
6 | 3,06 | 4,73 |
r0 = 7 | 3,75 | 4,73 |
8 | 4,73 | N/A |
Рисунок A.17 - Кривая оперативной характеристики
| | ИС МЕГАНОРМ: примечание. В официальном тексте документа, видимо, допущена опечатка: имеется в виду план испытаний A.7, а не A.6. | |
Рисунок A.19 - Линии приемки и отклонения
Таблица A.7
r | Отклонение (меньше или равно) | Приемка (больше или равно) |
0 | - | 0,693 |
1 | 0,059 | 1,24 |
2 | 0,608 | 1,54 |
r0 = 3 | 1,16 | 1,54 |
4 | 1,54 | N/A |
Рисунок A.20 - Кривая оперативной характеристики
Рисунок A.22 - Линии приемки и отклонения
Таблица A.8
r | Отклонение (меньше или равно) | Приемка (больше или равно) |
0 | - | 1,69 |
1 | - | 2,51 |
2 | 0,292 | 3,32 |
3 | 1,10 | 4,13 |
4 | 1,91 | 4,94 |
5 | 2,72 | 5,41 |
6 | 3,54 | 5,41 |
r0 = 7 | 4,35 | 5,41 |
8 | 5,41 | N/A |
Рисунок A.23 - Кривая оперативной характеристики
| | ИС МЕГАНОРМ: примечание. В официальном тексте документа, видимо, допущена опечатка: имеется в виду план испытаний A.9, в не A.8. | |
Рисунок A.25 - Линии приемки и отклонения
Таблица A.9
r | Отклонение (меньше или равно) | Приемка (больше или равно) |
0 | - | 0,847 |
1 | 0,134 | 1,54 |
2 | 0,827 | 1,91 |
r0 = 3 | 1,52 | 1,91 |
4 | 1,91 | N/A |
Рисунок A.26 - Кривая оперативной характеристики
(обязательное)
ГРАФИКИ ДЛЯ ПЛАНОВ ИСПЫТАНИЙ, ОГРАНИЧЕННЫХ
ПО НАРАБОТКЕ ИЛИ КОЛИЧЕСТВУ ОТКАЗОВ
Примечание 2 - В данном приложении использованы обозначения, приведенные в
3.2.
Примечание 3 - Для показателей, отображающих среднюю наработку, прямые линии (наклонная линия, берущая начало в начале координат, и горизонтальная линия) характеризуют испытания с заменой отказавших объектов, ограниченные по количеству отказов. Кривые, асимптотически приближающиеся к обеим горизонтальным прямым, характеризуют испытания с заменой, ограниченные по наработке.
Рисунок B.1 - Кривые оперативных характеристик
Рисунок B.2 -
План B.1 - Средняя наработка
до принятия решения
Рисунок B.3 -
План B.2 - Средняя наработка
до принятия решения
Рисунок B.4 -
План B.3 - Средняя наработка
до принятия решения
Рисунок B.5 -
План B.4 - Средняя наработка
до принятия решения
Рисунок B.6 - Кривые оперативных характеристик
Рисунок B.7 -
План B.5 - Средняя наработка
до принятия решения
Рисунок B.8 -
План B.6 - Средняя наработка
до принятия решения
Рисунок B.9 -
План B.7 - Средняя наработка
до принятия решения
Рисунок B.10 -
План B.8 - Средняя наработка
до принятия решения
Рисунок B.11 - Кривые оперативных характеристик
Рисунок B.12 -
План B.9 - Средняя наработка
до принятия решения
до принятия решения
до принятия решения
Рисунок B.15 - Кривые оперативных характеристик
до принятия решения
до принятия решения
(обязательное)
ГРАФИКИ ДЛЯ ПЛАНОВ АЛЬТЕРНАТИВНЫХ ИСПЫТАНИЙ, ОГРАНИЧЕННЫХ
ПО НАРАБОТКЕ ИЛИ ПО КОЛИЧЕСТВУ ОТКАЗОВ
Примечание 2 - В данном приложении использованы обозначения, указанные в
3.2.2
C.1 Общий случай, определение c и D
Данная процедура особенно подходит для тех случаев, когда заданы следующие параметры планов испытаний:
- наработка (продолжительность испытаний), предполагаемая одинаковой для всех объектов испытаний и рассматриваемая как критерий завершения испытаний

;
- количество объектов испытаний n;
- равные значения заданных рисков поставщика и потребителя

;
- максимальное значение разрешающего отношения (если необходимо).
На основе этих параметров фактическое значение разрешающего отношения
D и приемочное количество отказов
c определяют по
графикам приложения C.4, как указано ниже.
Если полученное фактическое значение разрешающего отношения D превышает установленное максимальное значение или является соответствующим, то увеличивают продолжительность испытаний или изменяют другие параметры испытаний. Пересмотр и пересчет параметров происходит до тех пор, пока они не будут удовлетворять установленным условиям испытаний.
a) Общая процедура
Вычисляют

,
Если

, для получения подходящих параметров плана испытаний рекомендуется либо увеличить продолжительность испытаний

, либо увеличить количество объектов испытаний
n.
b) Процедура при

от 1 до 5
1) На
графике C.1 находят кривую, ближайшую к точке (

,
D), таким образом определяют значение
c.
2) По
графику C.2, используя соответствующую кривую оперативной характеристики, определяют истинное значение рисков

и

, используя

и

соответственно.
Пример |
Заданные значения: | , D = 3 |
Необходимо найти: | c, ,  |
| c = 1 |
| |
c) Процедура при

от 5 до 500
1) По
графику C.3 определяют точку (

,
D) и выполняют интерполяцию между кривыми для определения установленных значений

.
2) Определяют

, используя
график C.4 и заданные риски первого и второго рода

, затем получают

(используя округление).
Пример |
Заданные значения: | , D = 1,5 |
Необходимо найти: | c,  |
| |
| и c = 48,7 ~= 49 |
C.2 Получение n или 
В дополнение к

определяют один из следующих наборов параметров планов испытаний:
a) продолжительность

;
значения рисков

;
разрешающее отношение D;
b) количество объектов испытания
n;
значения рисков

;
разрешающее отношение D.
Общая процедура для случаев
a) и
b):
- используя значение

, вычисляют

;
- используя значение

, вычисляют либо количество объектов испытаний
n для заданного

либо продолжительность

для заданного

.
Рисунок C.1 - Разрешающее отношение
D и приемочное
количество отказов c изменяется от 1 до 8 как функция
среднего количества отказов

для рекомендованных значений
Рисунок C.2 - Кривые оперативных характеристик для
c
от 0 до 8, вероятности приемки Pa как функции истинного
(неизвестного) среднего количества отказов

Рисунок C.3 - Разрешающее отношение
D как функция среднего
количества отказов

для рекомендованных значений
Рисунок C.4 - Приемочное количество отказов
c, минус среднее
количество отказов

как функция
среднего количества отказов для рекомендованных значений
(обязательное)
ТАБЛИЦЫ И ГРАФИКИ ДЛЯ ПЛАНОВ КОМБИНИРОВАННЫХ ИСПЫТАНИЙ
И ДОПОЛНИТЕЛЬНЫЕ ПЛАНЫ ПОСЛЕДОВАТЕЛЬНЫХ ИСПЫТАНИЙ
Примечание 1 - В данном приложении использованы обозначения в соответствии с
3.2.2.
D.1 Общие положения
Планы комбинированных испытаний имеют преимущества планов испытаний, ограниченных по наработке или количеству отказов (планы испытаний типа B, см.
раздел 7) и планов последовательных испытаний (см.
6). Они позволяют сократить продолжительность испытаний для объектов, обладающих высокой безотказностью. Эти планы требуют такого же внимания, как и планы последовательных испытаний.
В приложении D приведены планы испытаний, перечисленные в
таблицах D.1 и
D.2
Таблица D.1
Планы последовательных испытаний
Планы последовательных испытаний типа C D = 1,7 | |
5% | 10% | 15% | 20% | 30% |
| 5% | | | | | |
10% | | | | | |
20% | | | | | |
30% | | | | | |
Таблица D.2
Планы комбинированных испытаний
Планы последовательных испытаний типа D D = 1,7 | |
5% | 10% | 15% | 20% | 30% |
| 5% | | | | | |
10% | | | | | |
20% | | | | | |
30% | | | | | |
Для каждого плана испытаний указаны:
- линии приемки и отклонения как для количества отказов r, так и для функции нормированной суммарной наработки T*/m0;
- средняя наработка

, как функция нормированной суммарной наработки
T*/
m0;
- средняя суммарная наработка

как функция нормированной суммарной наработки
T*/
m0;
- оперативная характеристика Pa, как функция нормированной суммарной наработки T*/m0.
Для облегчения сравнения планов испытаний типа C и типа D их представляют на одних и тех же графиках.

- C1;

- D1
Рисунок D.1 - Линии приемки и отклонения
Таблица D.3
Линии приемки и отклонения
Количество отказов r | Значения отношения T*/m0 |
| |
Отклонение | Приемка | Отклонение | Приемка |
0 | 0,000 0 | 7,584 0 | Нет | 6,454 0 |
1 | 0,000 0 | 8,342 0 | Нет | 7,769 1 |
2 | 0,000 0 | 9,100 1 | Нет | 8,877 6 |
3 | 0,000 0 | 9,858 1 | Нет | 9,875 2 |
4 | 0,000 0 | 10,616 2 | Нет | 10,799 0 |
5 | 0,000 0 | 11,374 2 | Нет | 11,668 3 |
6 | 0,000 0 | 12,132 2 | Нет | 12,494 5 |
7 | 0,000 0 | 12,890 3 | Нет | 13,285 2 |
8 | 0,000 0 | 13,648 3 | Нет | 14,045 7 |
9 | 0,065 2 | 14,406 4 | Нет | 14,780 0 |
10 | 0,823 2 | 15,164 4 | Нет | 15,490 8 |
11 | 1,581 3 | 15,922 4 | Нет | 16,180 6 |
12 | 2,339 3 | 16,680 5 | Нет | 16,851 0 |
13 | 3,097 4 | 17,438 5 | Нет | 17,503 6 |
14 | 3,855 4 | 18,196 6 | Нет | 18,139 5 |
15 | 4,613 4 | 18,954 8 | Нет | 18,759 7 |
16 | 5,371 5 | 19,712 6 | Нет | 19,365 0 |
17 | 6,129 5 | 20,470 7 | Нет | 19,9561 |
18 | 6,887 6 | 21,228 7 | Нет | 20,533 5 |
19 | 7,645 6 | 21,986 8 | Нет | 21,097 7 |
20 | 8,403 6 | 22,744 8 | Нет | 21,649 0 |
21 | 9,161 7 | 23,502 8 | Нет | 22,187 8 |
22 | 9,919 7 | 24,260 9 | Нет | 22,714 3 |
23 | 10,677 8 | 25,018 9 | Нет | 23,228 6 |
24 | 11,435 8 | 25,770 0 | Нет | 23,730 9 |
25 | 12,193 8 | 26,535 0 | Нет | 24,221 4 |
26 | 12,951 9 | 27,293 0 | Нет | 24,699 9 |
27 | 13,709 9 | 28,051 1 | Нет | 25,166 6 |
28 | 14,468 0 | 28,809 1 | Нет | 25,621 3 |
29 | 15,226 0 | 29,300 0 | Нет | 26,064 0 |
30 | 15,984 0 | 29,300 0 | Нет | 26,494 4 |
31 | 16,742 1 | 29,300 0 | Нет | 26,912 5 |
32 | 17,5001 | 29,300 0 | Нет | 27,317 9 |
33 | 18,258 2 | 29,300 0 | Нет | 27,710 4 |
34 | 19,016 2 | 29,300 0 | Нет | 28,089 5 |
35 | 19,774 2 | 29,300 0 | Нет | 28,455 0 |
36 | 20,532 3 | 29,300 0 | Нет | 28,806 1 |
37 | 21,290 3 | 29,300 0 | Нет | 29,142 5 |
r0 = 38 | 22,048 4 | 29,300 0 | Нет | 29,463 2 |
39 | 29,300 0 | N/A | Всегда | N/A |
Отклонение всегда при количестве отказов 39 и более |


- C1;

- D1
Рисунок D.2 - Зависимость

от
m/
m0

- C1;

- D1
Рисунок D.3 - Зависимость

от
m/
m0

- C1;

- D1
Рисунок D.4 - Оперативная характеристика Pa
Таблица D.4
Значения

,

и
Pa
m/m0 | | | | m/m0 | Pa |
| | | | | |
0,2 | 2,532 8 | 8,371 5 | 7,800 0 | 6,521 7 | 0,2 | 0,000 0 | 0,000 0 |
0,3 | 4,617 3 | 10,888 0 | 11,700 0 | 7,395 5 | 0,3 | 0,000 0 | 0,000 0 |
0,4 | 7,856 3 | 27,663 2 | 15,600 0 | 26,378 9 | 0,4 | 0,000 0 | 0,000 0 |
0,5 | 13,088 4 | 28,835 8 | 19,491 9 | 27,529 9 | 0,5 | 0,002 7 | 0,002 8 |
0,6 | 19,581 8 | 28,750 9 | 23,130 9 | 27,132 5 | 0,6 | 0,065 4 | 0,065 3 |
0,7 | 24,518 7 | 28,297 4 | 25,429 1 | 26,321 9 | 0,7 | 0,308 1 | 0,307 7 |
0,8 | 26,413 6 | 27,352 6 | 25,521 9 | 25,110 6 | 0,8 | 0,630 1 | 0,629 6 |
0,9 | 25,803 0 | 25,803 4 | 24,045 0 | 23,544 0 | 0,9 | 0,850 2 | 0,849 9 |
1,0 | 23,890 9 | 23,763 9 | 22,065 4 | 21,791 0 | 1,0 | 0,950 0 | 0,950 0 |
1,2 | 19,540 9 | 19,512 2 | 18,568 9 | 18,532 2 | 1,2 | 0,995 9 | 0,996 0 |
1,4 | 16,383 8 | 16,381 1 | 16,132 9 | 16,129 7 | 1,4 | 0,999 7 | 0,999 7 |
1,6 | 14,388 4 | 14,388 2 | 14,449 0 | 14,448 7 | 1,6 | 1,000 0 | 1,000 0 |
1,8 | 13,097 7 | 13,097 7 | 13,239 0 | 13,239 0 | 1,8 | 1,000 0 | 1,000 0 |
2,0 | 12,212 3 | 12,212 3 | 12,335 6 | 12,335 5 | 2,0 | 1,000 0 | 1,000 0 |
2,2 | 11,570 8 | 11,570 8 | 11,638 4 | 11,638 4 | 2,2 | 1,000 0 | 1,000 0 |

- C2;

- D2
Рисунок D.5 - Линии приемки и отклонения
Таблица D.5
Линии приемки и отклонения
Количество отказов r | Значения отношения T*/m0 |
| |
Отклонение | Приемка | Отклонение | Приемка |
0 | 0,000 0 | 5,032 9 | Нет | 4,721 9 |
1 | 0,000 0 | 5,790 9 | Нет | 5,895 8 |
2 | 0,000 0 | 6,549 0 | Нет | 6,899 3 |
3 | 0,000 0 | 7,307 0 | Нет | 7,812 9 |
4 | 0,000 0 | 8,065 1 | Нет | 8,667 4 |
5 | 0,000 0 | 8,823 1 | Нет | 9,478 7 |
6 | 0,000 0 | 9,581 1 | Нет | 10,256 1 |
7 | 0,000 0 | 10,339 2 | Нет | 11,005 8 |
8 | 0,000 0 | 11,097 2 | Нет | 11,732 2 |
9 | 0,000 0 | 11,855 3 | Нет | 12,438 3 |
10 | 0,000 0 | 12,613 3 | Нет | 13,126 6 |
11 | 0,720 1 | 13,371 3 | Нет | 13,798 8 |
12 | 1,478 2 | 14,129 4 | Нет | 14,456 3 |
13 | 2,236 2 | 14,887 4 | Нет | 15,100 5 |
14 | 2,994 3 | 15,645 5 | Нет | 15,732 1 |
15 | 3,752 3 | 16,403 5 | Нет | 16,352 1 |
16 | 4,510 3 | 17,161 5 | Нет | 16,961 0 |
17 | 5,268 4 | 17,919 6 | Нет | 17,559 4 |
18 | 6,026 4 | 18,677 6 | Нет | 18,147 8 |
19 | 6,784 5 | 19,435 7 | Нет | 18,726 5 |
20 | 7,542 5 | 20,193 7 | Нет | 19,295 9 |
21 | 8,300 5 | 20,951 7 | Нет | 19,856 3 |
22 | 9,058 6 | 21,709 8 | Нет | 20,407 8 |
23 | 9,816 6 | 22,467 8 | Нет | 20,950 6 |
24 | 10,574 7 | 23,225 9 | Нет | 21,485 0 |
25 | 11,332 7 | 23,983 9 | Нет | 22,011 0 |
26 | 12,090 7 | 24,240 0 | Нет | 22,528 7 |
27 | 12,848 8 | 24,240 0 | Нет | 23,038 1 |
28 | 13,606 8 | 24,240 0 | Нет | 23,539 3 |
29 | 14,364 9 | 24,240 0 | Нет | 24,032 3 |
r0 = 30 | 15,122 9 | 24,240 0 | Нет | 24,517 0 |
31 | 24,240 0 | N/A | Всегда | N/A |
| Отклонение при количестве отказов 31 и более |


- C2;

- D2
Рисунок D.6 - Зависимость

от
m/
m0

- C2;

- D2
Рисунок D.7 - Зависимость

от
m/
m0

- C2;

- D2
Рисунок D.8 - Оперативная характеристика Pa
Таблица D.6
Значения

,

и
Pa
m/m0 | | | | m/m0 | Pa |
| | | | | |
0,2 | 2,841 4 | 5,555 5 | 6,200 0 | 4,815 2 | 0,2 | 0,000 0 | 0,000 0 |
0,3 | 5,181 1 | 6,828 7 | 9,300 0 | 5,559 4 | 0,3 | 0,000 0 | 0,000 0 |
0,4 | 8,722 1 | 10,738 8 | 12,399 6 | 12,548 4 | 0,4 | 0,000 1 | 0,000 0 |
0,5 | 13,311 2 | 17,895 5 | 15,475 8 | 18,847 2 | 0,5 | 0,004 6 | 0,004 4 |
0,6 | 17,370 8 | 19,933 3 | 18,230 3 | 19,709 2 | 0,6 | 0,063 2 | 0,063 3 |
0,7 | 19,643 2 | 19,857 7 | 19,790 5 | 19,350 6 | 0,7 | 0,261 5 | 0,262 5 |
0,8 | 19,816 8 | 18,948 8 | 19,643 2 | 18,478 7 | 0,8 | 0,541 4 | 0,542 3 |
0,9 | 18,491 3 | 17,571 7 | 18,306 8 | 17,300 3 | 0,9 | 0,769 0 | 0,769 3 |
1,0 | 16,576 0 | 15,975 4 | 16,586 0 | 15,977 0 | 1,0 | 0,900 0 | 0,900 0 |
1,2 | 13,116 9 | 12,980 5 | 13,602 0 | 13,471 0 | 1,2 | 0,985 6 | 0,985 5 |
1,4 | 10,896 7 | 10,875 5 | 11,615 2 | 11,595 0 | 1,4 | 0,998 2 | 0,998 2 |
1,6 | 9,551 8 | 9,548 9 | 10,307 9 | 10,305 1 | 1,6 | 0,999 8 | 0,999 8 |
1,8 | 8,692 3 | 8,691 9 | 9,402 6 | 9,402 2 | 1,8 | 1,000 0 | 1,000 0 |
2,0 | 8,104 4 | 8,104 3 | 8,743 7 | 8,743 6 | 2,0 | 1,000 0 | 1,000 0 |
2,2 | 7,678 6 | 7,678 6 | 8,244 3 | 8,244 3 | 2,2 | 1,000 0 | 1,000 0 |

- C3;

- D3
Рисунок D.9 - Линии приемки и отклонения
Таблица D.7
Линии приемки и отклонения
Количество отказов r | Значения отношения T*/m0 |
| |
Отклонение | Приемка | Отклонение | Приемка |
0 | 0,000 0 | 4,429 4 | нет | 4,426 4 |
1 | 0,000 0 | 5,187 4 | нет | 5,531 2 |
2 | 0,000 0 | 5,945 5 | нет | 6,466 4 |
3 | 0,000 0 | 6,703 5 | нет | 7,310 1 |
4 | 0,000 0 | 7,461 6 | нет | 8,092 4 |
5 | 0,000 0 | 8,219 6 | нет | 8,828 6 |
6 | 0,000 0 | 8,977 6 | нет | 9,527 8 |
7 | 0,000 0 | 9,735 7 | нет | 10,196 1 |
8 | 0,015 2 | 10,493 7 | нет | 10,837 4 |
9 | 0,773 2 | 11,251 8 | нет | 11,454 8 |
10 | 1,531 2 | 12,009 8 | нет | 12,050 3 |
11 | 2,289 3 | 12,767 8 | нет | 12,625 7 |
12 | 3,047 3 | 13,525 9 | нет | 13,182 2 |
13 | 3,805 4 | 14,283 9 | нет | 13,720 6 |
14 | 4,563 4 | 15,042 0 | нет | 14,241 7 |
15 | 5,321 4 | 15,800 0 | нет | 14,745 9 |
16 | 6,079 5 | 16,558 0 | нет | 15,233 7 |
17 | 6,837 5 | 17,316 1 | нет | 15,705 1 |
18 | 7,595 6 | 18,030 0 | нет | 16,160 2 |
19 | 8,353 6 | 18,030 0 | нет | 16,599 0 |
20 | 9,111 6 | 18,030 0 | нет | 17,021 1 |
21 | 9,869 7 | 18,030 0 | нет | 17,426 3 |
22 | 10,627 7 | 18,030 0 | нет | 17,814 1 |
r0 = 23 | 11,385 8 | 18,030 0 | нет | 18,183 9 |
24 | 18,030 0 | N/A | Всегда | N/A |
| Отклонение при количестве отказов 24 и более |

- C3;

- D3
Рисунок D.10 - Зависимость

от
m/
m0

- C3;

- D3
Рисунок D.11 - Зависимость

от
m/
m0

- C3;

- D3
Рисунок D.12 - Оперативная характеристика Pa
Таблица D.8
Значения

,

и
Pa
| | | | | Pa |
m/m0 | | | | | m/m0 | | |
0,2 | 2,279 1 | 4,889 3 | 4,800 0 | 4,551 2 | 0,2 | 0,000 0 | 0,000 0 |
0,3 | 4,152 5 | 6,242 3 | 7,200 0 | 6,422 1 | 0,3 | 0,000 0 | 0,000 0 |
0,4 | 6,920 1 | 12,759 5 | 9,598 8 | 14,294 0 | 0,4 | 0,000 4 | 0,000 3 |
0,5 | 10,295 5 | 15,650 0 | 11,948 4 | 15,586 3 | 0,5 | 0,015 8 | 0,015 6 |
0,6 | 13,183 2 | 15,972 7 | 13,908 6 | 15,505 1 | 0,6 | 0,119 3 | 0,119 4 |
0,7 | 14,790 4 | 15,625 2 | 14,912 4 | 15,058 8 | 0,7 | 0,346 6 | 0,346 9 |
0,8 | 15,042 6 | 14,932 3 | 14,848 0 | 14,404 8 | 0,8 | 0,600 7 | 0,600 9 |
0,9 | 14,369 1 | 14,011 9 | 14,104 9 | 13,618 1 | 0,9 | 0,789 8 | 0,789 9 |
1,0 | 13,279 6 | 12,974 4 | 13,116 6 | 12,772 8 | 1,0 | 0,900 0 | 0,900 0 |
1,2 | 11,071 8 | 10,967 5 | 11,274 0 | 11,170 4 | 1,2 | 0,980 7 | 0,980 7 |
1,4 | 9,446 8 | 9,422 2 | 9,926 5 | 9,902 9 | 1,4 | 0,996 5 | 0,996 5 |
1,6 | 8,365 2 | 8,360 0 | 8,979 9 | 8,975 0 | 1,6 | 0,999 4 | 0,999 4 |
1,8 | 7,638 1 | 7,637 0 | 8,296 6 | 8,295 6 | 1,8 | 0,999 9 | 0,999 9 |
2,0 | 7,129 0 | 7,128 8 | 7,785 3 | 7,785 1 | 2,0 | 1,000 0 | 1,000 0 |
2,2 | 6,756 8 | 6,756 7 | 7,390 2 | 7,390 2 | 2,2 | 1,000 0 | 1,000 0 |

- C4;

- D4
Рисунок D.13 - Линии приемки и отклонения
Таблица D.9
Линии приемки и отклонения
Количество отказов r | Значения отношения T*/m0 |
| |
Отклонение | Приемка | Отклонение | Приемка |
0 | 0,000 0 | 5,836 6 | Нет | 5,732 0 |
1 | 0,000 0 | 6,594 6 | Нет | 6,946 2 |
2 | 0,000 0 | 7,352 7 | Нет | 7,960 5 |
3 | 0,000 0 | 8,110 7 | Нет | 8,865 7 |
4 | 0,000 0 | 8,868 8 | Нет | 9,697 2 |
5 | 0,000 0 | 9,626 8 | Нет | 10,473 0 |
6 | 0,000 0 | 10,384 8 | Нет | 11,204 0 |
7 | 0,000 0 | 11,142 9 | Нет | 11,897 4 |
8 | 0,000 0 | 11,900 9 | Нет | 12,558 0 |
9 | 0,303 2 | 12,659 0 | Нет | 13,189 4 |
10 | 1,061 3 | 13,417 0 | Нет | 13,794 1 |
11 | 1,819 3 | 14,175 0 | Нет | 14,374 2 |
12 | 2,577 3 | 14,933 1 | Нет | 14,931 2 |
13 | 3,335 4 | 15,691 1 | Нет | 15,466 1 |
14 | 4,093 4 | 16,449 2 | Нет | 15,979 8 |
15 | 4,851 5 | 17,207 2 | Нет | 16,472 9 |
16 | 5,609 5 | 17,965 2 | Нет | 16,945 8 |
17 | 6,367 5 | 18,723 3 | Нет | 17,398 7 |
18 | 7,125 6 | 19,481 3 | Нет | 17,831 5 |
19 | 7,883 6 | 19,900 0 | Нет | 18,244 3 |
20 | 8,641 7 | 19,900 0 | Нет | 18,636 7 |
21 | 9,399 7 | 19,900 0 | Нет | 19,008 2 |
22 | 10,157 7 | 19,900 0 | Нет | 19,358 1 |
23 | 10,915 8 | 19,900 0 | Нет | 19,685 7 |
r0 = 24 | 11,673 8 | 19,900 0 | Нет | 19,989 8 |
25 | 19,900 0 | N/A | Всегда | N/A |
| Отклонение всегда при количестве отказов 25 и более |

- C4;

- D4
Рисунок D.14 - Зависимость

от
m/
m0

- C4;

- D4
Рисунок D.15 - Зависимость

от
m/
m0

- C4;

- D4
Рисунок D.16 - Оперативная характеристика Pa
Таблица D.10
Значения

,

и
Pa
| | | | | Pa |
m/m0 | | | | | m/m0 | | |
0,2 | 2,447 5 | 6,442 7 | 5,000 0 | 5,830 8 | 0,2 | 0,000 0 | 0,000 0 |
0,3 | 4,460 1 | 8,723 0 | 7,500 0 | 9,557 4 | 0,3 | 0,000 0 | 0,000 0 |
0,4 | 7,420 7 | 17,275 0 | 9,999 9 | 18,229 0 | 0,4 | 0,000 1 | 0,000 0 |
0,5 | 10,990 5 | 18,772 1 | 12,488 0 | 18,570 3 | 0,5 | 0,005 2 | 0,005 1 |
0,6 | 14,178 5 | 18,817 0 | 14,806 3 | 18,360 2 | 0,6 | 0,062 3 | 0,062 3 |
0,7 | 16,365 1 | 18,499 1 | 16,483 7 | 17,960 5 | 0,7 | 0,237 7 | 0,237 8 |
0,8 | 17,318 9 | 17,929 2 | 17,152 6 | 17,407 7 | 0,8 | 0,486 2 | 0,486 3 |
0,9 | 17,199 5 | 17,136 4 | 16,938 8 | 16,723 1 | 0,9 | 0,705 5 | 0,705 6 |
1,0 | 16,408 3 | 16,174 8 | 16,224 5 | 15,945 4 | 1,0 | 0,850 0 | 0,850 0 |
1,2 | 14,225 3 | 14,096 5 | 14,451 9 | 14,328 7 | 1,2 | 0,968 3 | 0,968 3 |
1,4 | 12,338 3 | 12,302 0 | 12,945 7 | 12,912 8 | 1,4 | 0,994 0 | 0,994 0 |
1,6 | 10,990 5 | 10,982 2 | 11,812 0 | 11,804 5 | 1,6 | 0,998 9 | 0,998 9 |
1,8 | 10,055 0 | 10,053 2 | 10,960 9 | 10,959 3 | 1,8 | 0,999 8 | 0,999 8 |
2,0 | 9,390 9 | 9,390 5 | 10,307 8 | 10,307 4 | 2,0 | 1,000 0 | 1,000 0 |
2,2 | 8,902 4 | 8,902 3 | 9,794 2 | 9,794 1 | 2,2 | 1,000 0 | 1,000 0 |

- C5;

- D5
Рисунок D.17 - Линии приемки и отклонения
Таблица D.11
Линии приемки и отклонения
Количество отказов r | Значения отношения T*/m0 |
| |
Отклонение | Приемка | Отклонение | Приемка |
0 | 0,000 0 | 4,023 2 | Нет | 3,949 5 |
1 | 0,000 0 | 4,781 2 | Нет | 4,965 6 |
2 | 0,000 0 | 5,539 3 | Нет | 5,818 1 |
3 | 0,000 0 | 6,297 3 | Нет | 6,580 4 |
4 | 0,000 0 | 7,055 4 | Нет | 7,280 4 |
5 | 0,041 8 | 7,813 4 | Нет | 7,932 4 |
6 | 0,799 8 | 8,571 4 | Нет | 8,544 8 |
7 | 1,557 8 | 9,329 5 | Нет | 9,122 9 |
8 | 2,315 9 | 10,087 5 | Нет | 9,670 3 |
9 | 3,073 9 | 10,845 6 | Нет | 10,189 2 |
10 | 3,832 0 | 11,603 6 | Нет | 10,681 2 |
11 | 4,590 0 | 12,361 6 | Нет | 11,147 4 |
12 | 5,348 1 | 12,600 0 | Нет | 11,588 2 |
13 | 6,106 1 | 12,600 0 | Нет | 12,003 7 |
14 | 6,864 1 | 12,600 0 | Нет | 12,393 7 |
r0 = 15 | 7,662 2 | 12,600 0 | Нет | 12,757 3 |
16 | 12,600 0 | N/A | Всегда | N/A |
| Отклонение всегда при количестве отказов 16 и более |

- C5;

- D5
Рисунок D.18 - Зависимость

от
m/
m0

- C5;

- D5
Рисунок D.19 - Зависимость

от
m/
m0

- C5;

- D5
Рисунок D.20 - Оперативная характеристика Pa
Таблица D.12
Значения

,

и
Pa
| | | | | Pa |
m/m0 | | | | | m/m0 | | |
0,2 | 1,453 4 | 4,442 0 | 3,200 0 | 4,132 1 | 0,2 | 0,000 0 | 0,000 0 |
0,3 | 2,643 8 | 6,722 0 | 4,800 0 | 7,086 9 | 0,3 | 0,000 0 | 0,000 0 |
0,4 | 4,357 8 | 10,456 2 | 6,397 3 | 10,387 9 | 0,4 | 0,001 2 | 0,001 1 |
0,5 | 6,423 9 | 11,260 5 | 7,943 0 | 10,886 2 | 0,5 | 0,022 4 | 0,022 5 |
0,6 | 8,313 0 | 11,309 9 | 9,238 2 | 10,842 9 | 0,6 | 0,115 9 | 0,115 9 |
0,7 | 9,607 6 | 11,118 8 | 10,041 1 | 10,622 6 | 0,7 | 0,292 8 | 0,292 6 |
0,8 | 10,215 9 | 10,796 8 | 10,303 6 | 10,308 1 | 0,8 | 0,497 1 | 0,496 8 |
0,9 | 10,279 6 | 10,388 2 | 10,162 4 | 9,935 9 | 0,9 | 0,673 1 | 0,672 9 |
1,0 | 10,005 9 | 9,926 3 | 9,797 1 | 9,532 7 | 1,0 | 0,800 0 | 0,800 0 |
1,2 | 9,075 5 | 8,963 3 | 8,884 5 | 8,720 7 | 1,2 | 0,932 1 | 0,932 3 |
1,4 | 8,151 0 | 8,092 8 | 8,070 0 | 7,997 6 | 1,4 | 0,977 9 | 0,978 1 |
1,6 | 7,413 5 | 7,389 1 | 7,435 6 | 7,407 0 | 1,6 | 0,992 7 | 0,992 9 |
1,8 | 6,857 1 | 6,847 7 | 6,951 6 | 6,940 7 | 1,8 | 0,997 5 | 0,997 6 |
2,0 | 6,439 1 | 6,435 5 | 6,577 9 | 6,573 7 | 2,0 | 0,999 1 | 0,999 2 |
2,2 | 6,120 4 | 6,119 0 | 6,283 4 | 6,281 7 | 2,2 | 0,999 7 | 0,999 7 |

- C6;

- D6
Рисунок D.21 - Линии приемки и отклонения
Таблица D.13
Линии приемки и отклонения
Количество отказов r | Значения отношения T*/m0 |
| |
Отклонение | Приемка | Отклонение | Приемка |
0 | 0,000 0 | 2,342 4 | Нет | 2,436 5 |
1 | 0,000 0 | 3,100 4 | Нет | 3,257 1 |
2 | 0,000 0 | 3,858 5 | Нет | 3,972 8 |
3 | 0,000 0 | 4,616 5 | Нет | 4,633 4 |
4 | 0,148 9 | 5,374 6 | Нет | 5,257 5 |
5 | 0,906 9 | 6,132 6 | Нет | 5,854 5 |
6 | 1,665 0 | 6,890 6 | Нет | 6,429 8 |
7 | 2,423 0 | 7,648 7 | Нет | 6,986 8 |
8 | 3,181 0 | 8,300 0 | Нет | 7,527 9 |
9 | 3,939 1 | 8,300 0 | Нет | 8,054 7 |
r0 = 10 | 4,697 1 | 8,300 0 | Нет | 8,568 4 |
11 | 8,300 0 | N/A | Всегда | N/A |
| Отклонение всегда при количестве отказов 11 и более |

- C6;

- D6
Рисунок D.22 - Зависимость

от
m/
m0

- C6;

- D6
Рисунок D.23 - Зависимость

от
m/
m0

- C6;

- D6
Рисунок D.24 - Оперативная характеристика Pa
Таблица D.14
Значения

,

и
Pa
| | | | | Pa |
m/m0 | | | | | m/m0 | | |
0,2 | 1,145 9 | 2,587 4 | 2,200 0 | 2,700 2 | 0,2 | 0,000 0 | 0,000 0 |
0,3 | 2,064 2 | 3,513 7 | 3,297 9 | 3,916 6 | 0,3 | 0,001 0 | 0,000 8 |
0,4 | 3,248 2 | 5,114 3 | 4,360 6 | 5,241 1 | 0,4 | 0,014 9 | 0,014 5 |
0,5 | 4,427 0 | 5,888 3 | 5,261 0 | 5,768 0 | 0,5 | 0,080 8 | 0,080 7 |
0,6 | 5,302 9 | 6,091 5 | 5,845 5 | 5,885 2 | 0,6 | 0,219 3 | 0,219 3 |
0,7 | 5,775 5 | 6,049 7 | 6,080 7 | 5,823 6 | 0,7 | 0,396 1 | 0,395 8 |
0,8 | 5,909 2 | 5,893 7 | 6,048 1 | 5,676 2 | 0,8 | 0,564 9 | 0,564 5 |
0,9 | 5,821 5 | 5,681 6 | 5,858 1 | 5,486 7 | 0,9 | 0,700 9 | 0,700 6 |
1,0 | 5,615 3 | 5,445 1 | 5,598 0 | 5,279 9 | 1,0 | 0,800 0 | 0,800 0 |
1,2 | 5,097 9 | 4,969 3 | 5,057 8 | 4,869 3 | 1,2 | 0,913 6 | 0,914 0 |
1,4 | 4,621 0 | 4,547 5 | 4,605 7 | 4,507 1 | 1,4 | 0,962 6 | 0,963 2 |
1,6 | 4,240 2 | 4,201 9 | 4,258 6 | 4,209 2 | 1,6 | 0,983 4 | 0,983 8 |
1,8 | 3,947 4 | 3,927 9 | 3,995 5 | 3,970 9 | 1,8 | 0,992 3 | 0,992 7 |
2,0 | 3,722 4 | 3,712 6 | 3,793 7 | 3,781 3 | 2,0 | 0,996 3 | 0,996 5 |
2,2 | 3,547 6 | 3,542 5 | 3,635 8 | 3,629 4 | 2,2 | 0,998 1 | 0,998 3 |

- C7;

- D7
Рисунок D.25 - Линии приемки и отклонения
Таблица D.15
Линии приемки и отклонения
Количество отказов r | Значения отношения T*/m0 |
| |
Отклонения | Приемка | Отклонения | Приемка |
0 | 0,000 0 | 2,102 1 | Нет | 2,144 1 |
1 | 0,000 0 | 2,860 2 | Нет | 2,887 7 |
2 | 0,000 0 | 3,618 2 | Нет | 3,533 4 |
3 | 0,266 5 | 4,376 2 | Нет | 4,126 1 |
4 | 1,024 5 | 5,134 3 | Нет | 4,682 3 |
5 | 1,782 5 | 5,500 0 | Нет | 5,210 3 |
r0 = 6 | 2,540 6 | 5,500 0 | Нет | 5,714 6 |
7 | 5,500 0 | N/A | Всегда | N/A |
| Отклонение всегда при количестве отказов 7 и более |

- C7;

- D7
Рисунок D.26 - Зависимость

от
m/
m0

- C7;

- D7
Рисунок D.27 - Зависимость

от
m/
m0

- C7;

- D7
Рисунок D.28 - Оперативная характеристика Pa
Таблица D.16
Значения

,

и
Pa
| | | | | Pa |
m/m0 | | | | | m/m0 | | |
0,2 | 0,832 1 | 2,370 5 | 1,400 0 | 2,497 3 | 0,2 | 0,000 0 | 0,000 0 |
0,3 | 1,467 0 | 3,358 6 | 2,096 4 | 3,377 3 | 0,3 | 0,002 3 | 0,002 4 |
0,4 | 2,194 3 | 4,033 2 | 2,757 2 | 3,895 9 | 0,4 | 0,024 8 | 0,025 2 |
0,5 | 2,864 7 | 4,257 6 | 3,309 5 | 4,076 7 | 0,5 | 0,096 3 | 0,096 7 |
0,6 | 3,375 9 | 4,300 1 | 3,697 5 | 4,111 2 | 0,6 | 0,215 7 | 0,215 6 |
0,7 | 3,706 6 | 4,265 7 | 3,920 4 | 4,079 7 | 0,7 | 0,355 7 | 0,355 2 |
0,8 | 3,885 0 | 4,194 6 | 4,012 4 | 4,015 6 | 0,8 | 0,490 6 | 0,489 9 |
0,9 | 3,952 8 | 4,105 1 | 4,015 3 | 3,935 1 | 0,9 | 0,606 5 | 0,606 1 |
1,0 | 3,948 1 | 4,006 9 | 3,964 0 | 3,847 3 | 1,0 | 0,700 0 | 0,700 0 |
1,2 | 3,826 0 | 3,805 8 | 3,789 1 | 3,668 4 | 1,2 | 0,827 7 | 0,828 4 |
1,4 | 3,652 3 | 3,616 3 | 3,595 6 | 3,500 9 | 1,4 | 0,900 2 | 0,901 3 |
1,6 | 3,479 9 | 3,447 5 | 3,420 4 | 3,352 6 | 1,6 | 0,940 8 | 0,942 1 |
1,8 | 3,326 2 | 3,301 3 | 3,271 5 | 3,224 7 | 1,8 | 0,964 0 | 0,965 2 |
2,0 | 3,194 4 | 3,176 5 | 3,147 6 | 3,115 6 | 2,0 | 0,977 4 | 0,978 5 |
2,2 | 3,082 8 | 3,070 3 | 3,044 8 | 3,022 9 | 2,2 | 0,985 5 | 0,986 4 |

- C8;

- D8
Рисунок D.29 - Линии приемки и отклонения
Таблица D.17
Линии приемки и отклонения
Количество отказов r | Значения отношения T*/m0 |
| |
Отклонение | Приемка | Отклонение | Приемка |
0 | 0,000 0 | 1,275 7 | Нет | 1,219 4 |
1 | 0,000 0 | 2,033 8 | Нет | 1,930 7 |
2 | 0,263 6 | 2,791 8 | Нет | 2,689 1 |
3 | 1,021 6 | 3,549 9 | Нет | 3,508 7 |
r0 = 4 | 1,779 6 | 3,800 0 | Нет | 4,388 1 |
5 | 3,800 0 | N/A | Всегда | N/A |
| Отклонение всегда при количестве отказов 5 и более |

- C8;

- D8
Рисунок D.30 - Зависимость

от
m/
m0

- C8;

- D8
Рисунок D.31 - Зависимость

от
m/
m0

- C8;

- D8
Рисунок D.32 - Оперативная характеристика Pa
Таблица D.18
Значения

,

и
Pa
| | | | | Pa |
m/m0 | | | | | m/m0 | | |
0,2 | 0,548 2 | 1,419 2 | 0,997 4 | 1,360 7 | 0,2 | 0,002 0 | 0,002 7 |
0,3 | 0,943 6 | 1,766 6 | 1,463 9 | 1,603 3 | 0,3 | 0,022 8 | 0,026 9 |
0,4 | 1,339 2 | 2,059 9 | 1,845 9 | 1,831 0 | 0,4 | 0,086 5 | 0,092 3 |
0,5 | 1,660 2 | 2,209 9 | 2,112 9 | 1,984 3 | 0,5 | 0,191 5 | 0,194 7 |
0,6 | 1,883 5 | 2,268 2 | 2,270 8 | 2,068 7 | 0,6 | 0,314 7 | 0,314 3 |
0,7 | 2,021 0 | 2,277 4 | 2,344 2 | 2,105 3 | 0,7 | 0,434 7 | 0,432 2 |
0,8 | 2,094 6 | 2,260 6 | 2,359 8 | 2,111 5 | 0,8 | 0,540 5 | 0,537 7 |
0,9 | 2,124 7 | 2,230 1 | 2,333 0 | 2,099 1 | 0,9 | 0,628 7 | 0,627 0 |
1,0 | 2,126 9 | 2,192 7 | 2,298 2 | 2,075 5 | 1,0 | 0,700 0 | 0,700 0 |
1,2 | 2,086 8 | 2,111 3 | 2,190 3 | 2,012 4 | 1,2 | 0,802 0 | 0,805 4 |
1,4 | 2,023 6 | 2,031 9 | 2,079 0 | 1,943 3 | 1,4 | 0,866 0 | 0,871 9 |
1,6 | 1,957 2 | 1,959 9 | 1,978 7 | 1,877 0 | 1,6 | 0,906 8 | 0,913 9 |
1,8 | 1,895 3 | 1,896 2 | 1,892 5 | 1,816 6 | 1,8 | 0,933 3 | 0,940 8 |
2,0 | 1,839 9 | 1,840 7 | 1,819 8 | 1,762 9 | 2,0 | 0,951 0 | 0,958 4 |
2,2 | 1,791 4 | 1,792 4 | 1,758 6 | 1,715 7 | 2,2 | 0,963 1 | 0,970 2 |
(справочное)
ПРИМЕРЫ И МАТЕМАТИЧЕСКОЕ ОБОСНОВАНИЕ ПЛАНОВ
ПОСЛЕДОВАТЕЛЬНЫХ ИСПЫТАНИЙ
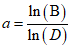
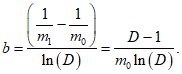
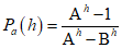
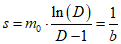
В дополнение к обозначениям, приведенным в
3.2.2, использованы следующие обозначения:
A - постоянная;
B - постоянная;
a - ордината точки пересечения линии приемки с осью r;
b - угловой коэффициент (тангенс угла наклона) линий приемки и отклонения;
b* - b* = b·m0;
c - ордината точки пересечения линии отклонения с осью r;
Er - среднее количество отказов;
Et - математическое ожидание среднего арифметического наработок n объектов испытаний;
h - итеративная переменная для получения кривых оперативных характеристик;
h0 - параметр для вычисления Er;
h1 - параметр для вычисления Et;
P(r) - вероятность того, что произойдет r отказов за T*;
P0(r) - вероятность того, что произошло r отказов при суммарной наработке T* и m = m0;
P1(r) - вероятность того, что произошло ровно r отказов при суммарной наработке T* и m = m1;
Pr(r) - отношение вероятностей P1(r) и P0(r);
s - параметр для вычисления Er;
t* - продолжительность испытаний с ограниченной продолжительностью;

- продолжительность испытаний как критерий приемки;

- продолжительность испытаний как критерий отклонения;

- квантиль распределения

с 2
r0 степенями свободы уровня

;

- квантиль распределения

с
r0 степенями свободы уровня

.
E.2 Пример последовательных испытаний
Проводят испытания объема
n = 500 с заменой отказавших объектов. По соглашению между поставщиком и потребителем установлены следующие значения:

и

,
D = 3.
Необходимые вычисления:

.
Суммарная наработка для 500 компонентов T* = nt* = 500t*,
где t* - продолжительность испытаний каждого объекта.
Выбранным значениям

,

и
D удовлетворяет
план A.3, при этом

и

суммарные наработки, представляющие собой критерии приемки и отклонения заданные в виде отношений
m0:

и

.
Каждый отказ представляют на графике в виде:

, при этом отмечают:
- отклонение - на линии отклонения или выше ее;
- продолжение испытаний - между линиями приемки и отклонения;
- приемку - на линиях приемки или ниже ее.
Линии приемки и отклонения заданы следующими уравнениями (см.
таблицу E.2):
Линия отклонения:

и

.
Линии приемки:

и

.
Абсцисса может быть выражена не в значениях

, а в значениях
t*, которые получают умножением

на

.
Построение графика можно заменить добавлением к
таблице A.3 двух колонок, в которых приводят значения

и

в часах, так что

и

где величины в квадратные скобках представляют собой заданные значения.
Обработку результатов последовательных испытаний облегчает применение программных средств, работающих с электронными таблицами и графиками.
Результаты последовательных испытаний с фиктивными данными приведены в
таблице E.1 и на
графике E.1. Сведения о применении электронных таблиц и соответствующих программных средств приведены в
приложении F.
Таблица E.1
Пример результатов последовательных испытаний
A.3
(фиктивные данные)
 , D = 3, m0 = 1,11·10 6h,  |
| Результаты испытаний |
r | Отклонение (меньше или равно) | Приемка (больше или равно) | Отклонение (ч) (меньше или равно) | Приемка (ч) (больше или равно) | (ч) | T* (ч) | Решение |
0 | 0 | 1,098 | 0 | 2 440 | 0,000 | 0 | Продолжение испытаний |
1 | 0 | 1,648 | 0 | 3 658 | 0,739 | 1 641 | Продолжение испытаний |
2 | 0,203 | 2,197 | 451 | 4 878 | 1,071 | 2 380 | Продолжение испытаний |
3 | 0,752 | 2,747 | 1 678 | 6 098 | 1,211 | 2 688 | Продолжение испытаний |
4 | 1,301 | 3,152 | 2 890 | 6 998 | 1,481 | 3 288 | Продолжение испытаний |
5 | 1,851 | 3,152 | 4 110 | 6 998 | 1,598 | 3 548 | Отклонение испытаний |
r0 = 6 | 2,400 | 3,152 | 5 328 | 6 998 | | | |
7 | 3,152 | N/A | 6 998 | - | | | |

,
D = 3,
m0 = 1,11·10
6h, в координатах

E.3 Математическое обоснование плана последовательных испытаний
E.3.1 Определение плана испытаний
Для объекта испытаний, при неизвестном m, вероятность того, что произойдет r отказов за суммарную наработку в процессе последовательных испытаний T*, имеет вид:

. (E.1)
Гипотеза состоит в том, что
m >=
m0, против альтернативы
m <
m0. Проверка может быть произведена с помощью последовательного критерия отношения правдоподобия Вальда (SPRT)
[4] последовательным планом проверки гипотезы
H0 :
m =
m0 против гипотезы
H1 :
m =
m1.
Для этого необходимо выполнение следующих условий:
- вероятность приемки
m <
m1 меньше или равна риску потребителя

;
- вероятность отклонения
m >=
m0 меньше или равна риску поставщика

.
В процессе испытаний вероятностное отношение [см.
формулу (E.5)] имеет вид:
P(r) = P1(r)/P0(r). (E.2)
Вероятность того, что произойдет r отказов за суммарную наработку в процессе последовательных испытаний T*, если истинное значение m равно m1:

. (E.3)
Вероятность того, что произойдет r отказов за суммарную наработку в процессе последовательных испытаний T*, если истинное значение m равно m0:

. (E.4)
Тогда вероятностное отношение:

. (E.5)
Это значение рассматривают по отношению к двум постоянным A и B:
Вероятностное отношение подсчитывают непрерывно в процессе испытаний и сравнивают с заданными константами A и B, при этом если:
- Pr(r) <= B, принимают решение о приемке и завершают испытания;
- Pr(r) >= A, принимают решение об отклонении и завершают испытания;
- B <= Pr(r) <= A, принимают решение о продолжении испытаний.
Постоянные A и B вычисляют следующим образом:

, (E.7)

. (E.8)
Постоянная A включает в себя коэффициент коррекции (
D + 1)/(2
D). Данный коэффициент используют для большего соответствия установленным значениям рисков (см.
[4]). Здесь
D - разрешающее отношение

. (E.9)

. (E.10)

. (E.11)
Преобразуя
неравенство (E.11) путем добавления к каждому члену неравенства

и деления на
ln(D), получаем следующее неравенство:

(E.12)
Это неравенство можно представить в виде:
a + bT* < r < c + bT*, (E.13)
где (a + bT*) - линия приемки, (c + bT*) - линия отклонения:

, (E.14)

, (E.15)

(E.16)
Суммарную наработку

(критерий завершения испытаний) вычисляют по следующей формуле:

. (E.17)
Количество отказов, при котором испытания завершают, определяют с помощью отношения:

. (E.18)
Для определения квантилей распределения

с 2
r0 степенями свободы используют таблицы

или программные средства, работающие с электронными таблицами и статистическими функциями. Значение
r0 определяют при получении двух функций распределения

, имеющих отношение не менее 1/
D. Минимальная наработка, при которой количество отказов равно нулю, при которой происходит приемка:

. (E.19)
E.3.2 Определение кривой оперативной характеристики
Кривую оперативной характеристики определяют по следующей аппроксимирующей ее формуле
[4]:

. (E.20)
Значение h находят из следующего равенства:

. (E.21)
E.3.3 Определение средней наработки
a) Испытания с заменой отказавших объектов
Среднюю наработку при n > 1 в испытаниях с заменой отказавших объектов рассчитывают следующим образом.
Находят среднее количество отказов для принятия решения:

, (E.22)
где

, (E.23)

, (E.24)

. (E.25)

. (E.26)
Математическое ожидание среднего арифметического наработок n объектов для принятия решения

. (E.27)
Отношение средней наработки к
m0 для испытаний с заменой отказавших объектов с учетом того, что

:

. (E.28)
b) Испытания без замены отказавших объектов
В испытаниях без замены отказавших объектов средняя наработка для принятия решения при n >= r0 имеет вид:

, (E.29)
E.4 Линии границ и координаты
В
таблице E.2 приведены крайние значения координат граничных линий и постоянные для определения линии приемки

и отклонения

, где

.
Таблица E.2
Постоянные для определения линий границ
План испытаний |  % | D | Постоянные уравнений границ | Координаты линий границ {T*/m0; r} |
a | b* | c | Линия отклонения | Линия приемки |
| 10 | 1,5 | -5,42 | 1,233 4 | 4,97 | 0; 4,97 | 29,22; 41 | 4,39; 0 | 33,09; 35,32 |
| 10 | 2 | -3,17 | 1,442 7 | 2,755 | 0; 2,76 | 8,49; 15 | 2,20; 0 | 10,30; 11,69 |
| 10 | 3 | -2,00 | 1,820 5 | 1,631 | 0; 1,63 | 2,40; 6 | 1,10; 0 | 3,15; 3,74 |
| 10 | 5 | -1,37 | 2,485 3 | 1,05 | 0; 1,05 | 0,79; 3 | 0,55; 0 | 1,10; 1,37 |
| 20 | 1,5 | -3,42 | 1,233 2 | 2,97 | 0; 2,97 | 12,19; 18 | 2,77; 0 | 14,37; 14,30 |
| 20 | 2 | -2,00 | 1,442 7 | 1,58 | 0; 1,58 | 3,75; 7 | 1,39; 0 | 4,73; 4,83 |
| 20 | 3 | -1,26 | 1,820 5 | 0,89 | 0; 0,89 | 1,16; 3 | 0,69; 0 | 1,54; 1,53 |
| 30 | 1,5 | -2,09 | 1,233 2 | 1,64 | 0; 1,64 | 4,35; 7 | 1,69; 0 | 5,41; 4,58 |
| 30 | 2 | -1,22 | 1,442 7 | 0,81 | 0; 0,81 | 1,52; 3 | 0,85; 0 | 1,91; 1,54 |
(справочное)
РАЗРАБОТКА ПЛАНОВ ПОСЛЕДОВАТЕЛЬНЫХ ИСПЫТАНИЙ С ПРИМЕНЕНИЕМ
ПРОГРАММНЫХ СРЕДСТВ, ИСПОЛЬЗУЮЩИХ ЭЛЕКТРОННЫЕ ТАБЛИЦЫ
F.1 Обозначения
Вместе с обозначениями, приведенными в
3.2.2 и в
приложении E.1, в данном приложении использованы следующие обозначения:
a - ордината точки пересечения линии приемки с осью r;
b - тангенс угла наклона линий приемки и отклонения;
b* - b·m0;
c - ордината точки пересечения линии отклонения с осью r,
n - количество объектов испытаний;
Et - математическое ожидание среднего арифметического наработок n объектов испытаний;
Er - среднее количество отказов.
Примечание - В электронных таблицах вместо символа T* использован символ T, что вызвано ограничениями редактора формул программного средства, работающего с электронными таблицами.
F.2 Построение плана последовательных испытаний с помощью программных средств
F.2.1 Построение плана последовательных испытаний
Планы испытаний, линии принятия решения, а также наработка, при которой завершают испытания, могут быть рассчитаны и оптимизированы с помощью программных средств, использующих электронные таблицы и содержащих методы статистической обработки данных.
Современные программные средства, такие как электронные таблицы, облегчают построение и использование графиков кривых, особенно в случаях, когда получение искомой информации при ручном анализе данных с помощью заполняемых вручную таблиц и построенных вручную графиков вызывает затруднение.
Преимущество электронных таблиц заключается в том, что в них заложена возможность математической и статистической обработки и анализа многих важных параметров, таких как: риск поставщика и потребителя (

и

), разрешающее отношение (
D) и
m0. При изменении значений параметров и варьировании значения наработки, при которой происходит завершение испытаний

, программное средство соответствующим образом перестраивает график.
Пример, приведенный в
приложении F.3, демонстрирует поэтапное построение электронной таблицы для последовательного критерия отношения правдоподобия (SPRT).
Планы испытаний, приведенные в
приложении A, также могут быть графически отображены с помощью соответствующих программных средств в соответствии с номером или в соответствии с допустимыми значениями параметров.
Встроенные формулы, используемые для построения графиков, могут принимать любые допустимые значения параметров.
Планы, являющиеся результатом вычислений и построений, проведенных при помощи электронных таблиц, могут иметь некоторые отличия от
планов A.1 -
A.9, приведенных в приложении A. Отличия являются результатом округления значений функций

, что в свою очередь может быть результатом выбора максимально допустимого количества отказов. Программы, работающие с электронными таблицами, не округляют числа, таким образом результаты вычислений и графики представлены с большей точностью.
При подготовке планов испытаний с помощью электронных таблиц, как показано в
F.3, окончательное число отказов может быть выражено не целым числом. Это представляет собой следствие градуировки оси
x. Градуировка, или неравномерность, возникает вследствие увеличения наработки в ходе испытаний. Вычисленные значения количества отказов могут быть дробным числом. Принятое решение должно регулировать увеличение наработки так, чтобы браковочное число отказов было приблизительно равно заданному. Таким образом, построение кривой может быть остановлено на целом числе, т.е. браковочное количество отказов может быть заменено соответствующим целым числом.
F.2.2 Построение кривых оперативных характеристик и получение значений средней наработки для плана последовательных испытаний при использовании электронных таблиц
В основе построения кривых оперативных характеристик лежат формулы, приведенные в
F.4. Так как графики кривых оперативных характеристик представляют собой графики вероятности приемки как функции от
m, электронные таблицы содержат значения переменной
h, назначенные ей таким образом, чтобы результирующие значения
m находились в диапазоне значений от
m1 до
m0. Затем значение переменной
m вычисляют, используя переменную
h, также вычисляют вероятность приемки, используя переменную
h и графически отображают в зависимости от значений
m.
Процедура приведена в
F.4.
Определение средней наработки также описано в
приложении E, использование электронных таблиц для построения графиков, основанных на значениях переменной
m, рассмотрено в
приложениях F.3 и
F.4.
F.3 Электронная таблица для формирования плана последовательных испытаний
Таблицы F.1,
F.2,
F.3 и
F.4 представляют собой примеры электронных таблиц, содержащих заголовки для установленных параметров и соответствующие формулы.
В таблице F.1 значения параметров установлены в
ячейках C3,
D3,
F3 и
G3, при этом по формуле показанной в
ячейке E2 и назначенной
ячейке E3 подсчитывают значение разрешающего отношения.
Полученные по встроенным формулам значения в ячейках электронной таблицы автоматически пересчитываются при изменении значений параметров.
Таблица F.1
Верхняя часть электронной таблицы для построения графиков
плана последовательных испытаний
| A | B | C | D | E | F | G | H | I |
1 | r0 | 2r | | | D | m0 | m1 | | |
2 | | | | | | | | | |
3 | | | | | | | | | |
4 | | | | | = 1/$E$3 | | | | |
5 | | | | | 0,666667 | | | | |
Примечание - Символ $, содержащийся во встроенных формулах электронной таблицы, обозначает фиксированное значение, он указывает на то, что в формуле используется значение из ячейки с конкретным указанным адресом. В других программах, работающих с электронными таблицами, для этой цели могут быть использованы другие символы.
С помощью формул, отображаемых в
ячейках C4 -
D4, получают значения, отображаемые в
ячейках C5 -
D5. Затем также по встроенным в электронную таблицу формулам получают значения для построения верхней и нижней линий графика SPRT (см.
таблицу F.2).
Таблица F.2
Столбцы электронной таблицы, расположенные справа
от столбцов
таблицы F.1, содержащие формулы и параметры
для построения графика SPRT
| J | K | L | M | N |
1 | A | B | a | b | c |
2 | | | | | |
3 | = ((1-$C$3)*($E$3+1))/(2*($D$3)*($E$3)) | = $C$3/(1-$D$3) | = LN($K$4)/LN($E$3) | = ((1/$G$3)-(1/$F$3))/LN($E$3) | |
4 | | 0,25 | -3,419023 | 0,000411 | |
| | | | | |
При назначении параметров
a,
b и
c искомые значения для графика получают по встроенным формулам, как функции наработки. Данные для построения линий приемки и отклонения представлены в
таблице F.3.
Таблица F.3
Получение значений линий приемки и отклонения
для графика SPRT
| O | P | Q | R |
1 | | | a+bT | c+bT |
2 | | = O5/$F$3 | = $L$4+$M$4*O5 | = $N$4+$M$4*O5 |
3 | Variable | Variable | | |
4 | T (hours) | T/m0 (hours/m0) | | |
5 | 0 | 0 | | |
6 | 200 | 0,133333 | | |
Для вычисления значения наработки как критерия завершения испытаний
[формула (E.17)] необходимо определить две функции распределения

, используемые в
формуле (E.18). Они также встроены в электронную таблицу (см.
таблицу F.4). Построенные функции распределения

необходимы для
формулы (E.18), а их отношение рассматривают как функцию числа отказов
r или двойного числа отказов (2
r).
Таблица F.4
Получение значения наработки

(критерия завершения испытаний)
| | B | | | | | G | |
1 | r | 2r | | | D | m0 | m1 | |
2 | | | | | = $F$3/$G$3 | | | |
3 | | | 0,2 | 0,2 | 1,5 | 3 000 | 2 000 | |
4 | | | = $C$3 | = 1-$D$3 | = 1/$E$3 | | | |
5 | | | 0,2 | 0,8 | | | | |
6 | | | | | | | | |
7 | | | | | | | | |
8 | | | | | | | | |
| = B10/2 = r0 | 2r | = CHIINV ($C$3,$B10) | = CHIINV ($D$5,$B10) | = D10/C10 | | | = ($F$3*D10)/2 |
10 | 0,5 | 1 | 1,642376 | 0,064185 | 0,039 | | | 96,28 |
11 | 1 | 2 | 3,218879 | 0,446287 | 0,139 | | | 669,43 |
12 | 1,5 | 3 | 4,641630 | 1,005173 | 0,217 | | | 1 507,76 |
13 | 2 | 4 | 5,988616 | 1,648776 | 0,275 | | | 2 473,16 |
14 | 2,5 | 5 | 7,289273 | 2,342532 | 0,321 | | | 3 513,80 |
15 | 3 | 6 | 8,558058 | 3,070088 | 0,359 | | | 4 605,13 |
16 | 3,5 | 7 | 9,803248 | 3,822320 | 0,399 | | | 5 733,48 |
17 | 4 | 8 | 11,030090 | 4,593572 | 0,417 | | | 6 890,36 |
18 | 4,5 | 9 | 12,242141 | 5,380055 | 0,439 | | | 8 070,08 |
19 | 5 | 10 | 13,441963 | 6,179076 | 0,460 | | | 9 268,61 |
20 | 5,5 | 11 | 14,631420 | 6,988672 | 0,478 | | | 10 483,01 |
21 | 6 | 12 | 15,811990 | 7,807329 | 0,494 | | | 11 710,99 |
22 | 6,5 | 13 | 16,984793 | 8,633863 | 0,508 | | | 12 950,80 |
23 | 7 | 14 | 18,150767 | 9,467329 | 0,522 | | | 14 200,99 |
24 | 7,5 | 15 | 19,310653 | 10,306960 | 0,534 | | | 15 460,44 |
25 | 8 | 16 | 20,465074 | 11,152120 | 0,545 | | | 16 728,18 |
26 | 8,5 | 17 | 21,614562 | 12,002260 | 0,555 | | | 18 003,40 |
27 | 9 | 18 | 22,759549 | 12,856950 | 0,565 | | | 19 285,43 |
28 | 9,5 | 19 | 23,900418 | 13,715790 | 0,574 | | | 20 573,68 |
29 | 10 | 20 | 25,037501 | 14,578440 | 0,582 | | | 21 867,66 |
30 | 10,5 | 21 | 26,171094 | 15,444610 | 0,590 | | | 23 166,92 |
31 | 11 | 22 | 27,301455 | 16,314040 | 0,598 | | | 24 471,06 |
32 | 11,5 | 23 | 28,428790 | 17,186500 | 0,605 | | | 25 779,75 |
33 | 12 | 24 | 29,553320 | 18,061800 | 0,611 | | | 27 092,70 |
34 | 12,5 | 25 | 30,675199 | 18,939750 | 0,617 | | | 28 409,62 |
35 | 13 | 26 | 31,794609 | 19,820190 | 0,623 | | | 29 730,28 |
36 | 13,5 | 27 | 32,911683 | 20,702980 | 0,629 | | | 31 054,47 |
37 | 14 | 28 | 34,026569 | 21,587970 | 0,634 | | | 32 381,95 |
38 | 14,5 | 29 | 35,139366 | 22,475050 | 0,639 | | | 33 712,58 |
39 | 15 | 30 | 36,250182 | 23,364110 | 0,645 | | | 35 046,17 |
40 | 15,5 | 31 | 37,359130 | 24,255060 | 0,649 | | | 36 382,59 |
41 | 16 | 32 | 38,466305 | 25,147780 | 0,654 | | | 37 721,67 |
42 | 16,5 | 33 | 39,571798 | 26,042210 | 0,658 | | | 39 063,32 |
43 | 17 | 34 | 40,675641 | 26,938270 | 0,662 | | | 40 407,4 |
44 | 17,5 | 35 | 41,777972 | 27,835880 | 0,666 | | | 41 753,81 |
45 | 18 | 36 | 42,878793 | 28,734960 | 0,670 | | | 43 102,44 |
В
таблице F.4 показаны вычисленные значения для различных значений
r и соответственно функций

. В ячейках
строки 9 показаны формулы, по которым ниже вычислены соответствующие значения. Когда отношение двух функций

достигает значения больше или равного значению, приведенному в
ячейке E5 (~= 0,67 в данном примере), ближайшее целое число к числу отказов является числом отказов - критерием отклонения. Данное значение используют для вычисления

. С целью облегчения выбора ближайшего целого вычисления для значений
r делают с шагом 0,5, при этом с шагом 2
r проходят все целые значения.
Столбец H содержит встроенную формулу для значения

, соответствующего функциям

в
столбцах C и
D и значению
m0 в
столбце F. В примере значение наработки как критерия завершения испытаний

выделено полужирным шрифтом и равно 43102,44 ч. при
r0 = 18.
Дальнейшие выводы, полученные по электронной таблице (линии приемки и отклонения, наработка, как критерий завершения испытаний, максимально допустимое число отказов) приведены в
таблице F.5.
Таблица F.5
Линии приемки и отклонения значения наработки как критерия
завершения испытаний
| L | M | N | | | | | | |
1 | a | b | c | | | a+bT | c+bT | | |
2 | | | | | = O5/$F$3 | = $L$4+$M $4*O5 | = $N$4+$M $4*O5 | | |
3 | = LN($K$4)/LN($E$3) | = ((1/$G$3)-(1/$F$3))/LN($E$3) | = LN($J$4)/LN($E$3) | Variable | Variable | | | | |
4 | -3,419023 | 0,000411 | 2,969362 | T(hours) | T/m0 (hours/m0) | a+bT | c+bT | | |
5 | | | | 0 | 0 | -3,419023 | 2,969362 | | |
6 | | | | 400 | 0,133333 | -3,254602 | 3,133783 | | |
7 | | | | 800 | 0,266667 | -3,090182 | 3,298203 | | |
8 | | | | 1200 | 0,4 | -2,925762 | 3,462623 | | |
9 | | | | 1600 | 0,533333 | -2,761342 | 3,627043 | | |
10 | | | | 2000 | 0,666667 | -2,596921 | 3,791463 | | |
11 | | | | 2400 | 0,8 | -2,432501 | 3,955884 | | |
12 | | | | 2800 | 0,933333 | -2,268081 | 4,120304 | | |
13 | | | | 3200 | 1,066667 | -2,103661 | 4,284724 | | |
14 | | | | 3600 | 1,2 | -1,939241 | 4,449144 | | |
| | | |
92 | | | | 31800 | 10,6 | 9,652386 | 16,040771 | | |
93 | | | | 32000 | 10,666667 | 9,734596 | 16,122981 | | |
94 | | | | 32400 | 10,8 | 9,899016 | 16,287401 | | |
95 | | | | 32800 | 10,933333 | 10,063436 | 16,451821 | | |
96 | | | | 33200 | 11,066667 | 10,227857 | 16,616241 | | |
97 | | | | 33600 | 11,2 | 10,392277 | 16,780662 | | |
98 | | | | 34000 | 11,333333 | 10,556697 | 16,945082 | | |
99 | | | | 34200 | 11,4 | 10,638907 | 17,027292 | | |
100 | | | | 34400 | 11,466667 | 10,721117 | 17,109502 | | |
101 | | | | 34800 | 11,6 | 10,885537 | 17,273922 | | |
102 | | | | 35200 | 11,733333 | 11,049958 | 17,438343 | | |
103 | | | | 35600 | 11,866667 | 11,214378 | 17,602763 | | |
104 | | | | 36000 | 12 | 11,378798 | 17,767183 | | |
105 | | | | 36200 | 12,066667 | 11,461008 | 17,849393 | | |
106 | | | | 36400 | 12,133333 | 11,543218 | 17,931603 | | |
107 | | | | 36600 | 12,2 | 11,625429 | 18,013813 | 18,013813 | |
108 | | | | 36800 | 12,266667 | 11,707639 | | 18,013813 | |
109 | | | | 37200 | 12,4 | 11,872059 | | 18,013813 | |
110 | | | | 37600 | 12,533333 | 12,036479 | | 18,013813 | |
111 | | | | 38000 | 12,666667 | 12,200899 | | 18,013813 | |
112 | | | | 38400 | 12,8 | 12,365320 | | 18,013813 | |
113 | | | | 38800 | 12,933333 | 12,529740 | | 18,013813 | |
114 | | | | 39200 | 13,066667 | 12,694160 | | 18,013813 | |
115 | | | | 39600 | 13,2 | 12,858580 | | 18,013813 | |
116 | | | | 40000 | 13,333333 | 13,023000 | | 18,013813 | |
117 | | | | 40400 | 13,466667 | 13,187421 | | 18,013813 | |
118 | | | | 40800 | 13,6 | 13,351841 | | 18,013813 | |
119 | | | | 41200 | 13,733333 | 13,516261 | | 18,013813 | |
120 | | | | 41600 | 13,866667 | 13,680681 | | 18,013813 | |
121 | | | | 42000 | 14 | 13,845102 | | 18,013813 | |
122 | | | | 42400 | 14,133333 | 14,009522 | | 18,013813 | |
123 | | | | 42800 | 14,266667 | 14,173942 | | 18,013813 | |
124 | | | | 43102 | 14,367333 | 14,298079 | | 18,013813 | 14,298079 |
125 | | | | 43102 | 14,367333 | 14,298079 | | 18,013813 | 18,013813 |
Линия отклонения заканчивается, когда количество отказов достигает значения соответствующего критерию отклонения (приблизительно 18 в данном примере). Данное значение вводится в
столбец S для всех значений времени отклонения (построение горизонтальной линии на графике).
Столбец T содержит количество отказов, возрастающее от линии приемки к линии отклонения при наработке, указывающей на завершение испытаний и вычисленной с использованием последнего значения в
столбце Q и последнего значения в
столбце R для той же самой наработки, формирующей вертикальную линию.
Столбец P таблицы F.5 содержит значения наработки, отображаемые на графике в виде функции наработки. Линия приемки и линия отклонения вместе с наработкой до завершения испытаний и наработкой, при которой происходит завершение испытаний, показаны на
рисунке F.1.
Рисунок F.1 - Пример графика SPRT
На
рисунке F.1 приведен график, автоматически перестраиваемый при изменении параметров (

,

,
m1 и
m0). Единственное вмешательство, требуемое от оператора, - добавление значений количества отказов, служащих критерием для завершения испытаний, и линий завершения испытаний (
столбцы R,
S и
T в таблице F.5).
Значение количества отказов 17,9316 корректно вычислено из соответствующего отношения - равного 12,13333. Данное значение должно быть заменено в электронной таблице целым числом 18 или соответствующая наработка может быть увеличена на очень небольшую сумму (наработка должна оставаться близкой к 18), так чтобы число отказов, при котором происходит прерывание испытаний, было целым числом.
График на
рисунке 1 построен по значениям
T*/
m0 и значениям линий приемки, отклонения и завершения испытаний. График представляет собой область разброса.
При помощи встроенных формул график может быть многократно перестроен с разными значениями параметров.
Электронная таблица может быть настроена на автоматическое изменение кривых оперативных характеристик для данных значений
m0 и
m1. Последние могут быть скорректированы при изменении кривых в зависимости от изменения продолжительности испытаний для обеспечения соответствия установленным значениям. В
таблице 6 приведен пример, для которого построен график на
рисунке 1.
F.4 Получение кривых оперативных характеристик и средней наработки 
Программа, работающая с электронными таблицами, автоматически изменяет кривую оперативной характеристики при изменении значения параметров и значения
m0. Вероятность приемки вычисляют по
формулам (E.20) и
(E.21) приложения E.

.
Постоянную h находят из следующего равенства:

.
Из
формулы (E.21) не может быть в явном виде получено выражение для
h, которое необходимо подставить в
формулу (E.20), поэтому вероятность приемки выражают как функцию истинного значения
m. По этой причине для работы с электронной таблицей сначала определяют значения
h, а затем по ним вычисляют значения
m. Таким образом значения
h дают значения
m в диапазоне, который охватывает значения менее
m1 и более
m0. В то же время значения
Pa(
h) вычисляют на основе тех же значений
h и строят график, где по оси абсцисс откладывают величины в значениях
m/
m0, а значения
Pa(
h) откладывают по оси ординат.
Вычисление отношения

(см.
E.28 приложения E) модифицировано следующим образом:

(F.1)
Значения m0, A, B и D приведены в соответствующих ячейках электронной таблицы. Символ $ в данном типе электронных таблиц указывает на то, что номер строки и столбца ячейки таблицы фиксирован и не может быть изменен.
Таблица F.6
Электронная таблица, используемая для построения кривых
оперативных характеристик
| | Y | Z | AA | AB | AC | AD | AE |
1 | | | | | | n | | |
2 | | | | | | 1 | | |
| Chosen values | = (($E$3^X5-1)/(X5*($E$3-1)))*$F$3 | = ($J$4^X5-1)/($J$4^X5-$K$4^X5) | = (Y5/$AC$2)*AE5/$F$3 | = $F$3*(AA5*(LN($J$4)-LN($K$4))- LN($J$4))/(Y5*($E$3-1)-$F$3*LN($E$3)) |
4 | h | m | m/m0 | Pa | | m/m0 | | Er |
| -5,0 | 1041,98 | 0,35 | 0,0010 | | 0,35 | 1,80 | 5,18 |
6 | -4,7 | 1086,74 | 0,36 | 0,0015 | | 0,36 | 1,94 | 5,35 |
7 | -4,4 | 1134,60 | 0,38 | 0,0022 | | 0,38 | 2,09 | 5,54 |
8 | -4,1 | 1185,83 | 0,40 | 0,0034 | | 0,40 | 2,27 | 5,75 |
9 | -3,8 | 1240,71 | 0,41 | 0,0051 | | 0,41 | 2,48 | 5,99 |
10 | -3,5 | 1299,56 | 0,43 | 0,0077 | | 0,43 | 2,72 | 6,27 |
11 | -3,2 | 1362,72 | 0,45 | 0,0116 | | 0,45 | 2,99 | 6,58 |
12 | -2,9 | 1430,57 | 0,48 | 0,0174 | | 0,48 | 3,31 | 6,94 |
13 | -2,6 | 1503,54 | 0,50 | 0,0260 | | 0,50 | 3,68 | 7,34 |
14 | -2,3 | 1582,07 | 0,53 | 0,0387 | | 0,53 | 4,10 | 7,78 |
15 | -2,0 | 1666,67 | 0,56 | 0,0572 | | 0,56 | 4,59 | 8,27 |
| | | | | | |
31 | 2,8 | 4525,96 | 1,51 | 0,9663 | | 1,51 | 5,62 | 3,72 |
32 | 3,1 | 4867,08 | 1,62 | 0,9764 | | 1,62 | 5,30 | 3,27 |
33 | 3,4 | 5239,88 | 1,75 | 0,9835 | | 1,75 | 5,02 | 2,87 |
34 | 3,7 | 5647,59 | 1,88 | 0,9884 | | 1,88 | 4,77 | 2,53 |
35 | 4,0 | 6093,75 | 2,03 | 0,9919 | | 2,03 | 4,55 | 2,24 |
36 | 4,3 | 6582,31 | 2,19 | 0,9944 | | 2,19 | 4,35 | 1,98 |
37 | 4,6 | 7117,61 | 2,37 | 0,9961 | | 2,37 | 4,18 | 1,76 |
38 | 4,9 | 7704,50 | 2,57 | 0,9973 | | 2,57 | 4,03 | 1,57 |
39 | 5,2 | 8348,32 | 2,78 | 0,9981 | | 2,78 | 3,90 | 1,40 |
40 | 5,5 | 9054,99 | 3,02 | 0,9987 | | 3,02 | 3,78 | 1,25 |
41 | 5,8 | 9831,09 | 3,28 | 0,9991 | | 3,28 | 3,68 | 1,12 |
42 | 6,1 | 10683,90 | 3,56 | 0,9994 | | 3,56 | 3,59 | 1,01 |
43 | 6,4 | 11621,51 | 3,87 | 0,9995 | | 3,87 | 3,50 | 0,90 |
44 | 6,7 | 12652,87 | 4,22 | 0,9997 | | 4,22 | 3,43 | 0,81 |
45 | 7,0 | 13787,95 | 4,60 | 0,9998 | | 4,60 | 3,37 | 0,73 |
46 | 7,3 | 15037,77 | 5,01 | 0,9998 | | 5,01 | 3,31 | 0,66 |
47 | 7,6 | 16414,60 | 5,47 | 0,9999 | | 5,47 | 3,25 | 0,59 |
48 | 7,9 | 17932,05 | 5,98 | 0,9999 | | 5,98 | 3,21 | 0,54 |
49 | 8,2 | 19605,24 | 6,54 | 0,9999 | | 6,54 | 3,17 | 0,48 |
50 | 8,5 | 21450,97 | 7,15 | 1,0000 | | 7,15 | 3,13 | 0,44 |
Примечание - Приращение 0,3 использовано с целью исключения значения
h = 0 в
столбце X.
Выбор значений Z5:AA50 и графики линии разброса и кривой оперативной характеристики для вероятности приемки
Pa показаны на
рисунке F.2.
| | ИС МЕГАНОРМ: примечание. В официальном тексте документа, видимо, допущена опечатка: имеется в виду рисунок F.3, а не F.2. | |
По данным в ячейках AC5:AD50 строят график средней продолжительности испытания до принятия решения, деленной на
m0 (см.
рисунок F.2).
Рисунок F.2 - Кривая оперативной характеристики
для вероятности приемки Pa.
Рисунок F.3 - Средняя продолжительность испытаний
до принятия решения
F.5 Поэтапная процедура
Поэтапная подготовка плана испытаний:
Этап 1: Установление значений

,

,
m0,
m1.
Этап 2: В
столбце E необходимо найти первое значение больше или равное значению, отображаемому в
ячейке E5. В строке с номером, соответствующим номеру строки ячейки с найденным значением, следует найти значение
(столбец H) и значение
r0 (столбец A).
Этап 3: Определяют значение, ближайшее к значению

, в
столбце O и вносят его в ячейку со значением, найденным на
этапе 2.
Этап 4: Копируют

в основание
столбца O внизу электронной таблицы.
Этап 5: Определяют значение, ближайшее к
r0, в
столбце R. Из той же строки копировать это значение в
столбец S вниз таблицы. Удаляют значения в
столбце R ниже этой линии.
Этап 7: Автоматическое обновление графиков.
(справочное)
ПРИМЕРЫ И МАТЕМАТИЧЕСКОЕ ОБОСНОВАНИЕ ПЛАНОВ ИСПЫТАНИЙ
С ФИКСИРОВАННОЙ ПРОДОЛЖИТЕЛЬНОСТЬЮ И ОГРАНИЧЕННЫХ
ПО НАРАБОТКЕ ИЛИ КОЛИЧЕСТВУ ОТКАЗОВ
Примечание - В данном приложении использованы обозначения, приведенные в
3.2.2.
G.1 Математическое представление
G.1.1 Общие положения
Для испытаний с фиксированной продолжительностью рассматривают 4 варианта испытаний:
a) испытания, ограниченные по наработке с заменой отказов или объектов;
b) испытания, ограниченные по наработке без замены отказавших объектов;
c) испытания, ограниченные по количеству отказов с заменой отказавших объектов;
d) испытания, ограниченные по количеству отказов без замены отказавших объектов.
Вычисление интенсивности отказов и/или MTFB выполняют в соответствии с
3.2.2.
При фиксированной продолжительности испытаний, для испытаний, ограниченных по наработке с заменой отказавших объектов, время завершения испытаний

и допустимое количество отказов
c находят из следующих формул:

(G.1)
Формула (G.1) может быть встроена в электронную таблицу для определения как наработки, так и допустимого количества отказов на основе разрешающего отношения для заданных значений
m0, риска поставщика

и риска потребителя

. Соответствующий пример приведен в
приложении H.
Кривую оперативных характеристик строят по вероятностям приемки
Pa в зависимости от значений
m (в испытаниях с заданной продолжительностью

).

(G.2)
G.2 Примеры разработки планов испытаний с фиксированной продолжительностью и ограниченным количеством отказов
G.2.1 Пример 1
Задано: проводят эксплуатационные испытания одного ремонтопригодного объекта с целевым значением MTBF =
m0 >= 1500 ч. Риск первого рода в случае целевого значения
m0, т.е. риск поставщика

. Риск второго рода в случае, если истинное значение
m = 750 ч и таким образом
D = 1500/750 = 2, т.е. риск потребителя

.
Необходимо получить: план испытаний, ограниченных по наработке или количеству отказов, с суммарной наработкой для завершения испытаний

и допустимым количеством отказов в процессе испытаний,
c.
Процедура:
план B.2 устанавливает:

и
c = 22. Таким образом, при продолжительности испытаний

, приемка происходит в случае, если количество отказов не превосходит 22.
Если сделано заключение, что продолжительность испытаний, которую необходимо запланировать, слишком велика, то может быть увеличено количество объектов испытаний или увеличены значения
D и/или рисков первого и второго рода. Соответствующий и аналогичный план испытаний также может быть разработан в соответствии с
8.2, где продолжительность испытаний может быть выбрана независимо от
m0. Также применимы планы комбинированных испытаний (см.
приложение D).
G.2.2 Пример 2
Задано: те же данные, что и в
E.2:
n = 500,

и

и
D = 3.
Необходимо получить: план испытаний, ограниченный по наработке или количеству отказов с суммарной наработкой для завершения испытаний

и допустимым количеством отказов в процессе испытаний
c.
Процедура:
план B.7 устанавливает:

и
c = 5. В соответствии с
3.2.2 
и

.
и

- период с допустимым числом отказов 5.
Примечание - В сравнении с примером, приведенным в
приложении E.2, где использован
план последовательных испытаний A.3, продолжительность испытаний для плана испытаний, ограниченных по наработке или количеству отказов, немного меньше максимальной продолжительности испытаний при последовательном плане испытаний. Для объектов с маргинальными характеристиками безотказности продолжительность испытаний при плане последовательных испытаний может быть немного меньше, однако это усложняет выполнение плана.
(справочное)
ИСПОЛЬЗОВАНИЕ ЭЛЕКТРОННЫХ ТАБЛИЦ ПРИ РАЗРАБОТКЕ ПЛАНОВ
ИСПЫТАНИЙ С ФИКСИРОВАННОЙ ПРОДОЛЖИТЕЛЬНОСТЬЮ И ОГРАНИЧЕННЫХ
ПО НАРАБОТКЕ ИЛИ КОЛИЧЕСТВУ ОТКАЗОВ
Примечание 2 - В данном приложении использованы обозначения, установленные в
3.2.2, при этом вместо символа
T* использован символ
T, что сделано из-за ограничений в возможностях редактора формул программы, работающей с электронными таблицами.
Формула (G.1) может быть введена в электронную таблицу как для определения наработки, так и допустимого количества отказов, вычисление которых основано на
m0,
m1, разрешающем отношении
D, рисках поставщика и потребителя (

и

), как показано в
таблицах H.1 -
H.3 и на
рисунке H.1.
Строка 4, связанная со встроенными формулами, приведенными в
таблице H.2, представляет числа, введенные в
строку 5, но не отображаемые там. Каждая из этих формул введена в соответствующую ячейку
строки 7, затем эту строку копируют и вставляют вниз электронной таблицы в оцененной продолжительности испытаний (показано в
столбце Y).
Столбцы Z и
AA содержат продолжительность, деленную на
m1 и
m0, для выражения продолжительности, деленной на
m, что происходит в соответствии со встроенными формулами.
Пример, приведенный в
таблице H.1, показывает максимум приемлемого количества отказов вплоть до 10. Это значение при необходимости может быть увеличено, а встроенные формулы скорректированы соответствующим образом.
Формулы, встроенные в электронную таблицу показаны с соответствующими маркерами, делающими их видимыми в таблице (без этих маркеров они встроены, но невидимы). При введении данных в ячейку специальные маркеры опускают.
Таблица H.1
Пример электронной таблицы со встроенными формулами
Таблица H.2
Формулы, встроенные в электронную таблицу, представленную
B7 | = ((Z7^$B$5)/1)*X7 |
C7 | = (((Z7^$C$5)/$C$5)+B7/X7)*X7 |
D7 | = ((Z7^$D$5)/(PRODUCT($C$5:$D$5))+C7/X7)*X7 |
E7 | = ((Z7^$E$5)/(PRODUCT($C$5:$E$5))+D7/X7)*X7 |
F7 | = (((Z7)^$F$5)/(PRODUCT($C$5:$F$5))+E7/X7)*X7 |
G7 | = (((Z7)^$G$5)/(PRODUCT($C$5:$G$5))+F7/X7)*X7 |
H7 | = (((Z7)^$H$5)/(PRODUCT($C$5:$H$5))+G7/X7)*X7 |
I7 | = (((Z7)^$l$5)/(PRODUCT($C$5:$l$5))+H7/X7)*X7 |
J7 | = (((Z7)^$J$5)/(PRODUCT($C$5:$J$5))+l7/X7)*X7 |
K7 | = (((Z7)^$K$5)/(PRODUCT($C$5:$K$5))+J7/X7)*X7 |
L7 | = (((Z7)^$L$5)/(PRODUCT($C$5:$L$5))+K7/X7)*X7 |
M7 | = ((AA7^$M$5)/1)*AB7 |
N7 | = (((AA7^$N$5)/$N$5)+M7/AB7)*AB7 |
O7 | = ((AA7^$O$5)/(PRODUCT($N$5:$O$5))+N7/AB7)*AB7 |
P7 | = (((AA7)^$P$5)/(PRODUCT($N$5:$P$5))+O7/AB7)*AB7 |
Q7 | = (((AA7)^$Q$5)/(PRODUCT($N$5:$Q$5))+P7/AB7)*AB7 |
R7 | = (((AA7)^$R$5)/(PRODUCT($N$5:$R$5))+Q7/AB7)*AB7 |
S7 | = (((AA7)^$S$5)/(PRODUCT($N$5:$S$5))+R7/AB7)*AB7 |
T7 | = (((AA7)^$T$5)/(PRODUCT($N$5:$T$5))+S7/AB7)*AB7 |
U7 | = (((AA7)^$U$5)/(PRODUCT($N$5:$U$5))+T7/AB7)*AB7 |
V7 | = (((AA7)^$V$5)/(PRODUCT($N$5:$V$5))+U7/AB7)*AB7 |
W7 | = (((AA7)^$W$5)/(PRODUCT($N$5:$W$5))+V7/AB7)*AB7 |
Определяют продолжительность испытаний и допустимое количество отказов, данные электронной таблицы проверяются определением

. Таким образом, одновременно удовлетворены требования к рискам поставщика и потребителя. В
таблице H.3 это показано на основе примеров, приведенных в
таблице H.1 и
таблице H.2. Формулы повторяют
формулы (G.1).

В электронной
таблице H.1 допустимое количество отказов определяют как ближайшее целое значение, удовлетворяющее обеим
формулам (G.1),
формулу (G.1) копируют. Необходимо соблюдать осторожность при выборе риска потребителя, его значение не должно превосходить значение заданное планом испытаний. Значение риска поставщика

должно быть близко к значению, заданному в плане испытаний. Оба выбранных значения должны давать в результате одно и то же значение допустимого количества отказов. Наработка, соответствующая этим двум значениям, представляет собой наработку, рассматриваемую для завершения испытаний

. Согласно
таблице H.1 значения, ближайшие к значениям риска поставщика и потребителя, соответствующие одному и тому же количеству отказов, составляют 0,201 (для

) - существующий риск потребителя, и 0,793

, допускающее несколько большее значение риска поставщика (в плане испытаний оба риска должны быть равны 0,2). Наработка, соответствующая этим значениям,
T = 3950 ч. Например, в
таблице H.1, отображено, что наработка, соответствующая обоим заданным значениям

и

, составляет 3950 ч, или 7,9
m1 и 3,95
m0.
Поэтапная процедура:
Этап 1: Ввести установленные значения

,

,
m0,
m1 и
D как показано в
таблице H.1.
Этап 3: Обновить данные, заданные на
этапе 1, если требуется разработать новый план испытаний.
Этап 4: Для количества отказов
c найти в
столбцах B -
L строку со значением, ближайшим к значению

.
Этап 5: Для количества отказов
c найти в
столбцах M -
W строку со значением, ближайшим к значению

.
Этап 6: Проверить равенство значений, найденных на
этапе 4 и
этапе 5, для одного значения
c.
В случае положительного ответа c представляет собой допустимое количество отказов для плана испытаний.
В случае отрицательного ответа перейти к
этапу 7.
Этап 7: Повторять
шаги 4 -
6 с новыми значениями
c до тех пор, пока подходящий план испытаний не будет найден.
Этап 8: Если необходимо найти новый план испытаний, перейти к
этапу 3.
Электронная таблица для построения кривой оперативной характеристики приведена в
таблице H.3. В данной
таблице символ
T* заменен на символ
T, только потому, что в конкретном виде электронных таблиц символ * использован для обозначения действия умножения. После введения этого символа программа будет ожидать завершения введения математического выражения и не сможет продолжать работу.
Таблица H.3
Кривая оперативной характеристики для испытаний ограниченных
по наработке/по количеству отказов с фиксированной
продолжительностью испытаний.
| AE | AF | AG | | | AJ | AK |
4 | | | | | | | |
5 | T* | 3950 | m | m/m0 | P(m) | exp(-T/m) |
6 | | | 1 | | | | |
7 | | | 100 | 0,1 | 6,40087E-12 | 7,00435E-18 | 913841,544 |
8 | | | 200 | 0,2 | 8,70204E-05 | 2,64657E-09 | 32880,41747 |
9 | | | 300 | 0,3 | 0,009626203 | 1,91333E-06 | 5031,131547 |
10 | | | 400 | 0,4 | 0,071965387 | 5,14449E-05 | 1398,883901 |
11 | | | 500 | 0,5 | 0,200569118 | 0,000370744 | 540,9915374 |
12 | | | 600 | 0,6 | 0,357043975 | 0,001383231 | 258,1232042 |
13 | | | 700 | 0,7 | 0,504604639 | 0,003542732 | 142,4337663 |
14 | | | 800 | 0,8 | 0,626925929 | 0,007172507 | 87,40680312 |
15 | | | 900 | 0,9 | 0,721784843 | 0,012414515 | 58,1403958 |
16 | | | 1000 | 1 | 0,792895407 | 0,019254702 | 41,1793138 |
17 | | | 1100 | 1,1 | 0,845367954 | 0,027573252 | 30,65898579 |
18 | | | 1200 | 1,2 | 0,883877046 | 0,037191811 | 23,765367 |
19 | | | 1300 | 1,3 | 0,912154808 | 0,047908538 | 19,03950404 |
20 | | | 1400 | 1,4 | 0,933005094 | 0,059520852 | 15,67526438 |
21 | | | 1500 | 1,5 | 0,948473775 | 0,071838601 | 13,20284312 |
22 | | | 1600 | 1,6 | 0,960033944 | 0,084690656 | 11,3357717 |
23 | | | 1700 | 1,7 | 0,968741487 | 0,097927349 | 9,892450849 |
24 | | | 1800 | 1,8 | 0,975353686 | 0,111420445 | 8,753812547 |
25 | | | 1900 | 1,9 | 0,980415627 | 0,125061787 | 7,839450014 |
26 | | | 2000 | 2 | 0,984321804 | 0,138761312 | 7,093632861 |
27 | | | 2100 | 2,1 | 0,987359585 | 0,152444851 | 6,476831318 |
28 | | | 2200 | 2,2 | 0,989739798 | 0,166051957 | 5,960422361 |
29 | | | 2300 | 2,3 | 0,991618264 | 0,179533887 | 5,523293018 |
30 | | | 2400 | 2,4 | 0,993111017 | 0,192851786 | 5,149607571 |
31 | | | 2500 | 2,5 | 0,994305111 | 0,205975098 | 4,827307377 |
32 | | | 2600 | 2,6 | 0,995266335 | 0,218880192 | 4,547082713 |
33 | | | 2700 | 2,7 | 0,996044769 | 0,231549186 | 4,301655243 |
34 | | | 2800 | 2,8 | 0,996678794 | 0,243968957 | 4,085268902 |
35 | | | 2900 | 2,9 | 0,997198033 | 0,256130304 | 3,89332312 |
36 | | | 3000 | 3 | 0,997625488 | 0,268027239 | 3,72210486 |
AK6: | = 1+($AF$5/AG6)+(1/2)*($AF$5/AG6)^2+(1/6)*($AF$5/AG6)^3 +(1/24)*($AF$5/AG6)^4+(1/120)*($AF$5/AG6)^5 |
AJ6: | = exp(-$AF$5/AG6) |
AI6: | = AJ6*AK6 |
AH6: | = AG6/$G$2 |
Все вышеприведенные формулы могут быть записаны без маркеров. На
рисунке H.1 приведен график кривой оперативной характеристики для примера, приведенного в
таблицах H.1 -
H.3. Значения
столбца AI представляют собой значения функции от значений
столбца AH.
Рисунок H.1 - Кривая оперативной характеристики, построенная
с помощью электронной таблицы
(справочное)
ПРИМЕРЫ И МАТЕМАТИЧЕСКОЕ ОБОСНОВАНИЕ ПЛАНОВ АЛЬТЕРНАТИВНЫХ
ИСПЫТАНИЙ, ОГРАНИЧЕННЫХ ПО НАРАБОТКЕ ИЛИ КОЛИЧЕСТВУ ОТКАЗОВ
Примечание 2 - В данном приложении представлены подробные примеры применения процедур, представленных в
разделе 8.
I.1 Обозначения
В дополнение к обозначениям, приведенным в
3.2.2, в данном приложении использованы следующие обозначения:
ct - предварительное значение, из которого значение c получают посредством округления до ближайшего среднего;
D' - истинное значение разрешающего отношения;
f(Pa, c) - функция от Pa и c;
P(c) - интегральная функция распределения Пуассона;
p(c) - функция плотности вероятности распределения Пуассона;
t* - календарное время;

- квантиль нормального распределения уровня

,

;

- интегральная функция нормального распределения;

- вероятность, для которой определяют квантиль распределения;

- предварительное значение, из которого значение

получают посредством округления до ближайшего среднего;

- значение

, используемое для определения
D'.
I.2 Примеры испытаний компонент
I.2.1 Пример 1
Задано:

,

,
D = 2.
Вычислить:
c,

.
Процедура: находят

для
D = 2 и

с помощью кривой, приведенной на
рисунке C.3.
Находят

для

и

с помощью кривой, приведенной на
рисунке C.4.
Таким образом,
c = (15,8 + 6,3) округляют до 22. Вычисляют

. Для установленной продолжительности испытаний
t* = 1 год,
n = 3.
Для установленного количества компонент
n = 1000,

.
I.2.2 Пример 2
Задано:

,

,
D = 3.
Вычислить:
c,

,
D'.
Процедура: на кривой, заданной штриховой линией на
рисунке C.1, находят точку, для которой

и D = 3. Следуя по этой кривой, находят пересечение с ближайшей кривой (
c).
Таким образом,
c = 5,

и
D' = 2,95.
Вычисляют

.
Для установленной продолжительности испытаний
t* = 0,5 г. = 4380 ч,

.
Для установленного числа компонент
n = 500

.
I.3 Математическое обоснование
I.3.1 Общие положения
Процедуры и формулы данного приложения могут быть использованы для расчета параметров плана испытаний взамен их определения по графикам.

, (I.1)

. (I.2)
Примечание - В данном приложении вероятности даны не в процентах.
I.3.2 Вычисления
I.3.2.1 Определение
c и
D для

Данный случай связан с графиком, приведенным на
рисунке C.1.
Установлено:

,

.
Вычислить: D, c.
Процедура:
Этап 1.
Вычисляют предварительное значение ct, по которому находят значение c как ближайшее целое к числу ct:

, (I.3)
Вычисляют значение

из равенства

в соответствии с
формулой (G.1) для инициализирующего рекурсивного отношения

:

, (I.4)
где

.
Этап 3.
Сравнивают

и

, если они не являются приблизительно равными, то выбирают значение на единицу больше или на единицу меньше
ct и повторяют
этап 2.
Пусть

, подсчитывают

, используя
формулы (I.1) и
(I.2), таким образом, что
P(
c) стремится к

, а

к

.
Определяют
D' из равенства

.
I.3.2.2 Кривые оперативных характеристик
| | ИС МЕГАНОРМ: примечание. Здесь и далее в официальном тексте документа, видимо, допущены опечатки: имеются в виду рисунки C.1 и C.2, а не 1 и 2 соответственно. | |
Установлено: c.
Вычислить вероятность приемки

как функцию от

при фиксированном c.
Процедура:
Этап 1b).
Если c >= 3, Pa может быть вычислено из равенств

,
используя аппроксимацию:

. (I.5)
Этап 1c).
Если c >= 9, Pa может быть вычислено из равенств

,
используя аппроксимацию:

. (I.6)
Примечание -
Формулы (I.5) и
(I.6) могут быть использованы для определения

и

, при этом следует учитывать, что для

, и для

.
I.3.2.3 Определение

с использованием кривой оперативной характеристики
Данный случай соответствует графикам на
рисунке 2.
В некоторых случаях кривую оперативной характеристики используют для получения значений характеристик плана, например, если необходимо получить:
- в случае достаточно точно построенной кривой оперативной характеристики, первое и последнее значения

(см.
I.3.2.2 этап 1);
- значение

(приближенное) для заданного значения
D и фиксированного значения

.
Задано: c.
Вычислить: среднее количество отказов

как функцию
Pa при фиксированном
c.
Процедура:
Этап 1a).
Итеративно вычисляют

для искомого значения
Pa =
P(
c), проводя вычисления по
формуле (I.1), с учетом того, что

.
Этап 1b).
Если
c >= 3,

может быть найдено с помощью аппроксимации:

. (I.7)
Этап 1c).
Если
c >= 9,

может быть найдено с помощью более простой аппроксимации:

. (I.8)
I.3.2.4 Определение
D и
c для

Установлено:

,

.
Вычислить: D, c.
Процедура.
Этап 1.
Этап 2.
Вычисляют D, используя аппроксимацию:

. (I.9)
Этап 3 (необязательный).
Вычисляют

для

, используя один из трех следующих альтернативных вариантов:
Этап 4 (необязательный).
I.3.2.5 Определение
c и

Установлено:

,
D'.
Вычислить:
c,

,

.
Процедура:
Этап 1.
Вычисляют предварительные значения

из равенства:

,
где

. (I.10)
Этап 2.
Вычисляют для значения
c предварительное значение
ct, используя
формулу (I.3).
Этап 3.
Если

, проверяют значения
ct,
D',

и

, используя
формулу (I.1). Если необходимо, соответственно увеличивают или уменьшают значение
c.
Формулы (I.5) и
(I.6) также могут быть использованы для определения

и

и их допустимых диапазонов.
I.3.2.6 Определение
c и
n или

Установлено:

,
D',

, и

или
n.
Вычислить:
c,

,
n или

.
Процедура:
Этап 1.
Вычисляют предварительное значение

для значения

из приближенного равенства:

, (I.11)
Этап 2.
Этап 3.
Если

, проверяют значения
ct,
D',

и

, используя
формулу (I.1). Если необходимо, непрерывно изменяют значение

для достижения приемлемого соответствия с установленными значениями.
Этап 4.
Вычисляют
n или

, используя равенства

или

соответственно.
I.3.2.7 Определение
D и
c для

Вычислить: D, c.
Процедура:
Этап 1.
Определяют среднее арифметическое рисков первого и второго рода

.
Этап 2.
Этап 3.
Используя кривые оперативных характеристик посредством процедур, описанных в
I.3.2.2 или
I.3.2.3, проверяют, дает ли полученное значение
c значения

и

, согласованные с заданными значениями

и

, если нет, то уменьшают или увеличивают значение
c.
I.3.3 Таблицы функции нормального распределения и ее инверсии
Таблица I.1
Функция нормального распределения
для фиксированных значений

| 2,5 | 2,0 | 1,5 | 1,25 | 1,0 | 0,5 | 0,0 |
| 0,993 8 | 0,977 3 | 0,933 2 | 0,894 4 | 0,841 3 | 0,691 5 | 0,500 0 |
| 0,006 2 | 0,022 7 | 0,066 8 | 0,105 6 | 0,158 7 | 0,308 5 | 0,500 0 |
Примечание -

.
Таблица I.2
Инверсия функции нормального распределения
для фиксированных значений

| 0,01 | 0,025 | 0,05 | 0,10 | 0,15 | 0,20 | 0,30 |
| 0,99 | 0,975 | 0,95 | 0,90 | 0,85 | 0,80 | 0,70 |
| 2,326 | 1,960 | 1,645 | 1,282 | 1,036 4 | 0,841 6 | 0,524 4 |
(справочное)
ПРИМЕРЫ И МАТЕМАТИЧЕСКОЕ ОБОСНОВАНИЕ ПЛАНОВ ИСПЫТАНИЙ,
ОГРАНИЧЕННЫХ КАЛЕНДАРНЫМ ВРЕМЕНЕМ
Примечание 2 - В данном приложении использованы обозначения, приведенные в
3.2.2.
J.1 Примеры
Установлено: невосстанавливаемый объект имеет среднее время до отказа
m0 = 2000 ч, соответствующее интенсивности отказов

.
На испытания, ограниченные календарным временем

, поставлено
n объектов. Риски поставщика и потребителя:

,
D = 2.
Вычислить:
p0,
n,
c и календарное время завершения испытаний

.
Процедура:
В соответствии с
9.4 
. Это значение не указано в МЭК 61123, таким образом,

требует корректировки. Это делают с помощью
формулы (2), приведенной в 9.4.1, при

.
В МЭК 61123:1991 (таблица 2) приведен план испытаний для:
q0 = 0,80 или
p0 = 0,20;

,
D = 2:
n = 60, при значении c = 17.
Календарное время завершения испытаний

близко к установленному времени 500 ч.
J.1.2 Пример 2
Дано: те же данные, что и в
примере 1, за исключением того, что максимальное количество объектов испытания
n = 210 и установлена продолжительность испытаний.
Вычислить:
p0,
n,
c и

.
Процедура: по МЭК 61123:1991 (таблица 2) находим план испытаний для:

,
D = 2 и
n, меньшее, чем установленное значение (
n = 210), но близкое к нему:
n = 203 при c = 20 и q0 = 0,93, соответствующее значению p0 = 1 - q0 = 0,07.
Используя
формулу (2) (см. 9.4.1), календарная продолжительность испытаний имеет вид:

.
J.2 Математическое обоснование
Формула (1), приведенная в 9.4.1, соответствует безотказности

при экспоненциальном распределении наработки до отказа и среднего
m =
m0, где
t =
t(cal,t) - календарная продолжительность испытаний. Таким образом

. В случаях, когда количество отказавших объектов незначительно по сравнению с количеством объектов испытаний, например

, может быть применена процедура, описанная в
разделе 8.
(справочное)
ВЫВОД И МАТЕМАТИЧЕСКОЕ ОБОСНОВАНИЕ
ОПТИМИЗИРОВАННЫХ ПЛАНОВ ИСПЫТАНИЙ
K.1 Обозначения
Примечание - В приложении K использованы обозначения, отличные от установленных в
3.2.2.
A - параметр плана;
ak - минимальное количество внутренних точек в k-й секции;
B - параметр плана;
bk - максимальное количество внутренних точек в k-й секции;
i - индекс суммирования по k-й секции;
j - количество горизонтальных секций (для точек, расположенных на границе зоны приемки) j = 1, 2, ..., R - 1;
k - количество вертикальных секций, k = 1, 2, ..., s;
l или l - количество горизонтальных секций (для внутренних точек);
m - индекс суммирования по (k + 1)-й секции;
P(a) - вероятность приемки (кривая оперативной характеристики);
pj - вероятность перехода через точку на границе приемки;

- вероятность выхода F-линий через границу приемки из всех внутренних точек плана;
qi - вероятность перехода через внутреннюю точку;

- вероятности перехода F-линий через точки границы приемки;
R - максимальное количество отказов (зона отклонения) (рабочая характеристика);
s - переменная суммирования;
T - неизвестная MTTF или MTBF;
Ti - абсцисса вертикальной линии, проходящей через границы приемки, имеющие горизонтальные линии;
Tmax - максимальная продолжительность испытаний (параметр плана);

- заданное неприемлемое значение
T (зона отклонения);

- заданное приемочное значение
T;

- среднее значение продолжительности испытаний до принятия решения о приемке или отклонении;

- среднее значение продолжительности испытаний до принятия решения о приемке;
tk - продолжительность испытаний для k-й секции;
t1tkts - абсциссы для вертикальных линий, проходящих через точки пересечения границ приемки и отклонения с горизонтальными линиями;

- заданный риск поставщика (риск 1-го типа);

- истинный риск поставщика;

- заданный риск потребителя (риск 2-го типа);

- истинный риск потребителя;

- неизвестная интенсивность отказов;

- среднее значение продолжительности испытаний от горизонтальной линии
i k-й секции к границе отклонения через интервал продолжительности испытаний

;

-
k-й интервал продолжительности испытаний


- абсциссы для вертикальных линий, проходящих через точки пересечения линии приемки с горизонтальными линиями (продолжительность испытаний до решения о приемке при
j отказах).
K.2 Типы планов испытаний и термины
План усеченных последовательных испытаний (T/S)
| План усеченных последовательных испытаний (T/S) На рисунке представлены параметры плана T/S (A, B, R, Tmax). |
| План испытаний, ограниченных по наработке или количеству отказов (T/F) На рисунке представлены рабочие параметры плана T/F (A, R). |
| План комбинированных испытаний На рисунке представлены параметры плана комбинированных испытаний (A, B, R). Параметр B влияет на постепенное изменение границы приемки и не имеет графического аналога |
Рисунок K.1 - Типы планов испытаний
K.3 Общее представление
Оперативная характеристика для этих планов испытаний имеет вид:

(K.1)
риск

:

(K.2)
риск

:

(K.3)
Значения средней наработки до принятия решения о приемке

в точке
T (например,

и

) вычисляют по формуле:

(K.4)
Значения средней наработки

в точке
T (например,

и

) вычисляют по формуле:

(K.5)
где

.
K.4 Процедура разработки оптимизированных планов испытаний
При разработке планов испытаний используют следующую итеративную процедуру.
Этап 1 (Подготовка).
Вычисляют характеристики общего вида плана со свободными произвольными границами приемки и отклонения, максимальным количеством отказов R и максимальной наработкой.
Рисунок K.2 - Основа плана испытаний
a) Вертикальные линии
t проходят через границы приемки, отклонения и горизонтальные линии. Вертикальные линии

проходят через границы приемки и горизонтальные линии.
Рисунок K.3 - Разделение графика плана испытаний
| | ИС МЕГАНОРМ: примечание. В официальном тексте документа, видимо, допущена опечатка: имеется в виду рисунок K.4, а не K.5. | |
b) Вертикальные и горизонтальные линии пересекаются в белых точках на продолжении области испытаний. В черных точках горизонтальные линии пересекаются с границей приемки. Для вычисления характеристик плана испытаний достаточно изучить только черные точки. Линии реализации всех возможных отказов (F-линии) между двумя точками соседних участков изображены стрелками, как показано на
рисунке K.5.
Рисунок K.4 - Внутренние и граничные узлы
c) Стрелки показывают все возможные перемещения из внутренних точек к границе приемки (см.
рисунок K.5).
Рисунок K.5 - Путь до линии приемки
d) Стрелки показывают все возможные перемещения от внутренних точек к границе отклонения (см.
рисунок K.6).
Рисунок K.6 - Путь до линии отклонения
Этап 2.
Выбрать необходимые значения для начальных данных
D,

и

.
Этап 3.
Выбирают тип плана, например план последовательных усеченных испытаний (см.
рисунок K.1).
Этап 4.
Определяют начальные значения параметров плана
A,
B,
R,
Tmax. Начальные значения
A и
B вычисляют с помощью
формул Вальда (E.7) и
(E.8). Начальные значения
R и
Tmax подсчитывают аналогичным образом для плана T/F. Таким образом, границы плана совпадают с границами плана последовательных усеченных испытаний (см.
приложение A). Это используют как начальную точку для разработки плана испытаний.
Этап 5.
Выполняют вычисления.
a) Вероятность прохода F-линий через все внутренние
q точки плана находят по
формуле (K.6):

. (K.6)
Вероятность прохода F-линий через всю границу (
p) плана находят по
формуле (K.7):

. (K.7)
Рисунок K.7 - Вероятность пути перемещения между узлами
Вероятности
q,
p и

;

,

,

являются функциями неизвестного
T.
Формулы (K.6) и
(K.7) являются рекуррентными (они одинаковы для всех точек плана). Вычисленные по этим формулам точки перемещаются снизу вверх (это возможно при перемещении сверху вниз, но это менее удобно).
b) Значения оперативной характеристики
Pa, а также риски

и

вычисляют по
формуле (K.8)

. (K.8)
В частности:

, (K.9)

. (K.10)
c) Значения средней наработки до принятия решения о приемке

в точке
T (например,

и

) вычисляют по
формуле (K.11)

. (K.11)
d) Значения средней наработки

в точке
T (например,

и

) вычисляют по
формуле (K.12)

(K.12)
где

.
Начальные значения параметров для k = 0: t0 = 0, q0(0) = 0, qi(0) = 0.
На
рисунке K.6 показаны вероятности

выхода F-линий за границы отклонения из всех внутренних точек плана, соответствующие средней продолжительности испытаний в интервале

.
В
приложении D значения этих характеристик вычислены в пятнадцати точках, включая

.
Результатом вычислений является план, для которого значения

и

не совпадают с заданными значениями

и

, а значения

и/или

не являются минимальным из возможных.
Выбирают новые значения параметров плана
A и
B для наклонных границ плана и вычисляют новый план с другими значениями

и

.
Повторяют процедуру
этапа 6 до совпадения значений рисков с их заданными значениями (

и

) с необходимой точностью.
Примечание - В
приложении D значения рисков первого и второго рода для планов испытаний приведены с четырьмя знаками после запятой, применение компьютерных программных средств дает значения рисков с шестью знаками после запятой.
Результатом является достоверный план. Однако он не является оптимальным.
Изменяют значение параметра плана
Tmax и при необходимости
R. Повторяют
этапы 6 и
7 и находят другой достоверный план с другим значением

.
Примечание - Количество достоверных планов испытаний с различными значениями

бесконечно.
Этап 9.
Повторяют
этапы 6 -
8 до тех пор, пока не будет найден достоверный план с минимальным значением

или

и границы их допустимых значений.
Примечание 1 - Значения

или

для планов испытаний, приведенные в
приложении D, даны с четырьмя знаками после запятой, применение компьютерных программных средств дает значения рисков с шестью знаками после запятой.
План, полученный подобным образом, является достоверным и оптимальным.
Примечание 2 - Вид рекуррентных формул (например,
формулы K.12) часто выглядит громоздко. Они имеют иллюстративный характер, так как неудобны для пользователя. Если пользователь хочет выполнить вычисления вручную, лучшим решением является рассмотрение формулы по частям, идентификация рекуррентных элементов и дальнейшее вычисление в каждой точке плана. Соответствующее программное обеспечение также может быть применено. См.
рисунок K.8
Рисунок K.8 - Рекуррентный элемент - Два случая
(справочное)
СВЕДЕНИЯ О СООТВЕТСТВИИ ССЫЛОЧНЫХ МЕЖДУНАРОДНЫХ СТАНДАРТОВ
НАЦИОНАЛЬНЫМ СТАНДАРТАМ РОССИЙСКОЙ ФЕДЕРАЦИИ
Таблица ДА.1
Обозначение ссылочного международного стандарта | Степень соответствия | Обозначение и наименование соответствующего национального стандарта |
IEC 60050-191 | - | <*> |
IEC 60300-3-5:2001 | - | <*> |
IEC 60605-2 | - | <*> |
IEC 60605-4 | - | <*> |
IEC 60605-6 | IDT | ГОСТ Р МЭК 60605-6:2007 "Надежность в технике. Критерии проверки постоянства интенсивности отказов и параметра потока отказов" |
IEC 61123:1991 | - | <*> |
<*> Соответствующий национальный стандарт отсутствует. До его утверждения рекомендуется использовать перевод на русский язык данного международного стандарта. Перевод данного международного стандарта находится в Федеральном информационном фонде стандартов. Примечание - В настоящей таблице использовано следующее условное обозначение степени соответствия стандарта: - IDT - идентичный стандарт. |
[1] | MIL-HDBK-781 Handbook for Reliability Test Methods, Plans and Environments for Engineering development, Qualification and Production |
[2] | IEC 60605-7:1978, Equipment reliability testing - Part 7: Compliance test plans for failure rate and mean time between failures assuming constant failure rate (withdrawn) |
[3] | WALD, A. Sequential Analysis, John Wiley & Sons, New York, 1947 |
| EPSTEIN, B. and SOBEL, M. Sequential life tests in the Exponential case, Annals of Mathematical Statistics, Volume 26, 1955, pp. 82 - 93 |
[5] | KAPUR, K.C. and LAMBERTSON, L.R. Reliability in Engineering Design, John Wiley & Sons, New York, Santa Barbara, London, Sydney, Toronto, 1977. |
| | ИС МЕГАНОРМ: примечание. Нумерация пунктов дана в соответствии с официальным текстом документа. | |
|
[7] | KECECIOGLU, D. Reliability and Life Testing Handbook, PTR Prentice Hall, Englewood Cliffs, New Jersey. |
[8] | GHOSH, B.K. and SEN, P.K. Handbook of Sequential Analysis, Marcel Dekker, Inc, New York. |
[9] | ABRAMOVITZ M. and STEGUN I.A. Handbook of Mathematical Functions, National Bureau of Standards, 1964. Dover Publications Inc. New York, 1974 |
УДК 658.562.012.7:65.012.122:006.354 | | Т59 |
Ключевые слова: надежность, безотказность, испытания, план испытаний, объект испытаний, отказ, наработка, интенсивность потока отказов, параметр потока отказов, риск поставщика, риск потребителя, разрешающее отношение |