Главная // Актуальные документы // ГОСТ Р (Государственный стандарт)СПРАВКА
Источник публикации
М.: Стандартинформ, 2016
Примечание к документу
Документ
введен в действие с 01.12.2017.
Название документа
"ГОСТ Р ИСО 11771-2016. Национальный стандарт Российской Федерации. Качество воздуха. Определение усредненных по времени массовых выбросов и коэффициентов выброса. Общий подход"
(утв. и введен в действие Приказом Росстандарта от 25.10.2016 N 1512-ст)
"ГОСТ Р ИСО 11771-2016. Национальный стандарт Российской Федерации. Качество воздуха. Определение усредненных по времени массовых выбросов и коэффициентов выброса. Общий подход"
(утв. и введен в действие Приказом Росстандарта от 25.10.2016 N 1512-ст)
Утвержден и введен в действие
агентства по техническому
регулированию и метрологии
от 25 октября 2016 г. N 1512-ст
НАЦИОНАЛЬНЫЙ СТАНДАРТ РОССИЙСКОЙ ФЕДЕРАЦИИ
КАЧЕСТВО ВОЗДУХА
ОПРЕДЕЛЕНИЕ УСРЕДНЕННЫХ ПО ВРЕМЕНИ МАССОВЫХ ВЫБРОСОВ
И КОЭФФИЦИЕНТОВ ВЫБРОСА. ОБЩИЙ ПОДХОД
Air quality. Determination of time-averaged mass emissions
and emission factors. General approach
(ISO 11771:2012, IDT)
ГОСТ Р ИСО 11771-2016
Группа Т58
Дата введения
1 декабря 2017 года
1 ПОДГОТОВЛЕН Открытым акционерным обществом "Научно-исследовательский центр контроля и диагностики технических систем" (АО "НИЦ КД") на основе собственного перевода на русский язык англоязычной версии международного стандарта, указанного в
пункте 4
2 ВНЕСЕН Техническим комитетом по стандартизации ТК 457 "Качество воздуха"
3 УТВЕРЖДЕН И ВВЕДЕН В ДЕЙСТВИЕ
Приказом Федерального агентства по техническому регулированию и метрологии от 25 октября 2016 г. N 1512-ст
4 Настоящий стандарт идентичен международному стандарту ИСО 11771:2012 "Качество воздуха. Определение усредненных по времени массовых выбросов и коэффициентов выброса. Общий подход" [ISO 11771:2012 "Air quality - Determination of time-averaged mass emissions and emission factors - General approach", IDT]
5 ВВЕДЕН ВПЕРВЫЕ
Правила применения настоящего стандарта установлены в статье 26 Федерального закона от 29 июня 2015 г. N 162-ФЗ "О стандартизации в Российской Федерации". Информация об изменениях к настоящему стандарту публикуется в ежегодном (по состоянию на 1 января текущего года) информационном указателе "Национальные стандарты", а официальный текст изменений и поправок - в ежемесячном информационном указателе "Национальные стандарты". В случае пересмотра (замены) или отмены настоящего стандарта соответствующее уведомление будет опубликовано в ближайшем выпуске ежемесячного информационного указателя "Национальные стандарты". Соответствующая информация, уведомление и тексты размещаются также в информационной системе общего пользования - на официальном сайте Федерального агентства по техническому регулированию и метрологии в сети Интернет (www.gost.ru)
В настоящем стандарте приведена методика измерений, необходимая для определения массовых выбросов соединений от стационарных источников. Собранные опытным путем данные необходимы для определения неопределенности, которая может быть связана с установленным результатом и позволит проверить протокол измерения выбросов.
В настоящем стандарте также приведена методика измерений, необходимая для определения коэффициентов выбросов. Коэффициент выбросов - параметр, значение которого представляет собой отношение количества загрязнителя, выбрасываемого в результате промышленной или иной деятельности, к массе или другой величине, выражающей количество продукции промышленного источника за данный отрезок времени. Коэффициент выбросов является полезным в случаях, когда известны режим эксплуатации и период времени, за который он представлен.
Коэффициент выбросов используют для вычисления и представления данных о массовых выбросах для инвентаризации выбросов и в других целях. Применение в целях инвентаризации может включать:
- производственную деятельность, затрагивающую выбросы;
- подготовку регистрации выбросов и переноса загрязнителей;
- моделирование качества воздуха;
- управление качеством воздуха;
- соответствие национальным предельным значениям выбросов.
Применение в неинвентаризационных целях может включать:
- разработку оценок выбросов на местах;
- разработку стратегии управления;
- оценку рисков;
- определение соответствующих предельных значений.
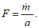
Обычно применяемая методология для проведения инвентаризации выбросов должна объединять информацию об объеме промышленной или иной деятельности (выраженную количественно через параметр активности a), в результате которой имеет место загрязняющее воздействие, и представительном значении количества выбросов на единицу параметра активности, называемом коэффициентом выбросов F. Основное уравнение, описывающее выбросы через уровень выбросов по массе, представлено формулой:
Впоследствии основное уравнение может быть изменено для включения, например, коэффициента эффективности сокращения (уменьшения) выбросов.
Примечание - Страны, собирающие данные об инвентаризации выбросов для предоставления информации о выбросах в соответствии с международными соглашениями, используют методологии, согласованные на конвенциях (например, РКИК ООН, ЕЭК ООН по трансграничному переносу загрязнителей атмосферы
[31] или Орхусская конвенция ЕЭК ООН). Общей чертой всех этих соглашений является требование того, чтобы использовались рекомендуемые нормы по методологии при оценке и составлении отчетности о выбросах. Это особенно важно при предоставлении оценки выбросов за базовый год для инвентаризации выбросов, используемых в стратегических инструментах. Под рекомендуемыми нормами обычно принято подразумевать использование методик, которые гарантируют, что инвентаризация выбросов проведена достоверно (т.е. объективно) в том смысле, что выбросы систематически не занижают и не завышают, насколько об этом можно судить, и что неопределенности снижены настолько, насколько это возможно. Руководство по рекомендуемым нормам обычно не определяет, как установить коэффициенты выбросов или какая информация должна быть зафиксирована и доступна для того, чтобы обеспечить широкое применение коэффициентов выбросов. Цель настоящего стандарта - преодолеть этот разрыв, увеличить качество инвентаризации выбросов и повысить ее эффективность.
Коэффициентами выбросов, опубликованными в большинстве сборников, как правило, являются:
- среднее арифметическое значение исходных данных измерений источников выбросов;
- коэффициенты, основанные на ограниченном числе измерений выбросов;
- коэффициенты, представительные для ограниченного периода рабочего времени процесса;
- коэффициенты, представительные для ограниченного диапазона эксплуатационных условий процесса;
- коэффициенты, представительные для ограниченной пробы из обычно используемых технологических установок.
Коэффициенты выбросов являются числовыми оценками с неопределенностями, которые могут включать систематические и случайные составляющие, например неопределенность измерений, отклонения в эффективности контроля над выбросами загрязняющих веществ и изменчивость, возникающая при обработке данных. Числовая неопределенность, связанная с конкретным коэффициентом выбросов для единственного источника, может быть оценена при условии, что имеется достаточный, высококачественный источник данных об испытании для оценки статистически определяющих изменчивость наиболее важных коэффициентов. Неопределенность возникает также из-за использования коэффициентов выбросов, применимых к одной деятельности, процессу, технологии или установки, для представления ситуации, в которых они не пригодны. Во многих случаях не представляется возможным провести количественную оценку неопределенности, ввиду несоответствующего использования коэффициентов выбросов, и это является сдерживающим фактором.
Коэффициенты выбросов следует использовать осторожно. В некоторых обстоятельствах может быть подходящим использовать альтернативные способы оценки выбросов.
Обеспечить адекватную количественную оценку выбросов в тех ситуациях, когда большой процент материала уходит в атмосферу (например, углерод и сера в топливе, потери растворителя в неконтролируемом процессе нанесения покрытия), может материальный баланс. Расчет материального или массового баланса может определить выбросы вне системы дымовых труб, которые невозможно оценить иначе. В то же время материальный баланс может быть неприемлем в тех случаях, когда материал полностью расходуется или химически связывается в процессе или когда выбросы в атмосферу составляют лишь малую долю от общей производительности процесса.
Данные от измерений частых и представительных выбросов от конкретного источника или систем непрерывного мониторинга выбросов могут обеспечить метод учета фактических выбросов загрязняющих веществ от источника.
Данные измерений в определенном месте, состоящие из ограниченного числа измерений выбросов, при одновременном повышении достоверности данных о выбросах, представляют собой лишь условия, существующие на момент испытания или мониторинга. Для повышения точности оценки долгосрочных выбросов (например, ежедневных, ежемесячных, ежегодных) условия, при которых происходят испытания, должны быть представительными для диапазона операций ожидаемого источника.
Примечание - Даже в отсутствие представительных данных, зависящих от источника, информации о выбросах по методике управления процессом и о системе очистки от поставщиков, в частности, гарантированные характеристики выбросов или данные по измерениям выбросов от типового оборудования могут быть лучшим источником информации, чем коэффициенты выбросов, зависящие от источника.
Настоящий стандарт требует использования дополнительных стандартов, часть из которых еще не принята.
Настоящий стандарт определяет общий метод для определения усредненных по времени массовых выбросов от определенной установки или от группы установок (или типа общего источника) и отчетности по ним с применением данных, собранных при измерениях, и оценкой следующих параметров:
- интенсивности массовых выбросов, т.е. выбросов, выраженных в единицах массы, установленной путем одновременного измерения концентрации и расхода газа, с использованием стандартизованных ручных или автоматизированных методов, с оценкой неопределенности измерений;
- усредненного по времени значения интенсивности выбросов в массовых единицах с использованием серии значений интенсивности выбросов в массовых единицах, характеристик их неопределенностей и с определением расширенной неопределенности этого усредненного значения;
- усредненных по времени массовых коэффициентов выбросов для определенных установок или группы установок и характеристик их объединенных неопределенностей;
- системы менеджмента качества в целях облегчения процесса инвентаризации, контроля качества и проверки.
Настоящий стандарт применяют для определения коэффициентов выбросов стационарных источников, в том числе выбросов от промышленных процессов, при которых нецелесообразно вести расчеты по топливу и сырью; парниковых газов и загрязняющих воздух веществ, включая тонкодисперсные частицы. Настоящий стандарт не затрагивает вопросы соответствия мониторинга в рамках положений об ограничении выбросов.
Настоящий стандарт требует использовать методы, основанные на измерениях, и вычисления, а также те, в которых используют данные измерений. Стандарт охватывает планирование и выполнение программы измерений для сбора данных, выбор методов отбора проб, вычисление результатов, оценку неопределенности, определение коэффициентов выбросов и представление информации в форме, которая позволяет пользователям применять их. Настоящий стандарт устанавливает способы, как:
- сгенерировать данные об усредненных по времени массовых выбросах известного качества в течение определенного периода времени и задокументировать комплекс рабочих условий;
- создать полные наборы данных, представительные за известный период времени (т.е. календарный год), путем заполнения пробелов в серии данных об интенсивности массовых выбросов и численного объединения наборов данных.
Примечание - Наборы данных по времени могут быть доступны только для ограниченного периода в прошлом (т.е. недель, месяцев или лет) и только для дискретного процесса, при этом могут быть необходимы данные об инвентаризации выбросов, усредненных за другой период (т.е. за календарный год);
- вычислить коэффициенты выбросов для известного периода времени;
- вычислить усредненные по времени коэффициенты выбросов известного качества для известного типа источника.
Измерения выбросов от автотранспортных средств, локальных источников выбросов или выбросов вне системы дымовых труб в настоящем стандарте не приводятся. Однако этот стандарт может быть использован для количественной оценки коэффициентов выбросов для подобных источников при условии, что доступно проведение измерений выбросов.
Примечание - Потоки выбросов от локальных источников выбросов или выбросы вне системы дымовых труб могут быть напрямую измерены с помощью методики с открытым оптическим трактом. Результаты этих измерений могут быть обработаны способом, аналогичным обработке измерений, описанных в настоящем стандарте, по определению усредненных по времени выбросов и коэффициентов выбросов.
Настоящий стандарт не включает описание конкретных методик измерения, которые подробно описаны в приведенных стандартах. В нем также не приведены рекомендации по созданию статистики активности.
Настоящий стандарт взаимоувязан с ИСО 14064-1
[5] и ИСО 14064-3
[6].
В настоящем стандарте применены следующие термины с соответствующими определениями:
2.1 коэффициент выбросов (emission factor): Отношение количества загрязнителя, выбрасываемого в результате промышленной или иной деятельности, к массе или другой величине, выражающей количество продукции промышленного источника за данный отрезок времени.
Примечание - Адаптировано по ИСО 4225:1994
[2], 3.31.
Пример - Масса твердых частиц в килограммах, выбрасываемых на тонну сжигаемого угля; масса окислов азота в килограммах на тонну шлака, произведенного в стране за год, или масса выбросов CO2 в тоннах на мегаджоуль произведенной энергии.
Примечания
1 Поскольку данные обычно получают для ограниченного диапазона рабочих условий или периодов, необходимы условия или периоды, в течение которых коэффициент выбросов можно считать типичным или применимым (см.
5.2.2).
2 Выбросы определяются как совокупность индивидуальных веществ, выделяющихся в процессе производства.
3 Коэффициент выбросов отличается от интенсивности массовых выбросов, при этом последняя имеет конкретную размерность - масса, деленная на время.
2.2 рекомендуемые нормы (good practice): Комплекс методик, гарантирующий, что представленный отчет по выбросам является достоверным (т.е. объективным) в том смысле, что выбранные методики систематически не занижают и не завышают значение, насколько об этом можно судить, и что неопределенности снижены настолько, насколько это возможно.
2.3 измеряемая величина (measurand): Конкретная величина, подлежащая измерению.
(ИСО 9169:2006
[3], 2.1.11)
2.4 система измерений (measurement system): Полный комплект измерительных приборов и сопутствующего оборудования, используемый для определения определенной измеряемой величины.
2.5 план измерений (measurement plan): Документ, описывающий методологию сбора данных, используемую для конкретной установки, типа и количества собираемых данных, обработку данных, качество внедряемой системы и приемы, которые будут использованы для оценки неопределенности измерений.
2.6 испытание (test): Технические операции, состоящие из определения одной или более характеристик данного продукта, процесса или услуги в соответствии с методикой.
Примечания
1 Для измерений выбросов испытание состоит из серии измерений одной измеряемой величины или комбинации измерений нескольких величин.
2 Проверочное испытание часто определяют как количество измерений (обычно не менее трех), демонстрирующих протекание выбросов под наблюдением.
3 Обозначения и сокращения
АИС - автоматическая измерительная система;
A - площадь поперечного сечения в плоскости отбора проб;
a - данные об объеме промышленной или иной деятельности (активность);

- коэффициент чувствительности усредненной по времени активности;

- коэффициент чувствительности усредненной по времени интенсивности массовых выбросов;
F - коэффициент выбросов;

- интенсивность массовых выбросов;
p - уровень доверительной вероятности;
Up(y) - расширенная неопределенность измеряемой величины y при доверительной вероятности p;
- неопределенность усредненного по времени параметра
a;
- неопределенность усредненной по времени интенсивности массовых выбросов;
u(y) - стандартная неопределенность измеряемой величины y;
- объемный расход;
v - скорость отходящих газов;
y - измеряемая величина;

- массовая концентрация.
Интенсивность массовых выбросов

вычисляют путем умножения измеренной (или вычисленной) массовой концентрации

на измеренный (или вычисленный на основе измерений) объемный расход

отходящих газов, являющихся представительными для данного периода и рассчитанных для одинаковых стандартных условий (температура, давление, содержание кислорода и водяного пара), по формуле:

(1)
Усредненный по времени коэффициент выбросов F для измеряемого компонента вычисляют путем деления интенсивности массовых выбросов на измеренный объем промышленной или иной деятельности (выраженный через параметр активности a), в результате которой имеет место загрязняющее воздействие; при этом обе величины являются представительными для одного и того же периода времени. Основное уравнение имеет вид:

(2)
Усредненные по времени коэффициенты выбросов соответственно вычисляют путем деления усредненной интенсивности массовых выбросов на параметр активности a, представительные для одного и того же периода времени. Усредненная по времени интенсивность массовых выбросов и коэффициенты выбросов указаны в соответствии с информацией, описывающей технологические условия и период времени, для которого они являются представительными.
Определение соответствующих измеряемых входящих величин для расчета требуется для того, чтобы зафиксировать их в плане измерений.
Неопределенность интенсивности массовых выбросов и коэффициентов выбросов определяют путем оценки неопределенности как измерений, так и данных об уровне активности.
Примечание - В
приложении B приведена дополнительная информация о фундаментальных принципах, обеспечивающих то, что данные о массовых выбросах, предоставляемые в целях проведения инвентаризации выбросов, верно и удовлетворительно оценены.
5 Определение интенсивности массовых выбросов
5.1 Планирование измерений
5.1.1 Общие положения
До начала сбора информации о выбросах подготавливают план измерений, который определяет минимальные требования к качеству данных. Также план измерений должен включать:
a) цели измерений, в том числе требования к качеству информации;
b) собранную информацию и используемые методы измерения;
c) тип, качество и количество собранной информации;
d) используемый способ обработки данных для определения усредненных по времени массовых выбросов, коэффициентов выбросов и сопутствующих неопределенностей;
e) требования к системе менеджмента качества;
f) любые сопутствующие методики, которые могут потребоваться для обеспечения того, что качество информации соответствует определенным требованиям;
g) методику составления отчета.
В
приложении A приведена более подробная информация о деталях, которые должны быть включены в план измерений.
Примечание - Существует общее руководство по составлению плана измерений, например в ЕН 15259
[12].
5.1.2 Тип и количество собранных данных
Данные о выбросах и об уровне активности, при необходимости, собирают на протяжении периода времени, определенного целью измерений. Эти данные должны соответствовать требованиям к неопределенности, требованиям к качеству информации, определенным в системе менеджмента качества, и используемому способу обработки данных, как определено в плане измерений.
Примечание - Период времени массовых выбросов обычно составляет 6 мес или год. Период времени, за который определяют коэффициенты выбросов, может зависеть от периода времени предоставленных данных об уровне активности.
Измерения проводят для известного периода времени, когда установка работает в пределах известных эксплуатационных границ, установленных в плане измерения.
Измерения должны быть проведены в месте измерений, где данные являются представительными при обычных изменениях функционирования оборудования или процесса выбросов. Документация, сопровождающая план мониторинга, должна показывать, какое минимальное число точек отбора проб, используемых для каждого измеряемого параметра, определено и как пробы должны быть отобраны.
Когда определяют содержание измеряемого компонента за известный интервал времени (т.е. периодическое измерение), также измеряют объемный расход или любую другую сопутствующую измеряемую величину, необходимую для вычисления интенсивности массовых выбросов.
Примечание - Интервал времени может быть регулярным (например, раз в месяц) и нерегулярным. Измеряемая величина может включать значение величины, количество или физический параметр выбросов. Измерения продолжительностью менее 24 час обычно проводят с портативным оборудованием.
Когда для определения измеряемой величины используют метод автоматического измерения, измерение скорости отходящих газов или любых других связанных параметров следует также проводить с использованием автоматической измерительной системы. Неопределенность, скорость сбора данных и минимальное время обеспечения этой информацией должны соответствовать требуемому качеству данных плана измерений.
5.1.3 Описание исходных данных
Информацию следует собирать, описывая эксплуатационные условия и период времени, при которых интенсивность выбросов является представительной. Это следует тщательно документировать (см.
A.3).
Необходимые измерения содержания компонентов, которые используют для определения массового расхода, выполняют, пользуясь национальными или международными стандартами, позволяющими установить неопределенность конечного результата, что определяет возможность верификации протокола выбросов. Если это требует использования дополнительных стандартов, которые еще не введены, то следует обратиться к 5.2.2 и
5.2.4.
5.2.2 Определение массовой концентрации
Определяют массовую концентрацию

измеряемого компонента в отходящем газе в течение периода отбора проб, установленного в плане измерений.
Примечание - План измерений может устанавливать периодические и постоянные измерения. Обычно отбор проб продолжается 30 мин или 1 час. Продолжительные измерения могут потребовать усреднения измеренных сигналов за период отбора проб, установленный в плане измерений.
Отбор проб должен быть представительным для указанного периода отбора проб с учетом вероятной изменчивости процесса.
Используемый метод измерений должен иметь известные рабочие характеристики.
Следует отобрать достаточное число проб для обеспечения того, чтобы массовая концентрация

соответствовала требованиям к качеству информации.
Примечание - Рабочие характеристики метода необходимы для оценки неопределенности измерения результата, включающие повторяемость, воспроизводимость, предел обнаружения, диапазон измерений и перекрестную чувствительность. Подходящие методы измерений следует испытать на месте для определения их рабочих характеристик и ожидаемой при применении методов расширенной неопределенности, которая обычно соответствует уровню доверительной вероятности 95%. Международные стандарты, европейские стандарты и подходящие утвержденные национальные стандарты должны соответствовать этим критериям. Выбор референтных методов из международного стандарта для автоматических измерений общих загрязняющих веществ приводится в библиографии.
Автоматические измерительные системы (АИС) должны функционировать в условиях системы качества, которая гарантирует, что они установлены для измерения выбросов в воздух и позволяют соответствовать требованиям к неопределенности измеренного значения, установленным в плане измерений.
Примечания
1 Возможность соответствия требованиям к неопределенности может быть показана применением
[7].
2 Калибровка АИС описана в
[11].
Результат выражают как среднее значение содержания за период отбора проб, установленный в плане измерений.
5.2.3 Определение температуры, давления, влажности и содержания кислорода
Определяют температуру, давление, содержание влаги (влажность) и кислорода, при необходимости, с применением стандартизованного метода измерений. Отбор проб следует проводить в той же самой плоскости отбора проб или в непосредственной близости от плоскости, используемой для определения массовой концентрации и скорости газа, при этом не создавая помех. Измерения должны быть представительными на всем периоде измерений массовой концентрации.
Примечание - Подходящие стандартизованные методы определения температуры, давления, содержания влаги и кислорода приведены в библиографии.
5.2.4 Измерение объемного расхода
Определение объемного расхода

с применением стандартизованного метода измерений или утвержденной методики вычислений основано на составе отходящих газов, их измеренном количестве и измеренном содержании кислорода.
Объемный расход следует определять для плоскости отбора проб, в которой определяют массовую концентрацию.
Примечание - Этого можно достигнуть при измерении скорости отходящих газов v или содержания кислорода в той же самой плоскости отбора проб или в непосредственной близости от плоскости, используемой для определения массовой концентрации, при этом не создавая помех.
Скорость или измерение содержания кислорода должны быть представительными для периода измерений массовой концентрации.
Примечание - Для измерения скорости газов наиболее пригодными методами являются EPA методы 2
[28], 2G
[28], 2F
[28], 2H
[28] и EPA CTM метод 041
[29] Управления по охране окружающей среды США. Эти методы могут быть использованы для измерения нескорректированной скорости, скорректированной отклоняющейся скорости, отклоняющейся и угловой скорректированных скоростей, эффектов влияния стенок в круглых трубах и газоходах и эффектов влияния стенок в прямоугольных трубах и газоходах, соответственно. Также может быть использована комбинация методов, например 2GH и 2FH. Для локального метода исследования могут быть использованы трубки Пито типа L. В качестве альтернативы также могут быть использованы другие устройства для измерений (например, трубки Пито типа S), при условии, что они откалиброваны на уровне стандартизованных трубок Пито.
Следует определить площадь поперечного сечения A плоскости отбора проб с известной неопределенностью.
Объемный расход рассчитывают из произведения скорости отходящего газа и площади поперечного сечения A плоскости отбора проб в измерительной точке по формуле

(3)
5.3 Расчет интенсивности массовых выбросов
Вычисляют массовую концентрацию

измеряемого компонента в отходящем газе и объемный расход

при одних и тех же температуре, давлении и влажности.
Если этого требует план измерений, то массовая концентрация и объемный расход следует привести к одним и тем же стандартным условиям по установленному содержанию кислорода и диоксида углерода.
Примечание - Применение общих стандартизованных условий делает возможным перемножать значение концентрации, вычисленное из объема, и соответствующий объемный расход без введения дополнительных коэффициентов.
Результат следует выражать в единицах СИ.
Вычисляют интенсивность массовых выбросов путем умножения массовой концентрации измеренного соединения в отходящем газе на связанный объемный расход отходящего газа по формуле

(4)
Примечания
1 Интенсивность массовых выбросов, вычисленную в течение отбора проб при измерении массовой концентрации, ниже называют "краткосрочное среднее значение".
2 Когда, в течение периодического или ручного измерения, серия испытаний была проведена при сходных рабочих условиях процесса, установленных в плане измерений, результаты могут быть усреднены и взяты в качестве представительных в период измерительного цикла в целом.
При проведении непрерывных автоматических измерений интенсивность массовых выбросов должна фиксироваться непрерывно и показания должны регистрироваться как временной ряд средних значений за установленный период времени. Временной ряд может быть усреднен и взят в качестве представительного в период измерительного цикла в целом.
Примечание - Для большого количества процессов подходящим является часовое или получасовое усреднение.
5.4 Определение усредненной по времени интенсивности массовых выбросов
Усреднение скорости массовых выбросов в пределах периода усреднения устанавливает план измерений.
Примечание - Интенсивность массовых выбросов в пределах периода усреднения, установленную планом измерений, ниже называют "долгосрочное среднее значение".
При проведении периодического или ручного измерения количество испытаний может быть усреднено в пределах длительного периода при условии, что они соответствуют
5.2 и соблюдены характеристики неопределенности, установленные в плане измерений. При использовании системы непрерывного автоматического измерения усредненная по времени интенсивность массовых выбросов является простым средним арифметическим определенных значений интенсивности массовых выбросов во времени (например, раз в полчаса) в течение периодов, когда процесс соответствовал рабочим условиям, установленным в плане измерений.
Записывают параметры технологической установки, для которой применимо полученное значение, и документируют период времени усреднения, в который режим работы оборудования не соответствовал критериям, установленным в плане измерений (см.
5.1.2 и
приложение A).
Записывают полученное значение интенсивности массовых выбросов в единицах СИ. Значение может быть записано, в дополнение к единицам СИ, в других единицах измерения, если точно объяснено, что эти единицы приведены только для информативности.
Примечание - Данные об интенсивности массовых выбросов могут быть получены путем непрерывного или периодического мониторинга с помощью указанной измерительной системы. Неопределенность усредненного по времени значения зависит и от неопределенности результатов измерения, и от неопределенности, возникшей вследствие неполного представления данных временного ряда, являющейся результатом недостающих данных. При вычислении дополнительной неопределенности, возникающей вследствие неполного освещения времени, среднего значения интенсивности массовых выбросов, полученного из ряда измерений, может быть применено
[4]. Это ИСО 11222
[4] применяют только в тех случаях, когда используемые данные о временном ряде являются представительными для временной структуры выбросов в целом.
5.5 Оценка неопределенности
5.5.1 Общие положения
Неопределенность интенсивности массовых выбросов измеряемого соединения следует определять в соответствии с общими принципами
[10].
Определение неопределенности краткосрочного среднего значения интенсивности массовых выбросов требует:
- оценки подходящего модельного уравнения, описывающего полный процесс измерения и зависимости между входящими величинами, используемыми для вычисления интенсивности массовых выбросов;
- определения уравнения дисперсии, описывающего комбинацию вкладов неопределенностей индивидуальных входящих величин путем применения закона распространения неопределенностей на модельное уравнение;
- определения неопределенностей входящих величин;
- вычисления стандартной неопределенности интенсивности массовых выбросов;
- определения коэффициента охвата с учетом числа степеней свободы, связанных с индивидуальными вкладами неопределенностей и доверительной вероятности;
- вычисления расширенной неопределенности интенсивности массовых выбросов.
Стандартная неопределенность и связанное число степеней свободы должны быть применимы к входящим измеренным величинам, используемым для вычисления скорости массовых выбросов путем применения модельного уравнения. Подходящие стандартные методы измерений входных параметров имеют известные неопределенности, которые часто выражаются через повторяемость и воспроизводимость на месте измерений. Если интенсивность массовых выбросов рассчитывают по данным, собранным с применением нестандартных методов, то такая информация часто отсутствует. Пользователям следует определять неопределенность метода измерений, используя измерения входных параметров и устанавливая неопределенность путем сравнения их значений с задокументированными значениями, полученными, например, в ходе валидации метода измерений. ИСО 20988
[9] содержит руководство по оценке неопределенностей в измерениях качества воздуха, таких как измерения содержания и объемного расхода, и связанного числа степеней свободы.
Оценка неопределенности долгосрочного среднего значения интенсивности массовых выбросов должна быть основана на модельном уравнении, которое включает обусловленную измерениями неопределенность краткосрочного среднего и дополнительную неопределенность, возникающую из-за неполного охвата периода времени долгосрочного среднего. ИСО 11222
[4] содержит руководство по оценке неопределенностей усредненных по времени измерений качества воздуха.
Модельное уравнение должно быть отнесено к периоду времени долгосрочного среднего значения, в частности учитывать периодичность калибровок оборудования для измерения выбросов. Например, если оборудование для продолжительного мониторинга откалибровано в соответствии с
[11], то затем калибровку проводят в течение трехлетнего периода с ежегодной проверкой калибровки в сравнении со стандартным референтным методом. Такой режим калибровок приводит к появлению ряда источников неопределенности, которые могут считаться систематическими в периоде, превышающем годовой отчетный цикл.
5.5.2 Стандартная неопределенность
Стандартную неопределенность краткосрочного среднего значения интенсивности массовых выбросов измеряемого компонента рассчитывают, как квадратный корень из дисперсии интенсивности массовых выбросов, которая представлена суммой вкладов дисперсии индивидуальных входящих параметров.
Стандартная неопределенность долгосрочного среднего интенсивности массовых выбросов измеряемого компонента должна включать вызванную измерениями неопределенность и неопределенность, возникающую из-за неполного охвата периода времени долгосрочного среднего.
Примечание - Данные об интенсивности массовых выбросов могут быть получены путем непрерывного или периодического мониторинга с помощью указанной измерительной системы. Неопределенность усредненного по времени значения зависит и от неопределенности результатов измерения, и от неопределенности, возникшей вследствие неполного представления временного ряда, являющегося результатом недостающих данных.
Случайную и систематическую составляющие неопределенностей краткосрочных средних значений следует учесть при вычислении вызванной измерениями неопределенности долгосрочного среднего значения (см., например,
[4]).
Примечания
1 Неопределенность средней интенсивности выбросов долгосрочного периода не может быть вычислена путем суммирования неопределенностей более коротких периодов времени и деления этой суммы на квадратный корень из числа этих более коротких периодов времени, поскольку это требует чисто случайного характера слагаемых неопределенностей.
2 Оценка неопределенности для долгосрочного среднего значения требует создания модельного уравнения, которое позволит корректно обработать случайные и систематические неопределенности.
Для временного ряда краткосрочных средних значений измеряемых интенсивностей массовых выбросов, вызванная измерениями неопределенность долгосрочных средних значений может быть принята соответствующей неопределенности интенсивности массовых выбросов индивидуального компонента. Это равносильно предположению, что все источники неопределенности являются систематическими, что обеспечивает приблизительную оценку неопределенности измерений долгосрочных средних.
Примечание - Предположение, что все неопределенности имеют систематический характер, следует рассматривать как наихудший вариант.
ИСО 11222
[4] может быть использовано для вычислений дополнительной неопределенности, возникающей вследствие неполного охвата периода времени усреднения интенсивности массовых выбросов, полученной в серии измерений.
5.5.3 Расширенная неопределенность
Расширенная неопределенность интенсивности массовых выбросов, являющаяся дисперсией множества значений, которую следует ожидать на практике, следует определять путем умножения стандартной неопределенности интенсивности массовых выбросов на коэффициент охвата.
Коэффициент охвата следует определять как значение t-распределения для числа эффективных степеней свободы стандартной неопределенности и статистической доверительной вероятности, установленной в плане измерений.
Примечание - Доверительная вероятность составляет, как правило, 95%.
Эффективные степени свободы стандартной неопределенности рассчитывают по уравнению Уэлча-Саттертуэйта, установленного ИСО/МЭК 98-3:2008
[10]. ИСО 20988
[9] и ИСО 11222
[4] содержат руководство по вычислению эффективных степеней свободы.
Для долгосрочного среднего значения коэффициент охвата, равный двум, может быть использован при условии, что это среднее рассчитывают, по крайней мере, из 30 краткосрочных средних значений и систематическая составляющая, вызванная измерениями неопределенности, мала по сравнению со случайной составляющей.
6 Данные об уровне активности
6.1 Сбор данных об уровне активности
Данные об уровне активности, подлежащие определению в соответствии с требованиями, приведенными в плане измерений, следует собирать таким образом, чтобы они дополняли измеренные данные о выбросах. Они должны соответствовать максимальному количеству коэффициентов, приведенных в
A.3.
При использовании измерений для генерирования уровня активности, любые используемые расходомеры, оборудование для взвешивания, счетные устройства и т.д. должны иметь известные рабочие характеристики и быть откалиброванными, в хорошем состоянии и проверенными на регулярной основе.
Примечание - Данные об уровне активности могут включать данные об используемом топливе, поставках сырья или технологические данные (площадь поверхности покрытия и др.).
Место сбора дополнительных сведений устанавливает план измерений, например для химического анализа, теплоты сгорания топлива, заготовок или измеряемой продукции они должны быть основаны на представительном отборе проб и анализа, проведенных аккредитованными лабораториями.
Измерительное оборудование, используемое для определения данных о деятельности, должно быть в хорошем состоянии, откалибровано и проверено в соответствии с технологическими инструкциями, описанными в системе качества. Пробные работы для таких мероприятий должны проводить лаборатории, аккредитованные по ИСО/МЭК 17025
[8]. Для измерения данных об уровне активности также может быть использовано руководство, приведенное в
5.2.1.
При сборе данных об уровне активности на постоянной основе, следует документировать промежутки времени, в течение которых режим работы измерительного оборудования не соответствует критериям рабочих характеристик, указанным в плане измерения, или когда изменяются данные о скорости захвата.
План измерений должен отражать, каким образом влажность и другие примеси должны быть учтены, если топливо или сырье содержит влагу или примеси, которые могут негативно повлиять на процесс измерения.
План измерений для любого процесса должен также устанавливать наличие специфических химических изменений и фактора окисления, с тем чтобы были предусмотрены необходимые измерения (см., например,
[34]). Например, если используют неосушенное топливо или сырье, то может возникнуть необходимость провести анализ влаги для определения эквивалентности осушенного топлива. Соответствующие измерения следует производить одновременно или таким образом, чтобы они гарантировали правильное функциональное соотношение между выбираемыми переменными, в противном случае интегрированные потоки или выбросы, полученные в результате измерений, могут оказаться неверными.
6.2 Неопределенность данных об уровне активности
Определяют стандартную неопределенность собранных данных об уровне активности путем измерений, суммируя неопределенность индивидуальных измерений.
Определение расширенной неопределенности данных об уровне активности, полученных из измерений, проводят в соответствии с
5.2, путем перемножения стандартной неопределенности и коэффициента охвата. Коэффициент охвата следует определять как значение
t-распределения для числа эффективных степеней свободы стандартной неопределенности и статистической доверительной вероятности, установленной в плане измерений.
Когда данные об уровне активности невозможно вычислить из данных об измерении, неопределенность следует оценить посредством экспертной оценки, и все допущения должны быть тщательно задокументированы.
7 Определение усредненных по времени коэффициентов массовых выбросов
Коэффициенты выбросов определяют в течение периода времени, который является характерным или приемлемым для установки с выбросами или процесса выбросов, относящегося к периоду времени, предусматривающему получение пригодных статистических данных об активности, или к периоду времени, установленному в плане измерений. Регистрируют и вносят в протокол рабочие условия процесса и период времени, в течение которого коэффициент выбросов можно считать характерным.
Примечания
1 Частое использование коэффициентов выбросов требует того, чтобы они были представительными для выбросов в течение всего календарного года.
2 Данные об интенсивности массовых выбросов могут быть объединены для создания временного ряда, соответствующего периоду доступных данных об уровне активности, при условии, что измерения были проведены при рабочих характеристиках процесса, обеспечивающих соответствие качества данных требованиям плана мониторинга. Временные ряды могут быть неполными, если либо для массовых выбросов, либо для уровня активности был применен ручной или периодический метод измерений, или если утеряны данные от продолжительных измерений выбросов (см.
C.1).
3 Коэффициенты выбросов могут быть выведены так, чтобы быть представительными для характерной группы установок при нескольких возможных наборах доступных данных, которые относят к тому же количеству и которые были собраны в соответствии с
разделом 5 (см.
C.2).
7.2 Вычисление усредненного по времени коэффициента выбросов
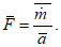
Вычисляют усредненный по времени коэффициент выбросов

путем деления подходящей усредненной по времени интенсивности массовых выбросов

на измеренный уровень активности

, усредненный по соответствующему периоду времени, по формуле

(5)
Коэффициенты выбросов следует приводить с сопутствующим текстом, в котором описаны рабочие условия и период, в который они являются представительными.
Примечание - Коэффициенты эффективности снижения выбросов могут быть рассчитаны по разности интенсивности массовых выбросов, определенных выше и ниже по течению потока (как одновременно, так и последовательно) любого очистного оборудования.
7.3 Неопределенность усредненного по времени коэффициента выбросов
Определяют стандартную неопределенность усредненного по времени коэффициента выбросов путем вычисления квадратного корня из суммы дисперсии интенсивности массовых выбросов и данных об уровне активности по формуле

(6)
где

- коэффициент чувствительности усредненной по времени интенсивности массовых выбросов;
- неопределенность усредненной по времени интенсивности массовых выбросов;

- коэффициент чувствительности усредненного по времени коэффициента выбросов;

- неопределенность усредненного по времени коэффициента выбросов.
Определяют расширенную неопределенность усредненного по времени коэффициента выбросов путем умножения стандартной неопределенности, усредненного по времени коэффициента выбросов на коэффициент охвата. Коэффициент охвата следует определять как значение t-распределения для числа эффективных степеней свободы стандартной неопределенности и статистической доверительной вероятности, установленной в плане измерений.
7.4 Объединение коэффициентов выбросов
Вычисляют совокупность коэффициентов выбросов, если это необходимо по плану измерения и связанным с ним требованиям к протоколу (см.
приложение A), путем объединения усредненных по времени коэффициентов выбросов, что, в пределах требований плана измерения, формирует общий тип источника (см., например,
[30]), в том числе:
- производственный процесс;
- этапы производства;
- сезонные или атмосферные изменения, которые не были решены путем внесения поправок в период усреднения;
- срок эксплуатации, тип и состояние установки или процесса;
- изменчивость топлива или сырья;
- нагрузка;
- период времени.
Примечание - Внесение в протокол различных категорий источников, таких как категории РКИК ООН ОФД
[30] и коды ЕЭК ООН НФТ
[31], может потребовать объединения данных с дисперсией в рабочих условиях установки, разницей в деталях процесса на аналогичных объектах, разницей в методиках испытаний и связанных с ними неопределенностями.
Существенную разницу в выбросах, обусловленную идентифицируемыми и поддающимися количественной оценке особенностями процесса, качеством исходного сырья или контролируемым отклонением измерения, следует минимизировать путем тщательного занесения в протоколы измерений.
7.5 Оценка неопределенности совокупности коэффициентов выбросов
Оценивают стандартную неопределенность совокупности коэффициентов выбросов, объединяющую независимо определенные оценки, для создания гипотетического множества, которое может впоследствии использовать для определения среднего значения, стандартного отклонения и связанного с ним коэффициента охвата.
Примечание - Описание применения метода Монте-Карло для моделирования множества из плотности распределения вероятности, построенное на ограниченном наборе данных, приведено в
[32].
8 Требования системы менеджмента качества
Систему менеджмента качества используют для проверки методики обеспечения и контроля качества с точки зрения их достаточности для того, чтобы отвечать потребностям пользователей и требованиям к качеству данных, установленным в плане измерения. Система менеджмента качества должна охватывать этапы планирования измерения, выполнения измерений и оценки данных.
Примечания
1 Точность и достоверность или неопределенность усредненных по времени коэффициентов выбросов могут быть уточнены и проверены посредством системы качества, которая контролирует и обеспечивает надежность, правильность и полноту: данных; информации, касающейся эксплуатационного статуса источника выбросов; периода времени, для которого коэффициент выбросов является представительным; данных об уровне активности и любых используемых переводных коэффициентов.
2 В данном контексте контроль качества является системой обычных технических действий, используемых персоналом, выполняющим измерения, для проверки того, что получение и накопление данных соответствуют измерению и требованиям к качеству данных. Обеспечение качества является системой контрольных процедур, используемых персоналом, независимой от контролирующего персонала, и предназначенной для демонстрации соответствия с измерением и достигнутыми требованиями к качеству данных.
3 ИСО/МЭК 17025
[8] содержит общие требования, которые, если необходимо, позволяют проверить лаборатории, которые подтверждают свою способность управлять системой качества, техническую компетентность и способность произвести действительные результаты. СЕН/ТС 15675
[13] обеспечивает применение ИСО/МЭК 17025
[8] к периодическим измерениям выбросов.
В протоколе представляют информацию об интенсивности массовых выбросов и коэффициентах выбросов вместе с информацией, описывающей их отклонения, в подробных деталях, по которой пользователь может оценить приемлемость коэффициентов выбросов.
Протокол испытаний должен включать план измерений и описывать, напрямую или по ссылкам, следующую информацию:
- детали, касающиеся сбора данных и использованной методологии измерений.
Примечание - Информация, которую обычно указывают в протоколе испытаний, приведена в ЕН 15259
[12] и
[32];
- собранные и использованные данные для определения усредненной по времени интенсивности массовых выбросов;
- усредненную по времени интенсивность массовых выбросов и/или коэффициент выбросов вместе с оценками их неопределенностей;
- методологию оценки неопределенностей;
- применяемую систему менеджмента качества;
- дополнительные данные, демонстрирующие, что качество данных соответствует установленным минимальным требованиям или требованиям к качеству данных (например, тип источника выбросов, оборудование для испытаний, условия, при которых проводят испытание и т.д.).
Протокол должен быть достаточно подробным для проведения независимого пересчета.
Результаты должны быть выражены в единицах системы СИ.
Примечание - ИСО/МЭК 17025
[8] содержит дополнительное руководство по подготовке протоколов испытаний.
(обязательное)
МИНИМАЛЬНЫЕ ТРЕБОВАНИЯ К ПЛАНУ ИЗМЕРЕНИЙ
A.1 Общие положения
План измерений должен достаточно подробно устанавливать четкие инструкции для проведения персоналом, проводящим измерения, определения усредненной по времени интенсивности массовых выбросов и коэффициентов выбросов с известными характеристиками неопределенностей.
Измерения следует достаточно подробно документировать, для того чтобы ответственный за проверку персонал был способен воспроизвести определение.
План измерений должен определять:
- идентификацию и определение местоположения измеряемого источника.
Примечание - Данные по местоположению могут включать информацию о регионе и условиях в регионе во время определения местоположения;
- собранные данные и требования к качеству данных;
- место и секцию измерений, методику отбора проб и другие важные детали, установленные, например, в ЕН 15259
[12];
- использованную методологию измерений;
- тип и количество собранных данных;
- собранную информацию об установке и технологических условиях, относящихся ко времени испытаний;
- выбранный способ обработки данных;
- систему менеджмента качества;
- любые дополнительные процессы, необходимые для демонстрации того, что массовые выбросы систематически не занижаются и не завышаются.
A.2 Сбор данных и методология измерений
Сбор данных и используемая методология измерений и массовых выбросов и данных об уровне активности должны быть пригодны для использования на установке и в процессе изучения. Как правило, в них должны быть указаны:
- измеряемая величина и все связанные с ней референтные измерения;
- методики для обеспечения представительности результатов измерений;
- используемые стандартные референтные методы;
- необходимое аналитическое оборудование и требования к его эксплуатационным характеристикам;
- необходимые требования к качеству данных, включая точность, прецизионность, требования к неопределенности или требования к сбору данных.
Примечание - Цели сбора данных обычно включают характеристики неопределенности, минимальный набор данных и минимальное время охвата;
- тип активности, включающий тип общего источника, для которого коэффициент выбросов является представительным;
- принятая система качества.
A.3 Тип и качество собранных данных
Общая информация, которая должна быть задокументирована, устанавливающая рабочие условия и период времени, для которых интенсивность выбросов является представительной, должна включать:
- протокол проведения и принятых предположений;
- любую дополнительную соответствующую информацию об установке или процессе, собранную для проведения обработки данных или интерпретации результатов;
- условия (или ряд условий) процесса (или для промышленных установок - пропускная способность, загрузка материалом, топливо или сырье для промышленности), достигаемые во время измерений;
- персонал, ответственный за измерения, и других участвующих лиц.
Информация, специфичная для установки или процесса и проведенных измерений, должна включать:
- наименование или описание установки или процесса;
- тип технологического сырья или топлива;
- мощность установки (чистая или суммарная мощность, ориентируемая на потребление или выпуск продукции, скорость проведения операций и пропускная способность во время испытания и т.д.);
- скрубберы и их рабочие параметры;
- срок эксплуатации установок и скрубберов;
- даты последнего проведенного технического обслуживания скрубберов;
- описание последнего проведенного технического обслуживания скрубберов;
- любой метод управления процессом или описание сбоев в работе скрубберов во время испытаний;
- загрязняющие вещества во время испытаний и применяемые методы испытаний;
- число проводимых отдельных измерений и условия, при которых проведены проверочные испытания;
- любую температуру, давление, влажность и любые другие необходимые связанные измерения;
- количество собранных данных для вычисления неопределенности испытания;
- любые неточности или отклонения в методиках испытания;
- число и продолжительность испытаний;
- любую требуемую дополнительную документацию по системе менеджмента качества;
- идентификацию испытательной лаборатории и привлеченного персонала.
Примечания
1 Перечень взят из ЕН 15259
[12] и других материалов, приведенных в библиографии.
2 Все выбросы компонента из установок должны быть отражены в массовых выбросах или коэффициентах выбросов, но только те из них, которые могут быть легко измерены.
A.4 Обработка данных и составление протокола
Требования к обработке данных и технические требования к формату результатов, которые будут приведены, должны определять:
- необходимые расчеты и способ проведения вычислений;
- требования к документации для обеспечения прослеживаемости результатов путем расчетов на основе собранных исходных данных и рабочих условий процесса;
- единицы измерения результата;
- процедуры составления протокола, которые формируют сам протокол измерений, описание цели и плана измерений.
Документация, относящаяся к условиям установки, при которых данные являются представительными, должна включать даты и периоды измерений контрольно-измерительных мероприятий.
(справочное)
ПРИМЕР ОЦЕНКИ НЕОПРЕДЕЛЕННОСТИ
B.1 Общие положения
В этом приложении приведен пример вычисления неопределенности. Этот метод основан на используемом в Нидерландах подходе для определения выбросов N2O [оксида азота (I)].
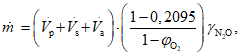
B.2 Выбросы N2O на промышленных установках по производству азотной кислоты
B.2.1 Описание измерений
Производство азотной кислоты включает окисление аммиака с использованием кислорода окружающего воздуха. N
2O получается как побочный продукт и может выбрасываться в воздух в остаточных газах из технологической установки, если не принимаются подходящие меры по уменьшению выбросов. Невозможно определить выделяемый N
2O из простого массового баланса, вычисленного на основе исходных материалов процесса. Таким образом, определение массовых выбросов N
2O проводят, основываясь на прямом измерении его содержания в потоке выбросов и на определении расхода. Расход определяют из вычислений баланса с использованием измерений содержания кислорода в потоке выбросов и учета входящих газовых потоков процесса. Вычисление расхода основано на измеренном объеме входящего воздуха с его корректировкой на измеренный в отходящем потоке объем кислорода, израсходованный в ходе процесса (обозначаемые

и

). Содержание N
2O в отходящих газах измеряют непрерывно с помощью автоматизированной измерительной системы, которая обеспечивает ряд измерений во времени. Данные регистрируются каждый час для расчета ежемесячных показателей массовых выбросов. В настоящем приложении приведен пример вычисления неопределенности ежемесячных показателей массовых выбросов.
Примечание - Описанный здесь пример вычисления потока массовых выбросов основан на данных, предоставленных Голландским полномочным органом по выбросам.
В соответствии с настоящим стандартом вычисление массового расхода основано на временном ряде измерений, представляющих часовые значения (хотя они получены из данных о более коротком периоде).
Модельное уравнение измерений для часовой интенсивности массовых выбросов описывается формулой

(B.1)
где

- измеренный расход первого потока воздуха, например, в м
3/ч, при стандартных условиях;

- измеренный расход второго потока воздуха, например, в м
3/ч, при стандартных условиях;

- постоянный расход дополнительного потока воздуха, например, в м
3/ч, при стандартных условиях;

- измеренная объемная доля кислорода, выраженная в процентах;

- измеренная массовая концентрация N
2O, например, в мг/м
3, при стандартных условиях.
Среднемесячное значение интенсивности выбросов представляет собой среднее значение всех значений (при определении которых завод функционировал нормально) за месяц. Неопределенность усредненного по времени значения определяют в соответствии с ИСО 11222
[4], в котором устанавливают метод для определения неопределенности в усредненном по времени значении, учитывая неопределенность, возникающую ввиду определения почасовых данных о выбросах и эффекта пропущенных значений.
Набор данных, используемый для этого примера, основан на периоде 29 дней (февраль високосного года) и пропускает период данных 86 ч (3,5 дня) в один единичный период в течение месяца. Процент времени охвата имеющимися данными составляет 88% от общего времени функционирования завода, что является приемлемым.
B.2.2 Стандартная неопределенность почасовой интенсивности выбросов
Стандартную неопределенность интенсивности массовых выбросов определяют путем трансформирования неопределенности в соответствии с положениями руководства ИСО/МЭК 98-3:2008
[10].
Примечание - Руководство ИСО/МЭК 98-3 идентично EHB 13005
[14].
Неопределенности расходомеров, которые обеспечивают получение значений

и

, обычно составляют 3% значения с доверительной вероятностью 95% (
k = 2). Эти данные получают при сертификации счетчиков. Информацию о компонентах этих неопределенностей, являются ли они случайными или систематическими, не приводят. При стандартных условиях

представляет собой постоянный расход, равный 700 м
3/ч, который имеет допустимую неопределенность 25%.
Непрерывные измерения выбросов N
2O и O
2 осуществляют с помощью приборов, которые калибруют в соответствии с ЕН 14181
[11]. Обязательным требованием является то, что неопределенность измерений, выполненных с помощью этих анализаторов, составляет 5% значения с доверительной вероятностью 95%. Оценка QAL1 согласно ЕН 14181
[11] продемонстрировала, что анализаторы отвечают этому требованию. QAL3 согласно ЕН 14181
[11] разработан для обеспечения того, чтобы анализаторы оставались в пределах контроля. Из-за нечастой калибровки анализаторов можно предположить, что доминирующим слагаемым неопределенности является систематическая неопределенность.
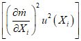
Суммарную стандартную неопределенность интенсивности массовых выбросов вычисляют по формуле

(B.2)
где

- частная неопределенность, возникающая из-за
i-го слагаемого в модельном уравнении измерения.
Для модельного измерения, приведенного в
формуле (B.1), суммарную стандартную неопределенность вычисляют по формуле

(B.3)
Для каждого значения объемного расхода

,

и

получен один и тот же коэффициент чувствительности, вычисляемый по формуле

(B.4)
Коэффициент чувствительности для кислорода вычисляют по формуле

(B.5)
Коэффициент чувствительности для N2O вычисляют по формуле

(B.6)
В
таблице B.1 приведены результаты применяемой оценки неопределенности для этих модельных измерений с использованием типичных значений входящих величин и связанных с ними неопределенностей.
Строки 2 -
6 содержат информацию о входящих величинах в модели, которыми являются значения
(колонка 2), связанные с ними относительные стандартные неопределенности
(колонка 3), абсолютные стандартные неопределенности
(колонка 4), коэффициенты чувствительности
(колонка 5) и вклад в суммарную стандартную неопределенность
(колонка 6).
Таблица B.1
Применяемая оценка неопределенности для примера вычислений
интенсивности массовых выбросов
Параметр | | Относительная стандартная неопределенность, % | Абсолютная стандартная неопределенность | Коэффициент чувствительности | Вклад в неопределенность, u( Xi), кг/ч |
| 72 567,76 м3/ч | 1,5 | 1 088,5 м3/ч | 141,5 x 10-6 кг/м3 | 0,154 |
| 10 898,03 м3/ч | 1,5 | 163,5 м3/ч | 141,5 x 10-6 кг/м3 | 0,023 |
| 663,54 м3/ч | 12,5 | 82,9 м3/ч | 141,5 x 10-6 кг/м3 | 0,012 |
| 172,7 кг/м3 | 2,5 | 4,32 кг/м3 | 68,97 x 103 м3/ч | 0,298 |
| 3,6% | 2,5 | 0,1% | 12,36 кг/ч | 0,011 |
| 12 кг/ч | 2,8 | - | - | 0,337 |
Для этого примера часовая интенсивность массовых выбросов 12 кг/ч имеет суммарную стандартную неопределенность, равную 0,34 кг/ч. Соответствующая расширенная неопределенность с доверительной вероятностью 95% (k = 2) приведена как 0,67 кг/ч или 5,6% от измеренной интенсивности массовых выбросов.
B.2.3 Вычисление неопределенности среднемесячной интенсивности массовых выбросов
С учетом подхода, принятого в
[4], неопределенность среднемесячной интенсивности массовых выбросов вычисляют по формуле

(B.7)
где

- квадрат неопределенности среднемесячной интенсивности массовых выбросов

, обусловленной неопределенностью при определении набора результатов измерений

;
- квадрат неопределенности среднемесячной интенсивности массовых выбросов

, обусловленной неполным охватом периода времени (т.е. наличием пропущенных значений) в данных за месяц

.
B.2.4 Стандартная неопределенность, возникающая из-за измерений интенсивности массовых выбросов
В соответствии с подходом, принятым в ИСО 11222, 6.2 c)
[4], где не приведено никакой информации о различии между случайной и систематической неопределенностью в период, равный месяцу, неопределенности в индивидуальном понимании

предположительно являются систематическими в период усреднения.
В этом случае индивидуальная неопределенность для каждого часового измерения массовых выбросов может быть вычислена с применением метода, приведенного в
B.2.2. Принимая, что все эти неопределенности носят неслучайный характер, вклад, который они дают в неопределенность среднемесячного значения, может быть определен из следующего.
Модельное уравнение для среднемесячной интенсивности массовых выбросов имеет вид

(B.8)
где N - число точек почасовых данных m.
По
уравнению (B.8) коэффициент чувствительности для каждой неопределенности

равен 1/
N. Принимая, что слагаемые неопределенности обусловлены систематичными эффектами, суммарную стандартную неопределенность

, таким образом, вычисляют по формуле

(B.9)
Для данных, в которых присутствуют небольшие изменения в параметрах по интересующему периоду времени, неопределенность среднемесячного значения может быть вычислена с применением вычисления неопределенности, приведенного выше для почасовой интенсивности выбросов, к среднемесячным значениям для входных параметров. Такое приближение не требует определения неопределенности каждого часового значения.
Для примера набора данных среднее значение интенсивности массовых выбросов N
2O в течение месяца составляет 13,69 кг/ч. Значение

, установленное путем определения неопределенностей для всех 610 часовых значений и объединения их, как описано выше, составляет 0,3870 кг/ч или 2,83% среднемесячного значения.
Для сравнения, применение вычислений неопределенности к среднемесячным значениям для входных параметров (

,

,

,

и

) дает стандартную неопределенность 0,3872 кг/ч. Различие между двумя подходами в этом случае незначительно.
Примечание - Полный анализ неопределенности может быть выполнен в процессе измерения для того, чтобы оценить случайный компонент неопределенности. Например, ноль QAL3 и промежуточные данные, полученные в соответствии с
[11], можно использовать для получения параметра воспроизводимости измерений O
2 и N
2O в период измерения. Систематическая неопределенность может быть вычислена из данных по процедуре калибровки QAL2, установленной в
[11]. Кроме того, информация об эффекте влияющих величин, полученная во время проверки эксплуатационных параметров анализаторов, также может быть включена. Этот анализ неопределенности предоставил бы отдельную информацию о случайных и систематических составляющих неопределенности данных об O
2 и N
2O. Такие неопределенности тогда можно было бы использовать в рамках подхода, приведенного в
[4], 6.2 a), для определения неопределенности среднемесячного значения. Этот более содержательный подход обеспечил бы более низкую неопределенность - поскольку случайные составляющие будут уменьшены коэффициентом
N, где
N является числом точек данных в среднемесячном значении.
B.2.5 Стандартная неопределенность, возникающая из-за неполного охвата периода времени в массовых выбросах за месяц
Неопределенность, возникающая вследствие неполного охвата данных о периоде времени

может быть определена с применением методик, приведенных в ИСО 11222
[4] по формуле

(B.10)
где N - действительное число записанных точек данных (в случае примера N = 610);
Nmax - общее число возможных точек данных во временном ряде (в случае примера месяц продолжительностью 29 дней имеет 696 потенциальных часовых значений данных по выбросам);

- отклонение от средних данных, равное

.
Для данных примера отклонение от средних данных задано как

и неопределенность, возникающая вследствие неполного охвата периода времени, задана как

.
Как можно заметить, неопределенность, возникающая вследствие неполного охвата периода времени, как и следовало ожидать, мала.
B.2.6 Суммарная неопределенность среднемесячной интенсивности массовых выбросов
Квадрат суммарной неопределенности среднемесячного значения интенсивности массовых выбросов вычисляют по формуле

(B.11)
Суммарную неопределенность среднемесячного значения интенсивности массовых выбросов вычисляют по формуле

(B.12)
Расширенная неопределенность с уровнем доверительной вероятности 95% (k = 2), таким образом, равна 0,788 кг/ч.
Среднемесячное значение интенсивности массовых выбросов N2O, таким образом, может быть вычислено по формуле

(B.13)
(справочное)
ОБРАБОТКА ДАННЫХ
C.1 Дополнение к данным временных рядов
Пропуски в неполных временных рядах могут быть устранены при условии, что собранные данные и сделанные измерения соответствуют указанному местоположению для определенного периода времени усреднения, когда установка работает в пределах приемлемых эксплуатационных условий.
Примечание - Для большинства пользователей необходимы представительные коэффициенты выбросов в период времени, отличный от того, в который были собраны данные измерения. Пропуски во временных рядах статистики операций присутствуют, если данные доступны для периодов, составляющих меньше года. Необходимые данные о временном ряде должны быть отобраны для составления полной годовой оценки в течение нескольких лет между исследованиями и для прогнозирования будущих и анализа прошлых периодов (например, оценки необходимы для 1990 - 2004 годов, а данные об исследовании доступны только на 1995 и 2000 годы).
Распределение заселенности может быть смоделировано из неполных данных о временных рядах с применением вероятностных методов.
Объединение методов можно использовать для устранения пропусков и неполного охвата данных во временном ряде при периодических методах измерения.
Примечание - Описание использования объединенных методов интерполяции и экстраполяции для связывания и расширения временных рядов приведено в
[32], том 1, глава 5. Полезно при использовании этих методов, в случаях, когда это возможно, известные заменяющие данные коррелировать с выбросами измеряемого компонента или показателем активности для того, чтобы обосновывать любые основные тенденции. В отсутствие подходящих заменяющих данных можно использовать простую линейную экстраполяцию.
C.2 Численное объединение рядов данных
Ряды данных могут быть объединены для формирования коэффициентов выбросов, представительных для стандартной группы установок, путем объединения исходных данных и переоцененных средних значений с уровнем доверительной вероятности 95%, при условии, что они:
- относятся к тому же самому измеряемому компоненту;
- были собраны способом, соответствующим
пункту 5;
- имеют тот же самый информативный класс, что установлен в плане измерения.
Когда данные не являются однородными (например, из-за наличия на одном предприятии установок по уменьшению выбросов и отсутствия - на других), они должны быть стратифицированы (разделены) таким образом, чтобы каждая группа была однородной и общая совокупность для категорий по источникам являлась бы суммой этих групп. В таком случае оценки неопределенности должны быть получены путем рассмотрения каждой группы таким же образом, как отдельную категорию по источникам. Неоднородность может быть определена с использованием специальных данных об обстановке на отдельном предприятии или о технологическом типе, или с использованием детального анализа данных, например диаграммы разброса оцениваемых выбросов в сравнении с данными об активности.
Ссылочные стандарты:
[1] | ISO 3966:2008 | Measurement of fluid flow in closed conduits - Velocity area method using Pitot static tubes |
| ISO 4225:1994 | Air quality - General aspects - Vocabulary |
| ISO 9169:2006 | Air quality - Definition and determination of performance characteristics of an automatic measuring system |
| ISO 11222:2002 | Air quality - Determination of the uncertainty of the time average of air quality measurements |
| ISO 14064-1 | Greenhouse gases - Part 1: Specification with guidance at the organization level for quantification and reporting of greenhouse gas emissions and removals |
| ISO 14064-3 | Greenhouse gases - Part 3: Specification with guidance for the validation and verification of greenhouse gas assertions |
| ISO 14956 | Air quality - Evaluation of the suitability of a measurement procedure by comparison with a required measurement uncertainty |
| ISO/IEC 17025:2005 | General requirements for the competence of testing and calibration laboratories |
| ISO 20988 | Air quality - Guidelines for estimating measurement uncertainty |
| ISO/IEC Guide 98-3:2008 | Uncertainty of measurement - Part 3: Guide to the expression of uncertainty in measurement (GUM:1995) |
| EN 14181 | Stationary source emissions - Quality assurance of automated measuring systems |
| EN 15259 | Air quality - Measurement of stationary source emissions - Requirements for measurement sections and sites and for the measurement objective, plan and report |
| CEN/TS 15675 | Air quality - Measurement of stationary source emissions - Application of EN ISO/IEC 17025:2005 to periodic measurements |
| ENV 13005:1999 | Guide to the expression of uncertainty in measurement (GUM) |
Другие актуальные стандарты
[15] | ISO 7935 | Stationary source emissions - Determination of the mass concentration of sulfur dioxide - Performance characteristics of automated measuring methods |
[16] | ISO 9096 | Stationary source emissions - Manual determination of mass concentration of particulate matter |
[17] | ISO 10396 | Stationary source emissions - Sampling for the automated determination of gas emission concentrations for permanently installed monitoring systems |
[18] | ISO 10780 | Stationary source emissions - Measurement of velocity and volume flowrate of gas streams in ducts |
[19] | ISO 10849 | Stationary source emissions - Determination of the mass concentration of nitrogen oxides - Performance characteristics of automated measuring systems |
[20] | ISO 12039 | Stationary source emissions - Determination of carbon monoxide, carbon dioxide and oxygen - Performance characteristics and calibration of automated measuring systems |
[21] | ISO 14164 | Stationary source emissions - Determination of the volume flowrate of gas streams in ducts - Automated method |
[22] | EN 13211 | Air quality - Stationary source emissions - Manual method of determination of the concentration of total mercury |
[23] | EN 13284-1 | Stationary source emissions - Determination of low range mass concentration of dust - Part 1: Manual gravimetric method |
[24] | EN 14789 | Stationary source emissions - Determination of volume concentration of oxygen (O2) - Reference method - Paramagnetism |
[25] | EN 14790 | Stationary source emissions - Determination of the water vapour in ducts |
[26] | EN 15267-1 | Air quality - Certification of automated measuring systems - Part 1: General principles |
[27] | EN 15267-3 | Air quality - Certification of automated measuring systems - Part 3: Performance criteria and test procedures for automated measuring systems for monitoring emissions from stationary sources |
Другие методы, на которые имеются ссылки
| EPA Method 2, Determination of stack gas velocity and volumetric flow rate (type S Pitot tube); EPA Method 2F, Determination of stack gas velocity and volumetric flow rate with three-dimensional probes; EPA Method 2G, Determination of stack gas velocity and volumetric flow rate with two-dimensional probes; EPA Method 2H, Determination of stack gas velocity taking into account velocity decay near the stack wall |
| EPA Conditional Test Method 041, Determination of volumetric gas flow in rectangular duct or stacks taking into account velocity decay near the stack or duct walls |
Другие публикации, на которые имеются ссылки
| Intergovernmental panel on climate change, 2006 IPCC guidelines for national greenhouse gas inventories, Vols 1 - 5, prepared by the National Greenhouse Gas Inventories Programme, Eggleston, H.S., Buendia, L., Miwa, K., Ngara, T., Tanabe, K. Editors. Hayama: Institute for Global Environmental Strategies. Available (2010-04-04) at: http://www.ipcc-nggip.iges.or.jp/ |
| Un economic commission for Europe. Guidelines for estimating and reporting emissions data under the convention on long-range transboundary air pollution. Prepared by the Convention's Task Force on Emissions Inventories and Projections and the secretariat. Geneva 2003. (Air Pollution Studies No. 15) |
| USEPA. Clearinghouse for emissions inventories and emissions factors. Washington, DC: US Environmental Protection Agency. Available (2010-04-04) at: http://www.epa.gov/ttn/chief/ |
[33] | Detailed Procedures For Preparing Emissions Factors (Draft): procedure describing the specific tasks involved in the development of air pollution emissions factors, prepared for Usepa, May 9, 2006, http://www.epa.gov/ttn/chief/efpac/procedures/index.html |
Другие актуальные публикации
| 2007/589/EC: | Commission Decision of 18 July 2007 establishing guidelines for the monitoring and reporting of greenhouse gas emissions pursuant to Directive 2003/87/EC of the European Parliament and of the Council (notified under document number C(2007) 3416). Official J. 2007-08-31, L 229(1), pp. 1 - 85. Available (2010-04-04) at: http://eur-lex.europa.eu/LexUriServ/LexUriServ.do?uri=OJ:L:2007:229:0001:01:EN: HTML |
[35] | European environmental agency. EMEP/EEA Emissions inventory guidebook 2009: Technical guidance to prepare national emission inventories. Luxembourg: Office for Official Publications of the European Communities. (EEA Technical Report No. 9.) Available (2010-04-04) at: http://tfeip-secretariat.org/unece.htm |
[36] | ISO/IEC Guide 99:2007 | International vocabulary of metrology - Basic and general concepts and associated terms (VIM) |
[37] | USEPA. Emission inventory improvement program technical report series. Washington, DC: US Environmental Protection Agency. Available (2010-04-04) at: http://www.epa.gov/ttn/chief/eiip/techreport/ |
[38] | USEPA. Quality assurance and quality control. In: US multi-agency radiation survey and site investigation manual (MARSSIM), Chapter 9. Washington, DC: US Environmental Protection Agency. Available (2010-04-04) at: http://www.epa.gov/radiation/marssim/docs/revision1_August_2002corrections/chapter9.pdf |
[39] | Assessment of emissions factor uncertainty and default emissions factor adjustments for non-inventory applications (Draft), report prepared for USEPA, OAQPS, August 2006 |
УДК 504.3:006.354 | | Т58 |
Ключевые слова: воздух, качество воздуха, усредненные по времени, выбросы, коэффициенты выбросов, оксида одновалентного азота, закись, неопределенность |