Главная // Актуальные документы // ГОСТ Р (Государственный стандарт)СПРАВКА
Источник публикации
М.: Стандартинформ, 2017
Примечание к документу
Документ
введен в действие с 1 января 2018 года.
Название документа
"ГОСТ Р 57394-2017. Национальный стандарт Российской Федерации. Микросхемы интегральные и приборы полупроводниковые. Методы ускоренных испытаний на безотказность"
(утв. и введен в действие Приказом Росстандарта от 27.02.2017 N 74-ст)
"ГОСТ Р 57394-2017. Национальный стандарт Российской Федерации. Микросхемы интегральные и приборы полупроводниковые. Методы ускоренных испытаний на безотказность"
(утв. и введен в действие Приказом Росстандарта от 27.02.2017 N 74-ст)
Утвержден и введен в действие
Приказом Федерального агентства
по техническому регулированию
и метрологии
от 27 февраля 2017 г. N 74-ст
НАЦИОНАЛЬНЫЙ СТАНДАРТ РОССИЙСКОЙ ФЕДЕРАЦИИ
МИКРОСХЕМЫ ИНТЕГРАЛЬНЫЕ И ПРИБОРЫ ПОЛУПРОВОДНИКОВЫЕ
МЕТОДЫ УСКОРЕННЫХ ИСПЫТАНИЙ НА БЕЗОТКАЗНОСТЬ
Integrated circuits and semiconductor devices. Methods
of accelerated tests for no-failure operation
ГОСТ Р 57394-2017
Дата введения
1 января 2018 года
1 РАЗРАБОТАН Акционерным обществом "Российский научно-исследовательский институт "Электронстандарт" (АО "РНИИ "Электронстандарт") при участии Федерального государственного унитарного предприятия "Мытищинский научно-исследовательский институт радиоизмерительных приборов" (ФГУП "МНИИРИП"), Акционерного общества "Центральное конструкторское бюро "ЦКБ "Дейтон" (АО "ЦКБ "Дейтон"), Акционерного общества "Росэлектроника" (АО "Росэлектроника")
2 ВНЕСЕН Техническим комитетом по стандартизации ТК 303 "Изделия электронной техники, материалы и оборудование"
3 УТВЕРЖДЕН И ВВЕДЕН В ДЕЙСТВИЕ Приказом Федерального агентства по техническому регулированию и метрологии от 27 февраля 2017 г. N 74-ст
4 ВВЕДЕН ВПЕРВЫЕ
Правила применения настоящего стандарта установлены в статье 26 Федерального закона от 29 июня 2015 г. N 162-ФЗ "О стандартизации в Российской Федерации". Информация об изменениях к настоящему стандарту публикуется в ежегодном (по состоянию на 1 января текущего года) информационном указателе "Национальные стандарты", а официальный текст изменений и поправок - в ежемесячном информационном указателе "Национальные стандарты". В случае пересмотра (замены) или отмены настоящего стандарта соответствующее уведомление будет опубликовано в ближайшем выпуске ежемесячного информационного указателя "Национальные стандарты". Соответствующая информация, уведомление и тексты размещаются также в информационной системе общего пользования - на официальном сайте Федерального агентства по техническому регулированию и метрологии в сети Интернет (www.gost.ru).
Настоящий стандарт устанавливает методы ускоренных испытаний на безотказность полупроводниковых интегральных микросхем и полупроводниковых приборов, предусматривающие форсирование режимов эксплуатации.
Методы могут быть применены для многокристальных модулей и микросборок.
Методы ускоренных испытаний на безотказность используют:
- при проведении кратковременных и длительных испытаний на безотказность (в составе приемо-сдаточных и периодических испытаний);
- при испытаниях дополнительной выборки, проводимых при получении одного отказа на кратковременных испытаниях на безотказность;
- при проведении новых испытаний;
- при испытаниях, проводимых для подтверждения эффективности специальной программы перепроверки изделий, возвращенных изготовителю при отрицательных результатах испытаний, а также находящихся в производстве до реализации плана мероприятий;
- для оценки эффективности изменений, вносимых в конструкторскую или технологическую документацию (при проведении типовых испытаний);
- подготовке справочных данных об интенсивности отказов.
Методы ускоренных испытаний на безотказность могут быть использованы на этапе приемки опытных образцов (если это установлено в техническом задании) и испытаниях установочной серии изделий, при проведении испытаний на безотказность в составе квалификационных испытаний, если режим ускоренных испытаний на безотказность был ранее отработан и утвержден для изделий, находящихся в производстве и являющихся конструктивно-технологическими аналогами новых изделий (при сравнительной оценке надежности при совместных испытаниях с изделием-аналогом).
Методы ускоренных испытаний на безотказность могут быть использованы при входном контроле потребителем.
Методы ускоренных испытаний на безотказность могут быть использованы также для определения облегченного режима испытаний и наработки в облегченном режиме.
Для большинства механизмов отказов повышение температуры кристалла (перехода) являются ускоряющим фактором. В этом случае коэффициент ускорения рассчитывается по модели Аррениуса. Настоящий стандарт при форсировании испытаний за счет температуры среды (корпуса) опирается только на модель Аррениуса и не рассматривает модели отказов, использующих температуру в качестве ускоряющего фактора, но отличных от модели Аррениуса (например, для микросхем в матричных корпусах с шариковыми выводами, для которых превалирующим механизмом отказа является деградация не кристалла, а контакта шарик - контактная площадка).
Настоящий стандарт устанавливает методы ускоренных испытаний на безотказность полупроводниковых интегральных микросхем и полупроводниковых приборов (далее - изделий), предусматривающие форсирование режимов эксплуатации.
Настоящий стандарт предназначен для применения организациями, разрабатывающими, изготавливающими и поставляющими изделия.
В настоящем стандарте использованы ссылки на следующие стандарты:
ГОСТ 20.57.406 Изделия электронной техники, квантовой электроники и электротехнические. Методы испытаний
ГОСТ 27.002 Надежность в технике. Термины и определения
ГОСТ 16504 Система государственных испытаний продукции. Испытания и контроль качества продукции. Основные термины и определения
ГОСТ 18725 Микросхемы интегральные. Общие технические условия
Примечание - При пользовании настоящим стандартом целесообразно проверить действие ссылочных стандартов в информационной системе общего пользования - на официальном сайте Федерального агентства по техническому регулированию и метрологии в сети Интернет или по ежегодному информационному указателю "Национальные стандарты", который опубликован по состоянию на 1 января текущего года, и по выпускам ежемесячного информационного указателя "Национальные стандарты" за текущий год. Если заменен ссылочный стандарт, на который дана недатированная ссылка, то рекомендуется использовать действующую версию этого стандарта с учетом всех внесенных в данную версию изменений. Если заменен ссылочный стандарт, на который дана датированная ссылка, то рекомендуется использовать версию этого стандарта с указанным выше годом утверждения (принятия). Если после утверждения настоящего стандарта в ссылочный стандарт, на который дана датированная ссылка, внесено изменение, затрагивающее положение, на которое дана ссылка, то это положение рекомендуется применять без учета данного изменения. Если ссылочный стандарт отменен без замены, то положение, в котором дана ссылка на него, рекомендуется применять в части, не затрагивающей эту ссылку.
3 Термины, определения и сокращения
3.1 В настоящем стандарте применены термины по
ГОСТ 27.002,
ГОСТ 16504, а также следующие термины с соответствующими определениями:
3.1.1 новые испытания: Испытания вновь изготовленных изделий после проведения мероприятий по устранению причин возникновения дефектов.
3.1.2 отбраковочные испытания: Испытания, выполняемые на стадии производства в целях выявления и изъятия дефектных изделий.
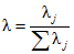
3.1.3 коэффициент ускорения: Отношение продолжительности нормальных испытаний на безотказность к продолжительности аналогичных испытаний в форсированном режиме.
3.1.4 ускоряющий фактор: Параметр режима, увеличение которого приводит к интенсификации процессов, способных вызывать отказ.
3.1.5 область допустимого форсирования: Совокупность максимально возможных режимов ускоренных испытаний на безотказность (температура, ток, напряжение), при которых еще выполняется требование об отсутствии отказов по нормам ТУ.
3.1.6 параметр - критерий годности: Параметр изделия, контролируемый при проведении испытаний конкретных видов, по значению или изменению значения которого изделие считают годным или дефектным.
3.1.7 представительство заказчика: Представительство Министерства обороны Российской Федерации или представительство другого государственного заказчика оборонной продукции на предприятии (в организации).
3.2 В настоящем стандарте приняты следующие сокращения:
БИС - большая интегральная микросхема;
ДИБ - длительные испытания на безотказность;
И2Л - интегральная инжекционная логика (структура);
КИБ - кратковременные испытания на безотказность;
КМОП - комплементарный металл-оксид-полупроводник (структура);
КТЗ - конструктивно-технологические запасы;
МДП - металл-диэлектрик-полупроводник (структура);
МОП - металл-оксид-полупроводник (структура);
ОДФ - область допустимого форсирования;
ОИ - отбраковочные испытания;
ПЗ - представительство заказчика;
ПЗС - прибор с зарядовой связью;
ПЗУ - постоянное запоминающее устройство;
ПКГ - параметр-критерий годности;
ППЗУ - программируемое постоянное запоминающее устройство;
ПУКИБ - УКИБ по проверке форсированного режима;
РПЗУ - репрограммируемое постоянное запоминающее устройство;
СБИС - сверхбольшая интегральная микросхема;
ТТЛ - транзисторно-транзисторная логика (структура);
ТУ - технические условия на изделия конкретных типов;
УИБ - ускоренные испытания на безотказность;
УДИБ - ускоренные длительные испытания на безотказность;
УКИБ - ускоренные кратковременные испытания на безотказность;
ЭСЛ - эмиттерно-связанная логика (структура);
p-МОП - металл-оксид-полупроводник с каналом проводимости p-типа (структура);
n-МОП - металл-оксид-полупроводник с каналом проводимости n-типа (структура);
P* - доверительная вероятность.
4.1 Контрольные испытания на безотказность включают в себя кратковременные и длительные испытания на безотказность.
КИБ проводят с целью контроля стабильности технологического процесса изготовления изделий и оценки соответствия показателя безотказности установленным требованиям на основе обобщения результатов испытаний.
ДИБ проводят с целью подтверждения показателя безотказности непосредственно по результатам испытаний или на основе обобщения результатов испытаний.
4.2 Контрольные испытания на безотказность проводят в виде нормальных или ускоренных испытаний.
4.3 УИБ предусматривают форсирование режимов испытаний, вызывающее интенсификацию физико-химических процессов, определяющих основные механизмы отказов изделий. При этом обязательным условием выбора режимов этих испытаний является сохранение основных механизмов отказов, характерных для нормальных испытаний на безотказность.
4.4 Методы УИБ используют при разработке, освоении и серийном производстве изделий для оперативного контроля безотказности и оценки показателя безотказности взамен нормальных испытаний с целью сокращения продолжительности испытаний изделий.
4.5 При использовании методов ускоренной оценки безотказности УКИБ проводят, как правило, на каждом типе изделий.
УДИБ допускается проводить на типовых представителях от группы типов изделий, в том числе охватываемых разными ТУ.
4.6 Метод УИБ для каждого типа изделия (или группы типов при проведении испытаний на типовом представителе) устанавливают в программе и методике испытаний, указывая порядок чередования нормальных и ускоренных испытаний.
4.7 Планирование испытаний и порядок комплектования выборок при проведении УИБ сохраняют такими же, что и при проведении КИБ и ДИБ, установленных в стандартах и ТУ.
Рекомендуется в течение первых одного-двух лет чередовать КИБ и УКИБ. В этом случае новые испытания проводят в том же режиме, в котором проводились очередные испытания. Если они проводились в режиме КИБ, то допускается использование дополнительных испытаний в режиме УКИБ для решения вопроса о возобновлении отгрузки изделий до завершения КИБ. По результатам анализа КИБ при необходимости допускается корректировка режима УКИБ.
4.8 Введение УИБ вместо КИБ и ДИБ осуществляют совместным Решением изготовителя и потребителя (потребителей).
Решение не разрабатывается, если УИБ установлены в ТУ.
4.9 Методы определения режима УИБ могут быть использованы для определения облегченного режима работы изделий.
5 Подготовка к введению ускоренных испытаний на безотказность
5.1 Подготовка к введению УИБ включает в себя исследование форсированных режимов и механизмов отказов в этих режимах, определение коэффициента ускорения и энергии активации и обобщение статистических данных о проведенных ранее испытаниях.
Форсирование при УИБ может быть осуществлено увеличением температуры кристалла (перехода), напряжения или тока.
Основные механизмы отказов элементов изделий, ускоряющие факторы, модели коэффициента ускорения (аналитические зависимости, связывающие коэффициент ускорения с ускоряющим фактором) и значения констант модели коэффициента ускорения приведены в
приложении А.
5.2 Общий коэффициент ускорения для изделий в форсированном режиме при одном ускоряющем факторе определяется на основе изученных механизмов отказов отдельных элементов изделий по формуле

, (1)
где

- весовой коэффициент, характеризующий относительную долю вероятности отказа изделий из-за
i-го элемента вследствие
j-го механизма отказа при нормальных испытаниях;
Kij - коэффициент ускорения j-го механизма отказа в i-ом элементе изделия.
Модель коэффициента ускорения отказов отдельных элементов (
Ki) и изделия в целом (
Ky) может определяться на основе ускоренных испытаний этих элементов (тестовых структур) или изделий, а также на основе ранее изученных механизмов отказов элементов изделий, являющихся конструктивно-технологическими аналогами. При отсутствии этих данных и экспериментальных результатов используют модели, приведенные в
приложении А.
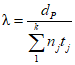
Весовой коэффициент влияния отдельного механизма отказа на отказ изделия (
qi) определяют на основе обобщения данных об отказах исследуемых типов изделий и их конструктивно-технологических аналогов на различных этапах жизненного цикла и испытаний, а также на основе топологического анализа кристалла изделий, определения режимов и температуры различных элементов изделий, соотношения площадей активных неравномерно нагруженных элементов изделия. Методы определения
qi приведены в
приложении Б.
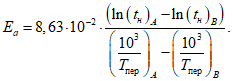
5.3 Для большинства механизмов отказов повышение температуры кристалла является ускоряющим фактором. Коэффициент ускорения при этом определяется значением энергии активации.
Для расчета коэффициента ускорения Ky (модель Аррениуса) применяют формулу

, (2)
где Ea - энергия активации механизмов отказов, эВ;
k - постоянная Больцмана, равная 8,6 x 10-5, эВ/К;
TПЕР - температура кристалла (перехода) в нормальном режиме, °C;
TПЕР.Ф - температура кристалла (перехода) в форсированном режиме, °C.
5.4 В качестве модели коэффициента ускорения при форсировании током (KJ) для изделий рекомендуется использовать степенную модель

, (3)
где Jф и J0 - значения плотности тока через элемент изделия в форсированном и нормальном режимах соответственно;
n - константа модели.
При расчетах KJ в широком диапазоне плотностей токов, в котором n имеет различные значения, общий коэффициент ускорения рассчитывают как произведение коэффициентов ускорения в различных диапазонах токов.
5.5 В качестве модели коэффициента ускорения при форсировании напряжением (KU) для изделий рекомендуется использовать экспоненциальную модель

, (4)
где Uф и U0 - значения напряжения на элементах изделий в форсированном и нормальном режимах соответственно;

- константа модели.
Методы определения констант моделей ускорения
n и

приведены в
приложении В.
5.6 При одновременном воздействии нескольких ускоряющих факторов общий коэффициент ускорения определяют как произведение коэффициентов ускорения, обусловленных каждым ускоряющим фактором, при условии, что константы в моделях коэффициентов ускорения для каждого фактора определялись при неизменных значениях других факторов.
5.7 Если при одновременном воздействии нескольких ускоряющих факторов отсутствуют существенные отличия в электрических режимах работы элементов изделий и локальные перегревы кристалла или не выявлены механизмы отказов, существенно ускоряемые током или напряжением, расчет общего коэффициента ускорения проводят по модели коэффициента ускорения от температуры. При этом влияние форсированного электрического режима учитывают при определении температуры кристалла в форсированном режиме
TПЕР.Ф. =
TОКР.Ф +
RПЕР-ОКР PРАС.Ф, (5)
или
TПЕР.Ф. =
TКОРП.Ф +
RПЕР-КОРП PРАС.Ф, (6)
где RПЕР-ОКР - тепловое сопротивление кристалл-среда;
RПЕР-КОРП - тепловое сопротивление кристалл-корпус;
PРАС.Ф - мощность рассеяния в форсированном режиме;
TОКР.Ф - температура окружающей среды в форсированном режиме;
TКОРП.Ф - температура корпуса в форсированном режиме.
Расчет рассеиваемой мощности PРАС.Ф проводят по формуле
PРАС.Ф = U·I, (7)
где параметры напряжения и тока конкретизируют для конкретного вида изделия.
Примечания
1 Если значение
RПЕР-КОРП (
RПЕР-ОКР) не установлено ТУ, то в
формулах (5),
(6) используют значение
RПЕР.КОРП (
RПЕР.ОКР), определенное руководящими документами
[1] и
[2]. Допускается использовать значение
RПЕР.КОРП (
RПЕР.ОКР), определенное в соответствии с указанным в
[1],
[2] и в тех случаях, когда тепловое сопротивление в ТУ установлено.
Для тепловыделяющих изделий расчет по модели коэффициента ускорения от температуры применим, если можно задать необходимый форсированный режим на каждый элемент или элемент (массив элементов), несущий основную мощностную нагрузку и определяющий надежность изделия.
2 В тех случаях, когда PРАС мала, можно считать TОКР равным TКОРП.
5.8 При использовании модели Аррениуса значение
Ea определяют экспериментально согласно
приложениям Г,
Д,
Е,
Ж или выбирают минимальное значение из
таблицы А.1 (приложение А) для механизма отказа, установленного в результате обобщения и анализа материалов испытаний. Если механизм отказов не один, а более, то выбирают наименьшее значение
Ea.
5.9 Если энергию активации и механизмы отказов по
5.2 определить не удается (отсутствие отказов и неизменность ПКГ), то значение обобщенной (средней) энергии активации механизмов отказов выбирают из
таблицы 1. При этом если
TПЕР и
TПЕР.Ф лежат в разных диапазонах температуры (для которых в
таблице 1 указаны разные значения энергии активации), то общий коэффициент ускорения равен произведению коэффициентов ускорения, рассчитанных для каждого диапазона в пределах
TПЕР и
TПЕР.Ф по
формуле (2). Для дискретных полупроводниковых приборов в этой ситуации принимают
Ea = 0,6 Эв.
Группа интегральных микросхем | Значение обобщенной энергии активации при различных температурах кристалла (перехода), эВ |
Ea1 | Ea2 | Ea3 | Ea4 |
25 - 70 °C | 71 - 150 °C | 151 - 200 °C | 201 - 250 °C |
Биполярные цифровые ТТЛ, ЭСЛ | 0,3 | 0,4 | 0,5 | 0,6 |
Биполярные цифровые ТТЛ-Ш, на p-МОП структурах | 0,3 | 0,5 | 0,6 | 0,7 |
Биполярные цифровые на n-МОП структурах, ПЗС | 0,35 | 0,55 | 0,65 | 0,75 |
Биполярные цифровые, И2Л | 0,4 | 0,6 | 0,7 | 0,8 |
КМОП >= 1,0 мкм | 0,45 | 0,65 | 0,8 | 0,9 |
КМОП 1,0 - 0,5 мкм | 0,55 | 0,75 | - | - |
КМОП 0,5 - 0,09 мкм | 0,6 | 0,8 | - | - |
Аналоговые | 0,45 | 0,65 | 0,8 | 0,9 |
5.10 При обобщении материалов испытаний изделий используют результаты нормальных и ускоренных КИБ и ДИБ, и испытаний по проверке КТЗ, а также результаты анализа отказов изделий по признанным рекламациям. При этом отказы из-за грубых производственных дефектов, ошибок операторов, нарушений работы испытательного оборудования не учитывают.
Обобщение результатов испытаний проводят по форме, приведенной в
приложении И. Для повышения информативности рекомендуется обобщение проводить не только по нормам ТУ, но и по более жестким (условным) нормам.
5.10.1 Выбор условных норм на ПКГ проводят по действующим нормативным документам, предусматривая установление более жестких норм на ПКГ при УИБ.
При использовании условных норм рекомендуется вводить более жесткие нормы на изменение ПКГ относительно начального значения (например, на 20 - 30% для изменения коэффициента передачи тока биполярного транзистора в режиме малого сигнала

, изменения крутизны характеристики полевого транзистора

, изменения добротности варикапа

), а также ужесточать (уменьшать и (или) увеличивать) по сравнению с ТУ нормы на абсолютное значение параметров так, чтобы сократить запас относительно реального распределения параметра (например, не более чем на порядок по обратным токам и токам утечки - для диодов, тиристоров и транзисторов).
Условные нормы на ПКГ выбирают так, чтобы перед началом испытаний все изделия соответствовали этим нормам.
5.11 Контроль ПКГ изделий при УИБ проводят в режимах и условиях, указанных в ТУ для нормальных испытаний на безотказность. Контроль ПКГ проводят через интервалы времени, в Ky раз меньшие интервалов, установленных в ТУ для нормальных испытаний, но не чаще 1 раза в 48 ч.
Режим УИБ изделий принимают равным предварительно выбранному режиму ускоренных испытаний, если выполняются следующие условия:
- отказы по нормам ТУ отсутствовали при испытаниях по проверке режима в течение ty;
- число отказов по нормам ТУ после 2ty не более одного.
Число отказов при испытаниях по проверке режима и нормальных испытаниях на безотказность по условным нормам для ПКГ не должно превышать 10% от объема выборки.
В состав критериев годности могут быть включены дополнительные параметры и другие характеристики, необходимые для проведения ускоренной оценки безотказности, что устанавливают в программе и методике испытаний.
5.11.1 Выбор дополнительных параметров (характеристик) проводят из числа параметров, которые при УИБ могут полнее выявить развитие механизмов отказов (например, отклонений вольт-амперной характеристики реального перехода от вольт-амперной характеристики идеализированного перехода (m-характеристики), отклонение реальной вольт-фарадной характеристики от эталонной вольт-фарадной характеристики (CV-характеристики) и др.).
Нормы на дополнительные параметры выбирают так, чтобы перед началом испытаний все изделия соответствовали этим нормам.
Если решено использовать условные нормы на ПКГ и проверку дополнительных параметров, то рекомендуется измерять их не только при УИБ, но и при КИБ. Если при КИБ проверка ПКГ по условным нормам и проверка дополнительных параметров не проводились, то проводят дополнительные КИБ на трех выборках (количество выборок может быть изменено по согласованию с потребителем) с проверкой ПКГ по условным нормам и проверкой дополнительных параметров (характеристик). Изделия для УИБ и КИБ отбирают из одних и тех же партий и в равных количествах.
5.12 Электрическая схема включения изделий при УИБ должна соответствовать схеме, указанной в ТУ для КИБ и ДИБ.
5.13 Определение режимов УИБ проводят по программе, приведенной в
приложении К.
6 Определение режима ускоренных кратковременных испытаний на безотказность
6.1 При определении режима УКИБ осуществляют выбор предварительного режима и проводят испытания по проверке режима (ПУКИБ).
Режим УИБ не должен выходить за границу ОДФ. Методы определения границ ОДФ - в соответствии с
приложением Л.
6.2 Предварительный режим УКИБ выбирают для коэффициента ускорения УКИБ
KУКИБ, равного 5, применительно к предусмотренным в стандартах и ТУ продолжительности и режиму КИБ.
6.2.1 Режим УКИБ при форсировании по модели Аррениуса
(формула 2) - максимально допустимое значение кристалла (перехода)
TперУКИБ - определяют, исходя из значений
Ea и
TперКИБ по формуле

(8)
Значение
Ea определяют согласно
5.8,
5.9.
6.2.1.1 При форсировании режима испытания по току или напряжению коэффициент ускорения определяют в соответствии с
формулами (3),
(4) и
приложением А.
6.2.2 Если предварительный режим УКИБ выходит за пределы ОДФ, то следует его ослабить и соответствующим образом скорректировать
KУКИБ, где параметры напряжения и тока конкретизируют для определенного вида изделия.
6.3 Для апробации предварительного режима проводят ПУКИБ.
6.3.1 ПУКИБ подвергают три выборки. Объем каждой выборки должен соответствовать объему, предусмотренному для КИБ (число выборок и их объем допускается изменять по согласованию с потребителями). Отбор следует проводить с учетом возможности постановки на испытания дополнительной выборки при получении отказа.
6.3.2 Продолжительность ПУКИБ устанавливают в соответствии с
6.2.
Перед началом и по окончании ПУКИБ измеряют ПКГ, установленные в ТУ для КИБ. Рекомендуется также измерять дополнительные параметры, указываемые в программе (методике) испытаний.
6.3.3 Обобщение результатов измерений ПКГ и дополнительных параметров при ПУКИБ и КИБ проводят по форме, приведенной в
приложении И, используя нормы ТУ и условные нормы в соответствии с
5.10.1. Если в серийном производстве при обобщении используют результаты КИБ, то обобщают результаты измерений ПКГ не менее трех последних КИБ, при проведении которых дополнительная выборка не использовалась.
6.4 Режим УКИБ устанавливают на основе сопоставления и анализа результатов ПУКИБ и КИБ в режиме нормальных испытаний по каждой выборке отдельно и по сумме трех выборок (суммарной выборке).
6.4.1 Режим УКИБ:
TОКР (
TКОРП) принимают равным предварительно выбранному режиму ПУКИБ, если одновременно выполняются следующие условия:
- отказы по нормам ТУ отсутствовали в каждой выборке;
- количество (или доля) отказов в суммарных выборках при испытаниях по проверке УКИБ и КИБ по условным нормам на ПКГ или при измерении дополнительных параметров было одинаково; при этом допустимо отличие по числу отказов на 5 шт. в выборке до 80 изделий и на 10 шт. в выборке свыше 80 изделий (при доле отказов не менее 20%).
6.4.2 Если в режиме ПУКИБ наблюдался один отказ по нормам ТУ для нормальных испытаний в одной из трех выборок, а в двух других отказы отсутствовали, то дополнительно проводят испытания одной выборки (запасной). При отсутствии отказов в этой выборке режим ПУКИБ принимают соответствующим УКИБ.
6.4.3 Режим УКИБ ослабляют по сравнению с предварительно выбранным режимом ПУКИБ, если выполняется одно из условий:
- отказы по нормам ТУ на ПКГ при КИБ в режиме нормальных испытаний отсутствовали в каждой выборке, а при ПУКИБ наблюдалось два отказа (хотя бы по одному отказу в двух выборках);
- отказы по нормам ТУ на ПКГ при ПУКИБ и КИБ в режиме нормальных испытаний отсутствовали, а число отказов по условным нормам на ПКГ или при измерении дополнительных параметров при ПУКИБ превышало число отказов, указанное в
6.4.1.
6.4.4 Режим УКИБ ужесточают по сравнению с выбранным режимом ПУКИБ, если при отсутствии отказов по нормам ТУ и ПКГ число отказов по условным нормам на ПКГ или при измерении дополнительных параметров при КИБ в режиме нормальных испытаний превышает число отказов при ПУКИБ, указанное в
6.4.1.
6.5 Если режим ПУКИБ не принимают для УКИБ (см.
6.4.3. и
6.4.4), то проводят новые ПУКИБ в измененном (ослабленном или усиленном) режиме на тех же выборках (см.
6.3.1). При этом рекомендуется изменять
TПЕР на (10 - 20) °C - для маломощных и на (5 - 10)% - для мощных изделий, рассеиваемая мощность которых превышает 1 Вт.
Если предварительный режим УИБ не принимают, но при УИБ и при нормальных испытаниях на безотказность отсутствовали отказы по ТУ и присутствовал значимый дрейф ПКГ и (или) дополнительных параметров, то рекомендуется рассчитать новое значение
Ea на основе полученных эмпирических данных по методике, аналогичной
приложению Г, и выбирать новый режим УИБ с учетом
Ea.
6.5.1 Сопоставление, анализ КИБ в режиме нормальных испытаний с новыми ПУКИБ и установление режима УКИБ проводят согласно
6.4.
6.5.2 Если для данного типа изделий и в менее жестком (более жестком) режиме не удается подобрать режим ПУКИБ, при котором выполнялись бы условия
6.4.1 (даже при перепроверенном значении
Ea), то УКИБ не вводят.
6.6 Решение об утверждении выбранного режима УКИБ и введение в систему испытаний на безотказность оформляют согласно
форме, приведенной в приложении М.
Программу и методику испытаний оформляют согласно
форме, приведенной в приложении Н.
6.7 При использовании методов форсирования в составе квалификационных испытаний на безотказность режимы и продолжительность УКИБ допускается устанавливать исходя из предварительно выбранных значений Ea и Ky, без проведения ПУКИБ. При этом соответствие выбранных форсированных режимов границ ОДФ подтверждается результатами предварительных испытаний, в том числе - на наличие КТЗ, выполненных в процессе разработки новых изделий.
7 Определение режима и продолжительности ускоренных длительных испытаний на безотказность
7.1 Определение режима и продолжительности УДИБ проводят в следующей последовательности:
- ориентировочный выбор значений KУДИБ и продолжительности tУДИБ;
- предварительное определение TперУДИБ;
- выбор режима УДИБ;
- определение tУДИБ.
7.2 Ориентировочный выбор значений
KУДИБ и
tУДИБ проводят в соответствии с установленным в ТУ значением
tИ из формулы

, (9)
где KУДИБ - коэффициент ускорения при УДИБ;
tИ - продолжительность ДИБ в режиме ТУ;
tУДИБ - продолжительность УДИБ.
При выборе коэффициента ускорения необходимо учитывать цель проведения испытаний.
7.3.1 Полученные значения
TперУДИБ сопоставляют с
TперКИБ. При этом возможны три варианта:
- первый вариант - TперУДИБ равен TперКИБ;
- второй вариант - TперУДИБ превышает TперКИБ;
- третий вариант - TперУДИБ менее TперКИБ.
7.3.1.1 Значение TперУДИБ, полученное в первом варианте, принимают для УДИБ.
7.3.1.2 Значение
TперУДИБ, полученное при втором варианте, проверяют для того, чтобы убедиться, не выходит ли оно за пределы ОДФ, определенных в
приложении Л, и возможно ли его обеспечение испытательным оборудованием. В противном случае снижают
TперУДИБ. При этом значение
KУДИБ определяют заново (не рекомендуется выбирать
KУДИБ < 5).
7.3.1.3 Значение
TперУДИБ в третьем варианте не принимают для УДИБ. Оно должно быть увеличено до
TперКИБ (значение
KУДИБ возрастет относительно табличного). Режим УДИБ:
TОКР (
TКОРП) определяют по
формулам (5) или
(6), приведенным в
5.7 для принятого
TперКИБ. Значение
TОКР (
TКОРП) можно округлять до величины, кратной 5, при
TОКР (
TКОРП) менее 85 °C и кратной 10 при
TОКР (
TКОРП) равном или более 85 °C.
7.4 Если цель испытаний - подтверждение указанного в техническом задании требования безотказности, то при P* = 0,6 и отсутствии отказов руководствуются соотношением

, (10)
где

- интенсивность отказов;
KУДИБ - коэффициент ускорения при УДИБ;
n - объем выборки, шт.;
tУДИБ - продолжительность УДИБ.
Для подтверждения одинаковой интенсивности отказов с P* = 0,9 объем испытаний n tУДИБ должен быть увеличен в 2,5 раза.
Продолжительность УДИБ должна быть не менее 1000 ч, если найденное по
7.3.1.3 значение
TперУДИБ увеличено до
TперКИБ.
7.5 Решение об утверждении выбранного режима УДИБ и применение его при испытаниях на безотказность оформляют согласно
приложению М.
Программу и методику испытаний оформляют в соответствии с
формой, приведенной в приложении Н.
7.6 Методы определения форсированного режима испытаний могут быть применены для определения облегченного режима испытаний, который также может быть установлен по температуре кристалла (перехода), току или напряжению.
7.6.1 Определение облегченного режима
TПЕР.обл проводят в соответствии с
формулами (2) и
(8). При этом значение энергии активации
Ea определяют согласно
5.8 и
5.9.
Коэффициент пересчета наработки в облегченном режиме Kобл вычисляют по формуле

, (11)
где tИ - продолжительность ДИБ в режиме ТУ;
tобл - продолжительность испытаний в облегченном режиме.
При определении облегченного режима изделий, не рассеивающих мощность (полевых и биполярных высоковольтных транзисторов, варикапов и др.), учитывают значение констант

и

, представленных в
приложении А.
7.6.2 Облегченный режим рекомендуется вводить по параметру, имеющему меньший запас относительно норм ТУ (например, используя результаты оценки КТЗ).
7.6.3 Продолжительность испытаний в облегченном режиме соответствует устанавливаемому в стандартах и ТУ значению наработки в этом режиме.
Пример определения облегченного режима по заданному в ТУ показателю безотказности и пример определения значения наработки при заданном режиме приведены в
приложении П.
(справочное)
МОДЕЛИ КОЭФФИЦИЕНТОВ УСКОРЕНИЯ
ДЛЯ РАЗЛИЧНЫХ МЕХАНИЗМОВ ОТКАЗОВ
Механизм отказа | Ускоряющий фактор | Модель коэффициента ускорения | Значения констант модели коэффициента ускорения | Группы изделий, для которых характерен данный вид отказа |
1 Электродиффузия, электромиграция (разрушение металлизации) | T |  , где Ty и T0 - температура кристалла в форсированном и нормальном режимах, °К; k = 8,6·10-5 эВ/°К |  для Al металлизации;  для AlSi металлизации;  для крупнозернистой металлизации (с размером зерна > 1,2 мкм);  для Au металлизации. | Микросхемы интегральные Мощные СВЧ и ВЧ транзисторы с Al металлизацией. Диоды, стабилитроны, тиристоры |
I |  , где Iy и I0 - плотность тока в форсированном и нормальном режимах | n = 1 при I <= 2·105 А/см2; n = 2 при 2·105 < I <= 106А/см2; при I > 106 А/см2 |
2 Зарядовая нестабильность в слое окисла и на границе окисла с полупроводником (дрейф порогового напряжения, повышение канальных утечек, потеря заряда в РПЗУ, случайные изменения содержимого ячеек памяти) | T | | для механизмов потери заряда в РПЗУ (в основном, из-за загрязнений); для нестабильности пороговых напряжений (дрейфа ионов, перераспределения зарядов); для повышения канальных утечек; для механизмов, приводящих к случайным изменениям содержимого ячеек памяти | Маломощные, средней мощности и высоковольтные биполярные и полевые транзисторы. Диоды, варикапы, тиристоры. Постоянные запоминающие устройства (ПЗУ): РПЗУ и ППЗУ. Цифровые биполярные аналоговые микросхемы |
U |  , где Uy и U0 - напряжение питания (смещения) в форсированном и нормальном режимах | для цифровых биполярных микросхем; для МДП структур, аналоговых микросхем. | |
3 Электрический пробой (пробой тонкого окисла; микропробои, приводящие к повышенным утечкам; пробой p-n-переходов диффузионных областей) | T | |  для МДП структур;  для биполярных микросхем, p-n-переходов | Полевые и биполярные высоковольтные транзисторы, выпрямительные диоды, варикапы, тиристоры. Биполярные микросхемы |
U |  или  , где Uпроб - пробивное напряжение | | Полевые и биполярные высоковольтные транзисторы, выпрямительные диоды, варикапы, тиристоры. |
4 Взаимодействие металлизации с полупроводником на границе | T | | Ea = 0,9 - 1,1 эВ | Полевые и биполярные транзисторы ВЧ и СВЧ (с малой глубиной залегания перехода). Варикапы. |
I | | |
5 Образование интерметаллических соединений | T | | Ea = 0,65 - 1,50 эВ | Мощные изделия с мягкими припоями, приборы с паяными соединениями разнородных материалов |
(рекомендуемое)
ОПРЕДЕЛЕНИЕ КОЭФФИЦИЕНТА УСКОРЕНИЯ ОТКАЗОВ ИЗДЕЛИЙ
С УЧЕТОМ НЕСКОЛЬКИХ МЕХАНИЗМОВ ОТКАЗОВ
Б.1 Отказы изделий могут быть обусловлены различными механизмами, поэтому для более достоверной оценки общего коэффициента ускорения отказа в форсированном режиме по сравнению с нормальным необходимо учитывать все доминирующие механизмы отказов.
Б.2 Для расчета коэффициента ускорения с учетом нескольких механизмов отказов необходимо определить модель коэффициента ускорения для каждого из механизмов отказов Ki (T, U, J) и относительную долю вероятности отказа (qi).
Б.2.1 Относительную долю вероятности отказа изделий из-за отказа
i-го элемента вследствие развития
j-го механизма отказа определяют по
формуле (Б.1) или
(Б.2)

, (Б.1)

, (Б.2)
где dij - число отказов изделий, связанных с отказом i-го элемента (допускается i = 1) вследствие развития j-го механизма отказа;
N - общее число отказов;

- интенсивность отказов, связанных с отказом
i-го элемента (допускается
i = 1) вследствие развития
j-го механизма отказа.
Б.3 Практически к отказам отдельных базовых элементов изделия при одном ускоряющем факторе (например, температуре), как правило, приводит один доминирующий механизм отказа и поэтому при оценке коэффициента ускорения используют относительную долю отказа изделия вследствие отказа i-го элемента

, (Б.3)

. (Б.4)
Б.3.1 Общий коэффициент ускорения

для выбранного форсированного режима (
T*,
U*,
J*) по сравнению с нормальным режимом (
T0,
U0,
J0) рассчитывают в зависимости от имеющихся данных об относительном распределении механизмов отказов в общем потоке отказов.
Если известны модели ускорения всех доминирующих видов и механизмов отказов, а также относительные доли вероятности их проявления в нормальных условиях

, то общий коэффициент ускорения рассчитывают по формуле

, (Б.5)
где

- относительная доля вероятности отказа изделий из-за отказа
i-го элемента (допускается
i = 1) вследствие развития
j-го механизма отказа в нормальных условиях;

- коэффициент ускорения
j-го механизма отказа в
i-м элементе изделий при воздействии
p-го фактора.
Б.3.2 При одном ускоряющем факторе коэффициент ускорения рассчитывают по формуле

, (Б.6)
где

- относительная доля отказа изделий из-за отказа
i-го элемента.
Б.4 Если известны модели ускорения всех доминирующих видов и механизмов отказов

, а также относительные доли их проявления в форсированном режиме

, то общий коэффициент ускорения рассчитывают по формуле

. (Б.7)
Б.4.1 При одном ускоряющем факторе коэффициент ускорения рассчитывают по формуле

. (Б.8)
Б.5 Если известны модели ускорения только для одного из элементов изделий и определены относительные доли отказа изделий из-за отказа этого элемента, как в нормальном

, так и в форсированном режиме

, то общий коэффициент ускорения рассчитывают по формуле

. (Б.9)
Б.5.1 При одном ускоряющем факторе коэффициент ускорения рассчитывают по формуле

. (Б.10)
Б.6 Если не известны относительные доли отказа изделий из-за отказа отдельных элементов, но при этом на кристалле имеются участки, существенно отличающиеся по температуре в процессе испытаний (более чем на 20 °C), рекомендуется рассчитывать коэффициент ускорения по формуле

, (Б.11)
где Si - удельная площадь участка кристалла с i-ой температурой.
Б.7 Если для исследуемого изделия по результатам испытаний не определены относительные доли вероятности отказа изделий из-за отдельных механизмов отказов, то возможно использование имеющихся данных по базовому изделию аналогичного конструктивно-технологического исполнения с исследуемым изделием. В этом случае относительную долю вероятности отказов исследуемого изделия из-за отдельных механизмов отказов (qij) рассчитывают по формуле

, (Б.12)
где

- относительная доля вероятности отказа базового изделия по
j-му механизму отказа в
i-ом элементе;

- коэффициент, учитывающий число, размеры и другие конструктивно-технологические отличия
i-ого элемента в исследуемом изделии по сравнению с базовым изделием.
Б.7.1 При одном ускоряющем факторе qi рассчитывают по формуле

. (Б.13)
Б.7.2 Например, для отказа такого элемента изделия, как тонкий окисел, коэффициент

рассчитывают по формуле

, (Б.14)
где Sок.и и Sок.б - общая площадь тонкого окисла в исследуемом и базовом изделии;
dок.и и dок.б - толщина тонкого окисла в исследуемом и базовом изделии.
(рекомендуемое)
ОПРЕДЕЛЕНИЕ КОНСТАНТ УСКОРЕНИЯ n И 
В МОДЕЛЯХ КОЭФФИЦИЕНТА УСКОРЕНИЯ ОТ ТОКА И НАПРЯЖЕНИЯ
В.1 Значения констант ускорения
n и

определяют путем проведения испытаний и последующей математической обработки результатов испытаний.
В.2 Испытаниям подвергают не менее трех выборок по каждому из воздействующих факторов. Объем каждой выборки - 20 шт.
В.3 Испытания проводят не менее чем при трех значениях тока (I) или напряжения (U), минимальные значения которых выбирают несколько превышающими предельно допустимые рабочие значения, максимальные значения принимают равными значениям на границе области допустимого форсирования.
В.3.1 Остальные значения тока или напряжения выбирают между этими значениями.
В.3.2 Температуру испытаний при минимальных значениях тока или напряжения берут максимально допустимой по ТУ, при других значениях тока или напряжения значение температуры испытаний выбирают такой, чтобы средняя температура кристалла (перехода) равнялась средней температуре кристалла (перехода) при минимальных значениях тока или напряжения.
В.4 Продолжительность испытаний должна быть такой, чтобы накопленное число отказов в каждой выборке достигало не менее 4%. Для этого рекомендуется устанавливать условные нормы ПКГ более жесткими, чем нормы по ТУ для испытаний на безотказность и условные нормы на дополнительные параметры.
В.5 Контроль параметров при испытаниях проводят перед началом и в процессе испытаний. Периодичность измерений параметров рекомендуется устанавливать с учетом жесткости режима так, чтобы по возможности точнее фиксировать моменты отказов изделий по условным нормам.
В.6 Обработку результатов измерений проводят графически или аналитически.
В.6.1 При графическом определении
n или

по зависимости времени наработки до определенного процента отказов от тока или напряжения фиксируют моменты отказов изделий для каждой выборки.
На графиках, по оси ординат которых отложен ln
t, а по оси абсцисс - ln
I, в случае определения
n или
U в случае определения

отмечают токи с одинаковой долей отказов и через эти точки проводят прямую так, чтобы они были наиболее близко расположены от прямой.
На полученной прямой выбирают любые две точки A и B и отмечают соответствующие им значения ln
t на оси ординат и ln
I или
U на оси абсцисс. Значения
n и

определяют по формулам

, (В.1)

. (В.2)
В.7 При аналитическом определении
n и

находят простейшую несмещенную точечную оценку параметра линейной регрессионной модели связи между условиями испытаний и функцией распределения логарифма времени до отказа. Значение
n и

определяют по формуле

, (В.3)
где S - общее количество режимов испытаний;

(В.4)
dz - количество отказов в режиме z (при одинаковой доле отказов в каждом режиме);
tiz - время наработки до отказа i-й микросхемы в z-режиме;
xz = lnIz;
Uz - функция режима.
(рекомендуемое)
ОПРЕДЕЛЕНИЕ ЗНАЧЕНИЯ ЭНЕРГИИ АКТИВАЦИИ НА ОСНОВЕ
ПАРАЛЛЕЛЬНЫХ ИСПЫТАНИЙ ВЫБОРОК В РАЗЛИЧНЫХ РЕЖИМАХ
Г.1 Значение энергии активации Ea определяют путем проведения испытаний и последующей математической обработки их результатов.
Г.2 Испытания проводят для накопления экспериментальных данных - отказов во времени при различных значениях TПЕР.
Г.2.1 Испытаниям подвергают не менее трех выборок. Объем каждой выборки для мощных транзисторов и тиристоров не менее 10 шт., для остальных изделий - 20 шт.
Г.2.2 Испытания проводят не менее, чем при трех значениях TПЕР. Минимальное значение устанавливают несколько выше, чем значение TПЕР.макс, указанное в ТУ, максимальное значение TПЕР принимают равным значению TПЕР на границе ОДФ. Остальные значения TПЕР выбирают между этими температурами.
Г.2.3 Продолжительность испытаний должна быть такой, чтобы накопленный процент отказов в каждой выборке был одинаков и достигал (20 - 40)%. Для этого необходимо устанавливать условные нормы на ПКГ более жесткими, чем нормы в ТУ для КИБ и условные нормы на дополнительные параметры.
| | ИС МЕГАНОРМ: примечание. В официальном тексте документа, видимо, допущены опечатки: пункты 5.5.1, 5.6.1 отсутствуют. | |
Выбор условных норм и дополнительных параметров проводят согласно 5.5.1, 5.6.1.
Для сложных микросхем (БИС, СБИС) рекомендуется дополнительно в качестве критерия отказа устанавливать потерю функционирования микросхем на границе области наихудших режимов функционирования. Эту область определяют на основе оценки наихудшего сочетания значений питающих напряжений, амплитуды и частоты входных сигналов, нагрузки и температуры, при которых изделия еще функционируют, а за их пределами - перестают функционировать. При этом не возникает необратимой потери работоспособности, т.е. в номинальных режимах по ТУ изделия полностью восстанавливают свою работоспособность.
Г.2.4 Контроль параметров при испытаниях проводят перед началом и в процессе испытаний. Периодичность измерения параметров рекомендуется устанавливать с учетом жесткости режима так, чтобы по возможности точнее фиксировать моменты отказов изделий по условным нормам.
Г.3 Обработку результатов испытаний проводят графически в соответствии с
Г.3.1 и аналитически в соответствии с
Г.3.2.
Результаты испытаний и расчетов заносят в таблицу по форме
таблицы Г.1.
Номер режима испытаний | Температура p-n перехода, °C | Температура p-n перехода, °К | Полное время испытаний t, ч | Объем выборки n, шт. | Количество отказов d, шт. | Время наработки до отказа i-го прибора t i, ч | | Функция режима, x | Математическое ожидание логарифма времени наработки до отказа,  |
1 | 2 | 3 | 4 | 5 | 6 | 7 | 8 | 9 | 10 |
1 | | | | | | | | | |
2 | | | | | | | | | |
3 | | | | | | | | | |
... | | | | | | | | | |
Примечания 1 В графах 7 и 8 для каждого режима испытаний приводят столько значений, сколько отказов зафиксировано в данной выборке. 2 Графу 10 заполняют при аналитическом методе расчета. |
Функцию времени определяют по формуле

. (Г.1)
Функцию режима определяют по формуле

. (Г.2)
Математическое ожидание логарифма времени наработки до отказа определяют по формуле

. (Г.3)
Г.3.1 При графическом определении
Ea по зависимости времени наработки до отказа от температуры испытаний, представленной на
рисунке Г.1 для каждой выборки, испытываемой при соответствующей температуре кристалла (перехода), фиксируют моменты отказов изделий. При этом отмечают точки с одинаковой долей отказов (крестики на
рисунке) и через эти точки проводят прямую так, чтобы они были наиболее близко расположены от прямой.
На полученной прямой выбирают любые две точки
A и
B и отмечают соответствующие им значения (lnt
n)
A и (lnt
n)
B на оси ординат, а

и

на оси абсцисс.
Величину Ea, эВ, определяют по формуле

(Г.4)
Г.3.2 При аналитическом определении
Ea находят простейшую несмещенную точечную оценку параметра линейной регрессионной модели связи между условиями испытаний и функцией распределения логарифма времени до отказа.
Значение
Ea определяют, используя данные
таблицы А.1, по формуле

, (Г.5)
где

- коэффициент регрессии, характеризующий, наклон линии регрессии, определяется по формуле

, (Г.6)
где z - номер режима испытания;
S - общее количество режимов испытаний;

- математическое ожидание логарифма времени наработки до отказа;
x - функция режима.
Г.4 При выявлении в процессе испытаний нескольких механизмов отказов расчеты проводят отдельно по каждому механизму отказа, при этом объем испытаний должен быть достаточным для наличия отказов, обусловленных каждым из механизмов отказов. В этом случае определяют энергию активации
Ea по каждому механизму отказа и в дальнейшем расчеты общего коэффициента ускорения проводят с учетом доли отказов по отдельным механизмам в общем потоке отказов в соответствии с рекомендациями, изложенными в
приложении Б.
Г.5 Метод может быть использован для определения энергии активации для отдельных механизмов отказов Ea на основе испытаний тестовых структур, соответствующих элементам изделий, в которых развиваются исследуемые механизмы отказов.
(рекомендуемое)
ОПРЕДЕЛЕНИЕ ЗНАЧЕНИЯ ЭНЕРГИИ АКТИВАЦИИ ПО НАКОПЛЕННЫМ ДАННЫМ
Д.1 Значение энергии активации Ea (Eai) можно определять по накопленным результатам испытаний в различных режимах. Период обобщения результатов испытаний - не более чем за 5 последних лет.
Для расчета Ea используют результаты испытаний в режиме испытаний на безотказность и в более жестких режимах. Испытываемые выборки учитываемых для расчета испытаний должны быть изготовлены за один и тот же период времени.
Испытания должны быть проведены не менее чем при трех значениях температуры кристалла. Продолжительность каждого испытания должна быть не менее 240 ч. Допускается определять Ea по накопленным результатам испытаний на безотказность и наработку до отказа. В этом случае продолжительность проверочных испытаний на безотказность рекомендуется увеличивать до 3tУИБ.
В каждом режиме должны быть получены отказы. Допускается использовать условные нормы на ПКГ и условные нормы на дополнительные параметры.
Д.2 Обработку результатов испытаний проводят в следующем порядке.
Д.2.1 Определяют среднюю интенсивность отказов

в каждом режиме по формуле

, (Д.1)
где
dP - доверительная граница накопленного числа отказов при
P* = 0,6 (определяется по
таблице Д.1);
k - общее число выборок, испытанных в этом режиме;
nj, tj - объем выборок и продолжительность их испытаний в определенном режиме соответственно.
Доверительная граница числа отказов dP при P* = 0,6 |
Число отказов d, шт. |
0 | 1 | 2 | 3 | 4 | 5 | 6 | 7 | 8 | 9 | 10 |
0,92 | 2,0 | 3,1 | 4,2 | 5,2 | 6,3 | 7,3 | 8,4 | 9,4 | 10,5 | 11,5 |
Д.2.2 По результатам оценки

,

и

в трех режимах рассчитывают коэффициенты ускорения

и

, по которым определяют энергию активации по формулам

(Д.2)

(Д.3)
Если EaAB отличается от EaBC не более чем на 20%, то в качестве средней энергии активации в диапазоне температур, в пределах которых проводились испытания, принимают значение, определяемое по формуле

. (Д.4)
| | ИС МЕГАНОРМ: примечание. В официальном тексте документа, видимо, допущена опечатка: пункт В.2.2 отсутствует. | |
Если
EaAB отличается от
EaBC более чем на 20%, то необходимо провести дополнительные испытания в трех режимах, с учетом результатов которых провести новую оценку
Ea. При этом рекомендуется разделить отказы в каждом из режимов на группы по отдельным механизмам отказов и для каждого механизма отказа определить значение энергии активации (
Eai) в соответствии с В.2.2. В случае если определены значения энергии активации для отдельных механизмов отказов, то общий коэффициент ускорения рассчитывают в соответствии с
приложением Б.
Д.2.3 Относительную долю отказов по отдельным механизмам отказа (qj) в общем потоке отказов при определенном режиме рассчитывают по формуле

, (Д.5)
где

- интенсивность отказов вследствие развития
j-го механизма отказа.
(рекомендуемое)
ОПРЕДЕЛЕНИЕ ЗНАЧЕНИЯ ЭНЕРГИИ АКТИВАЦИИ ПО РЕЗУЛЬТАТАМ
ИСПЫТАНИЙ СО СТУПЕНЧАТО-ВОЗРАСТАЮЩЕЙ НАГРУЗКОЙ
Е.1 Испытания для определения значения энергии активации проводят на одной или нескольких выборках при постоянной электрической нагрузке со ступенчато изменяющейся температурой окружающей среды.
Е.2 Объем выборки должен быть не менее 20 шт.
Е.3 Испытания проводят при изменяющейся ступенями температуре окружающей среды, начиная с повышенной температуры среды при эксплуатации, установленной в ТУ, или на 5 - 10 °C выше. Величину ступени рекомендуется выбирать равной 10 - 15 °C.
Е.4 Электрический режим для испытаний устанавливается равным предельно допустимому режиму, установленному в ТУ для испытаний на безотказность.
Допускается для ступенчатого повышения температуры кристалла (перехода) ужесточить электрический режим на второй и последующих ступенях, если ужесточение режима приводит к увеличению рассеиваемой мощности и увеличению температуры кристалла (перехода) и не приводит к развитию механизмов отказов, существенно ускоряемых напряжением или током.
Е.5 Длительность испытаний на каждой ступени должна быть не менее 24 ч. На начальных ступенях рекомендуется устанавливать длительность испытаний 96 ч.
Е.6 После каждой ступени измеряют ПКГ. Возможно измерение дополнительных параметров, не указанных в ТУ, и проведение оценки результатов испытаний по условным нормам.
Е.7 При наличии на любой ступени двух и более отказов приращение температуры окружающей среды (кристалла) для следующей ступени должно быть уменьшено в 1,5 - 2 раза.
Е.8 Испытания продолжают до получения отказов из-за изменения параметров.
Е.9 Обработку результатов испытаний проводят в следующем порядке.
Е.9.1 На каждой ступени испытаний определяют накопленное число отказов по
формуле (Е.1) и накопленную долю отказов по
формуле (Е.2).

, (Е.1)
где di - накопленное число отказов при испытаниях с 1-ой по i-ю ступень включительно;
i - число ступеней в обобщении результатов испытаний;
dj - число отказов на j-ступени.

, (Е.2)
где
dip - верхняя доверительная граница накопленного числа отказов при доверительной вероятности
P = 0,6 (определяется по
таблице Е.1);
n - объем выборки.
Е.9.2 Для каждой ступени испытаний определяют величину

, (Е.3)
где Tпер.1 и Tпер.i - температура кристалла (перехода) при испытаниях на 1-й и i-й ступенях, °C.
Номер ступени | Длительность ступени ti | Tпер.i | zi | dj | di | dip | Fi |
1 | | | | | | | |
2 | | | | | | | |
... | | | | | | | |
i | | | | | | | |
... | | | | | | | |
m | | | | | | | |
Е.9.3 Из
таблицы Е.1 выбирают ступень, для которой накопленное число отказов составляет не менее трех, и еще две ступени со значениями накопленной доли отказов
Fi-j <
Fi+k, где
i,
j,
k - целые числа.
Механизмы отказов для выбранных ступеней должны быть идентичными.
Е.9.4 По значениям
Fi-j,
Fi,
Fi+k определяют параметр

по формуле

. (Е.4)
Е.9.5 На основании результатов испытаний, приведенных в
таблице Е.1, составляют уравнение для определения значения энергии активации

(Е.5)
Е.9.6 Если по результатам расчета величина энергии активации Ea определена более 1,2 эВ, то оценку Ea проводят на основе решения уравнения

. (Е.6)
В случае если расчеты по
Е.9.4 или
Е.9.5 показывают, что
Ea > 1,0 эВ, то при оценке коэффициента ускорения используют значение
Ea = 1,0 эВ.
(рекомендуемое)
ОПРЕДЕЛЕНИЕ ЗНАЧЕНИЙ ЭНЕРГИИ АКТИВАЦИИ ПО РЕЗУЛЬТАТАМ
ЭЛЕКТРОТЕРМОТРЕНИРОВКИ ПРИ СТУПЕНЧАТО-ВОЗРАСТАЮЩЕЙ НАГРУЗКЕ
Ж.1 В случаях, если результатов испытаний выборок изделий недостаточно для достоверной оценки значения энергии активации, возможно использование результатов электротермотренировки нескольких партий изделий при ступенчато возрастающей нагрузке.
Ж.2 Испытания проводят на партии или выборке из партии изделий объемом не менее 400 шт.
По согласованию с потребителем (потребителями) допускается проведение испытаний на меньшей партии (выборке).
Ж.2.1 Испытания проводят в предельно допустимом электрическом режиме, установленном в ТУ для испытаний на безотказность. Испытания проводят в два этапа. Продолжительность первого этапа (t1) не менее 168 ч, продолжительность второго этапа (t2) не менее 72 ч.
Ж.2.2 Температура окружающей среды на первом этапе устанавливается равной повышенной температуре, указанной в ТУ для проведения электротермотренировки или испытаний на безотказность. Температура окружающей среды на втором этапе устанавливается на 15 °C выше, чем на первом этапе в пределах ранее определенной области допустимого форсирования.
Ж.2.3 Контроль ПКГ проводят перед началом испытаний, через 48 ч (t11), по окончании первого этапа (t12) и по окончании второго этапа (t2).
Ж.3 Обработку результатов испытаний проводят в следующем порядке.
Ж.3.1 Определяют накопленное число отказов:
d11 - за время t11;
d12 - за время с начала испытаний до окончания первого этапа t12;
d2 - за время с начала испытаний до окончания второго этапа t2 (включая отказы d11, d12).
Отказы, связанные с нарушением работы испытательного оборудования, ошибки операторов, а также вызванные грубыми производственными дефектами, в расчетах не учитывают.
Ж.3.2 Для моментов времени испытаний t11, t12, t2 определяют накопленную долю отказов по формулам

, (Ж.1)

, (Ж.2)

, (Ж.3)
где
d11P,
d12P, d
2P - верхние доверительные границы накопленного числа отказов к моментам времени
t11,
t12,
t2 при доверительной вероятности
P = 0,6 (определяемые исходя из
d11,
d12,
d2 по
таблице Е.1 приложения Е);
n - объем испытываемой выборки.
Ж.3.3 По значениям
F11,
F12,
t12,
t11, определяют параметр формы распределения отказов во времени

по формуле

(Ж.4)
Ж.3.4 По значениям
F12,
F2,

,
t2 определяют значение энергии активации по формуле

(Ж.5)
где Tпер.1 и Tпер.2 - температура перехода изделий при испытаниях на первом и втором этапах соответственно, °C.
| | ИС МЕГАНОРМ: примечание. В официальном тексте документа, видимо, допущена опечатка: имеется в виду пункт Ж.3.4, а не И.3.4. | |
Ж.3.5 В случае если расчеты по
И.3.4 показывают, что
Ea > 1,0 эВ, то при оценке коэффициента ускорения используют значение
Ea = 1,0 эВ.
Ж.3.6 В случае если виды и механизмы отказов, выявленные на первом и втором этапах, существенно отличаются, то проводят новые испытания. При этом испытываемая партия должна пройти предварительную электротермотренировку в течение 48 - 96 ч, продолжительность этапов испытаний увеличивается, а разница в температурах уменьшается.
(рекомендуемое)
Форма обобщения результатов испытаний при определении
режима ускоренных кратковременных испытаний на безотказность
Изготовитель Тип прибора | Обобщенные результаты различных видов испытаний | Период обобщения (годы) Значение Rпер.кор: по ТУ |
Вид испытаний | Режим испытаний | Количество испытанных изделий, шт. | ПКГ и нормы | Дополнительные параметры и условные нормы на них | | Причины отказов |
по ТУ (ТД) | условные | полный отказ (короткое замыкание, обрыв) | Отклонение ПКГ от норм | по ДП |
ТУ | условных |
До отработки УИБ | КИБ ДИБ ОИ КТЗ | | | | | | | | | |
При отработке УИБ: | ПУКИБ1 ПУКИБ2 КИБ3 | | | | | | | | | |
Примечания 1 Учитывают только испытания, проводимые при воздействии электрической нагрузки. 2 В графе "Количество отказов" указать вид отказа. 3 Причины отказа указывают с учетом акта лаборатории анализа отказов. |
Выводы: | Ускоряющий фактор ____________________________________ Основной механизм отказа ______________________________ Значение Ea (или других констант) _______________________ |
Заключение: Рекомендовать следующий режим УКИБ _______________ |
Исполнитель
______________________ __________________________
ПЗ (при наличии) должность
Личная Расшифровка Личная Расшифровка
подпись _______ подписи ________ подпись ________ подписи ________
Дата Дата
(рекомендуемое)
по определению режимов ускоренных испытаний
УТВЕРЖДАЮ УТВЕРЖДАЮ
______________________________ ____________________________
ПЗ при изготовителе предприятие-изготовитель
Личная Расшифровка Личная Расшифровка
подпись ______ подписи _____ подпись ______ подписи _____
Дата Дата
Вид работы или испытания | Номер пункта | Срок исполнения | Вид отчетности | Исполнитель |
начало | окончание |
1 Предварительный выбор режима УКИБ: | | | | | |
| | ИС МЕГАНОРМ: примечание. Здесь и далее в официальном тексте документа, видимо, допущена опечатка: пункт 6.2.4 отсутствует. | |
|
- определение Ea и основного механизма отказа; | 6.2.4 | | | | |
| | ИС МЕГАНОРМ: примечание. В официальном тексте документа, видимо, допущена опечатка: пункт 6.2.5 отсутствует. | |
|
- определение TперУКИБ и конкретных значений режима | 6.2.5 | | | | |
2 Проведение ПУКИБ: | | | | | |
- формирование выборок для ПУКИБ; | | | | | |
- выбор параметров, подлежащих измерениям и норм на них. Обобщение результатов ПУКИБ и КИБ | | | | | |
3 Установление режима УКИБ на основе анализа результатов ПУКИБ и КИБ (ПУКИБ) | | | | | |
4 Проведение новых ПУКИБ (при необходимости) | | | | | |
5 Принятие решения о применении УКИБ при испытаниях готовых изделий | | | | | |
6 Определение режима УДИБ: | | | | | |
- ориентировочный выбор значений KУДИБ и tУДИБ; | | | | | |
- предварительное определение TперУДИБ. | | | | | |
7 Установление режима УДИБ | | | | | |
8 Определение tУДИБ | | | | | |
9 Принятие решения о применении УДИБ при испытаниях готовых изделий | | | | | |
ПЗ (при наличии) Ответственный исполнитель
______________________ ____________________________________
должность должность
Личная Расшифровка Личная Расшифровка
подпись _______ подписи ________ подпись ________ подписи ________
Дата Дата
(обязательное)
МЕТОДЫ ОПРЕДЕЛЕНИЯ ГРАНИЦ ОБЛАСТИ ДОПУСТИМОГО ФОРСИРОВАНИЯ
Л.1 Общие положения
Л.1.1 Граница ОДФ характеризует максимально возможное значение TперУИБ, тока, напряжения, при которых все еще не происходит изменение основных механизмов отказов, характерных для нормальных испытаний на безотказность. Критерием выполнения данного условия является отсутствие отказов по нормам ТУ.
Л.1.2 В пределах ОДФ должны быть выполнены следующие требования:
- температура на кристалле (переходе) TПЕР не должна превышать: 300 °C - для маломощных изделий на кремнии; 250 °C - для мощных изделий на кремнии и арсенид-галлии; 150 °C - для германиевых полупроводниковых приборов;
- напряжения на кристалле (переходе) не должны приводить к возникновению электрических пробоев;
- сочетание температуры, тока и напряжения не должно вызывать явления теплового пробоя или предшествующего ему теплового шнурования - образования горячих пятен;
- плотность тока в пленке металлизации для приборов с алюминиевой металлизацией не должна превышать 106 А/см2 для дискретных полупроводниковых приборов и 2·106 А/см2 для интегральных микросхем;
- температуру среды (корпуса) принимают равной 65 °C для дискретных полупроводниковых приборов, она не должна превышать предельно допустимых температур используемых материалов (припой, клей и др.);
- при наличии соединений алюминий-золото на кристалле изделий температура в области этих соединений не должна превышать 200 °C.
Изделия должны сохранять способность функционировать (полностью или частично), их электрические параметры в форсированном режиме могут выходить за пределы норм ТУ, при этом не должно происходить необратимой потери функционирования и ухода параметров за нормы ТУ, т.е. при возвращении к нормальному режиму изделия должны восстанавливать работоспособность по ТУ.
Л.1.3 Испытаниям подвергают одну выборку. Рекомендуемый объем выборки: не менее 10 шт. - для мощных транзисторов, тиристоров и микросхем и 20 шт. - для остальных изделий.
Л.1.4 Определение границ ОДФ рекомендуется проводить методом ступенчато-возрастающей нагрузки по руководящему документу
[3] с дополнениями, приведенными в
разделе Л.2.
| | ИС МЕГАНОРМ: примечание. В официальном тексте документа, видимо, допущена опечатка: имеются в виду пункты Л.3 и Л.4, а не М.3 и М.4. | |
Л.1.5 Для значений
TперУКИБ или
TперУДИБ, определенных согласно
разделам 6 и
7, конкретные значения
TОКР (
TКОРП), напряжения и тока могут быть определены методами, изложенными в
М.3 и
М.4, или другими методами по руководящему документу
[1]. Эти методы можно использовать и тогда, когда значение
RПЕР.ОКР (
RПЕР.КОРП) в ТУ не задано.
Л.2 Определение границ ОДФ при ступенчато-возрастающей нагрузке (ступенчатые испытания)
Л.2.1 При испытаниях осуществляют увеличение температуры кристалла (перехода) TПЕР за счет роста TОКР (TКОРП) и (или) PРАС. Электрический режим рекомендуется увеличивать в первую очередь за счет тока.
При ограниченных возможностях испытательного оборудования допускается с какой-то ступени испытаний переход на форсирование по другому параметру режима (например, напряжению).
Л.2.2 Режим первой ступени испытаний выбирают равным
TПЕРмакс. по ТУ. Режим последней ступени испытаний устанавливают исходя из выполнения
Л.1.2.
На каждой ступени TПЕР увеличивают на (20 - 25) °C - для кремниевых и арсенид-галлиевых маломощных полупроводниковых приборов и на (10 - 15) °C для германиевых полупроводниковых приборов и кремниевых мощных полупроводниковых приборов.
Продолжительность испытаний на каждой ступени должна быть одинаковой (рекомендуется устанавливать

). Допускается устанавливать продолжительность ступени

или

.
Л.2.3 Контроль ПКГ проводят при нормальной TПЕР перед началом и после каждой ступени испытаний.
Примечание - Для приборов, у которых отказ выявляется устройствами, встроенными в испытательный стенд, промежуточный контроль ПКГ допускается проводить только на ступенях, на которых этим устройством зафиксирован отказ.
Л.2.4 Испытания прекращают при достижении (20 - 40)% отказов (включая отказы по условным нормам на ПКГ и дополнительные параметры) или предельной температуры, указанной в
Л.1.2 (что наступит раньше).
Л.2.5 Границей ОДФ считают значение режима последней ступени испытаний (TОКР (TКОРП), PРАС), на которой отказы по нормам ТУ еще отсутствовали, или ступени, предшествующей появлению первого отказа. Отказ одного изделия на любой ступени испытаний при отсутствии отказов на двух последующих ступенях не учитывают, т.к. это свидетельствует о случайном характере данного отказа и о том, что смены механизма отказа при этом не происходит.
Л.3 Метод изотерм выходных вольт-амперных характеристик
Л.3.1 Метод изотерм выходных вольт-амперных характеристик (далее - изотерм) рекомендуется для мощных транзисторов.
Пример использования метода изотерм для определения конкретных значений
Uk,
Ik, значения
TперУИБ приведен в
приложении П.
Л.3.2 Изотерма - выходная вольтамперная характеристика, каждая точка которой соответствует такому сочетанию тока и напряжения, при котором p-n переход разогревается до одной и той же температуры, если температура корпуса постоянна.
Уравнение изотермы получают из
формулы (5), приведенной в
5.7 путем почленного логарифмирования

. (Л.1)
Для транзисторов, у которых
Rпер.кор не зависит от электрического режима (по крайней мере, в некотором диапазоне токов и напряжений),
уравнение (Л.1) приводится к уравнению прямой с тангенсом угла наклона, равным минус единице
где
y = lg Ik, (Л.3)

, (Л.4)
x = lg Uk, (Л.5)
На
рисунке Л.1 приведены виды изотерм для различных транзисторов, измеренные при одной и той же
TПЕР (
TКОРП)
1 - с малым RПЕР.КОРП без локальных перегрузов в структуре
и без дефектов в межслойных соединениях; 2 - с общим
перегревом структуры за счет дефектов в межслойных
соединениях (RПЕР.КОРП большое); 3 - с локальным перегревом
структуры (RПЕР.КОРП сильно зависит от режима измерения);
4 - с локальным перегревом при превышении критических
значений Uk (RПЕР.КОРП больше, чем для прямой 1
и не зависит от режима только Uk при Uk > Uk.kp)
Прямые
1 и
2 соответствуют
уравнению (Л.2), но различаются значением коэффициента A, которое зависит от
RПЕР.КОРП (чем больше
RПЕР.КОРП, тем меньше A; прямая
2 ниже прямой
1). Прямая
1 соответствует бездефектному прибору, прямая
2 соответствует прибору с дефектами в межсоединениях многослойной конструкции и
RПЕР.КОРП2 >
RПЕР.КОРП1.
Если реальный прибор характеризуется прямой 3, то это соответствует уравнению прямой линии с тангенсом угла наклона, отличным от единицы.
y = A - ((b + 1)·x), (Л.6)
где b > 0 - эмпирический коэффициент.
На прямой 3 точка B соответствует RПЕР.КОРП1, а точка C - RПЕР.КОРП2. Так как RПЕР.КОРП1 < RПЕР.КОРП2, изотерма вида прямой 3 указывает на то, что RПЕР.КОРП увеличивается с ростом Uk. Это означает, что в структуре прибора имеется локальный перегрев - горячее пятно, диаметр которого уменьшается с ростом напряжения по степенному закону Ukb.
В структуре транзисторов с изотермой вида кривой 4
(рисунок Л.1) имеется два дефекта: горячее пятно, возникающее при >
Uk.kp, и дефект в межсоединениях многослойной конструкции.
С помощью изотермы находят конкретные значения Ik, Uk при тех же температурах, которые были определены для TперУИБ. При этом следует выбирать режим (Ik, Uk) на участках изотерм, где b = 0 (чтобы избежать локальных перегревов структуры транзистора).
Л.3.3 Для измерений изотерм следует использовать аппаратуру, структурная схема которой приведена на
рисунке Л.2.
VT - испытуемый транзистор, 1 - генератор разогревающего
тока эмиттера; 2 - регулятор разогревающего тока эмиттера;
3 - генератор измерительного тока эмиттера;
4 - сравнивающее устройство; 5 - стабилизированный источник
эталонного напряжения (датчик температуры);
6 - стабилизированный источник напряжения
Транзистор устанавливают на массивный радиатор (с применением теплопроводящей смазки КПТ N 8), подключают к источнику напряжения 6, обеспечивающему дискретную подачу. В цепь эмиттера включен генератор тока малой амплитуды 3 и генератор импульсов разогревающего тока 1. Во время паузы импульса сравнивающее устройство 4 оценивает приращение температуры перехода. Сравнение проводят по термочувствительному параметру UGX, измеренному на малом уровне тока относительно заданного значения разности TПЕР - TКОРП, которое подается от датчика температуры 5 и управляет величиной импульса разогревающего тока эмиттера 2 так, чтобы TПЕР оставалась постоянной во всем диапазоне измерений.
Продолжительность импульса разогревающего тока эмиттера должна на два порядка превосходить длительность паузы. Продолжительность паузы должна быть от 10 до

Контроль TПЕР должен проводиться через 15 мкс после отключения разогревающего импульса.
Л.3.4 Производят статистическую обработку результатов измерения изотерм. При этом рассчитывают: нижнюю границу изотермы
IKjH, среднее значение тока коллектора
IKj и среднеквадратичное отклонение

по
формулам (Л.7) -
(Л.9).

, (Л.7)

(Л.8)

(Л.9)
где i = 1, 2,... n - номера приборов (n > 20);
j = 1, 2,... m - количество фиксированных значений измеряемой величины в диапазоне измерении Uk (m >= 4).
Полученные при расчете значения
IKji для фиксированных значений напряжения наносят в виде точек в системе координат
Ik,
Uk (в логарифмическом масштабе). По этим точкам строят график нижней границы изотермы. На участке AB, где
b ~= 0 (т.е. угол наклона приблизительно равен 45°), обеспечивается температура
TперУИБ для данного типа транзистора. При этом конкретные значения напряжения и тока (например,
Uki и соответствующее ему
Iki) выбирают согласно
рисунку Л.3.
Л.4.1 Метод UЭБ (UКБ) рекомендуется применять для мощных СВЧ транзисторов.
Л.4.2 Зависимость UЭБ (UКБ) при выбранных значениях тока эмиттера - IЭ (или тока коллектора - IK) и неизменной температуре TКОРП транзистора характеризует распределение температуры в структуре и позволяет рассчитать допустимые значения электрического режима для TперУИБ.
Л.4.3 Структурная схема метода измерения и требования к аппаратуре приведены в
[1].
(рекомендуемое)
Форма решения об утверждении режимов
ускоренных кратковременных и длительных испытаний
на безотказность и введения этих испытаний
в систему испытаний на безотказность
УТВЕРЖДАЮ УТВЕРЖДАЮ
От потребителя От изготовителя
____________________________________ _____________________________________
руководитель организации-потребителя руководитель организации-изготовителя
____________________________________ _____________________________________
личная подпись расшифровка подписи личная подпись расшифровка подписи
"____" ______________ 20___ г. "____" ______________ 20___ г.
РЕШЕНИЕ
об утверждении режимов ускоренных испытаний на безотказность изделий типа ____________ и их применении в системе испытаний на безотказность
Изготовителем ____________ при участии представителя потребителя в соответствии с утвержденной программой работ по определению режимов ускоренных испытаний в период с ____________ по ____________ проводилась работа по определению режимов ускоренных испытаний на безотказность изделий типов ____________.
На основании анализа результатов испытаний РЕШИЛИ:
1 Принять следующие режимы ускоренных испытаний на безотказность:
для кратковременных испытаний:
- продолжительность испытаний ____________;
- режим испытаний ____________;
для длительных испытаний:
- продолжительность испытаний ____________;
- режим испытаний ____________;
2 Установить режимы ускоренных кратковременных и длительных испытаний на безотказность (вместо режимов, установленных в ТУ) с ____________ 20_____ г.
3 Утвердить программу и методику ускоренных испытаний на безотказность.
Приложения
1 Программа и методика ускоренных испытаний на безотказность при проведении периодических испытаний на безотказность.
2 Обобщенные результаты испытаний.
Представитель потребителя Представитель изготовителя
____________________________________ _____________________________________
должность должность
____________________________________ _____________________________________
личная подпись расшифровка подписи личная подпись расшифровка подписи
"____" ______________ 20___ г. "____" ______________ 20___ г.
(рекомендуемое)
Форма программы и методики
ускоренных испытаний на безотказность
УТВЕРЖДАЮ УТВЕРЖДАЮ
______________________________ ____________________________
ПЗ при изготовителе предприятие-изготовитель
Личная Расшифровка Личная Расшифровка
подпись ______ подписи _____ подпись ______ подписи _____
Дата Дата
Программа и методика ускоренных испытаний
при проведении периодических испытаний на безотказность
В программе и методике указывают:
- режимы УИБ;
- продолжительность проведения УКИБ и УДИБ в зависимости от установленного коэффициента ускорения;
- объемы выборок изделий, подвергаемых ускоренным испытаниям;
- порядок чередования нормальных и ускоренных испытаний;
- дополнительные параметры и другие проверки, необходимые для ускоренной оценки безотказности;
- условные нормы на ПКГ/.
______________________________ ____________________________
ПЗ при изготовителе предприятие-изготовитель
Личная Расшифровка Личная Расшифровка
подпись ______ подписи _____ подпись ______ подписи _____
Дата Дата
(справочное)
ПРИМЕРЫ РАСЧЕТА РЕЖИМОВ И ПРОДОЛЖИТЕЛЬНОСТИ
УСКОРЕННЫХ ИСПЫТАНИЙ НА БЕЗОТКАЗНОСТЬ
П.1 Расчет режимов УКИБ, УДИБ и продолжительности УДИБ для маломощных транзисторов
Данные из ТУ:
tКИБ = 1000 ч;

;
RПЕР.ОКР = 1 град/мВт
Режим КИБ: TОКР = 125 °C, Uk = 15 В, Ik = 1,7 мА
Режим ДИБ: TОКР = 75 °C, Uk = 15 В, Ik = 3,3 мА
П.1.1 Определение режима УКИБ
П.1.1.1 Находят величины: TперКИБ; Ea; TперУКИБ.
TперКИБ = TОКР + RПЕР.ОКР (Uk*·Ik) = 125 + 1,0·15·1,7 = 150 (°C)
Ea = 0,73 эВ.
TперУКИБ = 187 °C.
П.1.1.2 Определяют конкретные значения TОКР, Uk, Ik.
Сохраняя неизменными значения
TОКР = 125 °C,
Uk = 15 В, вычисляют
Ik по формулам, приведенным в
5.7.
Конкретные значения предварительного режима УКИБ:
TКОРП = 125 °C, Uk = 15 В, Ik = 4,1 мА
П.1.1.3 Режим УКИБ устанавливают на основе сопоставления анализа и результатов ПУКИБ и КИБ в соответствии с
6.4 и
6.5.
П.1.2 Определение режима и продолжительности ДИБ (случай, когда требуется дополнительный расчет).
П.1.2.1 Находят значения: TперДИБ; Ea; TперУДИБ.
TперДИБ = TОКР + RПЕР.ОКР (Uk*·Ik) = 75 + 1,0·15·3,3 = 125 (°C)
Ea = 0,73 эВ (получено при установлении режима УКИБ).
Для предварительно выбранных значений
tУДИБ = 2 000 ч и соответствующего
KУДИБ = 40 (см.
7.2)
TперУДИБ = 208 °C.
Сопоставляют
TперУДИБ и
TперКИБ. Получен второй вариант, представленный в
7.3.1. Однако для данного транзистора
TперУДИБ = 208 °C недопустима, т.к. она выходит за пределы ОДФ.
П.1.2.2 Выбирают TперУДИБ = TперУКИБ = 187 °C.
Целесообразно установить для УДИБ тот же режим, что и для УКИБ:
TОКР = 125 °C, Uk = 15 В, Ik = 4,1 мА.
П.1.2.3 В связи с уменьшением значения TперУДИБ (с 208 °C до 187 °C), определяют новое значение tУДИБ. При этом находят значение KУКИБ = 17,6 при Ea = 0,73 эВ и TперУДИБ = 187 °C.
tУДИБ = 80 000/17,6 = 4 550 ч. Устанавливают tУДИБ = 4 600 ч.
П.1.2.4 Оценку выполнения требований ТУ по наработке производят по истечении 4 600 ч, затем испытания продолжают до 5500 ч для проверки КТЗ.
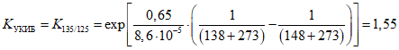
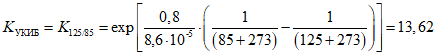
П.2 Расчет режима и продолжительности УДИБ для мощных транзисторов
Данные из ТУ:

,
RПЕР.ОКР = 12 град/Вт.
Режим КИБ: TОКР = 90 °C, Uk = 10 В, Ik = 0,5 А.
Режим ДИБ: TОКР = 65 °C, Uk = 10 В, Ik = 0,5 А.
П.2.1 Находят значения: TперКИБ, Ea, TперУДИБ
TперКИБ = TОКР + RПЕР.ОКР (Uk*·Ik) = 90 + 12·10·0,5 = 150 (°C),
TперДИБ = 65 + 12·10·0,5 = 125 (°C),
Ea = 0,6 эВ.
Для выбранного значения
tУДИБ = 1250 ч и соответствующего
KУДИБ = 20
(7.2) по
формуле (8) определяют
TперУДИБ = 200 °C.
П.2.2 Сопоставляют
TперУДИБ и
TперКИБ. Получен второй вариант
7.3.1. Для данного транзистора температура 200 °C находится в пределах ОДФ, поэтому принимают
TперУДИБ = 200 °C.
Если сохранить при УДИБ Uk = 10 В, а IK увеличить до Ik = 0,8 А, то
TКОРП = TперУДИБ - RПЕР.ОКР (Uk*·Ik) = 200 - 12·10·0,8 = 104 (°C), округляют значение до 110 °C. Устанавливают режим УДИБ:
TКОРП = 110 °C, Uk = 10 В, Ik = 0,8 А.
П.2.3 Оценку выполнения требований ТУ по наработке производят по истечении 1250 ч, затем испытания продолжают до 1800 ч для проверки КТЗ.
П.3 Расчет режима и продолжительности УДИБ для выпрямительного диода
Данные из ТУ:

,
RПЕР.ОКР = 30 град/Вт.
Режим КИБ: TОКР = 80 °C, Iнагр = 0,5 А, Uпр = 0,8 В.
Режим ДИБ: TОКР = 25 °C, Iнагр = 1 А, Uпр = 1 В.
П.3.1 Находят значения: TперКИБ, TперДИБ, TперУДИБ.
TперКИБ = 80 + 30·0,5·0,8 = 92 (°C);
TперДИБ = 25 + 30·1·1 = 55 (°C);
Ea = 0,6 эВ.
Для выбранного значения
tУДИБ = 2 000 ч и соответствующего
KУДИБ = 25 (см.
7.2),
TперУДИБ = 112 °C.
П.3.2 Сопоставляют
TперУДИБ и
TперКИБ. Получен второй вариант
7.3.1. Для данного диода принимают
TперУДИБ = 112 °C.
Если принять электрический режим, установленный для КИБ: Uпр = 0,8 В, Iнагр = 0,5 А, то TОКР = TперУДИБ - RПЕР.ОКР (Uпр·Iнагр) = 112 - 30·0,5·0,8 = 100 °C.
Устанавливают режим УДИБ: TОКР = 100 °C, Iнагр = 0,5 А, Uпр = 0,8 В.
П.3.3 Оценку выполнения требований ТУ по наработке производят по истечении 2000 ч, затем испытания продолжают до 2500 ч для проверки КТЗ.
П.4 Определение облегченного режима для заданных в ТУ наработки
и
(для маломощного транзистора)
Данные из ТУ:

;

;
RПЕР.ОКР = 0.5 град/мВт
Режим ДИБ: TОКР = 50 °C, Uk = 20 В, Ik = 6 мА.
П.4.1 Находят TперДИБ, Ea, Kобл, TПЕР.обл.
TперДИБ = TОКР + RПЕР.ОКР (Uk*·Ik) = 50 + 0,5·20·6 = 110 °C;
Ea = 0,7 эВ. Эта величина была получена при установлении режимов ускоренных испытаний для данного типа прибора в соответствии с
5.8.
Коэффициент ускорения Kобл = 0,8.
| | ИС МЕГАНОРМ: примечание. В официальном тексте документа, видимо, допущена опечатка: формула (82) отсутствует. | |
П.4.2 По формуле (82) определяют TПЕР.обл.
При TПЕР = TперДИБ = 110 °C, Ea = 0,7 эВ, и Kобл = 0,8, TПЕР.обл = 106 °C.
Если принять электрический режим, равный режиму ДИБ: Uk = 20 В,
Ik = 6 мА, то для TПЕР.обл = 106 °C
TОКР = TПЕР.обл - RПЕР.ОКР (Uk*·Ik) = 106 - 0,5·20·6 = 46 °C.
П.4.3 Облегченный режим устанавливают: TОКР = 45 °C, Uk = 20 В, Ik = 6 мА.
П.5 Определение ожидаемой наработки в облегченном режиме -
при заданном режиме (для полевого транзистора)
Данные из ТУ:
RПЕР.ОКР = 0,5 град/мВт,

.
Режим ДИБ: TОКР = 25 °C, Uсп = 4 В, Iс = 20 мА.
Режим облегченный: TОКР = 25 °C, Uсп = 4 В, Iс = 15 мА.
П.5.1 Находят
TперДИБ,
Ea,
Kобл,
TПЕР.обл,

.
TперДИБ = TОКР + RПЕР.ОКР (U*исп·Iс) = 25 + 0,5·4·20 = 65 (°C);
TперДИБ = 25 + 0,5·4·15 = 55 (°C);
Ea = 0,7 эВ (эта величина была получена при установлении режимов ускоренных испытаний для данного типа прибора в соответствии с
5.8).
П.5.2 Из отношения

находят
П.6 Использование метода изотерм выходных вольт-амперных характеристик (ИТВАХ) для расчета допустимых значений электрического режима для УКИБ мощного транзистора (приложение Л)
Данные из ТУ: режим КИБ - TКОРП = 125 °C, Uk = 32 В, Ik = 0,13 А.
Для УКИБ (согласно 6.2.4) принято:
TперУКИБ = 190 °C, TКОРП = 125 °C.
П.6.1 Для измерения ИТВАХ комплектуют выборку из 25 шт. транзисторов. Выбирают следующий ряд напряжений Uk: 10, 20, 25, 30 В. Затем измеряют Ik при этих значениях напряжения и TПЕР = 190 °C, TКОРП = 125 °C.
Номер транзистора | Значение Ik, А для напряжения, В |
10 | 20 | 25 | 30 |
1 | 1,50 | 0,80 | 0,70 | 0,54 |
2 | 1,65 | 0,84 | 0,73 | 0,54 |
25 | 1,40 | 0,70 | 0,50 | 0,44 |
Ikij | 1,41 | 0,74 | 0,61 | 0,47 |
| 0,13 | 0,07 | 0,07 | 0,07 |
IkjH | 1,02 | 0,53 | 0,40 | 0,26 |
П.6.2 Вычисляют нижнюю границу ИТВАХ
IkjH, среднее значение тока коллектора
Ikj и среднеквадратичное отклонение

по
формулам (Л.7) -
(Л.9), полученные данные заносят в
таблицу П.1.
П.6.3 Строят график нижней границы ИТВАХ, т.е. зависимость
IkjH (
Uk), представленную на
рисунке П.1.
П.6.4 На участке AB ИТВАХ определяют любые значения Uk и Ik для режима УКИБ. Например, выбраны значения Uk = 20 В, Ik = 0,5 А, при этих значениях обеспечивается TПЕР = TперУКИБ = 190 °C для заданной TКОРП = 125 °C.
П.7 Расчет режима и продолжительности УКИБ и УДИБ для маломощных микросхем КМОП с нормой проектирования >= 1 мкм.
Данные из ТУ:

;
TокрТУ = 125 °C;
PРАС = 0,182 Вт;
RПЕР-ОКР = 72 град/Вт.
Режим КИБ: TокрКИБ = 125 °C, tИ = 3000 ч.
Режим ДИБ: TокрДИБ = 65 °C, tДИБ = 100000 ч.
П.7.1 Находят значения TПЕР при испытаниях микросхем в режимах ТУ:
TперКИБ = TокрКИБ + RПЕР-ОКР·PРАС = 125 + 72·0,182 = 138 °C;
TперДИБ = TокрДИБ + RПЕР-ОКР·PРАС = 65 + 72·0,182 = 78 °C.
Находят значения температуры кристалла (перехода) при ускоренных (форсированных) испытаниях микросхем при TОКР.Ф = 135 °C:
TперУКИБ = TокрУДИБ = TОКР.Ф + RПЕР-ОКР·PРАС = 135 + 72·0,182 = 148 °C.
Энергия активации при температуре перехода в диапазоне 71 °C... 150 °C составляет
Ea = 0,65 эВ (см.
таблицу 1).
П.7.2 Находят значения коэффициентов ускорения:
- коэффициент ускорения K135/125 при испытаниях УКИБ при TОКР.Ф = 135 °C по отношению к испытаниям tИ при TокрКИБ = +125 °C

;
- коэффициент ускорения
K125/65 при испытаниях КИБ при
TокрКИБ = 125 °C по отношению к испытаниям на наработку до отказа

при
TокрУДИБ = 65 °C

;
- коэффициент ускорения
K135/65 при испытаниях УДИБ при
TокрКИБ = 135 °C по отношению к испытаниям на наработку до отказа

при
TокрДИБ = 65 °C

.
П.7.3 Определяют продолжительность ускоренных испытаний микросхем УКИБ при TокрУКИБ = 135 °C:

.
Определяют продолжительность дополнительных ускоренных испытаний микросхем на наработку УДИБ при TокрУДИБ = 135 °C по окончании испытаний КИБ (tИ):

.
П.8 Расчет режима и продолжительности УКИБ и УДИБ для мощных тепловыделяющих СБИС
Данные из ТУ:

;
TокрТУ = 85 °C;
PРАС = 0,74 Вт;
RПЕР-КОРП = 46,0 град/Вт.
Режим КИБ: TокрКИБ = 85 °C, tИ = 3000 ч.
Режим ДИБ: TокрДИБ = 65 °C, tДИБ = 100000 ч.
П.8.1 Находят значения TПЕР при испытаниях микросхем в режимах ТУ:
TперКИБ = TокрКИБ + RПЕР-ОКР·PРАС = 85 + 46,0·0,074 = 119 °C;
TперДИБ = TокрДИБ + RПЕР-ОКР·PРАС = 65 + 46,0·0,74 = 99 °C.
Находят значения температуры кристалла TПЕР при ускоренных (форсированных) испытаниях микросхем при TОКР.Ф = 115 °C:
TперУКИБ = TперУДИБ = TОКР.Ф + RПЕР-ОКР·PРАС = 115 + 46·0,74 = 149 °C.
Это максимально допустимая температура окружающей среды при ускоренных испытаниях данных СБИС, т.к. температура кристалла практически достигает предельного значения +150 °C.
Энергия активации при температуре перехода в диапазоне 71 °C... 150 °C составляет
Ea = 0,65 эВ (см.
таблица 1).
П.8.2 Находят значения коэффициентов ускорения:
- коэффициент ускорения K135/125 при испытаниях УКИБ при TОКР.Ф = 115 °C по отношению к испытаниям tИ при TокрКИБ = 85 °C:

;
- коэффициент ускорения
K115/65 при испытаниях УДИБ при
TОКР.Ф = 115 °C по отношению к испытаниям на наработку до отказа

при
TокрДИБ = 65 °C:

.
П.8.3 Определяют продолжительность ускоренных испытаний микросхем УКИБ при TокрУКИБ = 135 °C:

.
Определяют продолжительность дополнительных ускоренных испытаний микросхем на наработку УДИБ при TокрУДИБ = 115 °C по окончании испытаний УКИБ:

.
П.9 Расчет режима и продолжительности УКИБ и УДИБ для маломощных микросхем КМОП с нормой проектирования 0,24 мкм. Оценка наработки микросхемы в облегченном режиме
Данные из ТУ:

;
TОКР = 85 °C; перегрев кристалла

.
Режим КИБ: TокрКИБ = 85 °C, tИ = 3000 ч.
Режим ДИБ: TокрДИБ = 65 °C, tДИБ = 100000 ч.
Режим ДИБ в облегченном режиме: TокрДИБобл = 55 °C, tДИБобл = 160000 ч.
П.9.1 Находят параметры для расчета режимов испытаний микросхем: TперКИБ, TперДИБ, TперДИБобл, TперУКИБ, TперУДИБ, Ea.
Значения TПЕР при испытаниях в режимах ТУ (в том числе в облегченных режимах) практически совпадают с соответствующими значениями TОКР.
Значения TПЕР при ускоренных испытаниях TперУКИБ = TперУДИБ = 125 °C.
Значения энергии активации выбираются из
таблицы 1 для КМОП с нормой проектирования в пределах 0,5 - 0,09 мкм:
- при TПЕР в диапазоне температур 25 °C... 70 °C - Ea1 = 0,6 эВ;
- при TПЕР в диапазоне температур 71 °C... 150 °C - Ea2 = 0,8 эВ.
П.9.2 Находят значения коэффициентов ускорения.
Значения коэффициентов ускорения при испытаниях с учетом различия значений энергии активации Ea1 и Ea2 в различных температурных диапазонах рассчитываются по следующим формулам

,

,

,

.
Коэффициент ускорения
KУДИБ =
K125/65 при ускоренных испытаниях при
TокрДИБ = 125 °C по отношению к испытаниям на наработку до отказа

при
TокрДИБ = 65 °C:
KУДИБ =
KУДИБобл =
KУДИБобл·
KТ2 = 1,35·42,5 = 57,3.
В облегченном режиме для TОКРобл = 55 °C коэффициент ускорения KУДИБобл = K125/65 при TокрУДИБ = 125 °C составляет: KУДИБобл = KУДИБобл = KТ1обл·KТ2 = 2,54·42,5 = 107,9.
П.9.3 Определяют продолжительность ускоренных испытаний микросхем УКИБ и УДИБ (в режиме ТУ и в облегченном режиме):
- определяют продолжительность ускоренных испытаний микросхем УКИБ при TокрУКИБ = 125 °C:

;
- определяют продолжительность дополнительных ускоренных испытаний на наработку УДИБ при TокрУДИБ = 125 °C для подтверждения tДИБ = 100000 ч (в режиме ТУ TокрДИБ = 65 °C) по окончании испытаний УКИБ:

;
- определяют продолжительность дополнительных ускоренных испытаний на наработку УДИБ при TокрУДИБ = 125 °C для подтверждения tДИБобл = 160000 ч (в облегченном режиме TокрУДИБ = 55 °C) по окончании ускоренных испытаний УКИБ:

.
| РД 11 0929-94 | Приборы полупроводниковые. Контроль неразрушающий. Методы диагностического контроля |
| РД 11 0682-89 | Микросхемы интегральные. Методы неразрушающего контроля диагностирующих параметров |
| РД 11 0216-85 | Приборы полупроводниковые. Методы испытаний по определению конструктивно-технологических запасов |