Главная // Актуальные документы // ГОСТ Р (Государственный стандарт)СПРАВКА
Источник публикации
М.: Стандартинформ, 2017
Примечание к документу
Документ
введен в действие с 1 июня 2017 года.
Название документа
"ГОСТ Р 57316-2016. Национальный стандарт Российской Федерации. Инновационный менеджмент. Стандартизация ключевых показателей инновационных возможностей малых и средних предприятий"
(утв. и введен в действие Приказом Росстандарта от 06.12.2016 N 1945-ст)
"ГОСТ Р 57316-2016. Национальный стандарт Российской Федерации. Инновационный менеджмент. Стандартизация ключевых показателей инновационных возможностей малых и средних предприятий"
(утв. и введен в действие Приказом Росстандарта от 06.12.2016 N 1945-ст)
Утвержден и введен в действие
агентства по техническому
регулированию и метрологии
от 6 декабря 2016 г. N 1945-ст
НАЦИОНАЛЬНЫЙ СТАНДАРТ РОССИЙСКОЙ ФЕДЕРАЦИИ
ИННОВАЦИОННЫЙ МЕНЕДЖМЕНТ
СТАНДАРТИЗАЦИЯ КЛЮЧЕВЫХ ПОКАЗАТЕЛЕЙ ИННОВАЦИОННЫХ
ВОЗМОЖНОСТЕЙ МАЛЫХ И СРЕДНИХ ПРЕДПРИЯТИЙ
Innovation management.
Standardization of an innovation capability rating for SMEs
ГОСТ Р 57316-2016
Дата введения
1 июня 2017 года
1 РАЗРАБОТАН ООО "НИИ экономики связи и информатики "Интерэкомс" (ООО "НИИ "Интерэкомс")
2 ВНЕСЕН Техническим комитетом по стандартизации ТК 100 "Стратегический и инновационный менеджмент"
3 УТВЕРЖДЕН И ВВЕДЕН В ДЕЙСТВИЕ
Приказом Федерального агентства по техническому регулированию и метрологии от 6 декабря 2016 г. N 1945-ст
4 ВВЕДЕН ВПЕРВЫЕ
Правила применения настоящего стандарта установлены в статье 26 Федерального закона от 29 июня 2015 г. N 162-ФЗ "О стандартизации в Российской Федерации". Информация об изменениях к настоящему стандарту публикуется в ежегодном (по состоянию на 1 января текущего года) информационном указателе "Национальные стандарты", а официальный текст изменений и поправок - в ежемесячном информационном указателе "Национальные стандарты". В случае пересмотра (замены) или отмены настоящего стандарта соответствующее уведомление будет опубликовано в ближайшем выпуске ежемесячного информационного указателя "Национальные стандарты". Соответствующая информация, уведомление и тексты размещаются также в информационной системе общего пользования - на официальном сайте Федерального агентства по техническому регулированию и метрологии в сети Интернет (www.gost.ru)
Инновации являются основным фактором, обеспечивающим конкурентные преимущества компании. Для компаний оценка их инновационных возможностей - это необходимый шаг при выборе вариантов дальнейшего развития с сохранением конкурентоспособности. В целом малые и средние предприятия (далее - МСП) в действительности обладают огромным потенциалом для устойчивого развития.
Однако для многих МСП большая часть инновационного потенциала остается нераскрытой. В значительной степени это происходит из-за отсутствия инновационной стратегии и неэффективности инновационного процесса, что препятствует быстрой и последовательной трансформации инновационных идей в отвечающие требованиям рынка продукты и услуги. По причине неосведомленности о своих собственных инновационных возможностях рыночные перспективы таких предприятий остаются нереализованными.
Перспективным путем развития компаний, ориентированных на инновации, является запуск процессов непрерывного отслеживания и оценки инновационных возможностей компании, а также реализации эффективной системы инновационного менеджмента. Данный процесс характеризуется непрерывностью и наличием сравнительного анализа с другими видами/направлениями бизнеса с целью расширения инновационных возможностей.
Для повышения инновационных возможностей и внедрения эффективной системы инновационного менеджмента обязательным условием является способность организации выделять финансирование на инновационные проекты. Очень часто МСП демонстрируют низкий коэффициент финансовой независимости, что осложняет финансирование инноваций из собственных средств. Поэтому в большинстве случаев для данных предприятий неизбежным является использование внешнего капитала. В настоящее время не все предприятия применяют рейтинговую систему оценки инновационных возможностей и оценки эффективности системы инновационного менеджмента. В дальнейшем подобная рейтинговая система оценки смогла бы стать связующим звеном как внутри самой компании, так и с третьими сторонами (например, с заказчиками) и могла бы предоставить возможность предприятиям развивать будущие инновации, а также обеспечивать повышенную прозрачность сильных и слабых сторон предприятия и его потенциала для устойчивого развития инновационной деятельности.
Настоящий стандарт определяет систематический и последовательный метод для оценки возможностей и деятельности МСП в части осуществления процессов инновационного менеджмента.
Настоящий стандарт акцентирует внимание на самооценке, основанной на комплексном подходе к инновационным возможностям и функционированию системы инновационного менеджмента. Для удовлетворения потребностей и соответствия всем уровням зрелости МСП настоящий стандарт разделен на две части, содержащие взаимодополняющие методологии оценки инновационных возможностей и оценки эффективности системы инновационного менеджмента (рисунок 1).
Рисунок 1 - Взаимодополняющие методологии оценки
инновационных возможностей и оценки эффективности
системы инновационного менеджмента
Основанием для оценки инновационных возможностей в первую очередь являются факторы, относящиеся к процессу производства и позволяющие предприятию осуществлять инновационную деятельность. В дальнейшем инновационные возможности следует оценивать именно по наличию этих факторов и не требовать оценки других аспектов производственных возможностей организации, таких как возможности отдельных лиц (индивидуумов) или объемы инвестиций в научно-исследовательские и опытно-конструкторские работы (R&D). Оценка эффективности системы инновационного менеджмента акцентируется на результативности и эффективности осуществляемой деятельности в области инновационного менеджмента. Если существует возможность проведения сравнительного анализа (бенчмаркинга), то деятельность в области инновационного менеджмента может быть скоррелирована с ростом прибыли.
В моделях, представленных в настоящем стандарте, рассматриваются наиболее важные и существенные факторы в рамках всего инновационного процесса. Показатели (индикаторы) факторов успеха дают необходимую информацию о сильных и слабых сторонах деятельности МСП. Обе модели опробованы на практике.
Преимущества использования оценки инновационных возможностей МСП заключаются:
- в представлении инновационных возможностей в виде агрегированных балльных оценок;
- заранее определенном наборе наиболее существенных факторов и показателей успеха, которые оказывают наибольшее влияние на инновационные возможности;
- сравнении инновационных возможностей с помощью специальной системы расчетов и заранее определенного набора показателей - рассчитанная балльность одного предприятия может быть сопоставлена с результатами расчета других предприятий;
- прозрачности сильных и слабых сторон инновационных возможностей, основанной на иерархической модели показателей, факторах успеха и девяти областях проектирования. Изменения нескольких показателей (балльных оценок) за определенный период времени дают информацию об общем росте инновационных возможностей как для всей компании, так и для конкретных сфер ее деятельности;
- наличии усовершенствованной системы внутренних коммуникаций и возможности использования результатов взаимодействия с третьими сторонами, такими как заказчики, партнеры, инвесторы или средства массовой информации;
- сравнительном анализе (бенчмаркинге) с внутренними контрольными показателями (контрольными точками) или с контрольными показателями других компаний (если такие данные доступны).
Преимущества использования оценки эффективности системы инновационного менеджмента МСП заключаются:
- в возможности детализированной оценки эффективности системы инновационного менеджмента;
- прозрачности сильных и слабых сторон системы инновационного менеджмента, основанной на целостной концепции инновационного менеджмента с использованием его пяти ключевых аспектов;
- углубленном изучении факторов и показателей (индикаторов) успеха, которые оказывают существенное влияние на эффективность системы инновационного менеджмента и на весь бизнес в целом;
- наличии систематизированной и комплексной (на уровне требований) системы расчетов и заранее определенном наборе количественных показателей, обеспечивающих точность данных;
- наличии усовершенствованной системы коммуникаций с третьими сторонами, такими как заказчики, партнеры, инвесторы или средства массовой информации, поскольку детализированные результаты позволяют демонстрировать эффективность системы инновационного менеджмента высшего уровня и потенциал устойчивого инновационного развития;
- возможности проведения сравнительного анализа (бенчмаркинга) с внутренними контрольными показателями компании за определенный прошедший период времени или с контрольными показателями других компаний в конкретный момент времени (если такие данные доступны). Описательная оценка деятельности предприятия при сравнении с другими компаниями дает ясную картину уровня его конкурентоспособности.
Методы измерения и сравнительного анализа (бенчмаркинга) инновационных возможностей и деятельности предприятия, как и связанных с ними основополагающих факторов и показателей (индикаторов) успеха, предназначены для МСП с численностью персонала не более 500 человек, которые заняты в сфере производства продукции и/или оказания услуг. Они применимы практически для всех отраслей промышленности. Малые и средние предприятия, нуждающиеся в прозрачности их инновационных и производственных возможностей, могут использовать указанные методы самостоятельно.
Для демонстрации инновационных и производственных возможностей, как на внутренних, так и на внешних рынках, могут использоваться основанные на стандартизированном подсчете балльные оценки (система показателей), например, кредиторами при оценке возможности выдачи кредита заказчику либо заказчиком для обоснования целесообразности выдачи ему кредита кредиторами.
В настоящем стандарте применены следующие термины с соответствующими определениями.
2.1 класс бенчмаркинга (benchmarking class): Образцовая модель (эталон сравнения) для составления сравнительной характеристики предприятия.
2.2 бизнес-модель (business model): Бизнес-модель описывает, каким образом предприятие развивается, реализует и поставляет произведенные ценности своим заказчикам.
Примечания
1 Описание деятельности предприятия как сложной системы с заданной точностью, в рамках которой отображаются все объекты (сущности), процессы, правила выполнения операций, существующая стратегия развития, а также критерии оценки эффективности функционирования системы.
2 Существует три основных сферы/направления, в которых бизнес-модель может способствовать инновациям: предложение ценности (товара) - что именно продается; как осуществляется производство и продажа, а также потенциальный потребитель - для кого поставляется.
2.3 эффективность (результатов) бизнеса (business performance): Уровень (показатель) успешности бизнеса в части дохода от продаж, операционной маржи, а также в отношении эффективности и результативности организации.
2.4 компетентность и знания (competence and knowledge): Знания являются неотъемлемой частью профессионализма и навыков, которые человек использует для решения проблем. Знания основываются на данных и информации, но помимо этого привязаны к конкретному человеку. Компетентность проявляется в способности человека использовать имеющиеся знания, навыки и опыт.
2.5 аспекты (составляющие) инновационного менеджмента (dimension of innovation management): Набор факторов и показателей успеха в рамках единой концепции инновационного менеджмента.
Примечание - Существует пять ключевых аспектов, которые реализуются в рамках единой и согласованной концепции инновационного менеджмента: инновационная стратегия, инновационная организация и культура, процессы жизненного цикла инноваций, обеспечивающие факторы и инновационные результаты. Все рассмотренные составляющие инновационного менеджмента взаимосвязаны.
2.6 обеспечивающие (способствующие) факторы; факторы, способствующие инновациям (enabling factors): Множество разнообразных факторов, например информационные технологии, проектный менеджмент, менеджмент интеллектуальной собственности или человеческих ресурсов и т.д.
Примечание - Любые средства, которые могут положительным образом воздействовать на бизнес за счет инновационной деятельности.
2.7 область проектирования (field of design): Факторы и показатели (индикаторы) успеха, включающие в себя такие базисные компоненты, как инновационная культура, стратегия, компетентность и знания, технологии, продукция и услуги, процесс, структура и сетевая модель, рынки, проектный менеджмент.
2.8 незначительные (поэтапные) инновации (incremental innovations): Незначительное улучшение (частичное усовершенствование) существующих услуг, продукции, процессов, организаций и бизнес-моделей.
Примечание - Часто это является просто тренировкой при решении проблем, где цель ясна, а вот средства ее достижения требуют дополнительной проработки. Обычно проекты с использованием незначительных инноваций имеют относительно низкую степень неопределенности и сложности, а соответственно и невысокий уровень риска.
2.9 показатель; индикатор (indicator): Важный и поддающийся измерению критерий, формирующий представление о текущем состоянии каждого фактора успеха.
2.10 инновация (innovation): Внедрение нового или существенно улучшенного продукта (товара, услуги), процесса, нового метода маркетинга или нового организационного метода ведения бизнеса, организации рабочего места или внешних взаимодействий.
Примечание - Инновация является удобным способом решения проблем посредством использования нового подхода. Она может относиться к новым или модернизированным продуктам, услугам, методам, рынкам, формам организации и т.д. Она включает в себя целиком весь процесс от идеи как таковой, далее через разработку и изготовление, до выпуска на рынок и реализации.
2.11 инновационные возможности (innovation capability): Совокупность организационных возможностей, задействованных в рассматриваемой системе инновационного менеджмента для обеспечения ее практической реализации.
Примечание - В качестве примеров инновационных возможностей можно привести профессиональный технологический уровень, средства стратегического прогнозирования, доступ к финансированию, производственные функции и технологические процессы, способствующие достижению ощутимого инновационного результата, компетентность опытных сотрудников, способствующую достижению инновационной цели.
2.12 балльность инновационных возможностей (innovation capability score): Количественное выражение (оценка), отражающее инновационные возможности. Балльность демонстрирует уровень удовлетворенности для каждой части системы инновационного менеджмента и инновационного процесса в целом.
2.13 инновационная культура (innovation culture): Поведение, нравственные нормы, привычки, ценности, предпочтения, социальные и производственные ориентиры, являющиеся драйверами инновации на предприятии.
Примечание - Инновационная культура включает в себя нормативы, балльность инновационных возможностей и стандарты поведения, которые существуют на предприятии и оказывают позитивное либо негативное воздействие на рабочую атмосферу, генерирование идей, мотивацию, коммуникации, открытость для новых рискованных начинаний, доверие и инновационную деятельность.
2.14 процессы жизненного цикла инноваций (innovation life cycle processes): Интеграция и менеджмент процессов жизненного цикла инноваций, которые включают в себя управление идеями, разработку моделей продукта/процесса/услуги и бизнес-модели, запуск в производство и непрерывное совершенствование.
2.15 инновационная организация и инновационная культура (innovation organisation and culture): Инновационная организация и инновационная культура связывают между собой все функции, которые способствуют успешным инновациям с целью реализации инновационной стратегии и обеспечения неразрывного процесса инновационного менеджмента.
Примечание - Неразрывный инновационный процесс также объединяет в организационные структуры внешних партнеров, таких, как заказчики, поставщики, R&D-провайдеры и т.п. Инновационная культура полностью встраивает инновации в нормы и ценности корпоративной культуры, акцентируя внимание на непрерывности инновационного потока. Она уравновешивает свободу инноваций с задачей получения прибыли.
2.16 инновационный процесс (innovation process): Последовательность шагов/действий (с определенными входными и выходными ресурсами), позволяющих создавать, выбирать и превращать идеи в новые продукты, услуги, процессы, организационные модели и бизнес-модели.
2.17 инновационный рейтинг (innovation rating): Метод измерения и оценки возможностей предприятия осуществлять будущие инновации. Способность предприятия к инновациям определяется балльностью инновационных возможностей или уровнем производительности, достигнутым компанией с помощью инновационного менеджмента.
2.18 инновационная стратегия (innovation strategy): План мероприятий по формированию процесса перехода организации на новый технологический уровень в результате внедрения инновации.
Примечания
1 Выбранный инновационный путь с целью достижения коммерческих и инновационных целей с указанием необходимых входных ресурсов.
2 Инновационная стратегия определяет наиболее перспективные области деятельности, где МСП смогут достичь наибольшего уровня доходов благодаря использованию новых или уже имеющихся продуктов/услуг/процессов или бизнес-моделей на существующих или новых рынках.
2.19 рынок (market): Рынок состоит из одного или более заказчиков либо групп заказчиков, которые могут быть как локально сконцентрированы, так и сильно рассредоточены. Рынок имеет дело с продуктами/услугами или бизнес-моделями.
2.20 организационные инновации (organizational innovation): Изменения в рамках организационной структуры компании, включающие в себя, например, переход от функциональной организации к проектно-ориентированной организации, а также организационные изменения в части интеграции с внешними партнерами в альянсы (союзы, объединения) и сетевые структуры.
2.21 процесс (process): Совокупность взаимосвязанных или взаимодействующих видов деятельности, преобразующая входные данные в результаты.
2.22 процессные инновации (process innovations): Изменения в ключевых (базовых) процессах компании.
Примечание - Чаще всего это происходит из-за внесенных изменений в используемые компанией производственные технологии. Обычно эти процессы незаметны для потребителя, но зато жизненно важны для повышения конкурентоспособности продукции или услуг.
2.23 продукция и услуги (product and service): Результаты (выходы) процессов.
2.24 проектный менеджмент (project management): Планирование, организация, контроль трудовых, финансовых и материально-технических ресурсов проекта, направленные на эффективное достижение целей проекта.
2.25 радикальные инновации (radical innovations): Качественные изменения имеющейся технологии, создающие что-то совершенно новое.
Примечания
1 Часто приводят к замене имеющейся технологии (метода) на новую технологию (например, Интернет).
2 В результате радикальных инноваций появляются абсолютно новые продукты, услуги, процессы, организации или бизнес-модели. Радикальные инновации направлены на реализацию все еще нерешенных проблем создания существенных материальных ценностей для заказчика. Обычно проекты радикальных инноваций имеют высокую степень неопределенности и сложности, а следовательно, и степень риска, но зато приносят существенную выгоду для бизнеса.
2.26 стратегия (strategy): Среднесрочные и долгосрочные целевые установки предприятия.
Примечание - В данном случае - в части инноваций, а также в части идентификации конкретных действий предприятия для достижения намеченной цели.
2.27 структура и сетевая структура (модель) (structure and network): Структура является совокупностью взаимосвязей между участвующими сторонами в компании, за пределами предприятия и между предприятиями.
Примечание - Сетевая структура является организационной формой экономической деятельности, которая нацелена на реализацию конкурентных преимуществ. Она характеризуется комплексно-обоюдными и более скоординированными взаимоотношениями, чем конкурентные и относительно стабильные взаимоотношения между юридически независимыми предприятиями.
2.28 факторы успеха (success factors): Факторы инновационного процесса, управляемые самим предприятием и вносящие существенный вклад в успешную организацию нового производства.
2.29 технология (technology): Использование продуктов или систем с применением специальных устройств или процедур.
2.30 время вывода нового продукта/услуги на рынок (time-to-market): Время от момента создания идеи до выхода продукта/услуги или бизнес-модели на рынок.
2.31 время до получения дохода от нового изделия/услуги (time-to-profit): Время от момента формирования идеи до начала ее самоокупаемости, когда продукт, услуга или бизнес-модель начинают приносить прибыль.
Примечание - Момент самоокупаемости является тем моментом, с которого совокупный доход равен понесенным совокупным затратам на реализацию инноваций.
3 Оценка инновационных возможностей предприятия
Настоящий стандарт содержит две взаимодополняющие методологии для оценки инновационных возможностей предприятия с учетом различных потребностей и уровней зрелости МСП.
Оценка инновационных возможностей (см.
3.2) основывается преимущественно на комплексной, но простой для применения методологии, в соответствии с которой осуществляется расчет значений в баллах инновационных возможностей. При необходимости получения более детальных результатов осуществляется более точный расчет с детализацией системы показателей и разделением на подпоказатели. Метод обеспечивает основу для сравнения инновационных возможностей предприятия в различные моменты времени, а также с другими предприятиями. При применении данной методологии МСП получают общее представление о своих инновационных возможностях, а также о сильных и слабых сторонах своей инновационной деятельности. Данный метод предлагается в основном начинающим предпринимателям с целью помочь им идентифицировать потенциал для совершенствования и развития их инновационной системы менеджмента.
Оценка эффективности системы инновационного менеджмента (см.
3.3) является всесторонним и ориентированным на результат подходом, связывающим деятельность в области инновационного менеджмента с ведением бизнеса и обеспечивающим основу для возможности сравнения с другими предприятиями в конкретный момент времени. Данный подход ориентируется на реализацию и результаты инновационного менеджмента. Он дает полную картину уровня конкурентоспособности для его сравнения, например, с компаниями с наибольшим ростом доходности.
Далее представлены характеристики для оценки инновационных возможностей и инновационной деятельности организации.
3.2 Оценка инновационных возможностей
3.2.1 Общие положения
Для оценки возможностей создания предприятиями в будущем стабильного инновационного потока необходимо интегрировать все важные области инновационного менеджмента. Важнейшие девять областей проектирования, влияющие на инновационные возможности, приведены на рисунке 2: инновационная культура, стратегия, компетентность и знания, технология, продукция и услуги, процесс, структура и сетевая модель, рынок, проектный менеджмент.
Рисунок 2 - Девять направлений проектирования
Заключение по общим инновационным возможностям и по направлениям проектирования может быть получено путем сравнения факторов успеха. Для инноваций можно спрогнозировать и спланировать факторы успеха в самой компании с тем, чтобы адекватно оценить их существенный вклад в успех предприятия.
В значительной степени потенциал развития МСП может реализоваться в следующих областях:
- высокое качество выполнения сотрудниками своих обязательств и их собственная инициатива;
- быстрые и легкие пути принятия решений и реализации инновационных проектов;
- высокая степень осведомленности о конкурентной среде, действующих игроках и рыночных правилах;
- учет ошибок в инновационных проектах как возможность получения знаний.
Важными факторами успеха считаются:
- использование наилучших практик менеджмента для организации нового производства;
- интегрирование идей и предложений сотрудников;
- высокая степень вовлеченности сотрудников в процесс и их собственная инициатива;
- высокая степень осведомленности о конкурентной среде;
- отлаженный процесс принятия решений.
Для идентификации фактора успеха необходимо определить характеристики соответствующих показателей. Для быстрой и простой идентификации требуется проведение оценивания того, подходит ли данный показатель полностью, по большей части, частично или не подходит совсем. Таким образом, можно идентифицировать характеристики и присвоить соответствующее значение с помощью балльной оценки. Оценка типа "подходит полностью" предполагает высокую инновационную возможность для данного фактора успеха. Показатели с оценкой "не подходит совсем" обладают большим потенциалом для возможностей роста и совершенствования (см. рисунок 3). Путем отбора и оценки многочисленных показателей инновационные возможности поддаются расчету по одной или нескольким областям, исходя из их инновационного рейтинга.
Рисунок 3 - Демонстрация взаимосвязей областей
проектирования, факторов и показателей
(индикаторов) успеха с помощью трех примеров
Измерение и оценка возможностей МСП могут быть получены поэтапно. Прежде всего, характеристики 37 показателей оцениваются с помощью опросного листа. На втором этапе ответам ставятся балльные оценки для того, чтобы рассчитать балльную оценку для каждой из девяти областей проектирования, а также интегральную балльную оценку по всем областям на третьем этапе. После этого полученные результаты позволяют вывести общую оценку: она дает возможность проанализировать сильные и слабые стороны с целью идентификации наиболее перспективных областей проектирования и факторов успеха, а также тех областей, где требуется улучшение.
3.2.2 Опросный лист
Далее приведены 37 показателей, характеризующих инновационную деятельность организации и сформулированных в виде опросного листа, по которым предприятия должны ответить: "соответствует полностью", "в основном", "частично" или "совсем не соответствует". Для дальнейших вычислений, а также для обеспечения возможности сопоставления результатов необходимо, чтобы по всем показателям были даны ответы.
I1 | На нашем предприятии есть необходимое количество людей, которые активно поддерживают, поощряют и продвигают инновации | Нет | Да, частично | Да, в основном | Да, полностью |
I2 | Люди, которые активно поддерживают, поощряют и продвигают инновации, рассредоточены по всем иерархическим уровням | Нет | Да, частично | Да, в основном | Да, полностью |
I3 | Готовность органов управления и в особенности руководящего состава к участию в организации нового производства очень высока (например, освоение новых рынков или технологий) | Нет | Да, частично | Да, в основном | Да, полностью |
I4 | Финансовые, технические, юридические и организационные риски инновационных проектов систематически контролируются с использованием соответствующих методов и инструментария. Например, анализ рисков или портфеля проектов осуществляется с помощью методики SWOT (сильные стороны, слабые стороны, возможности и угрозы) | Нет | Да, частично | Да, в основном | Да, полностью |
I5 | При необходимости мы создаем индивидуальные условия труда для наших сотрудников (например, перевод на гибкий график работы или на другое рабочее место) | Нет | Да, частично | Да, в основном | Да, полностью |
I6 | При необходимости оценка результатов трудовой деятельности наших сотрудников проводится строго индивидуально, например посредством целевого соглашения | Нет | Да, частично | Да, в основном | Да, полностью |
I7 | Сотрудники могут свободно высказывать свои идеи или генерировать предложения (например, посредством системы производственного рационализаторства) | Нет | Да, частично | Да, в основном | Да, полностью |
I8 | На предприятии инновационные проекты характеризуются быстрым, эффективным и гибким процессом принятия решений | нет | Да, частично | Да, в основном | Да, полностью |
I9 | Инновационные идеи сотрудников поддерживаются финансовыми (например, бонусы, владение акциями), а также нефинансовыми (например, награды, обучение без отрыва от производства) средствами поощрения | Нет | Да, частично | Да, в основном | Да, полностью |
I10 | Среди сотрудников уровень взаимодействия и индивидуальные инициативы находятся на уровне выше среднего | Нет | Да, частично | Да, в основном | Да, полностью |
I11 | Бюджет по инновационным проектам не финансируется непосредственно заказчиками | Нет | Да, частично | Да, в основном | Да, полностью |
I12 | Инновационные проекты основываются на общей бизнес-стратегии организации | Нет | Да, частично | Да, в основном | Да, полностью |
I13 | Сотрудники, участвующие в инновационных проектах, обладают необходимой профессиональной и социальной квалификацией (например, знаниями в области технологий, способностью к общению или работе в группах) | Нет | Да, частично | Да, в основном | Да, полностью |
I14 | Сотрудники систематически повышают свою профессиональную и социальную квалификацию | Нет | Да, частично | Да, в основном | Да, полностью |
I15 | Наличие способности собрать вместе сотрудников с разным опытом в одну команду для реализации инновационного проекта | Нет | Да, частично | Да, в основном | Да, полностью |
I16 | При реализации инновационных проектов мы можем прибегнуть к помощи тех бизнес-партнеров, которые соответствуют конкретным требованиям новых проектов | Нет | Да, частично | Да, в основном | Да, полностью |
I17 | Постоянное развитие связей с внешними НИОКР с целью поддержания уровня современных требований в части важнейших разработок в области науки и техники | Нет | Да, частично | Да, в основном | Да, полностью |
I18 | Постоянное взаимодействие с заказчиками, поставщиками и другими предприятиями, ассоциациями и организациями, чтобы заблаговременно прогнозировать будущие потребности рынка | Нет | Да, частично | Да, в основном | Да, полностью |
I19 | Для более быстрого достижения требований рынка в будущем заказчики полностью вовлекаются в существующий процесс производства продукции | Нет | Да, частично | Да, в основном | Да, полностью |
I20 | Обратная связь с заказчиками (например, в форме рекламаций или предложений) не только принимается во внимание, но также подвергается систематическому критическому рассмотрению и обсуждению с целью принятия соответствующих мер | Нет | Да, частично | Да, в основном | Да, полностью |
I21 | Информированность о состоянии конкуренции, действующих лицах, правилах игры на рынке (например, об изменениях в законодательстве/стандартизации) | Нет | Да, частично | Да, в основном | Да, полностью |
I22 | Точное заблаговременное определение цели и задачи (например, в бизнес-плане) инновационных проектов | Нет | Да, частично | Да, в основном | Да, полностью |
I23 | Передаваемая для инновационных проектов информация является исключительно открытой, прозрачной и честной в рамках компании | Нет | Да, частично | Да, в основном | Да, полностью |
I24 | Ошибки в инновационных проектах - это шанс для систематического обучения и совершенствования (например, пересмотр проектов или полученные уроки) | Нет | Да, частично | Да, в основном | Да, полностью |
I25 | Учет интересов всех составляющих бизнеса, например финансов, продаж и маркетинга, на самых ранних стадиях инновационных проектов | Нет | Да, частично | Да, в основном | Да, полностью |
I26 | Использование технологий считается, по мнению сторонних экспертов, устойчивым | Нет | Да, частично | Да, в основном | Да, полностью |
I27 | Инновационные проекты почти всегда осуществляются в пределах запланированного времени и бюджета | Нет | Да, частично | Да, в основном | Да, полностью |
I28 | При оценке и отборе потенциальных идей, предполагаемых для воплощения в конкретных проектах, используются только точно выверенные критерии | Нет | Да, частично | Да, в основном | Да, полностью |
I29 | Участники рабочих групп в инновационных проектах относятся друг к другу с доверием и уважением | Нет | Да, частично | Да, в основном | Да, полностью |
I30 | Наше инновационное видение основывается на принципах компании и всегда учитывается при принятии стратегических решений | Нет | Да, частично | Да, в основном | Да, полностью |
I31 | Инновационные проекты осуществляются в соответствии с документально утвержденным инновационным процессом, который включает в себя все виды деятельности | Нет | Да, частично | Да, в основном | Да, полностью |
I32 | В инновационных проектах генерируемые идеи анализируются и оцениваются по четко определенным критериям | Нет | Да, частично | Да, в основном | Да, полностью |
I33 | С помощью инноваций (например, с помощью новой продукции или новых бизнес-моделей) компания увеличивает свою долю на рынке, опережая конкурентов | Нет | Да, частично | Да, в основном | Да, полностью |
I34 | В качестве неотъемлемой части инновационного процесса инновации проходят проверку на внутреннем и внешнем рынках на самой ранней стадии | Нет | Да, частично | Да, в основном | Да, полностью |
I35 | В качестве неотъемлемой части инновационного процесса поиск рыночно-ориентированных каналов распределения продукции осуществляется на самой ранней стадии | Нет | Да, частично | Да, в основном | Да, полностью |
I36 | Учет требований к диверсификации продукции в процессе ее разработки и создание номенклатуры продукции, отвечающей таким требованиям | Нет | Да, частично | Да, в основном | Да, полностью |
I37 | Инновационные проекты непрерывно оцениваются и контролируются по четко определенным критериям | Нет | Да, частично | Да, в основном | Да, полностью |
3.2.3 Подведение итогов и кодирование результатов
После получения ответов по всем показателям на следующем этапе эти ответы кодируются с использованием четырехступенчатой шкалы Лайкерта (Likert-Scale), чтобы иметь возможность перевести характеристики показателей в балльные оценки. Распределение балльных оценок представлено на рисунке 4. Все 37 показателей переводятся аналогичным образом.
Рисунок 4 - Кодирование ответов
3.2.4 Расчет балльности инновационных возможностей
На третьем этапе на основе ранее закодированных значений балльности получают среднее значение. Это значение представляет собой инновационные возможности по всему инновационному процессу и в конкретной области проектирования в виде балльной оценки.
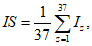
Вначале рассчитывается балльность по всем областям проектирования путем определения среднего значения всех 37 показателей. Для этого используется следующая формула:

(1)
где IS - балльность инновационных возможностей;
I - значение показателя; I = {1, 2, 3, 4}; z = {1, ..., 37}.
Формула (1): расчет общей балльности инновационных возможностей по всем областям проектирования
Затем рассчитывается балльность для каждой области проектирования путем определения среднего значения балльностей всех показателей соответствующей области проектирования.

(2)
где
d - инновационная культура, стратегия, компетентность и знания, технология, продукция и услуги, процесс, структура и сетевая модель (структура), рынок, проектный менеджмент

;
Gd - область проектирования d;
ISd - балльность инновационных возможностей области проектирования Gd;
Gинновационной культуры = {I1, I2, I3, I4, I5, I6, I7, I8, I9, I10, I11, I23, I24, I29};
Gстратегии = {I11, I12, I14, I28, I30, I34, I37};
Gкомпетентности и знания = {I7, I9, I13, I14, I15, I20, I24, I25, I32};
Gтехнологии = {I17, I26};
Gпродукции и услуги = {I19, I20, I26, I33, I36};
Gпроцесса = {I4, I27, I31, I32};
Gструктуры и сетевой модели (структуры) = {I2, I15, I16, I17, I18, I19, I25};
Gрынка = {I18, I19, I20, I21, I33, I34, I35, I36};
Gпроектного менеджмента = {I4, I8, I22, I24, I27, I28, I37};
|...| - кардинальное число, количество элементов конечного множества.
Формула (2): расчет балльности инновационных возможностей (ISd) для каждой области проектирования
Пример использования
формулы (2) можно найти в
формуле (3). Для области проектирования "Процесс" заданы четыре показателя. Величина балльности всех заданных показателей, поделенная на количество показателей (в данном случае это четыре), имеет своим результатом балльность инновационных возможностей для области проектирования "Процесс".
Gпроцесса = {I4, I27, I31, I32}|Gпроцесса| = 4
имеет своим результатом

(3)
GProcess = Gпроцесса; x ISProcess = ISпроцесса
Формула (3): пример расчета балльности инновационных возможностей для области проектирования "Процесс"
Следует учитывать, что отдельные показатели могут относиться к нескольким областям проектирования. Поэтому IS обычно нельзя рассчитать из средней балльности всех ISd.
3.2.5 Оценка результатов
На основании ранее рассчитанных значений балльности можно оценить инновационные возможности предприятия. Процесс оценки описан ниже и проиллюстрирован
рисунком 5.
Рисунок 5 - Процесс оценки инновационных возможностей
При рассмотрении балльности инновационных возможностей могут возникнуть два разных варианта: балльность равна 4,0 или меньше 4,0. В первом случае была достигнута максимальная балльность, и поэтому рассматриваемая компания будет привлекательной для внедрения инноваций. Во втором случае инновационный потенциал в рассматриваемой компании пока еще полностью не использован - необходимо совершенствование. Инновационный потенциал, который заложен в каждой области проектирования, может быть идентифицирован путем расчета балльности для каждой из них.
При расчете значений балльности всех конкретных областей опять возникают два вышеупомянутых варианта. Если балльность равна 4,0, то, имея максимальную балльность в конкретной области проектирования, рассматриваемая компания является привлекательной для внедрения инноваций именно в этой области. Если балльность меньше 4,0, то в данной конкретной области имеется незначительный потенциал для модернизации. Он может быть идентифицирован с помощью показателей этой области проектирования.
Рассмотрение всех конкретных показателей области проектирования осуществляется таким же образом, как и исследование балльности. Балльность со значением 4,0 указывает на достижение ее максимального значения, и компания на основании этого индикатора является высокопривлекательной для внедрения инноваций. Если балльность индикатора ниже 4,0, то имеется потенциал для совершенствования. Для этого случая существуют соответствующие методы повышения инновационных возможностей компании.
Процедура оценки инновационных возможностей должна регулярно повторяться с целью обеспечения постоянного анализа развития инновационных возможностей предприятия через определенные промежутки времени.
3.3 Оценка эффективности системы инновационного менеджмента
3.3.1 Общие положения
С целью поддержания устойчивого развития системы инновационного менеджмента на МСП рекомендуется применять комплексную методологию, которая описана далее в настоящем стандарте. Преимущества данной методологии заключаются в том, что она обеспечивает всесторонний и детальный анализ сильных и слабых сторон инновационной стратегии МСП, инновационной культуры, процессов жизненного цикла инноваций и способствующих инновациям факторов. Результаты этой оценки можно использовать для определения и осуществления мер по совершенствованию системы инновационного менеджмента организации.
3.3.2 Характеристики методологии
Целью рассматриваемой методологии является усиление бизнес-эффекта на деятельность предприятия со стороны инновационного менеджмента. Данная методология строится на следующих принципах:
3.3.2.1 Целостное и детальное диагностическое исследование (проектирование)
Концептуальной основой данной методологии является целостное и логически обоснованное обеспечение базиса для возможности детального и глубокого анализа инновационного менеджмента. Концептуальная основа содержит пять элементов: инновационную стратегию, инновационную организацию и культуру, процессы жизненного цикла инноваций, способствующие факторы и инновационные результаты (см. рисунок 6).
Рисунок 6 - Концептуальная основа оценки
эффективности системы инновационного менеджмента
Помимо целостной области применения и логически обоснованной модели диагностическое исследование (проектирование) включает в себя проведение детальной количественной оценки. Диагностическое исследование (проектирование) включает в себя большое количество ориентированных на результат показателей и предполагает высокую достоверность собранных данных.
3.3.2.2 Связь инновационной деятельности с бизнесом
Для установления связи между инновациями и бизнес-деятельностью в оценку включены конкретные показатели, характеризующие финансовое влияние инновационного менеджмента. Данные показатели обеспечивают более глубокое понимание того, насколько инновационный менеджмент влияет на деятельность МСП.
3.3.3 Реализация метода
3.3.3.1 Общие положения
Указанная комплексная методология реализуется следующим образом.
На первом этапе заполняется опросный лист и собирается метаинформация. На втором этапе ответы кодируются. И на третьем для каждого вопроса рассчитываются значения показателей в баллах (по выбору).
Если доступна база данных, то должен быть проведен сравнительный анализ (бенчмаркинг) (см.
3.3). На основе сравнительного анализа могут быть разработаны рекомендации: первоначально выбирается класс бенчмаркинга, а в том случае, когда доступна внешняя база данных, определяются критерии сравнительного анализа (контрольные показатели). После расчета контрольных показателей проводится сравнение с балльными оценками предприятия, интерпретируются результаты, определяются сильные и слабые стороны и выдаются требуемые заказчиком рекомендации.
3.3.3.2 Заполнение опросного листа и оценка ответов
3.3.3.2.1 Общие положения
Подробный опросный лист оформляется следующим образом. Вопросы могут быть распределены по соответствующим направлениям следующим образом.
Раздел | Вопросы |
Инновационная стратегия | |
Инновационная организация и культура | |
Процессы жизненного цикла инноваций | |
Способствующие (обеспечивающие) факторы | |
Инновационные результаты | |
Пользователю рекомендуется заполнить весь опросный лист. Однако значения могут оцениваться индивидуально.
Для каждого вопроса есть пояснения, как осуществлять кодирование ответов и как можно рассчитать агрегированные значения показателей для каждого вопроса (по выбору). При необходимости для каждого вопроса может быть рассчитана общая балльность.
3.3.3.2.2 Вопрос 1: инновационное видение (инновационная стратегия)
Имеет ли компания четкое видение будущих перспектив? Если да, то какие имеются характерные признаки? Можно выбрать более одного ответа.

Видение тщательно задокументировано и доступно для персонала

Видение четко привязано к инновациям

Видение однозначно воспринимается заказчиками и поставщиками

Видение однозначно воспринимается партнерами по инновациям

Четкое видение будущих перспектив отсутствует
Кодирование ответов: если какая-либо позиция выбрана, ей присваивается значение 1. Если позиция не выбрана, ей присваивается значение "0". Если выбран вариант ответа "Четкое видение будущих перспектив отсутствует", всему вопросу присваивается балльная оценка "0".
Расчет общей балльной оценки по данному вопросу: балльная оценка является суммой всех выбранных позиций.
3.3.3.2.3 Вопрос 2: характеристики инновационной стратегии (инновационная стратегия)
Имеет ли компания инновационную стратегию? Если да, то какие имеются характерные признаки? Можно выбрать более одного ответа.

Стратегия получена на основе анализа потенциальных сфер бизнеса будущей инновационной деятельности

Стратегия устанавливает четкие цели в области инновационного менеджмента

Стратегия является руководством по управлению идеями в организации

Стратегия устанавливает четкие цели проектного менеджмента для каждого инновационного проекта

Стратегия является руководством для совершенствования текущих и разработки новых продуктов/услуг или процессов

Стратегия обеспечивает базис для организационных изменений и совершенствования бизнес-модели

Стратегия концентрирует внимание на развитии инновационных возможностей

Инновационная стратегия отсутствует
Кодирование ответов: если какая-либо позиция выбрана, ей присваивается значение 1. Если позиция не выбрана, ей присваивается значение "0". Если выбран вариант ответа "Инновационная стратегия отсутствует", всему вопросу присваивается балльная оценка "0".
Расчет общей балльной оценки по данному вопросу: балльная оценка является суммой всех выбранных позиций.
3.3.3.2.4 Вопрос 3: распространение инновационной стратегии (инновационная стратегия)
До какой степени инновационная стратегия компании адекватно воспринимается и максимально реализуется на различных иерархических уровнях организации?
| Высшее руководство | Уровень ниже высшего руководства | Сотрудники | Другие (укажите кто) |
Связана с соответствующим иерархическим уровнем | | | | |
Полностью воспринимается на соответствующем иерархическом уровне | | | | |
Применяется на соответствующем иерархическом уровне | | | | |
Иерархический уровень отсутствует | | | | |

Инновационная стратегия отсутствует
Кодирование ответов: каждой ячейке в матрице присваивается значение от 1 до 7.
Расчет общей балльной оценки по данному вопросу: значение рассчитывается для каждой строки. Это средний показатель всех значений соответствующей строки. Общая балльная оценка по данному вопросу - среднее значение всех балльных оценок строки. Если компания выбирает "Инновационная стратегия отсутствует", то всему вопросу присваивается значение "0". Если компания выбирает "Иерархический уровень отсутствует", то этот иерархический уровень не учитывается при расчете среднего значения балльных оценок строки.
3.3.3.2.5 Вопрос 4: инновационные проекты (инновационная стратегия)
Оценивает ли систематически компания все инновационные проекты? Если да, то до какой степени указанные признаки применимы к инновационным проектам компании?
| 1 (неприменимо) | 2 | 3 | 4 | 5 | 6 | 7 (применимо полностью) |
В соответствии с инновационной стратегией | | | | | | | |
Сбалансировано между незначительными (поэтапными) и радикальными инновациями | | | | | | | |
Сбалансировано в части допустимого риска/прибыли | | | | | | | |
Сбалансировано между низкой и высокой стоимостью | | | | | | | |

Систематически инновационные проекты не оцениваются
Кодирование ответов: для каждой строки в таблице выбирается значение от 1 до 7. Выбранное значение присваивается каждой строке.
Расчет общей балльной оценки по данному вопросу: общая балльная оценка по данному вопросу - средний показатель всех балльных оценок строки. Если компания выбирает "Систематически инновационные проекты не оцениваются", то всему вопросу присваивается значение "0".
3.3.3.2.6 Вопрос 5: культурная готовность к инновациям (инновационная организация и культура)
Как можно оценить отношение персонала к инновациям? Следует указать, до какой степени нижеуказанные позиции применимы в диапазоне баллов от 1 (неприменимы) до 7 (полностью применимы).
| Высшее руководство | Уровень ниже высшего руководства | Сотрудники |
Очень заинтересованное/неравнодушное | | | |
Скорее дружеское (открытое), нежели скептическое по отношению к новым необычным идеям | | | |
Наличие способности к нестандартному мышлению | | | |
Творческое отношение | | | |
Неблагожелательное отношение к использованию новых методов | | | |
Наличие способности "продавать" идеи внутри | | | |
Бизнес-воздействие | | | |
Иерархический уровень отсутствует | | | |
Кодирование ответов: каждой ячейке в матрице присваивается значение от 1 до 7.
Расчет общей балльной оценки по данному вопросу: рассчитанное значение для каждой строки определяется как среднее значение всех значений соответствующей строки. Общая балльная оценка по данному вопросу - среднее значение всех балльных оценок строки. Если компания выбирает ответ "Иерархический уровень отсутствует", то он не учитывается при расчете среднего значения балльных оценок строки.
3.3.3.2.7 Вопрос 6: способность к инновациям (инновационная организация и культура)
Как заинтересованные стороны оценивают инновационные возможности компании? Следует указать диапазон значений от 1 (очень низко) до 7 (очень высоко).
| 1 (очень низко) | 2 | 3 | 4 | 5 | 6 | 7 (очень высоко) |
Прямые заказчики | | | | | | | |
Конкуренты | | | | | | | |
Поставщики | | | | | | | |
Сама компания | | | | | | | |

Восприятие внешних действующих лиц не может быть оценено
Кодирование ответов: для каждой строки может быть выбрано значение от 1 до 7. Выбранное значение присваивается каждой строке.
Расчет общей балльной оценки по данному вопросу: общая балльная оценка по данному вопросу - среднее значение от значений каждой строки. Если выбран вариант ответа "Восприятие внешних действующих лиц не может быть оценено", то присваивается балльная оценка "0".
3.3.3.2.8 Вопрос 7: внешнее сотрудничество (инновационная организация и культура)
Если компания имеет партнеров по инновационным проектам, то до какой степени это партнерство поддерживает и стимулирует каждую фазу полного жизненного цикла инноваций? Следует указать диапазон значений от 1 (очень низко) до 7 (очень высоко).
| 1 (нет совсем) | 2 | 3 | 4 | 5 | 6 | 7 (до очень высокой степени) |
Менеджмент идей (управление идеями) | | | | | | | |
Развитие продукта/услуги или процесса | | | | | | | |
Запуск товара в оборот и непрерывное совершенствование | | | | | | | |

Влияние партнерства не может быть оценено
Кодирование ответов: для каждой строки может быть выбрано значение от 1 до 7. Выбранное значение присваивается каждой строке.
Расчет общей балльной оценки по данному вопросу: общей балльной оценкой по данному вопросу является среднее значение от значений каждой строки. Если выбран вариант ответа "Влияние партнерства не может быть оценено", то присваивается балльная оценка "0".
3.3.3.2.9 Вопрос 8: интенсивность инновационного партнерства (инновационная организация и культура)
С каким количеством внешних партнеров осуществляется регулярный контакт с инновационной целью? С кем из них сотрудничество протекает хотя бы в рамках одного инновационного проекта в течение последних трех лет? Какое количество людей работает в данный момент над инновационными проектами, в которых участвуют внешние партнеры?
| Инновационные партнеры с постоянными контактами | Количество партнеров из числа постоянных, имеющих как минимум один инновационный проект за последние три года | Количество сотрудников, работающих над инновационными проектами с внешними партнерами |
Абсолютные значения | | | |
Кодирование ответов: для каждой ячейки указано численное значение.
Расчет общей балльной оценки по данному вопросу: общей балльной оценкой по данному вопросу является значение второй колонки, поделенное на значение первой колонки.
3.3.3.2.10 Вопрос 9: языки (инновационная организация и культура)
На каких языках говорят партнеры по инновационному менеджменту?

Английский

Испанский

Французский

Немецкий

Итальянский

Другие
Кодирование ответов: если выбрана какая-либо позиция, то ей присваивается значение "1". Если она не выбрана, то ей присваивается значение "0".
Расчет общей балльной оценки по данному вопросу: балльной оценкой является сумма всех выбранных позиций.
3.3.3.2.11 Вопрос 10: жизненный цикл (процессы жизненного цикла инноваций)
Какова продолжительность периода времени (в месяцах) для наиболее прибыльных групп продукции/услуг от начала их разработки (утверждения проекта) до удаления (или такового намерения) продукции/услуги с рынка?
Периодичность указывается в месяцах. Если компания еще не прошла весь жизненный цикл, оценивается общее время, включая фазу постепенного выхода. Группа 1: максимальный вклад в рост доходности за последние три года; группа 2: второй наивысший вклад в рост доходности за последние три года.
| Продукция/услуги группы 1 | Продукция/услуги группы 2 |
Средний жизненный цикл (в месяцах) | | |
Группа продукции/услуг не существует | | |
Кодирование ответов: каждой колонке присваивается численное значение (по количеству месяцев).
Расчет общей балльной оценки по данному вопросу: общей балльной оценкой по данному вопросу является среднее значение двух колонок. Если выбран вариант ответа "Группа продукции/услуг не существует", эта колонка не учитывается при расчете общей балльной оценки.
Данный вопрос содержит в себе контекст для двух следующих вопросов.
3.3.3.2.12 Вопрос 11: срок вывода продукции на рынок (процессы жизненного цикла инноваций)
Сколько месяцев в среднем проходит для наиболее прибыльной группы продукции/услуг (см.
предыдущий вопрос) с момента начала ее разработки (утверждения проекта) до вывода на рынок?
Периодичность указывается в месяцах. Группа 1: максимальный вклад в рост доходности за последние три года; группа 2: второй наивысший вклад в рост доходности за последние три года.
| Продукция/услуги группы 1 | Продукция/услуги группы 2 |
Среднее время вывода продукции на рынок (в месяцах) | | |
Группа продукции/услуг не существует | | |
Кодирование ответов: каждой колонке присваивается численное значение (в месяцах).
Расчет общей балльной оценки по данному вопросу: общей балльной оценкой по данному вопросу является среднее значение двух колонок. Если выбран вариант ответа "Группа продукции/услуг не существует", эта колонка не учитывается при расчете общей балльной оценки.
3.3.3.2.13 Вопрос 12: время до получения первого дохода (процессы жизненного цикла инноваций)
Сколько в среднем месяцев проходит для наиболее прибыльной группы продукции/услуг с момента утверждения проекта до достижения уровня безубыточности?
Периодичность указывается в месяцах. Группа 1: максимальный вклад в рост доходности за последние три года; группа 2: второй наивысший вклад в рост доходности за последние три года. Внимание: "время до получения первого дохода" должно быть больше "времени от разработки товара до его выхода на рынок" в предыдущем вопросе и меньше "времени жизненного цикла" в вопросе перед ним.
| Продукция/услуги группы 1 | Продукция/услуги группы 2 |
Среднее время до получения первого дохода (в месяцах) | | |
Группа продукции/услуг не существует | | |
Кодирование ответов: каждой колонке присваивается численное значение (в месяцах).
Расчет общей балльной оценки по данному вопросу: общей балльной оценкой по данному вопросу является среднее значение двух колонок. Если выбран вариант ответа "Группа продукции/услуг не существует", эта колонка не учитывается при расчете общей балльной оценки.
3.3.3.2.14 Вопрос 13: уровень успешности проектов с применением незначительных (поэтапных) инноваций (процессы жизненного цикла инноваций)
Начинались ли какие-нибудь проекты с применением незначительных (поэтапных) инноваций с целью совершенствования существующих моделей продуктов/услуг/процессов/организаций или бизнес-моделей за последние четыре года? Сколько из этих проектов продемонстрировали свою успешность (например, достигли уровня безубыточности) за последние четыре года?
Следует отвечать на вопрос только относительно основного типа инноваций. Если компания работает в сфере услуг, то инновации следует относить только к "инновациям в сфере услуг".
| Количество проектов с применением незначительных (поэтапных) инноваций, стартовавших за последние четыре года | Количество проектов с применением незначительных (поэтапных) инноваций (из всех стартовавших), которые были успешными за последние четыре года |
Продуктовые инновации | | |
Инновации в сфере услуг | | |
Процессные инновации | | |
Организационные инновации | | |
Инновации в бизнес-моделях | | |
Кодирование ответов: для каждой ячейки указывается численное значение.
Расчет общей балльной оценки по данному вопросу: сначала рассчитываются балльные оценки для каждой строки. Балльная оценка строки - это значение второй колонки, поделенное на значение первой колонки. Общей балльной оценкой по данному вопросу является среднее значение всех балльных оценок для каждой строки.
3.3.3.2.15 Вопрос 14: уровень успешности проектов с применением радикальных инноваций (процессы жизненного цикла инноваций)
Начинались ли какие-нибудь проекты с применением радикальных инноваций с целью разработки совершенно новых моделей продуктов/услуг/процессов/организаций или бизнес-моделей за последние четыре года? Сколько из этих проектов продемонстрировали свою успешность (например, достигли уровня безубыточности) за последние четыре года?
Следует отвечать на вопрос только относительно основного типа инноваций. Если компания работает в сфере услуг, то инновации следует относить только к "инновациям в сфере услуг".
| Количество проектов с применением радикальных инноваций, стартовавших за последние четыре года | Количество проектов с применением радикальных инноваций (из всех стартовавших), которые были успешными за последние четыре года |
Продуктовые инновации | | |
Инновации в сфере услуг | | |
Процессные инновации | | |
Организационные инновации | | |
Инновации в бизнес-моделях | | |
Кодирование ответов: для каждой колонки указывается численное значение.
Расчет общей балльной оценки по данному вопросу: сначала рассчитываются балльные оценки для каждой строки. Балльная оценка строки - это значение второй колонки, поделенное на значение первой колонки. Общей балльной оценкой по данному вопросу является среднее значение всех балльных оценок каждой строки.
3.3.3.2.16 Вопрос 15: интегрированные процессы жизненного цикла (процессы жизненного цикла инноваций)
Как можно оценить новые идеи и пути развития бизнеса?
Следует указать характерные признаки, присущие различным схемам выбора решений.
| Рассмотрение и оценка идеи | Определение проекта | Запуск проекта | Проверка проекта | Запуск и утверждение инновации | Оценка успешности внедренной инновации |
Оценка междисциплинарной рабочей группы | | | | | | |
Набор заранее определенных критериев, применяемых ко всем инновационным проектам (т.е. действующие стандарты) | | | | | | |
Привязанные к проекту критерии, определенные на ранней стадии его разработки (т.е. отсутствие действующих стандартов) | | | | | | |
Критерии на основе инновационной стратегии | | | | | | |
Другие | | | | | | |
Кодирование ответов: если позиция выбрана, то ей присваивается значение 1.
Расчет общей балльной оценки по данному вопросу: сначала рассчитываются балльные оценки для каждой строки. Балльная оценка строки - это сумма значений в соответствующей строке. Общей балльной оценкой по данному вопросу является среднее значение всех балльных оценок каждой строки.
3.3.3.2.17 Вопрос 16: цепочки обратной связи (процессы жизненного цикла инноваций)
Насколько регулярно компания осуществляет обратную связь с группами партнеров по тем предложениям, которые они представляли?
Следует указывать в диапазоне от 1 (ни разу) до 7 (регулярно).
| 1 (ни разу) | 2 | 3 | 4 | 5 | 6 | 7 (регулярно) |
Поставщики | | | | | | | |
Закупки (снабжение) | | | | | | | |
Прямые заказчики | | | | | | | |
Косвенные заказчики | | | | | | | |
Маркетинг и продажи (коммерческий отдел) | | | | | | | |
Разработка продукции и услуг | | | | | | | |
Исследовательские институты и университеты | | | | | | | |
Сетевые партнеры | | | | | | | |
Кодирование ответов: для каждой ячейки в матрице присваивается значение от 1 до 7.
Расчет общей балльной оценки по данному вопросу: для каждой строки рассчитывается балльная оценка. Она является средним значением всех значений в соответствующей строке. Общей балльной оценкой по данному вопросу является среднее значение всех балльных оценок по каждой строке.
3.3.3.2.18 Вопрос 17: систематическое формирование идей (процессы жизненного цикла инноваций)
Имеет ли компания официальную систему формирования и оценки идей? Если да, то сколько генерируется идей ежегодно в части новой продукции, процессов или услуг (радикальные инновации) и сколько идей, связанных с усовершенствованиями (поэтапные инновации)?
| Среднее число идей с радикальными инновациями (за год) | Среднее число идей с поэтапными инновациями (за год) |
Количество сформированных и зафиксированных идей | | |

Идеи не формируются и не фиксируются в структурированном и формализованном виде
Кодирование ответов: для каждой колонки задается числовое значение.
Расчет общей балльной оценки по данному вопросу: общей балльной оценкой по данному вопросу является среднее значение по двум колонкам. Если выбран вариант ответа "Идеи не формируются и не фиксируются в структурированном и формализованном виде", то присваивается балльная оценка "0".
3.3.3.2.19 Вопрос 18: менеджмент идей (управление идеями) (процессы жизненного цикла инноваций)
Сколько идей изучается и отбирается для дальнейшей проработки? Внимание! Количество изученных и отобранных идей должно быть меньше количества сформированных идей, указанных в предыдущем вопросе.
| Среднее число радикальных идей (за год) | Среднее число инкрементных идей (за год) |
Изученные | | |
Отобранные | | |
Реализованные в инновационных проектах | | |

Идеи не формируются и не фиксируются в структурированном и формализованном виде
Кодирование ответов: для каждой колонки задается числовое значение.
Расчет общей балльной оценки по данному вопросу: вначале рассчитываются балльные оценки для каждой ячейки. Балльной оценкой для ячейки в левой колонке является внесенное в нее значение, поделенное на "Среднее число идей с радикальными инновациями (за год)" (предыдущий ответ - колонка 1). Балльной оценкой для ячейки в правой колонке является внесенное в нее значение, поделенное на "Среднее число идей с поэтапными инновациями (за год)" (предыдущий ответ - колонка 2). Затем рассчитываются балльные значения для каждой строки. Балльной оценкой для строки является среднее значение балльных значений ячейки. Общей балльной оценкой по данному вопросу является среднее значение балльных значений строки. Если выбран вариант ответа "Идеи не формируются и не фиксируются в структурированном и формализованном виде", то присваивается балльная оценка "0".
3.3.3.2.20 Вопрос 19: цикл управления идеями (процессы жизненного цикла инноваций)
Каковы в среднем временные затраты на то, чтобы наиболее перспективную идею отобрали и направили в фазу проработки?
В ответе следует указывать количество дней.
| Продолжительность (дни) |
Управление идеями | |

Предложения и идеи не фиксируются, не оцениваются и не отбираются
Кодирование ответов: задается только одно численное значение.
Расчет общей балльной оценки по данному вопросу: общая балльная оценка соответствует присвоенному значению. Если выбран вариант ответа "Предложения и идеи не фиксируются, не оцениваются и не отбираются", то присваивается балльная оценка "0".
3.3.3.2.21 Вопрос 20: процесс разработки (процессы жизненного цикла инноваций)
До какой степени в настоящее время в компании формализован процесс (с четко определенными этапами, контрольными точками и т.п.) для разработки продукта, услуги или процесса?
В ответе следует указывать различные типы инноваций. Если деятельность компании связана со сферой услуг, то ответы надо давать только в отношении инноваций в сфере услуг.
| 1 (нет совсем) | 2 | 3 | 4 | 5 | 6 | 7 (регулярно) |
Продуктовые инновации | | | | | | | |
Инновации в сфере услуг | | | | | | | |
Процессные инновации | | | | | | | |
Организационные инновации | | | | | | | |
Инновации в бизнес-моделях | | | | | | | |
Кодирование ответов: для каждой строки может быть выбрано значение от 1 до 7. Каждой строке присваивается выбранное значение.
Расчет общей балльной оценки по данному вопросу: общей балльной оценкой по данному вопросу является среднее арифметическое значений всех строк.
3.3.3.2.22 Вопрос 21: запуск успешных инновационных проектов (процессы жизненного цикла инноваций)
Для скольких инновационных проектов, запущенных за последние три года, компания определяла такие конкретные цели, как "количество продаж за конкретный период времени", "объем реализации от этих продаж", "временные рамки первых продаж" и т.п.? Сколько проектов успешно достигло намеченных целей?
| Процент проектов, запущенных за последние три года, где были определены конкретные цели | Процент тех запущенных проектов, где конкретные намеченные цели были достигнуты |
В % | | |
Кодирование ответов: для каждой ячейки предусмотрено процентное значение.
Расчет общей балльной оценки по данному вопросу: общей балльной оценкой по данному вопросу является произведение двух процентных значений.
3.3.3.2.23 Вопрос 22: интеграция обратной связи с заказчиком (процессы жизненного цикла инноваций)
Сколько раз за текущий год в компании проводили анализ данных заказчиков и отзывов заказчиков?
| Данные о заказчиках | Отзывы заказчиков |
Частота проведения анализа (за год) | | |
Кодирование ответов: для каждой ячейки указано численное значение.
Расчет общей балльной оценки по данному вопросу: общей балльной оценкой по данному вопросу является среднее арифметическое двух значений.
3.3.3.2.24 Вопрос 23: постоянное совершенствование параметров процесса (процессы жизненного цикла инноваций)
Определяли ли в компании специфические инновационные показатели процесса для оценки инновационной деятельности? В скольких проектах (в процентном отношении) за последние три года были определены такие показатели? Насколько за последние три года в среднем совершенствовался каждый из этих показателей?
Если имело место ухудшение по какому-нибудь параметру процесса, следует представить объективную оценку.
| Количество проектов, в которых определялись параметры процесса, % | Среднее значение улучшения от года к году по каждому параметру процесса, % |
Срок вывода продукта на рынок | | |
Время до получения первой прибыли | | |
Затраты на разработку | | |
Время с момента предложения сотрудником идеи до ее отбора для последующего внедрения | | |
Время с момента предложения заказчиком идеи до ее реализации | | |
Другое (пожалуйста, укажите) | | |

Параметры инновационного процесса не измеряются совсем
Кодирование ответов: для каждой ячейки задается процентное значение.
Расчет общей балльной оценки по данному вопросу: в первую очередь рассчитываются балльные оценки для каждой строки. Балльной оценкой строки является произведение значений двух колонок. Общей балльной оценкой по данному вопросу является среднее арифметическое балльных оценок каждой строки. Если выбран вариант ответа "Параметры инновационного процесса не измеряются совсем", то присваивается балльная оценка "0".
3.3.3.2.25 Вопрос 24: стимулы и поощрения (способствующие (обеспечивающие) факторы)
Предлагаются ли сотрудникам компании какие-либо поощрительные вознаграждения в отношении инноваций? Если да, то какие имеются предложения?

Поощрять сотрудников дополнительными деньгами

Официально признавать вклад сотрудника в инновации

Присваивать награды компании за инновации

Позволять сотрудникам свободно использовать производственные мощности для проверки и дальнейшей разработки их собственных идей

Обеспечивать административную поддержку для получения внешнего (бюджетного) финансирования

Никаких стимулов для инноваций в настоящее время не применяется

Другое
Кодирование ответов: если позиция выбрана, то ей присваивается значение "1". Если позиция не выбрана, то ей присваивается значение "0".
Расчет общей балльной оценки по данному вопросу: общей балльной оценкой по данному вопросу является сумма значений, присвоенных первым пяти позициям. Если выбран вариант ответа "Никаких стимулов для инноваций в настоящее время не применяется", то всему вопросу присваивается балльная оценка "0".
3.3.3.2.26 Вопрос 25: использование патентов (способствующие (обеспечивающие) факторы)
Как много зарегистрировано и выдано патентов за последние десять лет? Сколько из них за последние пять лет? Сколько из них за последние три года?
| Количество созданных патентов (зарегистрированных и выданных) | Количество патентов, которые были созданы и принесли успех на рынке в пределах конкретных временных рамок |
За последние десять лет | | |
За последние пять лет | | |
За последние три года | | |

В данной отрасли промышленности патенты не используются для сдерживания конкурентов от подделок
Кодирование ответов: для каждой ячейки указано численное значение.
Расчет общей балльной оценки по данному вопросу: в первую очередь рассчитываются балльные оценки для каждой строки. Балльной оценкой строки является значение второй колонки, поделенное на значение первой колонки. Общей балльной оценкой по данному вопросу является среднее арифметическое балльных оценок каждой строки.
3.3.3.2.27 Вопрос 26: обучение и знания (способствующие (обеспечивающие) факторы)
Какой процент инновационных проектов достиг желаемых результатов за счет накопленного опыта организации, полученного в рамках проектного менеджмента за последние три года?
| Средний показатель, % |
Проекты, основанные на накопленном опыте (документально оформленные и общедоступные) | |
Кодирование ответов: предусмотрено одно процентное значение. Это значение и присваивается.
Расчет общей балльной оценки по данному вопросу: общей балльной оценкой по данному вопросу является заданное значение.
3.3.3.2.28 Вопрос 27: проекты и цели (способствующие (обеспечивающие) факторы)
В инновационных проектах за последние три года какой процент проектов имел определенные в части времени, бюджета и качества цели? Какие из них были достигнуты?
| Проекты с определенными целями, % | Проекты, где цели были достигнуты, % |
Время | | |
Бюджет | | |
Качество | | |
Кодирование ответов: для каждой ячейки задается процентное значение.
Расчет общей балльной оценки по данному вопросу: в первую очередь рассчитываются балльные оценки для каждой строки. Балльной оценкой каждой строки является произведение значений двух колонок. Общей балльной оценкой по данному вопросу является среднее арифметическое балльных оценок каждой строки.
3.3.3.2.29 Вопрос 28: долгосрочные инновационные проекты (способствующие (обеспечивающие) факторы)
Какой процент инновационного бюджета компания вкладывает в долгосрочные проекты (то есть с более длительными временными рамками, чем обычное время до получения первой прибыли, используемое в промышленности)?
| Показатель, % |
Часть бюджета, предназначенная для долгосрочных инновационных проектов | |
Кодирование ответов: задается только одно процентное значение.
Расчет общей балльной оценки по данному вопросу: общей балльной оценкой является заданное значение.
3.3.3.2.30 Вопрос 29: увеличение общей суммы полученных доходов (инновационные результаты)
Данные о доходах (доход с продаж, роста и другие источники доходов) за последние четыре года.
Информация связана с процессом сопоставительного анализа (бенчмаркинга); требуются, насколько это только возможно, полнота и точность этих данных. Данные о доходах с продаж должны быть представлены в тыс. евро.
| В прошлом году | Два года назад | Три года назад | Четыре года назад |
Общая сумма доходов, тыс. евро | | | | |
Вклад исследований с бюджетным финансированием в общую сумму доходов, % | | | | |
Вклад экспорта в валовую прибыль, % | | | | |
Данные по этому году недоступны | | | | |
Кодирование ответов: для каждой ячейки значение задано в соответствующем формате (в виде процента абсолютных значений)
Расчет общей балльной оценки по данному вопросу: в первую очередь рассчитываются балльные оценки для каждой строки. Для первой строки рекомендуется рассчитать уровень среднегодового роста, поделенный на среднее арифметическое значение данных за последние четыре года. В качестве альтернативы рассчитывается среднее арифметическое всех значений в первой строке. Общей балльной оценкой является балльная оценка первой строки. Если для какой-либо из колонок выбран вариант ответа "Данные по этому году недоступны", то эта колонка не будет использоваться при расчетах. При расчете общей балльной оценки по данному вопросу вторая и третья строки не учитываются.
3.3.3.2.31 Вопрос 30: доход от продаж новых продуктов или услуг (инновационные результаты)
Каков доход компании от продаж инновационных продуктов или услуг за последние четыре года, для которых возраст инноваций был не старше трех лет?
Следует сумму указывать в тыс. евро. Сумма доходов от продаж продукции с поэтапными и радикальными инновациями должна быть меньше или равна общему доходу от продаж.
| В прошлом году | Два года назад | Три года назад | Четыре года назад |
Доход от продаж продукции/ услуг на основе радикальных инноваций, тыс. евро | | | | |
Доход от продаж продукции/услуг на основе поэтапных инноваций, тыс. евро | | | | |
Данные по этому году недоступны | | | | |
Кодирование ответов: для каждой ячейки задается численное значение (в тыс. евро).
Расчет общей балльной оценки по данному вопросу: вначале рассчитываются балльные оценки для каждой ячейки. Балльной оценкой ячейки является отношение представленных значений к общей сумме доходов с продаж за соответствующий год по вопросу 29. Балльной оценкой строки является среднее арифметическое значений колонок. Общей балльной оценкой по данному вопросу является среднее арифметическое балльных оценок строк. Если для какой-либо из колонок выбран вариант ответа "Данные по этому году недоступны", эта колонка не будет учитываться при расчете среднего значения.
3.3.3.2.32 Вопрос 31: расходы на инновации (инновационные результаты)
Какие финансовые ресурсы компании были затрачены на инновации (включая затраты на персонал, оборудование, услуги аутсорсинга и т.п.) за последние четыре года?
Следует сумму указывать в тыс. евро. Эти данные должны согласовываться с доходом компании с продаж.
| В прошлом году | Два года назад | Три года назад | Четыре года назад |
Затраты на инновации, тыс. евро | | | | |
Данные по этому году недоступны | | | | |
Кодирование ответов: для каждой ячейки задается численное значение (в тыс. евро).
Расчет общей балльной оценки по данному вопросу: в первую очередь рассчитываются балльные оценки для каждой ячейки. Балльной оценкой ячейки является отношение представленных цифр к общей сумме доходов с продаж за соответствующий год по вопросу 29 ("доход с продаж"). Общей балльной оценкой по данному вопросу является среднее арифметическое балльных оценок ячеек. Если для какой-либо из колонок выбран вариант ответа "Данные по этому году недоступны", эта колонка не будет учитываться при расчете среднего значения.
3.3.3.2.33 Вопрос 32: рост операционной прибыли (инновационные результаты)
Какие у вашей компании есть данные по операционной прибыли за четыре последних года?
Следует сумму указывать в тыс. евро. Значения операционной прибыли должны быть меньше дохода компании с продаж.
| В прошлом году | Два года назад | Три года назад | Четыре года назад |
Операционная прибыль, тыс. евро | | | | |
Для данного года оценка невозможна | | | | |
Кодирование ответов: каждой ячейке присваивается численное значение (в тыс. евро).
Расчет общей балльной оценки по данному вопросу: рекомендуется рассчитывать средний ежегодный темп роста на основе данных за последние четыре года, поделенный на средний доход с продаж за последние четыре года (вопрос 29). В качестве альтернативы рассчитывается среднее арифметическое всех указанных значений. Если для какой-либо из колонок выбран вариант ответа "Для данного года оценка невозможна", эта колонка не будет учитываться при расчете.
3.3.3.2.34 Вопрос 33: операционная прибыль от инноваций (инновационные результаты)
Какова оценка, в процентном отношении, операционной маржи, полученной от инноваций за последние четыре года?
Следует дать реальную оценку и указать маржу в процентах от общей операционной прибыли.
| В прошлом году | Два года назад | Три года назад | Четыре года назад |
Операционная маржа от инноваций, % от общей операционной прибыли | | | | |
Для данного года оценка невозможна | | | | |
| | ИС МЕГАНОРМ: примечание. Текст дан в соответствии с официальным текстом документа. | |
Кодирование ответов: каждой ячейке присваивается значение от - 100% до 100%.
Расчет общей балльной оценки по данному вопросу: общей балльной оценкой по данному вопросу является среднее арифметическое всех указанных значений за последние четыре года. Если для какой-либо из колонок выбран вариант ответа "Для данного года оценка невозможна", колонка не будет учитываться при расчете.
3.3.3.2.35 Вопрос 34: распределение операционной прибыли от инноваций (инновационные результаты)
Как была получена за прошлый год операционная прибыль от инновационных проектов, распределенных между различными типами инноваций?
Следует распределить 100%-ное значение среди следующих типов инноваций.
| Распределение операционной прибыли от инноваций среди различных типов инноваций, % |
Продуктовые инновации | |
Инновации в сфере услуг | |
Процессные инновации | |
Организационные инновации | |
Инновации в бизнес-моделях | |

В прошлом году прибыль от инноваций была равна нулю
Кодирование ответов: каждой ячейке присваивается значение от 0% до 100%. Все значения должны составлять в сумме 100%.
Расчет общей балльной оценки по данному вопросу: не существует расчета общей балльной оценки по данному вопросу.
3.3.3.2.36 Вопрос 35: снижение издержек (инновационные результаты)
Каким было снижение операционных затрат в результате применения инноваций в процессах или организации за последние четыре года?
Следует указать положительные значения.
| В прошлом году | Два года назад | Три года назад | Четыре года назад |
Снижение затрат, % от общих затрат | | | | |
Данные недоступны | | | | |
Кодирование ответов: каждой ячейке присваивается значение от 0% до 100%.
Расчет общей балльной оценки по данному вопросу: общей балльной оценкой по данному вопросу является среднее арифметическое всех указанных значений за последние четыре года. Если для какой-либо из колонок выбран вариант ответа "Данные недоступны", эта колонка не будет учитываться при расчете.
3.3.3.2.37 Вопрос 36: драйверы роста прибыли (инновационные результаты)
Как была получена за прошлый год операционная прибыль от инновационных проектов, распределенных между различными типами инноваций? Какие источники имели наибольшее влияние на рост прибыли компании за последние четыре года?
Следует распределить 100%-ное значение среди следующих источников роста в части их влияния на рост прибыли компании.
| Влияние (всего 100%) |
Внешний рост (слияния и поглощения) | |
Соответствие новым стандартам (правовым, экологическим и т.п.) | |
Внутренний, естественный рост | |

За последние четыре года роста прибыли не было
Кодирование ответов: каждой строке присваивается значение от 0% до 100%. Все значения должны составлять в сумме 100%.
Расчет общей балльной оценки по данному вопросу: не существует расчета общей балльной оценки по данному вопросу.
3.3.3.2.38 Вопрос 37: увеличение численности работников (инновационные результаты)
Какое количество служащих было задействовано в работе компании за последние четыре года (общее количество людей за год)?
Значения должны согласовываться с размерами и профилем компании.
| В прошлом году | Два года назад | Три года назад | Четыре года назад |
Занятость (абсолютные значения) | | | | |
Для этого года данные недоступны | | | | |
Кодирование ответов: для каждой ячейки указано численное значение.
Расчет общей балльной оценки по данному вопросу: рекомендуется рассчитывать средний ежегодный темп роста на основе значений за последние четыре года, поделенный на среднее число сотрудников за последние четыре года. В качестве альтернативы рассчитывается среднее арифметическое всех указанных значений. Если для какой-либо из колонок выбран вариант ответа "Для этого года данные недоступны", эта колонка не будет учитываться при расчете.
3.3.3.2.39 Вопрос 38: влияние инновационного менеджмента (инновационные результаты)
Каково текущее и будущее влияние инновационного менеджмента на успех компании в бизнесе?
| 1 (очень низкое) | 2 | 3 | 4 | 5 | 6 | 7 (очень высокое) |
Текущий успех | | | | | | | |
Будущий успех | | | | | | | |
Кодирование ответов: для каждой строки можно выбрать значение от 1 до 7. Каждой строке присваивается выбранное значение.
Расчет общей балльной оценки по данному вопросу: общей балльной оценкой по данному вопросу является среднее арифметическое значений каждой строки.
3.3.3.2.40 Вопрос 39: совершенствование системы инновационного менеджмента (инновационные результаты)
До какой степени можно совершенствовать нынешний уровень инновационного менеджмента компании?
1 (нет совсем) | 2 | 3 | 4 | 5 | 6 | 7 (значительно) |
| | | | | | |
| | | | | | |
Кодирование ответов: Для строки может быть выбрано значение от 1 до 7. Это значение присваивается строке.
Расчет общей балльной оценки по данному вопросу: общей балльной оценкой по данному вопросу является значение строки.
3.4 Возможность применения внешнего независимого сопоставительного анализа (бенчмаркинга)
Если доступна внешняя база данных, то для расчета контрольных показателей должен быть указан класс бенчмаркинга. При указании класса бенчмаркинга и контрольных показателей рекомендуется придерживаться следующих критериев и основных принципов при выборе доступной базы данных с целью достижения максимальной результативности процесса сравнения с другими компаниями:
- база данных должна быть построена на основе данной методологии;
- каждый набор данных связан с такими метаданными по малым и средним предприятиям, как промышленный класс, размер (число сотрудников), а также класс страны и возрастная группа. Эта информация представляет собой базис для выбора контрольных показателей;
- класс сравнения должен включать в себя как минимум 30 полных и действующих наборов данных.
Основными принципами независимого внешнего бенчмаркинга являются следующие принципы.
Идентификация класса бенчмаркинга на основе таких четко определенных критериев, как, например, промышленные группы и подгруппы, размер, возрастная группа, класс страны и региона. Для определения класса бенчмаркинга могут быть использованы дополнительные критерии.
Определение и использование различных контрольных показателей, например, "средний" и "лидер".
Для бенчмаркинга инновационных возможностей рекомендуется сравнивать значения (балльную оценку) одной компании по каждому вопросу или каждой области проектирования или балльной оценке инновационных возможностей со средним арифметическим балльных оценок компаний в определенных классах бенчмаркинга.
| | ИС МЕГАНОРМ: примечание. В официальном тексте документа, видимо, допущена опечатка: вопросы 29, 32 и 37 приводятся в подразделе 3.3, а не 3.2. | |
Для бенчмаркинга эффективности системы инновационного менеджмента рекомендуется сравнивать балльную оценку одной компании по каждому вопросу со средним арифметическим балльных оценок компаний в определенных классах бенчмаркинга или с лидерами в данном классе бенчмаркинга. Рекомендуется выбирать чемпионов по росту на основе множественных критериев, например по росту доходности, прибыли и числу сотрудников (см. в
3.2 вопросы 29,
32 и
37). Контрольным показателем лидеров по росту является среднее арифметическое значение выборки лидеров роста. Для расчета среднего значения можно использовать как слабые, так и средние компании.
Рекомендуется использовать как минимум один из контрольных показателей - среднее значение лидеров роста данного класса бенчмаркинга, - поскольку они четко указывают на текущее состояние конкурентоспособности предприятия. Они демонстрируют, какие сильные и слабые стороны предприятия сравниваются с такими же параметрами, имеющими отличные характеристики.