Главная // Актуальные документы // ГОСТ Р (Государственный стандарт)
СПРАВКА
Источник публикации
М.: Стандартинформ, 2018
Примечание к документу
Документ введен в действие с 1 июня 2018 года.
Название документа
"ГОСТ Р 43.0.9-2017. Национальный стандарт Российской Федерации. Информационное обеспечение техники и операторской деятельности. Информационные ресурсы"
(утв. и введен в действие Приказом Росстандарта от 27.07.2017 N 758-ст)

"ГОСТ Р 43.0.9-2017. Национальный стандарт Российской Федерации. Информационное обеспечение техники и операторской деятельности. Информационные ресурсы"
(утв. и введен в действие Приказом Росстандарта от 27.07.2017 N 758-ст)


Содержание


Утвержден и введен в действие
Приказом Федерального агентства
по техническому регулированию
и метрологии
от 27 июля 2017 г. N 758-ст
НАЦИОНАЛЬНЫЙ СТАНДАРТ РОССИЙСКОЙ ФЕДЕРАЦИИ
ИНФОРМАЦИОННОЕ ОБЕСПЕЧЕНИЕ ТЕХНИКИ
И ОПЕРАТОРСКОЙ ДЕЯТЕЛЬНОСТИ
ИНФОРМАЦИОННЫЕ РЕСУРСЫ
Informational ensuring of equipment and operational activity
Information resources
ГОСТ Р 43.0.9-2017
ОКС 50800
Дата введения
1 июня 2018 года
Предисловие
1 РАЗРАБОТАН Образовательным учреждением Центр "НООН" исследований и поддержки интеллектуальной деятельности (ОУ Центр "НООН")
2 ВНЕСЕН Научно-техническим управлением Федерального агентства по техническому регулированию и метрологии
3 УТВЕРЖДЕН И ВВЕДЕН В ДЕЙСТВИЕ Приказом Федерального агентства по техническому регулированию и метрологии от 27 июля 2017 г. N 758-ст
4 ВВЕДЕН ВПЕРВЫЕ
5 ПЕРЕИЗДАНИЕ. Октябрь 2018 г.
Правила применения настоящего стандарта установлены в статье 26 Федерального закона от 29 июня 2015 г. N 162-ФЗ "О стандартизации в Российской Федерации". Информация об изменениях к настоящему стандарту публикуется в ежегодном (по состоянию на 1 января текущего года) информационном указателе "Национальные стандарты", а официальный текст изменений и поправок - в ежемесячном информационном указателе "Национальные стандарты". В случае пересмотра (замены) или отмены настоящего стандарта соответствующее уведомление будет опубликовано в ближайшем выпуске ежемесячного информационного указателя "Национальные стандарты". Соответствующая информация, уведомление и тексты размещаются также в информационной системе общего пользования - на официальном сайте Федерального агентства по техническому регулированию и метрологии в сети Интернет (www.gost.ru)
Введение
Настоящий стандарт в комплексе стандартов в области информационного обеспечения операторской деятельности (ИОТОД) ГОСТ Р 43.0.1 устанавливает общие, основные положения, относящиеся к информационным ресурсам, используемым в технической деятельности.
Стандарт состоит из двух основных разделов:
- "Общие положения", в котором приведены общие сведения, относящиеся к информационным ресурсам, используемым в технической деятельности;
- "Основные положения", в котором приведены основные сведения по формированию и использованию информационных ресурсов в технической деятельности с применением ноон-технологии.
1 Область применения
Настоящий стандарт устанавливает общие положения, относящиеся к созданию и применению информационных ресурсов технической деятельности (ИРТД) в бумажном, электронном виде, формируемых с применением ИОТОД, основные положения, относящиеся к формированию ИРТД и их использованию в технике в исследовательских, проектных, производственно-технологических, учебных целях.
2 Нормативные ссылки
В настоящем стандарте использованы нормативные ссылки на следующие государственные стандарты:
ГОСТ 2.051 Единая система конструкторской документации. Электронные документы. Общие положения
ГОСТ 2.104 Единая система конструкторской документации. Основные надписи
ГОСТ 2.201 Единая система конструкторской документации. Обозначение изделий и конструкторских документов
ГОСТ 2.501 Единая система конструкторской документации. Правила учета и хранения
ГОСТ 2.503 Единая система конструкторской документации. Правила внесения изменений
ГОСТ 2.601 Единая система конструкторской документации. Эксплуатационные документы
ГОСТ 2.602 Единая система конструкторской документации. Ремонтные документы
ГОСТ 2.610 Единая система конструкторской документации. Правила выполнения эксплуатационных документов
ГОСТ Р 43.0.1 Информационное обеспечение техники и операторской деятельности. Общие положения
ГОСТ Р 43.0.2 Информационное обеспечение техники и операторской деятельности. Термины и определения
ГОСТ Р 43.0.3 Информационное обеспечение техники и операторской деятельности. НООН-технология в технической деятельности. Общие положения
Примечание - При пользовании настоящим стандартом целесообразно проверить действие ссылочных стандартов в информационной системе общего пользования - на официальном сайте Федерального агентства по техническому регулированию и метрологии в сети Интернет или по ежегодному информационному указателю "Национальные стандарты", который опубликован по состоянию на 1 января текущего года, и по выпускам ежемесячного информационного указателя "Национальные стандарты" за текущий год. Если заменен ссылочный стандарт, на который дана недатированная ссылка, то рекомендуется использовать действующую версию этого стандарта, с учетом всех внесенных в данную версию изменений. Если заменен ссылочный стандарт, на который дана датированная ссылка, то рекомендуется использовать версию этого стандарта с указанным выше годом утверждения (принятия). Если после утверждения настоящего стандарта в ссылочный стандарт, на который дана датированная ссылка, внесено изменение затрагивающее положение, на которое дана ссылка, то это положение рекомендуется применять без учета данного изменения. Если ссылочный стандарт отменен без замены, то положение, в котором дана ссылка на него рекомендуется применять в части, не затрагивающей эту ссылку.
3 Термины и определения
В настоящем стандарте применены следующие термины с соответствующими определениями:
3.1 авторизованные ИРТД: ИРТД в виде информации, создаваемой одним человеком или группой лиц, являющихся авторами этой информации.
3.2
гибридно-интеллектуализированное человекоинформационное взаимодействие: Интеллектуализированное (клиаративно-креативное) взаимодействие человека с информацией, осуществляемое с использованием машинно-активизированной (компьютерно-активизированной) его мыслительной деятельности.
[ГОСТ Р 43.0.4-2009, статья 3.2]
3.3 дискернинг: Различимое восприятие грамматико-семантических свойств информационных образований, достигаемое как технологическими, так и методическими способами.
3.4
естественно-интеллектуализированное человекоинформационное взаимодействие: Интеллектуализированное (клиаративно-креативное) взаимодействие человека с информацией, осуществляемое с использованием возможностей его собственной мыслительной деятельности.
[ГОСТ Р 43.0.4-2009, статья 3.3]
3.5
изделие техники: Техническое устройство, подлежащее изготовлению.
[ГОСТ Р 43.0.2-2006, статья А.7 приложение А]
3.6 интегрально-лингвистизированная семантическая информация (интегрально-лингвосемантизированная информация): Информация в общем лингвосемантизированном трехуровневом грамматическом исполнении, создаваемая с применением общей интегральной лингвистики в импровизированном (улучшенном) семантическом представлении, адекватно соответствующем языковому функционированию мышления человека, с совместным гармонизированным использованием в различных сочетаниях фраземных, фонемных информационных образований в контекстно-формализованном, семантически изменяемом изложении с применением компьютеризированного интерактивно-активного управления.
3.7 информационный процесс: Последовательная смена информационных явлений, состояний в развитии чего-либо.
3.8 информационная технология: Способ реализации информационной деятельности (совокупность методов и средств реализации информационных процессов в каких-либо областях человеческой деятельности).
3.9
искусственно-интеллектуализированное человекоинформационное взаимодействие: Интеллектуализированное (клиаративно-креативное) взаимодействие человека с информацией, осуществляемое с использованием активизации мышления, искусственно имитируемой (машинно-имитируемой) мыслительной деятельностью.
[ГОСТ Р 43.0.5-2009, пункт 3.16]
3.10 клиаратизированные коммуникативные технические сообщения, сведения: Коммуникативные сообщения, сведения (относящиеся к обеспечению жизнедеятельности, межличностного общения операторов в технической среде), воспринимаемые и применяемые с пониманием.
3.11 клиаратизированные эвристические технические сообщения, сведения: Эвристические сообщения, сведения (относящиеся к обеспечению творческой (креативной) личностной деятельности операторов в технической среде), воспринимаемые и применяемые с пониманием.
3.12 клиаратизированные эргатические технические сообщения, сведения: Эргатические сообщения, сведения (относящиеся к обеспечению практической (эмпирической) личностной деятельности операторов в технической среде), воспринимаемые и применяемые с пониманием.
3.13
ноон-технология: Технология создания информации в виде, соответствующем психофизиологии человека (с использованием результатов исследований, полученных в ноонике), для реализации оптимизированных информационно-обменных процессов в СЧИ при создании, хранении, передаче, применении сообщений
[ГОСТ Р 43.0.2-2006, статья А.2, приложение А]
3.14 обращение с техникой: Обобщенное понятие любого взаимодействия человека и техники.
3.15 общая интегральная лингвистика: Область знаний о языковом функционировании мышления человека, осуществляемом при совместном гармонизированном проведении им умозрительной мыслительной, речемыслительной деятельности с применением визуально, аудиально воспринимаемых буквенных, небуквенных обособленных информационных образований соответствующего исполнения и их объединений.
3.16 протокол: Набор правил, по которым управляется работа программ, компьютеров при обмене информацией.
3.17 проектно-корпоративные ИРТД: ИРТД в виде информации, создаваемой совокупностью лиц, юридически объединившихся на предприятии, в организации, учреждении и т.п. в целях достижения развития различных аспектов техносферы (например, в проведении необходимых исследований по созданию, разработке, практическому применению техники и т.д.).
3.18 сеттлизированное представление технической информации: Представление технической информации в упорядоченном виде, обеспечивающем ее клиаративное применение в определенных целях.
3.19 служебно-ведомственные ИРТД: ИРТД в виде информации, создаваемой для служебного использования в целях обеспечения выполнения необходимых функций, находящихся в ведении каких-либо официальных органов или лиц.
3.20 сообщение с форматизированной семантикой представления: Сообщение, семантическое представление которого осуществляется в установленном формате.
3.21
техника: Совокупность технических устройств, предназначенных для использования в деятельности человека, общества.
[ГОСТ Р 43.0.2-2006, статья А.4, приложение А]
3.22
ИС МЕГАНОРМ: примечание.
В официальном тексте документа, видимо, допущена опечатка: имеется в виду статья 3.41 ГОСТ Р 43.0.5-2009, а не 3.39.
техносфера: Область распространения техники, определяемая потребностями социума.
[ГОСТ Р 43.0.5-2009, статья 3.39]
3.23 эталонные ИРТД: ИРТД, содержащие информацию, представленную в виде, соответствующем психофизиологии информационно-интеллектуальной деятельности человека, участвующего в соответствующих технических коммуникативных, эргатических, эвристических ИОП.
4 Сокращения
В настоящем стандарте использованы следующие сокращения:
ГИЧИВ - гибридно-интеллектуализированное человекоинформационное взаимодействие;
ЕИЧИВ - естественно-интеллектуализированное человекоинформационное взаимодействие;
ЕСЧИ - естественная система "человек - информация";
ЖЦИ - жизненный цикл изделия;
ИЕСЧИ - интегрированная естественная система "человек - информация";
ИИЧИВ - искусственно-интеллектуализированное человекоинформационное взаимодействие;
ИЛСИ - интегрально-лингвистизированная семантическая информация;
ИОП - информационно-обменные процессы;
ИОТОД - информационное обеспечение техники и операторской деятельности;
ИРТД - информационные ресурсы технической деятельности;
ИСЧИМ - интегрированная система "человек - информация - машина";
ИФС - инструкционный формат сообщения;
НИР - научно-исследовательская работа;
ОКР - опытно-конструкторская работа;
ОФС - описательный формат сообщения;
ПАИ управляемые - пассивно, активно, интерактивно управляемые (сведения, сообщения, информация);
РТФС - ремонтно-технологический формат сообщения;
СФС - справочный формат сообщения;
СЧМ - система "человек - машина";
СЧИ - система "человек - информация";
СЧИМ - система "человек - информация - машина";
ФС - формат сообщения;
ФЭНТИ РИИТ - фонд эталонной научно-технической информации развития интеллектуально-информационных технологий;
ЧМС - человек - машинная система;
ЭД - эксплуатационный документ;
ЭТД - электронный технический документ;
ЯзОД - язык операторской деятельности;
ЯФМ - языковое функционирование техники.
5 Общие положения
5.1 ИРТД, образуемые с применением ИОТОД, - это информационные ресурсы в виде сообщений, сведений какого-либо исполнения (бумажного, электронного), представленных с реализацией возможностей общей интегральной лингвистики в создании ИЛСИ с использованием ноон-технологии, целенаправленно предназначенные для применения в различных исследовательских, проектных, производственно-технологических, учебных целях.
5.2 Отличительной особенностью накопленных бумажных, электронных ИРТД, образуемые с применением ИОТОД (далее - ИРТД) от других технических информационных ресурсов, например относящихся к отчетным документам по проведенным НИР, ОКР, документам на изготовление изделий техники, является их направленность на:
- оказание интеллектуальной поддержки пользователям информацией из этих ИРТД в проведении лингвистически, в том числе машинно-лингвистически улучшенного, необходимого человекоинформационного взаимодействия, возникающего при обращении операторов с соответствующей техникой в образующихся при этом СЧИ;
- совершенствование семантики информации существующего и вновь разрабатываемого ИОТОД;
- машинизированное (компьютеризированное) использование в различных целях не формализуемой или слабо формализуемой в представлении семантизированной технической информации;
- повышение эффективности семантических ИОП при обращении человека с техникой в различных областях его деятельности;
- накопление и совершенствование опыта, полученного при обращении операторов (человека) с техникой;
- оказание информационной поддержки операторам на всех этапах ЖЦИ;
- оказание информационной поддержки разработчикам текстовой конструкторской документации для представления ее в целом или частично в образно-воспринимаемом виде с использованием ЯзОД, ноон-технологии;
- использование необходимых ИРТД с применением пассивного, активного, интерактивного управления семантикой информации, содержащихся в этих ИРТД;
- индивидуальное и коллективное дистанционное использование информации из соответствующих ИРТД для освоения техники, в том числе в виде симуляторов, стимуляторов;
- оказание информационной поддержки в разработке технической учебной литературы;
- оказание информационной поддержки техническим образовательным процессам с использованием входящих в ИРТД документов, программных продуктов для симуляторов, стимуляторов, разработанных с применением ноон-технологии;
- представление необходимой информации для операторов при осуществлении ими исследовательской, проектной, производственной деятельности, связанной с практическим обращением с техникой.
5.3 Совокупность средств, методов и условий, позволяющих использовать ИРТД, образуют информационный потенциал, обеспечивающий функционирование техносферы.
5.4 ИРТД являются базовым средством отражающим:
- распространение соответствующих информационных технологий в технике, в том числе информационно-интеллектуальной ноон-технологии;
- уровень информационной поддержки технической деятельности;
- достигнутый уровень общего развития техники.
5.5 ИРТД, которые могут создаваться, накапливаться и совершенствоваться с применением ноон-технологии, предназначены для обеспечения информационно-семантического функционирования техносферы, улучшения информационно-семантического ее состояния.
5.6 ИРТД являются средством, с помощью которого с применением заимствованно-адаптированного способа разработки план-проспектов может создаваться ИОТОД на новые образцы техники, с усовершенствованной семантикой изложения сведений в информации, содержащейся в этом ИОТОД, с представлением ее как на бумажном носителе с визуальным восприятием, так и в электронном виде с визуальным, визуально-аудиальным восприятием.
5.7 ИРТД могут быть применены с заимствованием, проведением сравнительного анализа, других способов использования необходимой информации из этих ИРТД при разработке технических систем, комплексов и их составных частей с учетом обращения с ними различных типов операторов.
5.8 С использованием ИРТД могут создаваться технические парадигмы (модели, образцы, примеры, которые описывают или объясняют что-либо происходящее в реальном мире техники), относящиеся к различным аспектам функционирующей техносферы.
5.9 Назначение ИРТД при разработке нового ИОТОД состоит в том, чтобы предоставить пользователям возможность применять информацию из этих ИРТД для осуществления необходимого ЕИЧИВ, ГИЧИВ, ИИЧИВ с целью получения интеллектуальной поддержки при их взаимодействии с информацией.
5.10 ИРТД, создаваемые на основе ноон-технологии, могут быть применены с использованием глобально-корпоративных распределенных информационных сетей (например, интернет) с использованием соответствующих протоколов для реализации технологий совместной компьютеризированной информационно-интеллектуальной деятельности (совместного компьютеризированного сотрудничества) различного типа операторов в ходе осуществления ими ЕИЧИВ, ГИЧИВ, ИИЧИВ.
5.11 ИРТД независимо от применяемой для их разработки информационной технологии могут быть документированными и недокументированными, выполненными на твердых носителях информации (бумаге, пленке, поверхностях технических изделий и т.д.), в электронном виде.
Документированные ИРТД могут быть представлены информацией, которая должна излагаться по установленным правилам оформления, в том числе нормативно-регулируемым.
Документированные ИРТД предназначены для длительного хранения с целью их совершенствования, многократного применения в установленном порядке.
Недокументированные ИРТД могут быть представлены информацией, излагаемой без применения установленных правил оформления, например в виде различного рода рукописей (статей, рефератов, авторских научно-технических произведений и т.д.).
Недокументированные ИРТД не предназначены для длительного хранения, используются в оперативных целях для достижения промежуточных результатов в какой-либо технической деятельности.
Недокументированные ИРТД в необходимых случаях могут при соответствующем оформлении их представления переводиться в документированные ИРТД.
5.12 Документированные ИРТД в зависимости от организации разработки для них информации могут быть проектно-корпоративными, служебно-ведомственными, авторизованными.
5.13 Документированные проектно-корпоративные ИРТД могут быть представлены в виде документов с научно-технической, конструкторской, производственно-технологической информацией.
5.14 Документированные проектно-корпоративные ИРТД для применения в практической технической деятельности могут быть представлены в виде информации для ИОТОД в документах, разрабатываемых по номенклатуре и оформлению в соответствии с ГОСТ 2.601.
5.15 Документированные служебно-ведомственные ИРТД для применения в практической технической деятельности могут быть представлены в виде информации для ИОТОД в документах, разрабатываемых по номенклатуре в варианте, приведенном в качестве примера в приложении А, по оформлению в установленном ведомствами порядке.
5.16 Документированные авторизованные ИРТД для применения в качестве ИОТОД могут быть представлены в виде документов - технических изданий различного назначения (монографий, учебников, статей и т.д.).
5.17 Потребителями ИРТД могут быть корпоративные, ведомственные пользователи информации, частные лица.
5.18 Информация для ИРТД для ее практического применения в технике может разрабатываться в зависимости от ее использования соответствующей категорией специалистов, привлекаемых к обращению с техникой, с учетом соответствия их труда труду определенного типа оператора: оператора-руководителя, оператора-технолога, оператора-исследователя, оператора-наблюдателя, оператора-манипулятора.
5.19 Каждый тип оператора использует ИРТД, образованные с учетом особенностей его мыслительной деятельности в труде, которым он занимается.
5.20 Оператор-руководитель - оператор, принимающий ответственные организационные, управляющие решения в СЧИ, СЧМ на основе имеющихся у него знаний, опыта.
Для оператора-руководителя информация из ИРТД, которую он может применять в своей работе, должна разрабатываться с учетом качеств оператора-руководителя, которые ему необходимы в его деятельности, например:
- способности к абстрактному мышлению, обобщению, конкретизации;
- способности к мышлению вероятностными категориями;
- критичности мышления.
5.21 Оператор-технолог - оператор, непосредственно являющийся частью технологического процесса в СЧИ, СЧМ, работающий в режиме немедленного его обслуживания.
Для оператора-технолога информация из ИРТД, которую он может применять в своей работе, должна разрабатываться с учетом качеств оператора-технолога, которые ему необходимы в его деятельности, например:
- высокой помехоустойчивости при визуально-аудиальном восприятии информации;
- способности к аналитическому мышлению;
- умению принимать решения в изменяющихся ситуациях.
5.22 Оператор-исследователь - оператор, обеспечивающий функционирование СЧИ, СЧМ при проведении исследовательской деятельности.
Для оператора-исследователя информация из ИРТД, которую он может применять в своей работе, должна разрабатываться с учетом качеств оператора-исследователя, которые ему необходимы в его исследовательской деятельности, например:
- способности к понятийному мышлению;
- способности к принятию прогностических решений;
- умению проводить сравнительный анализ.
5.23 Оператор-манипулятор - оператор, обеспечивающий управление СЧИ, СЧМ с помощью органов управления.
Для оператора-манипулятора информация из ИРТД, которую он может применять в своей работе, должна разрабатываться с учетом качеств оператора-манипулятора, которые ему необходимы в его деятельности, например:
- способность к устойчивой моторной работе, в том числе в максимальном темпе;
- высокая мышечно-суставная чувствительность;
- способность к сенсомоторной координации.
5.24 Оператор-наблюдатель (контролер) - оператор, обеспечивающий контроль за СЧИ, СЧМ с помощью органов контроля, индикации, оповещения, регулирования.
Для оператора-наблюдателя информация из ИРТД, которую он может применять в своей работе, должна разрабатываться с учетом качеств оператора-наблюдателя, которые ему необходимы в его деятельности, например:
- высокая сенсорная чувствительность;
- способность к работе в режиме отсроченного обслуживания;
- быстрая реакция в принятии решений при восприятии информации.
5.25 Корпоративных, ведомственных пользователей информацией соответствующих ИРТД, занимающихся различными аспектами практического обращения с техникой, в зависимости от отношения их к типу операторов можно в общем виде разделить на следующие категории:
- корпоративные, ведомственные руководители;
- инженерно-технические специалисты служб, организующие применение техники;
- инженерно-технические специалисты, обеспечивающие применение техники;
- специалисты, применяющие технику по назначению;
- преподавательский и обучающийся состав учебных технических заведений.
5.26 К корпоративным, ведомственным руководителям (их деятельность соответствует деятельности оператора-руководителя) относятся специалисты, которые по роду своей деятельности организуют использование техники по прямому назначению.
Этим руководителям необходима из ИРТД информация, относящаяся к характеристикам техники, применяемой для осуществления управления процессами применения техники, например: информация о возможностях используемой техники, особенности применения техники в различное время года, суток, продолжительность плановых простоев на техобслуживании и т.д.
5.27 К инженерно-техническим специалистам служб, организующих применение техники (в своей деятельности соответствующие деятельности оператора-технолога) относятся специалисты, которые по роду своей деятельности решают вопросы материально-технического снабжения, организуют плановые техобслуживания, проводят подготовительные работы к проведению сезонных обслуживаний техники, организуют транспортирование и хранение техники и т.д.).
Этим специалистам необходима из ИРТД информация, относящаяся к организации необходимых работ, например: информация о средствах технического обслуживания и ремонта, назначении и составе ЗИП, периодичности продолжительности технического обслуживания, норм расхода материалов на эксплуатацию техники, условий транспортирования и хранения, состава документации к необходимой технике и т.д.
5.28 К инженерно-техническим специалистам, обеспечивающим применение техники (их деятельность соответствует деятельности оператора-исследователя), относятся специалисты, которые по роду своей деятельности решают вопросы постоянного поддержания техники в исправном состоянии.
Этим специалистам необходима из ИРТД информация, относящаяся к исполнению работ по проверке, настройке техники перед ее использованием по назначению, ее техническому обслуживанию и ремонту.
5.29 К специалистам, применяющим технику по назначению (их деятельность соответствует деятельности оператора-наблюдателя, оператора-манипулятора), относятся специалисты, которые по роду своей деятельности решают задачи непосредственного применения техники, уходу за ней и ее сбережению.
Этим специалистам необходима из ИРТД информация, относящаяся к решению задач по применению техники по назначению и поддержанию ее в исправном состоянии в требуемом объеме.
5.30 К преподавательскому и обучающемуся составу учебных технических заведений относятся участники учебного процесса.
Участникам учебного процесса необходима из ИРТД информация, относящаяся к решению задач обеспечения учебного процесса по изучению устройства и эксплуатации необходимой техники, выработки необходимых навыков по обращению с ней.
5.31 Частные лица, пользователи информацией соответствующих ИРТД по собственной инициативе, при необходимости с привлечением необходимых корпоративных образований (например, сервисных центров, автозаправочных станций и т.п.), должны обеспечивать осуществление необходимых видов деятельности проводимых специалистами корпоративных, ведомственных образований.
5.32 ИРТД, разрабатываемые и накапливаемые с реализацией возможностей интегральной лингвистики в создании информации с использованием ноон-технологии, могут быть применены в информационных процессах, с целью повышения эффективного взаимодействия информации и человека в возникающих в этих процессах соответствующих СЧИ (ЕСЧИ, ИЕСЧИ, СЧИМ, ИСЧИМ) при проведении:
- научных исследований в технике (например, для реконструкции, прогнозируемого представления необходимых событий, ситуаций);
- ОКР (например, для заимствованного применения ранее разработанных образцов техники);
- практического применения техники (например, для получения необходимой информационной поддержки в процессе устранения редко возникающих неисправностей);
- учебной деятельности (например, при отработке навыков по действиям в сложных ситуациях).
5.33 ИРТД, разрабатываемые с реализацией возможностей интегральной лингвистики в создании информации с использованием ноон-технологии, должны обеспечивать их эффективное использование с обеспечением по возможности наиболее полного и рационального удовлетворения потребностей пользователя (оператора), применяющих их для каких-либо целей.
Для достижения этой цели ИРТД должны позволять доводить необходимую информацию до ее потребителей в требуемом объеме, в требуемые сроки, в виде, обеспечивающем ее клиаративное восприятие и использование (в том числе креативное) мышлением потребителя человека-оператора.
5.34 Разработка, накопление и использование ИРТД, с реализацией возможностей интегральной лингвистики в создании информации с использованием ноон-технологии, должны проводиться с учетом:
- системы стандартов ИОТОД ГОСТ Р 43.0.1;
- стандартов ЕСКД ГОСТ 2.601, ГОСТ 2.610, ГОСТ 2.602, ГОСТ 2.051.
5.35 ИРТД, разрабатываемые с применением ноон-технологии, могут храниться и применяться на твердых носителях информации или в электронном виде для индивидуального, коллективного раздельного, коллективного совместного использования в неуправляемом или управляемом по поиску предъявлению и семантике виде (см. приложение Б).
5.36 Формирование ИРТД с применением ноон-технологии может осуществляться с использованием информации, разрабатываемой с помощью машинно-управляемых по семантике пикториально-аудиальных моно- и полисемантических знаков ЯзОД.
5.37 Ноон-технология позволяет осуществить индивидуальный, коллективный машинно-управляемый по семантике информационный обмен между соответствующими ИРТД.
5.38 ПАИ, управляемые машинными (компьютерными) средствами по семантике ИРТД, могут обеспечить реализацию при практическом, учебном применении техники, оснащенной дисплейным управлением ЕИЧИВ, ГИЧИВ, ИИЧИВ операторов с этой техникой.
ИРТД, выполненные с обеспечением необходимого ЕИЧИВ, ГИЧИВ, ИИЧИВ операторов с информацией, содержащейся в этих ИРТД, могут участвовать в виде баз знаний для осуществления интеллектуализации функционирования техносферы.
ИРТД в виде клиаратизированных баз знаний, используемых при осуществлении ЕИЧИВ, ГИЧИВ, ИИЧИВ оператора, могут применяться в технике с целью развития и поддержки логического мышления операторов в пространственно-временных координатах.
5.39 Представление технической информации для ИРТД в сеттлизированном виде с применением моделинг-ноонинга (ГОСТ Р 43.0.3-2009 п. 5.8), с оптимизированным ПАИ управлением ее параметрами позволяет применять эти ИРТД в качестве информационной поддержки для создания и применения систем с компонентным искусственным интеллектом (систем с элементами искусственного интеллекта).
5.40 При создании информации для научно-исследовательской, конструкторской, практической (связанной с обращением с техническими изделиями), дидактической, производственно-технологической технической деятельности, из которой формируются необходимые ИРТД (см. приложение В, рисунок В.1), может применяться эталонная информация по представлению в пикториально-аудиальном исполнении, адаптированном к использованию в ЯФМ. Такая эталонная информация может разрабатываться с применением соответствующих стандартов системы ИОТОД ГОСТ Р 43.0.1. для создания нормативно-регулируемых, структурированных по предметному признаку фондов эталонных ИРТД как в бумажном, так и в электронном исполнении, например в виде ФЭНТИ РИИТ.
5.41 Статус ИРТД, формируемых с применением ноон-технологии как нормативно-регулируемого собрания документов, включающих в себя сообщения, сведения, относящиеся к ИОТОД обеспечивает применение этих ИРТД для различных аспектов правового регулирования обращения с техникой, функционирования техносферы.
Такие возможности ИРТД определяются тем, что документы, входящие в них, разрабатываются с применением клиаратизированных коммуникативных, эргатических, эвристических технических сообщений, сведений, входящих в соответствующие ИОТОД.
5.42 Хранение проектно-корпоративных ИРТД в печатном, электронном виде может осуществляться на самих корпоративных предприятиях, организациях, а также в специализированных документохранилищах.
Служебно-ведомственные ИРТД в печатном, электронном, репрографированном виде могут храниться в структурных подразделениях и специализированных документохранилищах соответствующих ведомств.
Авторизованные ИРТД в печатном, электронном виде могут храниться в библиотеках, специализированных документохранилищах.
5.43 Эталонные ИРТД в виде централизованных, распределенных фондов могут создаваться с целью осуществления нормативно-регулируемого сбора, хранения необходимой информации, ее совершенствования, а также для нормативно-регулируемого использования информации, содержащейся в ИРТД в каких-либо целях.
5.44 Формирование эталонных ИРТД в виде распределенных фондов хранения информации может осуществляться с использованием специально разрабатываемых стандартов с приобретением при этом формируемыми эталонными ИРТД дифференциально-организованных нормативно-регулирующих возможностей в повышении эффективности совершенствования и применения информации, содержащейся в формируемых эталонных ИРТД.
5.45 При необходимости эталонные бумажные ИРТД в виде распределенных фондов хранения информации могут быть включены в качестве приложения в соответствующие стандарты, которые могут иметь следующую общую часть названия: "Информационное обеспечение техники и операторской деятельности. Язык операторской деятельности. Графическое представление информации на изделие(я) (процессы)......".
При необходимости эталонные электронные, программные ИРТД в виде распределенных фондов хранения информации могут быть включены в качестве приложения в соответствующие стандарты, которые могут иметь следующую общую часть названия: "Информационное обеспечение техники и операторской деятельности. Язык операторской деятельности. Электронное (программное) представление информации на изделия(е) (процессы)......".
5.46 Создание, корректировка ИРТД в бумажном, электронном, программном виде может осуществляться по ходатайству заинтересованных ведомств, корпоративных предприятий, организаций.
6 Основные положения
6.1 Формирование (создание) документированных ИРТД с применением ноон-технологии должно осуществляться с учетом порядка разработки информации для соответствующих ИРТД, ее применения и обеспечиваться:
- качеством неуправляемого, управляемого (пассивными, активными, интерактивными способами) семантического представления информации, предназначенной для включения в соответствующие информационные ресурсы;
- способами немашинизированной, машинизированной передачи (сбора), хранения, поиска, предъявления информации, содержащейся в информационных ресурсах;
- способами совершенствования информации в информационных ресурсах, находящихся на хранении;
- методами, препятствующими воздействию информационных помех на процессы использования информации, содержащейся в информационных ресурсах;
- созданием необходимого уровня конфиденциальности информации, содержащейся в информационных ресурсах для защиты ее от несанкционированного доступа к ней.
6.2 Разработка информации с применением ноон-технологии с целью включения в документы, формирующие соответствующие ИРТД, должна проводиться в нормативно-регулируемом порядке с использованием стандартов системы стандартов ИОТОД ГОСТ Р 43.0.1.
6.3 Формирование ИРТД с применением ноон-технологии должно проводиться с помощью дискретной информации, разрабатываемой в нормативно-регулируемом виде, позволяющем как дифференциальное, так и интегральное ее проектирование и использование соответствующими операторами (в соответствующих видах операторской деятельности) независимо от юридической организации и количества разработчиков, участвующих в создании какого-либо образца техники (технического изделия).
6.4 Средством, используемым для дискретного представления в документированных ИРТД информации в виде семантически законченных сообщений является форматирование этих сообщений с использованием информационных образований в виде ФС (ОФС, ИФС, РТФС, СФС), которые могут состоять из необходимого количества листов. Такое представление информации в применяемых ИРТД обеспечивает их дискретное использование при практическом обращении с техникой, информационном обмене с другими ИРТД.
6.5 Формирование ИРТД с применением информации в виде сообщений с форматизированной семантикой представления обеспечивает:
- создание необходимых условий для машинизированного (компьютеризированного) применения информации из соответствующих ИРТД с использованием ее специалистами (операторами) в процессе ЕИЧИВ, ГИЧИВ, ИИЧИВ;
- внедрение в техносфере технологий совместной работы пользователей информации из ИРТД;
- совершенствование ИРТД с использованием информации в виде форматированных эталонных сообщений, в том числе разрабатываемых с учетом полученного опыта при обращении с техникой.
6.6 Разработчиком интегральной (объединенной) информации для формирования необходимых ИРТД является разработчик изделия в целом или разработчик составной части изделия, включающей в себя определенное количество составных частей более низкого уровня входимости.
6.7 Разработчиком дифференциальной (отдельной) информации для формирования необходимых ИРТД является разработчик составной части изделия, в которую не входят вновь разрабатываемые составные части более низкого уровня входимости.
6.8 При разработке как интегральной, так и дифференциальной информации для включения в документированные ИРТД должны учитываться интересы потребителей информационных ресурсов с учетом частоты их использования.
6.9 Разработчик технического изделия, используемого в качестве комплектующей составной части в других технических изделиях, должен иметь соответствующие форматы сообщений, подлежащие согласованию по количеству, учетному оформлению и изложению сведений с разработчиком, использующим заимствованное изделие в качестве комплектующей составной части разрабатываемого им технического изделия.
Форматы сообщений на изделия, являющиеся комплектующими составными частями, при необходимости могут совершенствоваться по согласованию с разработчиком, использующим соответствующее изделие в качестве комплектующей составной части.
6.10 Информационные ресурсы ИОТОД, например, для ускоренной подготовки специалистов могут образовываться из адаптированных к достижению этой цели форматов сообщений, целенаправленно предназначенных для формирования необходимой когнитивной семантики мышления у определенных категорий высококвалифицированных пользователей информации, использующих эти форматы сообщений в своей технической деятельности.
6.11 Для применения сложной информации, включаемой в необходимые ИРТД, разрабатываемых на основе ноон-технологии, предусматриваются технологические и методические способы повышения эффективности восприятия этой информации с применением дискернинга (грамматико-семантической различимости) контекстизированно-представленных сведений, содержащихся в применяемой информации с целью достижения повышенного уровня ее привлекательности при использовании симультного восприятия.
Дискернинг информации, включаемой в соответствующие ИРТД, осуществляется как применением необходимых технических решений графического и звукового исполнений информации, так и применением необходимых методических решений в изложении сведений в информации.
В качестве технического решения для дискернинга графического исполнения информации может являться выбор толщины применяемых линий и размера шрифта при выполнении иллюстраций в соответствии с ГОСТ 2.601, приложение Б.
6.12 Информация, разрабатываемая с применением ноон-технологии с оформлением в виде документированных отдельных или объединенных бумажных, электронных ФС для формирования необходимых документов как в бумажном, так и в электронном виде с целью включения их в соответствующие документированные ИРТД, состоит из двух частей: семантической (содержательно-смысловой) и реквизитной.
Семантическая часть - содержательно-смысловое представление информации в ФС, представляющее собой информацию о соответствующем изделии и различных аспектах обращения с ним в процессе ЖЦИ.
Реквизитная часть - идентификационные данные бумажных, электронных ФС, входящих в соответствующие документы, формирующих необходимые ИРТД.
Данные реквизитной части ФС могут использоваться в логистико-логическом представлении ИЛСИ для этого ФС.
Информация в семантической части ФС может излагаться в виде ИЛСИ с учетом ее исполнения в соответствующем перцептивном, грамматическом, машинно-стимуляционном представлении.
Электронные ФС могут существовать как документы для ИРТД только в составе компьютеризированной ЧМС, в которой они обрабатываются, регистрируются и/или хранятся, приобретают необходимый статус.
6.13 Идентификацию разрабатываемой информации, используемой для формирования необходимыми документами документированных ИРТД с применением ноон-технологии, можно проводить с применением структурной организации ее обозначения по ГОСТ 2.601, с возможным дополнительным применением функциональной организации ее обозначения с отнесением соответствующих ФС к определенному целевому назначению в обращении с техникой
6.14 ФС, формирующие ИРТД, могут включать в себя:
- ОФС, в которые могут входить картинно-воспринимаемые контекстизированные произвольно-композиционированные, упорядоченно-композиционированные (схемные) описательные сведения (например, иллюстрированные описания составных частей изделий, схемы функционирования изделий);
- ИФС, в которые могут входить картинно-воспринимаемые контекстизированные произвольно-композиционированные, упорядоченно-композиционированные (схемные) инструкционные сведения (например, карты смазки составных частей изделия, операционные схемы управления изделием, схемы поиска неисправностей);
- РТФС, в которые могут входить картинно-воспринимаемые контекстизированные произвольно-композиционированные, упорядоченно-композиционированные (схемные) ремонтно-технологические сведения (например, иллюстрированные описания специального инструмента, схемы замены агрегатов, узлов, механизмов с вышедшими сроками эксплуатации);
- СФС, в которые могут входить картинно-воспринимаемые контекстизированные произвольно-композиционированные, упорядоченно-композиционированные (схемные, таблично-оформленные) справочные сведения (например, иллюстрированные перечни деталей и сборочных единиц изделий; иллюстрированные таблицы с номенклатурой запасных частей).
6.15 ИРТД, разрабатываемые с применением ноон-технологии, предназначены в информационно-интеллектуальной деятельности различных типов операторов для:
- уменьшения отрицательного влияния явления забывания на потребителей информации из используемых ИРТД на рассматриваемый образец техники, возникающего из-за не регулярного использования ими этого образца техники;
- повышения интеллектуализации мыслительной деятельности потребителей информации из используемых ИРТД на рассматриваемый образец техники осуществлением необходимой корректировки имеющихся в их мышлении знаний до адекватно-необходимых;
- выработки у потребителей информации из используемых ИРТД на рассматриваемый образец техники необходимых обновленных представлений навыков, умений по обращению с этой техникой;
- обеспечения приведения учебных (дидактических) процессов в соответствие с ИРТД, относящимися к устройству и принципам работы рассматриваемого образца техники.
6.16 Для различных аспектов обращения с техникой в процессах ее применения, обслуживания, ремонта имеют ИРТД, в состав которых входят программные продукты для симуляторов, стимуляторов, с помощью которых с применением управляемых информационных представлений (моделей) могут приобретаться пользователями этих ИРТД необходимые устойчивые навыки, умения по практическому использованию соответствующих образцов техники.
6.17 Оформление документированных ИРТД в виде необходимых ЭД, ИЭД осуществляется в соответствии с ГОСТ 2.610, с обозначением этих документов по ГОСТ 2.201.
6.18 Персональная ответственность с применением подписей, подтверждающая авторство за разработанные документы, включаемые в соответствующие ИРТД, устанавливается для бумажных документов в виде подлинных подписей в соответствии с ГОСТ 2.104, для электронных документов - в виде электронной подписи.
6.19 Передача (сбор), хранение, поиск, предъявление документов, используемых в документированных ИРТД, может осуществляться как на бумажных носителях в виде ЭД в соответствии с ГОСТ 2.501, так и на электронных носителях в виде ЭТД.
6.20 Совершенствование документов в документированных ИРТД для ИОТОД может осуществляться внесением в них соответствующих изменений методом последовательного исправления в соответствии с ГОСТ 2.503 или методом параллельного замещения (двойного учета) с применением ноон-технологии.
6.21 Применение ИРТД может быть затруднено из-за наличия противодействующих этому различных информационных помех (информационного шума).
6.22 Различают три разновидности информационного шума и соответственно три информационных фильтра (грамматический, семантический, прагматический), препятствующих воздействию этого информационного шума на применение ИРТД.
6.23 Грамматический (синтаксический) фильтр применяется при обнаружении в последовательности знаков, содержащихся в информации соответствующих ИРТД участков, которые не поддаются осмысленному восприятию.
Эти участки, которые могут, например, возникать в результате каких-либо несанкционированных воздействий, ошибочно внесенных изменений и т.д., создают грамматический шум, который может распознаваться грамматическим фильтром.
Грамматический фильтр содержит набор правил действий, позволяющий различать правильные (осмысленные) и неправильные (бессмысленные) последовательности знаков в информации соответствующих ИРТД.
6.24 Семантический фильтр применяется при отсутствии новизны в сообщениях, содержащихся в информации, или при прохождении ложных сообщений через грамматический фильтр информации соответствующих ИРТД.
Семантический фильтр проверяет соответствие контролируемых сообщений в информации используемых ИРТД с уже имеющимися сообщениями.
Существенные для семантического фильтра взаимосвязи могут устанавливаться для него с учетом понятий, выведенных соответствующими техническими предметными науками, например теорией автоматического регулирования, теоретической механикой и т.д.
6.25 Прагматический фильтр применяется для установления степени ценности информации, содержащейся в используемых ИРТД.
Параметры прагматической оценки могут относиться к качеству информации, содержащейся в используемых ИРТД, характеризующейся совокупностью свойств, позволяющих эффективно использовать эту информацию.
6.26 Применение соответствующих ИРТД должна проводиться с учетом проведения необходимой классификации и кодирования информации, входящей в эти ИРТД, осуществляемой в соответствии с ГОСТ 2.601, приложение В.
6.27 ИРТД, создаваемых с применением ноон-технологии конфиденциальность использования семантической информации, может обеспечиваться:
- методическим способом, раздельным размещением семантически связанных сведений (имеющих определенные ограничения в доступе к соответствующим частям этих сведений) по документам как дифференциального, так и интегрального исполнения, имеющим различный уровень защищенности от несанкционированного доступа;
- криптографическим способом;
- применением брандмауэров (с комбинированным использованием программных и аппаратных средств) барьерных средств защиты, препятствующих доступу к информации с сетевой организацией их использования всем, кроме уполномоченных лиц.
6.28 Информация в ИРТД, имеющая государственную или коммерческую тайну, должна иметь защиту и применятся с учетом соответствующего законодательства Российской Федерации.
Приложение А
(справочное)
СОСТАВ ДОКУМЕНТОВ, ВХОДЯЩИХ В ДОКУМЕНТИРОВАННЫЕ
ИНФОРМАЦИОННЫЕ РЕСУРСЫ ТЕХНИЧЕСКОЙ ДЕЯТЕЛЬНОСТИ, ФОРМИРУЕМЫХ
С ИСПОЛЬЗОВАНИЕМ ИНФОРМАЦИОННОГО ОБЕСПЕЧЕНИЯ ТЕХНИКИ
И ОПЕРАТОРСКОЙ ДЕЯТЕЛЬНОСТИ, РАЗРАБАТЫВАЕМОГО
С ПРИМЕНЕНИЕМ НООН-ТЕХНОЛОГИИ
Рисунок А.1 - Схема состава документов, входящих
в документированные ИРТД, формируемых с использованием ИОТОД
Приложение Б
(справочное)
ПРЕДСТАВЛЕНИЕ ИНФОРМАЦИИ ДЛЯ ИНФОРМАЦИОННЫХ РЕСУРСОВ
ТЕХНИЧЕСКОЙ ДЕЯТЕЛЬНОСТИ С ИСПОЛЬЗОВАНИЕМ ИНФОРМАЦИОННОГО
ОБЕСПЕЧЕНИЯ ТЕХНИКИ И ОПЕРАТОРСКОЙ ДЕЯТЕЛЬНОСТИ,
РАЗРАБАТЫВАЕМОГО С ПРИМЕНЕНИЕМ НООН-ТЕХНОЛОГИИ
Рисунок Б.1 - Схема представления информации для ИРТД
с использованием ИОТОД, разрабатываемого
с применением ноон-технологии
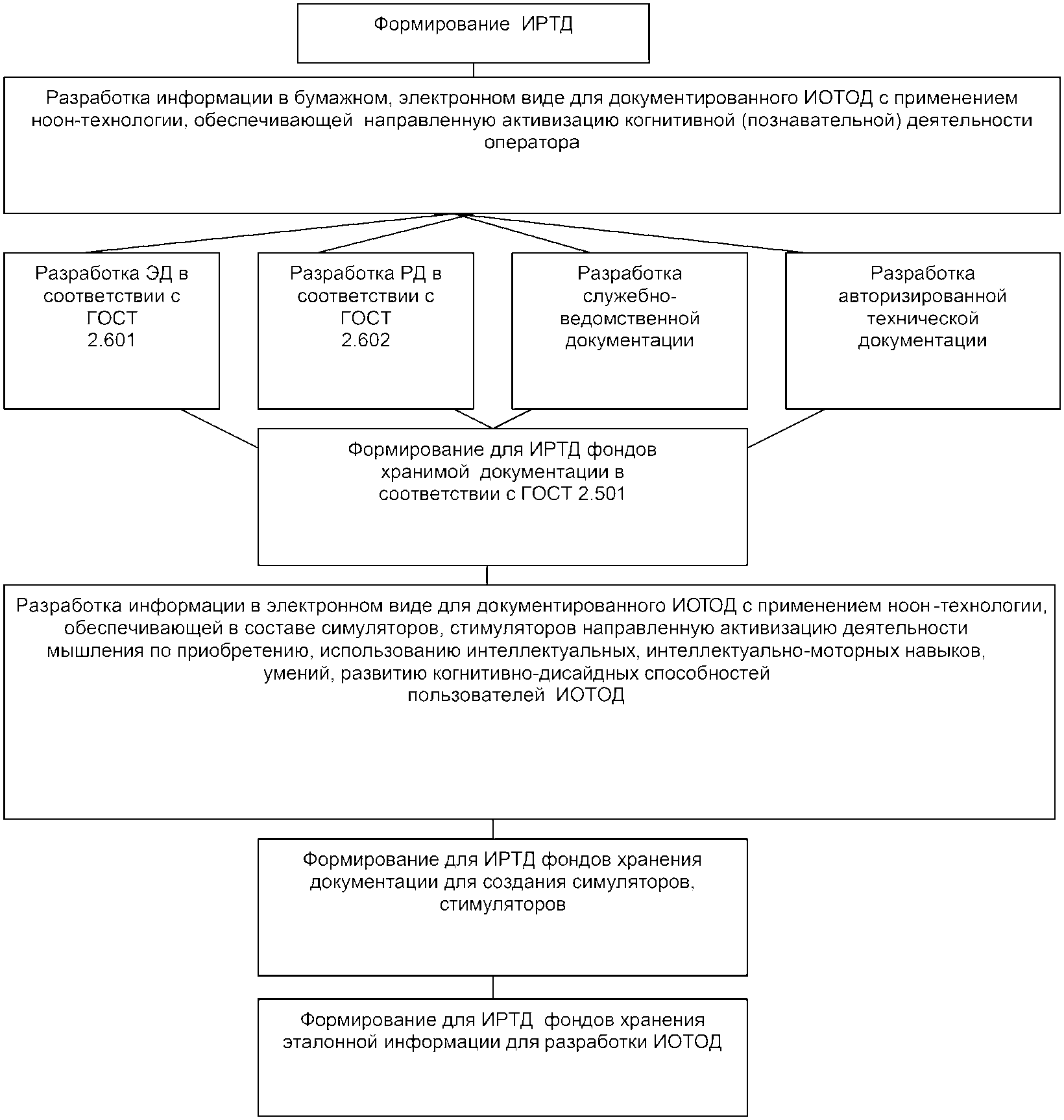
Приложение В
(справочное)
ФОРМИРОВАНИЕ ДОКУМЕНТИРОВАННЫХ ИНФОРМАЦИОННЫХ РЕСУРСОВ
ТЕХНИЧЕСКОЙ ДЕЯТЕЛЬНОСТИ С ИСПОЛЬЗОВАНИЕМ ИНФОРМАЦИОННОГО
ОБЕСПЕЧЕНИЯ ТЕХНИКИ И ОПЕРАТОРСКОЙ ДЕЯТЕЛЬНОСТИ,
РАЗРАБАТЫВАЕМОГО С ПРИМЕНЕНИЕМ НООН-ТЕХНОЛОГИИ
Рисунок В.1 - Схема формирования ИРТД с использованием
ИОТОД, разрабатываемого с применением ноон-технологии