Главная // Актуальные документы // ГОСТ Р (Государственный стандарт)СПРАВКА
Источник публикации
М.: Стандартинформ, 2018
Примечание к документу
Документ
введен в действие с 1 марта 2019 года.
Название документа
"ГОСТ Р МЭК 62552-3-2018. Национальный стандарт Российской Федерации. Приборы холодильные бытовые. Характеристики и методы испытаний. Часть 3. Энергопотребление и объем"
(утв. и введен в действие Приказом Росстандарта от 15.05.2018 N 253-ст)
"ГОСТ Р МЭК 62552-3-2018. Национальный стандарт Российской Федерации. Приборы холодильные бытовые. Характеристики и методы испытаний. Часть 3. Энергопотребление и объем"
(утв. и введен в действие Приказом Росстандарта от 15.05.2018 N 253-ст)
Утвержден и введен в действие
по техническому регулированию
и метрологии
от 15 мая 2018 г. N 253-ст
НАЦИОНАЛЬНЫЙ СТАНДАРТ РОССИЙСКОЙ ФЕДЕРАЦИИ
ПРИБОРЫ ХОЛОДИЛЬНЫЕ БЫТОВЫЕ.
ХАРАКТЕРИСТИКИ И МЕТОДЫ ИСПЫТАНИЙ
ЧАСТЬ 3
ЭНЕРГОПОТРЕБЛЕНИЕ И ОБЪЕМ
Household refrigerating appliances. Characteristics and test
methods. Part 3. Energy consumption and volume
(IEC 62552-3:2015, IDT)
ГОСТ Р МЭК 62552-3-2018
Дата введения
1 марта 2019 года
1 ПОДГОТОВЛЕН Обществом с ограниченной ответственностью "МП Сертификационная лаборатория бытовой электротехники ТЕСТБЭТ" (ООО "ТЕСТБЭТ") на основе официального перевода на русский язык международного стандарта, который выполнен ФГУП "ВНИИНМАШ"
2 ВНЕСЕН Техническим комитетом по стандартизации ТК 019 "Электрические приборы бытового назначения"
3 УТВЕРЖДЕН И ВВЕДЕН В ДЕЙСТВИЕ
Приказом Федерального агентства по техническому регулированию и метрологии от 15 мая 2018 г. N 253-ст
4 Настоящий стандарт идентичен международному стандарту МЭК 62552-3:2015 "Приборы холодильные бытовые. Характеристики и методы испытаний. Часть 3. Энергопотребление и объем" (IEC 62552-3:2015 "Household refrigerating appliances - Characteristics and test methods - Part 3: Energy consumption and volume", IDT).
Международный стандарт МЭК 62552-3:2015 разработан Техническим подкомитетом 59М "Характеристики электрических бытовых и аналогичных приборов для хранения и замораживания продуктов" Технического комитета 59 "Характеристики электрических бытовых и аналогичных приборов" Международной организации по стандартизации (IEC).
При применении настоящего стандарта рекомендуется использовать вместо ссылочных международных стандартов соответствующие им национальные стандарты, сведения о которых приведены в дополнительном
приложении ДА
5 ВВЕДЕН ВПЕРВЫЕ
Правила применения настоящего стандарта установлены в
статье 26 Федерального закона от 29 июня 2015 г. N 162-ФЗ "О стандартизации в Российской Федерации". Информация об изменениях к настоящему стандарту публикуется в ежегодном (по состоянию на 1 января текущего года) информационном указателе "Национальные стандарты", а официальный текст изменений и поправок - в ежемесячном указателе "Национальные стандарты". В случае пересмотра (замены) или отмены настоящего стандарта соответствующее уведомление будет опубликовано в ближайшем выпуске ежемесячного информационного указателя "Национальные стандарты". Соответствующая информация, уведомление и тексты размещаются также в информационной системе общего пользования - на официальном сайте Федерального агентства по техническому регулированию и метрологии в сети Интернет (www.gost.ru)
Стандарт МЭК 62552 разделен на следующие части:
МЭК 62552-1. Область применения, определения, приборное оснащение, испытательное помещение и размещение охлаждаемых продуктов;
МЭК 62552-2. Общие требования к характеристикам холодильных приборов и методы их испытаний.
МЭК 62552-3. Определение энергопотребления и объема (настоящая часть).
Нумерация формул в настоящем стандарте приведена в соответствии с МЭК 62552-3:2015.
Настоящий стандарт устанавливает обязательные характеристики бытовых и аналогичных холодильных приборов, охлаждаемых методом внутренней естественной конвекции или принудительной циркуляции воздуха, а также устанавливает методы испытаний для проверки этих характеристик.
Настоящий стандарт описывает методы определения характеристик энергопотребления и определяется возможность их сбора для оценки энергопотребления при разных условиях использования и климатических условиях. Настоящий стандарт также определяет процедуру определения объема.
Следующие стандарты, в целом или по частям, являются нормативными ссылками в настоящем стандарте и обязательны для применения. При датированных ссылках применяется только указанное издание, при недатированных - последнее издание ссылочного стандарта (включая все изменения к нему).
IEC 62552-1:2015 Household refrigerating appliances - Characteristics and test methods - Part 1: General requirements (Приборы холодильные бытовые. Характеристики и методы испытаний. Часть 1. Общие требования)
IEC 62552-2:2015 Household refrigerating appliances - Characteristics and test methods - Part 2: Performance requirements (Приборы холодильные бытовые. Характеристики и методы испытаний. Часть 2. Требования к рабочим характеристикам)
3 Термины, определения и обозначения
3.1 Термины и определения
Для целей настоящего стандарта применяют термины, определения и обозначения по МЭК 62552-1, а также следующие термины с соответствующими определениями.
3.1.1 специальные вспомогательные средства (specified auxiliaries): Функции или средства, влияющие на энергопотребление холодильного прибора, фактическое энергопотребление которых зависит от условий использования или эксплуатации.
Примечания
1 В настоящем стандарте внесено дополнительное положение об определении воздействия этих функций или средств на энергопотребление в соответствии с региональными требованиями
2 Требования к испытаниям определенных вспомогательных средств (при наличии) установлены в
приложении F, а спецификации их применения приведены в
6.8.4. Единственные определенные в этой редакции стандарта вспомогательные средства - противоконденсатные нагреватели с управлением внешней температурой и автоматические устройства для производства льда резервуарного типа.
3.1.2 интервал размораживания (defrost interval): Измеренная или приближенная длительность цикла управления размораживанием с момента начала одного цикла управления размораживанием до момента начала следующего цикла управления размораживанием, выражается в часах истекшего времени (по часам).
В настоящем стандарте использованы следующие обозначения:
E - потребление электрической энергии за определенный период (день, год и т.д.), В·ч или кВ·ч;
P - среднее постоянное энергопотребление за определенный период, Вт;
T - средняя температура отделения за указанный период, °C;
TMPn - позиция измерения температуры определенного датчика температуры;
t - время в определенный момент;

- интервал времени между двумя заданными значениями времени для определенного периода, ч;

- дополнительное потребление энергии, связанное с периодом размораживания и восстановления температуры, свыше соответствующего энергопотребления в стабильном состоянии при тех же уставках устройств управления температурой, Вт·ч;

- накопленная разница температуры, за период времени (по отношению к температуре в стабильном состоянии) в период размораживания и восстановления температуры для отделения
i, К·ч;
Rt - фактическое время работы компрессора за определенный период времени (фактический период работы компрессора), ч;
CRt - процент времени работы компрессора в течение определенного периода (Rt/общий интервал времени в %);
PHi - средняя мощность нагревателя, связанная с противоконденсатным нагревателем с управлением внешней температурой при заданной температуре и влажности
(приложение F), Вт;
M - масса воды, используемой для обработки загрузки
(приложение G), или масса воды или льда при испытаниях приготовления льда
(приложение F).
4 Этапы испытаний, применяемые для определения энергопотребления и объема
4.1 Подготовка к испытаниям энергопотребления
Перед измерением энергопотребления в холодильном приборе его следует подготовить в помещении для испытаний в соответствии с
приложением A.
4.2 Энергопотребление в стабильном состоянии
Энергопотребление холодильного прибора в стабильном состоянии определяют в соответствии с
приложением B.
4.3 Энергопотребление и изменения температуры при размораживании и восстановлении
Для приборов с одной или несколькими системами размораживания (каждая из которых имеет собственный цикл управления размораживанием) нарастающее значение энергопотребления при размораживании и восстановлении для условного числа периодов размораживания и восстановления определяется для каждой системы в соответствии с
приложением C. Изменение температуры, связанное с размораживанием и восстановлением, также определяется для каждой системы в соответствии с
приложением C.
4.4 Частота размораживания
Для приборов с одной или несколькими системами размораживания (каждая из которых имеет собственный цикл управления размораживанием) интервал размораживания каждой системы определяется в соответствии с
приложением D в зависимости от типа управления.
4.5 Число точек испытания и интерполяция
В случае интерполяции энергопотребления холодильного прибора в соответствии с
разделом 6 следует использовать один из методов, указанных в
приложении E.
4.6 Эффективность обработки нагрузки
В случае, когда эффективность обработки загрузки холодильного прибора декларирована или определена, измерения проводят в соответствии с
приложением G.
4.7 Определенные вспомогательные устройства
Если холодильный прибор содержит специальное вспомогательное устройство, то воздействие такого вспомогательного устройства на энергопотребление определяют в соответствии с
приложением F.
Объем каждого отделения холодильного прибора определяют в соответствии с
приложением H.
5 Целевые значения температуры для определения энергопотребления
Энергопотребление прибора определяют на основе измерений, проводимых во время испытаний в соответствии с
разделом 6 при окружающей температуре 32 °C и окружающей температуре 16 °C. Значение энергопотребления, определенное в соответствии с настоящим стандартом, будет относиться к настройке устройства управления температурой (или эквивалентной точке), при которой все средние значения температуры воздуха в отделении находятся на уровне целевых температур, указанных поставщиком в
таблице 1 для каждого типа отделения, или ниже этого уровня. Значения выше и ниже целевых температур могут использоваться для оценки энергопотребления при целевой температуре для каждого соответствующего отделения методом интерполяции в соответствии с указаниями
раздела 6.
Примечание - Данные по отделениям с переменной температурой приведены в приложении B МЭК 62552-1. Для испытаний энергопотребления они используются в режиме (при постоянном рабочем диапазоне температур), при котором потребляется больше всего энергии.
Таблица 1
Целевые значения температуры для определения
энергопотребления по типу отделения
Тип отделения | Целевое значение средней температуры воздуха, °C |
"Кладовая" | 17 |
Хранение вина | 12 |
"Погреб" | 12 |
Свежие продукты | 4 |
Охлажденные продукты | 2 |
Без звезд | 0 |
Одна звезда | -6 |
Две звезды | -12 |
Три и четыре звезды | -18 |
Для целей испытаний энергопотребления каждое отделение должно использоваться в соответствии с указанным типом отделения, за исключением указанных ниже случаев. Если в рабочий диапазон температур отделения не входят целевые температуры для определенного типа отделения из таблицы 1 при окружающей температуре 16 °C или 32 °C (в связи с отсутствием регулируемого пользователем устройства управления температурой или ограниченным диапазоном активного управления), оно классифицируется по типу отделения со следующей наиболее высокой целевой температурой (на базе результатов испытаний наибольшей температуры для обоих значений окружающей температуры), работающего при максимальной температуре, но на уровне не выше целевой температуры или ближайшей наибольшей целевой температуры (в зависимости от конкретного случая) при испытаниях энергопотребления при обоих значениях окружающей температуры. В отчете об испытаниях необходимо отмечать заявленный тип отделения и тип отделения, используемый для испытаний энергопотребления. Если отделение относится к типу отделения с переменной температурой (включающей рабочий диапазон температур нескольких типов отделений), его основная конфигурация для испытаний энергопотребления должна соответствовать типу отделения с наибольшим энергопотреблением. Отделение с переменной температурой при необходимости можно настроить и испытать по другим типам отделений, если это требуется в дополнение к испытаниям энергопотребления в основной конфигурации. В отчете об испытаниях должно быть указано, что отделение относится к типу отделений с переменной температурой и типу отделения, выбранному для каждого испытания энергопотребления. |
5.2 Настройка устройства управления температурой для испытаний энергопотребления
При проведении испытаний энергопотребления в соответствии с
разделом 6 холодильный прибор должен иметь хотя бы одну настройку устройства управления температурой (или сочетание настроек устройства управления температурой), при которой средние температуры каждого отделения будут одновременно на уровне или ниже уровня целевых температур для энергопотребления, указанных в
таблице 1. Элементы данных, используемые для определения энергопотребления, должны показывать, что прибор может соответствовать этому требованию, но что для этой конкретной точки не требуется прямого измерения.
Если в холодильном приборе отсутствует регулируемое пользователем устройство управления температурой, энергопотребление должно быть определено по результатам одного измерительного испытания прибора.
6 Определение энергопотребления
Основные составляющие энергопотребления, указанные в настоящем разделе, должны быть определены для каждого холодильного прибора, проходящего испытания в соответствии с настоящим стандартом. Они должны основываться на данных измерений, полученных в соответствии с
приложениями B -
H (по мере применимости).
Также в настоящем разделе указан метод, который следует использовать для определения составляющих энергопотребления холодильного прибора при испытаниях в соответствии с настоящим стандартом.
Основные составляющие энергопотребления, определяемые в соответствии с настоящим стандартом:
- энергопотребление в стабильном состоянии - определяют при наружной температуре 16 °C и 32 °C (см.
приложение B);
- энергопотребление и изменение температуры при размораживании и восстановлении - для приборов с одной или несколькими системами размораживания (каждая из которых имеет собственный цикл управления размораживанием) определяют энергопотребление при размораживании и восстановлении для заданного условного числа периодов размораживания и восстановления температуры для каждой системы (см.
приложение C);
- частота размораживания - для приборов с одной или несколькими системами размораживания (каждая из которых имеет собственный цикл управления размораживанием) интервал размораживания определяют для каждой системы при наборе условий (см.
приложение D);
- специальные вспомогательные устройства - если холодильный прибор содержит специальное вспомогательное устройство, то определяют воздействие этого вспомогательного устройства на энергопотребление (см.
приложение F);
- эффективность обработки загрузки - в случае, если эффективность обработки загрузки измерена или декларирована, следует использовать специальный метод (см.
приложение G).
Наименьшее ожидаемое значение энергопотребления холодильного прибора по настоящему стандарту (т.е. теоретическое оптимальное значение) - это значение, при котором температура каждого отделения точно равняется его целевой температуре для энергопотребления (см.
раздел 5). Не каждый прибор может работать в таком состоянии, и в лаборатории не практично продолжать испытания в попытке добиться точно такого состояния при определенном наборе испытаний. В соответствии с настоящим стандартом существует возможность проведения нескольких испытаний с разными настройками устройства управления температурой (при наличии). Это призвано упростить интерполяцию для оценки энергопотребления для момента, когда все отделения имеют целевую температуру для энергопотребления или более низкую температуру (см.
6.3).
Для определения характеристик бытового холодильного прибора в соответствии с настоящим стандартом необходимо измерить температуру и энергопотребление за типовой период работы в стабильном состоянии, соответствующий заданным требованиям (т.е. температуры отделений на уровне целевых температур для энергопотребления или ниже). Для получения наиболее благоприятного (оптимального) результата по энергопотреблению может потребоваться несколько точек испытаний при разных настройках устройства управления температурой.
Для устройств с функциями автоматического размораживания, влияющими на энергопотребление (т.е. для устройств с циклом управления размораживанием) нарастающее энергопотребление при размораживании и восстановлении (т.е. дополнительное энергопотребление

на уровне выше базовой мощности в стабильном состоянии) должно определяться для заданного количества типовых и действительных периодов размораживания и восстановления температуры.
Эти значения измеряют для каждой из указанных температур окружающей среды для определения энергопотребления.
Для оценки пригодности данных испытаний за предлагаемый период для определения энергопотребления производят анализ и оценку данных с целью определить, находятся ли изменения внутренней температуры и энергопотребления в приемлемых рамках. С точки зрения энергопотребления существует два альтернативных подхода к определению энергопотребления в стабильном состоянии:
- SS1: определение мощности и внутренней температуры в стабильном состоянии при отсутствии цикла управления размораживанием или в случае, когда между периодами размораживания и восстановления температуры соблюдаются условия для стабильного состояния в соответствии с
приложением B (обычно в случае большого промежутка между событиями размораживания);
- SS2: определение мощности и внутренней температуры в стабильном состоянии в случае, когда между периодами размораживания и восстановления температуры не могут быть соблюдены условия стабильного состояния в соответствии с
приложением B (обычно в случае небольшого промежутка между событиями размораживания).
Также требуется оценивать нарастающие изменения энергопотребления и температуры в период размораживания и восстановления температуры (по отношению к мощности и внутренним температурам в стабильном состоянии до и после периода размораживания и восстановления температуры).
Для каждого случая установлены критерии для определения того, являются ли периоды типичными для работы прибора.
Энергопотребление определяют при окружающей температуре 16 °C и 32 °C:
a) непосредственно на основе результатов одного испытания, при котором температуры всех отделений устройства имеют температуру, равную или более низкую, чем целевая температура, указанная в
таблице 1; или
b) посредством интерполяции результатов двух или более испытаний, проведенных при разных уставках устройства управления температурой, как показано ниже:
- если результаты измеряют при двух уставках устройства управления температурой, посредством интерполяции в соответствии с
E.3;
- если у устройства имеется не менее двух независимых регулируемых пользователем настроек температуры, и результаты измеряют для трех сочетаний уставок настройки температуры, посредством интерполяции в соответствии с
E.4;
- также в
E.4 приведены варианты интерполяции с использованием трех или более регулируемых пользователем настроек температуры, не зависящих друг от друга.
В случае
b) результаты испытаний показывают, что температуры всех отделений холодильного прибора имеют в точке интерполяции значения, равные или меньшие по отношению к целевым температурам, указанным в
таблице 1. Для обеспечения этого интерполяция должна быть проведена с учетом определенных требований.
6.4 Энергопотребление в стабильном состоянии
Для холодильных приборов без цикла управления размораживанием энергопотребление в стабильном состоянии при каждой выбранной уставке настройки температуры и для каждого значения окружающей температуры определяют в соответствии с
приложением B.
Для холодильных приборов с одним или несколькими циклами управления размораживанием энергопотребление в стабильном состоянии между периодами размораживания и восстановления температуры при каждой выбранной уставке настройки температуры и для каждого значения окружающей температуры определяют в соответствии с
приложением B.
Энергопотребление в стабильном состоянии указывают в Вт.
6.5 Энергопотребление и изменения температуры при размораживании и восстановлении
Для холодильного прибора с одной или несколькими системами размораживания (каждая из которых имеет собственный цикл управления размораживанием) дополнительные изменения энергопотребления и температуры при размораживании и восстановлении определяются для каждой системы для типового числа периодов размораживания и восстановления температуры в соответствии с
приложением C для окружающих температур 16 °C и 32 °C.
При наличии нескольких систем размораживания (каждая с собственным циклом управления размораживанием) документируют характеристики каждой системы.
Дополнительное энергопотребление при размораживании и восстановлении указывают в Вт·ч.
Изменение температуры при размораживании и восстановлении указывают в К·ч.
6.6 Интервал размораживания
Для холодильного прибора с одной или несколькими системами размораживания (каждая с собственным циклом управления размораживанием) примерный интервал размораживания должен быть определен в соответствии с
приложением D при наружной температуре 16 °C и наружной температуре 32 °C.
При наличии нескольких систем размораживания (каждая с собственным циклом управления размораживанием) документируют данные по интервалу размораживания для каждой системы.
Интервал размораживания выражают в ч с округлением до десятых. В зависимости от типа управления размораживанием интервал размораживания может представлять собой функцию нескольких параметров.
6.7 Специальные вспомогательные устройства
Если холодильный прибор содержит специальное вспомогательное устройство, влияние этого устройства на энергопотребление определяют в соответствии с
приложением F.
Воздействие вспомогательных устройств выражают в Вт или Вт·ч для разнообразных внешних условий. Затем эти значения взвешивают в соответствии с региональными требованиями и условиями для обеспечения актуальной оценки энергопотребления вспомогательного устройства.
6.8 Расчет энергопотребления
6.8.1 Общие положения
Отдельные составляющие энергопотребления и мощности в стабильном состоянии, измеряемые в соответствии с настоящим стандартом, объединяют по следующим правилам.
6.8.2 Потребление электроэнергии за день
Все значения энергопотребления и мощности должны быть конвертированы в значения дневного энергопотребления в соответствии со следующими уравнениями для всех уставок настройки температуры и значений окружающей температуры.
Для холодильных приборов без цикла управления размораживанием дневное энергопотребление для каждого значения окружающей температуры и каждой настройки устройства управления температурой вычисляют по формуле
Edaily = P·24, (1)
где Edaily - потребление энергии, Вт·ч, за период в 24 ч;
24 - количество часов в сутках;
P - мощность в стабильном состоянии, Вт, для выбранной настройки устройства управления температурой в соответствии с
приложением B.
Измеренная температура в стабильном состоянии для каждого отделения должна быть указана для этого значения (для отчета об испытаниях и/или для интерполяции).
Для холодильных приборов с одной системой размораживания (с собственным циклом управления размораживанием) дневное энергопотребление для каждого значения окружающей температуры и каждой настройки устройства управления температурой основано на данных по энергопотреблению в стабильном состоянии, полученных в соответствии с
приложением B, данных по нарастающему энергопотреблению при размораживании и восстановлении, полученных в соответствии с
приложением C и данных по интервалу размораживания, полученных в соответствии с
приложением D

, (2)
где Edaily - потребление энергии, Вт·ч, за период в 24 ч;
24 - количество часов в сутках;
P - мощность в стабильном состоянии, Вт, для выбранной настройки устройства управления температурой в соответствии с
приложением B;

- типовое значение нарастающего энергопотребления при размораживании и восстановлении, Вт·ч, в соответствии с приложением C (см.
C.5);

- приблизительный интервал размораживания, ч, в соответствии с
приложением D.
При использовании дополнительных систем размораживания (каждая с собственным циклом управления размораживанием) в
формулу (2) добавляют значение величин

и

для каждой дополнительной системы размораживания.
Среднюю температуру каждого отделения для конкретной настройки устройства управления температурой и энергопотребления вычисляют по формуле

, (3)
где Taverage - средняя температура отделения на протяжении всего цикла управления размораживанием;
TSS - средняя температура в стабильном состоянии для отделения для настройки устройства управления температурой, °C, в соответствии с
приложением B;

- типовое значение накопленной разницы температур за время размораживания и восстановления температуры (по отношению к температуре в стабильном состоянии), К·ч, для соответствующего отделения в соответствии с приложением C (см.
C.5);

- приблизительный интервал размораживания, ч, в соответствии с
приложением D.
Значение

может быть положительным (если температура выше во время размораживания и восстановления температуры) или отрицательным (если это охладитель - в связи с предварительным охлаждением и низким излучением тепла при размораживании).
При использовании дополнительных систем размораживания (каждая с собственным циклом управления размораживанием) в
формулу (3) добавляют значение величин

и

для каждой дополнительной системы размораживания.
Если интерполяцию проводят для получения более оптимальной оценки дневного энергопотребления для заданной окружающей температуры, расчеты температуры и энергопотребления каждого отделения в соответствии с
6.8.2 должны быть выполнены в соответствии с
приложением E.
6.8.4 Специальные вспомогательные устройства
Если в холодильном приборе имеются специальные вспомогательные устройства, увеличение энергопотребления в связи с использованием этих вспомогательных устройств определяют в соответствии с применимым для данного региона графиком эксплуатации и с использованием параметров, указанных в
приложении F. Воздействие этих вспомогательных устройств обычно оценивают для годового периода, поэтому следует соблюдать внимательность при прибавлении этих значений к другим значениям энергопотребления, рассчитанных по настоящему стандарту. Прежде чем выполнять сложение, необходимо определить годовые значения для других составляющих энергопотребления.
6.8.5 Общее энергопотребление
Общее энергопотребление прибора можно оценить на основе следующих значений:
- Edaily16C при наружной температуре 16 °C;
- Edaily32C при наружной температуре 32 °C.
Значение
Edaily при окружающих температурах 16 °C и 32 °C можно рассчитать методом интерполяции в соответствии с
приложением E. В
приложении I приведен ряд примеров сочетания этих двух значений для получения оценки годового энергопотребления.
Eaux выражают как интегрированное значение энергопотребления за год.
Примечание - Испытания по приготовлению льда проводят при окружающих температурах 16 °C и 32 °C, так что Eaux - это региональная функция f{Eaux16C, Eaux32C}.
Общее годовое энергопотребление холодильного прибора вычисляют по формуле
Etotal =
f{
Edaily16C·
Edaily32C} +
Eaux, (4)
где
f - региональная функция годового энергопотребления, основанная на данных по дневному энергопотреблению при температурах 16 °C и 32 °C. Требования к определению данной функции не установлены в настоящем стандарте, так как они могут различаться для разных регионов. Примеры приведены в
приложении I.
Примечание - В данных расчетах не учитывают энергопотребление при обработке нагрузки, возникающей из-за действий пользователя. Данные по измерениям и сопутствующие расчеты энергопотребления приведены в
приложении G.
Обходное устройство - это любое устройство управления, программное обеспечение, компонент или элемент, изменяющие характеристики охлаждения во время любой процедуры испытаний, в результате чего измерения не отражают реальные характеристики прибора, которые оно будет иметь при обычном использовании в сопоставимых условиях. Обычно обходные устройства экономят энергию во время испытаний, но не при нормальной эксплуатации. Примеры обхода могут включать, помимо прочего, любые изменения обычной работы во время проведения испытаний устройства. В число обходных устройств входят устройства, которые:
a) изменяют установленную температуру отделений во время испытаний; или
b) включают или отключают нагреватели или другие потребляющие энергию устройства во время испытаний; или
c) изменяют время цикла компрессора или другие рабочие параметры во время испытаний; или
d) изменяют интервал размораживания.
Устройства, работающие в ограниченном диапазоне условий, которые:
- необходимы для поддержания удовлетворительных температур для сохранения приборов в отделениях (например, компенсационные нагреватели в отделениях для свежих пищевых продуктов, работающие при низкой наружной температуре); или
- предназначены для снижения энергопотребления при нормальной эксплуатации
обычно не рассматривают как обходные устройства при наличии разумных оснований при их применении при нормальной эксплуатации и при испытаниях для заявленного энергопотребления, которые могут быть продемонстрированы поставщиком.
В случае возникновения подозрений относительно использования обходных устройств лаборатория должна применить к прибору такие меры как открытие дверец и другие действия, предназначенные для обнаружения присутствия и работы любых таких устройств. Подробная информация о таких действиях и их результаты должны быть указаны в отчете об испытаниях. В случае обнаружения обходного устройства во время испытаний или возникновения подозрений относительно использования обходного устройства лаборатория должна сообщить эту информацию клиенту.
В отношении обходных устройств (если они используются) могут действовать региональные нормы и требования. В некоторых юрисдикциях такие устройства могут быть запрещены. В других юрисдикциях нормативы могут требовать отключения таких устройств во время испытаний энергопотребления или проведения испытаний прибора таким способом, который позволит получить оценку воздействия обходного устройства на энергопотребление. Дополнительное энергопотребление обходных устройств может быть прибавлено к измеренному энергопотреблению, также могут быть применены штрафные коэффициенты, связанные с дополнительным энергопотреблением обходного устройства.
8 Неопределенность измерений
При измерении энергопотребления следует определить неопределенность измеряемых значений и указать ее вместе с результатом измерения.
Если для получения приблизительного результата за более короткие сроки применяют менее строгие критерии действительности, получающееся увеличение погрешности должно учитываться при любых указаниях погрешности.
При оценке результатов испытаний энергопотребления по любым применимым критериям действительности необходимо проводить испытания для проверки погрешности измерений.
Примечание - В настоящем стандарте не определяются процедуры расчета погрешности измерений. Дополнительные рекомендации по этому вопросу можно получить в Руководстве ИСО/МЭК 98-3:2008, "Погрешность измерений. Часть 3. Руководство по выражению погрешности измерений (GUM:1995)".
В отчете об испытаниях, проведенных в соответствии с настоящим стандартом, должна быть указана вся актуальная информация в соответствии с приложением F МЭК 62552-1.
(обязательное)
ПОДГОТОВКА К ИСПЫТАНИЯМ ЭНЕРГОПОТРЕБЛЕНИЯ
A.1 Общие положения
С целью определения энергопотребления в соответствии с настоящим стандартом необходимо настроить холодильный прибор так, как указано ниже.
Холодильный прибор должен быть установлен в помещении для испытаний с приборами и инструментарием, указанными в приложении A МЭК 62552-1.
Холодильный прибор должен быть подготовлен и настроен в соответствии с приложением B МЭК 62552-1.
Все датчики температуры холодильного прибора должны быть установлены в соответствии с приложением D МЭК 62552-1. Температуру воздуха в отделениях при испытаниях энергопотребления определяют в соответствии с приложением D МЭК 62552-1.
A.2 Дополнительные требования к подготовке к испытаниям энергопотребления
A.2.1 Формы для льда
Любые формы для льда с заданным положением, указанным в инструкциях, должны оставаться в приборе, но при испытаниях энергопотребления должны быть пустыми (кроме случаев, указанных в
приложении G).
A.2.2 Регулируемые пользователем устройства управления температурой
Регулируемые пользователем устройства управления температурой, не используемые для интерполяции данных по энергопотреблению в соответствии с
приложением E, должны быть установлены в единое положение, соответствующее требованиям к температуре отделения, установленным в
разделе 5 (целевые значения температуры) для всех испытаний. В случае выполнения интерполяции по результатам двух или более испытаний в соответствии с
приложением E, единственными настройками, которые следует менять между испытаниями, должны быть настройки регулируемых пользователем устройств управления температурой, используемые для интерполяции. Положение всех заслонок и регулируемых пользователем устройств управления температурой, не используемых для интерполяции, должно быть указано в отчете об испытаниях.
Если в отделении для хранения вин имеются настройки как единой температуры, так и нескольких температурных зон, для испытаний следует выбрать настройки единой температуры.
A.2.3 Наружная температура
Для целей определения энергопотребления номинальные температуры помещения для испытаний равны 16 °C и 32 C. Эксплуатационные требования к окружающим температурам в помещении для испытаний указаны в МЭК 62552-1.
A.2.4 Аксессуары и полки
Любые аксессуары, незакрепленные поддоны, корзины или контейнеры, не имеющие определенного положения или важной функции при нормальной эксплуатации, в соответствии с инструкциями должны быть удалены.
Любые средства сохранения температуры (например, ледяные брикеты и т.д.), которые можно удалить без использования инструментов, должны быть удалены при всех испытаниях вне зависимости от инструкций.
A.2.5 Противоконденсатные нагреватели
Противоконденсатные нагреватели, постоянно включенные при нормальной эксплуатации, должны быть включены во время всех испытаний энергопотребления.
Противоконденсатные нагреватели, которые пользователь может включать и выключать, должны проходить испытания во включенном и выключенном состояниях.
Противоконденсатные нагреватели с несколькими вариантами настроек по выбору пользователя должны проходить испытания при настройках с максимальным и минимальным энергопотреблением.
Необходимо собрать достаточно данных для оценки дополнительного энергопотребления при использовании противоконденсатных нагревателей при всех указанных настройках для отделений с той же самой температурой. Необходимо определить дополнительное энергопотребление холодильного прибора при использовании противоконденсатных нагревателей для каждого значения окружающей температуры. Значения для испытаний энергопотребления должны быть указаны отдельно для всех заданных настроек.
Примечание - Для определения нарастающего влияния противоконденсатных нагревателей с ручным включением можно использовать ряд подходов, как указано в
приложении F (например, измерение энергопотребления без нагревателей и прибавление рассчитанного значения энергопотребления, измерение энергопотребления с нагревателями и вычитание фактического энергопотребления перед прибавлением рассчитанного энергопотребления). В случае сомнений относительно наиболее подходящего метода следует определять оптимальное энергопотребление согласно
приложению B (при необходимости с использованием интерполяции) с включенными и выключенными противоконденсатными нагревателями (при этом нужно отметить, что их работа может оказывать слабое воздействие на температуру отделений).
Противоконденсатные нагреватели с автоматическим управлением и разнообразными видами реакции на внешние условия (например, на температуру и влажность) классифицируют как специальные вспомогательные устройства, и их испытания проводят в соответствии с
приложением F.
Противоконденсатные нагреватели с автоматическим управлением и разнообразными видами реакции на внешние условия, настроенные так, чтобы пользователь мог выбирать базовый уровень мощности нагревателя, должны проходить испытания на наибольшем и наименьшем устанавливаемом пользователем уровне в соответствии с приложением F (см.
F.2.8).
A.2.6 Автоматические устройства для приготовления льда - контейнеры для льда
Если в приборе имеется устройство для автоматического приготовления льда, которое осуществляет изготовление, сбор и хранение льда, для целей испытаний энергопотребления выделенное для контейнера для хранения льда пространство должно быть рассмотрено как отдельное встроенное отделение.
Все контейнеры для автоматического приготовления льда должны быть отдельно зарегистрированы в отчете об испытании в разделе "Описание отделений".
Механизм подачи льда должен нормально функционировать при всех испытаниях энергопотребления, т.е. все желоба и горлышки, необходимые для подачи льда, должны быть свободны от упаковочных пробок, заглушек и других средств, которые могут быть установлены на время транспортировки или на время, когда устройство приготовления льда не используется.
Если область хранения льда занимает целое отделение, датчики температуры в нем должны быть размещены в соответствии с приложением D МЭК 62552-1 (а не в соответствии с указаниями
A.2.6.5 настоящего стандарта).
A.2.6.2 Цели и обзор для испытаний энергопотребления
Необходимо обеспечить, чтобы во время испытаний энергопотребления по настоящему стандарту автоматическое устройство приготовления льда и сопутствующее оборудование работали в таком режиме, в каком бы они работали в случае, если бы данная система была включена, но не изготавливала лед.
Для достижения такого состояния во время испытаний энергопотребления автоматические устройства приготовления льда должны работать в нормальном режиме, но не изготавливать новый лед (при этом они должны быть в состоянии, в котором они могли бы автоматически изготовить лед без вмешательства пользователя, в случае удаления части изготовленного льда). В период испытаний энергопотребления должны быть выключены только те устройства и компоненты, которые непосредственно используются при изготовлении и сборе льда. Все компоненты, не связанные непосредственно с изготовлением и сбором льда, должны работать при испытаниях энергопотребления в нормальном режиме, и на них должно подаваться необходимое питание для выполнения их функций в нормальном режиме. Охлаждение зоны (зон) приготовления льда должно быть таким же, как и для обычных условий хранения льда.
Подключение к источнику воды может не требоваться (помимо проверочных испытаний в соответствии с
A.2.6.4), если можно показать, что наличие или отсутствие подключения к источнику воды не влияет на измеряемые показатели энергопотребления.
A.2.6.3 Конфигурация контейнеров для льда
Во время испытаний энергопотребления контейнеры для льда должны быть пустыми и должны оставаться на своих местах, за исключением случаев, указанных в
A.2.6.4. Контейнер автоматического устройства приготовления льда рассматривают как отсек, и должен быть оборудован датчиком температуры в соответствии с
A.2.6.5.
Любые действия испытательной лаборатории (включая настройку конфигурации) во время испытаний энергопотребления, в результате которых автоматическое устройство приготовления льда будет работать, но прекратит производство льда в связи с заполнением контейнера для льда в соответствии с
A.2.6, должны быть указаны в отчете об испытании.
A.2.6.4 Проверка энергопотребления автоматического устройства приготовления льда
Для целей проверки энергопотребления прибора необходимо установить настройки автоматического устройства приготовления льда в соответствии с указаниями производителя.
Для обнаружения наличия незадекларированных работающих обходных устройств во время испытаний энергопотребления вне зависимости от инструкций испытательная лаборатория может провести дополнительные испытания, в том числе описанное ниже испытание, для оценки обычной работы автоматического устройства приготовления льда и связанных с ним средств управления в соответствии с требованиями
раздела 7 и
A.2.6.2.
В случае проведения такого испытания его цель заключается в оценке обычной работы автоматического устройства приготовления льда для конфигурации, используемой для испытаний энергопотребления в соответствии с A.2.6.4. Устройство приготовления льда подключают к источнику воды, функция приготовления льда работает до заполнения контейнера, и изготовление льда автоматически прекращается с использованием собственных средств контроля до начала испытаний энергопотребления. Для сокращения времени испытаний контейнер для льда можно частично заполнить готовыми кубиками льда, однако заполнять его следует только до уровня, позволяющего устройству приготовления льда продолжать изготавливать лед до полного заполнения контейнера.
Контейнер автоматического устройства приготовления льда должен быть оснащен датчиком температуры в соответствии с
A.2.6.5.
Температура в контейнере устройства для приготовления льда должна быть ниже температуры замерзания на всех этапах работы. В качестве руководства следует принять, что энергопотребление с контейнером для льда, заполненным согласно настоящему пункту, не должно превышать более чем на 2% значение энергопотребления, измеренное при испытаниях энергопотребления для таких же (или эквивалентных) настроек устройства управления температурой и внутренних температур при пустом контейнере для льда.
A.2.6.5 Положение датчика температуры в автоматических устройствах приготовления льда
Для всех испытаний энергопотребления в контейнере автоматического устройства приготовления льда должен быть установлен один дополнительный датчик температуры в соответствии с указанными ниже требованиями:
a) вертикальное размещение: примерно на 50 мм ниже верхней точки максимального уровня хранения льда с сохранением зазора не менее 20 мм от основания контейнера;
b) горизонтальное размещение: примерно 20 мм от вертикальной центральной линии стороны контейнера, ближайшей к наружной поверхности или более теплому отсеку (например, к дверце, стенке или прокладке, или отсеку) или, если контейнер находится более чем в 50 мм от внешней поверхности, примерно 20 мм от вертикальной центральной линии наибольшей стороны контейнера (т.е. если контейнер полностью находится внутри отделения);
c) если на указанное в
перечислении b) положение влияет прямой поток воздуха, его следует по возможности сместить в альтернативную точку, отстоящую от стороны контейнера на 20 мм, но не подвергающуюся воздействию прямого потока воздуха с температурой ниже, чем температура содержимого контейнера.
Если положение датчика температуры изменяется так, что он смещается по отношению к рекомендованным позициям, указанным в
перечислениях a) и
b) выше, позицию датчика следует указать в отчете об испытаниях.
Примечание - При проведении проверочных испытаний в соответствии с
A.2.6.4 лед обычно соприкасается с датчиком температуры в контейнере. В
A.2.6.1 приведены указания по размещению датчиков температуры в отдельных отделениях, специально предназначенных для хранения льда.
(обязательное)
ОПРЕДЕЛЕНИЕ МОЩНОСТИ И ТЕМПЕРАТУРЫ В СТАБИЛЬНОМ СОСТОЯНИИ
B.1 Общие положения
В настоящем приложении описан метод, который необходимо применять для определения энергопотребления и температуры холодильного прибора при стабильной работе в рамках испытаний, соответствующих настоящему стандарту.
B.2 Подготовка к испытанию и сбор данных
Необходимо выбрать типичный период работы для определения средней мощности и средних внутренних температур (для всех задействованных отделений) для выбранной настройки устройства управления температурой и окружающей температуры испытания.
Испытываемый холодильный прибор должен быть настроен и работать в соответствии с
приложением A.
Существует два возможных подхода к определению энергопотребления в стабильном состоянии:
- подход SS1 (см.
B.3) применяют к приборам без цикла управления размораживанием и приборам с системой размораживания (с собственным циклом управления размораживанием), имеющим длительный цикл управления размораживанием, при котором период испытаний в стабильном состоянии не граничит с периодами размораживания и восстановления температуры. К данным применяют довольно строгие внутренние критерии проверки, чтобы гарантировать выбор типичного периода эксплуатации;
- подход SS2 (см.
B.4) применяют к приборам с системой размораживания (с собственным циклом управления размораживанием), где период испытаний при стабильной работе начинается во время периода размораживания и восстановления температуры. Подход SS2 следует применять в случае невозможности обеспечить стабильность в период между операциями размораживания, как при применении подхода SS1. При использовании подхода SS2 для определения энергопотребления в стабильном состоянии используют весь период от одной операции размораживания до следующей операции размораживания посредством вычета первоначального значения нарастающего энергопотребления при размораживании и восстановлении температуры (см. подход DF1 в
приложении C). При использовании подхода SS2 проводят сравнение работы в стабильном состоянии до первоначального размораживания и после последующего размораживания, и эти показатели должны соответствовать применимым критериям стабильности. Первоначальное размораживание также должно соответствовать требованиям подхода DF1, указанным в
приложении C.
B.3 Подход SS1: отсутствие цикла управления размораживанием или ситуация, когда стабильность обеспечивается в период между циклами размораживания
Подход SS1 применяют ко всем приборам без цикла управления размораживанием. Также он применяется для приборов с системой размораживания (с собственным циклом управления размораживанием), имеющих длительный цикл управления размораживанием, при котором период испытаний в стабильном состоянии не граничит с периодами размораживания и восстановления температуры. В этом случае на выбранный период испытаний SS1 не приходится ни одного периода размораживания и восстановления температуры (или части такого периода).
При определении мощности в стабильном состоянии для подхода SS1 период испытаний в стабильном состоянии состоит из трех внутренних блоков данных испытаний, которые граничат друг с другом, но не пересекаются. Каждый блок этих испытаний содержит равное число n полных циклов управления температурой. Минимальное число циклов управления температурой на блок равно 1. Выбирают период испытаний, в котором могут быть определены все применимые критерии для внутреннего разброса и снижения температуры.
Для блока размером в один цикл управления температурой общий период испытаний составит три цикла управления температурой, для блока размером два цикла управления температурой общий период испытаний составит шесть циклов управления температурой и т.д. Необходимо точно учитывать определение цикла управления температурой из МЭК 62552-1:2015. Для более сложных охладительных систем обычно рекомендуется применять альтернативные циклы управления температурой, основанные на максимальной температуре каждого отделения в дополнение к числу циклов компрессора (при наличии), чтобы определить метод получения наиболее стабильной оценки энергопотребления с течением времени. Выбор наиболее стабильного цикла управления температурой может позволить сократить время испытаний, необходимое для получения корректного результата.
При отсутствии заметных изменений температуры и мощности с течением времени следует выбирать период испытаний, составленный из трех внутренних блоков испытаний. Все блоки испытаний должны иметь одинаковую длительность, должны быть смежными друг с другом, а их длительность не должна быть менее 4 ч.
В качестве альтернативы применению циклов управления температурой для составления каждого блока можно использовать периоды фиксированной длительности (называемые фиксированными временными отрезками).
Период пробных испытаний должен включать три блока данных (обозначаемых A, B и C).
Примечание - Максимального ограничения числа циклов управления температурой на блок не существует, однако значение 10 считается чрезмерно высоким.
Пример периода испытания, составленного из блоков по пять циклов управления температурой, приведен на рисунке B.1.
Рисунок B.1 - Иллюстрация периода испытаний из блоков
по пять циклов управления температурой. Значения температуры
для подхода SS1
Рисунок B.2 - Иллюстрация периода испытаний из блоков
по пять циклов управления температурой. Значения мощности
для подхода SS1
Для каждого блока данных (A, B и C) проводят расчет средней мощности и средней температуры для каждого отделения.
Для блоков данных испытаний A, B и C рассчитывают следующие характеристики:
- разброс температур для каждого отделения: рассчитывают как разность между средней температурой самого теплого блока (A, B или C) и средней температурой самого холодного блока (A, B или C). Все данные по разнице температур (разбросу) указывают в К (см.
уравнение (5));
- снижение температуры от блока A к блоку C: рассчитывают как [абсолютное значение разности между средней температурой блока A и средней температурой блока C], деленное на [разность времени испытаний в середине блока C и времени испытаний в середине блока A]. Значения снижения температуры выражают в К/ч (см.
уравнение (6));
- разброс мощности, Вт: рассчитывают как разность между средней мощностью блока с наибольшей мощностью (A, B или C) и средней мощностью блока с наименьшей мощностью (A, B или C), деленную на [среднюю мощность для всего периода испытаний (A, B и C)]; выражают в % (см.
уравнение (7));
- снижение мощности от блока A к блоку C: рассчитывают как [абсолютное значение разности между средней мощностью блока C и средней мощностью блока A], деленное на [разность времени испытаний в середине блока C и времени испытаний в середине блока A] и деленное на [среднюю мощность для всего периода испытаний (A, B и C)]. Все значения снижения мощности выражают в %/ч (см.
уравнение (8)).
Разброс температур =
Tmax(A,B,C) -
Tmin(A,B,C), К (5)

, К/ч (6)

, % (7)

, %/ч (8)
где для каждого из блоков (A, B и C):
T - температура;
t - время испытания (центральная точка блока);
P - мощность;
% - частное (выражается в процентах, т.е. 1,0 = 100%).
B.3.2 Критерии приемки по подходу SS1
На основании характеристик, рассчитанных согласно
B.3.1, оценивают действительность всего периода испытаний (состоящего из трех блоков, каждый из которых состоит из
n циклов управления температурой). Период испытаний будет действительным при соблюдении всех следующих критериев:
- общая длительность периода испытаний tABC (сумма длительности для блоков A, B и C) должна составлять не менее 6 ч при наличии циклов управления температурой и не менее 12 ч при отсутствии циклов управления температурой (или при использовании фиксированных отрезков времени);
- разброс температур (по блокам A, B, C) должен составлять менее 0,25 К для каждого отделения;
- снижение температуры (от блока A к блоку C) должно составлять менее 0,025 К/ч для каждого отделения;
- разброс мощности (для блоков A, B, C) при наличии циклов управления температурой должно составлять менее: для общего периода испытаний tABC 12 ч или менее, разброс не более 1%; для общего периода испытаний tABC от 12 до 36 ч, разброс не более 1% + (tABC - 12)/1200; для общего периода испытаний tABC 36 ч или более, разброс не более 3%;
- разброс мощности (по блокам A, B, C) при отсутствии циклов управления температурой или использовании фиксированных временных отрезков должно составлять менее 1%, вне зависимости от общего периода испытаний;
- снижение мощности (от блока A к блоку C) должно составлять менее 0,25 %/ч;
- при использовании циклов управления температурой два сопоставимых периода времени, начинающиеся на один и два цикла управления температурой раньше выбранного периода, также должны соответствовать всем перечисленным выше критериям (т.е. выбранный период испытаний должен быть третьим возможным периодом, соответствующим всем прочим критериям действительности);
- при отсутствии циклов управления температурой (или при использовании фиксированных временных отрезков), два сопоставимых периода испытаний, начинающихся на один час и на два часа ранее выбранного периода, также должны соответствовать всем вышеуказанным критериям.
За счет требования действительности периода испытаний при перемещении на три последовательных цикла управления температурой гарантируется, что соблюдение всех критериев для выбранного периода не является случайным. На
рисунке B.1 приведен пример. Если период испытаний, начинающийся с цикла управления температурой 5 и заканчивающийся циклом управления температурой 20, будет первым периодом, когда обеспечивается соответствие вышеуказанным критериям с 1 по 5, периоды испытаний с 6 по 21 и с 7 по 22 также должны соответствовать всем этим критериям. В этом случае первым действительным периодом испытаний будет период испытаний с 7 по 22.
Примечание - Полный набор вышеуказанных критериев был разработан на базе тщательных испытаний и проверки данных более чем для 100 холодильных приборов.
Настройки устройства управления температурой должны оставаться без изменений для всего периода испытаний для определения значения SS1 (блоки A, B и C).
При наличии более двух отделений необходимо провести оценку стабильности температуры, как указано выше, для:
- наибольшего не замораживающего отделения и наибольшего низкотемпературного отделения (если применимо), или
- для наибольших двух отделений (из всех низкотемпературных или не низкотемпературных отделений).
Кроме того, необходимо обеспечивать стабильность температур, как указано выше, для всех отделений, используемых для интерполяции энергопотребления в соответствии с
приложением E.
Если вышеуказанные критерии не могут быть выполнены, величина n увеличивается (и соответственно увеличивается длительность периода испытаний) и/или требуется сбор большего объема данных испытаний до одновременного выполнения всех критериев.
При сборе данных испытаний рекомендуется постоянно оценивать все (имеющиеся) данные, собранные на текущий момент, чтобы оценивать все возможные периоды испытаний для всех возможных размеров блоков n для определения наиболее ранней точки данных испытаний, соответствующей вышеуказанным критериям действительности. Хотя обычно не рекомендуется включать в эти оценки данные горячего запуска (при первом подключении питания), они должны обеспечивать автоматическое исключение из действительного периода испытаний любых периодов выключения до начала стабильной работы.
Хотя вышеуказанным критериям могут соответствовать несколько возможных периодов испытаний, из доступных данных испытаний следует выбирать период с минимальным разбросом мощности.
Если критерии разброса мощности нельзя выполнить при расширении общего периода испытаний (с циклами управления температурой или без них), действительные результаты можно получить посредством использования 3 блоков данных длительностью не менее 36 ч каждый (общий период испытаний не менее 108 ч).
Примечание - Рабочий пример выбора оптимальных характеристик периода испытаний приведен в
приложении I.
B.3.3 Расчет значений для подхода SS1
Если период испытаний, состоящий из блоков A, B и C, соответствует применимым критериям приемки, указанным в
B.3.2, температуру
Ti для каждого отделения
i и среднюю мощность
PSS1 определяют, как среднее всех измеренных значений за период времени, охватываемый блоками A, B и C.
Мощность в стабильном состоянии, используемая для последующих расчетов энергопотребления,
PSS, определяют посредством корректировки значения
PSS1 по
формуле (15) из B.5, где измеренная окружающая температура не равна номинальной окружающей температуре во время испытания.
Необходимо указывать общее время испытаний для блоков A, B и C.
Время работы компрессора в стабильном состоянии CRtSS рассчитывают как процент времени работы компрессора в течение общего времени всех циклов управления температурой в блоках A, B и C.
B.4 Подход SS2: определение стабильного состояния между циклами размораживания
B.4.1 Пример подхода SS2
Подход SS2 применяют к приборам с одной или несколькими системами размораживания (с собственным циклом управления размораживанием), где период испытаний при стабильной работе ограничен периодами размораживания и восстановления температуры. Хотя этот подход может быть использован для всех приборов с одной или несколькими системами размораживания, подход SS2 следует применять в том случае, если с помощью подхода SS1 невозможно обеспечить стабильность.
Для приборов с длительными интервалами размораживания использование подхода SS1 поможет значительно сократить требуемое время испытаний.
В подходе SS2 все данные за период между моментами начала двух периодов размораживания и восстановления температуры используют для расчета мощности в стабильном состоянии (см.
формулу (12)). Прежде чем выполнять дальнейший анализ, необходимо провести для сравнения характеристик работы в стабильном состоянии перед каждым периодом размораживания и восстановления (периоды X и Y на рисунке B.3) с целью убедиться в их соответствии применимым требованиям к стабильности. Первоначальный период размораживания и восстановления работы в период испытаний SS2 должен соответствовать требованиям
приложения C к действительности, а нарастающее энергопотребление для этого периода размораживания и восстановления следует определять в соответствии с
приложением C (DF1) для определения значения P
SS2 (общий период испытаний за вычетом значения DF1).
Рисунок B.3 - Подход SS2 - типичная модель работы
холодильного прибора с циклом управления размораживанием
Выбирают период работы в стабильном состоянии (период X), заканчивающийся в начале периода размораживания и восстановления температуры, состоящий из не менее чем 4 полных циклов управления температурой (при наличии циклов управления температурой) и имеющий длительность не менее 4 ч. Выбирают второй период работы в стабильном состоянии (период Y), заканчивающийся в начале следующего периода размораживания и восстановления температуры, состоящий из не менее чем 4 полных циклов управления температурой (при наличии циклов управления температурой) и имеющий длительность не менее 4 ч. Периоды X и Y всегда должны содержать одинаковое число циклов управления температурой (при наличии циклов управления температурой) и должны иметь примерно одинаковую длительность. При отсутствии циклов управления температурой периоды X и Y должны иметь абсолютно одинаковую длительность.
Если последующий период размораживания и восстановления температуры не начинается в течение ближайших 48 ч, период Y можно выбрать по точке работы в стабильном состоянии, на которой время с окончания периода X до окончания периода Y превышает 48 ч, но период Y не граничит со следующим периодом размораживания и восстановления температуры. Если период Y выбирают подобным образом, об этом нужно сделать отметку в отчете по испытанию.
Значения температуры в каждом отделении и мощности для периода X сравнивают со значениями температуры в каждом отделении и мощности для периода Y.
Для периодов X и Y необходимо рассчитать следующие характеристики:
- разброс температур для каждого отделения: рассчитывают как разность между средней температурой более теплого периода (X или Y) и средней температурой более холодного периода (X или Y). Все данные по разнице температур (разбросу) выражают в К (см.
формулу (9));
- разброс мощности: рассчитывают как разность между средней мощностью для периода с более высокой мощностью (X или Y) и средней мощностью для периода с более низкой мощностью (X или Y), деленная на среднюю мощность для периодов X и Y. Разброс мощности выражают в % и в виде абсолютной величины, Вт (см.
формулы (10) и
(11)).
Разброс температур =
Tmax(X, Y) -
Tmin(X, Y), К (9)

, % (10)
Разброс мощности =
Pmax(X, Y) -
Pmin(X, Y), Вт, (11)
где для каждого из периодов X и Y:
T - температура;
P - мощность, Вт;
% - частное (выражается в процентах, т.е. 1,0 = 100%).
B.4.2 Критерии одобрения для подхода SS2
Для действительности периода, выбранного для определения мощности в стабильном состоянии PSS2, должны быть выполнены следующие критерии:
- периоды X и Y должны состоять не менее чем из 4 полных циклов управления температурой (при наличии циклов управления температурой) и должны содержать одинаковое число циклов управления температурой. При отсутствии циклов управления температурой (или при использовании фиксированных отрезков времени) периоды X и Y должны иметь одинаковую длительность;
- длительность периодов X и Y должна составлять не менее 4 ч;
- при наличии циклов управления температурой соотношение общей длительности периода X, ч, и общей длительности периода Y, ч, должно находиться в диапазоне от 0,8 до 1,25;
- разброс температур для двух выбранных периодов X и Y должен быть менее 0,5 К для каждого отделения;
- разброс мощности для двух выбранных периодов X и Y должен быть менее 2% или менее 1 Вт, в зависимости от того, какое из этих значений больше;
- начальный период размораживания и восстановления температуры, указанный в периоде SS2, должен соответствовать критериям действительности периода размораживания и восстановления температуры в соответствии с
приложением C;
- значение

для первоначального периода размораживания и восстановления температуры, входящего в период SS2, должно быть определено в соответствии с
приложением C.
Настройки устройства управления температурой должны оставаться без изменений в течение всего периода испытаний для определения значения SS2, включая период определения нарастающего энергопотребления при размораживании и восстановлении температуры (

для DF1), указанный в
приложении C (включая все периоды X и Y).
Если первоначально выбранные периоды X и Y не соответствуют указанным выше критериям одобрения, минимальную длительность периодов X и Y следует увеличивать с шагом в 1 цикл управления температурой (с шагом в 1 ч при отсутствии циклов управления температурой или при использовании фиксированных временных отрезков) для определения наличия возможных периодов, соответствующих критериям. При увеличении длительности периодов X и Y следует использовать первое действительное значение, полученное указанным выше способом. Длительность периодов X и Y не должна превышать 50% от интервала размораживания или 8 ч, в зависимости от того, какая величина больше.
При наличии более двух отделений необходимо провести оценку стабильности температуры, как указано выше, для:
- наибольшего незамораживающего отделения и наибольшего низкотемпературного отделения (если применимо), или
- для наибольших двух отделений (из всех низкотемпературных или не низкотемпературных отделений).
Кроме того, необходимо обеспечивать стабильность температур, как указано выше, для всех отделений, используемых для интерполяции энергопотребления в соответствии с
приложением E.
В редких случаях, когда между циклами размораживания нет периодов работы в стабильном состоянии, может оказаться невозможным подтвердить корректность начального периода размораживания и восстановления температуры в начале испытания SS2 в соответствии с
приложением C. Альтернативный подход к подобным ситуациям описан в
приложении K, однако его следует использовать только при невозможности обеспечения соответствия
приложению C в обычном режиме.
B.4.3 Расчет значений для подхода SS2
В случае соответствия критериям приемки, указанным в
B.4.2, мощность в стабильном состоянии и температура в стабильном состоянии для каждого отделения рассчитываются на базе всего периода испытаний SS2 (включая начальный период размораживания и восстановления температуры) в соответствии с
формулой (12) и
формулой (13) ниже. Расчет позволяет определить энергопотребление для всего цикла управления размораживанием и энергопотребление в стабильном состоянии
PSS2 посредством вычета нарастающего энергопотребления при размораживании и восстановлении в соответствии с
приложением C. Аналогичным образом, температуру каждого отделения определяют для всего цикла управления размораживанием, и для определения температуры в стабильном состоянии для каждого отделения
TSS2-i из нее вычитают разницу температур, накопленную за период размораживания и восстановления температуры в каждом отделении (в соответствии с
приложением C).
Среднюю мощность в период стабильного состояния рассчитывают для всего периода испытания SS2 по следующей формуле

, (12)
где PSS2 - мощность в стабильном состоянии для выбранного цикла управления размораживанием, Вт;
Eend-X - накопленные показания энергопотребления по окончании периода X, Вт·ч;
Eend-Y - накопленные показания энергопотребления по окончании периода Y, Вт·ч;
tend-X - время испытаний по окончании периода X, ч;
tend-Y - время испытаний по окончании периода Y, ч;

- нарастающее энергопотребление при размораживании и восстановлении, Вт·ч, определяемое в соответствии с
приложением C для периода размораживания и восстановления температуры, начинающегося по окончании периода X.
Длительность периода испытаний (tend-Y - tend-X) должна быть указана отдельно. Если это применимо, необходимо указать, что период Y имел место непосредственно перед последующим размораживанием.
Мощность в стабильном состоянии, используемая для последующих расчетов энергопотребления,
PSS, определяют посредством изменения значения
PSS2 по
формуле из B.5, где измеренная наружная температура не равна номинальной наружной температуре во время испытания.
Среднюю температуру в период стабильного состояния рассчитывают для всего периода испытания SS2 по следующей формуле:

, (13)
где TSS2-i - температура стабильного состояния в отделении i, наблюдаемая в течение всего периода испытаний SS2, °C;
Tav-endX-endY-i - средняя температура в отделении i за период с окончания периода X до окончания периода Y, °C;

- накопленная со временем разница температуры в каждом отделении
i в К·ч, определенная в соответствии с
приложением C для периода размораживания и восстановления температуры, начинающегося по окончании периода X;
tend-X - время испытаний по окончании периода X, ч;
tend-Y - время испытаний по окончании периода Y, ч.
Для приборов с контроллером времени работы компрессора при размораживании, время работы компрессора в стабильном состоянии
CRtSS рассчитывают, как процент времени работы компрессора в течение всего цикла управления размораживанием за вычетом значения

, определяемого в
приложении C в соответствии со следующей формулой:

, (14)
где CRtSS2 - средний процент времени работы компрессора в стабильном состоянии, %;
Rtend-X - общее накопленное время работы компрессора (за период) по окончании периода X, ч;
Rtend-Y - общее накопленное время работы компрессора (за период) по окончании периода Y, ч;

- дополнительное время работы компрессора при размораживании и восстановлении, ч, в соответствии с
приложением C;
tend-X - время испытаний по окончании периода X, ч;
tend-Y - время испытаний по окончании периода Y, ч.
Необходимо следить за тем, чтобы не учитывать в этих расчетах нагреватель для размораживания как компрессор (хотя некоторые контроллеры включают нагреватель для размораживания во время работы, необходимо отдельно проверять конфигурацию каждого устройства).
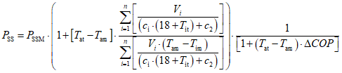
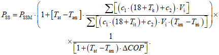
B.5 Коррекция мощности в стабильном состоянии
Мощность в стабильном состоянии, используемую для последующих расчетов энергопотребления,
PSS, определяют на основе измерений мощности в стабильном состоянии (
B.3 или
B.4, в зависимости от применимости) после корректировки по формуле (15). Эта корректировка учитывает разницу между измеренной наружной температурой во время испытания и номинальной наружной температурой при испытаниях.

, (15)
где
PSSM - измеренное значение мощности в стабильном состоянии за период, Вт, в соответствии с указаниями
пункта B.3 (
PSS1) или
B.4 (
PSS2) (в зависимости от применимости);
Tat - целевая наружная температура в помещении для испытаний;
Tam - измеренная наружная температура в помещении для испытаний в период проведения испытания;
Vi - номинальный объем отделения i (для отделений с 1 по n);
Tim - измеренная температура отделения с i по n в течение периода проведения испытания;
Tit - целевая температура для энергопотребления в отделении с
i по
n (см.
таблицу 1);
c1 - константа, равная 0,011364;
c2 - константа, равная 1,25;

- указанное в
таблице B.1 значение корректировки по типу прибора и условиям испытаний.
Все температуры указаны в °C.
Таблица B.1
Предполагаемая корректировка

Тип прибора | Корректировка  при 16 °C | Корректировка  при 32 °C |
Два или более отделений | Увеличение 0,000 на К | Увеличение - 0,014 на К |
Одно отделение | Увеличение - 0,004 на К | Увеличение - 0,019 на К |
Эта формула недействительна для корректировок, которые находятся за пределами разрешенного диапазона рабочих температур, указанного в стандарте МЭК 62552-1 (номинальное значение +/- 0,5 К). Эта корректировка применима только к мощности в стабильном состоянии. Никакие исправления не применяют к измеренным температурам или любым расчетам размораживания и восстановления температуры в
приложении C. Значение(я) объема, используемое в корректирующем уравнении, представляет собой номинальное значение в соответствии с настоящим стандартом, как указано в инструкциях или другой литературе по прибору. Более подробная информация по дифференцированию этого уравнения приведена в
приложении L.
(обязательное)
ЭНЕРГОПОТРЕБЛЕНИЕ И ИЗМЕНЕНИЕ ТЕМПЕРАТУРЫ ПРИ РАЗМОРАЖИВАНИИ
И ВОССТАНОВЛЕНИИ ТЕМПЕРАТУРЫ
C.1 Общие положения
В настоящем приложении описан метод, который следует использовать для определения дополнительного энергопотребления в периоды размораживания и восстановления температуры в холодильных приборах с одним или несколькими циклами управления размораживанием. Также в нем описан процесс определения изменений температуры по отделениям, связанный с этими периодами размораживания и восстановления температуры. Обычно данные по испытаниям для этих расчетов собирают в рамках испытаний энергопотребления в стабильном состоянии согласно
приложению B. Отдельные периоды размораживания и восстановления температуры за любое время в рамках обычной программы испытаний можно использовать до тех пор, пока они соответствуют применимым критериям действительности. При наличии нескольких систем размораживания (каждая с собственным циклом управления размораживанием) характеристики каждой системы определяются по отдельности (или в сочетании, в зависимости от того, что применимо).
Примечание - Поскольку в циклических системах размораживания нет цикла управления размораживанием, приложение C применимо только к отделениям или холодильным приборам с системами автоматического размораживания, кроме циклических систем размораживания.
C.2 Подготовка к испытаниям и сбору данных
Целью является измерение и отбор ряда типичных периодов размораживания и восстановления температуры для определения типового значения дополнительного (инкрементального) энергопотребления при размораживании и восстановлении температуры (сверх энергопотребления в стабильном состоянии) и изменения средних внутренних температур (для каждого отделения) при размораживании и восстановлении температуры (по отношению к температуре в стабильном состоянии) для каждой окружающей температуры испытаний.
Подготовка и эксплуатация испытываемых холодильных приборов должна быть проведена в соответствии с
приложением A. В случае, если общее время отключения испытываемого холодильного прибора от электросети превышало 6 ч за 24 ч до наступления периода размораживания и восстановления температуры, то данные по этому периоду размораживания и восстановления температуры считают недействительными и не используют для определения типовых значений инкрементального энергопотребления и изменения температуры при размораживании и восстановлении температуры в соответствии с приложением C.
Чтобы охарактеризовать дополнительные требования к энергопотреблению и среднее изменение температуры за период размораживания и восстановления температуры (по отношению к условиям в стабильном состоянии) для каждого значения окружающей температуры при испытаниях, необходимо провести измерения для определенного числа типичных периодов размораживания и восстановления температуры. Чтобы период считался типичным, мощность и температура в стабильном состоянии до и после периода размораживания и восстановления температуры должны соответствовать применимым критериям стабильности или критериям одобрения. Число периодов размораживания и восстановления, для которых нужно проводить измерения при каждом значении окружающей температуры, указано в настоящем приложении. Для каждой точки испытаний, используемой для определения энергопотребления для каждого состояния окружающей температуры, требуется как минимум один период размораживания и восстановления температуры. В качестве альтернативного варианта необходимо не менее четырех периодов размораживания и восстановления температуры, и не менее чем у половины всех периодов размораживания и восстановления температуры должно быть самое холодное отделение при целевой температуре или ниже для каждого значения окружающей температуры.
С концептуальной точки зрения дополнительное энергопотребление, связанное с размораживанием и восстановлением температуры, сверх уровня энергопотребления в стабильном состоянии определяют в соответствии с рисунком C.1.
Рисунок C.1 - Концептуальные иллюстрации
дополнительного энергопотребления в период размораживания
и восстановления температуры
В данном случае используют основной подход DF1, при котором холодильный прибор может демонстрировать работу в стабильном состоянии до и после периода размораживания и восстановления температуры.
В редких случаях (DF2) устройство не может продемонстрировать работу в стабильном состоянии до и после периода размораживания и восстановления температуры для любых операций размораживания. В этом случае может быть использована методология, приведенная в
приложении K.
C.3 Подход DF1: ситуация, когда работа в стабильном состоянии может быть обеспечена до и после размораживания
Подход DF1 применяют, когда холодильный прибор обычно работает в стабильном состоянии до размораживания и возвращается в стабильное состояние через некоторое время после размораживания. Фактически стабильное состояние имеет место до и после периода размораживания и восстановления температуры. Каждый период размораживания и восстановления температуры рассматривают отдельно. Этот подход используют для всех типов холодильных приборов с одним или несколькими отделениями с системой размораживания (с собственным циклом управления размораживанием).
Период работы в стабильном состоянии (период D), заканчивающийся задолго до начала периода размораживания и восстановления температуры, выбирают так, чтобы он имел минимальный возможный размер, соответствующий критериям, установленным в
C.3.2. Период работы в стабильном состоянии (период F), начинающий намного позже окончания того же самого периода размораживания и восстановления температуры, выбирают так, чтобы он имел минимальный возможный размер, соответствующий критериям, установленным в
C.3.2.
Для целей оценки действительности в соответствии с
C.3.2, за номинальный центр периода размораживания и восстановления принимают точку через 2 ч после запуска нагревателя для размораживания или (при отсутствии такого нагревателя) после прекращения работы холодильной системы, связанного с автоматическим размораживанием. Это показано на
рисунке C.2. Временные интервалы

и

должны быть примерно одинаковыми, но могут отличаться в зависимости от точного времени выбранного цикла управления температурой (если применимо) в конце периода D и в начале периода F.
Примечание - В
C.3.2 приведены случаи, когда длительность периодов D и F и время

и

можно откорректировать для поиска соответствующих значений.
Рисунок C.2 - Подход DF1 с работой в стабильном состоянии
до и после размораживания
Значения температуры в каждом отделении и мощности для периода D сравнивают со значениями температуры в каждом отделении и мощности для периода F и оценивают в соответствии с
C.3.2.
Важно отметить, что средняя мощность для периода D никогда не будет точно равна средней мощности для периода F (как показано выше на
рисунке C.2). При равномерном распределении периодов D и F вокруг номинального центра периода размораживания и восстановления средняя мощность для периодов D и F может быть использована для получения разумной оценки базовой мощности в стабильном состоянии в период размораживания и восстановления температуры. Эта методология позволяет изучать отдельные периоды размораживания и восстановления температуры по отдельности, что ускоряет испытания и делает их более удобными.
Строгие ограничения по различиям между периодами D и F для обеспечения действительности необходимы, чтобы обеспечить отсутствие значительных изменений поведения прибора в период оценки (см.
C.3.2). Такие отличия могут быть вызваны множеством разнообразных причин, например: изменение регулируемой пользователем температуры непосредственно перед началом периода D или периода F, включение остаточного тепла (после теплого запуска), остаточной обрабатываемой загрузки в период размораживания и восстановления температуры (и в период D) или автоматические изменения эксплуатации прибора (например, ступенчатые изменения скорости инвертора, изменение работы нагревателя, значительные колебания температуры или мощности и другие факторы, которые могут привести к значительным различиям значений для периодов D и F). Во всех этих случаях критерии действительности должны точно отклонять выбранное размораживание, чтобы его нельзя было использовать в расчете энергопотребления. В данном случае испытания должны быть продолжены до записи другого периода размораживания и восстановления температуры.
Для периодов D и F необходимо рассчитать следующие характеристики:
- разброс температур для каждого отделения: рассчитывают, как разность между средней температурой более теплого периода (D или F) и средней температурой более холодного периода (D или F). Все данные по разнице температур (разбросу) выражают в К (см.
формулу (16)):
- разброс мощности: рассчитывают, как разность между средней мощностью в период с наиболее высокой мощностью (D или F) и средней мощностью в период с наименьшей мощностью (D или F), деленную на среднюю мощность за периоды D и F; разброс мощности выражают в % и в виде абсолютной величины, Вт (см.
формулы (17) и
(18)).
Разброс температур =
Tmax(D,F) -
Tmin(D,F), К (16)

, % (17)
Разброс мощности =
Pmax(D,F) -
Pmin(D,F), (18)
где для периодов D и F:
T - температура;
P - мощность;
% - частное (выражается в процентах, т.е. 1,0 = 100%).
C.3.2 Критерии приемки для подхода DF1
Для действительности периода размораживания и восстановления температуры должны быть выполнены следующие критерии:
a) периоды D и F должны состоять не менее чем из 3 полных циклов управления температурой (при наличии циклов управления температурой) и должны содержать одинаковое число циклов управления температурой. При отсутствии циклов управления температурой (или при использовании фиксированных отрезков времени) периоды D и F должны иметь одинаковую длительность;
b) длительность периодов D и F должна составлять не менее 3 ч;
c) период D должен завершаться не менее, чем за 3 ч до номинальной центральной точки текущего периода размораживания и восстановления температуры

;
d) период F должен начинаться не менее, чем через 3 ч после номинальной центральной точки текущего периода размораживания и восстановления температуры

;
e) разброс температур для периодов D и F должно быть менее 0,5 К для каждого отделения;
f) разброс мощности для периодов D и F должно быть менее 2% или менее 1 Вт, в зависимости от того, какое из этих значений больше;
g) при наличии циклов управления температурой соотношение общей длительности периода D, ч, и общей длительности периода F, ч, должно находиться в диапазоне от 0,8 до 1,25;
h) любой выбранный период D должен начинаться не менее, чем через 5 ч после момента предыдущего включения нагревателя для размораживания или (при отсутствии нагревателя для размораживания) не менее, чем через 5 ч после остановки холодильной системы, связанной с автоматическим размораживанием;
i) любой выбранный период F не должен заканчиваться после начала последующего периода размораживания и восстановления температуры.
Примечание - В данном случае разброс равен разнице между средними значениями за периоды D и F. Дополнительная информация по разбросу приведена в
B.3.1.
Если первоначально выбранные периоды D и F не соответствуют указанным выше критериям, минимальную длительность периодов D и F следует увеличивать с шагом в 1 цикл управления температурой (с шагом в 1 ч при отсутствии циклов управления температурой или при использовании фиксированных временных отрезков) для определения наличия возможных периодов, соответствующих критериям при минимальных значениях

и

, равняющихся 3 ч.
В случае невозможности найти соответствующие требованиям периоды D и F (например, из-за большой длительности периода размораживания и восстановления температуры), минимальный размер интервала

и

(см.
пункты c) и
d) следует увеличивать с шагом в 30 мин и повторно оценивать действительность измененных значений длительности периодов D и F для каждого увеличения.
В случае увеличения длительности периодов D и F или увеличения длительности

и

следует использовать первое действительное значение, полученное указанным выше образом.
Если указанным выше образом не удастся найти соответствующие требованиям значения длительности периодов D и F, время от запуска нагревателя для размораживания или (при отсутствии нагревателя для размораживания) от остановки холодильной системы в связи с автоматическим размораживанием до номинальной центральной точки периода размораживания и восстановления температуры может быть изменено по сравнению со значением по умолчанию в 2 ч. Откорректированное значение не должно быть менее 1 ч или более 4 ч и должно быть кратно 30 мин.
ПРИМЕР - Если время от начала периода размораживания и восстановления температуры до номинальной центральной точки периода размораживания и восстановления температуры установлено в 3 ч для получения данных, соответствующих требованиям (в связи с большой длительностью периода размораживания и восстановления температуры), будет считаться, что период размораживания и восстановления температуры начинается в то же время, что и раньше, но номинальная центральная точка периода размораживания и восстановления температуры установлена на 1 ч позднее.
При использовании нестандартных параметров для выбора периодов D и F (т.е. отличающихся от требований, установленных в
C.3.1) необходимо сделать соответствующую запись в отчете об испытании.
При наличии более двух отделений необходимо провести оценку стабильности температуры, как указано выше, для:
- наибольшего незамораживающего отделения и наибольшего замораживающего отделения (если применимо), или
- для наибольших двух отделений (из всех замораживающих или не низкотемпературных отделений).
В редких случаях, когда между циклами размораживания нет периодов работы в стабильном состоянии, подтверждение действительности периода размораживания и восстановления температуры посредством оценки симметричных периодов D и F может оказаться невозможным. Альтернативный подход к подобным ситуациям (DF2) описан в
приложении K, однако его следует использовать, только при невозможности обеспечения соответствия C.3 в обычном режиме.
C.3.3 Расчет значений для подхода DF1
При соблюдении критериев по
C.3.2 дополнительное энергопотребление в каждый период размораживания и восстановления температуры определяют с помощью указанного ниже способа.

(19)
где

- дополнительное энергопотребление холодильного прибора в период размораживания и восстановления температуры
j, Вт·ч;
Estart-D - накопленные показания энергопотребления в начале периода D, Вт·ч;
Eend-F - накопленные показания энергопотребления по окончании периода F, Вт·ч;
PSS-D - среднее энергопотребление в период D, Вт;
PSS-F - среднее энергопотребление в период F, Вт;
tstart-D - время испытаний в начале периода D, ч;
tend-F - время испытаний по окончании периода F, ч.
Примечание - В вышеуказанном уравнении используют усредненные значения мощности для периода D и мощности для периода F. Средневзвешенные по времени значения для обоих периодов не используют.
Изменение температуры в каждом отделении i в период размораживания и восстановления температуры j вычисляют по следующей формуле

, (20)
где

- накопленная по времени разница температуры для отделения
i (для от 1 до
n отделений), связанная с размораживанием и восстановлением температуры, К·ч (эта величина может быть как положительной, так и отрицательной) для периода размораживания и восстановления температуры
j;
Tav-startD-endF-i - средневзвешенная по времени температура в отделении i за период с начала периода D по конец периода F в градусах Цельсия (включая воздействие температуры при размораживании и восстановлении температуры);
Tav-D-i - средняя температура в отделении i в течение периода D, °C;
Tav-F-i - средняя температура в отделении i в течение периода F, °C;
tstart-D - время испытаний в начале периода D, ч;
tend-F - время испытаний по окончании периода F, ч.
Для приборов с контроллером размораживания во время работы компрессора дополнительное время работы компрессора в период размораживания и восстановления температуры j (сверх времени работы в стабильном состоянии) (в часах) вычисляют по следующей формуле

(21)
где

- дополнительное время работы компрессора в период размораживания и восстановления температуры
j, ч (сверх обычного времени работы компрессора в стабильном состоянии);
Rtstart-D - общее накопленное время работы компрессора (за период) в начале периода D, ч;
Rtstart-F - общее накопленное время работы компрессора (за период) в начале периода F, ч;
Rtend-D - общее накопленное время работы компрессора (за период) по окончании периода D, ч;
Rtend-F - общее накопленное время работы компрессора (за период) по окончании периода F, ч;
tstart-D - время испытаний в начале периода D, ч;
tstart-F - время испытаний в начале периода F, ч;
tend-D - время испытаний по окончании периода D, ч;
tend-F - время испытаний по окончании периода F, ч.
Необходимо следить за тем, чтобы не учитывать в этих расчетах нагреватель для размораживания, как компрессор (хотя некоторые контроллеры включают нагреватель для размораживания во время работы, необходимо отдельно проверять конфигурацию каждого устройства). Для постоянно работающих приборов значение

может быть нулевым или отрицательным.
C.4 Количество действительных периодов размораживания и восстановления температуры
Минимальное количество действительных периодов размораживания и восстановления температуры для каждой окружающей температуры испытаний, необходимое для расчета типового значения изменений энергопотребления и температуры при размораживании и восстановлении температуры, указано ниже для подходов DF1 и DF2:
- вариант 1: корректное значение

должно быть определено для каждой настройки устройства управления температурой, используемой для определения энергопотребления одного прибора в соответствии с
6.8.2 и
6.8.3. Период размораживания и восстановления температуры, выбранный для каждой настройки устройства управления температурой, должен быть близок к периоду работы в стабильном состоянии, используемому для оценки энергопотребления согласно
приложению B (он может наступать до или после периода работы в стабильном состоянии при использовании подхода SS1; он должен наступать до начала периода работы в стабильном состоянии для подхода SS2). Типовое значение

для устройства будет равен среднему от всех действительных значений для точек испытаний, использованных для определения энергопотребления;
- вариант 2: при наличии большего объема данных для определенной модели (полученных посредством более длительных испытаний или испытаний нескольких единиц одной и той же модели) типовое значение

для устройства будет равняться среднему от не менее чем 4 действительных значений. В этом случае не менее 50% от всех значений

будут иметь температуру самого холодного отделения на уровне целевой температуры или ниже. Отдельное значение

будет определяться для каждого значения окружающей температуры.
С учетом региональных норм и требований можно использовать вариант 1 или 2.
C.5 Расчет типовых значений температуры и энергопотребления при размораживании
Типовые значения энергопотребления при размораживании и восстановлении температуры и изменения температуры при размораживании и восстановлении температуры вычисляют по формулам

, (22)
где

- типовое значение нарастающего энергопотребления при размораживании и восстановлении температуры для окружающей температуры при испытаниях;
m - число действительных периодов размораживания и восстановления температуры, указанное в
C.4;

- нарастающее энергопотребление для каждого периода размораживания и восстановления температуры
j (от 1 до
m);
| | ИС МЕГАНОРМ: примечание. Формула приведена в соответствии с официальным текстом документа. | |

, (23)
где

- типичная разница температур для размораживания и восстановления температуры в отделении
i (от 1 до
n) для окружающей температуры при испытаниях;
m - число периодов размораживания и восстановления температуры, указанное в
пункте C.4;

- накопленная с течением времени разница температуры для каждого периода размораживания и восстановления температуры
j (от 1 до
m) в отделении
i (от 1 до
n).
Для приборов с контроллером размораживания во время работы компрессора типовые значения дополнительного времени работы компрессора в период размораживания и восстановления температуры вычисляют по следующей формуле

, (24)
где

- типичное значение дополнительного времени работы компрессора в период размораживания и восстановления температуры для окружающей температуры при испытаниях;
m - число действительных периодов размораживания и восстановления температуры, указанное в
C.4;

- дополнительное время работы компрессора в период размораживания и восстановления температуры
j (от 1 до
m).
(обязательное)
D.1 Общие положения
В настоящем приложении описан метод, предназначенный для определения интервала размораживания холодильных приборов при наличии одного или нескольких циклов управления размораживанием.
Существует три основных типа контроллеров размораживания:
- истекшее время - интервал размораживания в основном не зависит от внешних условий или нагрузки на холодильную систему. Контроллеры этого типа менее распространены, и в них могут использоваться механические или электронные средства управления;
- время работы компрессора - интервал размораживания зависит от количества часов работы компрессора (т.е. соответствует нагрузке на холодильную систему). Эти системы довольно распространены, в них обычно используются механические средства управления, и они эффективно работают только в системах с одной скоростью компрессора;
- переменные - интервал размораживания корректируется при обычном использовании с помощью автоматического процесса, который использует переменную (или переменные) рабочего состояния помимо или в дополнение к истекшему времени или времени работы компрессора для наилучшего соответствия холодильной нагрузке на испаритель при обычном использовании. В настоящее время эти системы довольно распространены, и в них обычно используются электронные средства управления.
Примечание - Контроллер размораживания, напрямую измеряющий холодильную нагрузку на испаритель, классифицируют как контроллер переменного размораживания.
Цель настоящего приложения заключается в создании основы для работы системы управления размораживанием и определении типичного интервала размораживания для каждого значения окружающей температуры. Для контроллеров времени работы компрессора на интервал размораживания также будут частично влиять настройка устройства управления температурой при испытаниях при заданной наружной температуре. Затем значение, определенное в соответствии с настоящим приложением, используется для определения энергопотребления в соответствии с
пунктом 6.
D.2 Контроллеры истекшего времени размораживания
Для таких контроллеров интервал размораживания остается относительно постоянным (в часах) при разнообразных условиях работы. Хотя такие контроллеры встречаются довольно редко, но на некоторых рынках они присутствуют. В большинстве случаев интервал размораживания составляет менее 24 ч.
При использовании контроллера истекшего времени размораживания можно провести прямые измерения для определения значения фактически истекшего времени на контроллере. Допустимые испытания для прямого определения периода истекшего времени размораживания контроллера включают:
- прямое измерение параметров работы контроллера в приборе (т.е. измерение времени, в течение которого подается напряжение):
- работа контроллера времени в рабочем режиме на стенде отдельно от прибора.
Значение, помеченное на контроллере истекшего времени может быть неактуальным, например, если номинальная частота контроллера составляет 60 Гц, а рабочая частота устройства - 50 Гц. Контроллеры истекшего времени с одним номинальным значением могут отличаться, но поскольку в них обычно используется синхронный мотор, работающий на частоте сети, после определения интервала данные для каждого контроллера должны быть в большей степени единообразными.
Если контроллер истекшего времени недоступен (или если неизвестно, относится ли контроллер к этому типу), или если лаборатория не может провести прямые измерения работы контроллера, значение должно оцениваться посредством испытаний в соответствии с
приложениями B и
C, и во время испытаний должно быть собрано достаточно данных, чтобы определить типовой средний интервал размораживания, как указано ниже. Первоначально интервал размораживания определяют для одного состояния испытаний, которое затем может браться при любой наружной температуре и любой уставке настроек температуры. Затем определят два дополнительных интервала размораживания при других значениях окружающей температуры и/или установках настроек температуры. Необходимо определить значения не менее, чем для трех интервалов размораживания, в том числе как минимум одно значение для окружающей температуры 16 °C и одно значение для окружающей температуры 32 °C.
Вне зависимости от того, проводят ли для контроллера истекшего времени размораживания прямые измерения или полные испытания устройства, необходимо провести дополнительные испытания при других значениях окружающей температуры и/или настройках устройства управления температурой. Во время этих испытаний холодильный прибор может быть подвергнуто пользовательским нагрузкам, таким как открывание дверец, и небольшим обрабатываемым загрузкам. Наблюдаемый интервал размораживания должен соответствовать измерениям истекшего времени. Если это не так, контроллер классифицируют как контроллер переменного размораживания.
Примечание - Цель этих испытаний заключается в том, чтобы определить, является ли какой-либо другой механизм более приоритетным, чем контроллер истекшего времени, при нормальной эксплуатации.
Чтобы контроллер можно было классифицировать как контроллер истекшего времени, коэффициент вариации (стандартное отклонение, деленное на среднее значение) всех измеренных интервалов размораживания должен составлять менее 10% для трех или более определенных интервалов размораживания. Если прибор не соответствует данному требованию, его классифицируют как контроллер переменного размораживания.
Необходимо аккуратно проверять, действует ли контроллер истекшего времени при включенном нагревателе для размораживания. Это может зависеть от конструкции отдельных приборов.
Примечание - Одни и те же таймеры можно использовать в качестве контроллеров времени работы компрессора или контроллеров истекшего времени. Это зависит от их конфигурации холодильного прибора.
D.3 Контроллеры времени работы компрессора при размораживании
Для этих контроллеров интервал размораживания определяют только временем работы компрессора (или в некоторых случаях время работы компрессора плюс время работы нагревателя при размораживании). Для этих контроллеров используют компрессор с одной скоростью. Таким образом, интервал размораживания приблизительно обратно пропорционален общей тепловой нагрузке на холодильную систему (наружная температура и пользовательская загрузка). Наиболее распространенные контроллеры времени работы компрессора при размораживании работают в диапазоне от 6 до 12 ч работы компрессора (обычно это соответствует интервалам размораживания на уровне от 12 до 30 ч (истекшее время) при повышенной наружной температуре и немного большим интервалам при более низкой наружной температуре).
При использовании контроллера времени работы можно провести прямые измерения для определения значения фактического времени на контроллере. Допустимые испытания для прямого определения периода контроллера времени размораживания включают:
- прямое измерение параметров работы контроллера в устройстве (т.е. измерение времени, в течение которого подается напряжение);
- работа контроллера времени работы в рабочем режиме на стенде отдельно от устройства.
Значение, помеченное на контроллере времени работы компрессора может быть неактуальным, например, если номинальная частота контроллера составляет 60 Гц, а рабочая частота прибора - 50 Гц. Контроллеры времени работы с одним номинальным значением могут отличаться, но поскольку в них обычно используется синхронный двигатель, работающий на частоте сети, после определения интервала данные для каждого контроллера должны быть в большей степени единообразными.
Примечание - Одни и те же таймеры можно использовать в качестве контроллеров времени работы компрессора или контроллеров истекшего времени. Это зависит от их конфигурации в холодильном приборе.
Если контроллер времени работы недоступен (или если неизвестно, относится ли контроллер к этому типу), или если лаборатория не может провести прямые измерения работы контроллера, значение следует оценивать посредством испытаний, как указано ниже.
Испытания следует проводить в течение всего цикла управления размораживанием, не менее чем по одному для каждого значения окружающей температуры. Это необходимо для подтверждения того, что контроллер является контроллером времени работы, и для оценки значения

. Выбранный период должен соответствовать следующим требованиям:
- первое размораживание должно удовлетворять требованиям к действительности, указанным в
C.3;
- период испытаний должен включать по меньшей мере часть последующего периода размораживания и восстановления температуры, запускаемого автоматически без какого-либо вмешательства;
- в период испытания настройки устройства управления температурой не изменяются;
- во время испытания в прибор не добавляют обрабатываемую загрузку, дверцы прибора не открывают.
Приблизительное время работы компрессора для контроллера времени работы компрессора при размораживании для заданного набора данных испытаний, соответствующего данным требованиям, определяют по следующей формуле:

, (25)
где

- приблизительное время работы компрессора для контроллера времени работы компрессора при размораживании для периода испытаний, начинающегося с периода размораживания и восстановления температуры
j, ч;

- измеренное время работы компрессора в часах с момента начала периода размораживания и восстановления температуры
j до момента начала следующего периода размораживания и восстановления температуры
j + 1;

- если таймер работает во время периода размораживания и восстановления температуры
j - время в часах с момента остановки компрессора до его перезапуска в течение этого периода размораживания и восстановления температуры; если таймер не работает во время периода размораживания и восстановления температуры - нулевое значение.
Необходимо аккуратно проверять, действует ли контроллер времени работы компрессора при включенном нагревателе для размораживания. Это может зависеть от конструкции отдельных приборов. Если контроллер доступен, в этом можно убедиться посредством измерения напряжения на моторе контроллера времени работы при включенном нагревателе для размораживания.
Вне зависимости от того, проводят ли для контроллера времени работы компрессора при размораживании прямые измерения или полные испытания прибора, необходимо провести дополнительные испытания при других значениях окружающей температуры и/или настройках устройства управления температурой. Во время этих испытаний холодильный прибор может быть подвергнут пользовательским загрузкам, таким как открывание дверец, и небольшим обрабатываемым загрузкам. Наблюдаемый интервал размораживания должен соответствовать измерениям времени работы. Если это не так, контроллер классифицируют как контроллер переменного размораживания.
Примечание - Цель этих испытаний заключается в том, чтобы определить, является ли какой-либо другой механизм более приоритетным, чем контроллер времени работы, при нормальной эксплуатации.
В случае прямого измерения времени работы контроллера времени работы компрессора при размораживании в последующих расчетах используют измеренное значение

.
В противном случае, для классификации контроллера как контроллера времени работы компрессора при размораживании, коэффициент вариации (стандартное отклонение, деленное на среднее значение) приблизительных значений времени работы компрессора

должен составлять менее 10% для рассмотренных интервалов размораживания. Если контроллер не соответствует данному требованию, то его классифицируют как контроллер переменного размораживания. При использовании оценочного времени работы значение

, используемое в последующих расчетах, должно представлять собой среднее от всех измеренных значений.
После подтверждения это значение можно будет использовать для расчета фактического интервала размораживания для любой настройки устройства управления температурой, окружающей температуры и состояния обработки нагрузки в виде функции времени работы компрессора. Для всех холодильных приборов с контроллерами времени работы компрессора при размораживании процент времени работы следует указывать для условий стабильного состояния согласно
приложению B, а дополнительное время работы компрессора (в часах) следует рассчитывать для периодов размораживания и восстановления температуры (согласно
приложению C).
Интервал размораживания для каждого из условий испытаний и для каждой настройки устройства управления температурой определяют по формуле

, (26)
где

- приблизительный интервал размораживания (истекшее время) для каждой настройки устройства управления температурой и каждого значения окружающей температуры при испытаниях в часах, с учетом воздействия размораживания и восстановления температуры;

- указанное, измеренное или оценочное время работы контроллера времени работы компрессора при размораживании, ч;
CRtSS - время работы компрессора (в процентах) в стабильном состоянии для каждой настройки устройства управления температурой и каждого значения окружающей температуры при испытаниях в соответствии с определением
B.3.3 или
B.4.3;

- типичное нарастающее время работы компрессора (в часах) для размораживания и восстановления температуры в соответствии с
C.5 приложения C;

- типовое время работы нагревателя для размораживания в часах за период размораживания и восстановления температуры, если во время работы нагревателя для размораживания работает таймер, в противном случае значение равно нулю;

- равняется

, если это значение больше нуля, в противном случае - типичное время нахождения компрессора в выключенном состоянии в период размораживания и восстановления температуры.
D.4 Контроллеры переменного размораживания
D.4.1 Общие положения
Для этого типа контроллеров интервал размораживания варьируется пропорционально замораживающей нагрузке на испаритель. Большинство систем не измеряют холодильную нагрузку на испаритель непосредственно (хотя это возможно), и системами этого типа обычно управляет программное обеспечение, которое использует ряд параметров для косвенной оценки холодильной нагрузки и проводят прогрессивную корректировку интервала размораживания. После работы нагревателя для размораживания система изучает соответствующие параметры за предыдущий период использования и при необходимости корректирует следующий интервал размораживания для его оптимизации и минимизации затрат энергии, связанных с размораживанием. Таким образом, прибор может пройти через обучающую последовательность при испытании, при котором выполняется прогрессивная корректировка интервала размораживания.
Цель D.4 заключается в оценке типичного интервала размораживания при нормальной эксплуатации на основе диапазона параметров, заявленного поставщиком.
Средства контроля переменного размораживания должны иметь диапазон возможных интервалов размораживания, отражающих накопление холода на испарителе. Если интервал размораживания постоянно будет слишком маленьким, энергия будет расходоваться впустую. Если интервал размораживания будет слишком большим, энергопотребление системы может быть слишком высоким из-за плохой теплопередачи замерзшего испарителя, и в ней даже могут возникнуть проблемы с удалением инея с испарителя, что приведет к долгосрочному скоплению льда и общему снижению производительности.
Чтобы прибор можно было классифицировать по настоящему стандарту как контроллер переменного размораживания, интервал размораживания должен различаться среди множества значений (или среди значительного числа шагов с надлежащим интервалом), отражающих холодильную нагрузку на испаритель при ряде действий, связанных с нормальной эксплуатацией, с учетом периода обучения контроллера переменного размораживания.
Переменное размораживание - термин, определенный в настоящем стандарте. Существует возможность, что если в приборах со средствами управления размораживанием при нормальной эксплуатации наблюдаются характеристики, значительно отличающиеся от показанных при сопоставимых условиях испытаний, то в этих приборах установлены обходные устройства.
D.4.2 Контроллеры переменного размораживания - заявленные интервалы размораживания
Для целей настоящего стандарта интервал размораживания для этого типа контроллеров определяют на основе расчетов с использованием функции заявленного наименьшего интервала размораживания и заявленного наибольшего интервала размораживания для окружающей температуры 32 °C.
Интервал размораживания для системы переменного размораживания определяют по формуле

, (27)
где

- интервал размораживания для окружающей температуры 32 °C;

- максимальный возможный интервал размораживания для окружающей температуры 32 °C, указанный производителем, в часах истекшего времени;

- минимальный возможный интервал размораживания для окружающей температуры 32 °C, указанный производителем, в часах истекшего времени.
Вне зависимости от инструкций, в отношении исходных переменных

и

, действуют следующие ограничения:
-

обычно превышает 6 ч и не должен превышать 12 ч при наружной температуре 32 °C (истекшее время);
-

не должен превышать 96 ч при наружной температуре 32 °C (истекшее время).
-

должен быть больше

при наружной температуре 32 °C.
Основой заявления о минимальном возможном интервале размораживания

должен быть кратчайший воспринимаемый интервал размораживания при тяжелых условиях эксплуатации (например, при высокой нагрузке, частого открывания дверец, высокой влажности) при температуре рабочей среды 32 °C. Могут быть проведены испытания при высокой нагрузке для проверки заявленного значения. Заявленное значение максимального возможного интервала размораживания

должно быть достижимо при условиях испытаний при всех температурах отделений на уровне или ниже уровня целевых температур в стабильном состоянии (см.
приложение B) при наружной температуре 32 °C. Производители должны указывать все особые условия, требующиеся для достижения заявленного значения.
Испытания при других окружающих температурах с некоторой обрабатываемой загрузки (например, открытия дверец) могут проводиться для подтверждения работы контроллера размораживания в области значений или значительного количества ступенек с подходящими интервалами.
Значение

при наружной температуре 16 °C должно в два раза превышать значение

.
D.4.3 Контроллеры переменного размораживания - нет заявленных интервалов размораживания (требуется размораживание)
Если система относится к типу переменного размораживания, но производитель не может заявить никакие значения для

и

, потому что контроллер размораживания работает по требованию на основании толщины намерзания на испарителе, то в таком случае применяют следующие значения по умолчанию:
-

- 6 ч при наружной температуре 32 °C (истекшее время);
-

- 96 ч при наружной температуре 32 °C (истекшее время).
Это соответствует значениям по умолчанию

в 24 ч и

в 48 ч согласно
формуле (27) и
пункту D.4.2 для контроллеров переменного размораживания, относящихся к типу размораживания по требованию.
Примечание - Эту процедуру расчета используют, даже если система запускает размораживание основываясь исключительно на объеме намораживания на испарителе (а не с помощью временного алгоритма).
Чтобы контроллер размораживания можно было классифицировать как систему размораживания по требованию, он должен работать в области интервалов размораживания, реагируя на изменения морозильной нагрузки. Для соответствия использованию этих значений поставщиков могут попросить предоставить техническую информацию по способу работы системы размораживания по требованию.
D.4.4 Контроллеры переменного размораживания - не совместимые
Если система номинально относится к типу переменного размораживания, но при этом:
- производителем не указаны или не предоставлены значения

и

, и нет никаких свидетельств того, что для контроллера требуется размораживание, или
- прибор не соответствует требованиям к контроллеру с переменным размораживанием, потому что он не работает в наборе интервалов размораживания (или не содержит значительного количества ступенек с подходящим интервалом), или
- определено, что заявленные значения не соответствуют значениям, полученным при испытаниях.
В этом случае используют следующие значения

и

:
-

- среднее значение для 3 наблюдаемых интервалов размораживания при наружной температуре 32 °C с не более чем одним открытием дверцы за час, но не более 10,0 ч;
-

- среднее значение для 3 наблюдаемых интервалов размораживания при наружной температуре 16 °C с не более чем одним открытием дверцы за час, но не более 20,0 ч.
(обязательное)
E.1 Общие положения
В настоящем приложении описаны методы, которые должны быть использованы при интерполяции двух или более результатов для оценки более оптимального значения энергопотребления, чем энергопотребление в ситуации, когда все отделения имеют температуру, равную целевым температурам согласно
пункту 6, или более низкую температуру.
Примечание - Интерполяция не является обязательным требованием настоящего стандарта. Допустимое значение энергопотребления можно определить на базе одного испытания, при котором все отделения будут иметь указанную в
6.3 a) целевую температуру или более низкую температуру.
Настоящий стандарт допускает два варианта интерполяции:
- вариант 1: линейная интерполяция между двумя точками испытания, обычно при корректировке одного регулируемого пользователем устройства управления температурой (можно корректировать несколько устройств, но в этом случае необходимо провести специальные проверки, описанные в
E.3);
- вариант 2: триангуляция с использованием трех (или более) точек испытаний при корректировке двух (или более) регулируемых пользователем устройств управления температурой.
Как для варианта 1, так и для варианта 2, действуют определенные требования к действительности.
Цель интерполяции заключается в оценке оптимального энергопотребления с использованием данных из точек испытания, выбранных для анализа (измеренные значения энергопотребления и температур отделения). При наличии дополнительных средств управления, не используемых для интерполяции, существует возможность того, что получившаяся оценка энергопотребления не будет наиболее оптимальной. В качестве общей рекомендации, регулируемые пользователем устройства управления температурой, влияющие на отделения с наибольшим объемом или на наиболее холодное отделение, должны использоваться для интерполяции для получения оптимального значения энергопотребления (температура самого большого или самого холодного отделения оказывает доминирующее влияние на энергопотребление). При наличии двух или нескольких регулируемых пользователем устройств управления температурой, влияющих на два или более отделений, триангуляция по варианту 2 обычно дает более оптимальную оценку энергопотребления, нежели линейная интерполяция по варианту 1.
В отношении использования вариантов 1 и 2 применяются особые условия. Эти условия указаны в
E.3 и
E.4 соответственно. Не допускается использование экстраполяции для оценки значений энергопотребления при целевой температуре, при которой эта точка не находится между выбранными точками испытаний и не вокруг них.
При использовании интерполяции необходимо указывать следующую дополнительную информацию:
- если результаты измерялись при двух настройках устройства управления температурой для интерполяции в соответствии с
E.3, - используемое для интерполяции отделение (где интерполяция дает действительный результат) и график энергопотребления и температуры для этого отделения S
i в соответствии с определением
E.3.3;
- если результаты измерялись для прибора с двумя регулируемыми пользователем устройствами управления температурой с тремя сочетаниями настроек устройства управления температурой в соответствии с
E.4, - значения коэффициентов
E0,
A и
B (или эквивалентных);
- если результаты измерялись для прибора с тремя регулируемыми пользователем устройствами управления температурой с четырьмя сочетаниями настроек устройства управления температурой в соответствии с
E.4, - значения коэффициентов
E0,
A,
B и
C.
E.2 Корректировка температуры перед интерполяцией
Если в холодильном приборе используют одну или несколько систем размораживания (каждая с собственным циклом управления размораживанием), среднюю температуру отделения следует определять по
формуле (3) с учетом воздействия всех систем размораживания до интерполяции.
Для каждой точки испытания рассчитывают дневное энергопотребление и среднюю температуру для каждого отделения в соответствии с указаниями
6.8.2. Затем полученные значения используют для интерполяции на основе данных для точек испытания.
E.3 Вариант 1: линейная интерполяция - две точки испытаний
E.3.1 Общие положения
В данном пункте описан метод определения значения энергопотребления холодильного прибора посредством интерполяции результатов двух испытаний при изменении настроек одного или нескольких регулируемых пользователем устройств управления температурой. Изменение настроек может одновременно повлиять на температуру нескольких отделений, и поэтому следует проверить действительность каждого возможного сочетания. Для интерполяции используется математический метод.
Значение, определяемое с помощью этого метода, является приближенной величиной значения, которое было бы получено при установке настроек температуры на такой уровень, при котором температуры соответствующих отделений были бы максимально близки к заданным целевым температурам для типов отделений для всех отделений, но не превышали их. При одновременном изменении температуры в нескольких отделениях для интерполяции выбирается точка, которая первая достигает целевой температуры (при переключении от более холодных настроек на более теплые).
E.3.2 Требования
Линейную интерполяцию с использованием результатов только двух испытаний можно проводить в случае, если хотя бы в одном отделении имеется одна точка испытания, температура которой выше соответствующей целевой температуры, а другая точка испытания имеет температуру ниже соответствующей целевой температуры. Во время процесса интерполяции для двух испытаний рассчитывается температура во всех отделениях, и при этом для каждого отделения устанавливается целевая температура. Чтобы интерполяция была действительной, температура всех отделений должна быть равна целевой температуре точки интерполяции или более низкой.
Чтобы линейная интерполяция была действительной, разница температур между испытаниями в каждом отделении, используемом для интерполяции, не должна превышать 4 К.
Для линейной интерполяции не действуют особые требования к относительному положению точек испытаний, используемых для интерполяции. Точка интерполяции должна во всех случаях находиться между двумя измеренными значениями для всех параметров (энергопотребление и температура). Экстраполяция не допускается ни при каких обстоятельствах. Это означает, что не все сочетания из двух точек испытания позволяют получить допустимый результат интерполяции. В связи с этим будет разумно выбирать одну точку испытания при температуре всех отделений ниже их целевой температуры. Это обеспечит действительность результатов линейной интерполяции, если для второй выбранной точки испытания хотя бы некоторые отделения будут иметь температуру выше их целевой температуры.
Общий подход, применяемый для данного метода интерполяции, заключается в выполнении интерполяции для каждого отделения при его целевой температуре и последующем расчете температуры в этой точке для всех остальных отделений. Затем этот процесс применяется к каждому дополнительному отделению. Результаты для каждого отделения при целевой температуре проверяются, после чего выбираются действительные точки интерполяции, при которых все отделения имеют целевую температуру или более низкую температуру для конкретных точек интерполяции.
Чтобы лучше понять принципы расчета, будет полезно начертить график процедуры интерполяции. На рисунке E.1 показан пример интерполяции для шкафа с четырьмя отделениями с одним результатом. На
рисунке E.2 показан пример с двумя действительными значениями для интерполяции, а на
рисунке E.3 показан пример без действительных значений для интерполяции.
Рисунок E.1 - Интерполяция при изменении температур
в нескольких отделениях
(критическое значение для отделения D)
Рисунок E.2 - Интерполяция с корректными результатами
в отделениях A и B
Рисунок E.3 - Интерполяция без корректных результатов
Следующую процедуру расчета необходимо выполнить для каждого отделения i, где i имеет буквенное обозначение A, B, C и т.д. вплоть до n, а n - количество отделений для точек испытания 1 и 2.
Необходимо убедиться, что ABS(Ti1 - Ti2) равно 4 К или меньшей величине. Если это условие не выполнено, для этого отделения нельзя выполнять линейную интерполяцию (точки могут использоваться, если и Ti1, и Ti2 имеют температуру ниже целевой температуры).
Коэффициент интерполяции fi для каждого отделения рассчитывается следующим образом:

, (28)
где Ti1 - измеренная температура для точки испытания 1 в отделении i;
Ti2 - измеренная температура для точки испытания 2 в отделении i;
Ti-tar - целевая температура для типа отделения
i в соответствии с
таблицей 1.
Если fi меньше 0 или fi больше 1, нельзя провести действительную интерполяцию для отделения i с использованием сочетания точек испытания 1 и 2. Если значения Ti1 и Ti2 оба не имеют температуры ниже целевой температуры, может потребоваться другое сочетание точек испытания.
| | ИС МЕГАНОРМ: примечание. Нумерация пунктов дана в соответствии с официальным текстом документа. | |
3) Для каждого из других отделений от 1 до j (от A, B, C до n) значение температуры Tj для отделения i с целевой температурой вычисляют методом интерполяции по следующей формуле:
Tj = Tj1 + fi(Tj2 - Tj1), (29)
где Tj - полученное путем интерполяции значение температуры в отделении j, когда отделение i имеет целевую температуру;
Tj1 - измеренное значение температуры для точки испытания 1 в отделении j;
Tj2 - измеренное значение температуры для точки испытания 2 в отделении j;
fi - коэффициент интерполяции отделения для отделения i.
4) Если все значения Tj (с буквенным кодом с A, B, C по n) имеют целевые или более низкие значения (Tj <= Tj-tar), то расчет интерполяции энергопотребления в случае, когда отделение i имеет целевую температуру, проводят по следующей формуле:
Ei-tar = E1 + fi·(E2 - E1), (30)
где Ei-tar - полученное путем интерполяции значение энергопотребления для точек испытания 1 и 2, когда отделение i имеет целевую температуру;
E1 - измеренное значение энергопотребления в точке испытания 1 (настройка устройства управления температурой, комбинация 1);
E2 - измеренное значение энергопотребления в точке испытания 2 (настройка устройства управления температурой, комбинация 2);
fi - коэффициент интерполяции отделения для отделения i.
После завершения предыдущей процедуры для каждого отделения i существует три возможности:
a) ни для одного из отделений не рассчитано действительное значение энергопотребления, полученное методом интерполяции. Это означает, что точки 1 и 2 не образуют подходящего для интерполяции сочетания, и что необходимо произвести измерения для другого сочетания точек испытания;
b) методом интерполяции получено одно действительное значение энергопотребления. Это значение соответствует полученному методом интерполяции значению энергопотребления;
c) обнаружено два или более значения энергопотребления, полученных методом интерполяции. Минимальное из этих значений соответствует полученному методом интерполяции значению энергопотребления.

, (31)
где Elinear - энергопотребление, определенное методом линейной интерполяции;
Ei-tar - полученное методом интерполяции значение энергопотребления для отделения i, как указано выше (недопустимые значения игнорируются).
Примечание - Если все отделения в одной точке имеют температуру ниже целевой температуры, а все отделения во второй точке имеют температуру выше целевой температуры, решение может быть только одно (возможность (b) выше). Например, два решения возможны, когда для одной точки отделение A имеет температуру ниже целевой температуры, а отделение B - выше целевой температуры, а для второй точки отделение A имеет температуру выше целевой, а отделение B - ниже целевой. Пример с двумя (или более) допустимыми решениями для линейной интерполяции по двум точкам относительно необычен. Разнообразные примеры приведены в
приложении I.
Если допустимое значение для интерполяции Elinear определяют с помощью указанного выше метода, в дополнение к полученному значению энергопотребления нужно указывать следующую дополнительную информацию:
- отделение i, используемое для получения действительного значения Ei-tar и Elinear;
- график снижения энергопотребления-температуры Si для этого отделения, как показано ниже

. (32)
Примечание - Значение Si обычно отрицательное, но это зависит от расположения точек испытания 1 и 2.
E.4 Пример 2: триангуляция - три (или более) точки испытаний
E.4.1 Общие положения
В данном пункте описан метод определения оптимального значения энергопотребления холодильного прибора посредством интерполяции результатов трех (или более) испытаний при изменении уставок двух или более регулируемых пользователем устройств управления температурой. Изменение настроек может повлиять на температуру нескольких отделений, и поэтому следует проверить действительность каждого возможного сочетания. Для интерполяции используется математический метод.
Принцип основан на том, что три выбранные точки испытания должны окружать геометрическое пересечение температур обоих изучаемых отделений, называемое точкой Q. В этой точке достигается оптимальное энергопотребление (для двух рассматриваемых отделений). Оценочное энергопотребление в точке Q определяется посредством серии линейных интерполяций.
Значение, определяемое с помощью этого метода, является приближенной величиной значения, которое было бы получено при установке настроек температуры двух отделений на такой уровень, при котором температуры соответствующих отделений были бы максимально близки к заданным целевым температурам для типов отделений для всех отделений (в точке Q), но не превышали их.
Аналогичным образом можно выполнить многомерную триангуляцию для трех или более отделений, но математическое выполнение интерполяции вручную (в соответствии с
пунктом E.4.3) представляет собой сложную задачу и не задокументировано в настоящем стандарте. Однако интерполяцию для трех или более отделений можно выполнить с помощью матриц, как указано в
пункте E.4.6. Обычно при интерполяции данных для трех или четырех отделений оценка оптимального энергопотребления улучшается не очень сильно, потому что влияние небольших отделений на энергопотребление обычно невелико. Вероятные небольшие улучшения оптимального энергопотребления необходимо взвесить по отношению к значительным затратам на получение 4 или 5 соответствующих требований и пригодных точек для испытания энергопотребления (которые необходимы для интерполяции данных по 3 или 4 отделениям с независимыми регулируемыми пользователем устройствами управления температурой соответственно).
E.4.2 Требования к триангуляции для двух (или более) отделений
E.4.2.1 Общие требования
Температура в каждом отделении, используемом для интерполяции, должна находиться в диапазоне Ttar +/- 4 К для всех выбранных сочетаний настроек устройства управления температурой.
E.4.2.2 Триангуляция для холодильного прибора с двумя отделениями
Для интерполяции методом триангуляции для холодильного прибора с двумя отделениями (вариант 2-0) действуют следующие требования:
a) холодильный прибор должен иметь два регулируемых пользователем устройства управления температурой, влияющих на температуру в двух отделениях;
b) нужно провести не менее трех измерений энергопотребления (в точках испытания) для трех сочетаний изменяемых настроек устройства управления температурой;
c) выбранные для анализа точки испытания отделений должны образовывать треугольник, заключающий в себя пересечение целевых температур для этих двух отделений (см.
рисунок E.4, точку
Q,
формулу (33)).
При выполнении этих условий триангуляция проводят в соответствии с
E.4.3 или
E.4.4.
Чтобы убедиться, что точка Q находится внутри треугольника, составленного тремя точками испытания, проводят расчет следующих значений Check1 и Check2
Check1 = [(TB-tar - TB1)·(TA2 - TA1) -
- (TA-tar - TA1)·(TB2 - TB1)]·[(TB-tar - TB2)·(TA3 - TA2) -
- (TA-tar - TA2)·(TB3 - TB2)],
Check2 = [(TB-tar - TB2)·(TA3 - TA2) -
- (TA-tar - TA2)·(TB3 - TB2)]·[(TB-tar - TB3)·(TA1 - TA3) -
- (TA-tar - TA3)·(TB1 - TB3)],
где TA1 - измеренное значение температуры для точки испытания 1 в отделении A;
TA2 - измеренное значение температуры для точки испытания 2 в отделении A;
TA3 - измеренное значение температуры для точки испытания 3 в отделении A;
TA-tar - целевая температура для отделения A;
TB1 - измеренное значение температуры для точки испытания 1 в отделении B;
TB2 - измеренное значение температуры для точки испытания 2 в отделении B;
TB3 - измеренное значение температуры для точки испытания 3 в отделении B;
TB-tar - целевая температура для отделения B.
Точка Q находится внутри треугольника, образованного точками 1, 2 и 3, если верно следующее неравенство
ЕСЛИ {[
Check1 >= 0]} И {[
Check2 >= 0]} = ПРАВДА (33)
Примечание - Данная процедура проверки основана на барицентрической системе координат. Чтобы избежать ошибок, рекомендуется ввести эти уравнения в электронную таблицу для постоянного использования. Значение 0 для параметров Check1 или Check2 означает, что точка Q находится непосредственно на одной из сторон треугольника, и что тот же результат можно получить с помощью линейной интерполяции с меньшим количеством данных.
Рекомендуется построить график значений испытания с температурами двух отделений на ортогональных осях. Этот способ позволяет быстро определить, находится ли целевая температура (точка
Q) внутри треугольника, образованного тремя точками испытания. При наличии сомнений математическая действительность по
формуле (33) имеет приоритет по отношению к любой процедуре визуальной проверки.
Примечание - Расчет значений для точки 4 требуется только в случае ручной интерполяции по двум отделениям.
Рисунок E.4 - Схематическое представление интерполяции
посредством триангуляции
E.4.2.3 Триангуляция для холодильного прибора с более чем двумя отделениями
Если холодильный прибор имеет более двух отделений, возможны разные варианты в зависимости от конфигурации устройства, выбранных сочетаний настроек устройства управления температурой и доступных данных.
Вариант 2-0: Три точки испытания, триангуляция по двум отделениям
Вариант 2-1: Три точки испытания, триангуляция по двум отделениям, температура дополнительных отделений всегда ниже целевой температуры
Если три точки испытания выбраны так, что два отделения соответствуют требованиям
E.4.2.2, а температура всех дополнительных отделений остается на уровне целевой температуры или ниже для всех трех точек испытания, то в соответствии с
E.4.2.2 следует использовать триангуляцию и не проводить дополнительных проверок.
Вариант 2-2: Три точки испытания, триангуляция по двум отделениям, температура дополнительных отделений не всегда ниже целевой температуры
Если три точки испытания выбраны так, что два отделения соответствуют требованиям
E.4.2.2, но температура одного или нескольких дополнительных отделений не остается на уровне целевой температуры или ниже для всех трех точек испытания, необходимо использовать следующую процедуру.
a) Проводят три измерения энергопотребления (в точках испытания) для трех сочетаний изменяемых настроек устройства управления температурой; и
b) Выбранные для триангуляции точки испытания отделений должны образовывать треугольник, заключающий в себя пересечение целевых температур (см.
рисунок E.4, точку
Q,
формулу (33)); и
c) Триангуляцию для выбранных отделений проводят в соответствии с
E.4.4; и
d) Рассчитанная температура всех дополнительных отделений в точке
Q должна соответствовать целевой или более низкой температуре в соответствии с
E.4.5 (температура для отделения C, D и т.д. рассчитывается в точке
Q и проверяется).
Если вышеуказанные требования не выполняются, соответствующие требованиям результаты можно получить из доступных данных следующими способами:
e) Выбирают другие комбинации отделений для триангуляции и убеждаются, что рассчитанная температура для всех дополнительных отделений в точке
Q равняется или ниже целевой температуры в соответствии с
перечислениями с a) по
d); или
f) Проводят дополнительные испытания для получения дополнительных данных испытаний, соответствующих требованиям варианта 2-1 или варианта 2-2; или
g) Проводят линейную интерполяцию для каждой пары точек испытания в соответствии с
E.3. Если с помощью этого подхода можно получить более одного действительного результата, можно выбрать минимальное значение. Хотя линейная интерполяция может дать действительный результат, он может не быть близок к оптимальному энергопотреблению (в зависимости от доступных данных).
Вариант 2-3: Четыре точки испытания, триангуляция по трем отделениям, нет дополнительных отделений или температура дополнительных отделений всегда ниже целевой
При выборе четырех точек испытаний, они должны быть выбраны таким образом, чтобы три отделения соответствовали следующим требованиям:
h) Холодильный прибор должен иметь три регулируемых пользователем устройства управления температурой, влияющие на температуру в трех или более отделениях; и
i) Проводят четыре измерения энергопотребления (в точках испытания) для четырех сочетаний изменяемых настроек устройства управления температурой; и
j) Выбранные для анализа точки испытания должны образовывать трехмерную треугольную пирамиду, включающую точку пересечения целевых температур для этих трех отделений); и
k) Триангуляцию выполняют с использованием матриц, как указано в
E.4.6.
Вариант 2-4: Четыре точки испытания, триангуляция по трем отделениям, температура дополнительных отделений не всегда ниже целевой
При выборе четырех точек испытаний, они должны быть выбраны таким образом, чтобы три отделения соответствовали следующим требованиям:
l) Холодильный прибор должен иметь три регулируемых пользователем устройства управления температурой, влияющие на температуру в трех или более отделениях; и
m) Проводят четыре измерения энергопотребления (в точках испытания) для четырех сочетаний изменяемых настроек устройства управления температурой; и
n) Выбранные для анализа точки испытания должны образовывать трехмерную треугольную пирамиду, включающую точку пересечения целевых температур для этих трех отделений; и
o) Рассчитанная температура всех дополнительных отделений в точке
Q должна соответствовать целевой или более низкой температуре в соответствии с
E.4.6 (температуру для отделения D, E и т.д. рассчитывают и проверяют в точке
Q); и
p) Триангуляцию выполняют с использованием матриц, как указано в
E.4.6.
E.4.3 Расчеты для триангуляции для двух отделений - ручная интерполяция
Подход, используемый для этого метода, заключается в выполнении ряда линейных интерполяций для оценки энергопотребления в точке
Q, когда оба отделения имеют целевые температуры для энергопотребления
Ttar, как указано в
таблице 1. Точки испытания 1, 2 и 3, используемые для этих расчетов, должны окружать точку пересечения целевых температур
Ttar для каждого отделения, называемую точкой
Q.
Альтернативный подход с использованием матриц описан в
E.4.4. Он не требует расчета значений для точки 4.
Данная процедура состоит из трех шагов, выполняемых вручную:
- шаг 1: Расчет температуры новой точки 4, лежащей на пересечении линии, проходящей через точку 2 и точку Q, и линии, проходящей через точку 1 и точку 3;
- шаг 2: Расчет энергопотребления в точке 4 посредством линейной интерполяции энергопотребления в точке 1 и точке 3 (можно использовать температуру отделения A или B, в уравнениях ниже использовалась температура отделения A);
- шаг 3: Расчет энергопотребления в точке Q посредством линейной интерполяции энергопотребления в точке 4 и точке 2 (можно использовать температуру отделения A или B, в уравнениях ниже использовалась температура отделения A).
Ниже приведены расчеты по этим трем шагам.
В следующей формуле использованы следующие обозначения:
Ti-tar - целевая температура в отделении i (температура в точке Q);
Ti1 - температура точки 1 в отделении i (измеренное значение);
Ti2 - температура точки 2 в отделении i (измеренное значение);
Ti3 - температура точки 3 в отделении i (измеренное значение);
Ti4 - температура точки 4 в отделении i (рассчитанное значение);
E1 - энергопотребление в точке 1 (измеренное значение);
E2 - энергопотребление в точке 2 (измеренное значение);
E3 - энергопотребление в точке 3 (измеренное значение);
E4 - энергопотребление в точке 4 (рассчитанное значение).
Шаг 1
Для двух отделений A и B расчетная температура в точке 4 в отделении A равна

(34)
При проведении расчетов вручную нужно соблюдать внимательность. Рекомендуется ввести эти уравнения в электронную таблицу. Затем электронную таблицу можно проверить с помощью примеров из
приложения I, прежде чем использовать ее для расчета данных испытаний.
Обычно для проверки нахождения точки
Q в треугольнике, образованном точками 1, 2 и 3, используют
формулу (33) или графический метод. Альтернатива ручной интерполяции заключается в проверке нахождения целевой температуры
TA-tar между
TA2 и
TA4 и нахождения
TA4 между
TA1 и
TA3. Математически это выражается следующим образом:
TA4 < TA-tar < TA2 или
TA4 > TA-tar > TA2
и
TA1 < TA4 < TA3 или
TA1 > TA4 > TA3
Шаг 2
Расчетное значение энергопотребления в точке 4 с использованием данных температуры в точке 4, рассчитанных на шаге 1, и точек испытаний 1 и 3, определяют по следующей формуле (используют температуры отделения A):

(35)
Шаг 3
Расчетное значение энергопотребления при целевой температуре с использованием данных энергопотребления и температуры в точке 4 (рассчитанных на шагах 1 и 2), и точки испытаний 2, определяют по следующей формуле (используют температуры отделения A)

(36)
EAB-tar - энергопотребление при целевой температуре отделений A и B, определенное методом триангуляции.
Порядок отделений A и B не влияет на расчеты. Примеры приведены в
приложении I.
E.4.4 Расчеты для триангуляции для двух отделений - матрицы
Более эффективный математический подход для определения оптимального энергопотребления методом интерполяции по 3 точкам испытания согласно
E.4.3 (ручная триангуляция) заключается в использовании матриц. Этот подход позволяет быстро решать уравнения и автоматически определять коэффициенты соотношения энергопотребления и температуры для каждого отделения (т.е. изменение энергопотребления на градус Кельвина внутренней температуры для каждого отделения, в результате чего получается более полезная информация). Этот подход также можно использовать для многомерной интерполяции по трем или более отделениям в соответствии с
E.4.6.
Первый шаг заключается в том, чтобы подтвердить соответствие данных требований к действительности для триангуляции, т.е. то, что пересечение целевых температур для отделения A и отделения B (точка
Q) находится внутри треугольника, образованного точками испытания 1, 2 и 3. Для этого используется
формула (33), как указано в
E.4.2.2.
Основной принцип использование матриц для триангуляции по двум отделениям заключается в том, что мы предполагаем, что у нас имеется система из 3 уравнений, описывающих 3 точки испытания:
E0 + A·TA1 + B·TB1 = E1
E0 + A·TA2 + B·TB2 = E2
E0 + A·TA3 + B·TB3 = E3,
где TAk - температура отделения A для точки испытания k (от 1 до 3);
TBk - температура отделения B для точки испытания k (от 1 до 3);
Ek - энергопотребление для точки испытания k (от 1 до 3);
E0 - постоянная величина для холодильного прибора при наружной температуре испытаний (в теории это энергопотребление в ситуации, когда оба отделения имеют температуру 0 °C, но на практике этого обычно невозможно достичь, и результаты неточные) - переменная, которую нужно найти;
A - постоянная величина для холодильного прибора при окружающей температуры испытания, позволяющей оценить воздействие температуры в отделении A на энергопотребление - переменная, которую нужно найти;
B - постоянная величина для холодильного прибора при окружающей температуры испытания, позволяющей оценить воздействие температуры в отделении B на энергопотребление - переменная, которую нужно найти.
Эти значения можно представить в виде матриц, как показано ниже
[M33]·[C31] = [E31], (37)
где [M33] - матрица 3 x 3 значений 1 (константа), TA и TB для каждой точки испытания;
[C31] - матрица 3 x 1 значений E0, A и B (определяемые константы);
[E31] - матрица 3 x 1 значений E1, E2 и E3.
Этот набор матриц выглядит следующим образом:
Для определения неизвестных констант в матрице [C31] нужно найти решение для умножения внутри матрицы
[M33]-1·[E31] = [C31]
Обратное значение матрицы 3 x 3 можно запрограммировать в большинстве электронных таблиц. Решение для констант A, B и E0 позволяет оценить энергопотребление для любых температур отделений (при условии, что сочетание температур находится внутри треугольника). Для целевой температуры в отделении A и отделении B энергопотребление выглядит следующим образом:
EAB-tar = E0 + A·TA-tar + B·TB-tar
E.4.5 Проверка правильности температуры при наличии более двух отделений для триангуляции
Если холодильный прибор имеет более двух отделений, как указано в варианте 2-2 в
E.4.2.3 (когда температура хотя бы одного из дополнительных отделений выше целевой температуры хотя бы для одной из 3 точек испытания), температуру этих дополнительных отделений в точке интерполяции необходимо проверить на действительность, прежде чем проводить расчет энергопотребления.
Действительность точек, выбранных для триангуляции для отделений A и B, следует проверить в соответствии с указаниями
формулы E.4.2.2 (33) (т.е. для точек, окружающих
Q).
В этом подходе используются матрицы для триангуляции по двум первичным отделениям A и B для оценки температуры каждого дополнительного отделения в точке интерполяции (точка Q). Для первого дополнительного отделения (отделение C) должна использоваться система из 3 уравнений для описания 3 точек испытания:
KC + LC·TA1 + MC·TB1 = TC1;
KC + LC·TA2 + MC·TB2 = TC2;
KC + LC·TA3 + MC·TB3 = TC3,
где TAk - температура отделения A для точки испытания k (от 1 до 3);
TBk - температура отделения B для точки испытания k (от 1 до 3);
TCk - температура отделения C для точки испытания k (от 1 до 3);
KC, LC и MC - константы, оцениваемые для отделения C.
[M33]·[CC31] = [TC31], (38)
где [M33] - матрица 3 x 3 значений 1 (константа), TA и TB для каждой точки испытания;
[CC31] - матрица 3 x 1 констант для отделения C - KC, LC и MC (константы, которые требуется найти);
[TC31] - матрица 3 x 1 для TC1, TC2 и TC3.
Этот набор матриц выглядит следующим образом:
Для определения неизвестных констант в матрице [C31] нужно найти решение для умножения внутри матрицы
[M33]-1·[TC31] = [CC31]
Температура в отделении C вычисляют, когда отделение A и отделение B имеют соответствующие целевые температуры, по следующей формуле:
TCx = KC + LC·TA-tar + MC·TB-tar.
Для действительности триангуляции для отделения A и отделения B должны выполняться следующие требования:
TC-tar >= TCx.
При наличии более 3 отделений (отделения A, B и C) значения для каждого дополнительного отделения (отделения D, E, F и т.д., по мере применимости) заменяются для отделения C в уравнениях выше, и производится расчет значений K, L и M для каждого дополнительного отделения.
Чтобы триангуляция по отделению A и отделению B была действительной, температура в каждом дополнительном отделении (отделения C, D, E, F и т.д.) должна быть на уровне соответствующей целевой температуры или ниже, когда отделение A и отделение B имеют целевые температуры.
Примечание - Проверки необходимо проводить только для отделений, измеренная температура которых выше целевой температуры для одной или двух из трех точек испытания. Для отделений, температура которых выше целевой температуры для всех трех точек испытания, нельзя получить действительный результат.
E.4.6 Расчеты для триангуляции для трех отделений - матрицы
Подход с использованием матриц можно использовать и при триангуляции по трем измерениям. При одновременной интерполяции температур в n отделениях существует n + 1 точек испытания, окружающих пересечение всех применимых целевых температур для каждого отделения в n-мерном пространстве.
Если холодильный прибор имеет три отделения и четыре точки испытания, полученные из четырех сочетаний настроек устройства управления температурой, как указано в
E.4.2.3 в варианте 2-3, анализ следует производить с использованием матриц. Этот подход также применяют в ситуации, когда все дополнительные отделения имеют целевую или более низкую температуру для всех четырех точек испытания (в этом случае дополнительные отделения можно игнорировать).
Для трех отделений необходимы следующие данные испытаний
E0 + A·TA1 + B·TB1 + C·TC1 = E1
E0 + A·TA2 + B·TB2 + C·TC2 = E2
E0 + A·TA3 + B·TB3 + C·TC3 = E3
E0 + A·TA4 + B·TB4 + C·TC4 = E4
TAk - температура отделения A для точки испытания k (от 1 до 4);
TBk - температура отделения B для точки испытания k (от 1 до 4);
TCk - температура отделения C для точки испытания k (от 1 до 4);
Ek - энергопотребление для точки испытания k (от 1 до 4);
E0 - постоянная величина для холодильного прибора при наружной температуре испытаний (в теории это энергопотребление в ситуации, когда все три отделения имеют температуру 0 °C, но на практике этого обычно невозможно достичь, и результаты неточные) - переменная, которую нужно найти;
A - постоянная величина для холодильного прибора при окружающей температуре испытания, позволяющей оценить воздействие температуры в отделении A на энергопотребление - переменная, которую нужно найти;
B - постоянная величина для холодильного прибора при окружающей температуре испытания, позволяющей оценить воздействие температуры в отделении B на энергопотребление - переменная, которую нужно найти;
C - постоянная величина для холодильного прибора при окружающей температуре испытания, позволяющей оценить воздействие температуры в отделении C на энергопотребление - переменная, которую нужно найти.
Эти значения можно организовать в виде матриц, как показано ниже:
[M44]·[C41] = [E41] (39)
[M44] - матрица 4 x 4 значений 1 (константа), TA, TB и TC для каждой точки испытания;
[C41] - матрица 4 x 1 значений E0, A, B и C (константы, которые требуется найти);
[E41] - матрица 4 x 1 значений E1, E2, E3 и E4.
Решение для констант A, B, C и E0 позволяет оценить энергопотребление для любых температур отделений (при условии, что сочетание температур лежит внутри треугольной призмы). Для целевой температуры в отделении A, отделении B и отделении C энергопотребление вычисляют по следующей формуле:
EABC-tar = E0 + A·TA-tar + B·TB-tar + C·TC-tar.
Необходимо провести проверки, чтобы убедиться, что все 4 точки полностью окружают точку Q в трехмерном пространстве. Указанный ниже подход устанавливает математический способ подтверждения действительности данных.
В первую очередь определяют 4 вершины тетраэдра в трехмерном пространстве как функцию 4 наборов измерений температуры, как показано ниже
Вершина 1 = TA1, TB1, TC1
Вершина 2 = TA2, TB2, TC2
Вершина 3 = TA3, TB3, TC3
Вершина 4 = TA4, TB4, TC4
Нужно убедиться, что точка Q (в данном случае, TA-tar, TB-tar, TC-tar) находится внутри тетраэдра.
Для этого нужно рассчитать определитель каждой из следующих пяти матриц:
Примечание - Расчет определителя матрицы можно легко запрограммировать в большинстве программ для работы с электронными таблицами (например, это значение рассчитывает функция MDETERM в Excel).
Для проверки D0 = D1 + D2 + D3 + D4.
Если D1 и D2, и D3, и D4 имеют тот же знак, что и D0, то точка Q находится внутри тетраэдра.
Если D0 = 0, то точки представляют собой плоскость (не тетраэдр).
Если D1, D2, D3 или D4 = 0, то Q находится на этой грани тетраэдра (результат все равно действительный).
Общий подход можно расширить для применения до пяти точек для четырех отделений.
Также подход можно сузить для оценки трех точек для двух отделений, как описано ниже (с технической точки зрения это тот же подход, что и описанный в
E.4.2.2, но в более длинной форме):
Для этого нужно рассчитать определитель каждой из следующих четырех матриц:
Для проверки D0 = D1 + D2 + D3.
Если D1 и D2, и D3 имеют тот же знак, что и D0, то точка Q находится внутри треугольника.
Если D0 = 0, то точки образуют линию (а не треугольник).
Если D1, D2 или D3 = 0, то точка Q находится на этой стороне треугольника.
Если в холодильном приборе имеется более трех отделений, и они не всегда имеют целевую или более низкую температуру, как указано в
E.4.2.3 для варианта 2-4, то перед расчетом энергопотребления температуру этих дополнительных отделений в точке интерполяции необходимо проверить на действительность. Общий подход похож на описанный в
E.4.5.
В этом подходе используют матрицы для триангуляции по трем первичным отделениям A, B и C для оценки температуры каждого дополнительного отделения в точке интерполяции (точка Q). Для первого проверяемого дополнительного отделения (отделение D) следует использовать систему из 4 уравнений для описания 4 точек испытания
KD + LD·TA1 + MD·TB1 + ND·TC1 = TD1
KD + LD·TA2 + MD·TB2 + ND·TC2 = TD2
KD + LD·TA3 + MD·TB3 + ND·TC3 = TD3
KD + LD·TA4 + MD·TB4 + ND·TC4 = TD4
После этого матрицы используют для определения констант KD, LD, MD и ND. Затем температуру отделения D проверяют еще раз, когда отделения A, B и C имеют целевые температуры. Чтобы триангуляция была действительной, отделение D должно иметь целевую или более низкую температуру в этой точке. Затем этот процесс выполняют для всех дополнительных отделений E, F и т.д., которые не всегда имеют температуру ниже целевой температуры для всех точек испытания.
Теоретически общий подход к использованию матриц можно было бы расширить для включения интерполяции по 4 или 5 измерениям (для чего потребовалось бы 5 или 6 подходящих точек испытания). С практической точки зрения интерполяция с использованием более чем 2, или иногда 3 отделений дает мало дополнительной пользы.
(обязательное)
ЭНЕРГОПОТРЕБЛЕНИЕ СПЕЦИАЛЬНЫХ ВСПОМОГАТЕЛЬНЫХ СРЕДСТВ
F.1 Цель
В настоящем приложении установлены требования к определению энергопотребления специальных вспомогательных средств. Единственные вспомогательные средства согласно настоящему стандарту - это противоконденсатные нагреватели с наружным управлением и автоматические изготовители льда резервуарного типа.
Примечание - В будущем в стандарте могут быть определены другие типы вспомогательных средств.
Если холодильный прибор не содержит специальных вспомогательных средств, испытания по настоящему приложению проводить не требуется.
F.2 Противоконденсатные нагреватели с наружным управлением
F.2.1 Описание метода
По возможности энергопотребление устройств измеряют согласно настоящему приложению при выключенных или иным образом отключенных электрических противоконденсатных нагревателях с автоматическим управлением.
Поставщик должен заявить, что противоконденсатный нагреватель с наружным управлением входит в состав холодильного прибора, и предоставить данные по работе нагревателя в виде функции широкого диапазона условий наружной влажности и окружающей температуры в соответствии с
таблицей F.1. Если у прибора имеется возможность регулировки пользователем мощности автоматического противоконденсатного нагревателя с наружным управлением, необходимо указать значения для наибольшей и наименьшей мощности в соответствии с
F.2.8.
Если в приборе установлен любой противоконденсатный нагреватель с наружным управлением, не задекларированный производителем, такой нагреватель может быть рассмотрен как обходное устройство.
Для декларированных вспомогательных средств мощность, которую мог бы потреблять нагреватель при региональных условиях эксплуатации, можно воспроизвести на основе распределения внешних условий на протяжении года (доля времени для каждого сочетания условий на основе анализа данных по климату региона). Полученное среднегодовое значение энергопотребления умножается на коэффициент системных потерь для компенсации дополнительной охлаждающей мощности, которая потребуется для удаления доли тепла нагревателя, уходящей в холодильный прибор. Общее энергопотребление (скорректированное по коэффициенту системных потерь) прибавляется к оценочному годовому энергопотреблению для региона. Коэффициент системных потерь, применяемый для настоящего стандарта, равен 1,3.
Примечание - Коэффициент системных потерь основан на эмпирических измерениях.
Чтобы убедиться в точности заявлений производителя, можно проверить работу противоконденсатного нагревателя посредством определенных испытаний в диапазоне условий.
Лаборатории должны проверять соответствие измеренных или предполагаемых значений мощности нагревателя при разных уровнях температуры и влажности с мощностью, заявленной производителем, в соответствии с
таблицей F.1.
F.2.2 Процедура измерения
При необходимости проведения измерений для подтверждения или проверки работы противоконденсатного нагревателя с наружным управлением эти измерения следует проводить в соответствии с
приложениями A и
B.
F.2.3 Требования к данным
Производители приборов с противоконденсатным нагревателем с наружным управлением обязаны хранить документацию по рабочей мощности нагревателя как постоянной или ступенчатой функции окружающей температуры и влажности.
Для расчета влияния противоконденсатных нагревателей с наружным управлением на энергопотребление в соответствии с настоящим стандартом данные по рабочей мощности нагревателя нужно конвертировать в данные по мощности для широкого диапазона значений влажности и температуры. Обычно конвертацию проводят в формате таблицы средней мощности противоконденсатного нагревателя для каждого из 10 указанных диапазонов влажности и 3 указанных значений окружающей температуры. Если на работу противоконденсатных нагревателей с наружным управлением могут повлиять другие факторы, помимо влажности и/или температуры, эти параметры также необходимо указать.
Значения окружающей температуры для расчета энергопотребления противоконденсатного нагревателя в соответствии с настоящим стандартом: 16 °C, 22 °C и 32 °C.
Хотя указанные базовые внешние условия считаются достаточными для точной оценки энергопотребления таких нагревателей при большинстве условий, в некоторых регионах может понадобиться указать дополнительные температуры. Базовые температуры наиболее важны, потому что при 16 °C и 32 °C проводят испытания энергопотребления (и они отражают типичное использование во многих регионах), а 22 °C - типичная температура кондиционируемых помещений.
Пример формата предоставления данных по нагревателю для базовых окружающих температур приведен в последних трех столбцах
таблицы F.1.
F.2.4 Региональные данные по погоде
Для проведения требуемых расчетов по работе противоконденсатных нагревателей с внешним управлением регионы должны подготовить карту вероятностей с данными по температуре и влажности, подходящими для местных условий в помещениях. По возможности следует использовать значения вероятности, взвешенные по населению. Цель заключается в предоставлении выборки, наиболее точно отражающей среднегодовые условия эксплуатации холодильных устройств в помещениях, наиболее вероятные при нормальной эксплуатации.
Примечание - Получить типичные данные по температуре и влажности для региона может оказаться сложно. Распределение температуры зависит от климата и объема использования средств климатического контроля в помещениях (отопление и/или охлаждение). Некоторые анализы показывают, что абсолютный уровень влажности в помещениях примерно эквивалентен абсолютному уровню влажности за пределами помещений (при расчете относительной влажности эти данные следует откорректировать с учетом разницы температур).
Регионы могут использовать не все из трех значений окружающей температуры, указанные в
таблице F.1. Регионы могут использовать дополнительные значения окружающей температуры, помимо указанных в
таблице F.1.
F.2.5 Расчет энергопотребления
Данные следует предоставлять в соответствии с указаниями
таблицы F.1.
Примечание - Региональные значения (от Ri до R30) обычно определяются соответствующими региональными органами власти. Значения мощности, соответствующие этим региональным значениям (от PH1 до PH30 для контейнеров с R1 по R30), обычно предоставляются поставщиком или производителем продукции.
Обычно рекомендуется складывать значения всех компонентов влажности для всех значений окружающей температуры в помещениях до суммы 1 (100%), что полезно для проверки данных (т.е. сумма элементов с R1 по R30 = 1). Для этого необходимо, чтобы компоненты влажности для каждой окружающей температуры были взвешены по долям времени для каждой окружающей температуры.
Таблица F.1
Формат данных по температуре
и влажности - противоконденсатные нагреватели
с наружным управлением
Относительная влажность, % | Средняя точка диапазона RH, % | | | | Мощность нагревателя при 16 °C | Мощность нагревателя при 22 °C | Мощность нагревателя при 32 °C |
От 0 до 10 | 5 | R1 | R11 | R21 | PH1 | PH11 | PH21 |
От 10 до 20 | 15 | R2 | R12 | R22 | PH2 | PH12 | PH22 |
От 20 до 30 | 25 | R3 | R13 | R23 | PH3 | PH13 | PH23 |
От 30 до 40 | 35 | R4 | R14 | R24 | PH4 | PH14 | PH24 |
От 40 до 50 | 45 | R5 | R15 | R25 | PH5 | PH15 | PH25 |
От 50 до 60 | 55 | R6 | R16 | R26 | PH6 | PH16 | PH26 |
От 60 до 70 | 65 | R7 | R17 | R27 | PH7 | PH17 | PH27 |
От 70 до 80 | 75 | R8 | R18 | R28 | PH8 | PH18 | PH28 |
От 80 до 90 | 85 | R9 | R19 | R29 | PH9 | PH19 | PH29 |
От 90 до 100 | 95 | R10 | R20 | R30 | PH10 | PH20 | PH30 |
Мощность нагревателя вычисляют по следующей формуле:

, (40)
где Wheaters - среднегодовое дополнительное энергопотребление, связанное с использованием противоконденсатного нагревателя с наружным управлением;
Ri - региональный коэффициент, указывающий вероятность температуры
i-го и компонента влажности в
таблице F.1;
PHi - средняя мощность нагревателя, соответствующая температуре
i-го и компоненту влажности в
таблице F.1;
k - общее число используемых компонентов температуры и влажности (равно 30 в случае использования всех контейнеров из
таблицы F.1);
1,3 - предполагаемый коэффициент потерь (энергия, потребляемая нагревателем (1,0) плюс компонент потерь 0,3 для учета утечки тепла в отделение и его последующего удаления холодильной системой).
В некоторых регионах может быть указано меньше или больше компонентов окружающей температуры.
F.2.6 Ситуация, когда противоконденсатные нагреватели (нагреватель) нельзя отключить, но их энергопотребление можно измерить напрямую
Мощность противоконденсатных нагревателей с автоматическим управлением, измеренная при испытаниях, во время которых температуры отделения были ближе всего к целевой температуре, должна быть умножена на 1,3 (коэффициент системных потерь) и вычтена из полученного методом интерполяции результата испытаний энергопотребления. Затем мощность, которую потребляли бы нагреватели при требуемых окружающих температурах и уровнях влажности, воспроизводится и прибавляется к результату испытаний точно так же, как для моделей, в которых нагреватели могут быть отключены.
Лаборатории должны проверять соответствие измеренных значений мощности нагревателя при разных уровнях температуры и влажности с мощностью, заявленной производителем, в соответствии с
таблицей F.1.
F.2.7 Ситуация, когда противоконденсатные нагреватели (нагреватель) нельзя отключить, но их энергопотребление нельзя измерить напрямую
Во время испытания энергопотребления измеряют относительную влажность помещения для испытания. Заявленная мощность противоконденсатных нагревателей с автоматическим управлением при этой наружной температуре и влажности должна быть умножена на 1,3 (коэффициент системных потерь) и вычтена из полученного методом интерполяции результата испытаний энергопотребления. Затем мощность, которую потребляли бы нагреватели при температурах 16 °C, 22 °C и 32 °C и десяти промежуточных точках диапазона влажности, воспроизводится и прибавляется к результату испытаний точно так же, как для моделей, в которых нагреватели могут быть отключены.
Лаборатории должны проверять соответствие предполагаемых значений мощности нагревателя при разных уровнях температуры и влажности с мощностью, заявленной производителем, в соответствии с
таблицей F.1.
F.2.8 Ситуация, когда противоконденсатные нагреватели (нагреватель) имеют регулируемые пользователем уставки
Если прибор имеет регулируемые пользователем настройки, влияющие на потребление мощности противоконденсатными нагревателями, которые в ином случае работают автоматически, реагируя на внешние условия, необходимо рассчитать и отдельно включить в отчет энергопотребление при максимальной и минимальной мощности, установленной пользователем (в соответствии с правилами для нагревателей, включаемых вручную). Подход, указанный в
пунктах F.2.5,
F.2.6 или
F.2.7 (по применимости), следует использовать для определения наибольшего и наименьшего значения для противоконденсатных нагревателей.
F.3 Устройства автоматического приготовления льда - энергопотребление при приготовлении льда
F.3.1 Общие положения
Устройства автоматического приготовления льда бывают двух типов:
- подключенные к водопроводу - когда к холодильному прибору подключен внешний источник пресной воды;
- резервуарного типа - когда используется пресная вода из внутреннего резервуара, который заполняется пользователем после его осушения.
Примечание - В настоящее время методы испытаний для устройств приготовления льда, подключаемых к водопроводу, находятся на рассмотрении.
F.3.2 Устройства автоматического приготовления льда резервуарного типа
F.3.2.1 Цель
Цель настоящего испытания заключается в количественной оценке нарастающего энергопотребления при изготовлении определенного количества льда в устройстве автоматического приготовления льда резервуарного типа. В настоящем подпункте содержится следующее:
- описание процедуры;
- описание подготовки, настройки и исходных условий;
- оценка времени выполнения испытания;
- требуемые измерения и расчеты;
- значения, которые необходимо включить в отчет об испытаниях.
С концептуальной точки зрения это испытание аналогично испытанию эффективности обработки загрузки, описанному в
приложении G, но оно проводится только для компонента приготовления льда для приборов с устройством автоматического приготовления льда с системой подачи воды резервуарного типа.
Если для устройства автоматического приготовления льда с системой подачи воды резервуарного типа указывается энергопотребление в соответствии с настоящим стандартом, необходимо применять процедуру, описанную в настоящем приложении.
F.3.2.2 Общее описание
В устройствах автоматического приготовления льда резервуарного типа в незамораживающем отделении имеется резервуар для хранения воды. Устройство автоматического приготовления льда изготавливает лед до заполнения контейнера для льда (обычно имеющего конфигурацию отдельного внешнего ящика) или до достижения минимального уровня воды в резервуаре для воды (на котором из него больше нельзя откачивать воду). Для испытаний приготовления льда контейнер для льда опустошают, и в резервуар добавляют воды так, чтобы устройство изготавливало лед, а уровень воды опустился до минимума самостоятельно. Затем устройство работает в условиях стабильного состояния. В начале испытания добавляется указанное количество воды при наружной температуре (по умолчанию 300 г или 0,300 кг). Устройство автоматически изготавливает лед, пока вода не опустится до минимального уровня. Проведенные в рамках этого испытания измерения используются для определения дополнительного энергопотребления при изготовлении льда.
F.3.2.3 Условия испытания
Это испытание проводят в соответствии с требованиями к нормальному испытанию энергопотребления, за тем исключением, что прибор настраивают на изготовление льда в устройстве автоматического приготовления льда. Это испытание обычно проводится сразу перед обычным испытанием энергопотребления или сразу после него. Испытание проводят при окружающих температурах 16 °C и 32 °C.
F.3.2.4 Настройка, оборудование и подготовка
Если испытания автоматического устройства приготовления льда резервуарного типа проводят для подтверждения заявлений производителя, средняя температура всех отделений, используемых для хранения воды и изготовления/хранения льда, должна быть равной или более низкой по сравнению с целевыми температурами, указанными в
5.1.
Примечание - Все значения температуры, указанные в этом подпункте, относятся к условиям стабильного состояния и не включают температурное воздействие периодов размораживания и восстановления температуры (при наличии).
При проверочных испытаниях температура контейнера для приготовления льда и отделений для свежих пищевых приборов (отделения, где находится резервуар) должна находиться в пределах +/- 1 К по отношению к соответствующей целевой температуре. Результаты двух испытаний по изготовлению льда можно подвергнуть интерполяции по целевой температуре отделения для свежих пищевых продуктов без изменения настроек для других отделений.
Примечание - Обычно это испытание проводят после испытания энергопотребления при тех же общих условиях.
Для измерения массы резервуара с водой в начале и конце испытания используют весы.
Контейнер для льда должен быть опустошен и не должен содержать заметного количества льда. Автоматический датчик контроля приготовления льда должен иметь возможность нормальной работы.
Во время работы устройства необходимо добавить воду (примерно 100 г сверх минимального уровня воды - достаточно для изготовления некоторого количества льда). Резервуар помещают в обычное положение и используют обычным образом для приготовления льда до тех пор, пока уровень воды в резервуаре не опустится до минимума, и изготовление льда не остановится. Затем устройство работает в условиях стабильного состояния в течение не менее 6 ч.
Краткосрочные настройки, уставки или функции нельзя запускать или изменять во время подготовки и проведения испытания приготовления льда.
Если масса изготавливаемого льда не ограничена объемом резервуара или емкостью контейнера для льда, она должна составлять 300 г (0,3 кг), если в региональных требованиях или условиях испытаний не указано иное.
Измерения для воды, помещаемой в резервуар в начале испытания, следует проводить в полиэтиленовой бутылке вместимостью 500 г. Она должна храниться в помещении для испытаний при соответствующей наружной температуре в течение не менее 15 ч до начала испытания приготовления льда. Спецификации полиэтиленовой бутылки приведены в
приложении G.
Для холодильных приборов без цикла управления размораживанием перед испытанием приготовления льда должен пройти период работы при настройке устройства управления температурой, которая будет использоваться в испытаниях приготовления льда, соответствующей требованиям к действительным периодам испытаний энергопотребления согласно
B.3.
Для холодильного прибора с одной или несколькими системами размораживания (каждая с отдельным циклом управления размораживанием) испытанию приготовления льда должен предшествовать:
- период испытаний энергопотребления, соответствующий
B.3 при настройке устройства управления температурой, используемой для испытания приготовления льда;
- период испытаний энергопотребления, соответствующий
B.4 при настройке устройства управления температурой, используемой для испытания приготовления льда;
- период размораживания и восстановления температуры, соответствующий
C.3 при настройке устройства управления температурой, используемой для испытания приготовления льда (если применимо).
Для всех типов приборов настройки устройства управления температурой должны оставаться без изменений в течение всего времени испытания приготовления льда.
Для простых приборов с обычными циклами работы компрессора за момент начала испытания может быть взят момент включения компрессора. Для более сложных приборов в качестве начала испытания приготовления льда может быть взят момент достижения максимальной температуры в отделении, оказывающем доминирующее влияние на энергопотребление (см.
приложение B). Если резервуар вставляется во время периода размораживания и восстановления температуры, за момент начала испытания принимают момент начала этого периода размораживания и восстановления температуры.
Примечание - Не рекомендуется заполнять резервуар водой в период размораживания и восстановления температуры (до достижения условий стабильного состояния).
Дверцу отделения, где хранится резервуар, открывают в указанной выше точке для заполнения резервуара. Дверцу необходимо оставить открытой хотя бы под углом 90° от закрытого положения в течение периода, максимально близкого к одной минуте (+/- 5 с). При наличии двух дверец для доступа к отделению, где хранится резервуар, обе дверцы следует открывать одновременно. В течение периода длительностью в одну минуту:
Если резервуар съемный:
- измерить и записать общую массу резервуара и остатков воды;
- добавить в резервуар воду из полиэтиленовых бутылок с наружной температурой;
- измерить и записать общую массу резервуара и воды еще раз;
- вернуть резервуар в обычное положение.
Если резервуар не съемный:
- измерить массу воды, добавляемой в резервуар;
- закрыть дверцу;
- дать устройству начать обычный процесс приготовления льда.
Испытание приготовления льда завершается при достижении периода стабильной работы после завершения приготовления льда и снижения уровня воды в резервуаре до минимального. Период испытания завершается в конце полного цикла управления температурой. Настройки устройства управления температурой должны оставаться без изменений в течение всего времени испытания приготовления льда.
Испытания приготовления льда в холодильном приборе без системы размораживания (каждое с собственным циклом управления размораживанием) должны проводиться в период испытания энергопотребления, соответствующий
B.3.
Испытания приготовления льда в холодильном приборе с одной или несколькими системами размораживания (с собственным циклом управления размораживанием) должны проводиться в период испытания энергопотребления, соответствующий:
-
B.3 (включая требования к проверке достоверности) или
-
B.4 (включая требования к проверке достоверности), который завершается периодом размораживания и восстановления температуры, который удовлетворяет требованиям достоверности согласно
C.3 (если применимо).
Для холодильных приборов с одним или несколькими циклами управления размораживанием необходимо дать завершиться любым периодам размораживания и восстановления температуры в процессе испытания приготовления льда (т.е. до завершения приготовления льда и достижения условий стабильного состояния). Испытание приготовления льда завершается при достижении стабильного состояния и после завершения действительного периода размораживания и восстановления температуры, как указано выше.
После достижения указанных выше условий дверцу открывают, извлекают и взвешивают резервуар. Записывают конечную массу резервуара и остаточной воды. Также отмечают примерную массу льда в конце испытания и качество кубиков льда. Если резервуар нельзя извлечь, следует записать массу дополнительного льда, изготовленного во время испытания.
К параметрам, измеренным в начале испытания (до добавления воды) и в период стабильности по окончании испытания автоматического приготовления льда, применяются следующие критерии действительности:
- разность мощности в стабильном состоянии PSSM не должна превышать 5% или 2 Вт, в зависимости от того, какое значение больше.
В случае определения начальной достоверности с помощью размораживания согласно
C.3 (см.
F.3.2.5) в связи с невозможностью определения достоверности согласно
B.3 или
B.4 (например, из-за недостатка времени на испытания), за начальную мощность в стабильном состоянии
PSSM принимают среднюю мощность за период D и период F (подход DF1 в
C.3).
Если для холодильного прибора с одной или несколькими системами размораживания (каждая из которых имеет собственный цикл управления размораживанием) не выполняются вышеуказанные условия, то прибор должен работать до завершения следующего периода размораживания и восстановления температуры и достижения нового стабильного состояния, после чего следует снова провести оценку по данному критерию.
Если этот критерий достоверности не выполняется после последующего размораживания, испытание необходимо повторить. Результат повторного испытания используют для определения энергопотребления при испытаниях приготовления льда. Необходимо удалить лед, изготовленный во время предыдущего испытания, по достижении стабильного состояния и взвесить его. Время открытия дверцы не должно превышать 20 с. Следует начать испытание изготовления льда снова, начиная с цикла управления температурой, наступившего после цикла управления температурой, в ходе которого лед был извлечен. Для холодильных приборов с одним или несколькими циклами управления размораживанием необходимо дать полностью завершиться любым периодам размораживания и восстановления температуры в процессе испытания автоматического приготовления льда (т.е. до завершения приготовления льда и достижения условий стабильного состояния).
Испытание автоматического приготовления льда завершается при достижении стабильного состояния и после завершения действительного периода размораживания и восстановления температуры, как указано выше.
Для этого типа устройств приготовления льда предполагается, что вся вода, откачанная из резервуара, превращается в лед в контейнере для приготовления льда. Контейнер необходимо проверить, чтобы убедиться в образовании подходящих кубиков льда. Рекомендуется приблизительно измерить массу изготовленного льда (некоторые небольшие осколки и кусочки льда может быть сложно извлечь). Если будет наблюдаться значительное расхождение по количеству образовавшегося льда (необходимо учитывать, что часть льда будет изготовлена до начала испытания), прибор следует изучить более тщательно и убедиться в отсутствии протечек или других путей попадания воды из резервуара. Основным фактором, который может повлиять на энергопотребление до и после автоматического приготовления льда, является изменение работы нагревателя, связанного с оборудованием для приготовления льда. Анализ показал, что при установленных ниже пределах достоверности эти эффекты незначительны, и их можно проигнорировать.
Массу льда, образованного во время испытания, вычисляют следующим образом:
Mice-test = Mwater-added + Minitial-tank - Mfinal-tank. (41)
Принцип, используемый для количественного определения дополнительного энергопотребления при изготовлении льда, основан на достижении периода стабильной работы после изготовления всего льда. Дополнительное энергопотребление вычисляют как разность между фактическим энергопотреблением с момента начала испытания приготовления льда (на момент заполнения резервуара) до момента окончания периода работы в стабильном состоянии Pafter и энергопотреблением за тот же самый период времени, если бы вся энергия потреблялась в стабильном состоянии Pafter.
Если во время испытания приготовления льда был один или несколько периодов размораживания и восстановления температуры, энергопотребление при типовой процедуре размораживания и восстановления температуры, определенное в соответствии с
приложением D, вычитают из дополнительного энергопотребления.
Дополнительное энергопотребление для изготовления определенного количества льда во время испытания вычисляют по следующей формуле:

, (42)
где

- дополнительное энергопотребление холодильного прибора для изготовления определенного количества льда во время испытания, Вт·ч;
Estart - показания накопленного энергопотребления в начале испытания по изготовлению льда в соответствии с определением в
F.3.2.5, Вт·ч;
Eend - показания накопленного энергопотребления для испытания по изготовлению льда в соответствии с определением в
F.3.2.5, Вт·ч;
Pafter - энергопотребление в стабильном состоянии после изготовления всего льда в течение допустимого периода испытаний энергопотребления (
B.3 или
B.4) в соответствии с определением в
F.3.2.6, Вт;
tstart - время испытания на момент начала испытания по изготовлению льда в соответствии с определением в
F.3.2.5, ч;
tend - время испытания на момент окончания испытания по изготовлению льда в соответствии с определением в
F.3.2.6, ч;

- дополнительное энергопотребление в период размораживания и восстановления температуры в соответствии с приложением C
(C.5);
z - коэффициент, равный числу периодов размораживания и восстановления температуры во время и перед завершением испытания нагрузки по изготовлению льда. Это значение равно нулю для холодильных приборов без системы размораживания (с собственным циклом управления размораживанием) или если во время испытания приготовления льда нет периода размораживания и восстановления температуры.
Затем на основе данных испытаний вычисляют нормализованное значение дополнительного энергопотребления для изготовления 1 кг льда по следующей формуле:

, (43)
где

- дополнительное энергопотребление холодильного прибора для изготовления 1 кг льда, Вт·ч;

- дополнительное энергопотребление холодильного прибора для изготовления определенного количества льда во время испытания, Вт·ч;
Mice-test - масса воды, превращаемой в лед, кг.
Следующие расчеты являются необязательными и могут быть использованы для создания общего эталона эффективности приготовления льда устройством.
Энергопотребление при превращении добавленной воды в лед для получения определенного количества льда, изготавливаемого во время испытания, вычисляют по следующей формуле:

, (44)
где Eice-enthalpy - энергия, удаляемая из воды для изготовления определенного количества льда во время испытания, Вт·ч (в соответствии с физическими определениями);
Mice-test - масса воды, превращаемой в лед во время испытания, кг;
Tice - средняя температура контейнера для приготовления льда после завершения испытаний приготовления льда, °C (эта величина должна быть меньше 0 °C);
Tamb - средняя наружная температура воздуха в период 6 ч до добавления воды в резервуар (начальная температура воды), °C;
4,186 - коэффициент энтальпического изменения воды, кДж/(кг·К) (в размороженном состоянии);
2,05 - коэффициент энтальпического изменения воды, кДж/(кг·К) (в замороженном состоянии);
333,6 - коэффициент энтальпического изменения фазы воды, кДж/кг (вода в лед);
3,6 - коэффициент конвертации кДж в Вт·ч (с/ч·10-3).
Примечание - В качестве единиц массы выше используются килограммы, а во многих других местах в настоящем приложении указаны значения в граммах. В связи с этим необходимо следить за использованием подходящих единиц измерения.
Общую эффективность процесса приготовления льда определяют следующим образом:

, (45)
где Efficiencyice - эффективность приготовления льда для указанных окружающей температуры и массы изготовленного льда (без единицы - Вт·ч/Вт·ч);
Eice-enthalpy - энергия, удаляемая из воды для изготовления определенного количества льда во время испытания, Вт·ч;

- дополнительное энергопотребление холодильного прибора для изготовления определенного количества льда во время испытания, Вт·ч.
Примечание - Измеренное значение Efficiencyice может быть больше единицы.
F.3.2.8 Регистрируемые данные и расчеты
Следующие значения должны быть включены в отчет об испытании для каждой окружающей температуры, для которой измеряется и указывается значение энергопотребления при изготовлении льда в устройстве приготовления льда резервуарного типа:
- начальная масса резервуара и остаточной воды, кг;
- конечная масса резервуара и остаточной воды, кг;
- масса водной нагрузки, добавленной в резервуар, кг;
- номинальная наружная температура, °C;
- масса изготовленного льда, кг;
- наружная температура, измеренная за 6 ч до начала испытания, °C;
- длительность испытания приготовления льда, ч;
- мощность в стабильном состоянии в конце испытания, Вт;
- количество операций размораживания в течение испытания приготовления льда (z);
- значение

, использованное в расчетах (если применимо);
- дополнительное энергопотребление для приготовления льда

в соответствии с определением в
F.3.2.7;
- дополнительное энергопотребление на килограмм изготовленного льда

(Вт·ч/кг) в соответствии с определением в
F.3.2.7.
В отчет об испытании следует включить следующие параметры:
- энергия, удаленная из воды для приготовления льда
Eice-enthalpy, в соответствии с определением в
F.3.2.7, Вт·ч;
-
Efficiencyice - эффективность приготовления льда для каждой указанной окружающей температуры испытаний в соответствии с
F.3.2.7.
F.3.2.9 Добавление автоматического приготовления льда к ежедневному энергопотреблению
В настоящем приложении описана оценка нарастающего энергопотребления для автоматического приготовления льда. Потребность пользователей в изготовлении льда сильно варьируется на региональном уровне, потому что она зависит от климата, сезона и условий в помещении, а также от привычек пользователя. Таким образом, измерения нарастающего энергопотребления для приготовления льда согласно настоящему приложению обычно масштабируются так, чтобы потребление льда более точно соответствовало региональным требованиям.
Если региональная оценка потребления льда указана в килограммах в день, воздействие дневного энергопотребления при заданной наружной температуре можно оценить следующим образом:

, (46)
где

- дополнительное потребление энергии холодильным прибором при изготовлении
Mice-making кг льда в день при указанной наружной температуре, Вт·ч/сут;

- приблизительное дополнительное потребление энергии холодильным прибором при изготовлении 1 кг льда, Вт·ч, в соответствии с
F.3.2.7;
Mice-making - масса воды, превращаемой в лед, кг/сут; это региональный фактор.
Значение

можно прибавить к значению дневного энергопотребления для оценки значения элемента, связанного с использованием. Если используют значения для окружающей температуры 16 °C и 32 °C, годовой коэффициент можно выразить следующим образом:

. (47)
(обязательное)
ОПРЕДЕЛЕНИЕ ЭФФЕКТИВНОСТИ ОБРАБОТКИ ЗАГРУЗКИ
G.1 Цель
Данное испытание предназначено для количественной оценки дополнительного энергопотребления холодильного прибора для удаления известного количества энергии, содержащейся в теплой воде, помещаемой в незамораживающие и/или низкотемпературные отделения определенным образом. Отношение энергии в воде (удаляемой) к дополнительной энергии, потребляемой холодильным прибором, используется для определения эффективности обработки загрузки.
Цель испытания эффективности обработки загрузки заключается в проведении количественной оценки нарастающего изменения энергопотребления при воздействии пользователя на холодильный прибор, например, при открытии дверец и охлаждении теплых продуктов и напитков. Эти данные можно использовать в сочетании с данными испытаний с закрытыми дверцами для получения общей оценки энергопотребления, более точно отражающей фактическое использование в разных регионах. Для использования значения эффективности обработки загрузки необходимо оценить типовую пользовательскую загрузку для региона. Обычно для этого лучше всего подходят региональные программы измерения параметров конечного использования. Воздействие оценочной региональной загрузки на энергопотребление конкретного холодильного прибора можно оценить по значению эффективности обработки загрузки, определенному согласно настоящему приложению.
Если данный компонент не учтен в региональных стандартах и требованиях к маркировке (т.е. если загрузка равна нулю), для соответствующих регионов данное испытание проводить не требуется.
Если поставщик предоставляет данные или делает заявления по эффективности обработки загрузки, они должны быть основаны на измерениях, выполненных в соответствии с настоящим приложением.
Примечание - Для холодильных приборов с незамораживающими и низкотемпературными отделениями настоящее приложение устанавливает метод, позволяющий измерить комбинированную эффективность обработки загрузки для обоих отделений. Данную процедуру в принципе можно было бы использовать для измерения эффективности обработки загрузки по отдельности для незамораживающего и низкотемпературного отделения.
G.2 Общее описание
Холодильный прибор работает в стабильном состоянии с настройками устройств управления температурой, близкими к соответствующей целевой температуре для энергопотребления, указанной в
таблице 1 для каждого отделения (см.
пункт 5.1). Настройки устройств управления температурой должны оставаться без изменений в течение всего времени испытаний эффективности обработки загрузки.
Определенная масса воды (в зависимости от объема не низкотемпературных отделений и/или низкотемпературных отделений) помещается в испытательную камеру с холодильным прибором и оставляется там, пока не достигнет окружающей температуры испытаний.
После достижения указанных условий дверца самого большого незамораживающего отделения открывается на указанный период времени, и контейнеры с водой помещаются в указанные места. Затем на указанный период времени открывается дверца самого большого замораживающего отделения, и заполненные водой формы для льда помещаются в указанные места.
Холодильный прибор работает, пока не достигнет стабильного состояния с точки зрения температуры и энергопотребления. Собранные данные используют для определения эффективности обработки загрузки при указанной наружной температуре. Эффективность обработки загрузки определяют как отношение обработанной тепловой нагрузки из воды (удаленной) и дополнительного энергопотребления (сверх энергопотребления в стабильном состоянии) холодильного прибора для его охлаждения.
Общий подход к измерениям и последующий анализ с концептуальной точки зрения похожи на определение энергопотребления при размораживании и восстановлении температуры в соответствии с
приложением C.
Рисунок G.1 - Концептуальная иллюстрация испытания
эффективности обработки нагрузки
Примечание - Иллюстрация размораживания перед завершением обработки нагрузки приведена на
рисунке G.5. Рабочие примеры приведены в
приложении I.
G.3 Настройка, оборудование и подготовка
G.3.1 Общие положения
Испытания проводят при окружающих температурах испытаний 16 °C и 32 °C.
Если испытание эффективности обработки загрузки используется в качестве основания для заявления производителя, средняя температура всех отделений, используемых для обработки нагрузки при испытаниях, должна быть на уровне или ниже уровня соответствующей целевой температуры, указанной в
5.1, для работы в стабильном состоянии перед началом испытания эффективности обработки загрузки.
Примечание - Все значения температуры, указанные в настоящем приложении, относятся к условиям стабильного состояния и не включают температурное воздействие периодов размораживания и восстановления температуры (при наличии).
При проверочных испытаниях температуры всех отделений, используемых для обработки нагрузки при испытаниях, должны находиться в диапазоне +/- 1 К от соответствующей целевой температуры при работе в стабильном состоянии до испытания эффективности обработки загрузки. Результаты двух испытаний эффективности обработки загрузки могут быть интерполированы до значения для целевой температуры наиболее холодного отделения, однако для одной из точек испытания все отделения, используемые для обработки нагрузки при испытании, должны иметь целевую или более низкую температуру.
В данный пункт включен принцип, согласно которому производитель может делать заявления об эффективности обработки загрузки ниже оптимального уровня (т.е. для состояния с температурой немного ниже целевой температуры). Этот принцип установлен для испытаний энергопотребления согласно
разделу 6 для одной точки испытаний энергопотребления.
По возможности, для загрузки в незамораживающем отделении следует использовать 3 полки (см.
рисунок G.2) в такой конфигурации, чтобы выполнялись следующие условия:
- датчик TMP3 находился над полкой 3 (нижней) и под полкой 2;
- датчик TMP2 находился над полкой 2 и под полкой 1;
- датчик TMP1 находился над полкой 1.
Примечание - Полка 3 может быть нижней полкой устройства или верхней полкой дополнительного отсека, например отсека для фруктов.
В незамораживающих отделениях в качестве контейнера используют тонкостенную пластиковую бутылку ПЭТ (или эквивалентного материала) номинальным объемом 500 мл. Размеры полиэтиленовой бутылки должны составлять не более 220 мм в высоту и не более 90 мм в ширину (диаметр). Все бутылки должны иметь одинаковые размеры и форму. Каждая бутылка должна быть заполнена питьевой водой, как указано ниже.
Примечание - ПЭТ - терефталат полиэтилена. Бутылки ПЭТ - любые доступные в продаже бутылки номинальной емкостью 500 мл. Они содержат указанную массу питьевой воды. Предпочтительно использовать бутылки ПЭТ с квадратным сечением, потому что они не перекатываются, если их положить на бок.
В низкотемпературных отделениях в качестве контейнера используют форму для льда с номинальным рабочим объемом около 200 мл на лоток.
Формы для льда обычно входят в комплектацию новых приборов. Используемые для этого испытания формы для льда должны иметь возможность хранить 200 мл воды без риска разлива. Рекомендуется использовать лотки номинальным размером примерно 120 мм x 275 мм x 40 мм. Формы для льда меньшего размера можно использовать, если лотки рекомендованного размера не помещаются.
Для всех загрузок следует использовать пресную питьевую воду, пригодную для употребления человеком, без добавления газа (т.е. негазированную), красителей и иных добавок.
Допускается использование питьевой воды из-под крана. Следует избегать использования чистой дистиллированной воды в формах для льда, потому что при некоторых условиях она плохо замерзает.
G.3.3 Количество обрабатываемой воды
G.3.3.1 Не низкотемпературные отделения
Общий объем всех не низкотемпературных отделений и отсеков складывают. Масса воды, добавляемой в самое большое не низкотемпературное отделение, должна составлять 12 г воды на каждый литр общего суммарного объема не низкотемпературных отделений. Это соответствует одной бутылке ПЭТ на 41,7 л незамораживающего объема или части этого объема.
Если общий объем не низкотемпературных отделений составляет менее 41,7 л, вся вода помещается в одну бутылку ПЭТ. Если общий объем не низкотемпературных отделений составляет более 41,7 л, но менее 83,4 л, вся вода помещается в две бутылки ПЭТ в равном объеме. Если общий объем не низкотемпературных отделений превышает 83,4 л, (500 +/- 1) г воды помещаются в каждую бутылку ПЭТ, пока остающееся количество воды не будет составлять менее 1000 г. Остающуюся массу воды следует равномерно разделить между двумя оставшимися бутылками ПЭТ.
В отчете об испытании следует указать общую массу воды, помещаемой в самое большое не низкотемпературное отделение, и количество бутылок ПЭТ вместимостью 500 мл.
G.3.3.2 Замораживающие отделения
Общий объем всех низкотемпературных отделений и отсеков складывают. Масса воды, добавляемой в самое большое низкотемпературное отделение, должна составлять 4 г воды на каждый литр общего суммарного объема низкотемпературных отделений. Это соответствует одной форме для льда на 50 л объема низкотемпературных отделений или часть этого объема.
Если общий объем низкотемпературных отделений составляет 50 л или менее, вся вода помещается в одну форму для льда. Если объем низкотемпературных отделений составляет более 50 л, но не более 100 л, вся вода равномерно распределяется между двумя формами для льда. Если объем низкотемпературных отделений превышает 100 л, в каждую форму для льда помещается примерно 200 г воды, пока остающееся количество воды не будет составлять менее 400 г. Остающуюся массу воды следует равномерно разделить между двумя оставшимися формами для льда.
В отчете об испытании следует указать общий объем воды, помещаемой в самое большое низкотемпературное отделение, и количество форм для льда.
G.3.4 Положение водной загрузки в отделениях
G.3.4.1 Положение в незамораживающих отделениях
Бутылки ПЭТ, описанные в
G.3.3, должны размещаться в самом большом незамораживающем отделении, как показано на
рисунке G.2.
При наличии вертикального зазора в 250 мм или более над указанной полкой бутылки ПЭТ должны устанавливаться в стоячем положении следующим образом:
- первая бутылка на каждой полке с каждой стороны должна помещаться как можно ближе к облицовке отделения с зазором примерно 25 мм от боковой облицовки;
- дополнительные бутылки могут устанавливаться в это положение на глубину в два или три ряда с сохранением зазора примерно 25 мм между бутылками и передней и задней частью полки или границы нагрузки;
- если в этом положении требуется больше бутылок, дополнительные ряды бутылок (по мере необходимости) помещаются ближе к центру отделения с сохранением интервала между рядами примерно 25 мм;
- все бутылки должны располагаться по центру от передней стороны к задней через равные интервалы на полке в соответствующих рядах (с учетом края полки и любых ограничений загрузки, которые могут повлиять на глубину);
- любой бутылке должны обеспечивать расстояние до любого датчика температуры отделения 25 мм в любом направлении.
При наличии менее 25 мм вертикального пространства над указанной полкой бутылки ПЭТ кладутся боком на указанную полку так, чтобы их крышки (пробки) были направлены в сторону дверцы отделения (передней) на следующих позициях:
- первая бутылка на каждой полке с каждой стороны должна помещаться как можно ближе к облицовке отделения с зазором примерно 25 мм от боковой облицовки;
- если в этом положении требуется больше бутылок, дополнительные ряды бутылок помещаются ближе к центру отделения с сохранением интервала между бутылками примерно 25 мм;
- не допускается складывать бутылки штабелями или размещать их так, чтобы они соприкасались;
- любой бутылке должны обеспечивать расстояние до любого датчика температуры отделения 25 мм в любом направлении;
- все бутылки должны быть расположены так, чтобы их крышка (пробка) была ориентирована в сторону передней части полки или ограничителя загрузки полки. Для неглубоких полок ориентацию бутылок можно изменить, чтобы никакая часть не выходила за пределы передней части полки или ограничителя загрузки, при этом нужно сохранять зазор в 25 мм от датчиков температуры.
Все бутылки следует помещать в положение, в котором они будут минимально ограничивать поток воздуха из воздуховодов или вентиляционных отверстий. В случае невозможности помещать бутылки ПЭТ в указанные позиции нужно выбирать эквивалентные позиции. При использовании эквивалентных позиций их нужно указать в отчете об испытаниях. Если бутылки ПЭТ потребуется расположить иначе в связи с ограничениями свободного места, они должны оставаться на той же полке и располагаться как можно ближе к указанной позиции.
Бутылки ПЭТ следует помещать только на полки, расположенные непосредственно под позициями датчиков температуры TMP1, TMP2 и TMP3. Дополнительные полки, которые могут быть в приборе, игнорируются. Бутылки ПЭТ следует последовательно помещать на следующие позиции на полках, пока не будут размещены все бутылки:
- по одной бутылке на последовательность позиций ABCDEF;
- повторять последовательность размещения, пока не будут размещены все бутылки;
- две частично заполненные бутылки ПЭТ (если применимо) помещаются на последние две позиции;
- все позиции отмечаются в отчете об испытаниях.
Примечание - Указанная выше последовательность используется для определения позиции или расположения каждой бутылки. Бутылки можно загружать в любом порядке на указанные позиции при их размещении в незамораживающем отделении согласно
пункту G.4.2. В примере, показанном на рисунке G.2, при размещении 10 бутылок ПЭТ по две бутылки будут размещены на позициях с A по D и по одной на позициях E и F.
Размеры в миллиметрах
Примечание - В холодильном приборе могут быть дополнительные полки, не показанные на рисунке.
Рисунок G.2 - Расположение полок
и последовательность загрузки (пример с 10 бутылками ПЭТ)
G.3.4.2 Положение в замораживающих отделениях
Формы для льда, описанные в
G.3.3, должны быть размещены в самом большом замораживающем отделении, как показано на рисунке G.3. Если самое большое низкотемпературное отделение содержит полки и ящики, формы для льда следует размещать на полках, а не в ящиках (или корзинах), насколько это возможно.
Размеры в миллиметрах

Нужно сохранить зазор >= 25 во всех трех измерениях
Примечание - В холодильном приборе могут быть дополнительные полки, не показанные на рисунке. Формы для льда всегда помещаются на полках, это более предпочтительно, чем размещать их в ящиках или корзинах.
Рисунок G.3 - Расположение поддонов для кубиков льда
и зазоры между ними
Первую форму для льда на самом нижнем уровне помещают на противоположную сторону по отношению к датчикам TMP14 и TMP15 и максимально близко к облицовке отделения с сохранением зазора размером примерно 25 мм. Дополнительные формы для льда добавляются рядом с предыдущей формой для льда с сохранением зазора примерно 25 мм между формами для льда. Формы для льда могут быть ориентированы любым образом, обеспечивающим максимальное увеличение числа форм на каждом уровне с сохранением всех необходимых зазоров.
Если на нижний уровень нельзя установить больше форм для льда (т.е. если требуемое число приводит к тому, что зазоры до позиций датчиков температуры будут составлять менее 25 мм во всех направлениях), формы для льда нужно размещать последовательно на следующих доступных уровнях (по мере необходимости).
При необходимости поместить формы для льда на полку ниже позиции центрального датчика температуры (например, TMP11, TMP16 или TMP17, смотря что применимо), первая форма для льда помещается рядом с левой стенкой, вторая форма для льда помещается рядом с правой стенкой. Дополнительные формы для льда на этом уровне (если требуются) помещаются поочередно ближе к центру на расстоянии примерно 25 мм друг от друга и с зазором не менее 25 мм от любого датчика температуры в любом направлении.
При необходимости поместить формы для льда на полку, расположенную ниже позиций верхних датчиков температуры (например, TMP12 и TMP13), первая форма для льда помещается с противоположной стороны от датчиков TMP12 и TMP13 и как можно ближе к стенке отделения с сохранением зазора примерно 25 мм. Дополнительные формы для льда (если требуются) добавляются рядом с предыдущей формой для льда с сохранением зазора около 25 мм между формами для льда.
На каждом уровне все формы для льда находятся на расстоянии примерно 25 мм от стенки отделения и друг от друга.
Две частично заполненных формы для льда (если применимо) помещаются на последние две позиции (самые верхние).
Не допускается складывать формы для льда штабелями или размещать их так, чтобы они соприкасались.
Расстояние от любой формы для льда до любого датчика температуры отделения не должно составлять менее 25 мм в любом направлении.
Все формы для льда располагаются по центру в направлении от передней стороны полки к задней (с учетом края полки и любых ограничителей нагрузки, которые могут повлиять на глубину) и не должны выходить за границы переднего края полки.
Если формы для льда находятся в ящике или контейнере, внутренняя часть ящика или контейнера должна рассматриваться как внутренняя стенка с точки зрения размещения.
Примечание - Например, для большой морозильной камеры в холодильнике-морозильнике объемом 180 л требуется 720 г воды в 4 формах для льда. Внутренний зазор морозильной камеры составляет 600 мм. Позиции датчиков TMP
14 и TMP
15 находятся в 50 мм от правой нижней стенки. Это оставляет примерно 500 мм с каждой стороны для размещения форм для льда. Примерно 3 формы для льда можно установить на нижнем уровне (120 мм + 25 мм минимум каждый, параллельно боковым стенкам), так что одну форму для льда нужно будет установить на верхнем уровне. Если бы глубина морозильной камеры составляла более 460 мм, была бы возможность поместить все 4 лотка на нижнем уровне (3 в глубине перпендикулярно боковым стенкам и один параллельно боковым стенкам), сохраняя при этом требуемые зазоры. Информацию по рекомендуемому размеру форм для льда можно найти в
G.3.2.
Все формы для льда следует помещать в положение, в котором они будут минимально ограничивать поток воздуха из любых воздуховодов или вентиляционных отверстий. В случае невозможности помещать формы для льда в указанные позиции, нужно выбирать эквивалентные позиции. При использовании эквивалентных позиций их нужно указать в отчете об испытаниях. Если формы для льда потребуется расположить иначе в связи с ограничениями свободного места, они должны оставаться на той же полке и располагаться как можно ближе к указанной позиции. Все позиции форм для льда отмечаются в отчете об испытаниях.
Указанная выше последовательность используется для определения позиции или расположения каждой формы для льда. Формы для льда можно загружать в любом порядке на указанные позиции при их размещении в замораживающем отделении согласно
G.4.2.
G.3.5 Температура обрабатываемой воды
Если бутылки ПЭТ содержат менее 500 г воды, указанное количество воды должно быть измерено в бутылках ПЭТ до их размещения и стабилизации температуры в помещении для испытания. Отдельные бутылки ПЭТ, содержащие достаточное количество воды для всех форм для льда (если применимо), должны храниться в помещении для испытания и (во избежание испарения) должны помещаться в формы для льда в течение 30 мин после их помещения в замораживающее отделение.
Все бутылки ПЭТ и формы для льда должны размещаться в помещении для испытания с соответствующей наружной температурой в положении, соответствующем температуре помещения для испытаний. Все бутылки ПЭТ должны помещаться вертикально на подставку или деревянную платформу (пол) на расстоянии не менее 50 мм друг от друга, чтобы обеспечить свободную циркуляцию воздуха. Это оборудование будет находиться в помещении для испытаний в течение не менее 15 ч до момента начала испытания эффективности обработки загрузки.
Примечание - Номинальные температуры окружающей среды для испытаний энергопотребления составляют 16 °C и 32 °C.
G.4 Метод испытания эффективности обработки загрузки
G.4.1 Начало испытания эффективности обработки загрузки
Для холодильных приборов без цикла управления размораживанием испытанию эффективности обработки загрузки должен предшествовать период эксплуатации при настройке устройства управления температурой, используемой для испытания эффективности обработки загрузки. Настройки должны быть такими, чтобы этот период соответствовал требованиям к действительным периодам испытаний энергопотребления согласно
B.3.
Для холодильного прибора с одной или несколькими системами размораживания (каждая с отдельным циклом управления размораживанием) испытанию эффективности обработки загрузки должен предшествовать:
- период испытаний энергопотребления, соответствующий
B.3 при настройке устройства управления температурой, используемой для испытания эффективности обработки загрузки (включая требования к действительности); или
- период испытаний энергопотребления, соответствующий
B.4 при настройке устройства управления температурой, используемой для испытания эффективности обработки загрузки (включая требования к действительности); или
- период размораживания и восстановления температуры, соответствующий
C.3 при настройке устройства управления температурой, используемой для испытания эффективности обработки загрузки (если применимо).
Примечание - В случае определения стабильности с использованием подхода DF1
(C.3) нагрузку можно добавлять только после подтверждения действительности размораживания (т.е. по окончании периода F, наступающего не менее чем через 8 ч после работы нагревателя для размораживания). После установления стабильного состояния или после предшествующего ему размораживания загрузку следует поместить в прибор в кратчайшее время после периода размораживания и восстановления температуры для минимизации вероятности размораживания до завершения испытания обработки загрузки. Обычно рекомендуется подождать не менее 5 ч после работы нагревателя для размораживания (обычно это соответствует началу периода F согласно
C.3.1) (для точности определения лабораториям следует использовать имеющийся опыт предыдущих периодов размораживания и восстановления температуры). В данном случае предыдущий период размораживания и восстановления температуры, наступающий непосредственно перед размещением нагрузки, не включается в период испытания обработки нагрузки.
Для всех типов приборов настройки устройства управления температурой должны оставаться без изменений в течение всего времени испытания эффективности обработки загрузки.
Для простых приборов с обычными циклами работы компрессора за момент начала испытания эффективности обработки загрузки может быть взят момент включения компрессора. Для более сложных приборов в качестве начала испытания эффективности обработки загрузки может быть взят момент достижения максимальной температуры в отделении, оказывающем доминирующее воздействие на энергопотребление (см.
приложение B). Если загрузка устанавливается в течение периода размораживания и восстановления температуры, за момент начала испытания берется момент начала этого периода размораживания и восстановления температуры.
Обычно не рекомендуется вводить нагрузку в период размораживания и восстановления температуры (до достижения условий стабильного состояния).
G.4.2 Размещение загрузки
Загрузка должна быть подготовлена в соответствии с
G.3. Загрузка должна быть помещена в холодильный прибор в соответствии с указаниями
G.3 в кратчайшие возможные сроки после начала цикла управления температурой, указанного в
G.4.1, пока компрессор еще работает (для простых приборов) или до достижения минимальной температуры отделения (для более сложных приборов). Загрузку в каждое отделение помещают одной операцией открытия и закрытия дверцы этого отделения. Дверца должна оставаться открытой под углом не менее 90 градусов по отношению к закрытому положению в течение периода, максимально приближенного к одной минуте (+/- 5 с), для каждого отделения, в которое проводится загрузка, вне зависимости от фактического времени загрузки отделения (обычно значительно меньше одной минуты). При наличии двух дверец для доступа к отделению, куда добавляется загрузка, обе дверцы следует открывать одновременно. Если в холодильном приборе имеются незамораживающие и низкотемпературные отделения для загрузки, вначале необходимо загружать незамораживающие отделения.
Рекомендованное время открытия и закрытия дверцы составляет 2,5 с, что оставляет 55 с на загрузку каждого отделения. Рекомендуется добавлять загрузку в начале цикла управления температурой, поскольку в этом случае обработка нагрузки начнется в начале периода испытания эффективности обработки загрузки. Вероятное время начала будущих циклов управления температурой можно достаточно легко спрогнозировать для приборов с обычными принципами работы, что позволяет организовать размещение нагрузки заблаговременно. Если циклы работы компрессора короткие, необходимо следить за соблюдением требований G.4.2. Точное число загружаемых элементов и их положение необходимо спланировать задолго до открытия дверцы и размещения нагрузки.
G.4.3 Измерения, которые нужно провести
До и во время испытания эффективности обработки загрузки нужно регистрировать измерения температуры и энергопотребления в соответствии с указаниями
приложения A для испытания энергопотребления.
G.4.4 Завершение испытания эффективности обработки загрузки
Испытание эффективности обработки загрузки завершается при достижении стабильного состояния после полной обработки загрузки (т.е. после доведения воды или льда примерно до температуры каждого отделения). Период испытания завершается в конце полного цикла управления температурой. Настройки устройства управления температурой должны оставаться без изменений в течение всего времени испытаний эффективности обработки загрузки.
Испытания эффективности обработки загрузки для холодильного прибора без цикла управления размораживанием должны выполняться в течение периода испытания энергопотребления в соответствии с
B.3 (включая требования к достоверности).
Испытания эффективности обработки загрузки в холодильном приборе с одной или несколькими системами размораживания (с собственным циклом управления размораживанием) должны проводиться в период испытания энергопотребления, соответствующий:
-
B.3 (включая требования к достоверности) или
-
B.4 (включая требования к достоверности), завершаясь периодом размораживания и восстановления температуры, соответствующим требованиям к достоверности в
C.3 (если применимо).
Конечные критерии испытаний эффективности обработки загрузки довольно строгие, поскольку существует возможность, что в отделении все будет выглядеть так, что температуры достигли стабильного состояния, но при этом сами загруженные продукты не будут охлаждены или заморожены. В связи с этим необходимо продемонстрировать возврат холодильного прибора в стабильное состояние, для чего нужно проверить температуры отделений и энергопотребление за указанный минимальный период времени.
Температуры отделений и энергопотребление часто стабилизируются после добавления нагрузки и продолжают обработку нагрузки до значений, несколько отличающихся от условий до добавления нагрузки. Обычно эти изменения весьма небольшие, но в некоторых случаях они могут быть значительными. Это может произойти, когда добавленная загрузка повлияет на поток воздуха в отделении, или в случае косвенного воздействия на внутренний датчик температуры холодильного прибора. В некоторых случаях добавление загрузки может вызвать переход компрессора с переменной мощностью на более высокую ступень, в результате чего может повыситься рабочая мощность и понизиться температура отделения. Для снижения вероятности таких последствий лаборатория может сначала поместить в холодильный прибор начальную загрузку, а после полной стабилизации начальной нагрузки заменить ее новой загрузкой (см. подробности ниже). В подобных случаях эффективность обработки загрузки определяется на базе данных по второй загрузке.
Разница внутренней температуры и мощности до и после добавления загрузки имеет небольшое значение, потому что в анализе учитывается только энергопотребление за период цикла управления температурой, в который добавляется загрузка (т.е. работа в состоянии до размещения нагрузки практически не включается в период испытания эффективности обработки загрузки).
Примечание - Основное воздействие изменений внутренних температур отделения на энергопотребление до и после обработки загрузки соответствует изменению термальной массы (или теплоемкости) холодильного прибора. Анализ показал, что при установленных ниже пределах достоверности эти эффекты незначительны, и их можно проигнорировать.
К параметрам, измеренным в начале испытания (до добавления воды) и в период стабильности по окончании испытания эффективности обработки загрузки, применяют следующие критерии действительности:
- разность мощности в стабильном состоянии PSSM не должна превышать 5% или 2 Вт, в зависимости от того, что больше; и
- разница температур в стабильном состоянии для каждого отделения не должна превышать 1 К.
В случае определения начальной действительности с помощью размораживания согласно
C.3 (см.
G.4.1) в связи с невозможностью определения достоверности согласно
B.3 или
B.4 (например, из-за недостатка времени на испытания), первоначальная мощность в стабильном состоянии
PSSM и температура в стабильном состоянии, указанные выше, берутся как средняя мощность за период D и период F (подход DF1 в
C.3).
Если для холодильного прибора с одной или несколькими системами размораживания (каждая из которых имеет собственный цикл управления размораживанием) не выполняются вышеуказанные условия, устройство должно работать до завершения следующего периода размораживания и восстановления температуры и достижения нового стабильного состояния, после чего следует снова провести оценку по данным критериям.
Если после последующего размораживания нельзя будет добиться соблюдения обоих этих критериев достоверности, испытание необходимо повторить с заменой существующей загрузки (уже обработанной при температуре отделения) новой загрузкой при тех же контрольных условиях (в соответствии с
G.3,
G.4.1 и
G.4.2). Как указано выше, помещение первоначальной загрузки в холодильный прибор и (по окончании обработки загрузки) ее замена новой загрузкой является необязательным действием для всех испытаний эффективности обработки загрузки.
Для холодильных приборов с одним или несколькими циклами управления размораживанием необходимо дать полностью завершиться любым периодам размораживания и восстановления температуры в течение испытания эффективности обработки загрузки (т.е. до завершения обработки нагрузки и достижения условий стабильного состояния) (см.
рисунок G.5). Испытание эффективности обработки загрузки завершается при достижении стабильного состояния и после завершения действительного периода размораживания и восстановления температуры, как указано выше.
Примечание - Дополнительное энергопотребление, связанное с периодами размораживания и восстановления температуры в течение испытания эффективности обработки загрузки, учитывается в
G.5.3.
G.5 Определение эффективности обработки загрузки
G.5.1 Общие положения
После завершения испытания эффективности обработки загрузки данные анализируются для определения эффективности обработки загрузки. Цель анализа заключается в определении дополнительного энергопотребления, которое требуется холодильному прибору для обработки дополнительной нагрузки перед возвратом в стабильное состояние. Это показано на рисунке G.4. Затем проводят сравнение с расчетным изменением энергии добавленной водной загрузки (энтальпическое изменение объема воды) для количественной оценки тепловой энергии, которая была удалена из холодильного прибора во время обработки.
Рисунок G.4 - Отображение дополнительной энергии,
потребляемой для обработки дополнительной загрузки
Дополнительное энергопотребление для обработки загрузки всегда рассчитывают на базе значения
Pafter, как показано на
рисунке G.4, до момента добавления загрузки (начало испытания).
В разных случаях мощность до добавления загрузки Pbefore может быть выше или ниже мощности после добавления загрузки Pafter. Эта разница не влияет на расчеты, потому что разница мощности рассматривается только до момента добавления загрузки.
G.5.2 Количественная оценка поступающей энергии
Величину поступающей энергии вычисляют посредством оценки изменения энергии водной загрузки, начиная с окружающей температуры помещения для испытаний и заканчивая измеренной температурой отделения.
В G.5.2 приведены упрощенные уравнения оценки изменения энергии, основанные на стандартных данных энтальпии. Хотя эти уравнения дают довольно точные результаты, испытательным лабораториям может быть удобнее использовать программные средства или дополнения, автоматически рассчитывающие энтальпические изменения воды. Необходимо уделять особое внимание всем отделениям, температура которых близка к точке замерзания (0 °C), потому что для изменения фазы (жидкость в лед) требуется значительное количество энергии. Если номинальная окончательная температура отделения ниже точки замерзания, необходимо проверить формы для льда, чтобы убедиться, что они полностью заморожены.
Изменение энергии воды в незамораживающих отделениях (где конечная температура выше точки замерзания) вычисляют по формуле

, (48)
где Eunfrozen-test - энергия, удаленная из водной загрузки в незамораживающем отделении во время испытания, Вт·ч;
M1 - масса воды вблизи от позиции TMP1 (позиции C, F), кг;
T1 - средняя температура датчика температуры в позиции TMP
1 во время периода корректного испытания энергопотребления (
B.3 или
B.4) после обработки загрузки, °C;
M2 - масса воды вблизи от позиции TMP2 (позиции E, B), кг;
T2 - средняя температура датчика температуры в позиции TMP
2 во время периода корректного испытания энергопотребления (
B.3 или
B.4) после обработки загрузки, °C;
M3 - масса воды вблизи от позиции TMP3 (позиции A, D), кг;
T3 - средняя температура датчика температуры в позиции TMP
3 во время периода корректного испытания энергопотребления (
B.3 или
B.4) после обработки нагрузки, °C;
Tamb - измеренное среднее значение окружающей температуры за 6 ч до помещения водной нагрузки в холодильный прибор (номинальная начальная температура воды);
4,186 - коэффициент энтальпического изменения воды, кДж/(кг·К) (в размороженном состоянии);
3,6 - коэффициент конвертации кДж в Вт·ч (с/ч·10-3).
В качестве единиц массы выше используют килограммы, а во многих других местах в настоящем приложении указаны значения в граммах. В связи с этим необходимо следить за использованием подходящих единиц измерения.
Изменение энергии воды в замораживающих отделениях (где конечная температура выше точки замерзания) вычисляют по формуле

, (49)
где Efrozen-test - энергия, удаленная из водной загрузки в низкотемпературном отделении, Вт·ч;
Mtot-fz - общая масса воды, помещенной в низкотемпературное отделение, кг;
Tfz-av - средняя температура всех датчиков в отделении во время периода корректного испытания энергопотребления (
B.3 или
B.4) после обработки нагрузки, °C;
Tamb - измеренное среднее значение окружающей температуры за 6 ч до помещения водной загрузки в холодильный прибор (номинальная начальная температура воды);
4,186 - коэффициент энтальпического изменения воды, кДж/(кг·К) (в размороженном состоянии);
2,05 - коэффициент энтальпического изменения воды, кДж/(кг·К) (в замороженном состоянии);
333,6 - коэффициент энтальпического изменения фазы воды, кДж/кг (вода в лед);
3,6 - коэффициент конвертации кДж в Вт·ч (с/ч·10-3).
Значение температуры
Tfz-av должно быть отрицательным, благодаря чему обеспечивается более значительное изменение энергопотребления при более низкой температуре. В вышеуказанном
уравнении берется предполагаемая однородная средняя температура в низкотемпературном отделении, которая считается достаточно точной оценкой. В качестве единиц массы выше используют килограммы, а во многих других местах в настоящем приложении указаны значения в граммах. В связи с этим необходимо следить за использованием подходящих единиц измерения.
Общее энергопотребление при испытании при заданной температуре помещения для испытаний определяют по формуле
Einput-test = Eunfrozen-test + Efrozen-test. (50)
G.5.3 Количественная оценка дополнительной энергии, используемой для обработки загрузки
Принцип, используемый для количественного определения дополнительного энергопотребления при обработке загрузки, основан на достижении периода стабильной работы после обработки всей загрузки. Дополнительное энергопотребление вычисляют как разность между фактическим энергопотреблением с момента начала испытания эффективности обработки загрузки (на момент заполнения резервуара) до момента окончания периода работы в стабильном состоянии Pafter и энергопотреблением за тот же самый период времени, если бы вся энергия потреблялась в стабильном состоянии Pafter.
Если во время обработки загрузки был один или несколько периодов размораживания и восстановления температуры, энергопотребление при типовой процедуре размораживания и восстановления температуры, определенное в соответствии с
приложением C, вычитают из дополнительного энергопотребления. Это показано на рисунке G.5.
Рисунок G.5 - Пример, когда
период размораживания и восстановления температуры
происходит во время обработки загрузки
Дополнительное энергопотребление для обработки дополнительной загрузки вычисляют по формуле:

, (51)
где

- дополнительное энергопотребление холодильного прибора во время испытания, необходимое для полной обработки добавленной загрузки в соответствии с
пунктом G.3;
Estart - показания накопленного энергопотребления на момент начала испытания эффективности обработки загрузки в соответствии с определением в
G.4.1, Вт·ч;
Eend - показания накопленного энергопотребления на момент окончания испытания эффективности обработки загрузки в соответствии с определением в
G.4.1, Вт·ч;
Pafter - энергопотребление в стабильном состоянии после полной обработки загрузки в течение допустимого периода испытаний энергопотребления (
B.3 или
B.4) в соответствии с определением в
G.4.4, Вт;
tstart - время испытания на момент начала испытания эффективности обработки загрузки в соответствии с определением в
G.4.1, ч;
tend - время испытания на момент окончания испытания эффективности обработки загрузки в соответствии с определением в
G.4.1, ч;

- дополнительное энергопотребление в период размораживания и восстановления температуры в соответствии с приложением C
(C.5);
z - целое число, равное числу периодов размораживания и восстановления температуры во время и до завершения испытания эффективности обработки загрузки (см.
рисунок G.5). Это значение равняется нулю для холодильных приборов без системы размораживания и для случаев, когда период размораживания и восстановления температуры не наступает во время испытания эффективности обработки загрузки (см.
рисунок G.4).
G.5.4 Эффективность обработки загрузки
Эффективность обработки загрузки вычисляют по формуле

, (52)
где Efficiencyload,ambient - измеренная эффективность обработки загрузки для указанной окружающей температуры (без единиц, Вт·ч/Вт·ч);
Einput-test - тепловая энергия, удаленная из обрабатываемой загрузки во время испытания в соответствии с
G.5.2;

- дополнительное энергопотребление холодильного прибора для полной обработки загрузки во время испытания в соответствии с определением из
G.5.3.
Измеренное значение Efficiencyload,ambient может быть больше единицы.
Чтобы использовать значение эффективности обработки загрузки для оценки воздействия на энергопотребление холодильного прибора, требуется оценка пользовательской загрузки (Вт·ч).
G.5.5 Множитель обработки загрузки
Также можно использовать множитель обработки нагрузки "
a" как множитель исходной загрузки, указанной в настоящем стандарте (базовые значения 12 г/л объема незамораживающего отделения и 4 г/л объема низкотемпературного отделения). Например, значение "
a" = 1 означает, что пользовательская нагрузка будет равняться
Einput каждые 24 ч (см.
6.8, где все значения конвертированы в дневное энергопотребление). Множитель загрузки "
a", скорее всего, будет больше в жарком тропическом климате и меньше в более прохладном умеренном климате. Согласно этому подходу значение
Einput отличается для каждого отдельного холодильного прибора в связи с различием объемов незамораживающих и низкотемпературных отделений, а также с тем, что этот подход подразумевает использование (обработку пользовательской загрузки), прямо пропорциональное объему. Другие факторы (например, число пользователей) также могут оказывать влияние на предполагаемую пользовательскую загрузку. Также вероятно, что для некоторых конфигураций приборов необходимы разные множители (например, для отдельных морозильных камер), поскольку в некоторых регионах они могут использоваться совсем по-другому.
Если множитель загрузки используют для оценки дополнительного энергопотребления, связанного с обработкой загрузки, важно рассчитать нормализованное значение Einput-nominal. Это значение нужно для корректировки с учетом небольших колебаний температур отделений и окружающих температур во время испытания. Расчет проводят на основе предположения, что обработка загрузки начинается точно при номинальной наружной температуре и заканчивается точно при целевой температуре отделения.

, (53)
где Eunfrozen-nominal - энергия, удаленная из водной загрузки в незамораживающем отделении для номинального состояния;
Mtot-unfz - общая масса воды, помещенной в низкотемпературное отделение, кг;
Tunfz-tar - целевая температура для энергопотребления в незамораживающем отделении, °C (см.
таблицу 1);
Tamb-tar - номинальная наружная температура при испытании (16 °C или 32 °C);
4,186 - коэффициент энтальпического изменения воды, кДж/(кг·К) (в размороженном состоянии);
3,6 - коэффициент конвертации, кДж в Вт·ч (с/ч·10-3).

, (54)
где Efrozen-nominal - энергия, удаленная из водной загрузки в замораживающем отделении, для номинального состояния, Вт·ч;
Mtot-fz - общая масса воды, помещенной в замораживающем отделении, кг;
Tfz-tar - целевая температура для энергопотребления в замораживающем отделении, °C (см.
таблицу 1);
Tamb-tar - номинальная наружная температура при испытании (16 °C или 32 °C);
4,186 - коэффициент энтальпического изменения воды, кДж/(кг·К) (в размороженном состоянии);
2,05 - коэффициент энтальпического изменения воды, кДж/(кг·К) (в замороженном состоянии);
333,6 - коэффициент энтальпического изменения фазы воды, кДж/кг (вода в лед);
3,6 - коэффициент конвертации, кДж в Вт·ч (с/ч·10-3).
Общее номинальное энергопотребление при заданной температуре помещения для испытаний вычисляют по формуле
Einput-nominal = Eunfrozen-nominal + Efrozen-nominal. (55)
Следующие значения должны быть указаны в отчете об испытаниях, если это значение было измерено и зарегистрировано:
- объем всех незамораживающих отделений, л;
- объем всех низкотемпературных отделений, л;
- масса водной загрузки, добавленной в незамораживающие отделения, г;
- масса водной загрузки, добавленной в низкотемпературные отделения, г;
- Einput-test - для каждой указанной окружающей температуры испытаний, Вт·ч;
-

- для каждой указанной окружающей температуры испытаний, Вт·ч;
- Efficiencyload,ambient - для каждой указанной окружающей температуры испытаний;
- Einput-nominal - для каждой указанной окружающей температуры испытаний, Вт·ч.
Необходимо указать все значения, использованные для определения эффективности обработки загрузки.
G.5.6 Добавление пользовательских загрузок в дневное энергопотребление
Воздействие пользовательских загрузок может быть учтено в дневном энергопотреблении. Пользовательские загрузки возникают при обычных действиях, например при открытии дверец (и связанном с ним воздухообмене), загрузке в холодильный прибор теплых продуктов и напитков для охлаждения (иногда для замораживания) и изготовлении льда.
Метод определения эффективности обработки загрузки для холодильного прибора установлен в настоящем приложении. Это значение позволяет получить оценку нарастающего энергопотребления для удаления каждой единицы пользовательской тепловой загрузки, эквивалентной возникающей при нормальном использовании. Величина пользовательских загрузок сильно варьируется на региональном уровне, потому что она зависит от климата, сезона и условий в помещении, а также от привычек пользователя. Также пользовательские загрузки в некоторой степени варьируются в зависимости от размера и типа холодильного прибора и от некоторых демографических факторов, например от количества пользователей холодильного прибора и времени использования (времени дня, когда пользователи находятся дома). Величина средних дневных пользовательских загрузок может варьироваться от 50 Вт/ч до 500 Вт/ч в зависимости от времени года, климата, типа продуктов, размера продуктов и демографических параметров.
Примечание - При активном использовании интервалы размораживания могут быть короче. Интервалы размораживания в основном зависят от внешних условий и количества операций открытия дверец (в меньшей степени от наличия открытых жидкостей, фруктов, овощей и других продуктов). Даже одно открытие дверцы на отделение вызывает относительно большую нагрузку, но добавление этой нагрузки лишь с малой вероятностью позволит симулировать использование, вызывающее короткие интервалы размораживания. Влияние изменений интервала размораживания не измеряется напрямую в испытаниях эффективности обработки загрузки, но оценивается посредством корректировки значения

. Иногда это может оказаться сложным, поскольку интервал размораживания влияет на энергопотребление в стабильном состоянии и среднюю температуру точек испытания, в связи с чем рассчитать точное воздействие напрямую может оказаться невозможно. В отсутствие значительных изменений интервала размораживания в связи с пользовательскими загрузками (что может считаться формой обхода) воздействие на энергопотребление должно быть небольшим, и в данных расчетах оно игнорировалось.
Если оценка пользовательской загрузки указывается в Вт·ч в день, воздействие на дневное энергопотребление при заданной наружной температуре можно оценить по следующей формуле:

, (56)
где

- дополнительное дневное энергопотребление холодильного прибора, Вт·ч/сут, для обработки пользовательской загрузки
Euser;
Euser - тепловой эквивалент пользовательской загрузки на холодильный прибор, Вт·ч/сут, при нормальном использовании (указывается для региона);
Efficiencyload,ambient - эффективность обработки загрузки при указанной наружной температуре в соответствии с настоящим приложением, Вт·ч/Вт·ч (величина без единицы измерения).
Примечание - Воздействие пользовательских загрузок при промежуточных температурах между наружными температурами испытания 16 °C и 32 °C может оцениваться методом линейной интерполяции эффективности обработки загрузки Efficiencyload,ambient между этими температурами. Пользовательские загрузки при более низкой наружной температуре обычно бывают ниже при выполнении одних и тех же задач. Для получения точной оценки воздействия пользовательских загрузок в течение года рекомендуется оценить среднемесячную тепловую нагрузку, эквивалентную пользовательской нагрузке.
Также указанную в настоящем приложении обрабатываемую загрузку (зависящую от объема) можно использовать в качестве основы для масштабирования обрабатываемой загрузки по регионам.

, (57)
где

- дополнительное дневное энергопотребление холодильного прибора, Вт·ч/сут, для обработки указанной загрузки;
Einput-nominal - номинальная обрабатываемая загрузка для указанной водной загрузки при номинальной наружной температуре и целевой температуре отделения, Вт·ч/сут (см.
G.5.4);
a - региональный коэффициент масштабирования обрабатываемой загрузки;
Efficiencyload,ambient - эффективность обработки загрузки при указанной наружной температуре в соответствии с настоящим приложением, Вт·ч/Вт·ч (величина без единицы измерения);
Примечание - В отсутствие локальных данных для коэффициента a предпочтительно использовать значение 1. Значение коэффициента a не должно превышать 2.
Значение

можно прибавить к значению дневного энергопотребления для оценки параметров использования, связанных с пользовательской загрузкой. Если используют значения для окружающей температуры 16 °C и 32 °C, годовой коэффициент можно выразить следующим образом:

. (58)
В соответствии с региональными требованиями общее годовое энергопотребление холодильного прибора
(формула (4), 6.8.5) может быть дополнено с учетом пользовательской загрузки, как показано ниже:

. (59)
(обязательное)
H.1 Состав
В настоящем приложении описаны методы расчета общего объема холодильных приборов. Целью настоящего приложения является предоставление единообразных средств определения размера с учетом особых функций и/или функциональных компонентов, располагающихся в охлаждаемых отделениях. Оно не предназначено для измерения объема хранения продуктов питания, полезного объема или полезности объема.
Устанавливаемый в настоящем приложении метод основан на логике, согласно которой все элементы, не требующиеся для регулирования внутренней температуры, не учитывают, и место, которое они занимают, является частью объема. Например, лампочка и ее корпус не требуются для поддержания внутренних условий в холодильном приборе, и поэтому их не нужно учитывать, а регулируемые пользователем устройства управления температурой и их корпуса, а также воздуховоды для распределения воздуха нужно считать остающимися на месте.
H.2 Общий объем
H.2.1 Измерение объема
Все измеренные значения объема отделений округляют до 0,1 л. Общий объем равен сумме этих округленных значений объема отделений, и заявленное значение общего объема должно быть округлено до одного литра.
Объем должен учитывать точную форму стенок, включая все выпуклые места и ниши. Лоток для льда (при наличии диспенсеров воды и льда в дверцах) следует включать в объем до функции раздачи.
При определении объема внутренние элементы (полки, съемные перегородки, контейнеры и внутренние легкие корпуса) не учитывают, как установленные.
Следующие элементы считаются установленными, и их объем учитывают при определении общего объема:
- объем корпусов элементов управления;
- объем пространства испарителя (включая все пространство, недоступное из-за наличия испарителя) (см.
H.2.3);
- объем воздуховодов, требуемых для правильного охлаждения и эксплуатации устройства;
- место, занятое полками, встроенными во внутреннюю панель дверцы.
Следует уточнить, что в объем не включают проходящие сквозь дверцу диспенсеры для воды и льда, а также изоляцию. Никакие части диспенсера не включают в объем.
H.2.3 Объем пространства испарителя
Объем пространства испарителя равен произведению длины, ширины и высоты.
Общий объем, который необходимо вычесть, состоит из следующих компонентов:
a) для испарителя с принудительной подачей воздуха вычитают общий объем крышки испарителя и пространства за крышкой испарителя, включая объем, занятый вентилятором испарителя и спиралью вентилятора;
b) для испарителей пластинчатого типа (например, рулонно-пластинчатых) объем за вертикально установленными испарителями пластинчатого типа и объем над горизонтально установленными испарителями пластинчатого типа, если расстояние между горизонтальным испарителем пластинчатого типа и ближайшей облицовочной поверхностью над ним составляет менее 50 мм. Съемные поддоны для капель/корытца считаются снятыми;
c) в случае полок, заполненных хладагентом, объем над самой верхней полкой и под самой нижней полкой, если расстояние между полкой и ближайшей горизонтальной плоскостью внутренней стенки шкафа составляет не более 50 мм. Все остальные охлаждаемые полки считаются отсутствующими.
H.2.4 Секции и/или отделения две звезды
Секции и/или отделения две звезды допускаются в дверцах и в остальной части объема холодильного прибора при соблюдении всех следующих условий:
a) секция или отделение две звезды помечены соответствующим идентификационным символом (см. IEC 62552-1, 5.2);
b) секция или отделение две звезды отделены от объема три или четыре звезды перегородкой, контейнером или аналогичным сооружением;
c) номинальный общий объем секции две звезды не превышает 20% от общего объема отделения;
d) инструкции дают четкие рекомендации относительно секций и/или отделений две звезды;
e) объем секции и/или отделения две звезды указан отдельно и не включен в объем три или четыре звезды.
На
рисунках H.1 -
H.5 показаны типовые конфигурации, но они не призваны включать все варианты конструкции. Для других конструкций могут быть использованы сочетания компонентов из разных рисунков. Обозначения на рисунках в этом приложении перечислены ниже.
Эти рисунки представляют собой графическое отображение процедур определения объема, которые описаны в
H.2.2 и
H.2.3.
Примечание - Эта схема также относится к приборам с двумя и более дверями, расположенными рядом (side by side), к приборам с расположением морозильной камеры снизу, и отдельным холодильным приборам с одним отделением. Все вычитаемые значения одинаковы. Разъяснение по блоку диспенсера можно посмотреть на следующих рисунках.
Рисунок H.1 - Базовое представление прибора
с расположением морозильной камеры сверху
Примечание - Для определения объема с автоматических устройств приготовления льда снимаются заглушки и крышки (например, устанавливаемые при перевозке или в периоды, когда они не используются).
Рисунок H.2 - Диспенсер и желоб автоматического устройства
приготовления льда
Рисунок H.3 - Автоматическое устройство приготовления льда
Рисунок H.4 - Рельсовое крепление
для выдвижных полок или корзин
Примечание - В расчете для вращающегося разделителя учитывают закрытые дверцы. Объем внутреннего вращающегося разделителя (A) не учитывают. Выступ на двери (B) не учитывают.
Рисунок H.5 - Вращающий разделитель отделения
для свежих пищевых продуктов для застекленных дверей
(справочное)
РАБОЧИЕ ПРИМЕРЫ РАСЧЕТОВ ЭНЕРГОПОТРЕБЛЕНИЯ
I.1 Пример расчета дневного энергопотребления
В соответствии с
6.8.2, дневное энергопотребление холодильного прибора с системой размораживания (с собственным циклом управления размораживанием) вычисляют по формуле

. (2)
Среднюю температуру каждого отделения для этой настройки устройства управления температурой вычисляют по формуле

. (3)
Результаты испытаний холодильника-морозильника с автоматическим размораживанием для температуры 32 °C будут следующими:
- температура отделения для свежих пищевых продуктов в стабильном состоянии Tff: 3,6 °C;
- температура морозильной камеры в стабильном состоянии Tfz: -19,4 °C;
- накопленная температура при размораживании в отделении для свежих пищевых продуктов
(приложение C): +1,6 Кч;
- накопленная температура при размораживании в морозильной камере
(приложение C): +8,5 Кч;
Также при температуре 16 °C получены следующие результаты испытания:
- температура отделения для свежих пищевых продуктов в стабильном состоянии: 2,9 °C;
- температура морозильной камеры в стабильном состоянии: -18,9 °C;
- накопленная температура при размораживании в отделении для свежих пищевых продуктов
(приложение C): +1,8 К-ч;
- накопленная температура при размораживании в морозильной камере
(приложение C): +8,1 К-ч;
Дневное энергопотребление и средняя температура отделения при наружной температуре 32 °C:

;

;

.
Дневное энергопотребление и средняя температура отделения при наружной температуре 16 °C:

;

;

.
I.2 Переменное размораживание - расчет интервалов размораживания
В
приложении D для контроллеров переменного размораживания использовался подход расчета для определения интервала размораживания для определения дневного энергопотребления.
Интервал размораживания для системы переменного размораживания определяется по формуле

, (27)
где

- интервал размораживания для окружающей температуры испытания 32 °C;

- максимальный возможный интервал размораживания для окружающей температуры 32 °C, указанный производителем, в часах истекшего времени;

- минимальный возможный интервал размораживания для окружающей температуры 32 °C, указанный производителем, в часах истекшего времени.
Вне зависимости от спецификаций производителя, в отношении исходных переменных

и

, действуют следующие ограничения:
-

- обычно превышает 6 ч и не должен превышать 12 ч при наружной температуре 32 °C (истекшее время);
-

- не должен превышать 96 ч при наружной температуре 32 °C (истекшее время);
-

- должен быть больше

при наружной температуре 32 °C.
Производитель представил прибор, для которого истекшее время для соответствующих интервалов размораживания равно:
-

- 6,5 ч при наружной температуре 32 °C;
-

- 44 ч при наружной температуре 32 °;
- условие о том, что значение

должно быть больше

при наружной температуре 32 °C, выполнено.
При наружной температуре 32 °C значение

равняется:
= 20,43 ч (истекшее время);
= 20,4 ч (с округлением до 0,1).
Согласно
D.4.2, значение

в два раза больше значения

.
I.3 Примеры интерполяции
I.3.1 Общие положения
В настоящем пункте приведены примеры линейной интерполяции, триангуляции и решения с использованием матриц. Приведенные примеры полезны для проверки правильности расчета результатов автоматическими системами анализа.
I.3.2 Линейная интерполяция
I.3.2.1 Общие положения
Как указано в
E.3.3, для линейной интерполяции применяют следующие формулы:

; (28)
Tj = Tj1 + fi·(Ti2 - Ti1); (29)
Ei-tar = E1 + fi·(E2 - E1). (30)
В следующих примерах показано, как можно применить эти формулы к данным испытаний.
I.3.2.2 Пример с одним отделением
Отдельная морозильная камера показала следующие результаты испытания при температуре 32 °C в соответствии с
6.8.2, как показано в таблице I.1.
Таблица I.1
Пример линейной интерполяции, одно отделение
Параметр | Испытание 1 | Испытание 2 | Тип | Цель |
Отделение A | TA1 = -19,6 °C | TA2 = -17,1 °C | Морозильное отделение | -18,0 °C |
Энергопотребление | EDaily1 = 789 Вт·ч/сут | EDaily2 = 668 Вт·ч/сут | | |
Проверка допустимости: Разница между TA1 и TA2 не должна составлять более 4 К. Результат = ОК.
Как указано в
E.3, необходимо выполнить расчеты для каждого отделения
i, от 1 до
n отделений. Каждая из этих итераций называется циклом. Отделение только одно, и поэтому в данном случае требуется только 1 цикл.
Шаг 1: Рассчитать fi = (-18,0 - (-19,6))/((-17,1) - (-19,6)) = 0,640. Убедиться, что значение больше 0 и меньше 1. Результат = ОК. (Так всегда происходит, если одна точка испытания имеет температуру выше целевой температуры, а другая - ниже целевой температуры).
Шаг 2: Рассчитать Tj = -19,6 + 0,640·((-17,1) - (-19,6)) = -18,0 (требуется только для j = 1). Поскольку есть только одно отделение, оно обеспечивает целевую температуру для отделения i.
Шаг 3: Необходимо убедиться, что для всех значений Tj температура равна целевой температуре или ниже нее. В данном случае это верно. Затем нужно рассчитать E = 789 + 0,640·(668 - 789) = 711,6 Вт·ч/сут.
Интерполяцию выполняют по отделению A и графику Si:

;

.
I.3.2.3 Два отделения
Вначале приведен пример с двумя отделениями с одной точкой выше и одной точкой ниже целевых температур для обоих отделений, как показано в таблице I.2.
Таблица I.2
Пример 1 линейной интерполяции, два отделения
Проверка допустимости: Температуры отделения A в обеих точках различаются не более чем на 4 К, как и для отделения B, и поэтому линейную интерполяцию можно использовать.
Цикл 1 для i = A (отделение A)
Шаг 1: Рассчитать fi = (4,0 - 4,9)/(1,4 - 4,9) = 0 257. Убедиться, что значение больше 0 и меньше 1.
Результат = ОК.
Шаг 2: Рассчитать значения Tj:
TA = 4,9 + 0 257·(1,4 - 4,9) = 4,0 °C
TB = -16,5 + 0 257·(-18,9 - (-16,5)) = -17,12 °C
Шаг 3: TA меньше или равно целевому значению 4 °C? Результат: истина
TB меньше или равно целевому значению -18 °C? Результат: ложь
Не все полученные путем интерполяции значения температуры ниже целевой температуры, поэтому нет расчета энергопотребления: EA-tar = недопустимое значение.
Конец цикла для i = A
Цикл 2 для i = B (отделение B)
Шаг 1: Рассчитать fi = (-18 - (-16,5))/(-18,9 - (-16,5)) = 0,625. Убедиться, что значение больше 0 и меньше 1. Результат = ОК.
Шаг 2: Рассчитать значения Tj:
TA = 4,9 + 0,625·(1,4 - 4,9) = 2,71 °C
TB = -16,5 + 0,625·(-18,9 - (-16,5)) = -18,0 °C
Шаг 3: TA меньше или равно целевому значению 4 °C? Результат: истина
TB меньше или равно целевому значению -18 °C? Результат: истина
Все полученные путем интерполяции значения температуры ниже целевой температуры, поэтому расчет энергопотребления методом интерполяции: EB-tar = 822,1 + 0,625·(935,6 - 822,1) = 893,0 Вт·ч/сут.
Конец цикла для i = B
Окончательное значение энергопотребления, полученное методом интерполяции, Elinear = минимальное допустимое значение EA-tar и EB-tar, т.е. Elinear = EB-tar = 893,0 Вт·ч/сут (в данном случае EA-tar имеет недопустимое значение).
Интерполяцию выполняют по отделению B и графику снижения Si результат -47,292 Вт·ч/сут/К.
Этот пример проиллюстрирован на рисунках I.1 и
I.2, где показано, что в данном случае действительный результат можно получить только посредством интерполяции для отделения B.
Рисунок I.1 - Пример линейной интерполяции для двух
отделений (отделение B критическое)
Рисунок I.2 - Пример линейной интерполяции для двух
отделений (отделение B критическое)
Во втором примере ни для одной из точек испытания температура обоих отделений не ниже целевой температуры, как показано в таблице I.3. При этом можно осуществить допустимую операцию интерполяции. Если операция будет недопустимой, алгоритм определит это.
Таблица I.3
Пример 2 линейной интерполяции, два отделения
Проверка допустимости: Температуры отделения A в обеих точках различаются не более чем на 4 К, как и для отделения B, и поэтому линейную интерполяцию можно использовать.
Примечание - В этом примере (и в следующем примере) температура отделения A и температура отделения B изменяются в противоположных направлениях. Это обычно возможно только при наличии двух независимых регулируемых пользователем устройств управления температурой, если для отделения A установлена более холодная температура для точки испытания 2, а для отделения B установлена более высокая температура для точки испытания 2.
Цикл 1 для i = A (отделение A)
Шаг 1: Рассчитать fi = (4,0 - 5,2)/(2,2 - 5,2) = 0,400. Убедиться, что значение больше 0 и меньше 1.
Результат = ОК.
Шаг 2: Рассчитать значения Tj:
TA = 5,2 + 0,400·(2,2 - 5,2) = 4,0 °C
TB = -18,8 + 0,400·(-17,3 - (-18,8)) = -18,20 °C
Шаг 3: TA меньше или равно целевому значению 4 °C? Результат: истина
TB меньше или равно целевому значению -18 °C? Результат: истина
Все полученные путем интерполяции значения температуры ниже целевой температуры, поэтому расчет энергопотребления методом интерполяции: EA-tar = 853,9 + 0,400·(828,6 - 853,9) = 843,8 Вт·ч/сут.
Конец цикла для i = A
Цикл 2 для i = B (отделение B)
Шаг 1: Рассчитать fi = (-18,0 - (-18,8))/(-17,3 - (-18,8)) = 0,533. Убедиться, что значение больше 0 и меньше 1. Результат = ОК.
Шаг 2: Рассчитать значения Tj:
TA = 5,2 + 0 533·(2,2 - 5,2) = 3,60 °C
TB = -18,8 + 0 533·(-17,3 - (-18,8)) = -18,0 °C
Шаг 3: TA меньше или равно целевому значению 4 °C? Результат: истина
TB меньше или равно целевому значению -18 °C? Результат: истина
Все полученные путем интерполяции значения температуры ниже целевой температуры, поэтому расчет энергопотребления методом интерполяции: EB-tar = 853,9 + 0 533·(828,6 - 853,9) = 840,4 Вт·ч/сут.
Конец цикла для i = B
Окончательное значение энергопотребления, полученное методом интерполяции, Elinear = минимальное значение EA-tar и EB-tar, т.е. Elinear = EB-tar = 840,4 Вт·ч/сут.
Интерполяцию выполняют по отделению B и графику снижения Si, результат - 16,87 Вт·ч/сут/К.
Этот пример проиллюстрирован на рисунках I.3 и
I.4, где показано наличие двух допустимых точек интерполяции. Взято минимальное значение потребления, поскольку оно ближе к оптимальной ситуации, когда температуры обоих отделений соответствуют их целевым температурам.
Рисунок I.3 - Пример интерполяции, когда в обоих точках
испытаний оба отделения имеют температуру ниже целевой
температуры (два допустимых результата)
Рисунок I.4 - Пример интерполяции, когда в обеих точках
испытаний оба отделения имеют температуру ниже целевой
температуры (два допустимых результата)
В третьем примере показано, что происходит, если не существует возможной допустимой точки интерполяции. Данные примера показаны в таблице I.4.
Таблица I.4
Пример 3 линейной интерполяции, два отделения
Проверка допустимости: Температуры отделения A в обеих точках различаются не более чем на 4 К, как и для отделения B, и поэтому линейную интерполяцию можно использовать.
Цикл 1 для i = A (отделение A)
Шаг 1: Рассчитать fi = (4,0 - 5,2)/(2,3 - 5,2) = 0,414. Убедиться, что значение больше 0 и меньше 1.
Результат = ОК.
Шаг 2: Рассчитать значения Tj:
TA = 5,2 + 0,414·(2,3 - 5,2) = 4,0 °C
TB = -18,3 + 0,414·(-16,8 - (-18,3)) = -17,68 °C
Шаг 3: TA меньше или равно целевому значению 4 °C? Результат: истина
Не все полученные путем интерполяции значения температуры ниже целевой температуры, поэтому нельзя рассчитать энергопотребление методом интерполяции: EA-tar = недопустимое значение.
Конец цикла для i = A
Цикл 2 для i = B (отделение B)
Шаг 1: Рассчитать fi = (-18 - (-18,3))/(-16,8 - (-18,3)) = 0,200. Убедиться, что значение больше 0 и меньше 1.
Результат = ОК.
Шаг 2: Рассчитать значения Tj:
TA = 5,2 + 0,200·(2,3 - 5,2) = 4,62 °C
TB = -18,3 + 0,200·(-16,8 - (-18,3)) = -18,0 °C
Шаг 3: TA меньше или равно целевому значению 4 °C? Результат: ложь
TB меньше или равно целевому значению -18 °C? Результат: истина
Не все полученные путем интерполяции значения температуры ниже целевой температуры, поэтому нельзя рассчитать энергопотребление методом интерполяции: EB-tar = недопустимое значение.
Конец цикла для i = B
Окончательное энергопотребление, полученное методом интерполяции, нельзя определить потому что для
EA-tar и
EB-tar нет допустимых значений. Иллюстрации к этому примеру приведены на рисунках I.5 и
I.6. Необходимо выбрать другую точку испытания.
Рисунок I.5 - Пример интерполяции, когда ни в одной из точек
испытаний оба отделения не имеют температуру ниже целевой
температуры (нет допустимых результатов)
Рисунок I.6 - Пример интерполяции, когда ни в одной из точек
испытаний оба отделения не имеют температуру ниже целевой
температуры (нет допустимых результатов)
I.3.2.4 Несколько отделений
В следующем примере рассматривается случай наличия двух точек испытания в шкафу с 4 отделениями. Данные примера показаны в таблице I.5.
Таблица I.5
Пример линейной интерполяции, данные по испытаниям
для четырех отделений
Проверка допустимости: Температуры всех отделений в обеих точках различаются не более чем на 4 К, и поэтому линейную интерполяцию можно использовать.
Цикл 1 для i = A (отделение A)
Шаг 1: Рассчитать fi = (4,0 - 5,5)/(2,4 - 5,5) = 0,484. Убедиться, что значение больше 0 и меньше 1.
Результат = ОК.
Шаг 2: Рассчитать значения Tj:
TA = 5,5 + 0,484·(2,4 - 5,5) = 4,0 °C
TB = -16,5 + 0,484·(-18,9 - (-16,5)) = -17,66 °C;
Цикл может быть остановлен, т.к. > -18 °C: EA-tar = недопустимое значение.
Когда одно из отделений будет иметь температуру выше целевой для цикла 1, расчеты можно остановить (если они выполняются вручную). На практике все значения будут рассчитаны одновременно в электронной таблице, и действительность каждой точки будет проверяться после этого (см. пример в таблице ниже).
Конец цикла для i = A
Цикл 2 для i = B (отделение B)
Шаг 1: Рассчитать fi = (-18 - (-16,5))/(-18,9 - (-16,5)) = 0,625. Убедиться, что значение больше 0 и меньше 1.
Результат = ОК.
Шаг 2: Рассчитать значения Tj:
TA = 5,5 + 0,625·(2,4 - 5,5) = 3,56 °C
TB = -16,5 + 0,625·(-18,9 - (-16,5)) = -18,0 °C
TC = 1,3 + 0,625·(-2,0 - 1,3) = -0,76 °C
TD = -10,7 + 0,625·(-13,9 - (-10,7)) = -12,7 °C
Шаг 3: TA меньше или равно целевому значению 4 °C? Результат: истина
TB меньше или равно целевому значению -18 °C? Результат: истина
TC меньше или равно целевому значению 0 °C? Результат: истина
TD меньше или равно целевому значению -12 °C? Результат: истина
Все полученные путем интерполяции значения температуры ниже целевой температуры, поэтому энергопотребление можно рассчитать методом интерполяции: EB-tar = 822,1 + 0,625·(935,6 - 822,1) = 893,0 Вт·ч/сут.
Конец цикла для i = B
Цикл 3 для i = C (отделение C)
Шаг 1: Рассчитать fi = (0,0 - 1,3)/(-2,0 - 1,3) = 0,394. Убедиться, что значение больше 0 и меньше 1.
Результат = ОК.
Шаг 2: Рассчитать значения Tj:
TA = 5,5 + 0,394·(2,4 - 5,5) = 4,28 °C; цикл можно остановить, т.к. температура > 4 °C: EC-tar = недопустимое значение.
Конец цикла для i = C
Цикл 4 для i = D (отделение D)
Шаг 1: Рассчитать fi = (-12,0 - (-10,7))/(-13,9 - (-10,7)) = 0,406. Убедиться, что значение больше 0 и меньше 1.
Результат = ОК.
Шаг 2: Рассчитать значения Tj:
TA = 5,5 + 0,406·(2,4 - 5,5) = 4,24 °C; цикл можно остановить, т.к. температура > 4 °C: ED-tar = недопустимое значение.
Конец цикла для i = D
Окончательное энергопотребление, определенное методом интерполяции, Elinear = минимальное значение от EA-tar до ED-tar. Поскольку допустимое значение имеет только EB-tar, оно по определению соответствует значению Elinear (893 Вт·ч/сут).
Интерполяцию выполняют по отделению B и графику снижения Si, результат - 47,29 Вт·ч/сут/К.
Расчеты для этого примера приведены в таблице I.6 и проиллюстрированы на
рисунке I.7.
Таблица I.6
Пример линейной интерполяции, результаты для четырех
отделений
Рисунок I.7 - Пример интерполяции для 4 отделений
При переходе от самого холодного к самому теплому, отделение B (с энергией E2) первым достигнет целевой температуры (а все остальные отделения будут иметь температуру ниже целевой температуры). Данные также можно представить в таблице, полезной при расчете результатов с помощью электронных таблиц. Синий текст означает, что температуры отделений равны целевой температуре или ниже ее, красный текст означает, что они выше целевой температуры. Действительным является только цикл 2 (отделение B с целевой температурой) (столбец 3, энергопотребление зеленым текстом), поскольку все отделения имеют целевую или более низкую температуру.
I.3.3 Два отделения - ручная триангуляция
Для данного примера рассмотрен холодильник-морозильник с двумя отделениями, используемыми для триангуляции. Данные по испытаниям для 3 точек приведены в таблице I.7. В этом примере приведен рабочий пример для формул из
E.4.
Таблица I.7
Пример триангуляции, два отделения
Все три точки испытания лежат в диапазоне +/- 4 К от целевой температуры для каждого отделения, поэтому точки являются действительными. 3 точки испытания окружают точку пересечения целевых температур (как показано на рисунке I.8), и поэтому триангуляцию можно продолжить.
Рисунок I.8 - Пример триангуляции (температуры)
Вначале нужно убедиться, что точка
Q лежит внутри треугольника, образованного точками испытания 1, 2 и 3. Необходимо рассчитать следующие параметры в соответствии с
E.4.2.2
Check1 = [(TB-tar - TB1)·(TA2 - TA1) -
- (TA-tar - TA1)·(TB2 - TB1)]·[(TB-tar - TB2)·(TA3 - TA2) -
- (TA-tar - TA2)·(TB3 - TB2));
Check2 = [(TB-tar - TB2)·(TA3 - TA2) -
- (TA-tar - TA2)·(TB3 - TB2)]·[(TB-tar - TB3)·(TA1 - TA3) -
- (TA-tar - TA3)·(TB1 - TB3)].
Точка Q находится внутри треугольника, образованного точками 1, 2 и 3, если верно следующее неравенство:
ЕСЛИ {[Check1 >= 0] И [Check2 >= 0]} = ИСТИНА (33)
Примечание - Чтобы избежать ошибок, рекомендуется ввести данные формулы в электронную таблицу для постоянного использования. Значение 0 для параметров Check1 или Check2 означает, что точка Q находится непосредственно на одной из сторон треугольника, и что тот же результат можно получить с помощью линейной интерполяции с меньшим количеством данных.
В данном случае Check1 и Check2 дают следующие результаты:
Check1 = [(4 - 6,5)·(-17,5 - (20,7)) -
- (-18 - (20,7))·(0,8 - 6,5)]·[(4 - 0,8)·(-16 - (-17,5)) -
- (-18 - (-17,5))·(7,1 - 0,8)]
Check1 = 58,750 5
Check2 = [(4 - 0,8)·(-16 - (-17,5)) -
- (-18 - (-17,5))·(7,1 - 0,8)]·[(4 - 7,1)·(-20,7 - (-16)) -
- (-18 - (-16))·(6,5 - 7,1)]
Check2 = 106,291 5
Поскольку Check1 и Check2 больше 0, точка Q лежит внутри треугольника, образуемого точками 1, 2 и 3, и триангуляцию с помощью ручной интерполяции или матриц можно продолжить.
Альтернативный подход к проверке нахождения точки Q внутри треугольника (с использованием тех же принципов) описан в
пункте E.4.6. Рассчитать определитель каждой из следующих четырех матриц:
Для проверки D0 = D1 + D2 + D3
28,71 = 7,95 + 13,37 + 7,39 = верно
Если D1 и D2, и D3 имеют тот же знак, что и D0, то точка Q находится внутри треугольника (верно).
Ниже приведены уравнения для определения значений для ручной интерполяции.
Рассчитать температуру в отделении A в точке 4, лежащей на пересечении линии, проходящей через точку 2 и точку Q (целевая), и линии, проходящей через точку 1 и точку 3.

; (34)

.
На
рисунке I.8 четко показано, что точка
Q лежит внутри треугольника, образованного точками испытания с 1 по 3.
Формула (33) выше также подтверждает, что точка
Q лежит внутри треугольника, образованного точками с 1 по 3. Дополнительную проверку можно выполнить следующим образом:
TA4 < TA-tar < TA2 или
TA4 > TA-tar > TA2 и
TA1 < TA4 < TA3 или
TA1 > TA4 > TA3
В этом примере выполнено первое условие для каждого:
-18,435 8 °C < -18 °C < -17,5 °C и
-20,7 °C < -18,435 8 °C < -16,0 °C
При наличии сомнений относительно нахождения точки
Q внутри треугольника (например, рядом с одной из сторон треугольника), действительность подтверждается посредством математической оценки в соответствии с
формулой (33).
Рисунок I.9 - Пример триангуляции (температура
и энергопотребление)
Определенное методом интерполяции значения энергопотребления в точке 4 между точками испытаний 1 и 3 определяют следующим образом (используют температуры отделения A)

, (35)

.
Рассчитанное значение энергопотребления при целевой температуре (точка Q) с использованием данных энергопотребления и температуры в точке 4 и точке испытаний 2 определяют следующим образом (используются температуры отделения A):

, (36)

.
EAB-tar - энергопотребление, определенное с использованием триангуляции данных по отделениям A и B. Показано на
рисунке I.9. Результаты выше для
TA4,
E4 и
EAB-tar обычно рассчитывают без округления. Если в уравнениях в настоящем стандарте использовать показанные выше округленные значения, возможны небольшие расхождения. По возможности для всех расчетов следует использовать значения без округления. Расчеты обычно проводят в электронных таблицах и других математических инструментах.
I.3.4 Два отделения - триангуляция с использованием матриц
Для этого примера мы рассмотрим тот же самый холодильник-морозильник с двумя отделениями, используемыми для триангуляции, что и в предыдущем примере. Использование
формулы (33) уже подтвердило, что 3 точки испытания окружают точку
Q. При использовании матриц значение точки 4 рассчитывать не нужно.
Основной принцип использования матриц для триангуляции по двум отделениям заключается в том, что мы предполагаем, что у нас имеется система из 3 уравнений, описывающих 3 точки испытания:
E0 + A·TA1 + B·TB1 = E1
E0 + A·TA2 + B·TB2 = E2
E0 + A·TA3 + B·TB3 = E3
В этом примере уравнения выглядят так:
E0 + A·(-20,7) + B·6,5 = 1390
E0 + A·(-17,5) + B·0,8 = 1310
E0 + A·(-16,0) + B·7,1 = 1120
Значение E0 с концептуальной точки зрения представляет собой энергопотребление холодильного прибора при заданной наружной температуре испытания, когда температура обоих отделений равняется 0 °C (чего невозможно достичь на практике).
Эти уравнения можно организовать в виде матриц, как показано ниже:
[M33]·[C31] = [E31], (37)
где [M33] - матрица 3 x 3 значений 1 (константа), TA и TB для каждой точки испытания;
[C31] - матрица 3 x 1 значений E0, A, B и C (константы, которые требуется найти);
[E31] - матрица 3 x 1 значений E1, E2 и E3

.
Для определения неизвестных констант в матрице [C31] нужно найти решение для умножения внутри матрицы [M33]-1·[E31].
В этом примере [M33]-1 равняется:

.
Умножение матрицы [M33]-1·[E31] позволяет получить следующую матрицу для E0, A и B:

.
С помощью констант, определенных по матрице [C31], можно точно оценить энергопотребление для любого сочетания температур отделений, используя следующее уравнение
EAB = 356,2522 - 55,2769·TA - 16,9976·TB.
Энергопотребление при целевой температуре в отделении A = -18,0 и в отделении B = +4,0 определяется по формуле
EAB-tar = 356,2522 - 55,2769·(-18,0) - 16,9976·4,0 =
= 1 283,246 Вт·ч/сут.
Примечание - С помощью матриц получается точно такой же результат, что и с помощью ручной интерполяции, описанной в
предыдущем подпункте. В примерах, приведенных в этом и предыдущем подпунктах, возможны ошибки в последней значимой цифре до округления. Этого не произойдет, если для расчета результатов без округления будут использоваться электронные таблицы.
На основе этих параметров можно легко рассчитать воздействие изменения температур отделений на энергопотребление.
Для отделения A (морозильное отделение) изменение энергопотребления при повышении температуры отделения на 1 К определяют по формуле

,
т.е. при повышении температуры морозильного отделения на 1 К энергопотребление снизится на 4,31% (для постоянной температуры отделения для свежих продуктов).
Аналогичным образом, для отделения B (отделение для хранения свежих пищевых продуктов) изменение энергопотребления при повышении температуры отделения на 1 К вычисляют по формуле

,
т.е. при повышении температуры отделения для хранения свежих пищевых продуктов на 1 К энергопотребление снизится на 1,32% (для постоянной температуры морозильного отделения).
I.3.5 Три отделения - триангуляция с использованием матриц
Для этого рабочего примера мы рассмотрим холодильник-морозильник с тремя отделениями и четырьмя точками триангуляции, как показано в таблице I.8.
Таблица I.8
Пример триангуляции, три отделения
Вначале мы убедимся, что точка Q лежит внутри тетраэдра, образованного четырьмя точками испытания. Рассчитать определитель каждой из следующих пяти матриц:
Для проверки D0 = D1 + D2 + D3 + D4
-11,898 = -3,190 - 3,022 - 4,075 - 1,611 = верно.
Если D1 и D2, и D3, и D4 имеют тот же знак, что и D0, то точка Q находится внутри тетраэдра (верно).
Как и в предыдущем примере, данные можно организовать в матрицы следующим образом:
[M44]·[C41] = [E41], (39)
где [M44] - матрица 4 x 4 значений из 1 (константа), TA, TB и TC для каждой точки испытания;
[C41] - матрица 4 x 1 значений из E0, A, B и C (константы, которые требуется найти);
[E41] - матрица 4 x 1 значений E1, E2, E3 и E4.

.
Для определения неизвестных констант в матрице [C41] нужно найти решение для умножения внутри матрицы [M44]-1·[E41].
В этом примере [M44]-1 равно

.
Умножение матрицы [M44]-1·[E41] позволяет получить следующую матрицу для E0, A, B и C

.
С помощью констант, определенных по матрице [C41], можно точно оценить энергопотребление для любого сочетания температур отделений, используя следующее уравнение
EABC = 583,8452 - 26,4666·TA - 8,23668·TB - 11,9432·TC.
Энергопотребление при целевой температуре в отделении A = -18,0, в отделении B = +4,0 и в отделении C = -12,0 определяется по формуле:
EABC-tar = 583,8452 - 26,4666·(-18) - 8,23668·(+4) -
- 11,9432·(-12) Вт·ч/сут = 1 170,616 Вт·ч/сут.
На основе этих параметров можно легко рассчитать воздействие изменения температур отделений на энергопотребление.
Для отделения A увеличение температуры отделения на 1 К приведет к снижению энергопотребления на 26,4666 Вт·ч/сут (эквивалентно уменьшению энергопотребления на 1,10 Вт или 2,26% на каждый градус Кельвина).
Для отделения B увеличение температуры отделения на 1 К приведет к снижению энергопотребления на 8,23668 Вт·ч/сут (эквивалентно уменьшению энергопотребления на 0,343 Вт или 0,70% на каждый градус Кельвина).
Для отделения C увеличение температуры отделения на 1 К приведет к снижению энергопотребления на 11,9432 Вт·ч/сут (эквивалентно уменьшению энергопотребления на 0,498 Вт или 1,02% на каждый градус Кельвина).
I.4 Расчет воздействия изменений внутренней температуры на энергопотребление
I.4.1 Общие положения
Часто бывает полезно рассчитать воздействие на энергопотребление изменений внутренней температуры отделений в результате изменения пользователем настроек устройства управления температурой. Расчет этих значений позволяет определить воздействие пользовательских изменений настроек устройства управления температурой для разных пользователей и полезен для анализа данных, собранных в полевых условиях.
Анализ ряда холодильников-морозильников, испытанных при наружной температуре 32 °C, показал, что воздействие температуры морозильного отделения обычно заключалось в увеличении энергопотребления на величину от 2% до 5% при уменьшении температуры отделения на градус Кельвина, а воздействие температуры отделения для свежих продуктов обычно заключалось в увеличении энергопотребления на величину от 1% до 3% на градус Кельвина. Эти значения могут различаться для разных моделей.
Хотя такие расчеты полезны и рекомендованы, настоящий стандарт их не требует.
Примечание - При расчете воздействия изменения внутренней температуры на энергопотребление нужно уделять особое внимание случаям, когда основание треугольника меньше 2К, а высота треугольника меньше 1К. Небольшие или плоские треугольники могут не давать точную оценку воздействия для отделения для приборов с двумя регулируемыми пользователем устройствами управления температурой.
I.4.2 Одно отделение
Если для расчета энергопотребления холодильного прибора только с одним отделением используется интерполяция по двум точкам с одним элементом управления, изменение температуры, К, можно легко рассчитать.
и

,
где Etarget - энергопотребление при целевой температуре, определенное методом линейной интерполяции по точкам испытания 1 и 2;
E1 - измеренное значение энергопотребления в точке испытания 1 для настройки устройства управления температурой 1;
E2 - измеренное значение энергопотребления в точке испытания 2 для настройки устройства управления температурой;
T1 - измеренное значение температуры в точке испытания 1 для настройки устройства управления температурой 1;
T2 - измеренное значение температуры в точке испытания 2 для настройки устройства управления температурой 2;
Ttar - целевая температура для типа отделения в соответствии с
таблицей 1;

- изменение энергопотребления, %, от целевого энергопотребления на каждый градус Кельвина для отделения.
Примечание - Значение

обычно отрицательное, т.е. увеличение температуры обычно соответствует снижению энергопотребления.
Использование примера с одним отделением из
I.3.2.2.
EDaily1 = 789 Вт·ч/сут T1 = -19,6 °C
EDaily2 = 668 Вт·ч/сут
T2 = -17,1 °C.
Целевая температура морозильника: -18,0 °C

,
поэтому

,
или увеличение энергопотребления на 6,8% при увеличении внутренней температуры на один градус Кельвина.
Если температуры в двух отделениях регулируются одним устройством контроля, расчет

проводят для каждого отделения с использованием целевого энергопотребления критического отделения, как указано в
E.3. Поскольку изменять температуры отделений по отдельности может быть невозможно, значения для обоих отделений следует указывать вместе.
При наличии двух регулируемых пользователем устройств управления температурой (при изменении настроек только одного или обоих) для получения двух точек испытания расчеты не позволят получить корректное представление воздействия температуры на энергопотребление в обоих отделениях. Это можно будет сделать только с помощью триангуляции (3 точки испытания для 2 отделений).
I.4.3 Триангуляция
Если триангуляция проводится в соответствии с
E.4, точки испытания можно использовать для определения другой полезной характеристики холодильного прибора, а именно изменения энергопотребления при изменении температуры каждого отделения на один градус (при наличии двух отделений и изменении двух настроек). Наиболее надежно это можно сделать, когда треугольник, окружающий точку
Q, распределен по обоим отделениям (например, ближе к равностороннему треугольнику, чем к плоскому треугольнику).
Для расчета этих параметров используются те же уравнения, что и в
E.4, но при этом откорректированную целевую температуру применяют отдельно для каждого отделения. Для целей анализа не очень важно, находится ли точка
Q для откорректированной целевой температуры строго внутри треугольника точек испытания, или нет, если данные не используются в качестве основы для важного заявления.
Если для интерполяции используют матрицы (как указано в
E.4.4), то производные коэффициенты
A и
B фактически являются параметрами

И

для отделений A и B (т.е. изменение энергопотребления при изменении температуры каждого отделения на градус), как указано в примерах в
пункте I.3.3. Это самый простой подход. Также воздействие можно рассчитать вручную, как показано ниже.
Для холодильника-морозильника с двумя регулируемыми пользователем устройствами управления температурой рекомендуется следующий подход:
- определить энергопотребление в точке Q для заданных целевых температур +4 °C и -18 °C (E4,-18);
- определить энергопотребление при температурах +4 °C и -19 °C (E4,-19);
- определить энергопотребление при температурах +3 °C и -18 °C (E3,-18).
Примечание - Эти расчеты можно произвести для любых двух отделений A и B. В качестве примера приведены отделение для хранения свежих пищевых продуктов и морозильное отделение.
Затем можно рассчитать реакцию температуры на изменения внутренней температуры

,
где

- изменение энергопотребления при повышении температуры в морозильном отделении на градус Кельвина, выраженное как % от целевого энергопотребления в точке
Q;
E4,-18 - энергопотребление, рассчитанное методом интерполяции для температур +4 °C и -18 °C;
E4,-19 - энергопотребление, рассчитанное методом интерполяции для температур +4 °C и -19 °C.
Затем можно рассчитать реакцию температуры на изменения внутренней температуры

,
где

- изменение энергопотребления при повышении температуры в отделении для хранения свежих пищевых продуктов на градус Кельвина, выраженное как % от целевого энергопотребления в точке
Q;
E4,-18 - энергопотребление, рассчитанное методом интерполяции для температур +4 °C и -18 °C;
E3,-18 - энергопотребление, рассчитанное методом интерполяции для температур +3 °C и -18 °C.
Примечание - Значение

обычно отрицательное, т.е. увеличение температуры обычно соответствует снижению энергопотребления.
Изменение энергопотребления при изменении внутренней температуры (по отношению к целевой температуре) можно рассчитать аналогичным образом для всех требуемых отделений с регулируемыми пользователем устройствами управления температурой.
I.5 Автоматически регулируемые противоконденсатные нагреватели
Согласно требованиям к маркировке энергетической эффективности используют только три температуры: 16 °C, 22 °C и 32 °C. Расчеты должны быть основаны на температуре помещения 16 °C в течение 30% времени, 22 °C в течение 60% времени и 32 °C в течение 10% времени. Региональная вероятность разных уровней относительной влажности должна соответствовать содержанию трех столбцов "Константа вероятности" в
таблице I.9.
В холодильнике-морозильнике установлены противоконденсатные нагреватели с автоматическим управлением. Средняя мощность нагревателей для этой конкретной модели (при целевых температурах отделения) при разных уровнях влажности и трех окружающих температурах указана в столбцах "Средняя мощность нагревателя" в таблице I.9.
Таблица I.9
Пример вероятной влажности и мощности нагревателя,
взвешенных по заполнению, при температурах
16 °C, 22 °C и 32 °C
Для каждой окружающей температуры

. (40)
Следует отметить, что эти значения взвешиваются по предлагаемому времени нахождения в каждом состоянии - предполагают, что 30% времени будет температура 16 °C, 60% - 22 °C, а 10% - 32 °C.
Среднегодовая взвешенная мощность, Wheaters = 2,4158·1,3 Вт = 3,14054 Вт.
Коэффициент системных потерь (1,3) учитывает дополнительное энергопотребление для удаления энергии нагревателя, попадающей в холодильный прибор.
Годовое энергопотребление вспомогательного устройства вычисляют следующим образом:
Eaux = 3,14054 Вт·24 ч/сут·365 д/г·0,001 кВт/Вт =
= 27,511 кВт·ч/год.
Это значение должно быть прибавлено к годовому значению энергопотребления, если нагреватель не работает во время испытаний энергопотребления.
Примечание - Значения энергопотребления первоначально рассчитываются на ежедневной основе согласно
6.8.2, поэтому при сложении значений энергопотребления необходимо внимательно следить за единицами измерения.
I.6 Расчет эффективности обработки загрузки
Прибор подвергают испытаниям эффективности обработки загрузки в соответствии с
приложением G настоящего стандарта.
Прибор имеет следующие характеристики:
- объем отделения для свежих продуктов: 300 л, т.е. водная загрузка = 3 600 г (12 г/л);
- объем морозильного отделения: 120 л, т.е. водная нагрузка = 480 г (4 г/л).
Размороженная нагрузка в 3 600 г состоит из 6 бутылок ПЭТ с 500 г. воды и 2 бутылок ПЭТ с 300 г воды. Они размещены следующим образом:
- 1 000 г на уровне TMP1;
- 1 300 г на уровне TMP2;
- 1300 г на уровне TMP3.
Замороженная загрузка в 480 г состоит из одной формы для льда с 200 г воды и двух форм для льда с 140 г воды.
Воду оставляют в помещении для испытаний на 20 ч перед испытанием. Средняя температура в помещении для испытаний в течение 6 ч до начала испытания составляет 32,1 °C.
Во время испытания были получены следующие данные:
стабильное состояние до добавления загрузки: +3,7 °C, -18,5 °C, 45,2 Вт (три блока в соответствии с
B.3);
стабильное состояние после завершения обработки загрузки: +3,5 °C, -18,4 °C, 46,3 Вт (три блока в соответствии с
пунктом B.3). Температуры в отделении для хранения свежих пищевых продуктов составляют
T1 = +4,8 °C,
T2 = +3,4 °C,
T3 = +2,3 °C согласно измерениям, на позициях датчиков TMP
1, TMP
2 и TMP
3 соответственно.
Сравнение условий стабильного состояния до и после испытания эффективности обработки загрузки показывает, что разброс температуры составляет менее 1 К в обоих отделениях (0,2 К и 0,1 К соответственно), а разброс мощности составляет менее 2 Вт и 5% (1,1 Вт и 2,4% соответственно), поэтому данные являются приемлемыми (см.
пункт G.4.4). Температуры обоих отделений лежат в пределах 1 К от соответствующих целевых температур.
Формулы для расчета исходного энергопотребления приведены в
приложении G.

. (48)
Для этого примера используют данные:

, (49)

,
Einput-test = Eunfrozen-test + Efrozen-test, (50)
Einput-test = 120,17 + 67,43 = 187,60 Вт·ч.
Во время испытания были записаны следующие данные:
Estart 403,8 Вт·ч
Eend 1910,5 Вт·ч
Pafter 46,3 Вт
tstart 46,2 ч
tend 72,1 ч
z = 1 разморозка в течение периода испытаний

, (51)

,

, (52)

.
Затем вычисляют номинальную нагрузку, прибавляемую для испытания эффективности обработки загрузки Einput-nominal:

, (53)

,
Eunfrozen-nominal = 117,21 Вт·ч,

, (54)

,
Efrozen-nominal = 67,26 Вт·ч,
Einput-nominal = Eunfrozen-nominal + Efrozen-nominal, (55)
Einput-nominal = 117,21 + 67,26 = 184,47 Вт·ч
при окружающей температуре 32 °C.
Воздействие известной дневной загрузки в 155 Вт·ч на дневное энергопотребление при наружной температуре 32 °C можно рассчитать следующим образом:

, (56)

.
Приведенное в этом примере значение 155 Вт·ч/сут - это региональный коэффициент, предназначенный для отражения пользовательских тепловых нагрузок, который может быть фиксированным для всех холодильных приборов или зависеть от размера и типа устройства.
Также номинальное воздействие на дневное энергопотребление, полученное в испытании эффективности обработки загрузки, можно масштабировать для эквивалентной окружающей температуры 32 °C следующим образом:

, (57)

.
Значение a = 0,9 в этом примере представляет собой региональный коэффициент, отражающий пользовательские тепловые загрузки. Обычно это значение, фиксированное для всех холодильных приборов аналогичного типа (т.к. Einput-nominal - функция объема устройства), но оно может изменяться в зависимости от типа прибора (например, для морозильных камер может ожидаться меньше пользовательских действий и загрузки, чем для холодильников с морозильным отделением).
I.7 Определение годового энергопотребления
Прибор был подвергнут испытаниям энергопотребления в соответствии с настоящим стандартом. Определено дневное энергопотребление при температурах 16 °C и 32 °C.
Можно использовать несколько возможных подходов к определению годового энергопотребления. Один из этих подходов заключается в использовании результатов обеих окружающих температур испытания с региональным коэффициентом для определения эквивалентного количества дней в году в каждых условиях эксплуатации с целью получения типового значения годового энергопотребления. В примере ниже показано, как компоненты из этого стандарта можно использовать так, чтобы получить оценку энергопотребления для конкретного региона. Это лишь один из возможных примеров, можно разработать и применить множество других конкретных подходов.
Рассмотрим следующий холодильный прибор:
E16C = 597 Вт·ч/сут при целевой температуре (триангуляция);
E32C = 1230 Вт·ч/сут при целевой температуре (триангуляция).
Прибор содержит антиконденсационную систему с наружным управлением, описанную в предыдущем
пункте (I.5), с годовым энергопотреблением 27,511 кВт·ч/год.
Измеренная эффективность обработки загрузки для окружающей температуры 16 °C составляет 1,47 Вт·ч/Вт·ч.
Измеренная эффективность обработки загрузки для окружающей температуры 32 °C составляет 1,15 Вт·ч/Вт·ч.
Дневная региональная загрузка для более прохладных условий составляет 135 Вт·ч/сут (наружная температура 16 °C).
Дневная региональная загрузка для более теплых условий составляет 390 Вт·ч/сут (наружная температура 32 °C).
Региональные эквивалентные рабочие коэффициенты для холодильного прибора:
Количество дней в году при наружной температуре 16 °C, эквивалент 170 дней (Day16). Количество дней в году при наружной температуре 32 °C, эквивалент 195 дней (Day32).
Day16 + Day32 = 365.
Региональная функция годового энергопотребления при 16 °C и 32 °C приведена ниже:

, (59)

,
Etotal = (170·597/1 000) + (195·1 230/1 000) +
+ (27,511) + (170·135/1,47/1 000 + 195·390/1,15/1 000),
Etotal = 101,49 + 239,85 + 27,511 + 15,6122 + 66,1304,
Etotal = 450,594 кВт·ч/год.
Примечание - Коэффициент 1000 в настоящем уравнении служит для конвертации Вт·ч/сут в кВт·ч/сут. Необходимо следить за соответствием всех единиц измерения.
I.8 Примеры определения мощности и температуры из исходных данных
I.8.1 Руководство по рассмотрению данных
На рисунке I.10 приведен пример данных, полученных из испытаний холодильника-морозильника на энергопотребление. Рисунок иллюстрирует данные об энергопотреблении и температуре в отделении для хранения свежих пищевых продуктов и в низкотемпературном отделении, которые регистрировались каждую минуту. Прибор работал в установившемся режиме, а затем - в режиме размораживания и восстановления. Следующие шаги показывают, как эти данные должны быть проанализированы в соответствии с подходом SS1, описанным в
приложении B, для определения ключевых характеристик прибора в соответствии с настоящим стандартом. Последующие примеры для подхода SS2 и расчеты для определения мощности при размораживании и восстановлении и температурных изменений используют тот же набор данных.
Рисунок I.10 - Пример данных по мощности и температуре
Шаг 1: Выбрать циклы управления температурой из необработанных данных (не приводятся в этом примере). В этом примере каждый цикл управления температурой берется от операции включения компрессора до следующей операции включения компрессора (прибор относительно простой, и такой способ обеспечивает самые надежные и стабильные циклы управления температурой). В этом примере цикл управления температурой 18 представляет собой краткосрочный запуск компрессора перед включением нагревателя для размораживания (цикл управления температурой 19). Период восстановления температуры - это цикл управления температурой 20.
Шаг 2: Рассчитать среднюю температуру в каждом отделении, энергопотребление и среднюю мощность для каждого цикла управления температурой (ЦКТ) на основе необработанных данных. Необработанные данные, показанные на
рисунке I.10, были использованы для определения значений для каждого ЦКТ, приведенных в формате таблицы в
таблице I.10. Эти данные для каждого ЦКТ используются в качестве основы для последующих типовых расчетов в настоящем примере.
Шаг 3. Выбрать число исследуемых циклов управления температурой на блок (см.
B.3.1). В этом примере 3 цикла управления температурой в каждом блоке (A, B, C) выбраны в качестве первого примера, потому что каждый цикл управления температурой имеет длительность менее 1 ч, и минимальный разрешенный размер блока данных испытаний составляет не менее 2 ч для каждого блока (т.е. при размере блока менее трех ЦКТ нельзя получить действительные данные). Образец данных для каждого возможного блока (от 1 до 56) приведен в
таблице I.11.
Шаг 4: Затем из этих блоков составляются возможные периоды испытания, состоящие из последовательных блоков данных. Пример всех возможных периодов испытания с использованием размера блока в 3 цикла управления температурой приведен в
таблице I.12. Первый период испытания состоит из блока A (блок 1, использующий ЦКТ с 1 по 3), блока B (блок 4, использующий ЦКТ с 4 по 6) и блока C (блок 7, использующий ЦКТ с 7 по 9). Второй период испытания состоит из блока A (блок 2, использующий ЦКТ с 2 по 4), блока B (блок 5, использующий ЦКТ с 5 по 7) и блока C (блок 8, использующий ЦКТ с 8 по 10). Всего в
таблице I.12 указано 36 возможных периодов испытания, использующих этот подход. Затем можно рассчитать характеристики для каждого выбранного периода испытания и проверить требования к доступности блоков данных (разброс температур, снижение температуры, разброс мощности и снижение мощности от блока A до блока C), как указано в
B.3.1.
Таблица I.10
Пример расчета энергопотребления, мощности и температуры
для каждого цикла управления температурой (ЦКТ)
Количество ЦКТ | Длительность ЦКТ, чч:мм:сс | Совокупное время в начале ЦКТ, ч | Энергопотребление во время ЦКТ, Вт·ч | Средняя мощность, Вт | Средняя температура размораживания, °C | Средняя температура замораживания, °C | Замечание |
1 | 0:50:00 | 0,000 | 38,625 | 46,350 | 3,741 | -18,956 | |
2 | 0:50:00 | 0,833 | 38,250 | 45,900 | 3,765 | -18,920 |
3 | 0:50:00 | 1,667 | 39,000 | 46,800 | 3,760 | -18,919 |
4 | 0:49:00 | 2,500 | 36,250 | 44,388 | 3,766 | -18,932 |
5 | 0:50:00 | 3,317 | 38,375 | 46,050 | 3,793 | -18,876 |
6 | 0:50:00 | 4,150 | 38,750 | 46,500 | 3,805 | -18,900 |
7 | 0:50:00 | 4,983 | 38,250 | 45,900 | 3,775 | -18,940 |
8 | 0:50:00 | 5,817 | 38,250 | 45,900 | 3,772 | -18,894 |
9 | 0:50:00 | 6,650 | 37,875 | 45,450 | 3,747 | -18,900 |
10 | 0:50:00 | 7,483 | 38,125 | 45,750 | 3,767 | -18,902 |
11 | 0:50:00 | 8,317 | 38,375 | 46,050 | 3,759 | -18,931 |
12 | 0:50:00 | 9,150 | 38,000 | 45,600 | 3,750 | -18,941 |
13 | 0:50:00 | 9,983 | 38,000 | 45,600 | 3,755 | -18,928 |
14 | 0:50:00 | 10,817 | 38,000 | 45,600 | 3,775 | -18,927 |
15 | 0:50:00 | 11,650 | 38,375 | 46,050 | 3,773 | -18,912 |
16 | 0:50:00 | 12,483 | 38,000 | 45,600 | 3,744 | -18,922 |
17 | 0:50:00 | 13,317 | 38,000 | 45,600 | 3,771 | -18,924 |
18 | 0:16:00 | 14,150 | 29,625 | 111,094 | 4,288 | -17,509 | Предварительное охлаждение Размораживание Восстановление |
19 | 0:26:00 | 14,417 | 47,500 | 109,615 | 4,179 | -15,294 |
20 | 1:01:00 | 14,850 | 74,750 | 73,525 | 4,757 | -14,996 |
21 | 0:50:00 | 15,867 | 41,000 | 49,200 | 4,019 | -18,817 |
22 | 0:50:00 | 16,700 | 38,750 | 46,500 | 3,819 | -18,973 |
23 | 0:50:00 | 17,533 | 38,875 | 46,650 | 3,784 | -18,977 |
24 | 0:50:00 | 18,367 | 38,000 | 45,600 | 3,755 | -18,970 |
25 | 0:50:00 | 19,200 | 38,250 | 45,900 | 3,739 | -18,956 |
26 | 0:51:00 | 20,033 | 40,250 | 47,353 | 3,724 | -18,954 |
27 | 0:50:00 | 20,883 | 38,250 | 45,900 | 3,709 | -18,995 |
28 | 0:50:00 | 21,717 | 38,250 | 45,900 | 3,699 | -19,006 |
29 | 0:50:00 | 22,550 | 38,625 | 46,350 | 3,693 | -19,034 |
30 | 0:50:00 | 23,383 | 38,000 | 45,600 | 3,681 | -19,049 |
31 | 0:50:00 | 24,217 | 38,500 | 46,200 | 3,705 | -19,016 |
32 | 0:50:00 | 25,050 | 38,375 | 46,050 | 3,703 | -19,041 |
33 | 0:50:00 | 25,883 | 38,750 | 46,500 | 3,717 | -19,041 |
34 | 0:50:00 | 26,717 | 38,500 | 46,200 | 3,723 | -19,033 |
35 | 0:50:00 | 27,550 | 38,500 | 46,200 | 3,730 | -19,006 |
36 | 0:49:00 | 28,383 | 36,500 | 44,694 | 3,704 | -19,057 |
37 | 0:51:00 | 29,200 | 40,250 | 47,353 | 3,760 | -18,931 |
38 | 0:50:00 | 30,050 | 38,375 | 46,050 | 3,730 | -19,031 | |
39 | 0:50:00 | 30,883 | 38,500 | 46,200 | 3,719 | -19,079 |
40 | 0:50:00 | 31,717 | 38,500 | 46,200 | 3,706 | -19,061 |
41 | 0:50:00 | 32,550 | 38,500 | 46,200 | 3,703 | -19,069 |
42 | 0:50:00 | 33,383 | 38,750 | 46,500 | 3,703 | -19,067 |
43 | 0:50:00 | 34,217 | 38,125 | 45,750 | 3,682 | -19,084 |
44 | 0:50:00 | 35,050 | 38,375 | 46,050 | 3,690 | -19,062 |
45 | 0:50:00 | 35,883 | 38,000 | 45,600 | 3,685 | -19,096 |
46 | 0:50:00 | 36,717 | 38,250 | 45,900 | 3,691 | -19,110 |
47 | 0:50:00 | 37,550 | 38,000 | 45,600 | 3,668 | -19,138 |
48 | 0:50:00 | 38,383 | 38,000 | 45,600 | 3,693 | -19,073 |
49 | 0:51:00 | 39,217 | 40,375 | 47,500 | 3,708 | -19,039 |
50 | 0:50:00 | 40,067 | 38,000 | 45,600 | 3,683 | -19,095 |
51 | 0:16:00 | 40,900 | 29,625 | 111,094 | 4,142 | -17,758 |
52 | 0:27:00 | 41,167 | 50,500 | 112,222 | 4,232 | -14,685 |
53 | 1:02:00 | 41,617 | 76,000 | 73,548 | 4,767 | -15,220 |
54 | 0:50:00 | 42,650 | 42,125 | 50,550 | 4,001 | -18,885 |
55 | 0:49:00 | 43,483 | 37,875 | 46,378 | 3,735 | -19,146 |
56 | 0:50:00 | 44,300 | 39,250 | 47,100 | 3,673 | -19,108 |
57 | 0:49:00 | 45,133 | 37,250 | 45,612 | 3,639 | -19,162 |
58 | 0:50:00 | 45,950 | 39,500 | 47,400 | 3,661 | -19,116 |
Таблица I.11
Пример расчета энергопотребления, мощности и температуры
для всех возможных блоков (размер блока = 3 ЦКТ)
Блок | Начало ЦКТ | Конец ЦКТ | Длительность блока, чч:мм:сс | Энергопотребление блока, Вт·ч | Средняя мощность, Вт | Средняя температура размораживания, °C | Средняя температура замораживания, °C |
1 | 1 | 3 | 2:30:00 | 115,875 | 46,350 | 3,756 | -18,932 |
2 | 2 | 4 | 2:29:00 | 113,500 | 45,705 | 3,764 | -18,924 |
3 | 3 | 5 | 2:29:00 | 113,625 | 45,755 | 3,773 | -18,909 |
4 | 4 | 6 | 2:29:00 | 113,375 | 45,654 | 3,788 | -18,903 |
5 | 5 | 7 | 2:30:00 | 115,375 | 46,150 | 3,791 | -18,905 |
6 | 6 | 8 | 2:30:00 | 115,250 | 46,100 | 3,784 | -18,911 |
7 | 7 | 9 | 2:30:00 | 114,375 | 45,750 | 3,765 | -18,911 |
8 | 8 | 10 | 2:30:00 | 114,250 | 45,700 | 3,762 | -18,899 |
9 | 9 | 11 | 2:30:00 | 114,375 | 45,750 | 3,758 | -18,911 |
10 | 10 | 12 | 2:30:00 | 114,500 | 45,800 | 3,759 | -18,925 |
11 | 11 | 13 | 2:30:00 | 114,375 | 45,750 | 3,754 | -18,933 |
12 | 12 | 14 | 2:30:00 | 114,000 | 45,600 | 3,760 | -18,932 |
13 | 13 | 15 | 2:30:00 | 114,375 | 45,750 | 3,767 | -18,922 |
14 | 14 | 16 | 2:30:00 | 114,375 | 45,750 | 3,764 | -18,920 |
15 | 15 | 17 | 2:30:00 | 114,375 | 45,750 | 3,762 | -18,919 |
16 | 16 | 18 | 1:56:00 | 105,625 | 54,634 | 3,830 | -18,728 |
17 | 17 | 19 | 1:32:00 | 115,125 | 75,082 | 3,976 | -17,652 |
18 | 18 | 20 | 1:43:00 | 151,875 | 88,471 | 4,538 | -15,462 |
19 | 19 | 21 | 2:17:00 | 163,250 | 71,496 | 4,378 | -16,447 |
20 | 20 | 22 | 2:41:00 | 154,500 | 57,578 | 4,236 | -17,418 |
21 | 21 | 23 | 2:30:00 | 118,625 | 47,450 | 3,874 | -18,923 |
22 | 22 | 24 | 2:30:00 | 115,625 | 46,250 | 3,786 | -18,973 |
23 | 23 | 25 | 2:30:00 | 115,125 | 46,050 | 3,759 | -18,968 |
24 | 24 | 26 | 2:31:00 | 116,500 | 46,291 | 3,739 | -18,960 |
25 | 25 | 27 | 2:31:00 | 116,750 | 46,391 | 3,724 | -18,968 |
26 | 26 | 28 | 2:31:00 | 116,750 | 46,391 | 3,711 | -18,985 |
27 | 27 | 29 | 2:30:00 | 115,125 | 46,050 | 3,700 | -19,011 |
28 | 28 | 30 | 2:30:00 | 114,875 | 45,950 | 3,691 | -19,030 |
29 | 29 | 31 | 2:30:00 | 115,125 | 46,050 | 3,693 | -19,033 |
30 | 30 | 32 | 2:30:00 | 114,875 | 45,950 | 3,696 | -19,036 |
31 | 31 | 33 | 2:30:00 | 115,625 | 46,250 | 3,708 | -19,033 |
32 | 32 | 34 | 2:30:00 | 115,625 | 46,250 | 3,714 | -19,038 |
33 | 33 | 35 | 2:30:00 | 115,750 | 46,300 | 3,724 | -19,027 |
34 | 34 | 36 | 2:29:00 | 113,500 | 45,705 | 3,719 | -19,032 |
35 | 35 | 37 | 2:30:00 | 115,250 | 46,100 | 3,732 | -18,997 |
36 | 36 | 38 | 2:30:00 | 115,125 | 46,050 | 3,732 | -19,005 |
37 | 37 | 39 | 2:31:00 | 117,125 | 46,540 | 3,737 | -19,013 |
38 | 38 | 40 | 2:30:00 | 115,375 | 46,150 | 3,718 | -19,057 |
39 | 39 | 41 | 2:30:00 | 115,500 | 46,200 | 3,709 | -19,070 |
40 | 40 | 42 | 2:30:00 | 115,750 | 46,300 | 3,704 | -19,066 |
41 | 41 | 43 | 2:30:00 | 115,375 | 46,150 | 3,696 | -19,073 |
42 | 42 | 44 | 2:30:00 | 115,250 | 46,100 | 3,692 | -19,071 |
43 | 43 | 45 | 2:30:00 | 114,500 | 45,800 | 3,686 | -19,081 |
44 | 44 | 46 | 2:30:00 | 114,625 | 45,850 | 3,689 | -19,089 |
45 | 45 | 47 | 2:30:00 | 114,250 | 45,700 | 3,681 | -19,115 |
46 | 46 | 48 | 2:30:00 | 114,250 | 45,700 | 3,684 | -19,107 |
47 | 47 | 49 | 2:31:00 | 116,375 | 46,242 | 3,690 | -19,083 |
48 | 48 | 50 | 2:31:00 | 116,375 | 46,242 | 3,695 | -19,069 |
49 | 49 | 51 | 1:57:00 | 108,000 | 55,385 | 3,756 | -18,888 |
50 | 50 | 52 | 1:33:00 | 118,125 | 76,210 | 3,921 | -17,585 |
51 | 51 | 53 | 1:45:00 | 156,125 | 89,214 | 4,534 | -15,469 |
52 | 52 | 54 | 2:19:00 | 168,625 | 72,788 | 4,387 | -16,435 |
53 | 53 | 55 | 2:41:00 | 156,000 | 58,137 | 4,215 | -17,553 |
54 | 54 | 56 | 2:29:00 | 119,250 | 48,020 | 3,804 | -19,046 |
55 | 55 | 57 | 2:28:00 | 114,375 | 46,368 | 3,683 | -19,139 |
56 | 56 | 58 | 2:29:00 | 116,000 | 46,711 | 3,658 | -19,128 |
Примечание - Значения в таблице I.11 можно получить из данных в таблице I.10. Необходимо внимательно следить за тем, чтобы получить средневзвешенные по времени значения мощности и температуры для каждого блока. |
Таблица I.12
Пример расчета энергопотребления, мощности и температуры
для всех возможных блоков (3 блока по 5 ЦКТ)
Окончание таблицы I.12

Шаг 5. После расчета каждой из характеристик действительности для блоков можно произвести их оценку по критериям действительности, указанным в
пункте B.3.2. В этом примере для блоков, состоящих из 3 циклов управления температурой, существует несколько возможных периодов испытания, соответствующих критериям действительности из
пункта B.3.2 (всего 7 периодов испытания, помеченных как ДЕЙСТВИТЕЛЬНЫЙ в
последнем столбце таблицы I.12). Следует отметить, что периоды испытания, начинающиеся с циклов управления температурой в диапазоне от 10 до 24 (в
таблице I.12) не соответствуют критериям действительности из-за эффекта периода размораживания и восстановления температуры во время цикла управления температурой 19 (см.
рисунок I.10 и
таблицу I.10). При наличии нескольких возможных периодов испытания, соответствующих всем возможным критериям действительности по
пункту B.3.2 для выбранного размера блока, необходимо выбрать период испытания с минимальным разбросом мощности. В этом примере период испытания перед размораживанием с наименьшим разбросом мощности среди блоков A, B и C - это период испытания, начинающийся с цикла управления температурой номер 10 (период испытания с ЦКТ 4 по ЦКТ 12 включительно). В этом случае наименьший разброс мощности составляет 0,32% и помечен зеленым в
таблице I.12. Следует отметить, что это третий последовательный период испытания для этого размера блока, для которого выполняются все критерии действительности (каждый увеличивается на один ЦКТ) в соответствии с
пунктом B.3.2. После размораживания во время ЦКТ 19 идет несколько действительных периодов испытания. В этом примере период испытания с наименьшим разбросом мощности среди блоков A, B и C - это период испытания, начинающийся с цикла управления температурой номер 26 (помечен зеленым - период испытания с ЦКТ 26 по ЦКТ 34 включительно). В этом случае наименьший разброс мощности составляет 0,74% и также помечен зеленым в
таблице I.12. Значения мощности и температур после размораживания несколько отличаются от значений до размораживания.
В этом примере (
таблица I.11 и
таблица I.12) относительно небольшой размер блока (3 ЦКТ) означает, что разброс мощности больше, и при этом иногда превышается допустимый уровень разброса в 1% (для периода испытания длительностью около 7,5 ч). Хотя настоящий стандарт позволяет применять очень короткие периоды испытания для очень стабильных приборов (до 6 ч), разброс мощности в 1% (для периодов испытания менее 12 ч) довольно непросто обеспечить, и даже для этого относительно стабильного прибора не всегда выполняются требования при таком коротком сроке.
При наличии более длительного периода данных можно получить более надежные результаты, выбирая более длительные периоды испытания, состоящие из блоков, содержащих большее количество ЦКТ. В следующих таблицах (
таблица I.13 и
таблица I.14) показаны те же данные, что и на
рисунке I.10 и в
таблице I.10, для периодов испытания, состоящих из 3 блоков с размером блока 5 ЦКТ (периоды испытания содержат 15 ЦКТ) и размером блока 9 ЦКТ (периоды испытания содержат 27 ЦКТ). При этом длительность периода испытания для данного конкретного прибора составляет примерно 11,7 ч и 21,7 ч соответственно. Для большего размера блока в 9 ЦКТ можно получить действительные данные только после первого размораживания (поскольку период до первого размораживания слишком мал для достижения стабильного состояния).
Следует отметить, что значения
PSS1 необходимо откорректировать на предмет отклонений измеренной окружающей температуры в течение периода испытания согласно
формуле (15) (не показано в этом примере).
Показанные в этих таблицах примеры можно использовать для проверки корректной работы лабораторного программного обеспечения для анализа в стабильном состоянии в соответствии с подходом SS1 в
приложении B.
Таблица I.13
Пример расчета энергопотребления, мощности и температуры
для всех возможных блоков (размер блока = 5 ЦКТ)
Блок | Начало ЦКТ | Конец ЦКТ | Длительность блока, чч:мм:сс | Энергопотребление блока, Вт·ч | Средняя мощность, Вт | Средняя температура размораживания, °C | Средняя температура замораживания, °C |
1 | 1 | 5 | 4:09:00 | 190,500 | 45,904 | 3,765 | -18,921 |
2 | 2 | 6 | 4:09:00 | 190,625 | 45,934 | 3,778 | -18,909 |
3 | 3 | 7 | 4:09:00 | 190,625 | 45,934 | 3,780 | -18,913 |
4 | 4 | 8 | 4:09:00 | 189,875 | 45,753 | 3,782 | -18,908 |
5 | 5 | 9 | 4:10:00 | 191,500 | 45,960 | 3,778 | -18,902 |
6 | 6 | 10 | 4:10:00 | 191,250 | 45,900 | 3,773 | -18,907 |
7 | 7 | 11 | 4:10:00 | 190,875 | 45,810 | 3,764 | -18,913 |
8 | 8 | 12 | 4:10:00 | 190,625 | 45,750 | 3,759 | -18,914 |
9 | 9 | 13 | 4:10:00 | 190,375 | 45,690 | 3,755 | -18,920 |
10 | 10 | 14 | 4:10:00 | 190,500 | 45,720 | 3,761 | -18,926 |
11 | 11 | 15 | 4:10:00 | 190,750 | 45,780 | 3,762 | -18,928 |
12 | 12 | 16 | 4:10:00 | 190,375 | 45,690 | 3,759 | -18,926 |
13 | 13 | 17 | 4:10:00 | 190,375 | 45,690 | 3,763 | -18,923 |
14 | 14 | 18 | 3:36:00 | 182,000 | 50,556 | 3,804 | -18,817 |
15 | 15 | 19 | 3:12:00 | 191,500 | 59,844 | 3,863 | -18,311 |
16 | 16 | 20 | 3:23:00 | 227,875 | 67,352 | 4,154 | -17,167 |
17 | 17 | 21 | 3:23:00 | 230,875 | 68,239 | 4,221 | -17,141 |
18 | 18 | 22 | 3:23:00 | 231,625 | 68,461 | 4,233 | -17,153 |
19 | 19 | 23 | 3:57:00 | 240,875 | 60,981 | 4,135 | -17,514 |
20 | 20 | 24 | 4:21:00 | 231,375 | 53,190 | 4,058 | -18,014 |
21 | 21 | 25 | 4:10:00 | 194,875 | 46,770 | 3,823 | -18,939 |
22 | 22 | 26 | 4:11:00 | 194,125 | 46,404 | 3,764 | -18,966 |
23 | 23 | 27 | 4:11:00 | 193,625 | 46,285 | 3,742 | -18,970 |
24 | 24 | 28 | 4:11:00 | 193,000 | 46,135 | 3,725 | -18,976 |
25 | 25 | 29 | 4:11:00 | 193,625 | 46,285 | 3,713 | -18,989 |
26 | 26 | 30 | 4:11:00 | 193,375 | 46,225 | 3,701 | -19,007 |
27 | 27 | 31 | 4:10:00 | 191,625 | 45,990 | 3,697 | -19,020 |
28 | 28 | 32 | 4:10:00 | 191,750 | 46,020 | 3,696 | -19,029 |
29 | 29 | 33 | 4:10:00 | 192,250 | 46,140 | 3,700 | -19,036 |
30 | 30 | 34 | 4:10:00 | 192,125 | 46,110 | 3,706 | -19,036 |
31 | 31 | 35 | 4:10:00 | 192,625 | 46,230 | 3,716 | -19,027 |
32 | 32 | 36 | 4:09:00 | 190,625 | 45,934 | 3,716 | -19,036 |
33 | 33 | 37 | 4:10:00 | 192,500 | 46,200 | 3,727 | -19,013 |
34 | 34 | 38 | 4:10:00 | 192,125 | 46,110 | 3,730 | -19,011 |
35 | 35 | 39 | 4:10:00 | 192,125 | 46,110 | 3,729 | -19,020 |
36 | 36 | 40 | 4:10:00 | 192,125 | 46,110 | 3,724 | -19,031 |
37 | 37 | 41 | 4:11:00 | 194,125 | 46,404 | 3,724 | -19,034 |
38 | 38 | 42 | 4:10:00 | 192,625 | 46,230 | 3,712 | -19,062 |
39 | 39 | 43 | 4:10:00 | 192,375 | 46,170 | 3,703 | -19,072 |
40 | 40 | 44 | 4:10:00 | 192,250 | 46,140 | 3,697 | -19,069 |
41 | 41 | 45 | 4:10:00 | 191,750 | 46,020 | 3,692 | -19,076 |
42 | 42 | 46 | 4:10:00 | 191,500 | 45,960 | 3,690 | -19,084 |
43 | 43 | 47 | 4:10:00 | 190,750 | 45,780 | 3,683 | -19,098 |
44 | 44 | 48 | 4:10:00 | 190,625 | 45,750 | 3,685 | -19,096 |
45 | 45 | 49 | 4:11:00 | 192,625 | 46,046 | 3,689 | -19,091 |
46 | 46 | 50 | 4:11:00 | 192,625 | 46,046 | 3,689 | -19,091 |
47 | 47 | 51 | 3:37:00 | 184,000 | 50,876 | 3,722 | -18,988 |
48 | 48 | 52 | 3:14:00 | 196,500 | 60,773 | 3,806 | -18,351 |
49 | 49 | 53 | 3:26:00 | 234,500 | 68,301 | 4,123 | -17,233 |
50 | 50 | 54 | 3:25:00 | 236,250 | 69,146 | 4,196 | -17,187 |
51 | 51 | 55 | 3:24:00 | 236,125 | 69,449 | 4,211 | -17,190 |
52 | 52 | 56 | 3:58:00 | 245,750 | 61,954 | 4,103 | -17,554 |
53 | 53 | 57 | 4:20:00 | 232,500 | 53,654 | 4,002 | -18,155 |
54 | 54 | 58 | 4:08:00 | 196,000 | 47,419 | 3,742 | -19,083 |
Примечание - Значения в таблице I.13 можно получить из данных в таблице I.10. Необходимо внимательно следить за тем, чтобы получить средневзвешенные по времени значения мощности и температуры. |
Таблица I.14
Пример расчета энергопотребления, мощности и температуры
для всех возможных блоков (размер блока)
Блок | Начало ЦКТ | Конец ЦКТ | Длительность блока, чч:мм:сс | Энергопотребление блока, Вт·ч | Средняя мощность, Вт | Средняя температура размораживания, °C | Средняя температура замораживания, °C |
1 | 1 | 9 | 7:29:00 | 343,625 | 45,919 | 3,769 | -18,915 |
2 | 2 | 10 | 7:29:00 | 343,125 | 45,852 | 3,772 | -18,909 |
3 | 3 | 11 | 7:29:00 | 343,250 | 45,869 | 3,772 | -18,910 |
4 | 4 | 12 | 7:29:00 | 342,250 | 45,735 | 3,770 | -18,913 |
5 | 5 | 13 | 7:30:00 | 344,000 | 45,867 | 3,769 | -18,912 |
6 | 6 | 14 | 7:30:00 | 343,625 | 45,817 | 3,767 | -18,918 |
7 | 7 | 15 | 7:30:00 | 343,250 | 45,767 | 3,764 | -18,919 |
8 | 8 | 16 | 7:30:00 | 343,000 | 45,733 | 3,760 | -18,917 |
9 | 9 | 17 | 7:30:00 | 342,750 | 45,700 | 3,760 | -18,921 |
10 | 10 | 18 | 6:56:00 | 334,500 | 48,245 | 3,782 | -18,869 |
11 | 11 | 19 | 6:32:00 | 343,875 | 52,634 | 3,810 | -18,628 |
12 | 12 | 20 | 6:43:00 | 380,250 | 56,613 | 3,960 | -18,040 |
13 | 13 | 21 | 6:43:00 | 383,250 | 57,060 | 3,993 | -18,025 |
14 | 14 | 22 | 6:43:00 | 384,000 | 57,171 | 4,001 | -18,031 |
15 | 15 | 23 | 6:43:00 | 384,875 | 57,301 | 4,002 | -18,037 |
16 | 16 | 24 | 6:43:00 | 384,500 | 57,246 | 4,000 | -18,044 |
17 | 17 | 25 | 6:43:00 | 384,750 | 57,283 | 3,999 | -18,048 |
18 | 18 | 26 | 6:44:00 | 387,000 | 57,475 | 3,993 | -18,054 |
19 | 19 | 27 | 7:18:00 | 395,625 | 54,195 | 3,950 | -18,181 |
20 | 20 | 28 | 7:42:00 | 386,375 | 50,179 | 3,910 | -18,433 |
21 | 21 | 29 | 7:31:00 | 350,250 | 46,596 | 3,771 | -18,965 |
22 | 22 | 30 | 7:31:00 | 347,250 | 46,197 | 3,734 | -18,990 |
23 | 23 | 31 | 7:31:00 | 347,000 | 46,164 | 3,721 | -18,995 |
24 | 24 | 32 | 7:31:00 | 346,500 | 46,098 | 3,712 | -19,002 |
25 | 25 | 33 | 7:31:00 | 347,250 | 46,197 | 3,708 | -19,010 |
26 | 26 | 34 | 7:31:00 | 347,500 | 46,231 | 3,706 | -19,019 |
27 | 27 | 35 | 7:30:00 | 345,750 | 46,100 | 3,707 | -19,025 |
28 | 28 | 36 | 7:29:00 | 344,000 | 45,969 | 3,706 | -19,031 |
30 | 30 | 38 | 7:30:00 | 345,750 | 46,100 | 3,717 | -19,023 |
31 | 31 | 39 | 7:30:00 | 346,250 | 46,167 | 3,721 | -19,026 |
32 | 32 | 40 | 7:30:00 | 346,250 | 46,167 | 3,722 | -19,031 |
33 | 33 | 41 | 7:30:00 | 346,375 | 46,183 | 3,722 | -19,034 |
34 | 34 | 42 | 7:30:00 | 346,375 | 46,183 | 3,720 | -19,037 |
35 | 35 | 43 | 7:30:00 | 346,000 | 46,133 | 3,715 | -19,042 |
36 | 36 | 44 | 7:30:00 | 345,875 | 46,117 | 3,711 | -19,049 |
37 | 37 | 45 | 7:31:00 | 347,375 | 46,214 | 3,709 | -19,053 |
38 | 38 | 46 | 7:30:00 | 345,375 | 46,050 | 3,701 | -19,073 |
39 | 39 | 47 | 7:30:00 | 345,000 | 46,000 | 3,694 | -19,085 |
40 | 40 | 48 | 7:30:00 | 344,500 | 45,933 | 3,691 | -19,085 |
41 | 41 | 49 | 7:31:00 | 346,375 | 46,081 | 3,691 | -19,082 |
42 | 42 | 50 | 7:31:00 | 345,875 | 46,014 | 3,689 | -19,085 |
43 | 43 | 51 | 6:57:00 | 336,750 | 48,453 | 3,705 | -19,036 |
44 | 44 | 52 | 6:34:00 | 349,125 | 53,166 | 3,744 | -18,732 |
45 | 45 | 53 | 6:46:00 | 386,750 | 57,155 | 3,907 | -18,155 |
46 | 46 | 54 | 6:46:00 | 390,875 | 57,765 | 3,946 | -18,129 |
47 | 47 | 55 | 6:45:00 | 390,500 | 57,852 | 3,952 | -18,131 |
48 | 48 | 56 | 6:45:00 | 391,750 | 58,037 | 3,952 | -18,127 |
49 | 49 | 57 | 6:44:00 | 391,000 | 58,069 | 3,946 | -18,135 |
50 | 50 | 58 | 6:43:00 | 390,125 | 58,083 | 3,941 | -18,143 |
Примечание - Значения в таблице I.14 можно получить из данных в таблице I.10. Необходимо внимательно следить за тем, чтобы получить средневзвешенные по времени значения мощности и температуры. |
Таблица I.15
Пример расчета энергопотребления, мощности и температуры
для всех возможных блоков (три блока по 9 ЦКТ)
Окончание таблицы I.15
Таблица I.16
Пример расчета энергопотребления, мощности и температуры
для всех возможных блоков (3 блока по 9 ЦКТ)
Продолжение таблицы I.16
Окончание таблицы I.16
Следующий комплекс расчетов, который нужно выполнить по этому примеру, призван определить нарастающие изменения энергопотребления и температуры при размораживании и восстановлении температуры в соответствии с
приложением C. Период размораживания, рассматриваемый в примере данных, приходится на время ЦКТ 19.
Во-первых, период длительностью не менее 3 ЦКТ и 3 ч выбирают до и после анализируемого события размораживания (периоды D и F соответственно). Период D происходит до размораживания и заканчивается не менее чем за 3 ч до номинальной центральной точки размораживания (наступает через 2 ч после работы нагревателя для размораживания во время ЦКТ 19). Период F наступает после размораживания и заканчивается не ранее, чем через 3 ч после номинальной центральной точки размораживания.
Нагреватель для размораживания запускается по истечении 14,417 ч совокупного времени испытания. Номинальная центральная точка периода размораживания и восстановления температуры согласно
пункту C.3 составляет 2 ч после запуска нагревателя для размораживания, т.е. 16,417 ч. Момент окончания периода D должен наступать до 13,417 ч., а момент начала периода F должен наступать после 19,417 ч. Следует отметить, что накопленное количество часов на момент окончания ЦКТ точно совпадает с временем начала следующего ЦКТ. В данном случае ЦКТ 16 заканчивается в точке 13,317 ч (начало ЦКТ 17), соответствующей окончанию периода D. Аналогичным образом ЦКТ 26 начинается в точке 20,033 ч, соответствующей началу периода F.
В этом примере период D состоит из 4 ЦКТ (с ЦКТ 13 по ЦКТ 16 включительно) и составляет в общей сложности 3 ч 20 мин. Период F состоит из 4 ЦКТ (с ЦКТ 26 по ЦКТ 29 включительно) и составляет в общей сложности 3 ч 21 мин.
Для периодов D и F проводится серия проверок, чтобы убедиться в их соответствии требованиям метода DF1 в соответствии с
пунктом C.3.2. Они описаны в таблице I.17.
Таблица I.17
Определение действительности данных размораживания DF1
Параметр | Период D | Период F | Разброс/критерии | Действительность и примечания |
Длительность (время) | 3:20:00 | 3:21:00 | Соотношение 0,995 | ОК (от 0,8 до 1,25, >= 3 ч, оба >= 3 ЦКТ, равное число ЦКТ в D и F) |
Мощность, Вт | 45,7125 | 46,3806 | 1,45% и 0,668 Вт | ОК (или < 2%, или < 1 Вт) |
Отделение для свежих продуктов, °C | 3,7615 | 3,7065 | 0,0550 | ОК (< 0,5 К) |
Морозильник, °C | -18,9221 | -18,9968 | 0,0747 | ОК (< 0,5 К) |
Если критерии действительности первоначальных периодов D и F не соблюдаются, настоящий стандарт позволяет увеличивать размер периодов D и F с шагом в один ЦКТ для поиска соответствующих требованиям к действительности периодов. Если соответствующих требованиям к действительности периодов не будет найдено, можно увеличивать размеры периода D1 (с окончания периода D до номинальной центральной точки периода размораживания и восстановления температуры) и периода F1 (с номинальной центральной точки периода размораживания и восстановления температуры до начала периода F) с шагом в 30 минут. Положение номинального центра периода размораживания и восстановления температуры также можно изменить, если возникнет такая необходимость. Для этих данных не требуются никакие из вышеуказанных корректировок.
На основе данных для каждого ЦКТ, приведенных в
таблице I.10, можно получить следующие значения:
общее энергопотребление с начала периода D до окончания периода F = 692,5 Вт·ч (ЦКТ с 13 по 29 включительно);
общее время с начала периода D до окончания периода F = 13 ч 24 мин (= 13,4 ч);
Среднее энергопотребление за период D и период F = 46,04655 Вт (это не взвешенное по времени значение) из
формулы (19):

.
Для выбранной операции размораживания:

.
Следующий шаг заключается в определении изменения температуры за время выбранного события размораживания и восстановления температуры.
На основе данных для каждого ЦКТ, приведенных в
таблице I.10, можно получить следующие значения:
- средняя температура отделения для хранения свежих пищевых продуктов за время от начала периода D до окончания периода F = 3,8670 °C (ЦКТ с 13 по 29 включительно) (средневзвешенное по времени значение);
- средняя температура морозильного отделения за время от начала периода D до окончания периода F = -18,5027 °C (ЦКТ с 13 по 29 включительно) (средневзвешенное по времени значение);
- средняя температура отделения для хранения свежих пищевых продуктов за период D и период F = 3,7340 °C (это не взвешенное по времени значение);
- средняя температура морозильного отделения за период D и период F = -18,95945 °C (это не взвешенное по времени значение).

.
Для выбранной операции размораживания:

.
В качестве альтернативы подходу SS1 (в котором используется три блока данных в стабильном состоянии для оценки действительности) следующие расчеты устанавливают пример с использованием подхода SS2 для определения мощности в стабильном состоянии между операциями размораживания в соответствии с
B.4 с использованием того же набора данных, показанного на
рисунке I.10 и в
таблице I.10. Предыдущие расчеты показали, что размораживание во время ЦКТ 19 действительно согласно подходу DF1 в
приложении C, поэтому для этого набора данных можно использовать подход SS2.
Во-первых, перед каждым событием размораживания выбирают период длительностью не менее 4 ЦКТ и 4 ч. Период X наступает до включения нагревателя для размораживания в период ЦКТ 19, а период Y наступает до включения нагревателя для размораживания в период ЦКТ 52 (см.
рисунок I.10 и
таблицу I.10). В этом примере период X состоит из 5 ЦКТ (с ЦКТ 13 по ЦКТ 17 включительно) и составляет в общей сложности 4 ч 10 мин. Период Y состоит из 5 ЦКТ (с ЦКТ 46 по ЦКТ 50 включительно) и составляет в общей сложности 4 ч 11 мин.
Для периодов X и Y проводится серия проверок, чтобы убедиться в их соответствии требованиям метода SS2 в соответствии с
B.4.2.
Таблица I.18
Определение значений в стабильном состоянии для варианта SS2
Параметр | Период X | Период Y | Разброс/критерии | Действительность и примечания |
Длительность (время) | 04:10:00 (5 ЦКТ) | 04:11:00 (5 ЦКТ) | Соотношение 0,996 | ОК (от 0,8 до 1,25, >= 4 ч, оба >= 4 ЦКТ, равное число ЦКТ в периодах X и Y) |
Мощность, Вт | 45,6900 | 46,0458 | 0,78% и 0,356 Вт | ОК (или < 2%, или < 1 Вт) |
Отделение для свежих продуктов, °C | 3,7633 | 3,6887 | 0,0746 | ОК (< 0,5 К) |
Морозильник, °C | -18,9226 | -19,0908 | 0,1682 | ОК (< 0,5 К) |
На основе данных для каждого ЦКТ, приведенных в
таблице I.10, можно получить следующие значения:
- общее энергопотребление с окончания периода X до окончания периода Y = 1309,25 Вт·ч (ЦКТ с 18 по 50 включительно);
- общее время с окончания периода X до окончания периода Y = 26 ч 45 мин (= 26,75 ч);
- нарастающее энергопотребление размораживания в начале периода

.
PSS2 = 46,1224 Вт.
Это сопоставимо со значением
PSS1, определенным в
таблице I.16 для ЦКТ с 23 по 49 (46,137 Вт), соответствующим сопоставимому периоду испытания.
Следует отметить, что значения
PSS1 и
PSS2 необходимо откорректировать с учетом измеренной окружающей температуры в период испытания по
формуле (15) в приложении B, чтобы получить значение
PSS, которое нужно будет использовать для последующих расчетов и анализа. В этом случае измеренное значение окружающей температуры будет очень близко к значению целевой окружающей температуры 32 °C, так что величина корректировки будет небольшой.
Аналогичные расчеты проводят для определения температур в стабильном состоянии для каждого отделения с помощью подхода SS2:
- средняя температура отделения для хранения свежих пищевых продуктов за время от окончания периода X до окончания периода Y = 3,7764 °C (ЦКТ с 18 по 50 включительно) (средневзвешенное по времени значение);
- средняя температура морозильного отделения за время от окончания периода X до окончания периода Y = -18,7796 °C (ЦКТ с 18 по 50 включительно) (средневзвешенное по времени значение).
| | ИС МЕГАНОРМ: примечание. Формулы приведены в соответствии с официальным текстом документа. | |
TSS2-freshfood = (3,7096)
TSS2-freezer = (19,0084)
Эти значения сопоставимы со значениями
PSS1, определенными в
таблице I.16 для ЦКТ с 23 по 49, т.е. 3,711 °C для отделения для хранения свежих пищевых продуктов и -19,036 °C для морозильного отделения, т.е. для сопоставимого периода испытания. Поскольку точные периоды испытания, выбранные для
PSS1 и
PSS2, немного отличаются, ожидаются небольшие расхождения результатов для каждого параметра. Показанные выше примеры можно использовать для проверки корректной работы лабораторного программного обеспечения для анализа в стабильном состоянии в соответствии с подходом SS2 в
приложении B и подходом DF1 в
приложении C.
I.8.2 Проверка данных и выбор минимального разброса с использованием указанного программного обеспечения
На рисунке I.11 показан пример нахождения возможного периода испытания для указанного момента времени.
Примечание - Выбранный выше испытательный период SS1 эквивалентен испытательным периодам от ТСС 33 до ТСС 47 включительно, приведенным в
таблице I.15. Выбранные размораживание и восстановление соответствуют приведенным в рабочем примере
I.8.1.
Рисунок I.11 - Пример определения испытательного периода
с минимальным разбросом мощности
Здесь описана ситуация в точке 38,4 ч после начала сбора данных для испытания холодильника-морозильника. Сигнал мощности фиксируется на средней панели (схема содержит 5 панелей, идущих одна за другой). На основе этой точки можно определить несколько пробных периодов испытания, каждый из которых состоит из трех блоков и идет назад по времени. График энергопотребления для каждого из этих пробных периодов приведен на второй панели. Разброс мощности в течение периода испытаний (разница между максимальной и минимальной средней мощностью, наблюдаемой для блоков A, B и C) для каждого из этих пробных периодов показан на графике на нижней панели. Затем рассматривается минимальное возможное значение этого разброса и на схеме ставится стрелка. Она показывает наилучшие возможные стабильные периоды испытания из всех возможных пробных периодов. В данном примере длина этого периода испытания составляет 12,5 ч.
Энергопотребление, измеренное для этого наилучшего возможного периода испытания, показано на графике на панели номер 4 а разброс для этого периода испытания показан на графике на верхней панели. Другие знаки на этих двух панелях показывают результаты лучших периодов испытания для других моментов времени. Интерпретация этих знаков в совокупности показывает, что измеренные значения энергопотребления сходятся с течением времени, а разброс результатов постепенно уменьшается. Это связано с постоянным увеличением длительности наилучшего найденного периода испытания.
(справочное)
РАЗРАБОТКА ГЛОБАЛЬНОГО МЕТОДА ИСПЫТАНИЙ МЭК ДЛЯ ХОЛОДИЛЬНЫХ
ПРИБОРОВ
J.1 Цель
В настоящем приложении описываются основы разработки этой международной процедуры испытаний и основные цели глобального подхода к испытаниям энергопотребления.
J.2 Обзор
Бытовые холодильные приборы представляют собой сложные термодинамические приборы, и на их измеренное энергопотребление могут влиять разнообразные факторы. Детальные исследования показали, что наиболее важными факторами, воздействующими на энергопотребление при обычном использовании, являются следующие факторы (не обязательно в порядке важности).
Условия эксплуатации:
- наружная температура и влажность рабочей среды прибора при обычном использовании (в помещении или на улице, с кондиционированием или без);
- настройка устройства управления температурой, выбранная пользователем;
- взаимодействие пользователя с прибором при нормальном использовании (воздухообмен при открытии дверец, добавление теплых продуктов и напитков, влажность);
- установка прибора (зазоры, воздушный поток).
Конструкция прибора и то, как прибор реагирует на условия эксплуатации:
- характеристики прибора при размораживании и восстановлении температуры;
- интервал размораживания при нормальном использовании;
- эффективность обработки загрузки холодильной системы для обработки эквивалентной тепловой загрузки при нормальном использовании и обычном приросте тепла;
- качество и уровень теплоизоляции дверец, стенок, уплотнений и т.д.;
- использование некоторых вспомогательных устройств, на которые могут повлиять внешние условия и модель эксплуатации;
- размер, конфигурация и пропорции (размеры) прибора.
Хотя существует и ряд других факторов, которые тоже могут влиять на энергопотребление, в целом эти дополнительные факторы незначительные и имеют второстепенную важность.
J.3 Цель метода испытаний
Цель настоящего метода испытаний заключается в количественном измерении максимального числа компонентов энергопотребления общим способом для их последующего объединения с учетом условий эксплуатации и моделей использования домашних холодильных приборов в разных климатических зонах и регионах мира. Для разных регионов и стран можно выбирать наиболее важные для этих стран и регионов компоненты испытаний и сочетать эти компоненты наиболее актуальным для них образом.
Цель любой процедуры испытаний заключается в предоставлении точных количественных данных, которые можно было бы использовать в качестве основы для сравнения приборов, работающих в сопоставимых условиях при выполнении сопоставимых задач. Хотя условия эксплуатации и модель использования каждого отдельного холодильного прибора в мире различаются, распределение энергопотребления по основным компонентам позволяет проводить сравнительную оценку приборов для типовых условий эксплуатации и использования. Также такое распределение позволяет получить надежную основу для определения различий фактического энергопотребления отдельных приборов при обычном использовании в домашних условиях или в отдельных ситуациях, если существует необходимость получения таких данных.
Преимущество этого глобального подхода к определению энергопотребления заключается в том, что производителям (в конечном итоге) нужно только провести серию стандартных испытаний для удовлетворения требованиям большинства регионов. Региональные отличия можно оценить, применяя разные коэффициенты к результатам стандартных испытаний. Это поможет производителям избежать больших расходов на повторные испытания моделей, поставляемых в разные регионы.
J.4 Описание ключевых компонентов энергопотребления
Наиболее распространенной технологией, используемой в бытовых холодильных приборах, является технология циклов компрессии пара. Фактически это тепловой насос, удаляющий энергию из охлаждаемого пространства (внутри отделений) в наружную атмосферу помещения. Для выполнения функции теплового насоса используют и некоторые другие технологии (например, основанные на абсорбции или термоэлектрических эффектах (эффект Пельтье)), но эти технологии обычно менее эффективны и используются только в отдельных областях применения.
При условии отсутствия вмешательства пользователя тепловой поток во внутренних отделениях зависит от эффективности изоляции холодильного шкафа. Эта эффективность в основном зависит от толщины стенок и изолирующих характеристик материалов стенок, однако на тепловые потоки могут повлиять и многие другие факторы, например конструкция уплотнений и прокладок, наличие отверстий в стенах (сервисных, отверстий для проводов и воздуховодов). Для обеспечения нормальной работы холодильного прибора могут также использоваться внутренние электронные системы управления, нагреватели и другие устройства, потребляющие энергию (или выделяющие тепло внутрь отделений). Работа некоторых из этих приборов может отличаться для разных условий рабочей среды.
Согласно настоящему стандарту определяют энергопотребление при отсутствии использования (в стабильном состоянии) при наружной температуре 32 °C и при наружной температуре 16 °C. Это обеспечивает хороший фундамент для определения температурных и энергетических характеристик холодильного прибора. Большинство ранее описанных процедур испытаний позволяют оценить энергопотребление только при одном значении окружающей температуры. При этом нельзя получить информацию о воздействии на энергопотребление разных температур эксплуатации, которые могут возникнуть при нормальном использовании.
Хорошо известно, что выбираемые пользователем настройки устройств управления температурой холодильных приборов влияют на внутреннюю температуру устройств во время работы, от которой, в свою очередь, зависит энергопотребление. Согласно настоящему стандарту (и большинству других процедур испытаний) предусмотрено проведение измерений энергопотребления при разных настройках устройств управления температурой. Это необходимо для оценки энергопотребления при стандартных рабочих температурах внутри устройства. В настоящем стандарте эти температуры называются целевыми температурами для энергопотребления. При проведении отдельных испытаний в качестве основы для декларирования энергопотребления значения внутренней температуры устройств должны равняться или быть ниже значений целевой температуры для соответствующего типа отделений, или должны быть основаны на оценках энергопотребления при целевой температуре. Также можно проводить дополнительные испытания при разных уставках устройств управления температурой. Это может потребоваться для определения оптимального (наименьшего возможного) энергопотребления при соответствующих целевых температурах для каждого значения окружающей температуры.
В настоящем стандарте целевая температура отделения для хранения свежих пищевых продуктов составляет 4 °C, а целевая температура отделения морозильного отделения составляет -18 °C. Следует отметить, что для увеличения скорости испытаний и сокращения повторяемости температуры для всех типов низкотемпературных отделений основываются на значениях средней температуры воздуха. Для испытаний энергопотребления больше не применяют специальные пакеты.
Для приборов с системой размораживания (с собственным циклом управления размораживанием) обычно существует дополнительное энергопотребление при автоматическом размораживании. В некоторых системах, в которых испаритель работает при температуре, близкой к точке замерзания, эффективное размораживание производится посредством увеличения периода работы с выключенным компрессором. Эти системы потребляют мало дополнительной энергии (на самом деле они могут потреблять меньше энергии во время размораживания, потому что отделение нагревается). В некоторых приборах размораживание производится каждый цикл работы компрессора (обычно только для испарителей, которые работают при температуре, близкой к точке замерзания). Такое размораживание называется циклическим размораживанием (у таких устройств нет цикла управления размораживанием), и любая энергия размораживания таких устройств используется при эксплуатации. Если это применимо, дополнительное (или уменьшенное) энергопотребление для автоматического размораживания и восстановления температуры до стабильного состояния определяется для нескольких типовых периодов размораживания и восстановления температуры. Частота размораживания также влияет на общее энергопотребление. Для определения ожидаемого интервала размораживания в метод испытаний включается ряд разных методов, соответствующих разным типам элементов управления.
Значительная часть тепловой нагрузки в холодильном приборе при нормальном использовании связана с действиями пользователя например с открытием дверцы и добавлением или удалением продуктов питания. Эти тепловые нагрузки довольно сложные и возникают в связи с воздухообменом при открытии дверец (теплый воздух и влага) и попаданием внутрь тепла в форме теплых продуктов и напитков. Иногда влага выделяется и продуктами питания. На воздухообмен влияет геометрия отделения (например, открытая конструкция или ящики и корзины), а также скорость и частота открывания дверец. Температура и влажность наружного воздуха также могут оказывать определенное воздействие.
Симулировать реальное использование в лабораториях посредством открытия дверец и добавления продуктов довольно сложно, и при этом не удается получить стабильные результаты. Для хотя бы какой-то вероятности получения стабильных результатов необходимо строго контролировать влажность в помещении для испытаний. Расчет тепловой нагрузки при открытии дверец представляет собой сложную задачу, и внутренние геометрические характеристики могут оказывать разное воздействие на разные продукты.
Чтобы минимизировать эти проблемы, для настоящего стандарта было разработано новое испытание, заключающееся в измерении эффективности обработки загрузки холодильным прибором. В холодильный прибор помещают определенную массу воды с известной температурой (и с известной энтальпией), после чего устройство работает обычным образом, пока не вернется в стабильное состояние. Нарастающее энергопотребление для обработки этой загрузки определяют на основе данных испытаний, а разницу между начальной и конечной энергией воды используют для определения эффективности обработки загрузки. Обработка одной известной тепловой нагрузки (в форме теплой воды) обеспечивает надежный фундамент для определения эквивалентного воздействия пользовательских действий при обычном использовании на энергопотребление. Также она позволяет количественно оценить фактические эквивалентные тепловые нагрузки при анализе данных по реальным бытовым условиям эксплуатации.
На работу некоторых вспомогательных устройств влияют условия среды эксплуатации. Согласно этому стандарту заявляется нарастающее энергопотребление определенных устройств в определенных условиях. Эти значения прибавляются к стандартному значению энергопотребления прибора там, где это применимо.
Настоящий стандарт не позволяет получить единое глобальное значение энергопотребления. Вместо этого он содержит подробно задокументированные процедуры оценки ключевых компонентов энергопотребления, которые можно объединить для оценки энергопотребления для ряда возможных условий эксплуатации и использования. Некоторые компоненты испытаний применяют не во всех регионах. Ожидается, что в регионах будет использоваться большинство стандартных компонентов, которые наиболее хорошо подходят под конкретные региональные требования. Такое разделение компонентов энергопотребления представляет собой фактически попытку устранить потребность в применении региональных методов испытания бытовых холодильных приборов.
(обязательное)
АНАЛИЗ ХОЛОДИЛЬНОГО ПРИБОРА БЕЗ ПЕРИОДА СТАБИЛЬНОГО
СОСТОЯНИЯ МЕЖДУ ПЕРИОДАМИ РАЗМОРАЖИВАНИЯ
K.1 Цель
В настоящем приложении описан подход, применяемый для анализа данных испытаний холодильного прибора без периода стабильного состояния между периодами размораживания.
K.2 Приборы с обычными характеристиками, но без работы в стабильном состоянии
K.2.1 Общие положения
Помимо стандартного применения подхода SS2 для определения мощности в стабильном состоянии, показанного на
рисунке B.3, теоретически возможен один особый вариант, при котором не удастся обеспечить стабильность всех данных между следующими подряд периодами размораживания и восстановления температуры при первоначальном размораживании с помощью подхода SS2 согласно
приложению C (DF1). В этом случае нарастающее изменение энергопотребления при первоначальном размораживании определяют с помощью подхода DF2, который описан в настоящем приложении.
В данном случае холодильный прибор регулярно и стабильно работает, но его рабочая мощность в периоды между операциями размораживания не постоянная (мощность увеличивается или уменьшается). Этот пример подойдет к холодильным приборам с относительно короткими интервалами размораживания и чрезмерным или недостаточным охлаждением после размораживания, которому требуется время для достижения стабильного состояния, после чего сразу же начинается следующая операция размораживания. Этот пример проиллюстрирован на рисунке K.1.
Рисунок K.1 - Особый случай SS2 - когда работа в стабильном
состоянии не достигается между периодами размораживания
быть установлена
K.2.2 Особый подход DF2
Подход DF2 используют только в ситуациях, когда холодильный прибор не может работать в стабильном состоянии между периодами размораживания и восстановления температуры и определить нарастающее изменение энергопотребления при размораживании и восстановлении температуры с помощью подхода DF1
(C.3) невозможно. В этом случае холодильный прибор обычно стабилен, но не достигает стабильного состояния в промежуток между периодами размораживания и восстановления температуры. Изучаются сопоставимые части следующих друг за другом периодов размораживания и восстановления температуры. Это обычно относится к холодильным приборам с более короткими интервалами размораживания.
Выбирают период работы (период D1), заканчивающийся вначале периода размораживания и восстановления температуры, состоящий из не менее чем 2 полных циклов управления температурой (при наличии циклов управления температурой) и имеющий длительность не менее 2 ч. Затем выбирают второй период работы (период D2), заканчивающийся в начале периода размораживания и восстановления температуры, состоящий из не менее чем 2 полных циклов управления температурой (при наличии циклов управления температурой) и имеющий длительность не менее 2 ч.
После этого выбирают период работы (период F1), начинающийся после окончания первого периода размораживания и восстановления температуры, состоящий из не менее чем 2 полных циклов управления температурой (при наличии циклов управления температурой) и имеющий длительность не менее 2 ч. Затем выбирается второй период работы (период F2), начинающийся после окончания следующего периода размораживания и восстановления температуры, состоящий из не менее чем 2 полных циклов управления температурой (при наличии циклов управления температурой) и имеющий длительность не менее 2 ч.
Периоды D1, D2, F1 и F2 содержат одинаковое количество циклов управления температурой или имеют одинаковую длительность в случае отсутствия циклов управления температурой.
Примечание - Обычно псевдостабильное состояние можно легко определить, если изменение мощности за цикл управления температурой стабильно составляет менее 5%. Значительное изменение длительности цикла управления температурой также является хорошим показателем начала периода размораживания и восстановления температуры.
K.2.3 Критерии приемки для подхода DF2
Для действительности двух периодов размораживания и восстановления температуры должны выполняться следующие критерии:
- разброс температур для периодов D1 и D2 должно быть менее 0,5 К для каждого отделения;
- разброс температур для периодов F1 и F2 должно быть менее 0,5 К для каждого отделения;
- разброс мощности для периодов D1 и D2 должно быть менее 2% от средней мощности за периоды D1 и D2 или менее 1 Вт, в зависимости от того, какое из этих значений больше;
- разброс мощности для периодов F1 и F2 должен быть менее 2% от средней мощности за периоды F1 и F2 или менее 1 Вт, в зависимости от того, какое из этих значений больше.
Примечание - Необходимо следить за тем, чтобы пары периодов D1/D2 и F1/F2 относились к сопоставимым частям цикла управления температурой. При выполнении всех вышеперечисленных критериев эти данные позволяют определить мощность в стабильном состоянии для одной настройки устройства управления температурой и точки данных по энергопотреблению и температуры для двух периодов размораживания и восстановления температуры. В некоторых холодильных приборах (особенно в тех, где используются механические таймеры) цикл управления температурой непосредственно перед включением нагревателя при размораживании может иметь произвольную длительность. В связи с этим нужно соблюдать внимательность, чтобы не включать такие циклы в сравнение сопоставимых частей.
При наличии более двух отделений необходимо производить оценку стабильности температуры, как указано выше, для:
- наибольшего не замораживающего отделения и наибольшего низкотемпературного отделения (если применимо), или
- для наибольших двух отделений (из всех замораживающих или низкотемпературных отделений).
K.2.4 Расчет значений для подхода DF2
При соблюдении критериев приемки по
пункту K.2.3 дополнительное энергопотребление в первый период размораживания и восстановления температуры определяется следующим образом:

, (60)
где

- дополнительное энергопотребление холодильного прибора в действительный период размораживания и восстановления температуры, Вт·ч;
Eend-D1 - показания накопленного энергопотребления в конце периода D1 непосредственно перед началом первого периода размораживания и восстановления температуры, Вт·ч;
Eend-D2 - показания накопленного энергопотребления в конце периода D2 непосредственно перед началом второго периода размораживания и восстановления температуры, Вт·ч;
PF1-D2 - энергопотребление в псевдостабильном состоянии за период с начала периода F1 до окончания периода D2 включительно между последовательными периодами размораживания и восстановления температуры, Вт, соответствующее критериям приемки в
K.2.3, см.
формулу (61);
tend-D1 - время испытания в конце периода D1 непосредственно перед началом первого периода размораживания и восстановления температуры, ч;
tend-D2 - время испытания в конце периода D2 непосредственно перед началом второго периода размораживания и восстановления температуры, ч.
Примечание - Этот расчет позволяет определить энергопотребление при размораживании и восстановлении температуры для первого периода размораживания и восстановления температуры (ограниченного периодами D1 и F1). Аналогичный расчет с использованием значений для периодов D2 и F2 можно выполнить для определения энергопотребления за второй период размораживания и восстановления температуры.

, (61)
где Estart-F1 - показания накопленного энергопотребления в начале периода F1 непосредственно перед началом первого периода размораживания и восстановления температуры, Вт·ч;
tstart-F1 - время испытания в начале периода F1 непосредственно перед началом первого периода размораживания и восстановления температуры, ч.
Изменение температуры в каждом отделении i в период размораживания и восстановления температуры рассчитывается следующим образом:

, (62)
где

- накопленная с течением времени разница температур в отделении
i (для отделений с 1 по
n), связанная с периодом размораживания и восстановления температуры, Кч;
Tav-endD1-endD2-i - средняя температура в отделении i (для отделений с 1 по n) за период с момента окончания периода D1 сразу перед первым периодом размораживания и восстановления температуры до момента окончания периода D2 сразу перед вторым периодом размораживания и восстановления температуры, °C;
TF1-D2-i - температура в псевдостабильном состоянии в отделении
i (для отделений с 1 по
n) за период с начала периода F1 до окончания периода D2 включительно между последовательными периодами размораживания и восстановления температуры, °C, соответствующая критериям приемки в
K.2.3;
tend-D1 - время испытания в конце периода D1 непосредственно перед началом первого периода размораживания и восстановления температуры, ч;
tend-D2 - время испытания в конце периода D2 непосредственно перед началом второго периода размораживания и восстановления температуры, ч;
Также можно рассчитать дополнительное время работы компрессора в течение периода размораживания и восстановления температуры (сверх времени работы в стабильном состоянии) (в часах) в соответствии с указаниями
C.3.3.
(справочное)
ДИФФЕРЕНЦИРОВАНИЕ ФОРМУЛЫ КОРРЕКЦИИ ОКРУЖАЮЩЕЙ ТЕМПЕРАТУРЫ
L.1 Цель
Наружная температура оказывает очень важное влияние на энергопотребление даже в пределах допустимого диапазона окружающих температур испытания, определенного в МЭК 62552-1 (номинальное значение +/- 0,5 К). Ожидаемое воздействие будет значительным, и это может снизить повторяемость и возможность воспроизведения измеренных значений. Коррекция окружающей температуры используется для нормализации воздействия фактических колебаний окружающей температуры в лаборатории во время проведения испытаний. Эти значения были проверены на большом числе холодильных приборов в разных конфигурациях с разными условиями эксплуатации, и полученные результаты соответствовали значениям, полученным при наблюдениях. В настоящем приложении содержатся теоретическая и практическая базы для коррекции окружающей температуры согласно
B.5. Эта информация призвана облегчить понимание и повысить уверенность при использовании формулы. Более подробная информация содержится в техническом отчете, подготовленном для МЭК SC59M.
L.2 Исходные данные
Холодильные приборы в стабильном состоянии обычно сильно реагируют на изменения окружающей температуры. В следующем уравнении определены основные факторы, влияющие на энергопотребление холодильника или морозильной камеры с одним отделением:

,
где P - (ожидаемое) энергопотребление в стабильном состоянии;
U - общее среднее значение U (изоляция) для стенок шкафа;
A - площадь поверхности стенок шкафа;
Ta - средняя наружная температура в области вокруг холодильного прибора;
Ti - средняя внутренняя температура холодильного прибора;
COP - эксплуатационный коэффициент производительности (эффективности) системы охлаждения.
Значение изоляции U и общая площадь поверхности A прибора остаются постоянными после производства холодильника (но для каждого холодильника эти значения разные). Внутренняя температура также должна быть относительно постоянной для заданного типа отделения. Поэтому мощность в стабильном состоянии представляет собой функцию окружающей температуры, деленную на COP. Изменение COP в реальных компрессорах обычно бывает линейным при изменении окружающей температуры (от которой зависит температура конденсации). Изменение мощности при изменении окружающей температуры обычно нелинейное, поскольку линейное изменение делителя вызывает нелинейное изменение соотношения.
На энергопотребление конкретных холодильных приборов влияет много других менее значительных факторов (например, работа нагревателей и других вспомогательных устройств (внутренних и внешних вентиляторов), рабочие потери энергии компрессора, потери энергии при пуске компрессора, работа приводов с переменной скоростью, потери на выходах и через уплотнения), однако эффективность компрессора и прирост тепла в отделении (отделениях) являются наиболее значимыми факторами, и именно к ним напрямую относится формула коррекции.
Во время испытания измеряется значение мощности в стабильном состоянии P. Для коррекции окружающей температуры необходима оценка изменения энергопотребления в стабильном состоянии, требуемого при изменении окружающей температуры. Окончательное уравнение коррекции должно обращать этот эффект, чтобы энергопотребление можно было оценивать при целевом значении окружающей температуры. Например, увеличение окружающей температуры в помещении для испытания сверх номинальной температуры помещения для испытаний приведет к увеличению измеряемой мощности в стабильном состоянии. Формула коррекции уменьшает измеренное значение энергопотребления до значения, ожидаемого при номинальной температуре помещения для испытаний.
Воздействие небольших изменений окружающей температуры при испытаниях может быть значительным. Обычно воздействие на каждый градус изменения окружающей температуры может составлять от 6% до 8% при 16 °C и примерно от 4% до 5% при 32 °C (в зависимости от прибора). Поскольку испытательные лаборатории должны поддерживать наружную температуру в диапазоне +/- 0,5 К от номинальной температуры испытания, измеренные в разных лабораториях значения могут различаться на величину от 4% до 8% только с учетом допустимых расхождений окружающей температуры. Поэтому коррекция окружающей температуры является важным дополнением к настоящему стандарту.
L.3 Подход
Следующее уравнение позволяет оценить общее увеличение тепла в холодильном приборе:
Q = U1·A1·(Ta - T1) + U2·A2·(Ta - T2) + ......... +
+ Ui·Ai·(Ta - Ti),
где Q - общее увеличение тепла в отделении;
U - значение U (изоляция) для каждого отделения для i = от 1 до n отделений;
A - площадь поверхности каждого отделения для i = от 1 до n отделений (за исключением общих перегородок между отделениями);
Ta - средняя наружная температура вокруг холодильного прибора;
Ti - средняя внутренняя температура каждого отделения для i = от 1 до n отделений.
Эта формула довольно упрощенная, потому что в ней не учтено поступление тепла через уплотнения в дверцах (что может учитываться в общем значении U для отделения) и энергопотребление вспомогательных устройств.
При изменении окружающей температуры изменение поступления тепла можно оценить посредством дифференцирования вышеуказанного уравнения, т.е. изменение поступления тепла при изменении окружающей температуры просто составляет

.
Это уравнение показывает, что изменение поступления тепла при изменении окружающей температуры будет постоянным вне зависимости от значения окружающей температуры, потому что эта величина является функцией значений U и A для каждого отделения.
Однако для включения коррекции в настоящий стандарт интересна относительная коррекция. Поэтому нам нужно рассчитать изменение поступления тепла по отношению к общему поступлению тепла при заданной наружной температуре:

.
Это означает, что относительная коррекция на величину поступления тепла уменьшается при увеличении окружающей температуры (поскольку общее поступление тепла Q увеличивается, а числитель остается постоянным). Это соответствует результатам моделирования и данным физических испытаний.
Мы не можем знать точный коэффициент изоляции U для всех холодильных приборов и всех отделений, и его определение представляет собой очень сложную задачу. Для расчета изменения поступления тепла по формуле, приведенной выше, нужно только оценить относительный коэффициент изоляции для каждого отделения и относительную площадь поверхности каждого отделения. После этого появится возможность сделать разумную оценку относительного поступления тепла в морозильное отделение по сравнению с отделениями для хранения свежих пищевых продуктов (или в любые отделения, имеющие любую температуру).
Оценить площадь поверхности также может оказаться сложно, и для этого потребуется провести совсем другую серию измерений. С точки зрения коррекции в рамках данного стандарта было определено, что данные по объему каждого отделения могут заменить данные по площади поверхности для коррекции мощности в стабильном состоянии для включения в стандарт МЭК. Воздействие площади поверхности и изоляции важно только для приборов, имеющих два или более отделений, имеющих разные температуры. Для прибора с одним отделением, имеющим одну температуру, эти значения можно игнорировать (они взаимно исключаются в уравнении ниже при n = 1).

,
где Vi - номинальный объем отделения i (для n отделений);
Ui - относительное значение U для отделения i (для n отделений);
Tam - значение окружающей температуры, измеренное во время испытания;
Tat - целевая (номинальная) наружная температура (коррекция до этой температуры);
Ti - температура отделения, измеренная во время испытания;

- ожидаемое воздействие
COP для данных условий испытания и данного типа прибора;
PSSM - значение мощности в стабильном состоянии во время испытания, определенное в соответствии с
приложением B;
PSS - откорректированное значение мощности в стабильном состоянии, ожидаемое при номинальной окружающей температуре испытаний согласно
приложению B.
С концептуальной точки зрения формула состоит из следующих компонентов:
- (Tat - Tam) - отклонение от целевой окружающей температуры, К;
- U·V - элементы числителя оценивают изменение поступления тепла для всех отделений;
- знаменатель - общее поступление тепла при наружной температуре;
- последний элемент - общая коррекция ожидаемого изменения COP при изменении окружающей температуры.
Следует отметить что уменьшение поступления тепла и поступление тепла в
уравнении выше основаны на относительных значениях
U и номинальном объеме каждого отделения (а не площади поверхности), поэтому оценка величины в Вт может быть неточной.
Значение Ui определяют методом оценки на базе номинальной рабочей температуры отделения. Такое определение построено на предположении, что отделения с более низкой рабочей температурой имеют более хорошую изоляцию (и соответственно более низкие значения U). Эмпирическое сопоставление с реальными данными показало, что следующие значения позволяют разумно оценить относительную изоляцию холодильных приборов с двумя отделениями.
Таблица L.1
Предполагаемое относительное значение изоляции
для оборудования с несколькими отделениями
Целевая температура отделения, °C | Относительная эффективность изоляции | Коэффициент относительной изоляции Urel |
-18 | 1,250 | 0,800 |
-12 | 1,182 | 0,846 |
-6 | 1,114 | 0,898 |
0 | 1,045 | 0,957 |
2 | 1,023 | 0,978 |
4 | 1,000 | 1,000 |
12 | 0,909 | 1,100 |
17 | 0,852 | 1,173 |
Общее уравнение коррекции можно еще более упростить, добавив в него значения относительной изоляции из
таблицы L.1 в качестве констант:
Значения коррекции
COP, включенные в формулу коррекции в приложении B
(таблица B.1), были откорректированы для оптимизации соответствия реальным данным. Ожидаемое номинальное воздействие
COP составляет примерно 1,2%/К при наружной температуре 16 °C и 1,7%/К при наружной температуре 32 °C при температуре испарителя 25 °C. Реальные значения могут отличаться от приведенных по следующим причинам:
- корректировка по наличию нескольких отделений помогает частично компенсировать использование объема вместо площади поверхности, и поэтому значения COP меньше ожидаемых;
- потери при пуске компрессора при более низких окружающих температурах становятся значительными и в некоторой мере компенсируют увеличение COP при снижении окружающей температуры (при низких окружающих температурах), потому что значения COP меньше ожидаемых;
- работа приборов с одним отделением более оптимизирована (меньше запусков, более высокая температура испарителя во всех холодильных приборах без низкотемпературных отделений).
(справочное)
СВЕДЕНИЯ О СООТВЕТСТВИИ ССЫЛОЧНЫХ МЕЖДУНАРОДНЫХ СТАНДАРТОВ
НАЦИОНАЛЬНЫМ СТАНДАРТАМ
Таблица ДА.1
Обозначение ссылочного международного стандарта | Степень соответствия | Обозначение и наименование соответствующего национального стандарта |
IEC 62552-1:2015 | IDT | ГОСТ Р МЭК 62552-1-2018 "Приборы холодильные бытовые. Характеристики и методы испытаний. Часть 1. Общие требования" |
IEC 62552-2:2015 | IDT | ГОСТ Р МЭК 62552-2-2018 "Приборы холодильные бытовые. Характеристики и методы испытаний. Часть 2. Требования к рабочим характеристикам" |
Примечание - В настоящей таблице использовано следующее условное обозначение степени соответствия стандартов: - IDT - идентичные стандарты. |