Главная // Актуальные документы // ГОСТ Р (Государственный стандарт)СПРАВКА
Источник публикации
М.: Стандартинформ, 2019
Примечание к документу
Документ
введен в действие с 01.04.2020.
Название документа
"ГОСТ Р ИСО 17190-11-2019. Национальный стандарт Российской Федерации. Средства для впитывания мочи при недержании. Методы испытаний для определения характеристик абсорбирующих материалов на полимерной основе. Часть 11. Определение содержания взвешенных частиц"
(утв. и введен в действие Приказом Росстандарта от 27.06.2019 N 341-ст)
"ГОСТ Р ИСО 17190-11-2019. Национальный стандарт Российской Федерации. Средства для впитывания мочи при недержании. Методы испытаний для определения характеристик абсорбирующих материалов на полимерной основе. Часть 11. Определение содержания взвешенных частиц"
(утв. и введен в действие Приказом Росстандарта от 27.06.2019 N 341-ст)
Утвержден и введен в действие
по техническому регулированию
и метрологии
от 27 июня 2019 г. N 341-ст
НАЦИОНАЛЬНЫЙ СТАНДАРТ РОССИЙСКОЙ ФЕДЕРАЦИИ
СРЕДСТВА ДЛЯ ВПИТЫВАНИЯ МОЧИ ПРИ НЕДЕРЖАНИИ
МЕТОДЫ ИСПЫТАНИЙ ДЛЯ ОПРЕДЕЛЕНИЯ ХАРАКТЕРИСТИК
АБСОРБИРУЮЩИХ МАТЕРИАЛОВ НА ПОЛИМЕРНОЙ ОСНОВЕ
ЧАСТЬ 11
ОПРЕДЕЛЕНИЕ СОДЕРЖАНИЯ ВЗВЕШЕННЫХ ЧАСТИЦ
Urine-absorbing aids at urine incontinence. Test methods
for characterizing polymer-based absorbent materials.
Part 11. Determination of suspended solids
(ISO 17190-11:2001, Urine-absorbing aids
for incontinence - Test methods for characterizing
polymer-based absorbent materials - Part 11:
Determination of content of respirable particles, IDT)
ГОСТ Р ИСО 17190-11-2019
Дата введения
1 апреля 2020 года
1 ПОДГОТОВЛЕН Федеральным государственным унитарным предприятием "Российский научно-технический центр информации по стандартизации, метрологии и оценке соответствия" (ФГУП "СТАНДАРТИНФОРМ") на основе собственного перевода на русский язык англоязычной версии стандарта, указанного в
пункте 4
2 ВНЕСЕН Техническим комитетом по стандартизации ТК 381 "Технические средства и услуги для инвалидов и других маломобильных групп населения"
3 УТВЕРЖДЕН И ВВЕДЕН В ДЕЙСТВИЕ
Приказом Федерального агентства по техническому регулированию и метрологии от 27 июня 2019 г. N 341-ст
4 Настоящий стандарт идентичен международному стандарту ИСО 17190-11:2001 "Средства для впитывания мочи при недержании. Методы испытания для определения характеристик абсорбирующих материалов на полимерной основе. Часть 11. Определение содержания вдыхаемых частиц" (ISO 17190-11:2001 "Urine-absorbing aids for incontinence - Test methods for characterizing polymer-based absorbent materials - Part 11: Determination of content of respirable particles", IDT).
Наименование настоящего стандарта изменено относительно наименования указанного международного стандарта для увязки с наименованиями, принятыми в существующем комплексе национальных стандартов.
При применении настоящего стандарта рекомендуется использовать вместо ссылочных международных стандартов соответствующие им национальные стандарты, сведения о которых приведены в дополнительном
приложении ДА
5 ВВЕДЕН ВПЕРВЫЕ
Правила применения настоящего стандарта установлены в статье 26 Федерального закона от 29 июня 2015 г. N 162-ФЗ "О стандартизации в Российской Федерации". Информация об изменениях к настоящему стандарту публикуется в ежегодном (по состоянию на 1 января текущего года) информационном указателе "Национальные стандарты", а официальный текст изменений и поправок - в ежемесячном информационном указателе "Национальные стандарты". В случае пересмотра (замены) или отмены настоящего стандарта соответствующее уведомление будет опубликовано в ближайшем выпуске ежемесячного информационного указателя "Национальные стандарты". Соответствующая информация, уведомление и тексты размещаются также в информационной системе общего пользования - на официальном сайте Федерального агентства по техническому регулированию и метрологии в сети Интернет (www.gost.ru)
Предисловие к ИСО 17190-11
Международная организация по стандартизации (ИСО) представляет собой организацию, объединяющую национальные органы по стандартизации (комитеты члены ИСО). Работа по подготовке международных стандартов, как правило, осуществляется с привлечением технических комитетов ИСО. Каждый комитет - член ИСО проявляющий интерес к тематике, по которой учрежден технический комитет, имеет право быть представленным в этом комитете. Международные организации, государственные и негосударственные, связанные с работой ИСО, также принимают участие в разработке материалов. ИСО тесно сотрудничает с Международной электротехнической комиссией (МЭК) по всем вопросам стандартизации в области электротехники.
Международные стандарты разрабатываются в соответствии с правилами, установленными в Директивах ИСО/МЭК, часть 3.
Проекты международных стандартов, принятые техническими комитетами, рассылаются комитетам-членам на голосование. Их публикация в качестве международных стандартов требует одобрения по меньшей мере 75% комитетов-членов, принимающих участие в голосовании.
Некоторые элементы настоящего документа могут быть предметом патентных прав. ИСО не берет на себя ответственность за идентификацию таких прав.
ИСО 17190-11 разработан подкомитетом ПК 3, "Средства помощи при стоме и недержании" Технического комитета ISO/TC 173 "Вспомогательные средства для лиц с ограничениями жизнедеятельности".
Серия стандартов ИСО 17190 под общим наименованием "Средства для впитывания мочи при недержании. Методы испытания для определения характеристик абсорбирующих материалов на полимерной основе" включает в себя следующие части:
- часть 1. Определение pH;
- часть 2. Определение количества остаточных мономеров;
- часть 3. Определение гранулометрического состава методом фракционирования с помощью просеивания;
- часть 4. Определение содержания влажности путем измерения потери массы при нагревании;
- часть 5. Гравиметрическое определение способности к свободному набуханию в солевом растворе;
- часть 6. Гравиметрическое определение способности задерживать жидкость в солевом растворе после центрифугирования;
- часть 7. Гравиметрическое определение поглощения под давлением;
- часть 8. Гравиметрическое определение скорости растекания;
- часть 9. Гравиметрическое определение плотности;
- часть 10. Определение содержания экстрагируемого полимера методом потенциометрического титрования;
- часть 11. Определение содержания вдыхаемых частиц.
Стандарты серии ИСО 17190 будут использованы совместно с ИСО 17191 "Средства для впитывания мочи при недержании. Измерение содержания воздушных вдыхаемых полиакрилатных супервпитывающих материалов. Определение содержания пыли в сборниках с применением атомной абсорбционной спектрометрии натрия".
Приложение A с высокой степенью вероятности является справочным.
Серия стандартов ИСО 17190 состоит из различных методов испытаний, первоначально разработанных Европейской ассоциацией нетканых материалов и отходов текстильной промышленности (EDANA). Эти методы испытаний без изменений включены в одну серию международных стандартов, состоящую из 11 частей (стандартов).
Данные методы испытаний использовались на практике несколько лет и зарекомендовали себя как надежные в отношении общих критериев качества методов испытаний (достоверность, воспроизводимость и др.). Они применимы к полиакрилату суперабсорбирующих материалов, которые относятся к продуктам гигиены, в том числе к средствам для впитывания мочи при недержании. Методы испытаний касаются исключительно материала. Они не предназначены и не применимы для испытаний выпускаемых средств для впитывания мочи при недержании.
Настоящий стандарт описывает метод для определения содержания вдыхаемых частиц в полиакрилате суперабсорбирующих порошков.
Примечание - Поступающие в продажу полиакрилатные суперабсорбирующие порошки содержат частицы, диаметр которых в среднем составляет от 400 до 800 мкм, что значительно превышает максимальный размер вдыхаемых частиц, составляющий около 10 мкм. Благодаря применяемым технологиям в продаваемых полиакрилатных суперабсорбирующих порошках может присутствовать небольшой объем вдыхаемых частиц.
Следующие ссылочные документы, приводимые в тексте настоящего стандарта, обязательны при применении настоящего документа. Для датированных ссылок применяется только указанное издание. Однако участникам соглашений на основе настоящего стандарта рекомендуется рассматривать наиболее поздние издания указанных ниже нормативных документов на предмет возможного применения. Для недатированных ссылок применяется последнее издание ссылочного документа. Члены ИСО и МЭК поддерживают актуализированные перечни действующих международных стандартов.
ISO 187, Paper, board and pulps - Standard atmosphere for conditioning and testing and procedure for monitoring the atmosphere and conditioning of samples (Бумага, картон и целлюлоза. Стандартная атмосфера для кондиционирования и испытания и методика контроля атмосферы и условий кондиционирования образцов)
ISO 3696, Water for analytical laboratory use - Specification and test methods (Вода для лабораторного анализа. Технические требования и методы испытаний)
ISO 5725-2, Accuracy (trueness and precision) of measurement methods and results - Part 2: Basic method for the determination of repeatability and reproducibility of a standard measurement method (Точность (правильность и прецизионность) методов и результатов измерений. Часть 2. Основной метод определения повторяемости и воспроизводимости стандартного метода измерения)
ISO 8213, Chemical products for industrial use - Sampling techniques - Solid chemical products in the form of particles varying from powders to coarse lumps (Продукты химические технические. Методика отбора образцов. Твердые химические продукты в виде частиц (от порошков до крупных кусков)
В настоящем стандарте применен следующий термин с соответствующим определением:
3.1 вдыхаемая частица (respirable particle): Частица размером менее 10 мкм.
Фракция частиц с размером менее 106 мкм суперабсорбирующих порошков отделяется от общей массы просевом через серию сит диаметром пор 500, 250 и 106 мкм. Фракцию вдыхаемых частиц (менее 10 мкм) определяют путем анализа фракции частиц, имеющих размеры менее 106 мкм, при помощи лазерного анализатора гранулометрического состава частиц, использующего дифракцию света. Для анализа вдыхаемых частиц использована влажная дисперсия фракции частиц размером менее 106 мкм в сухом петролейном эфире.
Используют реактивы только указанного состава, если не указано иное.
5.1 Петролейный эфир, сухой с интервалом температуры кипения от 60 °C до 80 °C.
6.1 Лабораторные весы с ценой деления (дискретностью отсчета) 0,01 г и пределом взвешивания до 800 г.
6.2 Лабораторный стакан из стекла вместимостью 150 мл.
6.3 Просеивающая машина марки Retsch 3D <1>, RO-TAP Model B <1> или эквивалентного типа, в которой можно установить не менее трех сетчатых нержавеющих фильтров (сит)
(6.4), в ее комплект входят поддон-сборник и крышка. Машина должна быть заземлена во избежание статического электричества.
--------------------------------
<1> Устройства типа Retsch 3D и RO-TAP Model B являются примерами подходящих изделий на потребительском рынке. Эта информация приведена для удобства пользователей настоящего стандарта, и использование данной продукции не является обязательным условием.
6.4 Сетчатые фильтры (сита) из нержавеющей стали диаметром пор 500, 250 и 106 мкм. Используют фильтры (сита) диаметром 200 мм для просеивающей машины типа RO-TAP Model B и фильтры (сита) диаметром 100 мм или 200 мм для просеивающей машины типа Retsch 3D (или эквивалентного типа).
6.5 Кисточка, например из верблюжьей шерсти, для очистки стандартных сит.
6.6 Противопылевой респиратор.
6.7 Лазерный анализатор гранулометрического состава частиц, использующий дифракцию света, например Coulter LS 100 <2>, Sympatec <2>, Malvern <2>, Cilas <2> или эквивалентные устройства.
--------------------------------
<2> Устройства типа Coulter LS 100, Sympatec, Malvern и Cilas являются примерами подходящих изделий на потребительском рынке. Настоящая информация дана для удобства пользователей настоящего стандарта, и использование данной продукции не является обязательным условием.
6.8 Прободелитель, например Retsch type PT <3>.
--------------------------------
<3> Устройство типа Retsch type PT является примером подходящих изделий на потребительском рынке. Настоящая информация дана для удобства пользователей настоящего стандарта, и использование данной продукции не является обязательным условием.
Меры предосторожности! Следует использовать средства защиты органов дыхания, респиратор или вытяжку при работе с образцом массой более 10 г.
7.1 Подготовка испытуемого образца
Для того чтобы гарантировать, что репрезентативный образец из сыпучего материала, содержащегося в большом мешке или хранилище, снимают верхний слой (примерно 20 см). Берут образец совком. Помещают образец в герметичный контейнер подходящего размера в течение 3 мин после отбора.
Перед началом испытания и отбором проб выдерживают испытуемые образцы в закрытом контейнере для выравнивания и достижения температуры лаборатории. Рекомендуемые условия проведения испытаний: температура (23 +/- 2) °C, относительная влажность (50 +/- 10)%. Если отсутствует возможность соблюдения этих условий, испытания проводят в условиях окружающей среды с указанием температуры и относительной влажности. Данные лабораторные условия должны соответствовать ИСО 187.
7.2 Испытательная проба
Прежде чем отобрать пробу из контейнеров для проведения испытаний, встряхивают контейнер от трех до пяти раз таким образом, чтобы получить однородный материал. Оставляют контейнер в покое на 5 мин до открывания крышки и отбора пробы для испытаний.
Перед тем как приступать к испытаниям, убеждаются в том, что во взятой пробе отсутствуют комки, диаметр которых превышает 1 мм.
Используя методику отбора образцов, установленную ИСО 8213, подготавливают с точностью до 1 г 100-граммовые испытательные пробы.
В случае использования прободелителя типа Retsch PT
(6.8) подготавливают испытательные пробы следующим образом:
a) присоединяют восемь стаканов (250 мл) к восьми трубкам прободелителя;
b) завешивают с точностью до 1 г, 800 г репрезентативного однородного испытуемого образца в лабораторном стакане;
c) переносят содержимое (образец), поместив в воронку прободелителя;
d) запускают в работу прободелитель, установив таймер на 15-минутной отметке.
8 Метод проведения испытаний
8.1 Убеждаются в чистоте и отсутствии повреждений сит
(6.4), а также взвешивают с точностью до 0,01 г и записывают массу поддона-сборника.
Размещают в правильном порядке сита на просеивающей машине, руководствуясь тем, что самое мелкоячеистое сито должно находиться внизу, а самое крупноячеистое наверху.
8.2 Берут содержимое из одной трубки прободелителя или 100-граммовый эквивалент из прободелителя другого типа, поместив его в лабораторный стакан, и взвешивают испытательную пробу с точностью до 0,01 г (ms).
8.3 Берут испытательную пробу и высыпают ее на сита в просеивающей машине. Накрывают крышкой сита и фиксируют их в соответствии с инструкциями изготовителя.
8.4 Устанавливают настройки просеивающей машины следующим образом:
- RO-TAP (круговое и встряхивающее движение): (150 +/- 5) импульсов встряхивания в минуту и (285 +/- 10) колебаний в минуту;
- Retsch: (70 +/- 2)% интенсивности.
Убеждаются в заземлении оборудования во избежание статического электричества. Запускают в работу просеивающую машину, установив таймер на 10 мин.
8.5 Аккуратно вынимают сита из просеивающей машины. Взвешивают с точностью до 0,01 г поддон-сборник с его содержимым и рассчитывают массу частиц, прошедших сквозь сито с размером пор 106 мкм и собранных в поддоне-сборнике (
m106).
8.6 Повторяют операции
8.1 -
8.5 для каждой трубки прободелителя или эквивалентной испытательной пробы.
8.7 Собирают вместе пробы диаметром частиц менее 106 мкм для измерений с использованием лазерного анализатора гранулометрического состава частиц.
8.8 Лазерный анализатор гранулометрического состава частиц
(6.7) должен быть откалиброван по соответствующему стандарту согласно инструкциям изготовителя (например, карбид кремния или эквивалент).
8.9 Делят суперабсорбирующие порошки, собранные в поддоне-сборнике на равные аликвотные пробы. Размер такой пробы определен количеством, которое необходимо подвергнуть анализу в лазерном анализаторе гранулометрического состава частиц.
8.10 Помещают одну аликвотную пробу в кювету с сухим петролейным эфиром
(5.1) согласно описанию, приведенному в руководстве по эксплуатации лазерного анализатора гранулометрического состава частиц. При проведении измерений для одной аликвотной пробы предохраняют от влажности другие аликвотные пробы (закрывают поддон-сборник или используют закрываемые контейнеры для каждой аликвотной пробы).
8.11 Помещают эту кювету в держатель образца лазерного анализатора гранулометрического состава частиц и начинают анализ в соответствии с руководством изготовителя по эксплуатации. Во избежание отложения осадка во время измерений помешивают рабочий раствор.
8.12 Записывают процентное соотношение вдыхаемых частиц в аликвотной пробе
pi.
8.13 Повторяют операции
8.10 -
8.12 для всех аликвотных проб, приготовленных в
8.9.
8.14 Повторяют измерения согласно
8.1 -
8.13 не менее трех раз.
Вычисляют усредненную процентную величину p вдыхаемых частиц по всем аликвотным пробам pi.
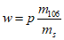
Рассчитывают массу вдыхаемых частиц, основываясь на изначальной массе испытательных проб w106, выраженную в виде массовой доли в процентах по формуле

,
где m106 - масса частиц, прошедших сквозь сито диаметром пор 106 мкм и собранных в поддоне-сборнике, г;
ms - масса испытательной пробы, г.
Рассчитывают среднюю массу вдыхаемых частиц по меньшей мере для трех испытательных проб.
Показатели повторяемости и воспроизводимости результатов данного метода испытаний являются результатом совместных исследований, проведенных в 1997 г. EDANA и представленных в
приложении A.
Расхождение между результатами параллельных испытаний, полученными в повторяющихся условиях испытаний в соответствии с ИСО 5725-2, не должно превышать предела повторяемости r более чем в 5% случаев:
r = 0,011%.
Расхождение между результатами параллельных испытаний, полученными в повторяющихся условиях испытаний в соответствии с ИСО 5725-2, не должно превышать предела воспроизводимости R более чем в 5% случаев:
R = 0,050%.
Если не соблюдены критерии повторяемости и воспроизводимости испытания, то испытание должно быть повторено дважды на удвоенном количестве образцов, для того чтобы убедиться в том, что исходный образец тщательно перемешан. Если эти критерии по-прежнему не выполнены, следует записать их результаты как недостоверные и затем выявить источник ошибки, например, путем проверки правильности работы контрольно-измерительных устройств и проведения испытания пробы материала с известным значением.
Протокол испытаний должен включать следующую информацию:
a) наименование и адрес испытательной лаборатории;
b) тип абсорбирующего материала на полимерной основе, включая все технические характеристики и исходную информацию, необходимую для полной идентификации образца;
c) ссылку на настоящий стандарт;
d) используемую методику отбора образцов;
e) количество испытуемых образцов;
f) модель просеивающей машины;
g) тип лазерного анализатора;
h) массу фракции с частицами диаметром менее 106 мкм m106 для каждой испытательной пробы;
i) результаты расчета процентной доли вдыхаемых частиц, основываясь на изначальной массе образцов w, выраженной в виде массовой доли в процентах для каждой испытательной пробы, а также усредненная процентная величина по измерениям вдыхаемых частиц на нескольких пробах;
j) любые особенности, отмеченные в ходе испытаний, или несоблюдение критериев повторяемости и/или воспроизводимости (см.
раздел 10);
k) любые отклонения от процедуры или любые процедуры, рассматриваемые как дополнительные.
(справочное)
СТАТИСТИЧЕСКИЕ РЕЗУЛЬТАТЫ МЕЖЛАБОРАТОРНЫХ ИСПЫТАНИЙ
Показатели повторяемости и воспроизводимости результатов данного метода являются результатом совместных исследований, проведенных в 1997 г. EDANA. Оценка межлабораторных испытаний проведена в соответствии с ИСО 5725-2, и получены следующие результаты:
Идентификация образца | A | B | C |
Количество участвующих лабораторий | 7 | 7 | 7 |
Количество лабораторий, результаты которых приняты (за исключением тех, чьи результаты отброшены как недостоверные) | 5 | 6 | 4 |
Количество принятых к рассмотрению результатов испытаний | 15 | 18 | 12 |
Среднее значение, % | 0,007 | 0,040 | 0,011 |
Повторяемость стандартного отклонения sr | 0,001 | 0,004 | 0,001 |
Повторяемость коэффициента вариации | 13,2% | 11,8% | 9,6% |
Предел повторяемости r (2,8·sr) | 0,003 | 0,011 | 0,003 |
Воспроизводимость стандартного отклонения sR | 0,005 | 0,018 | 0,005 |
Воспроизводимость коэффициента вариации | 64,3% | 44,9% | 47,4% |
Предел воспроизводимости R (2,8·sR) | 0,014 | 0,050 | 0,014 |
(справочное)
СВЕДЕНИЯ О СООТВЕТСТВИИ ССЫЛОЧНЫХ МЕЖДУНАРОДНЫХ СТАНДАРТОВ
НАЦИОНАЛЬНЫМ СТАНДАРТАМ
Таблица ДА.1
Обозначение ссылочного международного стандарта | Степень соответствия | Обозначение и наименование соответствующего национального стандарта |
ISO 187 | IDT | ГОСТ Р ИСО 187-2012 "Целлюлоза, бумага, картон. Стандартная атмосфера для кондиционирования и испытания. Метод контроля за атмосферой и условиями кондиционирования" |
ISO 3696 | - | |
ISO 5725-2 | IDT | ГОСТ Р ИСО 5725-2-2002 "Точность (правильность и прецизионность) методов и результатов измерений. Часть 2. Основной метод определения повторяемости и воспроизводимости стандартного метода измерений" |
ISO 8213 | - | |
<*> Соответствующий национальный стандарт отсутствует. До его принятия рекомендуется использовать перевод на русский язык международного стандарта. Официальный перевод данного международного стандарта находится в Федеральном информационном фонде стандартов. Примечание - В настоящей таблице использовано следующее условное обозначение степени соответствия стандартов: - IDT - идентичные стандарты. |
УДК 658.382.3:006.354 | |
Ключевые слова: средства для впитывания мочи, методы испытаний |