Главная // Актуальные документы // ГОСТ Р (Государственный стандарт)СПРАВКА
Источник публикации
М.: Стандартинформ, 2019
Примечание к документу
Документ
введен в действие с 1 января 2020 года.
Название документа
"ГОСТ Р 8.966-2019. Национальный стандарт Российской Федерации. Государственная система обеспечения единства измерений. Удельная электрическая проводимость воздуха. Метод измерений"
(утв. и введен в действие Приказом Росстандарта от 04.06.2019 N 276-ст)
"ГОСТ Р 8.966-2019. Национальный стандарт Российской Федерации. Государственная система обеспечения единства измерений. Удельная электрическая проводимость воздуха. Метод измерений"
(утв. и введен в действие Приказом Росстандарта от 04.06.2019 N 276-ст)
Утвержден и введен в действие
по техническому регулированию
и метрологии
от 4 июня 2019 г. N 276-ст
НАЦИОНАЛЬНЫЙ СТАНДАРТ РОССИЙСКОЙ ФЕДЕРАЦИИ
ГОСУДАРСТВЕННАЯ СИСТЕМА ОБЕСПЕЧЕНИЯ ЕДИНСТВА ИЗМЕРЕНИЙ
УДЕЛЬНАЯ ЭЛЕКТРИЧЕСКАЯ ПРОВОДИМОСТЬ ВОЗДУХА
МЕТОД ИЗМЕРЕНИЙ
State system for ensuring the uniformity of measurements.
Special electrical air conductivity. Measuring method
ГОСТ Р 8.966-2019
Дата введения
1 января 2020 года
1 РАЗРАБОТАН Федеральным государственным унитарным предприятием "Всероссийский научно-исследовательский институт физико-технических и радиотехнических измерений" (ФГУП "ВНИИФТРИ")
2 ВНЕСЕН Техническим комитетом по стандартизации ТК 206 "Эталоны и поверочные схемы"
3 УТВЕРЖДЕН И ВВЕДЕН В ДЕЙСТВИЕ
Приказом Федерального агентства по техническому регулированию и метрологии от 4 июня 2019 г. N 276-ст
4 ВВЕДЕН ВПЕРВЫЕ
Правила применения настоящего стандарта установлены в статье 26 Федерального закона от 29 июня 2015 г. N 162-ФЗ "О стандартизации в Российской Федерации". Информация об изменениях к настоящему стандарту публикуется в ежегодном (по состоянию на 1 января текущего года) информационном указателе "Национальные стандарты", а официальный текст изменений и поправок - в ежемесячном информационном указателе "Национальные стандарты". В случае пересмотра (замены) или отмены настоящего стандарта соответствующее уведомление будет опубликовано в ближайшем выпуске ежемесячного информационного указателя "Национальные стандарты". Соответствующая информация, уведомление и тексты размещаются также в информационной системе общего пользования - на официальном сайте Федерального агентства по техническому регулированию и метрологии в сети Интернет (www.gost.ru)
Настоящий стандарт устанавливает метод измерений удельной электрической проводимости воздуха (УЭПВ) на основе аспирационного конденсатора.
Метод измерений рекомендуется применять в системах анализа электрических параметров воздуха (газа) с цилиндрическим и/или плоскопараллельным аспирационным конденсатором.
Метод измерений реализуют в системах анализа электрических и физико-химических свойств воздушных (газовых) сред в приземном слое атмосферы, при экологическом мониторинге и в метеоисследованиях.
В настоящем стандарте использованы нормативные ссылки на следующие стандарты:
ГОСТ 8.010 Государственная система обеспечения единства измерений. Методики выполнения измерений. Основные положения
ГОСТ Р ИСО 5725-2 Точность (правильность и прецизионность) методов и результатов измерений. Часть 2. Основной метод определения повторяемости и воспроизводимости стандартного метода измерений
Примечание - При пользовании настоящим стандартом целесообразно проверить действие ссылочных стандартов в информационной системе общего пользования - на официальном сайте Федерального агентства по техническому регулированию и метрологии в сети Интернет или по ежегодному информационному указателю "Национальные стандарты", который опубликован по состоянию на 1 января текущего года, и по выпускам ежемесячного информационного указателя "Национальные стандарты" за текущий год. Если заменен ссылочный стандарт, на который дана недатированная ссылка, то рекомендуется использовать действующую версию этого стандарта с учетом всех внесенных в данную версию изменений. Если заменен ссылочный стандарт, на который дана датированная ссылка, то рекомендуется использовать версию этого стандарта с указанным выше годом утверждения (принятия). Если после утверждения настоящего стандарта в ссылочный стандарт, на который дана датированная ссылка, внесено изменение, затрагивающее положение, на которое дана ссылка, то это положение рекомендуется применять без учета данного изменения. Если ссылочный стандарт отменен без замены, то положение, в котором дана ссылка на него, рекомендуется применять в части, не затрагивающей эту ссылку.
В настоящем стандарте применены следующие термины с соответствующими определениями:
3.1
удельная (электрическая) проводимость: Величина, характеризующая электропроводность вещества, скалярная для изотропного вещества и тензорная для анизотропного вещества, произведение которой на напряженность электрического поля равно плотности электрического тока проводимости. |
3.2
ионизированный воздух: Воздух, содержащий электрически заряженные частицы, образующиеся в результате ионизации. [ГОСТ Р 8.845-2013, статья 3.1] |
3.3
аэроионы: Электрически заряженные частицы (атомы, молекулы, комплексы молекул и высокодисперсные аэрозольные частицы (наночастицы) размером менее 20 нм) в воздухе (газе). [ГОСТ Р 8.845-2013, статья 3.2] |
3.4 электрическая подвижность: Отношение скорости установившегося движения электрически заряженной частицы под действием электрического поля к напряженности этого поля.
3.5 аэроионизатор: Устройство для ионизации воздуха.
3.6 аспирационный конденсатор: Воздушный конденсатор, применяемый для измерения электрических параметров ионизированного воздуха, пропускаемого между его обкладками, путем измерения силы электрического тока аэроионов, осаждаемых на измерительную обкладку, в зависимости от расхода воздуха и разности потенциалов на конденсаторе.
3.7 интегральный аспирационный конденсатор: Аспирационный конденсатор с одной измерительной обкладкой и одним входным аспирационным отверстием.
4 Сущность метода измерений
Метод измерений основан на пропускании ионизированного воздуха через электрическое поле внутри аспирационного конденсатора и на измерении силы электрического тока аэроионов через измерительную обкладку аспирационного конденсатора.
Направленное движение ионов в электрическом поле создает ионный ток, плотность которого зависит от концентрации аэроионов и их подвижности. УЭПВ описывается формулой

, (1)
где

- УЭПВ, См·м
-1;
k - электрическая подвижность аэроионов, В/(м·с);

- счетная концентрация аэроионов с электрической подвижностью
k, м
-3.
Удельная электрическая проводимость связана с электрической проводимостью (и, соответственно, электрическим сопротивлением) проводника формулой

, (2)
где R - электрическое сопротивление, Ом;
G - электрическая проводимость проводника, См;

- удельная электрическая проводимость проводника, См·м
-1;
S - площадь сечения проводника, м2;
l - длина проводника, м.
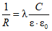
Когда рассматриваемым проводником между обкладками плоского конденсатора является воздух, то справедливо соотношение

, (3)
где C - электрическая емкость конденсатора, Ф;

- относительная диэлектрическая проницаемость воздуха (допускается принимать

);

- электрическая постоянная, равная 8,85·10
-12 Ф/м.
В этом случае

. (4)
Метод измерения УЭПВ основан на явлении возникновения постоянного электрического тока при подаче на обкладки интегрального аспирационного конденсатора (ИАК) постоянного напряжения при условии постоянного протекания через ИАК потока исследуемого воздуха. УЭПВ при использовании аспирационного конденсатора определяют по
формуле (4), из которой следует

, (5)
где I - сила тока с измерительной обкладки ИАК, А;
U - рабочее напряжение между обкладками ИАК, В.
Для обеспечения режима измерений в области проводимости вольтамперной характеристики ИАК должно быть соблюдено условие

, (6)
где k' - предельная (минимальная) подвижность аэроионов, полностью осаждаемых ИАК, м2·с-1·В-1;
W - объемный расход потока воздуха в ИАК, м3·с-1;
kmax - верхняя граница спектра подвижностей аэроионов в исследуемом воздухе, м2·с-1·В-1, равная 2,5·10-4 м2·с-1·В-1 для атмосферных ионов.
5 Описание средства измерений
На
рисунке 1 приведена типовая блок-схема установки для измерения УЭПВ (далее - установка).
Рисунок 1 - Типовая блок-схема установки для измерения УЭПВ
Допускается применение других конфигураций установок, например конфигурации с двумя одинаковыми или различными аспирационными конденсаторами для измерений иных электрических параметров воздуха, измерительных систем с несколькими средствами измерений различных параметров ионизированного воздуха или систем с несколькими параллельными аспирационными конденсаторами и средствами измерений химического состава выбранной группы аэроионов и/или счетной концентрации аэрозолей на выходах аспирационного конденсатора.
5.1 Аспирационные конденсаторы
5.1.1 Для измерений УЭПВ применяют ИАК, имеющие по одному входному и выходному отверстию, через которые проходит воздух с расходом W, одну измерительную обкладку и одну обкладку, находящуюся под напряжением U относительно заземленного экрана (отталкивающая обкладка). Силу ионного электрического тока, проходящего через измерительную обкладку, измеряют электрометром.
5.1.2 Течение воздуха от точки поступления пробы в ИАК до точки вывода должно быть ламинарным. Объемные расходы потоков, температура и давление в ИАК должны быть определены и сохранены неизменными в процессе измерений.
5.1.3 Для обеспечения проверки работы установки рекомендуется обеспечить возможность подсоединения аэроионизатора к входу измерительного блока. Целесообразно использовать в качестве генератора легких аэроионов аэроионизатор с источником ионизации на основе радиоизотопов с

или

(например, плутония-239, никеля-63 и др.) с последующим регулированием УЭПВ путем приложения разности потенциалов к электростатическим осадителям на выходе. Для стабилизации генерируемых параметров ионизированного воздуха аэроионизатор должен находиться на таком расстоянии от измерительного блока, чтобы воздух поступал в измерительный блок не менее чем через 0,1 с после ионизации.
5.2 Устройство отбора и регулирования расхода воздуха
5.2.1 Устройство отбора и регулирования расхода воздуха предназначено:
- для отбора воздуха;
- для регулирования и/или измерения объемного расхода воздуха;
- при необходимости (для исследований воздуха в лабораторных условиях) - для очистки, деионизации, осушения и подачи воздуха на вход генератора аэроионов и далее на вход аспирационных конденсаторов.
5.2.2 Подачу и/или отбор воздуха осуществляют побудителем расхода воздуха (например, вентилятором), обеспечивающим стабильное значение расхода воздуха в измерительном блоке.
6.1 При выполнении измерений соблюдают условия окружающей среды, указанные в руководствах по эксплуатации применяемых средств.
6.2 В зоне размещения установки должны отсутствовать механические вибрации частотами до 30 Гц и амплитудой виброперемещений более 0,75 мм.
6.3 Не допускается прямое попадание солнечных лучей на установку.
7 Требования безопасности
7.1 Измерения должны выполнять лица, прошедшие инструктаж по технике безопасности и допущенные к работе с электротехническими изделиями до 1000 В, имеющие квалификационную группу по электробезопасности не ниже III.
7.2 При выполнении измерений соблюдают требования безопасности, указанные в эксплуатационной документации на средства измерений.
7.3 В случае применения радионуклидных аэроионизаторов работу с установкой в части, требующей их применения, должны выполнять лица, допущенные к работе с источниками ионизирующих излучений. Порядок эксплуатации установки в части радиационной безопасности регламентируется нормативными документами
[1],
[2].
8 Порядок подготовки и проведения измерений
8.1 Подготовка и проведение измерений включают в себя:
- проверку работы всех частей установки;
- проверку фона измерительных каналов и устройств установки;
- подготовку воздуха (при необходимости);
- измерение и обработку данных.
9 Измерение и обработка данных
9.1 Включают средства измерений, входящие в состав установки, и после их прогрева в течение 30 мин подсоединяют к ИАК расходомер и устройство отбора воздуха.
9.2 Измеряют уровень собственного фона ИАК, т.е. показания электрометра в отсутствие протяжки воздуха через ИАК:

- в отсутствие напряжения между электродами ИАК, А;

и

- при рабочем напряжении (положительном и отрицательном соответственно) между электродами ИАК, А.
9.3 Устанавливают по показаниям расходомера значение расхода воздуха через ИАК, соответствующее
условию (6).
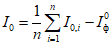
9.4 Снимают показания электрометра при количестве измерений не менее 10 при заземленной отталкивающей обкладке. Рассчитывают значение I0, А, по формуле

, (7)
где n - число измерений;
I0,i - i-е показание электрометра при заземленной отталкивающей облатке, А.
9.5 Устанавливают по показаниям вольтметра на высоковольтном электроде напряжение
U, удовлетворяющее
условию (6), со знаком, соответствующим полярности измеряемой удельной электрической проводимости.
9.6 Снимают показания электрометра при числе измерений не менее 10. Рассчитывают значение I1, А, по формуле

, (8)
где n - число измерений;
I1,i - i-е показание электрометра при рабочем напряжении U, А;

- значение собственного фона

или

, полученное в
9.2, соответственно знаку поданного напряжения, А.
Полученные результаты записывают в протокол измерений.
9.7 Рассчитывают значение силы электрического тока I, А, за вычетом силы электрического тока при заземленной отталкивающей обкладке по формуле
I = I1 - I0. (9)
9.8 Рассчитывают электрическую емкость ИАК исходя из геометрических размеров ИАК.
10 Правила оформления результатов измерений
10.1 В отчете об измерениях приводят результаты измерений УЭПВ с указанием измеренных значений и показателей точности согласно
ГОСТ 8.010, а также следующей информации:
- условия проведения измерений (температура окружающего воздуха, относительная влажность воздуха, атмосферное давление);
- идентификация установки, включая наименование изготовителя, модель и серийный номер;
- дата и время проведения измерений.
10.2 Оценку повторяемости (сходимости) и воспроизводимости измерений, если требуется, проводят в соответствии с
ГОСТ Р ИСО 5725-2.
| | Нормы радиационной безопасности НРБ-99/2009 |
| | Основные санитарные правила обеспечения радиационной безопасности ОСПОРБ-99/2010 |