Главная // Актуальные документы // ГОСТ Р (Государственный стандарт)СПРАВКА
Источник публикации
М.: Стандартинформ, 2019
Примечание к документу
Документ
введен в действие с 1 декабря 2019 года.
Название документа
"ГОСТ Р 8.957-2019. Национальный стандарт Российской Федерации. Государственная система обеспечения единства измерений. Фасованные товары. Методы испытаний на соответствие основным метрологическим требованиям"
(утв. и введен в действие Приказом Росстандарта от 23.04.2019 N 147-ст)
"ГОСТ Р 8.957-2019. Национальный стандарт Российской Федерации. Государственная система обеспечения единства измерений. Фасованные товары. Методы испытаний на соответствие основным метрологическим требованиям"
(утв. и введен в действие Приказом Росстандарта от 23.04.2019 N 147-ст)
Утвержден и введен в действие
агентства по техническому
регулированию и метрологии
от 23 апреля 2019 г. N 147-ст
НАЦИОНАЛЬНЫЙ СТАНДАРТ РОССИЙСКОЙ ФЕДЕРАЦИИ
ГОСУДАРСТВЕННАЯ СИСТЕМА ОБЕСПЕЧЕНИЯ ЕДИНСТВА ИЗМЕРЕНИЙ
ФАСОВАННЫЕ ТОВАРЫ
МЕТОДЫ ИСПЫТАНИЙ НА СООТВЕТСТВИЕ
ОСНОВНЫМ МЕТРОЛОГИЧЕСКИМ ТРЕБОВАНИЯМ
State system for ensuring the uniformity of measurements.
Prepackaged goods. The test methods for compliance
with the main metrological requirements
ГОСТ Р 8.957-2019
Дата введения
1 декабря 2019 года
1 РАЗРАБОТАН Федеральным государственным унитарным предприятием "Всероссийский научно-исследовательский институт метрологической службы" (ФГУП "ВНИИМС")
2 ВНЕСЕН Техническим комитетом по стандартизации ТК 53 "Основные нормы и правила по обеспечению единства измерений"
3 УТВЕРЖДЕН И ВВЕДЕН В ДЕЙСТВИЕ
Приказом Федерального агентства по техническому регулированию и метрологии от 23 апреля 2019 г. N 147-ст
4 ВВЕДЕН ВПЕРВЫЕ
Правила применения настоящего стандарта установлены в статье 26 Федерального закона от 29 июня 2015 г. N 162-ФЗ "О стандартизации в Российской Федерации". Информация об изменениях к настоящему стандарту публикуется в ежегодном (по состоянию на 1 января текущего года) информационном указателе "Национальные стандарты", а официальный текст изменений и поправок - в ежемесячном информационном указателе "Национальные стандарты". В случае пересмотра (замены) или отмены настоящего стандарта соответствующее уведомление будет опубликовано в ближайшем выпуске ежемесячного информационного указателя "Национальные стандарты". Соответствующая информация, уведомление и тексты размещаются также в информационной системе общего пользования - на официальном сайте Федерального агентства по техническому регулированию и метрологии в сети Интернет (www.gost.ru)
Настоящий стандарт разработан на базе рекомендаций Международной организации законодательной метрологии (МОЗМ) <1> OIML R 87:2016 "Количество фасованных товаров". Кроме того, в настоящем стандарте учтены основные положения следующих документов: рекомендации МОЗМ OIML R 79:2015 "Требования к маркировке фасованных товаров", руководство МОЗМ OIML G 21:2017 "Руководство для определения требований к системе сертификации фасованных товаров".
--------------------------------
<1> The International Organization of Legal Metrology (OIML), www.oiml.org.
Настоящий стандарт распространяется на фасованные товары любого вида независимо от способа их упаковывания.
Настоящий стандарт устанавливает методы испытаний на соответствие фасованных товаров метрологическим требованиям, установленным
ГОСТ Р 8.956, предъявляемым к количеству товаров, содержащихся в упаковочных единицах, а также к партии фасованных товаров.
Настоящий стандарт предназначен для юридических лиц и индивидуальных предпринимателей, производящих, фасующих, продающих, импортирующих фасованные товары любого вида, разрабатывающих нормативные документы на фасованную продукцию, изготавливающих фасовочное оборудование, осуществляющих метрологический надзор за количеством фасованных товаров, а также для государственных органов, осуществляющих государственный метрологический надзор за расфасовкой и количеством фасованных товаров в упаковках любого вида.
В настоящем стандарте использованы нормативные ссылки на следующие стандарты:
ГОСТ 17527 (ISO 21067:2007) Упаковка. Термины и определения
Примечание - При пользовании настоящим стандартом целесообразно проверить действие ссылочных стандартов в информационной системе общего пользования - на официальном сайте Федерального агентства по техническому регулированию и метрологии в сети Интернет или по ежегодному информационному указателю "Национальные стандарты", который опубликован по состоянию на 1 января текущего года, и по выпускам ежемесячного информационного указателя "Национальные стандарты" за текущий год. Если заменен ссылочный стандарт, на который дана недатированная ссылка, то рекомендуется использовать действующую версию этого стандарта с учетом всех внесенных в данную версию изменений. Если заменен ссылочный стандарт, на который дана датированная ссылка, то рекомендуется использовать версию этого стандарта с указанным выше годом утверждения (принятия). Если после утверждения настоящего стандарта в ссылочный стандарт, на который дана датированная ссылка, внесено изменение, затрагивающее положение, на которое дана ссылка, то это положение рекомендуется применять без учета данного изменения. Если ссылочный стандарт отменен без замены, то положение, в котором дана ссылка на него, рекомендуется применять в части, не затрагивающей эту ссылку.
В настоящем стандарте применяют термины по
ГОСТ 16299 и
ГОСТ 17527, а также следующие термины с соответствующими определениями:
3.1
бракованная (по параметру "содержимое нетто") упаковочная единица: Упаковочная единица, содержимое нетто которой меньше минимально допускаемого значения содержимого нетто, вследствие чего она не подлежит выпуску в обращение. [ГОСТ Р 8.956-2019, пункт 3.1] |
3.2 (вес [масса]) брутто упаковочной единицы; mбр: Общий вес упаковочной единицы вместе с упаковочным материалом [тарой].
3.3
выборка; (Нрк. объем выборки); n: Число упаковок, произвольным образом взятых из контрольной партии, подлежащей проверке на предмет установления соответствия установленным требованиям и принятия решения о годности или отбраковке всей контрольной партии. |
Примечания
1 В приложении А приведен
план проведения процедуры испытаний контрольной партии фасованных товаров на основании испытаний выборки.
2 В приложении Б приведен
план поэтапного выборочного контроля.
3 В
приложении В приведено подробное описание планов выборок.
3.4
государственный метрологический надзор за расфасовкой и за количеством фасованных товаров в упаковках любого вида при их расфасовке, продаже и импорте: Деятельность, осуществляемая государственными органами в целях проверки соответствия количества фасованных товаров установленным требованиям путем проверки документированных результатов метрологического надзора за количеством фасованных товаров, проводимого метрологической службой или иной организационной структурой изготовителя, фасовщика, продавца или импортера фасованных товаров (или индивидуальным предпринимателем), а также путем инструментальной проверки соответствия количества фасованных товаров. |
3.5
индивидуальное отклонение упаковочной единицы; ti: Разность между фактическим количеством товара, содержащегося в упаковке, и номинальным количеством той же упаковки (ti = mi - M). |
3.6
масса основного продукта без жидкости; mс: Масса сцеженного продукта без заливочной жидкости. Примечания 1 В международной практике также используют термины "количество сухого продукта" и "сухой вес". 2 В качестве примеров могут выступать такие продукты, как зеленый горошек без заливочного раствора, маринованные овощи без маринада, фрукты и ягоды без сиропа и т.п. |
3.7
метрологический надзор за количеством фасованных товаров любого вида: Деятельность, осуществляемая метрологическими службами или иными организационными структурами юридических лиц, а также индивидуальными предпринимателями, специализирующимися на производстве, расфасовке, продаже или импорте фасованных товаров, по надзору за соблюдением требований, предъявляемых к количеству фасованных товаров. |
3.8
минимальное допускаемое значение содержимого нетто (Нрк. допуск нетто); mд: Предел допускаемого значения содержимого нетто упаковочной единицы, при котором ее считают еще годной для выпуска в обращение (mд = M - T). |
3.9
номинальное количество (потребительского товара); M: Количество товара, указанное на упаковке. |
3.10
основная цена фасованного товара; Ц: Цена товара, пересчитанная на единицу количества потребительского товара. Пример - Цена товара за 1 кг, 1 л и т.п. |
3.11
основное информационное поле упаковки: Часть упаковки фасованного товара, предназначенная для того, чтобы в обычных условиях можно было получить четкое представление о содержимом упаковки. |
3.12
отклонение; T1: Недовложение, которое больше допускаемого недовложения T, но меньше двойного допускаемого недовложения для данного номинального количества (2T). |
3.13
отклонение; T2: Недовложение, которое в два раза больше допускаемого недовложения для данного номинального количества (2T). |
3.14
партия фасованных товаров (предназначенная для метрологического надзора): Фасованные товары, на которые распространяются результаты государственного метрологического надзора, имеющие, как правило, одно и то же номинальное количество потребительского товара, один и тот же вид упаковки, расфасованные одним и тем же юридическим лицом или индивидуальным предпринимателем. |
Примечания
1 Термин соответствует термину "контролируемая партия" по ГОСТ Р 50779.11-2000 (ИСО 3534-93),
статья 1.3.5.
2 При проведении метрологического надзора и государственного метрологического надзора за расфасовкой и количеством фасованных товаров, осуществляемых при их расфасовке, партией фасованных товаров считаются фасованные товары, имеющие, как правило, одно и то же номинальное количество, один и тот же способ упаковывания, осуществляемого в одном и том же месте в течение определенного промежутка времени, и предназначенные к одновременной сдаче, приемке, осмотру и качественной оценке.
3.15
предел допускаемых отрицательных отклонений содержимого нетто упаковочной единицы; T: Максимальное количество недовложения продукта в упаковочную единицу, при котором она остается пригодной для выпуска в обращение. |
3.16
(содержимое) нетто упаковочной единицы; m: Количество потребительского товара в упаковке. |
3.17
среда: Жидкое вещество в упаковке с фасованным продуктом, не предназначенное для употребления и удаляемое после использования товара, за исключением тех случаев, когда оно является естественной составляющей продукта. Примечание - В качестве сред могут выступать заливочная жидкость, замороженная жидкость, ледяная глазурь. |
Примечания
1 В
приложении Г приведены принципы определения количества "сухого продукта" в жидкой среде.
2 В
приложении Д приведена процедура испытаний для установления фактического количества замороженных продуктов.
3.18
среднее отклонение; : Отношение суммы отклонений каждой упаковки с учетом их арифметического знака к числу упаковок в контрольной партии N или в выборке n. |
3.19
среднее содержимое (нетто партии фасованных товаров): Характеристика партии фасованных товаров с одинаковым номинальным количеством содержимого упаковки, определяющая среднее значение содержимого нетто в партии. |
Примечание - В настоящем стандарте среднее содержимое обозначается

.
3.20
стандартное отклонение количества фасованных товаров контрольной партии;
[выборки; S]: Статистическая характеристика контрольной партии
N [выборки
n] фасованных товаров.
3.21
упаковочный материал: Часть упаковки, предназначенная для выброса после использования продукта. |
Примечание - В
приложении Е приведена процедура определения массы упаковочного материала (массы тары).
3.22
"фальшивая" упаковка: Упаковка, дающая своим внешним видом ложное представление о количестве содержимого, которая более чем на 30% объема упаковки не заполнена товаром (за исключением подарочных и сувенирных товаров, а также тех товаров, к упаковке которых в соответствии с нормативными документами предъявляют специфические требования). |
Примечание - В
приложении Ж приведено требование по запрету фальшивых упаковок.
3.23
фасованные товары: Товары в упаковках, которые упаковывают и запечатывают в отсутствие покупателя, независимо от того, закрывает упаковочный материал продукт полностью или частично, при этом содержимое упаковки не может быть изменено без ее вскрытия или деформации, а масса, объем, длина, площадь или иные величины, указывающие количество содержащегося в упаковке товара, обозначены на упаковке. |
3.24
фасованные товары с одинаковым номинальным количеством содержимого упаковки: Фасованные товары, характеризующиеся одним и тем же значением номинального количества потребительского товара, указанным на всех упаковках. |
3.25
фасованные товары с различным номинальным количеством содержимого упаковки: Фасованные товары, характеризующиеся различными значениями количества потребительского товара, указанными на каждой отдельной упаковке (например, упаковки с кусковым мясом или сыром, овощами, фруктами и т.п.). |
4 Общие требования к методам испытаний фасованных товаров на соответствие основным метрологическим требованиям
4.1 Испытания на соответствие фасованных товаров основным метрологическим требованиям, основанные на результатах проверки выборки, отобранной из партии фасованных товаров, предназначенной для выпуска в обращение, могут проводить представители:
- метрологической службы или других организационных структур предприятия-изготовителя фасованных товаров на участке их изготовления (расфасовки);
- предприятий оптовой торговли, импортеры, представители организаций, имеющих полномочия по осуществлению данного вида контроля, на складе готовой продукции предприятия-изготовителя или предприятия торговли.
4.2 В контрольной партии, взятой с производственной линии, не должно быть упаковок, которые были отклонены применяемой на предприятии системой контроля.
4.3 Расширенные неопределенности (при коэффициенте охвата k = 2) средств измерений и методов испытаний, используемых для определения контролируемых параметров, не должны превышать 0,2
T.
4.4 Основное содержание контрольных испытаний заключается в определении трех следующих параметров:
а) среднее отклонение количества фасованных товаров от номинального количества, указанного на упаковках;
б) число бракованных упаковок в контрольной партии с отклонением T1;
в) число бракованных упаковок в контрольной партии с отклонением T2.
Примечание - В нормативных документах, регламентирующих требования к количеству конкретных фасованных товаров, в дополнение к допускаемым недовложениям могут быть разрешены допуски на потери некоторого количества продукта после его упаковки в результате обычного и естественного воздействия окружающей среды в результате хранения. Данное положение не распространяется на продукты, герметично упакованные в воздухонепроницаемом материале.
4.5 Контрольная партия принимается, если она удовлетворяет требованиям, установленным к трем вышеуказанным параметрам, или бракуется, если она не соответствует как минимум одному из данных требований.
5 Критерии годности контрольной партии на основании результатов испытаний выборки
Решение о годности или отбраковке контрольной партии должно быть принято на основании измерений характеристик, случайно отобранных из контрольной партии упаковок, образующих выборку фасованных товаров.
а) Среднее содержимое партии фасованных товаров должно быть не менее номинального количества, указанного на упаковке, при этом вероятность ошибочной отбраковки годной партии фасованных товаров должна быть не более 0,5%.
Среднее содержимое

вычисляют по формуле

, (1)
где

- стандартное отклонение количества фасованных товаров партии фасованных товаров.
При этом вероятность правильной отбраковки бракованной партии будет не менее 90%.
б) Требование к упаковочной единице - фактическое количество содержимого упаковки должно соответствовать номинальному количеству с учетом допускаемых отклонений
T, установленных
ГОСТ Р 8.956.
Если в контрольной партии не более 2,5% упаковок будут иметь отклонение T1, вероятность принятия годной партии фасованных товаров по выборке будет составлять не менее 95%. Когда в контрольной партии содержится более 9% упаковок с отклонениями T1 и T2, вероятность правильной отбраковки бракованной партии по результатам контроля выборки будет составлять 90%.
6 Статистические принципы выборочного контроля (правила приемки партии по результатам испытаний выборки)
6.1 Проверка соответствия требованию, предъявляемому к среднему содержимому контрольной партии фасованных товаров
Партия фасованных товаров бракуется, если

, (2)
где

- среднее отклонение количества фасованных товаров, вошедших в выборку, от номинального значения;
s - стандартное отклонение количества фасованных товаров, вошедших в выборку;
Указанные правила приемки контрольной партии фасованных товаров по параметру "Среднее отклонение от номинального количества товаров партии фасованных товаров" гарантируют выполнение условий, установленных в
разделе 5, перечисление а).
6.2 Проверка соответствия требованию, предъявляемому к упаковочным единицам партии фасованных товаров по параметру T1
Партия фасованных товаров бракуется, если число упаковок в выборке с отклонением
T1 превышает число, приведенное в
таблице 1 (колонка 3).
Указанные правила приемки контрольной партии фасованных товаров по параметру "Количество бракованных упаковок в партии фасованных товаров" гарантируют выполнение условий, установленных в
разделе 5, перечисление б).
6.3 Проверка соответствия требованию, предъявляемому к упаковочным единицам партии фасованных товаров по параметру T2
Партия фасованных товаров бракуется, если как минимум одна упаковка в выборке имеет отклонение T2.
7 Установление объема партии для целей контрольных испытаний
7.1 Если образцы берут с производственной линии, объем контрольной партии должен быть равен максимальной почасовой производительности производственной линии без ограничений относительно объема контрольной партии.
7.2 Если отбор образцов фасованных товаров производят не на производственной линии, производительность которой в час заранее известна, а в помещении фасовщика, объем контрольной партии должен быть равен максимальной производительности в час, если она известна, или по крайней мере не менее 100 000 упаковок.
7.3 Если отбор образцов фасованных товаров производят не в помещении фасовщика, то есть когда не известны ни производительность в час, ни первоначальный размер партии (например, на складе торгового предприятия), объем контрольной партии определяет должностное лицо, осуществляющее проверку. При этом объем контрольной партии не должен превышать 100 000 упаковок, а партия считается однородной.
Для объема контрольной партии N в таблице 1 указаны минимальный объем выборки n, допускаемое число упаковок с отклонением T1 и поправочный коэффициент выборки SCF.
Таблица 1
Схема определения объема выборки n
для дискретных чисел объемов N контрольной партии
Объем контрольной партии N | | Допускаемое число упаковок с отклонением T1 | |
20 или менее | Все упаковки | 0 | - |
40 | 32 | 1 | 0,22 |
60 | 35 | 1 | 0,30 |
80 | 47 | 2 | 0,25 |
100 | 49 | 2 | 0,28 |
200 | 64 | 3 | 0,27 |
300 | 67 | 3 | 0,29 |
400 | 81 | 4 | 0,26 |
500 | 81 | 4 | 0,27 |
От 600 до 100 000 | 98 | 5 | От 600 до 656 | 0,24 |
От 657 до 1 261 | 0,25 |
От 1 262 до 31 094 | 0,26 |
От 31 095 до 100000 | 0,27 |
(справочное)
ПРОВЕДЕНИЯ ПРОЦЕДУРЫ ИСПЫТАНИЙ КОНТРОЛЬНОЙ ПАРТИИ
ФАСОВАННЫХ ТОВАРОВ НА ОСНОВАНИИ ИСПЫТАНИЙ ВЫБОРКИ
А.1 Общие положения
Данная схема может быть использована для разработки процедур испытаний соответствия количества фасованных товаров требованиям
ГОСТ Р 8.956 путем отбора образцов из контрольной партии.
Примечание - Если испытания проводят с участием всех образцов из контрольной партии, то соответствие требованиям
ГОСТ Р 8.956 проверяют без использования поправочного коэффициента.
А.2 Процедура определения характеристик контрольной партии в соответствии с 4.4 и 7
А.2.1 Устанавливают объем выборки, соответствующий объему контрольной партии, согласно
таблице 1 (колонка 2).
| | ИС МЕГАНОРМ: примечание. Пункт А.2.2. дан в соответствии с официальным текстом документа. | |
А.2.2 Устанавливают допускаемое недовложение
T, соответствующее номинальному количеству содержимого упаковок, согласно указанному в
ГОСТ Р 8.956, приложении Е.
А.2.4 Измеряют и записывают "вес брутто"
mбрi для каждой
i-упаковки, которая будет вскрыта для установления веса тары. Определяют средний вес тары, применяя процедуры, изложенные в
приложении Е.
Примечания
1 Данный этап выполняют только в том случае, если используется гравиметрический метод неразрушающего контроля.
2 Для установления веса брутто упаковки с защитным газом или вакуумные упаковки должны быть вскрыты перед взвешиванием.
А.2.5 Измеряют и записывают вес брутто оставшихся упаковок в выборке и определяют отклонение количества товара в каждой упаковке от номинального количества одним из двух способов, указанных в А.2.5.1 и
А.2.5.2.
А.2.5.1 Применяя при испытаниях гравиметрический метод неразрушающего контроля:
а) вычисляют условное значение веса брутто
mбру, равное сумме среднего значения массы тары

и номинального значения массы фасованного товара в упаковке, по формуле

; (А.1)
б) определяют значение отклонения количества товара в каждой i-й упаковочной единице выборки от номинального количества ti по формуле
ti = mбрi - mбру. (А.2)
Примечания
1 Данный метод является рекомендуемым. Допускаются также другие не менее точные методы вычисления отклонения фактического количества товара от номинального количества в каждой i-й упаковочной единице в выборке. Используемый метод должен быть зафиксирован в протоколе испытаний.
2 При использовании гравиметрического метода для определения фактического количества жидкости в упаковочных единицах, которое указано на этикетках в единицах объема, фактическая масса жидкого продукта определяется как измеренный объем жидкости, умноженный на фактическую плотность жидкости, приведенную к нормальной температуре, составляющей 20 °C.
А.2.5.2 При применении разрушающего метода определяют фактическое количество продукта в каждой упаковочной единице выборки
mi, а затем вычисляют отклонение каждой
i-й упаковочной единицы
ti по формуле
ti = mi - M. (А.3)
А.2.6 Определяют соответствие результатов испытаний требованиям, предъявляемым к упаковочным единицам, согласно процедурам, описанным в А.2.6.1 -
А.2.6.4.
А.2.6.1 Идентифицируют все упаковки в выборке с отклонением ti < 0.
А.2.6.2 Если среди этих упаковок имеется как минимум одна упаковка с отклонением ti < -2T, контрольная партия должна быть забракована.
А.2.6.3 Подсчитывают число упаковок в выборке с отклонением
ti < -
T. Если это число превышает значение, указанное в
таблице 1 (колонка 3), то контрольная партия должна быть забракована.
А.2.6.4 Во всех других случаях контрольная партия фасованных товаров считается соответствующей требованиям, предъявляемым к упаковочным единицам.
| | ИС МЕГАНОРМ: примечание. В официальном тексте документа, видимо, допущена опечатка: пункт А.2.7.3 отсутствует. | |
А.2.7 Определяют соответствие результатов испытаний требованию, предъявляемому к среднему содержимому партии фасованных товаров, согласно процедурам, описанным в А.2.7.1 - А.2.7.3.
А.2.7.1 Вычисляют отклонение, суммируя отклонения фактического количества товара от номинального количества, полученные в
А.2.5.1 или
А.2.5.2 соответственно, и разделив сумму на объем выборки
n. Если

, то контрольная партия считается соответствующей требованию по среднему содержимому партии фасованных товаров. В этом случае отсутствует необходимость в процедуре А.2.7.2.
А.2.7.2 Определяют стандартное отклонение фактического количества товаров, вошедших в выборку, по формуле

, (А.4)
где S - стандартное отклонение фактического количества товаров, вошедших в выборку;
n - количество упаковок в выборке.
Вычисляют число

. Если полученное число отрицательное, партия бракуется. Если полученное число равно или больше 0, контрольная партия считается годной по параметру "среднее содержимое партии фасованных товаров".
(справочное)
ПОЭТАПНОГО ВЫБОРОЧНОГО КОНТРОЛЯ
В некоторых случаях необходим более практичный метод контроля годности партии фасованных товаров, позволяющий проводить испытания с выборкой меньшего объема. Причем лишь простое уменьшение объема выборки может приводить к увеличению вероятности принятия неправильного решения. Предлагаемый в данном приложении план поэтапной выборки лишен этого недостатка.
Б.2 Процедура проведения испытаний с использованием пошагового выборочного метода
В данном разделе демонстрируется пошаговый метод выборочного контроля за соответствием требованиям, предъявляемым как к среднему содержимому количества фасованных товаров контрольной партии, так и к содержимому упаковочных единиц. Особенность этого метода заключается в том, что сначала проводят испытания на соответствие требованиям, предъявляемым к упаковочным единицам, и, только если эти требования удовлетворяются, проводят испытания на соответствие требованию к среднему содержимому партии. Для окончательного принятия контрольной партии должны быть проведены оба вида испытаний.
Б.2.1 Процедуры проведения испытаний на соответствие требованиям, предъявляемым к упаковочным единицам
Данные процедуры также проиллюстрированы блок-схемами на
рисунках Б.1 -
Б.4.
Б.2.1.1 Определяют величину контрольной партии, подлежащей испытаниям.
Б.2.1.2 В соответствии с номинальным количеством
M, приписываемым данной партии фасованных товаров, определяют допускаемое отклонение в соответствии с
ГОСТ Р 8.956, приложением Е.
Б.2.1.3 Определяют объем контрольной партии
N и соответствующее ему значение объема выборки
n, которое может потребоваться на всех этапах испытаний в соответствии с
таблицей Б.1.
Пример - Рассмотрим партию с N = 100 - 139 и n = 75.
а) Выбирают произвольно 75 упаковок из контрольной партии и проставляют на них идентификационные номера (от 1 до 75). Эта группа из 75 выборочных единиц будет называться "исходная выборка". Эта процедура необходима для подтверждения случайности при отборе проб и для того, чтобы избежать повторного измерения одной и той же единицы выборки.
Примечание - В последующих процедурах контрольная партия должна быть забракована, если обнаружится как минимум одна упаковка с отклонением T2 или четыре и более упаковки с отклонением T1.
б) Шаг 1 (рисунок Б.1). Выбирают группу из 35 упаковок (от N 1 до N 35) из исходной выборки и измеряют фактическое количество товара в каждой упаковке. (После измерений не смешивают измеренные упаковки с остальными.) Считают число упаковок с отклонениями T1 и T2. Если среди 35 упаковок отсутствуют упаковки с отклонением T1, это означает, что требование к единичным упаковкам выполняется и можно переходить к этапу Б.2.2. Если есть упаковки с отклонением T1 (одна, две или три), то можно переходить к следующим процедурам, приведенным в перечислениях в), г) или д), соответственно.
Шаг 1 - Начало процедуры
Рисунок Б.1 - Пошаговый выборочный метод
на соответствие требованиям, предъявляемым к упаковочным
единицам (для партии объема N = 100 - 139)
в) Шаг 2 (рисунок Б.2). Если среди 35 упаковок имеется одна упаковка с отклонением T1, берут дополнительно из исходной выборки группу упаковок с номерами от N 36 до N 50 и определяют фактическое количество товара, содержащегося в этих упаковках. Если в этой группе отсутствуют упаковки с отклонением T1, то требование к единичным упаковкам выполняется и можно переходить к этапу Б.2.2. Если в совокупности с первой партией, взятой из исходной выборки, имеется две или три упаковки с отклонением T1, то следует переходить к процедуре, приведенной в перечислении г) или д), соответственно.
Шаг 2 - Обнаружение одной упаковки с отклонением T1 в шаге 1
Рисунок Б.2 - Пошаговый выборочный метод испытаний
на соответствие требованиям, предъявляемым к упаковочным
единицам для партии объема N = 100 - 139
г) Шаг 3 (рисунок Б.3). Если с отклонением T1 имеется две упаковки, берут дополнительно из исходной выборки упаковки с номерами от N 51 до N 60 и определяют фактическое количество содержащегося в них товара. Если в этой группе не обнаруживается упаковок с отклонением T1, то можно считать, что требование к единичным упаковкам выполнено и можно переходить к этапу Б.2.2. Если в совокупности с предыдущими группами количество упаковок с отклонением T1 равно трем, то следует переходить к процедуре д).
Шаг 3 - Обнаружение двух упаковок
с отклонением T1 в шаге 1 или 2
Рисунок Б.3 - Пошаговый выборочный метод испытаний
на соответствие требованиям, предъявляемым к упаковочным
единицам для партии объема N = 100 - 139
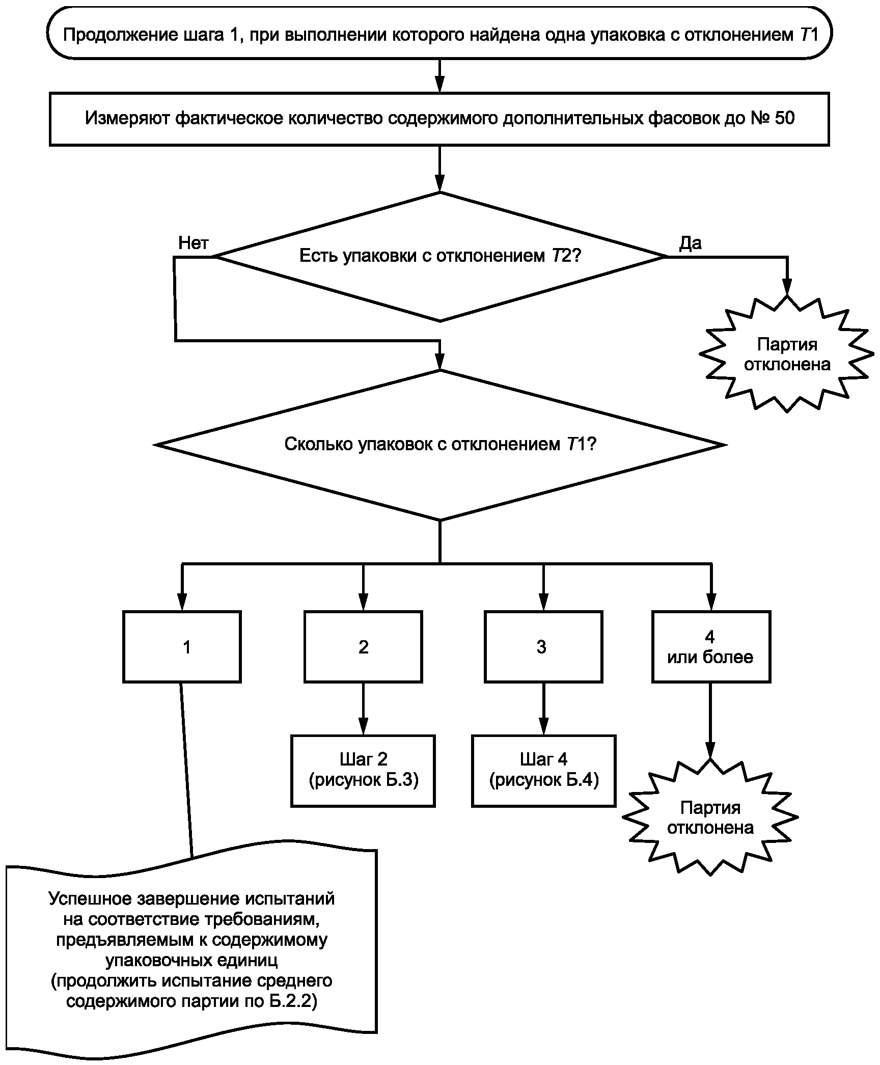
д) Шаг 4 (рисунок Б.4). Если с отклонением T1 имеется три упаковки, берут все оставшиеся образцы из исходной выборки (всего 75) и определяют фактическое количество товара, содержащегося в этих упаковках. Если в данной группе отсутствуют упаковки с отклонением T1, то требование к единичным упаковкам выполнено и можно переходить к этапу Б.2.2. Если в совокупности в исходной выборке количество упаковок с отклонением T1 более трех, то контрольную партию бракуют по показателю "Требования к упаковочным единицам".
Шаг 4 - Обнаружение трех упаковок
с отклонением T1 в шаге 1, 2 или 3
Рисунок Б.4 - Пошаговый выборочный метод испытаний
на соответствие требованиям, предъявляемым к упаковочным
единицам для партии объема N = 100 - 139
Б.2.2 Процедуры проведения испытаний на соответствие требованиям, предъявляемым к среднему содержимому партии фасованных товаров
Только в том случае, если испытания на соответствие требованиям, предъявляемым к упаковочным единицам, признаны успешными, следует приступать к выполнению следующего испытания - на соответствие требованию, предъявляемому к среднему содержимому партии фасованных товаров по стандартной схеме: необходимо определить объем партии
N и объем выборки
n, затем коэффициент SCF с помощью данных, приведенных в
таблице В.1 приложения В; рассчитать критерий годности контрольной партии по
формуле (2); принять решение о годности или забраковании контрольной партии фасованных товаров в соответствии с требованием, предъявляемым к среднему содержимому партии фасованных товаров. В расчетах по
формуле (2) объем выборки
n будет равен совокупному общему числу тех образцов, которые фактически отобраны в пошаговых процедурах, описанных в
Б.2.1.3.
Б.2.3 Окончательная оценка
Если контрольная партия успешно прошла испытания на соответствие требованиям, предъявляемым к упаковочным единицам
(Б.2.1), и требованию, предъявляемому к среднему содержимому партии фасованных товаров, то делается заключение о том, что партия удовлетворяет всем требованиям
ГОСТ Р 8.956 и может быть признана годной.
Таблица Б.1
Значения объемов выборки (
n), допускаемое количество
упаковок с отклонением T1 (nT1) в пошаговом выборочном
методе, предлагаемом в настоящем приложении
Объем партии N | Шаг N | Совокупный объем выборки n | Приемлемое число упаковок в выборке с отклонением T1 (nT1) |
Минимальный | Максимальный |
100 | 139 | 1 | 35 | 0 |
2 | 50 | 1 |
3 | 60 | 2 |
4 | 75 | 3 |
140 | 289 | 1 | 35 | 0 |
2 | 50 | 1 |
3 | 65 | 2 |
4 | 80 | 3 |
5 | 95 | 4 |
290 | 999 | 1 | 40 | 0 |
2 | 50 | 1 |
3 | 70 | 2 |
4 | 90 | 3 |
5 | 100 | 4 |
6 | 115 | 5 |
1000 | 100 000 | 1 | 40 | 0 |
2 | 55 | 1 |
3 | 70 | 2 |
4 | 95 | 3 |
5 | 105 | 4 |
6 | 120 | 5 |
7 | 135 | 6 |
(справочное)
ПОДРОБНОЕ ОПИСАНИЕ ПЛАНОВ ВЫБОРОК
В таблице В.1 приведено описание планов выборок.
Серии 1 (N = 21 - 310) | Серии 2 (N = 311 - 599) |
Объем контрольной партии N | Объем выборки n | Число допустимых упаковок с отклонением T1 | SCF | Объем контрольной партии N | Объем выборки n | Число допустимых упаковок с отклонением T1 | SCF |
21 | 20 | 1 | 0,14 | 311 | 79 | 4 | 0,26 |
22 | 21 | 1 | 0,14 | 312 | 80 | 4 | 0,25 |
23 | 22 | 1 | 0,13 | 313 | 80 | 4 | 0,26 |
24 | 23 | 1 | 0,12 | 314 | 80 | 4 | 0,26 |
25 | 24 | 1 | 0,12 | 315 | 80 | 4 | 0,26 |
26 | 25 | 1 | 0,11 | 316 | 81 | 4 | 0,25 |
27 | 26 | 1 | 0,11 | 317 | 81 | 4 | 0,25 |
28 | 27 | 1 | 0,10 | 318 | 81 | 4 | 0,25 |
29 | 23 | 1 | 0,27 | 319 | 79 | 4 | 0,26 |
30 | 24 | 1 | 0,26 | 320 | 79 | 4 | 0,26 |
31 | 25 | 1 | 0,25 | 321 | 79 | 4 | 0,26 |
32 | 26 | 1 | 0,24 | 322 | 80 | 4 | 0,26 |
33 | 27 | 1 | 0,23 | 323 | 80 | 4 | 0,26 |
34 | 28 | 1 | 0,22 | 324 | 80 | 4 | 0,26 |
35 | 28 | 1 | 0,24 | 325 | 80 | 4 | 0,26 |
36 | 29 | 1 | 0,23 | 326 | 81 | 4 | 0,25 |
37 | 30 | 1 | 0,22 | 327 | 81 | 4 | 0,25 |
38 | 31 | 1 | 0,21 | 328 | 81 | 4 | 0,25 |
39 | 32 | 1 | 0,21 | 329 | 81 | 4 | 0,25 |
40 | 32 | 1 | 0,22 | 330 | 82 | 4 | 0,25 |
41 | 28 | 1 | 0,30 | 331 | 79 | 4 | 0,26 |
42 | 29 | 1 | 0,29 | 332 | 80 | 4 | 0,26 |
43 | 29 | 1 | 0,30 | 333 | 80 | 4 | 0,26 |
44 | 30 | 1 | 0,29 | 334 | 80 | 4 | 0,26 |
45 | 31 | 1 | 0,28 | 335 | 80 | 4 | 0,26 |
46 | 31 | 1 | 0,29 | 336 | 81 | 4 | 0,26 |
47 | 32 | 1 | 0,28 | 337 | 81 | 4 | 0,26 |
48 | 33 | 1 | 0,27 | 338 | 81 | 4 | 0,26 |
49 | 33 | 1 | 0,28 | 339 | 81 | 4 | 0,26 |
50 | 34 | 1 | 0,27 | 340 | 82 | 4 | 0,25 |
51 | 35 | 1 | 0,26 | 341 | 82 | 4 | 0,25 |
52 | 35 | 1 | 0,27 | 342 | 80 | 4 | 0,26 |
53 | 31 | 1 | 0,32 | 343 | 80 | 4 | 0,26 |
54 | 31 | 1 | 0,33 | 344 | 80 | 4 | 0,26 |
55 | 32 | 1 | 0,32 | 345 | 80 | 4 | 0,26 |
56 | 33 | 1 | 0,31 | 346 | 81 | 4 | 0,26 |
57 | 33 | 1 | 0,31 | 347 | 81 | 4 | 0,26 |
58 | 34 | 1 | 0,30 | 348 | 81 | 4 | 0,26 |
59 | 34 | 1 | 0,31 | 349 | 81 | 4 | 0,26 |
60 | 35 | 1 | 0,30 | 350 | 82 | 4 | 0,26 |
61 | 46 | 2 | 0,20 | 351 | 82 | 4 | 0,26 |
62 | 47 | 2 | 0,19 | 352 | 82 | 4 | 0,26 |
63 | 47 | 2 | 0,20 | 353 | 82 | 4 | 0,26 |
64 | 42 | 2 | 0,25 | 354 | 80 | 4 | 0,26 |
65 | 43 | 2 | 0,24 | 355 | 80 | 4 | 0,26 |
66 | 44 | 2 | 0,24 | 356 | 81 | 4 | 0,26 |
67 | 44 | 2 | 0,24 | 357 | 81 | 4 | 0,26 |
68 | 45 | 2 | 0,24 | 358 | 81 | 4 | 0,26 |
69 | 46 | 2 | 0,23 | 359 | 81 | 4 | 0,26 |
70 | 46 | 2 | 0,23 | 360 | 81 | 4 | 0,26 |
71 | 47 | 2 | 0,23 | 361 | 82 | 4 | 0,26 |
72 | 48 | 2 | 0,23 | 362 | 82 | 4 | 0,26 |
73 | 48 | 2 | 0,23 | 363 | 82 | 4 | 0,26 |
74 | 49 | 2 | 0,22 | 364 | 82 | 4 | 0,26 |
75 | 50 | 2 | 0,22 | 365 | 80 | 4 | 0,26 |
76 | 45 | 2 | 0,26 | 366 | 80 | 4 | 0,26 |
77 | 46 | 2 | 0,25 | 367 | 81 | 4 | 0,26 |
78 | 46 | 2 | 0,26 | 368 | 81 | 4 | 0,26 |
79 | 47 | 2 | 0,25 | 369 | 81 | 4 | 0,26 |
80 | 47 | 2 | 0,25 | 370 | 81 | 4 | 0,26 |
81 | 48 | 2 | 0,25 | 371 | 82 | 4 | 0,26 |
82 | 49 | 2 | 0,24 | 372 | 82 | 4 | 0,26 |
83 | 49 | 2 | 0,25 | 373 | 82 | 4 | 0,26 |
84 | 50 | 2 | 0,24 | 374 | 82 | 4 | 0,26 |
85 | 50 | 2 | 0,24 | 375 | 82 | 4 | 0,26 |
86 | 51 | 2 | 0,24 | 376 | 83 | 4 | 0,26 |
87 | 46 | 2 | 0,27 | 377 | 81 | 4 | 0,26 |
88 | 47 | 2 | 0,27 | 378 | 81 | 4 | 0,26 |
89 | 47 | 2 | 0,27 | 379 | 81 | 4 | 0,26 |
90 | 48 | 2 | 0,27 | 380 | 81 | 4 | 0,26 |
91 | 49 | 2 | 0,26 | 381 | 82 | 4 | 0,26 |
92 | 49 | 2 | 0,26 | 382 | 82 | 4 | 0,26 |
93 | 50 | 2 | 0,26 | 383 | 82 | 4 | 0,26 |
94 | 50 | 2 | 0,26 | 384 | 82 | 4 | 0,26 |
95 | 51 | 2 | 0,26 | 385 | 82 | 4 | 0,26 |
96 | 51 | 2 | 0,26 | 386 | 83 | 4 | 0,26 |
97 | 52 | 2 | 0,25 | 387 | 83 | 4 | 0,26 |
98 | 52 | 2 | 0,26 | 388 | 83 | 4 | 0,26 |
99 | 48 | 2 | 0,28 | 389 | 81 | 4 | 0,26 |
100 | 49 | 2 | 0,28 | 390 | 81 | 4 | 0,26 |
101 | 60 | 3 | 0,22 | 391 | 81 | 4 | 0,26 |
102 | 61 | 3 | 0,22 | 392 | 82 | 4 | 0,26 |
103 | 61 | 3 | 0,22 | 393 | 82 | 4 | 0,26 |
104 | 62 | 3 | 0,22 | 394 | 82 | 4 | 0,26 |
105 | 63 | 3 | 0,21 | 395 | 82 | 4 | 0,26 |
106 | 63 | 3 | 0,21 | 396 | 82 | 4 | 0,26 |
107 | 64 | 3 | 0,21 | 397 | 83 | 4 | 0,26 |
108 | 64 | 3 | 0,21 | 398 | 83 | 4 | 0,26 |
109 | 65 | 3 | 0,21 | 399 | 83 | 4 | 0,26 |
110 | 66 | 3 | 0,21 | 400 | 81 | 4 | 0,26 |
111 | 61 | 3 | 0,23 | 401 | 81 | 4 | 0,26 |
112 | 61 | 3 | 0,23 | 402 | 82 | 4 | 0,26 |
113 | 62 | 3 | 0,23 | 403 | 82 | 4 | 0,26 |
114 | 62 | 3 | 0,23 | 404 | 82 | 4 | 0,26 |
115 | 63 | 3 | 0,23 | 405 | 82 | 4 | 0,26 |
116 | 63 | 3 | 0,23 | 406 | 82 | 4 | 0,26 |
117 | 64 | 3 | 0,22 | 407 | 83 | 4 | 0,26 |
118 | 65 | 3 | 0,22 | 408 | 83 | 4 | 0,26 |
119 | 65 | 3 | 0,22 | 409 | 83 | 4 | 0,26 |
120 | 66 | 3 | 0,22 | 410 | 79 | 4 | 0,27 |
121 | 66 | 3 | 0,22 | 411 | 80 | 4 | 0,27 |
122 | 62 | 3 | 0,24 | 412 | 78 | 4 | 0,27 |
123 | 62 | 3 | 0,24 | 413 | 78 | 4 | 0,27 |
124 | 63 | 3 | 0,24 | 414 | 78 | 4 | 0,27 |
125 | 63 | 3 | 0,24 | 415 | 79 | 4 | 0,27 |
126 | 64 | 3 | 0,23 | 416 | 79 | 4 | 0,27 |
127 | 64 | 3 | 0,23 | 417 | 79 | 4 | 0,27 |
128 | 65 | 3 | 0,23 | 418 | 79 | 4 | 0,27 |
129 | 65 | 3 | 0,23 | 419 | 79 | 4 | 0,27 |
130 | 66 | 3 | 0,23 | 420 | 79 | 4 | 0,27 |
131 | 66 | 3 | 0,23 | 421 | 80 | 4 | 0,27 |
132 | 67 | 3 | 0,23 | 422 | 80 | 4 | 0,27 |
133 | 67 | 3 | 0,23 | 423 | 78 | 4 | 0,27 |
134 | 63 | 3 | 0,24 | 424 | 78 | 4 | 0,27 |
135 | 64 | 3 | 0,24 | 425 | 79 | 4 | 0,27 |
136 | 64 | 3 | 0,24 | 426 | 79 | 4 | 0,27 |
137 | 47 | 2 | 0,32 | 427 | 79 | 4 | 0,27 |
138 | 47 | 2 | 0,32 | 428 | 79 | 4 | 0,27 |
139 | 48 | 2 | 0,31 | 429 | 79 | 4 | 0,27 |
140 | 48 | 2 | 0,32 | 430 | 79 | 4 | 0,27 |
141 | 59 | 3 | 0,27 | 431 | 80 | 4 | 0,27 |
142 | 60 | 3 | 0,26 | 432 | 80 | 4 | 0,27 |
143 | 60 | 3 | 0,26 | 433 | 80 | 4 | 0,27 |
144 | 61 | 3 | 0,26 | 434 | 80 | 4 | 0,27 |
145 | 57 | 3 | 0,28 | 435 | 79 | 4 | 0,27 |
146 | 58 | 3 | 0,27 | 436 | 79 | 4 | 0,27 |
147 | 58 | 3 | 0,27 | 437 | 79 | 4 | 0,27 |
148 | 59 | 3 | 0,27 | 438 | 79 | 4 | 0,27 |
149 | 59 | 3 | 0,27 | 439 | 79 | 4 | 0,27 |
150 | 59 | 3 | 0,27 | 440 | 79 | 4 | 0,27 |
151 | 60 | 3 | 0,27 | 441 | 80 | 4 | 0,27 |
152 | 60 | 3 | 0,27 | 442 | 80 | 4 | 0,27 |
153 | 61 | 3 | 0,26 | 443 | 80 | 4 | 0,27 |
154 | 61 | 3 | 0,27 | 444 | 80 | 4 | 0,27 |
155 | 61 | 3 | 0,27 | 445 | 80 | 4 | 0,27 |
156 | 62 | 3 | 0,26 | 446 | 79 | 4 | 0,27 |
157 | 59 | 3 | 0,27 | 447 | 79 | 4 | 0,27 |
158 | 59 | 3 | 0,28 | 448 | 79 | 4 | 0,27 |
159 | 59 | 3 | 0,28 | 449 | 79 | 4 | 0,27 |
160 | 60 | 3 | 0,27 | 450 | 79 | 4 | 0,27 |
161 | 60 | 3 | 0,27 | 451 | 80 | 4 | 0,27 |
162 | 61 | 3 | 0,27 | 452 | 80 | 4 | 0,27 |
163 | 61 | 3 | 0,27 | 453 | 80 | 4 | 0,27 |
164 | 61 | 3 | 0,27 | 454 | 80 | 4 | 0,27 |
165 | 62 | 3 | 0,27 | 455 | 80 | 4 | 0,27 |
166 | 62 | 3 | 0,27 | 456 | 81 | 4 | 0,27 |
167 | 63 | 3 | 0,27 | 457 | 81 | 4 | 0,27 |
168 | 59 | 3 | 0,28 | 458 | 79 | 4 | 0,27 |
169 | 60 | 3 | 0,28 | 459 | 79 | 4 | 0,27 |
170 | 60 | 3 | 0,28 | 460 | 79 | 4 | 0,27 |
171 | 61 | 3 | 0,27 | 461 | 80 | 4 | 0,27 |
172 | 61 | 3 | 0,27 | 462 | 80 | 4 | 0,27 |
173 | 61 | 3 | 0,27 | 463 | 80 | 4 | 0,27 |
174 | 62 | 3 | 0,27 | 464 | 80 | 4 | 0,27 |
175 | 62 | 3 | 0,27 | 465 | 80 | 4 | 0,27 |
176 | 62 | 3 | 0,27 | 466 | 80 | 4 | 0,27 |
177 | 63 | 3 | 0,27 | 467 | 81 | 4 | 0,27 |
178 | 63 | 3 | 0,27 | 468 | 81 | 4 | 0,27 |
179 | 63 | 3 | 0,27 | 469 | 81 | 4 | 0,27 |
180 | 61 | 3 | 0,28 | 470 | 79 | 4 | 0,27 |
181 | 61 | 3 | 0,28 | 471 | 80 | 4 | 0,27 |
182 | 61 | 3 | 0,28 | 472 | 80 | 4 | 0,27 |
183 | 62 | 3 | 0,28 | 473 | 80 | 4 | 0,27 |
184 | 62 | 3 | 0,28 | 474 | 80 | 4 | 0,27 |
185 | 62 | 3 | 0,28 | 475 | 80 | 4 | 0,27 |
186 | 63 | 3 | 0,27 | 476 | 80 | 4 | 0,27 |
187 | 63 | 3 | 0,27 | 477 | 81 | 4 | 0,27 |
188 | 63 | 3 | 0,27 | 478 | 81 | 4 | 0,27 |
189 | 64 | 3 | 0,27 | 479 | 81 | 4 | 0,27 |
190 | 64 | 3 | 0,27 | 480 | 81 | 4 | 0,27 |
191 | 64 | 3 | 0,27 | 481 | 80 | 4 | 0,27 |
192 | 61 | 3 | 0,28 | 482 | 80 | 4 | 0,27 |
193 | 62 | 3 | 0,28 | 483 | 80 | 4 | 0,27 |
194 | 62 | 3 | 0,28 | 484 | 80 | 4 | 0,27 |
195 | 62 | 3 | 0,28 | 485 | 80 | 4 | 0,27 |
196 | 63 | 3 | 0,28 | 486 | 80 | 4 | 0,27 |
197 | 63 | 3 | 0,28 | 487 | 81 | 4 | 0,27 |
198 | 63 | 3 | 0,28 | 488 | 81 | 4 | 0,27 |
199 | 64 | 3 | 0,27 | 489 | 81 | 4 | 0,27 |
200 | 64 | 3 | 0,27 | 490 | 81 | 4 | 0,27 |
201 | 64 | 3 | 0,27 | 491 | 81 | 4 | 0,27 |
202 | 65 | 3 | 0,27 | 492 | 81 | 4 | 0,27 |
203 | 62 | 3 | 0,28 | 493 | 80 | 4 | 0,27 |
204 | 62 | 3 | 0,28 | 494 | 80 | 4 | 0,27 |
205 | 63 | 3 | 0,28 | 495 | 80 | 4 | 0,27 |
206 | 63 | 3 | 0,28 | 496 | 80 | 4 | 0,27 |
207 | 63 | 3 | 0,28 | 497 | 81 | 4 | 0,27 |
208 | 63 | 3 | 0,28 | 498 | 81 | 4 | 0,27 |
209 | 64 | 3 | 0,28 | 499 | 81 | 4 | 0,27 |
210 | 64 | 3 | 0,28 | 500 | 81 | 4 | 0,27 |
211 | 64 | 3 | 0,28 | 501 | 81 | 4 | 0,27 |
212 | 65 | 3 | 0,27 | 502 | 81 | 4 | 0,27 |
213 | 65 | 3 | 0,28 | 503 | 82 | 4 | 0,27 |
214 | 65 | 3 | 0,28 | 504 | 80 | 4 | 0,27 |
215 | 63 | 3 | 0,28 | 505 | 80 | 4 | 0,27 |
216 | 63 | 3 | 0,28 | 506 | 80 | 4 | 0,27 |
217 | 63 | 3 | 0,28 | 507 | 80 | 4 | 0,27 |
218 | 64 | 3 | 0,28 | 508 | 81 | 4 | 0,27 |
219 | 64 | 3 | 0,28 | 509 | 81 | 4 | 0,27 |
220 | 64 | 3 | 0,28 | 510 | 81 | 4 | 0,27 |
221 | 76 | 4 | 0,25 | 511 | 81 | 4 | 0,27 |
222 | 76 | 4 | 0,25 | 512 | 81 | 4 | 0,27 |
223 | 77 | 4 | 0,24 | 513 | 81 | 4 | 0,27 |
224 | 77 | 4 | 0,24 | 514 | 82 | 4 | 0,27 |
225 | 78 | 4 | 0,24 | 515 | 82 | 4 | 0,27 |
226 | 75 | 4 | 0,25 | 516 | 80 | 4 | 0,27 |
227 | 75 | 4 | 0,25 | 517 | 80 | 4 | 0,27 |
228 | 75 | 4 | 0,25 | 518 | 81 | 4 | 0,27 |
229 | 76 | 4 | 0,25 | 519 | 81 | 4 | 0,27 |
230 | 76 | 4 | 0,25 | 520 | 81 | 4 | 0,27 |
231 | 76 | 4 | 0,25 | 521 | 81 | 4 | 0,27 |
232 | 77 | 4 | 0,25 | 522 | 81 | 4 | 0,27 |
233 | 77 | 4 | 0,25 | 523 | 81 | 4 | 0,27 |
234 | 77 | 4 | 0,25 | 524 | 82 | 4 | 0,27 |
235 | 78 | 4 | 0,24 | 525 | 82 | 4 | 0,27 |
236 | 78 | 4 | 0,25 | 526 | 82 | 4 | 0,27 |
237 | 78 | 4 | 0,25 | 527 | 82 | 4 | 0,27 |
238 | 64 | 3 | 0,28 | 528 | 81 | 4 | 0,27 |
239 | 64 | 3 | 0,28 | 529 | 81 | 4 | 0,27 |
240 | 64 | 3 | 0,28 | 530 | 81 | 4 | 0,27 |
241 | 65 | 3 | 0,28 | 531 | 81 | 4 | 0,27 |
242 | 65 | 3 | 0,28 | 532 | 81 | 4 | 0,27 |
243 | 65 | 3 | 0,28 | 533 | 81 | 4 | 0,27 |
244 | 65 | 3 | 0,28 | 534 | 81 | 4 | 0,27 |
245 | 66 | 3 | 0,28 | 535 | 82 | 4 | 0,27 |
246 | 66 | 3 | 0,28 | 536 | 82 | 4 | 0,27 |
247 | 66 | 3 | 0,28 | 537 | 82 | 4 | 0,27 |
248 | 67 | 3 | 0,28 | 538 | 82 | 4 | 0,27 |
249 | 67 | 3 | 0,28 | 539 | 81 | 4 | 0,27 |
250 | 64 | 3 | 0,29 | 540 | 81 | 4 | 0,27 |
251 | 65 | 3 | 0,28 | 541 | 81 | 4 | 0,27 |
252 | 65 | 3 | 0,28 | 542 | 81 | 4 | 0,27 |
253 | 65 | 3 | 0,28 | 543 | 81 | 4 | 0,27 |
254 | 65 | 3 | 0,28 | 544 | 81 | 4 | 0,27 |
255 | 66 | 3 | 0,28 | 545 | 82 | 4 | 0,27 |
256 | 66 | 3 | 0,28 | 546 | 82 | 4 | 0,27 |
257 | 66 | 3 | 0,28 | 547 | 82 | 4 | 0,27 |
258 | 66 | 3 | 0,28 | 548 | 82 | 4 | 0,27 |
259 | 67 | 3 | 0,28 | 549 | 82 | 4 | 0,27 |
260 | 67 | 3 | 0,28 | 550 | 82 | 4 | 0,27 |
261 | 77 | 4 | 0,25 | 551 | 81 | 4 | 0,27 |
262 | 77 | 4 | 0,25 | 552 | 81 | 4 | 0,27 |
263 | 77 | 4 | 0,25 | 553 | 81 | 4 | 0,27 |
264 | 77 | 4 | 0,25 | 554 | 81 | 4 | 0,27 |
265 | 78 | 4 | 0,25 | 555 | 82 | 4 | 0,27 |
266 | 78 | 4 | 0,25 | 556 | 82 | 4 | 0,27 |
267 | 78 | 4 | 0,25 | 557 | 82 | 4 | 0,27 |
268 | 79 | 4 | 0,25 | 558 | 82 | 4 | 0,27 |
269 | 79 | 4 | 0,25 | 559 | 82 | 4 | 0,27 |
270 | 79 | 4 | 0,25 | 560 | 82 | 4 | 0,27 |
271 | 80 | 4 | 0,25 | 561 | 82 | 4 | 0,27 |
272 | 80 | 4 | 0,25 | 562 | 81 | 4 | 0,27 |
273 | 77 | 4 | 0,26 | 563 | 81 | 4 | 0,27 |
274 | 78 | 4 | 0,25 | 564 | 81 | 4 | 0,27 |
275 | 78 | 4 | 0,25 | 565 | 81 | 4 | 0,27 |
276 | 78 | 4 | 0,25 | 566 | 82 | 4 | 0,27 |
277 | 78 | 4 | 0,25 | 567 | 82 | 4 | 0,27 |
278 | 79 | 4 | 0,25 | 568 | 82 | 4 | 0,27 |
279 | 79 | 4 | 0,25 | 569 | 82 | 4 | 0,27 |
280 | 79 | 4 | 0,25 | 570 | 82 | 4 | 0,27 |
281 | 80 | 4 | 0,25 | 571 | 82 | 4 | 0,27 |
282 | 80 | 4 | 0,25 | 572 | 83 | 4 | 0,27 |
283 | 80 | 4 | 0,25 | 573 | 83 | 4 | 0,27 |
284 | 78 | 4 | 0,26 | 574 | 81 | 4 | 0,27 |
285 | 78 | 4 | 0,26 | 575 | 81 | 4 | 0,27 |
286 | 78 | 4 | 0,26 | 576 | 82 | 4 | 0,27 |
287 | 78 | 4 | 0,26 | 577 | 82 | 4 | 0,27 |
288 | 79 | 4 | 0,25 | 578 | 82 | 4 | 0,27 |
289 | 79 | 4 | 0,25 | 579 | 82 | 4 | 0,27 |
290 | 79 | 4 | 0,25 | 580 | 82 | 4 | 0,27 |
291 | 79 | 4 | 0,25 | 581 | 82 | 4 | 0,27 |
292 | 80 | 4 | 0,25 | 582 | 82 | 4 | 0,27 |
293 | 80 | 4 | 0,25 | 583 | 83 | 4 | 0,27 |
294 | 80 | 4 | 0,25 | 584 | 83 | 4 | 0,27 |
295 | 81 | 4 | 0,25 | 585 | 81 | 4 | 0,27 |
296 | 66 | 3 | 0,29 | 586 | 82 | 4 | 0,27 |
297 | 66 | 3 | 0,29 | 587 | 82 | 4 | 0,27 |
298 | 66 | 3 | 0,29 | 588 | 82 | 4 | 0,27 |
299 | 67 | 3 | 0,29 | 589 | 82 | 4 | 0,27 |
300 | 67 | 3 | 0,29 | 590 | 82 | 4 | 0,27 |
301 | 79 | 4 | 0,26 | 591 | 82 | 4 | 0,27 |
302 | 80 | 4 | 0,25 | 592 | 82 | 4 | 0,27 |
303 | 80 | 4 | 0,25 | 593 | 83 | 4 | 0,27 |
304 | 80 | 4 | 0,25 | 594 | 83 | 4 | 0,27 |
305 | 81 | 4 | 0,25 | 595 | 83 | 4 | 0,27 |
306 | 81 | 4 | 0,25 | 596 | 83 | 4 | 0,27 |
307 | 78 | 4 | 0,26 | 597 | 82 | 4 | 0,27 |
308 | 79 | 4 | 0,26 | 598 | 82 | 4 | 0,27 |
309 | 79 | 4 | 0,26 | 599 | 82 | 4 | 0,27 |
310 | 79 | 4 | 0,26 | - | - | - | - |
(справочное)
КОЛИЧЕСТВО "СУХОГО ПРОДУКТА" В ЖИДКОЙ СРЕДЕ
Г.1 Общие положения
Г.1.1 Данная процедура может быть использована для определения количества "сухого продукта", находящегося в жидкой среде, и применяется к товарам в упаковках с номинальным количеством не более 50 кг.
Г.1.2 Требования к количеству "сухого продукта" применены к пищевым продуктам, находящимся в таких жидких средах (по отдельности или в комбинации), которые считаются упаковочным материалом и не должны быть включены в состав номинального количества продукта. К этим средам относятся:
- вода;
- соленые водные растворы (рассолы);
- сахарные водные растворы (сиропы) или другие вещества-подсластители;
- фруктовые или овощные соки, но только в консервированных фруктах или овощах;
- уксус.
Г.2 Испытательное оборудование
Г.2.1 Используют для удаления жидкости из упаковки поддоны и плоское сито с квадратной сеткой, ячейки которой имеют размер 2,5 мм, а толщина проволоки 1 мм. Диаметр такого сита должен быть 20 см для емкостей объемом 850 мл или менее и 30 см для емкостей более 850 мл. Если заявленный "сухой вес" составляет 2,5 кг и более, то после взвешивания всего количества он может быть разделен на несколько сит.
Г.2.2 Средство измерений для определения количества "сухого продукта" должно соответствовать требованиям
4.3.
Г.3 Процедура определения фактического количества "сухого продукта"
Г.3.1 Применяют требование
4.3.
Г.3.2 Выбирают образцы фасованного товара, соответствующие требованиям
раздела 5. Отбор образцов должен быть произведен тогда, когда, по мнению изготовителя, продукты готовы к продаже, или в любое время спустя 30 дней после стерилизации, пастеризации или аналогичного процесса.
Г.3.3 Выдерживают образцы в течение 12 ч перед испытанием при температуре, указанной изготовителем, или в диапазоне от 20 °C до 24 °C.
Г.3.4 Определяют массу пустого сита.
Г.3.5 Открывают упаковку и выливают продукт вместе с жидкой средой через сито на поддон. Распределяют продукт и жидкую среду на поверхности сита, не встряхивая содержимое сита. Наклоняют сито под углом от 17° до 20° относительно горизонтали, для того чтобы облегчить слив.
Г.3.6 Аккуратно переворачивают руками весь твердый продукт или его части, в которых имеются пустоты или полости (например, нарезанные фрукты), если они упали на сито углублениями или полостями, направленными вверх.
Г.3.7 Необходимо подождать, пока не сольется жидкость.
Г.3.8 Взвешивают сито вместе с содержимым и вычисляют массу "сухого веса" mс по формуле
mс = mс+ - mс-, (Г.1)
где mс- - масса сита без содержимого;
mс+ - масса сита вместе с содержимым.
Г.3.9 Перед последующим взвешиванием того же сита убедитесь в том, что оно чистое и не содержит остатков продукта. Сито не обязательно должно быть сухим, но оно должно быть точно взвешено.
(справочное)
ПРОЦЕДУРА ИСПЫТАНИЙ ДЛЯ УСТАНОВЛЕНИЯ
ФАКТИЧЕСКОГО КОЛИЧЕСТВА ЗАМОРОЖЕННЫХ ПРОДУКТОВ
Д.1 Общие требования
Д.1.1 Метрологические требования к количеству фасованных товаров, устанавливаемые в
ГОСТ Р 8.956, применимы к контрольным партиям фасованных товаров, измерения которых проводят после удаления излишков льда (упаковочного материала) в соответствии с процедурами
Д.3 -
Д.5.
Примечание - Удаление избыточного льда должно быть произведено таким образом, чтобы продукт оставался замороженным, сохраняющим естественную влагу.
Д.1.2 Если продукт, покрытый слоем льда или содержащий избыток льда внутри себя, не упоминается в
Д.3 -
Д.5, то процедуры удаления избыточного льда, описываемые в данных пунктах, могут быть соответствующим образом адаптированы или могут быть использованы другие методы, обеспечивающие соответствующий результат.
Д.2 Испытательное оборудование
Д.2.1 Поддоны и проволочные сита диаметром 20 и 30 см с квадратными ячейками размером 2,5 мм и толщиной проволоки 1,0 мм.
Д.2.2 Весы, используемые для определения количества продукта, соответствующего требованиям
4.3.
Д.2.3 Водяной резервуар, размер которого позволяет погрузить в него полностью упаковку или проволочную корзину, вмещающую замороженный продукт, предоставляющий возможность поддерживать температуру воды от 20 °C до 26 °C с допустимым отклонением +/- 1 °C.
Д.2.4 Разбрызгиватель для холодной воды.
Д.2.5 Корзина из проволочной сетки максимально большого размера, позволяющего вместить замороженный продукт, и с ячейками минимального размера, обеспечивающего его удержание.
Д.3 Замороженные фрукты и овощи
Д.3.1 Определяют массу используемого сита и дренажного поддона. Для упаковок с номинальным количеством продукта не более 1,4 кг включительно используют сито диаметром 20 см, а для упаковок с номинальным количеством свыше 1,4 кг - сито диаметром 30 см.
Д.3.2 Погружают упаковку в водяной резервуар, температура воды в котором поддерживается на уровне (20 +/- 1) °C. Если упаковка не является водонепроницаемой, помещают ее в пластиковый пакет, удалив с помощью вакуума из него воздух, и надежно запечатывают его. Когда весь лишний лед в упаковке растает, извлекают упаковку из водяного резервуара и насухо ее вытирают. Осторожно открывают упаковку, избегая при этом взбалтывания.
Д.3.3 Помещают продукт в заранее взвешенное сито. Наклонив сито на угол от 17° до 20° от горизонтали для улучшения дренажа, одним движением распределяют продукт равномерно по всему ситу. Через 2 мин после начала дренажа помещают сито с продуктом в заранее взвешенный дренажный поддон и определяют фактическую массу продукта с помощью подходящего средства измерений веса (см.
Д.2.2).
Д.3.4 Повторяют действия согласно
Д.3.1 -
Д.3.3 для каждой упаковки выборки.
Д.4 Глазированные морепродукты и птица (продукты, покрытые тонкой ледяной коркой для сохранения их качества) и блоки замороженной рыбы
Д.4.1 Определяют массу используемого сита и дренажного поддона. Для упаковок с номинальным количеством продукта не более 900 г включительно используют сито диаметром 20 см, а для упаковок с номинальным количеством продукта свыше 900 г - сито диаметром 30 см.
Д.4.2 Извлекают продукт из упаковочного материала. Помещают его в достаточно большую корзину из проволоки с достаточно маленькими ячейками, позволяющими удерживать продукт в корзине. Помещают проволочную корзину с продуктом под слабую струю холодной воды и держат до тех пор, пока не отделится ледяная корка. Осторожно перемещают продукт, не допуская повреждений.
Д.4.3 Перекладывают продукт в заранее взвешенное сито. Наклоняют сито на угол от 17° до 20° относительно горизонтальной поверхности для улучшения слива жидкости, не перемещая продукт. Через 2 мин после начала дренажа помещают сито с продуктом в заранее взвешенный дренажный поддон. Определяют фактическую массу продукта с помощью соответствующих весов (см.
Д.2.2).
Д.4.4 Повторяют действия согласно
Д.4.1 -
Д.4.3 для каждой упаковки выборки.
Д.5 Замороженные креветки и мясо краба
Д.5.1 Определяют массу используемого сита и дренажного поддона. Для упаковок с номинальным количеством продукта не более 450 г включительно используют сито диаметром 20 см, а для упаковок с номинальным количеством продукта свыше 450 г - сито диаметром 30 см.
Д.5.2 Извлекают продукт из упаковочного материала и помещают его в большую проволочную корзину достаточно большого размера и с достаточно маленькими ячейками, для того чтобы удерживать продукт в корзине. Погружают корзину с продуктом в водяной резервуар, температура воды в котором поддерживается на уровне (26 +/- 1) °C, под постоянную струю воды таким образом, чтобы верх корзины был выше уровня воды. Когда весь лишний лед растает, извлекают корзину из водяного резервуара.
Д.5.3 Помещают продукт в заранее взвешенное сито. Для улучшения дренажа наклоняют сито на угол от 17° до 20° по горизонтали, не перемещая продукт. Через 2 мин после начала дренажа помещают сито с продуктом в заранее взвешенный дренажный поддон. Определяют фактическую массу продукта с помощью соответствующих весов.
Д.5.4 Повторяют действия для каждой упаковки выборки согласно
Д.5.1 -
Д.5.3.
(справочное)
ПРОЦЕДУРЫ ОПРЕДЕЛЕНИЯ МАССЫ ТАРЫ
Е.1 Общие положения
В предлагаемых процедурах для определения фактического количества товара в упаковке можно применять как использованный, так и неиспользованный упаковочный материал.
Примечания
1 Неиспользованная сухая тара - это еще неиспользованный, новый упаковочный материал, предназначенный для упаковывания одной упаковочной единицы.
2 Использованная сухая тара - это часть упаковки, из которой удален продукт, представляющая собой упаковочный материал, полностью очищенный до состояния почти нового упаковочного материала.
Е.2 Описание процедуры
Е.2.1 Проводят произвольную выборку образцов тары (упаковочного материала) в количестве 25 шт. или из выборки фасованных товаров контрольной партии (использованная сухая тара), или из новых упаковочных материалов на стадии расфасовки (неиспользованная сухая тара).
Примечание - В случае с использованной сухой тарой следует предварительно определить вес брутто фасованного товара перед вскрытием упаковки (см.
А.2.4).
Е.2.2 В случае с использованной сухой тарой следует очистить упаковочный материал, применяя стандартные способы, которыми пользуются потребители продукта. Упаковочный материал не следует сушить в духовом шкафу.
Е.2.3 Определяют массу 10 отобранных упаковочных материалов (тар).
Е.2.4 Определяют среднее значение массы 10 образцов тар , взвешенных по
Е.2.3.
Е.2.4.1 Если среднее значение массы тары равно или менее 10% номинального количества товара, указанного на упаковке, то определяют фактическое количество товара согласно требованиям
А.2 по формуле

, (Е.1)
где mбрi - масса брутто i-й упаковки;

- среднее значение массы тары.
Если среднее значение массы тары составляет более 10% номинального количества, то следует определить стандартное отклонение массы тары
Sт и перейти к Е.2.4.2 или
Е.2.4.3, при необходимости.
Е.2.4.2 Если среднее значение массы тары больше 10% номинального количества, а среднее квадратическое отклонение массы тары в выборке из 10 шт. равно или меньше 0,25
T, следует взять еще 15 образцов упаковочного материала, отобранных согласно
Е.2.1, и произвести взвешивание согласно
Е.2.3. Устанавливают средний вес сложенных вместе 25 образцов упаковочного материала и используют это значение при расчетах в соответствии с
А.2.
Е.2.4.3 Если среднее значение массы тары больше 10% номинального количества, а стандартное отклонение массы тары
Sт превышает 0,25
T, то среднее значение массы тары не может быть использовано при расчете среднего содержимого партии фасованных товаров. В этом случае следует определить фактическую массу товара в каждой отдельной упаковке путем вскрытия упаковки (разрушающий контроль).
(справочное)
ЗАПРЕТ НА ИСПОЛЬЗОВАНИЕ ФАЛЬШИВЫХ УПАКОВОК
Ж.1 Общие требования
Упаковка не должна иметь форму, размер или особенности, которые могут вводить в заблуждение или обман потребителя в отношении фактического количества содержащегося в ней продукта. Не должно быть фальшивого дна, боковых стенок, крышек и пр. Конструкция упаковки и ее содержимое не должны вводить в заблуждение и исключать любую форму обмана потребителя.
Ж.2 Полное заполнение
Упаковка не должна иметь неполное заполнение, которое может вводить в заблуждение потребителя. Такое положение допустимо, только если разница между фактическим объемом упаковки и объемом содержащегося в ней продукта обусловлена какими-то неизбежными особенностями производственного процесса. Если потребитель не может визуально или тактильно определить степень заполнения продукта в упаковке, то считается, что упаковка полностью заполнена. Упаковка, имеющая избыточное нефункциональное незаполненное пространство (неполное заполнение, не обусловленное производственным процессом), считается вводящей в заблуждение и бракуется.
Ж.3 Функциональное неполное заполнение
Незначительное неполное заполнение может не рассматриваться как вводящее в заблуждение в том случае, если оно функционально необходимо по следующим причинам:
а) при защите продукта;
б) соблюдении требований, обусловленных используемым упаковочным оборудованием;
в) неизбежной усадке продукта при транспортировании и перемещении;
г) специфической функциональности упаковки (например, когда упаковка не удаляется в процессе приготовления или потребления продукта), когда данная функциональность является неотъемлемой для использования продукта, о чем потребителя обязательно информируют.